Movatterモバイル変換


[0]ホーム

URL:


CN1431036A - Biosurfactant of rhamnolipid and its application in artificial manure turned from house hold garbage - Google Patents

Biosurfactant of rhamnolipid and its application in artificial manure turned from house hold garbage
Download PDF

Info

Publication number
CN1431036A
CN1431036ACN03118042ACN03118042ACN1431036ACN 1431036 ACN1431036 ACN 1431036ACN 03118042 ACN03118042 ACN 03118042ACN 03118042 ACN03118042 ACN 03118042ACN 1431036 ACN1431036 ACN 1431036A
Authority
CN
China
Prior art keywords
rhamnolipid
biosurfactant
garbage
composting
application
Prior art date
Legal status (The legal status is an assumption and is not a legal conclusion. Google has not performed a legal analysis and makes no representation as to the accuracy of the status listed.)
Granted
Application number
CN03118042A
Other languages
Chinese (zh)
Other versions
CN1207383C (en
Inventor
时进钢
袁兴中
曾光明
黄国和
Current Assignee (The listed assignees may be inaccurate. Google has not performed a legal analysis and makes no representation or warranty as to the accuracy of the list.)
Hunan University
Original Assignee
Hunan University
Priority date (The priority date is an assumption and is not a legal conclusion. Google has not performed a legal analysis and makes no representation as to the accuracy of the date listed.)
Filing date
Publication date
Application filed by Hunan UniversityfiledCriticalHunan University
Priority to CNB031180426ApriorityCriticalpatent/CN1207383C/en
Publication of CN1431036ApublicationCriticalpatent/CN1431036A/en
Application grantedgrantedCritical
Publication of CN1207383CpublicationCriticalpatent/CN1207383C/en
Anticipated expirationlegal-statusCritical
Expired - Fee Relatedlegal-statusCriticalCurrent

Links

Classifications

Landscapes

Abstract

Translated fromChinese

本发明涉及一种微生物产生的生物表面活性剂及其在生活垃圾堆肥化中的应用。鼠李糖脂生物表面活性剂的产生菌为铜绿假单胞菌,以植物油为碳源,在最佳条件下培养出鼠李糖脂发酵液,使产量达到30~40g/L,离心除去菌体,以一定的比例稀释后,直接用于生活垃圾堆肥处理过程。在堆肥过程中,通过加入鼠李糖脂溶液,可以提高堆肥中垃圾颗粒表面的润湿性、改善堆肥中微生物活动的微环境,提高堆肥的效率和品质。The invention relates to a biosurfactant produced by microorganisms and its application in composting domestic garbage. The producing bacteria of rhamnolipid biosurfactant is Pseudomonas aeruginosa, with vegetable oil as the carbon source, the rhamnolipid fermentation broth is cultivated under optimal conditions, so that the yield can reach 30-40g/L, and the bacteria are removed by centrifugation After being diluted in a certain proportion, it can be directly used in the domestic waste composting process. During the composting process, by adding the rhamnolipid solution, the wettability of the surface of the garbage particles in the compost can be improved, the microenvironment of the microbial activities in the compost can be improved, and the efficiency and quality of the compost can be improved.

Description

Translated fromChinese
鼠李糖脂生物表面活性剂及其在生活垃圾堆肥化中的应用Rhamnolipid biosurfactant and its application in composting of domestic waste

技术领域:本发明涉及一种表面活性剂,具体涉及微生物产生的生物表面活性剂及应用。Technical field: the present invention relates to a surfactant, in particular to a biosurfactant produced by microorganisms and its application.

背景技术:堆肥过程中介质物化条件的改善可通过控制堆肥系统的C/N值、湿度、氧气、温度、孔隙度等。这些手段在堆肥过程中的应用是必要的,但这些方法的主旨均在于改善物质传输或有利微生物生长,而在改良微生物与介质的相互作用以及直接促进微生物对难降解有机物的分解过程方面却难有作为。目前国内对堆肥过程中生物大环境改良方面有一定的研究,专利技术涉及较多的为新型设备设计和改良等方面。而在微环境改良技术方面的研究则仅在于介质的物理法改良(如使用粉煤灰),而用于堆肥的生物表面活性剂的研发方面则尚未见报道。Background technology: The physical and chemical conditions of the medium during the composting process can be improved by controlling the C/N value, humidity, oxygen, temperature, porosity, etc. of the composting system. The application of these methods in the composting process is necessary, but the main purpose of these methods is to improve material transfer or facilitate the growth of microorganisms, but it is difficult to improve the interaction between microorganisms and media and directly promote the decomposition of refractory organic matter by microorganisms. Have something to do. At present, there is a certain amount of research on the improvement of the biological environment in the composting process in China, and the patented technology involves many aspects such as the design and improvement of new equipment. However, the research on microenvironment improvement technology only lies in the physical improvement of the medium (such as using fly ash), while the research and development of biosurfactants for composting has not yet been reported.

传统的化学表面活性剂存在很大的缺点:由于它不可以被微生物降解,因此,可能对环境带来新的污染,同时有可能抑制堆肥中微生物的活性。而生物表面活性剂是由微生物的生命活动形成的,其对微生物没有毒害作用,同时也没有作为优先降解对象被微生物过早降解的危险,因此,可以用于堆肥过程中微环境的改良。Traditional chemical surfactants have great disadvantages: because they cannot be degraded by microorganisms, they may bring new pollution to the environment and may inhibit the activity of microorganisms in compost. Biosurfactants are formed by the life activities of microorganisms. They have no toxic effect on microorganisms, and there is no danger of being prematurely degraded by microorganisms as a priority degradation object. Therefore, they can be used to improve the microenvironment in the composting process.

生物表面活性剂是由微生物产生的一种生物分子,能显著降低表面和接口张力,对生态系统的毒性较低,最终会被微生物降解,使生物表面活性剂在一些方面可以逐渐代替化学合成的表面活性剂,而且应用也越来越广泛。如微生物产生的生物表面活性剂可以增强油类提取,大庆石油管理局研制了一种鼠李糖脂生物表面活性剂,和其它表面活性剂复配,用于三次采油,平均采收率比水提高20%(专利申请号99107581.1)。对于被油污染的海面或土壤,可加快油类的降解;对重金属污染的土壤和地下水的修复等。李祖义等研究了鼠李糖脂对土壤中多环芳烃的增溶及脱附作用。然而,由于鼠李糖脂存在于微生物的发酵液中,而且含量很低,如CN1275429A公开的鼠李糖脂的最大产量仅为25g/L,而且发酵液中成分复杂,分离提取较纯的鼠李糖脂的工艺较为复杂,它的生产成本中有约为70~90%都要用在中下游提取及分离工艺上,因而,鼠李糖脂大规模的应用就受到限制。Biosurfactant is a biomolecule produced by microorganisms, which can significantly reduce surface and interfacial tension, has low toxicity to the ecosystem, and will eventually be degraded by microorganisms, so that biosurfactants can gradually replace chemically synthesized ones in some aspects. Surfactants are used more and more widely. For example, biosurfactants produced by microorganisms can enhance oil extraction. Daqing Petroleum Administration has developed a rhamnolipid biosurfactant, which is compounded with other surfactants for tertiary oil recovery. The average recovery rate is higher than that of water. Increased by 20% (Patent Application No. 99107581.1). For the sea surface or soil polluted by oil, it can accelerate the degradation of oil; it can repair the soil and groundwater polluted by heavy metals, etc. Li Zuyi et al. studied the solubilization and desorption of rhamnolipids on polycyclic aromatic hydrocarbons in soil. Yet because rhamnolipid exists in the fermented liquid of microorganism, and content is very low, as the maximum output of the disclosed rhamnolipid of CN1275429A is only 25g/L, and composition is complicated in fermented liquid, separate and extract relatively pure rhamnolipid The technology of rhamnolipid is relatively complicated, and about 70-90% of its production cost is used in the middle and downstream extraction and separation processes. Therefore, the large-scale application of rhamnolipid is limited.

发明内容:本发明旨在研究一种鼠李糖脂生物表面活性剂,提高鼠李糖脂的含量,更好地应用于生活垃圾堆肥处理中。Summary of the invention: The present invention aims to study a rhamnolipid biosurfactant, increase the content of rhamnolipid, and better apply it to domestic waste composting.

本发明是通过以下技术方案实现上述发明目的。The present invention realizes the above-mentioned object of the invention through the following technical solutions.

鼠李糖脂生物表面活性剂是由铜绿假单胞菌(Pseudomonas aeruginose)经发酵培养产生,含量为30~40g/L。生产鼠李糖脂的铜绿假单胞菌的培养基为:植物油60~80g/L,NaNO33.5~4.5g/L,KH2PO4 1.5~2.2g/L,Na2HPO4·2H2O 1.5~2.2g/L,MgSO4·7H2O 0.6~1.1g/L,FeSO4·7H2O 0.005~0.012g/L,pH 6.0~6.8,发酵罐的培养条件为温度36~38℃,搅拌转速450~550转/分,通气量为1.1~1.3vvm。鼠李糖脂生物表面活性剂用作生活垃圾的堆肥处理,发酵培养的发酵液经离心除去菌体后,配制成0.1~0.6%的鼠李糖脂溶液,用垃圾重量的1~5%均匀混合到经分类的生活垃圾中。The rhamnolipid biosurfactant is produced by fermentation and culture of Pseudomonas aeruginose, and the content is 30-40g/L. The culture medium for Pseudomonas aeruginosa producing rhamnolipids is: vegetable oil 60-80g/L, NaNO3 3.5-4.5g/L, KH2 PO4 1.5-2.2g/L, Na2 HPO4 2H2 O 1.5~2.2g/L, MgSO4 7H2 O 0.6~1.1g/L, FeSO4 7H2 O 0.005~0.012g/L, pH 6.0~6.8, the culture condition of the fermenter is 36~38℃ , the stirring speed is 450-550 rpm, and the ventilation volume is 1.1-1.3vvm. The rhamnolipid biosurfactant is used as a composting treatment for household garbage. After the fermented broth is centrifuged to remove the bacteria, it is prepared into a 0.1-0.6% rhamnolipid solution, which is uniformly mixed with 1-5% of the weight of the garbage. Mix into sorted household waste.

附图说明:Description of drawings:

图1堆肥堆制过程中垃圾间隙液表面张力变化;Fig. 1 Variation of surface tension of interstitial fluid in garbage during composting;

图2堆肥堆制过程中CO2产生速率变化。Fig. 2 Changes inCO2 production rate during composting.

下面进一步详述本发明。The present invention is described in further detail below.

铜绿假单胞菌(Pseudomonas aeruginose)购自中国典型培养物保藏中心(CCTCC),保藏号为AB93066。菌种转接保藏在牛肉膏蛋白胨斜面培养基上,培养基成分为:牛肉膏2.0g/L,蛋白胨5.0g/L,NaCl 5.0g/L,琼脂20.0g/L,pH7.0。Pseudomonas aeruginose (Pseudomonas aeruginose) was purchased from the China Center for Type Culture Collection (CCTCC), and the preservation number is AB93066. The strains were transferred and preserved on beef extract-peptone slant medium, the medium composition was: beef extract 2.0g/L, peptone 5.0g/L, NaCl 5.0g/L, agar 20.0g/L, pH7.0.

种子培养基成分为:葡萄糖18.0~25.0g/L,NaNO3 1.5~2.5g/L,KH2PO4 0.5~1.2g/L,Na2HPO4·2 H2O 0.5~1.2g/L,MgSO4·7H2O 0.6~1.1g/L,FeSO4·7H2O 0.005~0.012g/L,pH6.0~6.8。三角瓶装液量为20%,培养温度36~37℃,摇床转速180~220rpm,经培养24~36小时后,以6~10%的接种量接种至发酵培养基中。The composition of the seed medium is: glucose 18.0~25.0g/L, NaNO3 1.5~2.5g/L, KH2 PO4 0.5~1.2g/L, Na2 HPO4 2 H2 O 0.5~1.2g/L, MgSO4 ·7H2 O 0.6~1.1g/L, FeSO4 ·7H2 O 0.005~0.012g/L, pH 6.0~6.8. The volume of liquid in the triangular flask is 20%, the culture temperature is 36-37 DEG C, the rotation speed of the shaker is 180-220rpm, and after 24-36 hours of culture, it is inoculated into the fermentation medium with an inoculum amount of 6-10%.

发酵培养基成分:植物油60~80%,NaNO3 3.5~4.5g/L,KH2PO4 1.5~2.2g/L,Na2HPO4·2H2O 1.5~2.2g/L,MgSO4·7H2O 0.6~1.1g/L,FeSO4·7H2O 0.005~0.012g/L,pH6.0~6.8。发酵罐的培养条件为温度为36~38℃,搅拌转速450~550转/分,通气量为1.1~1.3vvm。Fermentation medium components: vegetable oil 60-80%, NaNO3 3.5-4.5g/L, KH2 PO4 1.5-2.2g/L, Na2 HPO4 2H2 O 1.5-2.2g/L, MgSO4 7H2 O 0.6-1.1g/L, FeSO4 ·7H2 O 0.005-0.012g/L, pH 6.0-6.8. The culture conditions of the fermenter are that the temperature is 36-38° C., the stirring speed is 450-550 rpm, and the ventilation rate is 1.1-1.3 vvm.

该菌株具有较强的生物表面活性剂生产能力,同时在憎水性碳源植物油的诱导作用下,使得在对数生长后期和停滞期产生鼠李糖脂的量最大,达到30~40g/L。The strain has strong biosurfactant production capacity, and at the same time, under the induction of the hydrophobic carbon source vegetable oil, the amount of rhamnolipid produced in the late logarithmic growth period and stagnation period is the largest, reaching 30-40g/L.

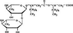
铜绿假单胞菌经过2~4天的培养,发酵液经离心(7000-10000rpm)除去菌体,得到鼠李糖脂产品,该产品的主要活性成分为单鼠李糖脂和二鼠李糖脂,其分子结构为:

Figure A0311804200041
单鼠李糖脂分子
Figure A0311804200051
二鼠李糖脂分子其余为中性脂、多糖,表面张力为33~35mN/m。Pseudomonas aeruginosa is cultivated for 2 to 4 days, and the fermentation liquid is centrifuged (7000-10000rpm) to remove the bacteria, and the rhamnolipid product is obtained. The main active ingredients of the product are monorhamnolipid and dirhamnose Fat, its molecular structure is:
Figure A0311804200041
monorhamnolipid molecule
Figure A0311804200051
The rest of dirhamnolipid molecules are neutral lipids and polysaccharides, and the surface tension is 33-35mN/m.

将得到的鼠李糖脂产品,配制成0.1~0.6%鼠李糖脂溶液,可以通过以下两种方式施用,根据垃圾的含水率不同,鼠李糖脂溶液的施用量为垃圾重量的1~5%:The obtained rhamnolipid product is formulated into a 0.1-0.6% rhamnolipid solution, which can be applied in the following two ways. According to the difference in moisture content of the garbage, the application amount of the rhamnolipid solution is 1-1% of the weight of the garbage. 5%:

1.鼠李糖脂可在混合搅拌装置中加入,从而在垃圾混合搅拌的过程中与垃圾充分混匀,使垃圾处理的微环境在初始阶段即得到改善;1. Rhamnolipid can be added in the mixing and stirring device, so that it can be fully mixed with the garbage during the mixing and stirring process of the garbage, so that the microenvironment of garbage treatment can be improved at the initial stage;

2.运行过程中如需补加生物表面活性剂,则需配合湿度调节装置。在喷淋系统的水源中加入上述浓度的鼠李糖脂溶液。随着水分的补充,生物表面活性剂便可进入反应器,从而改善微生物的生存微环境。2. If it is necessary to add biosurfactant during the operation, it needs to cooperate with the humidity adjustment device. Add the rhamnolipid solution of the above concentration in the water source of the spray system. With the replenishment of water, the biosurfactant can enter the reactor, thereby improving the living microenvironment of microorganisms.

由于堆肥过程是多种微生物共同作用的一个复杂过程,垃圾的成分也很复杂,鼠李糖脂发酵液中的微生物代谢产物以及盐类都可以被微生物利用,不会对堆肥产品的质量产生负面影响。Since the composting process is a complex process involving the interaction of various microorganisms, and the composition of the garbage is also very complex, the microbial metabolites and salts in the rhamnolipid fermentation broth can be used by microorganisms and will not negatively affect the quality of compost products. Influence.

一旦鼠李糖脂被引入垃圾颗粒的间隙,鼠李糖脂分子的疏水端将与有机垃圾亲合,使分子固定在垃圾颗粒表面;亲水端溶于颗粒孔隙内的水中。这种两亲性基团的不同作用使水在垃圾颗粒表面形成稳定的液膜,最大可能的为微生物的反应提供表面环境。同时,鼠李糖脂分子的疏水端会提高有机物在水膜中的溶解度,从而加速微生物对有机物的分解;另外,鼠李糖脂的加入还有利于提高难降解有机物的生物可利用性。通过实验测定可以发现,加入鼠李糖脂的堆肥反应器中,由于微生物的活动旺盛,使得CO2的产生速率大于普通的堆肥反应器。经腐熟后,堆肥成品性质较好,质量稳定。Once the rhamnolipid is introduced into the gap of the garbage particle, the hydrophobic end of the rhamnolipid molecule will have an affinity with the organic garbage, so that the molecule is fixed on the surface of the garbage particle; the hydrophilic end dissolves in the water in the particle pores. The different functions of the amphiphilic groups enable water to form a stable liquid film on the surface of garbage particles, providing the surface environment for microbial reactions as much as possible. At the same time, the hydrophobic end of the rhamnolipid molecule will increase the solubility of organic matter in the water film, thereby accelerating the decomposition of organic matter by microorganisms; in addition, the addition of rhamnolipid is also beneficial to improve the bioavailability of refractory organic matter. Through experimental determination, it can be found that in the composting reactor added with rhamnolipid, the production rate ofCO2 is greater than that of the common composting reactor due to the vigorous activity of microorganisms. After being decomposed, the finished compost has good properties and stable quality.

具体实施方式:Detailed ways:

1、鼠李糖脂生物表面活性剂的制备1. Preparation of rhamnolipid biosurfactant

1)将铜绿假单胞菌从斜面培养基接种至种子培养基中,进行摇瓶培养,500ml的三角瓶装培养液100ml,37℃、200rpm振荡培养24小时;1) Inoculate Pseudomonas aeruginosa from the slant medium into the seed medium, and carry out shaking flask culture, 100ml of culture solution in a 500ml Erlenmeyer flask, and vibrate at 37°C and 200rpm for 24 hours;

2)在5L的全自动发酵罐中装入4L以植物油为碳源的发酵培养基;接种铜绿假单胞菌种子培养液100mL,温度37℃,搅拌转速500转/分,通气量为1.2vvm,用HCl和NaOH控制pH值6.5,发酵时间为76小时,得到含表面活性剂的培养液3.6L,经测定发酵液的表面张力为34.8mN/m;2) Put 4L of fermentation medium with vegetable oil as carbon source in a 5L fully automatic fermentation tank; inoculate 100mL of Pseudomonas aeruginosa seed culture solution, temperature 37°C, stirring speed 500 rpm, ventilation volume 1.2vvm , use HCl and NaOH to control the pH value to 6.5, and the fermentation time is 76 hours to obtain 3.6L of culture solution containing surfactant, and the surface tension of the fermentation solution is 34.8mN/m after determination;

3)将发酵液离心(8000rpm)除去菌体,得到鼠李糖脂溶液,通过检测,鼠李糖脂含量为37.5g/L;3) Centrifuge the fermentation broth (8000rpm) to remove the thallus to obtain a rhamnolipid solution. Through detection, the rhamnolipid content is 37.5g/L;

4)将鼠李糖脂溶液稀释15倍,得到0.25%的鼠李糖脂溶液,备用。种子培养基与发酵培养基成分如下: 种子培养基 发酵培养基 葡萄糖  18.0g/L  - 植物油  -  50g/L NaNO3  2.00g/L  4.5g/L KH2PO4  1.00g/L  2.5g/L Na2HPO4.2H2O  1.00g/L  2.5g/L MgSO4.7H2O  1.00g/L  1.00g/L FeSO4.7H2O  0.01g/L  0.01g/L pH  6.5  6.54) Dilute the rhamnolipid solution 15 times to obtain a 0.25% rhamnolipid solution for later use. The composition of seed medium and fermentation medium is as follows: seed medium Fermentation medium glucose 18.0g/L - vegetable oil - 50g/LNaNO3 2.00g/L 4.5g/L KH2 PO4 1.00g/L 2.5g/L Na2 HPO4 .2H2 O 1.00g/L 2.5g/L MgSO4 .7H2 O 1.00g/L 1.00g/L FeSO4 .7H2 O 0.01g/L 0.01g/L pH 6.5 6.5

2、在堆肥中的应用2. Application in composting

采集长沙市某生活区的生活垃圾20kg,经过破碎、筛分得到可堆肥垃圾8kg,经测定,垃圾的含水率为55%,C/N=25,有机物含量60%。将垃圾装入堆肥装置中,该装置的体积为12L,可装垃圾9L。装入垃圾的同时,喷洒0.25%的鼠李糖脂溶液,喷洒量为垃圾重量的2%。Collect 20kg of household garbage from a living area in Changsha City, and obtain 8kg of compostable garbage after crushing and screening. After measurement, the moisture content of the garbage is 55%, C/N=25, and the organic matter content is 60%. Put the garbage into the composting device, which has a volume of 12L and can hold 9L of garbage. When packing into rubbish, spray 0.25% rhamnolipid solution, and the amount of spraying is 2% of rubbish weight.

堆肥过程中提取垃圾间隙液,测定表面张力,同时检测堆肥过程中CO2的产生速率,堆肥过程中的垃圾间隙液的表面张力和CO2的产生速率见图1和图2。During the composting process, the garbage interstitial fluid was extracted, the surface tension was measured, and the CO2 production rate was detected during the composting process. The surface tension of the garbage interstitial fluid and the CO2 production rate during the composting process are shown in Figures 1 and 2.

通过和没有喷洒鼠李糖脂溶液的堆肥系统比较,可以发现喷洒鼠李糖脂溶液的堆肥系统中,垃圾间隙液的表面张力较低,而且CO2的产生速率相对较大,堆肥有机物质降解速率较快,缩短了堆肥的时间。By comparing with the composting system without spraying rhamnolipid solution, it can be found that in the composting system sprayed with rhamnolipid solution, the surface tension of the interstitial fluid of garbage is lower, and the production rate of CO2 is relatively large, and the compost organic matter is degraded Faster rate shortens composting time.

Claims (3)

Translated fromChinese
1.一种鼠李糖脂生物表面活性剂,其特征在于该生物表面活性剂是由铜绿假单胞菌(Pseudomonas aeruginose)经发酵培养产生,鼠李糖脂含量为30~40g/L。1. A rhamnolipid biosurfactant, characterized in that the biosurfactant is produced by fermentation and cultivation of Pseudomonas aeruginose, and the rhamnolipid content is 30~40g/L.2.根据权利要求1所述的鼠李糖脂生物表面活性剂,其特征在于,生产鼠李糖脂的铜绿假单胞菌的发酵培养基为:植物油60~80g/L,NaNO33.5~4.5g/L,KH2PO41.5~2.2g/L,Na2HPO4·2H2O 1.5~2.2g/L,MgSO4·7H2O 0.6~1.1g/L,FeSO4·7H2O 0.005~0.012g/L,pH6.0~6.8,发酵罐的培养条件为温度36~38℃,搅拌转速450~550转/分,通气量为1.1~1.3vvm。2. rhamnolipid biosurfactant according to claim 1, is characterized in that, the fermentation medium of the Pseudomonas aeruginosa producing rhamnolipid is: vegetable oil 60~80g/L, NaNO3.5 ~ 4.5g/L, KH2 PO4 1.5~2.2g/L, Na2 HPO4 2H2 O 1.5~2.2g/L, MgSO4 7H2 O 0.6~1.1g/L, FeSO4 7H2 O 0.005~0.012g/L, pH 6.0~6.8, the culture conditions of the fermenter are temperature 36~38℃, stirring speed 450~550 rpm, ventilation volume 1.1~1.3vvm.3.一种如权利要求1所述的鼠李糖脂生物表面活性剂的应用,其特征在于鼠李糖脂生物表面活性剂用作生活垃圾的堆肥化处理,铜绿假单胞菌发酵培养的发酵液经离心除去菌体后,配制成0.1~0.6%的鼠李糖脂溶液,用垃圾重量的1~5%均匀混合到经分类的生活垃圾中。3. an application of rhamnolipid biosurfactant as claimed in claim 1, is characterized in that rhamnolipid biosurfactant is used as the composting treatment of house refuse, and the fermentation of Pseudomonas aeruginosa is cultivated After the fermented liquid is centrifuged to remove the bacterium, it is prepared into a 0.1-0.6% rhamnolipid solution, which is evenly mixed into the sorted domestic garbage with 1-5% of the weight of the garbage.
CNB031180426A2003-01-232003-01-23Biosurfactant of rhamnolipid and its application in artificial manure turned from house hold garbageExpired - Fee RelatedCN1207383C (en)

Priority Applications (1)

Application NumberPriority DateFiling DateTitle
CNB031180426ACN1207383C (en)2003-01-232003-01-23Biosurfactant of rhamnolipid and its application in artificial manure turned from house hold garbage

Applications Claiming Priority (1)

Application NumberPriority DateFiling DateTitle
CNB031180426ACN1207383C (en)2003-01-232003-01-23Biosurfactant of rhamnolipid and its application in artificial manure turned from house hold garbage

Publications (2)

Publication NumberPublication Date
CN1431036Atrue CN1431036A (en)2003-07-23
CN1207383C CN1207383C (en)2005-06-22

Family

ID=4790744

Family Applications (1)

Application NumberTitlePriority DateFiling Date
CNB031180426AExpired - Fee RelatedCN1207383C (en)2003-01-232003-01-23Biosurfactant of rhamnolipid and its application in artificial manure turned from house hold garbage

Country Status (1)

CountryLink
CN (1)CN1207383C (en)

Cited By (15)

* Cited by examiner, † Cited by third party
Publication numberPriority datePublication dateAssigneeTitle
CN1326995C (en)*2005-01-312007-07-18湖南大学Method for raising green trichoderma cellulase active by biological surfae active agent
CN102557772A (en)*2012-03-122012-07-11湖南大学Fermentation device for sludge compost treatment and treatment method using same
CN103232957A (en)*2013-04-182013-08-07中国科学院微生物研究所High-efficiency antibacterial rhamnolipid high-yield strain and application thereof
CN103305447A (en)*2013-07-042013-09-18江苏德鑫环保科技有限公司Organic waste degradation bacterium and preparation method thereof
CN103848701A (en)*2014-03-312014-06-11北京林业大学Preparation method of soilless plant cultivation substrate and substrate prepared by method
CN104887539A (en)*2015-06-242015-09-09陈竞Rhamnolipid-containing personal cleaning product and preparing method thereof
CN106396883A (en)*2016-08-302017-02-15山东胜伟园林科技有限公司Saline and alkaline soil improvement agent including soil loosening agent, and preparation method of soil improvement agent
CN106495871A (en)*2016-11-012017-03-15西北农林科技大学A kind of method of macrolide resistant gene and intI1 abundance in reduction Chicken Manure Compost
CN107497364A (en)*2016-06-142017-12-22洛阳华清天木生物科技有限公司A kind of composite biosurfactant and its application
CN107855073A (en)*2017-08-252018-03-30徐云丽Biological environmental production surfactant and preparation method thereof
CN108002946A (en)*2017-11-232018-05-08宿州市东方红肥业有限公司A kind of humic acid Water soluble fertilizer and preparation method thereof
CN109704875A (en)*2019-03-202019-05-03周口职业技术学院A kind of corps nutrient fertilizer
CN110615699A (en)*2019-09-062019-12-27广西大学Fermentation method of organic solid waste
CN112156719A (en)*2020-08-262021-01-01夏文杰Amphoteric glycolipid biosurfactant and preparation method thereof
CN114685214A (en)*2020-12-302022-07-01中国科学院沈阳应用生态研究所Biological digestion method of edible fungus chaff

Families Citing this family (1)

* Cited by examiner, † Cited by third party
Publication numberPriority datePublication dateAssigneeTitle
CN103088101B (en)*2013-01-182014-12-10北京林业大学Method for extracting natural saponin and biosurfactant composite product

Cited By (21)

* Cited by examiner, † Cited by third party
Publication numberPriority datePublication dateAssigneeTitle
CN1326995C (en)*2005-01-312007-07-18湖南大学Method for raising green trichoderma cellulase active by biological surfae active agent
CN102557772A (en)*2012-03-122012-07-11湖南大学Fermentation device for sludge compost treatment and treatment method using same
CN103232957A (en)*2013-04-182013-08-07中国科学院微生物研究所High-efficiency antibacterial rhamnolipid high-yield strain and application thereof
CN103232957B (en)*2013-04-182015-04-08中国科学院微生物研究所High-efficiency antibacterial rhamnolipid high-yield strain and application thereof
CN103305447A (en)*2013-07-042013-09-18江苏德鑫环保科技有限公司Organic waste degradation bacterium and preparation method thereof
CN103305447B (en)*2013-07-042015-08-05江苏德鑫环保科技有限公司A kind of Organic waste degradation bacterium and method for making thereof
CN103848701A (en)*2014-03-312014-06-11北京林业大学Preparation method of soilless plant cultivation substrate and substrate prepared by method
CN103848701B (en)*2014-03-312015-11-11北京林业大学A kind of preparation method of soilless plant cultivation matrix and the matrix prepared by the method
CN104887539B (en)*2015-06-242018-05-15陈竞A kind of rhamnolipid personal cleanliness articles for use and preparation method thereof
CN104887539A (en)*2015-06-242015-09-09陈竞Rhamnolipid-containing personal cleaning product and preparing method thereof
CN107497364A (en)*2016-06-142017-12-22洛阳华清天木生物科技有限公司A kind of composite biosurfactant and its application
CN106396883A (en)*2016-08-302017-02-15山东胜伟园林科技有限公司Saline and alkaline soil improvement agent including soil loosening agent, and preparation method of soil improvement agent
CN106495871A (en)*2016-11-012017-03-15西北农林科技大学A kind of method of macrolide resistant gene and intI1 abundance in reduction Chicken Manure Compost
CN107855073A (en)*2017-08-252018-03-30徐云丽Biological environmental production surfactant and preparation method thereof
CN107855073B (en)*2017-08-252023-08-11河北光大石化有限公司Biological environment-friendly surfactant and preparation method thereof
CN108002946A (en)*2017-11-232018-05-08宿州市东方红肥业有限公司A kind of humic acid Water soluble fertilizer and preparation method thereof
CN109704875A (en)*2019-03-202019-05-03周口职业技术学院A kind of corps nutrient fertilizer
CN110615699A (en)*2019-09-062019-12-27广西大学Fermentation method of organic solid waste
CN112156719A (en)*2020-08-262021-01-01夏文杰Amphoteric glycolipid biosurfactant and preparation method thereof
CN112156719B (en)*2020-08-262022-02-22夏文杰Amphoteric glycolipid biosurfactant and preparation method thereof
CN114685214A (en)*2020-12-302022-07-01中国科学院沈阳应用生态研究所Biological digestion method of edible fungus chaff

Also Published As

Publication numberPublication date
CN1207383C (en)2005-06-22

Similar Documents

PublicationPublication DateTitle
CN1207383C (en)Biosurfactant of rhamnolipid and its application in artificial manure turned from house hold garbage
Jia et al.Degradation of poly (butylene adipate-co-terephthalate) by Stenotrophomonas sp. YCJ1 isolated from farmland soil
Li et al.Cyanobacterial exopolysaccharides: their nature and potential biotechnological applications
CN104342392B (en)Microbacterium oxydans for degrading polycyclic aromatic hydrocarbon and application thereof
CN106754498B (en)Bacillus aryabhattai, microbial inoculum thereof, preparation method and application
Yu et al.Self-immobilized biomixture with pellets of Aspergillus niger Y3 and Arthrobacter. sp ZXY-2 to remove atrazine in water: a bio-functions integration system
CN101182560B (en) A kind of method that improves Pseudomonas aeruginosa to produce rhamnolipid
Colak et al.The use of raw cheese whey and olive oil mill wastewater for rhamnolipid production by recombinant Pseudomonas aeruginosa
CN105779356B (en)A kind of microorganism self-assembled nanometer material and its preparation method and application
CN108753662B (en)Low-temperature dimethyl phthalate high-efficiency degrading bacterium and fermentation method thereof
EP2360238A1 (en)A yellow pigments generation deficient sphingomonas strain and its application in the production of gellan gum
Hajieghrari et al.Enhanced biodegradation of n-Hexadecane in solid-phase of soil by employing immobilized Pseudomonas Aeruginosa on size-optimized coconut fibers
Prakash et al.Optimization and production of curdlan gum using Bacillus cereus PR3 isolated from rhizosphere of leguminous plant
Poli et al.Production and chemical characterization of an exopolysaccharide synthesized by psychrophilic yeast strain Sporobolomyces salmonicolor AL1 isolated from Livingston Island, Antarctica
Wu et al.Extracellular particles of polymeric material formed in n-hexadecane fermentation by Pseudomonas aeruginosa
CN112210515A (en)Bacterial strain for producing alginate lyase, alginate lyase and application thereof
CN107964516B (en) A kind of Acinetobacter and its application in degrading quorum sensing signal molecule DSF
CN111286476B (en)Pseudomonas aeruginosa for high-yield rhamnolipid and application thereof
CN1219886C (en)Composite biosurfactant and its application in compost
CN112175862B (en)Polypropylene high-efficiency degradation strain LICME 200610 WZH-4, microbial inoculum produced by same and application thereof
CN113388545A (en)Bacillus belgii and application thereof in cleaning low-concentration petroleum-polluted soil
CN1184324C (en)Lipopeptide biosurfactant and its application in making domestic garbage turn to compost
CN111690576A (en)Bacillus belgii MMB-51 for producing biosurfactant and application thereof
Smirnou et al.Chitin-Glucan complex production by Schizophyllum commune submerged cultivation
CN1891831A (en)Method for preparing rhamnolipid

Legal Events

DateCodeTitleDescription
C06Publication
PB01Publication
C10Entry into substantive examination
SE01Entry into force of request for substantive examination
C14Grant of patent or utility model
GR01Patent grant
C19Lapse of patent right due to non-payment of the annual fee
CF01Termination of patent right due to non-payment of annual fee

[8]ページ先頭

©2009-2025 Movatter.jp