Movatterモバイル変換


[0]ホーム

URL:


CN1281590C - Hexavalent amino amidate derivative with function of inhibiting blood vessel growth activity - Google Patents

Hexavalent amino amidate derivative with function of inhibiting blood vessel growth activity
Download PDF

Info

Publication number
CN1281590C
CN1281590CCN 02138671CN02138671ACN1281590CCN 1281590 CCN1281590 CCN 1281590CCN 02138671CN02138671CN 02138671CN 02138671 ACN02138671 ACN 02138671ACN 1281590 CCN1281590 CCN 1281590C
Authority
CN
China
Prior art keywords
rudimentary
amino
group
alkyl
phenyl
Prior art date
Legal status (The legal status is an assumption and is not a legal conclusion. Google has not performed a legal analysis and makes no representation as to the accuracy of the status listed.)
Expired - Lifetime
Application number
CN 02138671
Other languages
Chinese (zh)
Other versions
CN1502608A (en
Inventor
孙庄蓉
陶鸿光
Current Assignee (The listed assignees may be inaccurate. Google has not performed a legal analysis and makes no representation or warranty as to the accuracy of the list.)
Aichi Aibi Co ltd
Original Assignee
NANJING KAIHENG SCIENCE AND TRADE CO Ltd
Priority date (The priority date is an assumption and is not a legal conclusion. Google has not performed a legal analysis and makes no representation as to the accuracy of the date listed.)
Filing date
Publication date
Application filed by NANJING KAIHENG SCIENCE AND TRADE CO LtdfiledCriticalNANJING KAIHENG SCIENCE AND TRADE CO Ltd
Priority to CN 02138671priorityCriticalpatent/CN1281590C/en
Publication of CN1502608ApublicationCriticalpatent/CN1502608A/en
Application grantedgrantedCritical
Publication of CN1281590CpublicationCriticalpatent/CN1281590C/en
Anticipated expirationlegal-statusCritical
Expired - Lifetimelegal-statusCriticalCurrent

Links

Landscapes

Abstract

The present invention relates to hexavalent aminoamide derivatives, a preparation process thereof, medicines by using the hexavalent aminoamide derivatives as active components, and a method for treating diseases in the aspect of angiogenesis or high vascular permeability by the hexavalent aminoamide derivatives. The present invention also relates to the purpose of the hexavalent aminoamide derivatives as the medicines, and medicines which comprise the hexavalent aminoamide derivatives are prepared and used for treating the diseases of angiogenesis and vascular permeability of warm-blood animals, such as people.

Description

Have six Yuans amino amides analog derivatives that suppress angiogenic activity
Technical field
The invention relates to six Yuans amino amides analog derivatives, they the preparation process, with them as the medicine of activeconstituents and the method by their treatment vasculogenesis or high vascular permeability aspect disease.Also relate to their purposes, and make the medicine contain them and reduce homoiothermous vasculogenesis and vascular permeability disease resemble people as medicine.
Background technology
Common vasculogenesis has been brought into play vital role in various processes, for example the main component of the healing of embryo's growth, wound and female reproduction function.Bad or ill vasculogenesis all is related with disease, for example the retinopathy, psoriasis, cancer, rheumatoid arthritis, the atheroma that cause of diabetes.The formation of new blood vessel and perviousness thereof are mainly regulated by vascular endothelial growth factor element (VEGF), and tumor vascular generation has two different acceptors: VEGF-R1 (fms-like Tyrosylprotein kinase, Flt-1) and VEGF-R2 (the kinases area under one's jurisdiction, KDR/ fetus liver kinases-1, Flk-1).VEGF KDR acceptor is that vascular endothelial cell is distinctive (referring to Farrara et al.Endocr.Rev.1992,13,18; Neufield et al.FASEB.J.1999,13,9).
The special VEGF-A of VEGF and Geng Duo exists with the form of three kinds of isomer (by changing and connecing) in the mankind, and their name is that the numeral according to amino acid group decides: VEGF121, VEGF165 and VEGF189.These three kinds of isomer are according to the combination and the diffustivity of heparin different functionalities being arranged.Placenta growth factor (PIGF) only combines with VEGF-R1/Flt-1.
The expression of VEGF is to be caused by anoxic (Shweiki etc., Nature 1992,359,843) and cytokine, growth factor diversity, interleukin 1 for example, interleukin-6, epidermal growth factor and abnormal growth factor α, abnormal growth factor β.
The vegf receptor membrane boundary is present in active endothelial cell surface, and has controlled intracellular tyrosine kinases area under one's jurisdiction. and this conduction for signal in the cell is very necessary.Reasonable argumentation VEGF dimer is to be polymerized by two acceptor molecules, and it has caused the part autophosphorylation connection of SH2 repressible protein matter thereupon in the recipient cell.Phospholipase C, the follow-up phosphorylation of phosphatidylinositol 3-kinase and guanosine triphosphatase active protein (GAP) is proved to be.
A lot of human tumors, particularly neurospongioma and cancer demonstrate the VEGF and the acceptor thereof of higher degree.The hypothesis of drawing thus is that VEGF is discharged by tumour cell, and it has stimulated the growth of capillary vessel, with the side
A lot of human tumors, particularly neurospongioma and cancer demonstrate the VEGF and the acceptor thereof of higher degree.The hypothesis of drawing thus is that VEGF is discharged by tumour cell, it stimulated capillary vessel growth, accelerated growth of tumor with the form hyperplasia tumor endothelial cell of paracrine and by the supply that increases blood.The VEGF phenomenon that has increased can explain why the neurogliosis people cerebral edema can take place.Research to VEGF phenomenon or VEGF activity inhibited can prove directly that the VEGF role is exactly an in-vivo tumour vasculogenesis factor.Its success is VEGF antibody, suppresses signal transduction dominance-negative VEGF-2 mutant, the anti-VEGF of pitching RNA technology.All methods all can reduce the growth of glioma cell line or other interior tumor cells system, suppress tumor-blood-vessel growth to the greatest extent.There are three main mechanism playing an important role aspect active: 1, to suppress the growth, particularly capillary vessel of vascular, finally like the balance do not have a purified tumor growth owing to existing between necrocytosis and the hyperplasia like this at antineoplastic angiogenesis inhibitor.Thereby 2, owing to flow to, flow out the migration that the leiphemia of tumour has stoped tumour cell.3, suppress the hyperplasia of endotheliocyte, thereby avoid the paracrine effect of the endotheliocyte in the surrounding tissue.
Summary of the invention
The object of the present invention is to provide a class to have six Yuans amino amides analog derivatives that suppress angiogenic activity.
Another object of the present invention provides class preparation and has the method for six Yuans amino amides analog derivatives that suppress angiogenic activity.
Further purpose of the present invention provides said medicament on the class pharmaceutics.
Another object of the present invention provides a class to be had six Yuans amino amides analog derivatives that suppress angiogenic activity and increases caused disease in the preparation treatment by angiogenic growth and vascular permeability: cancer, diabetes, psoriasis, rheumatoid arthritis, Kaposi sarcoma, the protoheme vascular tumor, the acute and chronic ephrosis, atheroma, stricture of artery, the autoimmunization systemic disease, acute inflammation, the degree of depth scratches and adhesion, lymphoma, endomitosis, anovulatory dysfunctional uterine hemorrhage, the purposes of the medicine aspect of the eye disease that retina pipe hyperplasia causes.
Anthranilic acid and the example that nicotinic acid derivates and this patent application have similar structure are revealed in following patent application.(WO 0027819, and WO 0027820, and WO 0155114, and WO 0185671, WO0185691 and WO 0185715)
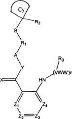
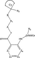
Compounds general structure (I) is by following structure representative
Figure C0213867100101
General formula (I)
Wherein
X is O or S;
Y is-N (R4)-,
Z1, Z2, Z3, Z4Be CR independently5Or N;
A is direct chemical bond, rudimentary alkylene alkyl, rudimentary inferior alkylene;
B is direct chemical bond, rudimentary alkylene alkyl, rudimentary inferior alkylene; Below one of these groups :-O-,-N (R4)-,-C (O)-,-C (O) N (R4)-,-OC (O) N (R4)-,-N (R4) C (O)-,-N (R4) (CO) O-,-N (R4) (CO) N (R4)-,-S (O)-,-S (O2)-,-S (O) N (R4)-,-S (O2) N (R4)-,-N (R4) S (O)-,-N (R4) S (O2)-,-N (R4) S (O) N (R4)-,-N (R4) S (O2) N (R4)-;
R1Represent a cycloalkyl, a cycloalkenyl group, an aryl or a heterocyclic radical;
Cy representative-individual cycloalkyl, a cycloalkenyl group, a heterocyclic radical or (work as R2When the end replaces) triple bond;
R2Be rudimentary haloalkyl, rudimentary alkyl, rudimentary thiazolinyl, rudimentary alkynyl; Cyano group, rudimentary alkane cyano group; Hydroxyl, rudimentary alkane hydroxyl, rudimentary alkoxyl group, rudimentary alkyl alkoxy, rudimentary alkoxyalkoxy group, rudimentary alkyl alkoxyalkoxy group; Rudimentary alkoxy amino, rudimentary alkoxy amino alkyl, rudimentary alkoxy amino dialkyl group, rudimentary alkyl alkoxy amino, rudimentary alkyl alkoxy aminoalkyl group, the amino dialkyl group of rudimentary alkyl alkoxy: rudimentary alcoxyl acyl alkyl, carboxyl, acyloxyalkyl group; Rudimentary alkyl alcoxyl acyl alkyl, carboxyl, acyloxyalkyl group: amino, carbamyl, ammonia acyloxy, urea groups; Lower alkyl amino, carbamyl, ammonia acyloxy, urea groups; N-is single to replace or N the disubstituted amino of N-, carbamyl, urea groups; Sulfydryl, sulfo group; Carbonylic alkyl, rudimentary alkyl-carbonyl alkyl; Cycloalkyl, cycloalkenyl group, aryl or heterocyclic radical; And some positions of these groups can optionally be replaced;
R1And R2Can be joined together to form one and contain C, N, the condensed ring G of O or S, the ring G can be saturated or fractional saturation and can be do not have substituent, mono-substituted or polysubstituted;
V is C, N or SO2
W and W ' can be hydrogen independent of each other, halogen or low alkyl group; Perhaps link and form a cycloalkyl, cycloalkenyl group or heterocycle by carbon atom;
N represents integer 0~6;
R3Be aryl or heterocyclic radical;
R4Be hydrogen or low alkyl group;
R5Be hydrogen, halogen, or low alkyl group;
Perhaps a kind of pharmaceutically acceptable salt.
Detailed introduction of the present invention:
This invention is directly about a class new compound, they can suppress vegf receptor tyrosine kinase, and utilize these compounds to suppress vasculogenesis and treat tumprigenicity or hyperplasia or chronic inflammation or the angiogenic disease that is caused by too much or unsuitable vasculogenesis in the auxilliary newborn animal.
In compound structure general formula (1) formula,
X is O or S, preferably O;
Y is-N (R4)-, preferably-NH-;
Z1, Z2, Z3, Z4Be CR independently5Or N; Best Z1, Z2, Z3Be C, Z4Be C or N; R5Low alkyl group preferably, F or Cl;
A is direct chemical bond, rudimentary alkylene alkyl, rudimentary inferior alkylene; Preferably direct chemical bond, rudimentary alkylidene group;
B is direct chemical bond, rudimentary alkylene alkyl, rudimentary inferior alkylene; Below one of these groups:
-O-,-N(R4)-,-C(O)-,-C(O)N(R4)-,-OC(O)N(R4)-,-N(R4)C(O)-,-N(R4)(CO)O-,-N(R4)(CO)N(R4)-,-S(O)-,-S(O2)-,-S(O)N(R4)-,-S(O2)N(R4)-,-N(R4)S(O)-,-N(R4)S(O2)-,-N(R4)S(O)N(R4)-,-N(R4)S(O2)N(R4)-;
R1Representation ring alkyl, cycloalkenyl group, aryl or heterocyclic radical; Preferably by the phenyl ring of following group selectivity ground replacement: halogen, rudimentary haloalkyl, rudimentary alkyl, rudimentary thiazolinyl, rudimentary alkynyl, cyano group, rudimentary alkane cyano group; Hydroxyl, rudimentary alkane hydroxyl, rudimentary alkoxyl group, rudimentary alkyl alkoxy, rudimentary alkoxyalkoxy group, rudimentary alkyl alkoxyalkoxy group, rudimentary alkoxy amino, rudimentary alkoxy amino alkyl, rudimentary alkoxy amino dialkyl group, rudimentary alkyl alkoxy amino, rudimentary alkyl alkoxy aminoalkyl group, the amino dialkyl group of rudimentary alkyl alkoxy; Rudimentary alcoxyl acyl alkyl, carboxyl, acyloxyalkyl group; Rudimentary alkyl alcoxyl acyl alkyl, carboxyl, acyloxyalkyl group; Amino, carbamyl, ammonia acyloxy, urea groups; Lower alkyl amino, carbamyl, the ammonia acyloxy, urea groups: N-is single to replace or N the disubstituted amino of N-, carbamyl, urea groups, sulfydryl, sulfo group; Carbonylic alkyl, rudimentary alkyl-carbonyl alkyl; Cycloalkyl, cycloalkenyl group, aryl or heterocyclic radical, and some positions of these groups can optionally be replaced;
Cy represents a cycloalkyl, cycloalkenyl group, a heterocyclic radical or (work as R2When the end replaces) triple bond, preferably cyclopentyl, cyclobutyl, cyclopropyl or pentacyclic lactan, interior acyl ester or acetylene.
R2It is rudimentary haloalkyl, rudimentary alkyl, rudimentary thiazolinyl, rudimentary alkynyl, cyano group, rudimentary alkane cyano group: hydroxyl, rudimentary alkane hydroxyl, rudimentary alkoxyl group, rudimentary alkyl alkoxy, rudimentary alkoxyalkoxy group, rudimentary alkyl alkoxyalkoxy group, rudimentary alkoxy amino, rudimentary alkoxy amino alkyl, rudimentary alkoxy amino dialkyl group, rudimentary alkyl alkoxy amino, rudimentary alkyl alkoxy aminoalkyl group, the amino dialkyl group of rudimentary alkyl alkoxy: rudimentary alcoxyl acyl alkyl, carboxyl, acyloxyalkyl group; Rudimentary alkyl alcoxyl acyl alkyl, carboxyl, acyloxyalkyl group: amino, carbamyl, ammonia acyloxy, urea groups; Lower alkyl amino, carbamyl, ammonia acyloxy, urea groups; N-is single to replace or N the disubstituted amino of N-, carbamyl, urea groups, sulfydryl, sulfo group; Carbonylic alkyl, rudimentary alkyl-carbonyl alkyl; Cycloalkyl, cycloalkenyl group, aryl or heterocyclic radical, and some positions of these groups can optionally be replaced;
R1And R2Can be joined together to form one and contain C, N, the condensed ring G of O or S, the ring G can be saturated or fractional saturation and can be do not have substituent, mono-substituted or polysubstituted;
Ring G can be five or six rings to 7 yuan of rings, and a substituting group or a plurality of substituting group can be arranged, these substituting groups independent of each other are halogens, rudimentary haloalkyl, rudimentary alkyl, rudimentary thiazolinyl, rudimentary alkynyl, cyano group, rudimentary alkane cyano group; Hydroxyl, rudimentary alkane hydroxyl, rudimentary alkoxyl group, rudimentary alkyl alkoxy, rudimentary alkoxyalkoxy group, rudimentary alkyl alkoxyalkoxy group, rudimentary alkoxy amino, rudimentary alkoxy amino alkyl, rudimentary alkoxy amino dialkyl group, rudimentary alkyl alkoxy amino, rudimentary alkyl alkoxy aminoalkyl group, the amino dialkyl group of rudimentary alkyl alkoxy; Rudimentary alcoxyl acyl alkyl, carboxyl, acyloxyalkyl group; Rudimentary alkyl alcoxyl acyl alkyl, carboxyl, acyloxyalkyl group; Amino, carbamyl, ammonia acyloxy, urea groups; Lower alkyl amino, carbamyl, ammonia acyloxy, urea groups; N-is single to replace or N the disubstituted amino of N-, carbamyl, urea groups, sulfydryl, sulfo group; Carbonylic alkyl, rudimentary alkyl-carbonyl alkyl; Cycloalkyl, cycloalkenyl group, aryl or heterocyclic radical, and some positions of these groups can optionally be replaced;
V is C, N or SO2C preferably;
W and W ' can be hydrogen independent of each other, halogen or low alkyl group; Perhaps link and form a cycloalkyl, cycloalkenyl group or heterocycle by carbon atom; Preferably hydrogen or fluorine;
N represents 0~6 integer; Preferably 0,1,2 or 3;
R3Be aryl or heterocyclic radical, preferably pyridyl, pyrimidyl, quinolyl, quinazolyl or phenyl;
R4Be hydrogen or low alkyl group, preferably hydrogen;
R5Be hydrogen, halogen, or low alkyl group, preferably hydrogen or fluorine.
Perhaps a kind of pharmaceutically acceptable salt.
" halogen " is not meant fluorine, chlorine, bromine or iodine, preferably fluorine and chlorine if this vocabulary illustrates in addition here.
" low-grade halogenated alkyl " explanation is not meant the alkyl that 1 to 6 halogen replaces, for example trifluoromethane if this vocabulary has in addition here.
" rudimentary alkyl " explanation is not meant that carbonatoms is 1 to 6 saturated alkyl if this vocabulary has in addition here, it can be (comprising monocycle and many rings) straight chain, Cheng Huan or the alkyl that side chain is arranged in other words, including, but not limited to methyl, ethyl, n-propyl, sec.-propyl, normal-butyl, isobutyl-, the tertiary butyl and analogue thereof.
" rudimentary thiazolinyl " explanation is not meant with defined those groups of top rudimentary alkyl if this vocabulary has in addition here, but the wherein the rarest carbon-carbon double bond.
" rudimentary alkynyl " explanation is not meant with defined those groups of top rudimentary alkyl if this vocabulary has in addition here, but the wherein the rarest carbon carbon triple bond.
" rudimentary alkoxyl group " explanation is not meant-the rudimentary alkyl of O-that rudimentary alkyl is same as above here if this vocabulary has in addition here.
" rudimentary alkyl alkoxy " explanation is not meant the alkyl that rudimentary alkyl-O-is rudimentary if this vocabulary has in addition here, and the rudimentary alkyl here is with as defined above identical.
" rudimentary alkoxyalkoxy group " explanation is not meant-the rudimentary rudimentary alkyl of alkyl-O-of O-that the rudimentary alkyl here is with as defined above identical if this vocabulary has in addition here.
" low alkyl group alkoxyalkoxy group " explanation is not meant the rudimentary alkyl of the rudimentary alkyl-O-of rudimentary alkyl-O-if this vocabulary has in addition here, and the rudimentary alkyl here is with as defined above identical.
" rudimentary alkoxy amino " explanation is not meant-the rudimentary alkyl-NH of O-if this vocabulary has in addition here2, the rudimentary alkyl here is with as defined above identical.
" rudimentary alkoxy amino alkyl " explanation is not meant-the rudimentary rudimentary alkyl of alkyl-NH-of O-that the rudimentary alkyl here is with as defined above identical if this vocabulary has in addition here.
" rudimentary alkoxy amino dialkyl group " explanation is not meant-the rudimentary alkyl-N of O-if this vocabulary has in addition here, the alkyl that N-two is rudimentary, and the rudimentary alkyl here is with as defined above identical.
" rudimentary alcoxyl acyl alkyl, carboxyl, acyloxyalkyl group " explanation is not meant if this vocabulary has in addition here-OC (=O)-rudimentary alkyl ,-C (=O)-OH and-(=O) the rudimentary alkyl of O-, the rudimentary alkyl here is with as defined above identical for C.
" rudimentary alkyl alcoxyl acyl alkyl; carboxyl; acyloxyalkyl group " if these vocabulary here do not have in addition explanation be meant rudimentary alkyl-OC (=O)-rudimentary alkyl, low alkyl group-C (=O)-(=O) the rudimentary alkyl of O-, the rudimentary alkyl here and rudimentary alkoxyl group are with as defined above identical for OH and rudimentary alkyl-C.
" amino, carbamyl, ammonia acyloxy, urea groups " explanation is not meant the derivative of primary amine if these vocabulary have in addition here, but is not limited to-NH2,-C (=O) NH2,-OC (=O) NH2,-NHC (=O) NH2
" lower alkyl amino, carbamyl, ammonia acyloxy, urea groups " explanation is not meant the derivative of alkyl primary amine if these vocabulary have in addition here, but is not limited to rudimentary alkyl-NH2, rudimentary alkyl-OC (=O)-NH2, rudimentary alkyl-OC (=O)-NH2, rudimentary alkyl-NHC (=O)-NH2, the rudimentary alkyl here is with as defined above identical.
" carbonylic alkyl " explanation is not meant if this vocabulary has in addition here-C (=O)-and rudimentary alkyl. the rudimentary alkyl here is with as defined above identical.
" rudimentary alkyl-carbonyl alkane very " if this vocabulary here do not have in addition explanation be meant rudimentary alkyl-C (=O)--low alkyl group, the rudimentary alkyl here is with as defined above identical.
" aryl " if this vocabulary here not in addition explanation be meant that an organic group removes deriving of hydrogen and comes from aromatic hydrocarbon.
Phenyl or naphthyl for example, they can not have substituting group, and a substituting group is arranged, and two substituting groups or three substituting groups are arranged.Substituting group can be selected from more following groups: halogen, rudimentary haloalkyl, rudimentary alkyl, rudimentary thiazolinyl, rudimentary alkynyl, cyano group, rudimentary alkane cyano group; Hydroxyl, rudimentary alkane hydroxyl, rudimentary alkoxyl group, rudimentary alkyl alkoxy, rudimentary alkoxyalkoxy group, rudimentary alkyl alkoxyalkoxy group, rudimentary alkoxy amino, rudimentary alkoxy amino alkyl, rudimentary alkoxy amino dialkyl group, rudimentary alkyl alkoxy amino, rudimentary alkyl alkoxy aminoalkyl group, the amino dialkyl group of rudimentary alkyl alkoxy; Rudimentary alcoxyl acyl alkyl, carboxyl, acyloxyalkyl group; Rudimentary alkyl alcoxyl acyl alkyl, carboxyl, acyloxyalkyl group; Amino, carbamyl, ammonia acyloxy, urea groups; Lower alkyl amino, carbamyl, ammonia acyloxy, urea groups; N-is single to replace or N the disubstituted amino of N-, carbamyl, urea groups, sulfydryl, sulfo group; Carbonylic alkyl, rudimentary alkyl-carbonyl alkyl; Cycloalkyl, cycloalkenyl group, phenyl ring, phenoxy group, benzene sulfydryl, the alkyl thiol that phenyl is rudimentary, rudimentary alkylbenzene sulfydryl, rudimentary alkyl sulfinyl, benzene sulfinyl, the alkyl sulfinyl that phenyl is rudimentary, rudimentary alkyl phenyl sulfinyl, rudimentary alkane alkylsulfonyl, benzenesulfonyl, the alkyl sulphonyl that phenyl is rudimentary, rudimentary benzene sulfonamide acyl group, heterocycle; Aromatic nucleus comprises an aromatic nucleus and a cycloaliphatic ring multiviscosisty, as the ring of saturated or fractional saturation: as tetrahydric naphthalene ring.
" N-is single to replace or N the disubstituted amino of N-, carbamyl; urea groups, sulfydryl, sulfo group ", these vocabulary here were the derivatives that comprises secondary nitrogen or uncle's nitrogen; for example, but be not limited to-C (=O) NH-,-NHC (=O)-,-OC (=O) NH-,-NHC (=O) O-,-NHS (=O)2-,-S (=O)2NH-or-C (=O) N (-)2, (-)2NC (=O)-,-OC (=O) N (-)2, (-)2NC (=O) O-, (-)2NS (O)2-,-S (O)2N (-)2, the aryl substituent that substituting group can replace two ends and those above definition is applicable to all that here best is halogen, low alkyl group, lower alkoxy.
" cycloalkyl " explanation is not meant the cycloalkyl that contains 3~8 carbon atoms if this vocabulary has in addition here, including, but not limited to cyclopropane, tetramethylene, pentamethylene, hexanaphthene and analogue thereof.These cycloalkyl can have a substituting group, or a plurality of substituting group, and the aryl substituent of those above definition is applicable to all that here better substituting group is halogen, low alkyl group, lower alkoxy.
" heterocyclic radical " is not meant non-aromatic ring, monocycle and condensed ring if this vocabulary illustrates in addition here, and each ring has four heteroatomss at most.Each heteroatoms can be independent O, N and S, has individual ring can not have substituting group or three substituting groups are arranged at most.Each heterocycle can be 4 yuan of ring to 7 yuan rings, preferably 5 yuan are encircled or 6 yuan of rings, each heterocyclic group can have carbocyclic ring but a heterocycle saturated or fractional saturation must be arranged, heterocycle comprises monocycle, dicyclo or trinucleated heteroaromatic ring system, best is a ring or two rings, and heterocyclic atom is O, N and S.Each ring can have 4~7, preferably 5 or 6 annular atomses.Dicyclo or three-loop system can comprise a carbocyclic ring, carbocyclic ring can be a cycloalkyl, cycloalkenyl group or aryl, the example of heterocyclic radical comprises: tetramethyleneimine, pyrrolidone, piperidines, piperidone, piperazine, morpholine, imidazolidine, pyrazolidine and glycolylurea, the pyrroles, indoles, pyrazoles, the indoles azoles, triazole, benzotriazole, imidazoles, benzoglyoxaline, thiophene, thionaphthene, thiazole, benzothiazole, furans, cumarone, oxazole, benzoxazoles, isoxzzole, tetrazolium, pyridine, pyrimidine, three pyridines, quinoline, isoquinoline 99.9, quinazoline, indoline, dihydroindolone, the benzo tetrahydrofuran (THF), tetrahydroquinoline, tetrahydroisoquinoline, benzo (methylenedioxy) ring.Heterocycle can be replaced by the selected property of the aryl substituent of above definition ground.
Vitro detection
The detection of kinase activity is to be published in Acta Pharmacological Sinica (2002) according to opening to wait, the method operation that 23 (2) .117-123 describe.
Experimentation on animals
Compound and tween 80,0.5%CMC are mixed into suspension.Select male white mouse (19-21g) for use.The ascites of mouse of suffering from liver cancer HAC is with the dilution of 0.9% sodium chloride solution (1: 4), and gives every mouse subcutaneous injection 0.2ml.All mouse (n=20) are divided into experimental group and control group at random.Continuously rise second day after the injection tumour 7 days, and the mouse of experimental group feeds to medicine once by the dosage of 25ml/Kg every day.Also will give every mouse weighing amount every day.The tumour that kills all mouse after ten days and take them is taken out and weighing, calculates the difference on the anti-cancer active matter ratio.
Compound and tween 80,0.5%CMC are mixed into suspension.Select healthy female white mouse (17-19g) for use.Human LOVO colorectal carcinoma ascites is diluted with 0.9% sodium chloride solution (1: 4), and gives every mouse subcutaneous injection 0.2ml.All mouse (n=12) are divided into experimental group and control group at random.Continuously rise second day after the injection tumour 18 days, and the mouse of experimental group feeds to medicine once by the dosage of 25ml/Kg every day.Also will give every mouse weighing amount every day.Kill all mouse on the 21st day and took all scales that their tumour more organizes once, calculate the difference on the anti-cancer active matter ratio.
The compound of general structure (I) can use separately or with one or more therapeutical agent compatibilities, compatibility treat available fixed form or with the compound among the present invention and one or more therapeutical agents stagger use or independently a kind use, or with fixed compatibility and the use of one or more therapeutical agent compatibilities.The compound of structure I is not limited to, especially in the oncotherapy with chemotherapy, radiotherapy, operation or with the use of the mixed phase compatibility of these means.Aforesaid way is according to the situation of therapeutic modality, and long-term treatment is identical possible with adjuvant treatment.Other possible treatment is the identity that keeps patient behind the tumour regression, or even the chemoprophylaxis treatment, for example, patient assumes full responsibility for risks.
Compound of the present invention not only is used for the mankind and is used for other warm-blooded animal, for example commercial useful animal.This compound can be used as reference standard and the contrast of other compound in experiment described above.
Salt is general structure (I) pharmacy acceptable salt especially.Pharmacy acceptable salt to the people who is proficient in this art be clearly and comprise that those are described in J.Pharm.Sci., 1977,66,1-19, the acid additive salt that forms with mineral acid for example, example hydrochloric acid, Hydrogen bromide, sulfuric acid, nitric acid or phosphoric acid; Organic acid, as succsinic acid, toxilic acid, acetic acid, fumaric acid, citric acid, Citric Acid, tartrate, phenylformic acid, Phenylsulfonic acid, methylsulfonic acid or naphthene sulfonic acid.May use other salt, for example isolated or purified structure (I) and comprising belongs to the compound in the scope of the invention.
Compound of the present invention may be xln or noncrystal, if arbitrarily hydration or water-soluble of crystal.This invention has comprised its scope stoichiometric calculation hydrate, the water that this compound has uncertain amount.
The present invention extends to the isomeric forms of compound in all general structures (I), and steric isomer and geometrical isomer comprise enantiomorph and its mixture, as raceme.Different isomeric forms can separate or splits with ordinary method, specified isomer can with conventional synthetic method special space is synthetic or asymmetric synthesis or enzyme catalysis synthesize obtain.
The medicament preparation
Can prepare and the relevant non-toxic precursors medicine of general structure (I) compound with various manual methods.The people who is proficient in this art can recognize that equally a variety of nontoxic solvents can be used for dissolving the compound of discovery, water for example, ethanol, inorganic oil, vegetables oil, methyl-sulphoxide.
Compound with general structure (I) can be by the mode of suction, spraying or rectum, and the outer drug administration by injection of per os, part or intestines, the composition of medicine should be convenient nontoxic suitable medium thing, adjuvant and vehicle.Peroral administration formulation is tablet, capsule, elixir, syrup, lozenge etc.Here the outer injecting method of used intestines comprises in subcutaneous injection, the skin, technology is similarly injected or inculcated to (for example intravenously), intramuscular in the blood vessel, backbone, intrathecal injection or other.In addition, compound and the suitable carrier that provides a kind of combination to comprise general structure (I) here.One or more compounds with general structure (I) should have a kind of oral formulation that is fit to, for example suspension, loose powder or the particulate of tablet, medicament, lozenge, water or oil, emulsion, hard or soft capsule, syrup or elixir.
Be used for oral medicine and can adopt any known pharmaceutical methods production, medicine should comprise more than one following selected composition: sweeting agent, essence, pigment and sanitas can provide the finished product of an exquisiteness like this.Tablet comprises activeconstituents, and tablet is the mixture that contains nontoxic suitable vehicle, and these vehicle make that tablet is easy to produce.These vehicle can be inert diluents, for example lime carbonate, yellow soda ash, lactose, calcium phosphate or sodium phosphate; Granular and disintegrating agent such as W-Gum or alginic acid; Tackiness agent is starch, gelatin for example; Lubricant such as Magnesium Stearate, stearic acid and talcum.Tablet is dressing or dressing not, and well-known packaging technique has been postponed medicine in GI disintegration and absorption, makes it keep activity in long-time, and these postpone material such as glyceryl monostearate or the distearin etc. that decompose.
Being used for oral formulation can be the capsule that hard gelatin is made, its activeconstituents is blended in the inert solid diluent, for example lime carbonate, calcium phosphate or kaolin, or soft its activeconstituents of gelatin capsule is blended in water or the oily medium, for example peanut oil, whiteruss or sweet oil.Manufacturing comprises the waterborne suspension of activeconstituents and uses the vehicle that is fit to make usefulness.These vehicle are for example Xylo-Mucine, sodium carboxymethylcellulose pyce, hydrogen propyl methocel sodium, sodiun alginate, Povidone, tragcanth and gum arabics of suspension agent; Dispersion agent and wetting agent should be a kind of phosphatide that forms naturally, for example Yelkin TTS; Or the enriched material of lipid acid and alkylene oxide compound, for example polyoxyethylene stearic acid ester; Or have the ethylene oxide enriched material of long-chain fat family alcohol, for example 17 carbon vinyloxy grouies, 16 alcohol; Or the derivative polyoxyethylene sorbitol for example of part ester in ethylene oxide and lipid acid and the hexitol; Or ethylene oxide and the part ester that from lipid acid and hexitan, derives, for example polyoxyethylene sorbitol.Waterborne suspension should comprise one or more sanitass with sample, and for example vinyl, n-propyl, para hydroxybenzene phenol also should comprise one or more pigments, one or more essence and one or more sweeting agents such as sucrose or asccharin.
The formation of oily suspensions is that activeconstituents is suspended in the vegetables oil, for example peanut oil, sweet oil, sesame oil, Oleum Cocois or as the mineral oil of whiteruss.Oily suspensions should have thickening material, for example beeswax, solid paraffin, hexadecyl ethanol.Above-mentioned sweeting agent and seasonings should be added in the good to eat oral patent medicine of regulation.These compositions should reach the rot-resistant purpose by adding antioxidant such as Vc.
Loose powder and particle are added some powder or wet medicament, suspension medicament and at least a sanitas through the suspension that water forms, and the mixture of making can provide active substance.Concrete suitable powder, humectant and suspension preamble listed, and the other additive also can be added as sweeting agent, essence, pigment or the like.
This new the effective elements of the medicine also can make the form of emulsion, and finish can be selected rape oil (as sweet oil, fatty alcohol) or mineral oil (as whiteruss) for use.Suitable emulsifying agent is the latex that nature forms, as gum arabic, tragcanth; Naturally form phosphatide such as soybean, Yelkin TTS and from lipid acid, derive and the ester class of coming; Acid anhydride is sorbitol for example.If this emulsion also can sweeting agent and essence.
Syrup and fragrance are produced by sweeting agent, and sweeting agent can be glycerine, 1,2-propylene glycol, Sorbitol Powder or sucrose.The medicament of this class also can add sustained release dosage, sanitas, essence and pigment.
This new the effective elements of the medicine can also be made suppository, is applicable to rectum and vagina.Stype is mixed by medicine and non-irritating forming agent.This forming agent is solid at normal temperatures, then becomes liquid in the temperature of rectum or vagina, and stype has just melted and discharged the property of medicine like this.This type of raw material comprises theobroma oil and polyoxyethylene glycol.
This medicine also can make aseptic, injectable watery or oily suspension.Suitable powder or humectant and solution formation that this suspension can adopt known technology to use preamble to mention.This aseptic injectable finished product also can be aseptic diluent or solution, for example 1,3-butanediol solution.Adoptable vehicle and solvent are the sodium chloride solutions of water, Ringer's solution and isotonicity, and aseptic in addition solid-state finish is used as solvent or suspension medium usually.Any non-irritating solid finish that comprises artificial glyceryl ester or triglyceride all generally is suitable for.The lipid acid that resembles this class of oleic acid in addition helps injecting this kind medicine.
This kind medicine also can be proficient in the human of this art in percutaneous injection (Chien; WO 94/04157).
The compound of general structure (I) can use without enteron aisle by sterile carrier.Attached to suspending or be dissolved in the carrier on the carrier and through spissated medicine, advantageously some adjuvants such as local anesthetic, sanitas, buffer reagent also can be dissolved in the carrier.
If be used on one's body the animal, this medicine can be added in the food and water of animal.Medicine must be convenient to combine with the diet of animal, to such an extent as to just can take in suitable medicine the animals eat thing time.If medicine is made a kind of thing that is pre-mixed just is more convenient for being added in water and the food.
Here in the usage of being spoken of about the compound of general structure (I), the taking dose of every day preferably according to body weight from 0.01mg/kg to 200mg/Kg.The injected dose of every day comprises that intravenous injection, intramuscular injection, subcutaneous injection and injection of non-enteron aisle and bowel lavage art etc. need according to whole body weight from 0.01mg/Kg to 200mg/Kg.The local consumption of every day preferably one to four time from 0.01mg to 200mg every day.The enriched material that uses through skin preferably keeps one day metering at 0.01-200mg/Kg.The amount of suck using every day best according to body weight from 0.01mg/Kg to 200mg/Kg.
Certainly also can use different dosage for special patient, this depends primarily on following factors: concrete effective constituent, age, body weight, healthy state, sex, appetite, medicine time, medicining mode, excretion rate, medication taboo.
Better this compounds should have some pharmacological characteristics, and these characteristics comprise oral bioavailability rate, hypotoxicity, low serum protein solidifiability and vivo and vitro transformation period and other preferably.
Analytical method can be used for predicting needed pharmacology attribute.The method that is used to predict bioavailability comprises by monolayer cell in the human body intestines transports, as the Caco-2 monolayer cell.The check of artificial liver cell toxicity can be used for the toxicity of predictive compound.This compound can be by detecting after breadboard this medicine of animal intravenous injection to the influence of blood viscosity.
The serum protein degree of adhesion can be predicted by the analysis of protein degree of adhesion.Correlation analysis can be commented on referring to Oravcova.
The transformation period of compound and the frequency of taking are inversely proportional to.Vitro half-lives can be by external metabolic transformation period analyses and prediction, and raw material can change and increase some steps to make this compound, can prove by following example.
Overall preparation method
Preparation general rule of the present invention is described in reaction formula 1,2, and 3,4 and 5.The people who is proficient in this art will find that from following example starting raw material may change, and prepare compound of the present invention and may use more step.
Figure C0213867100181
Reaction formula 1
In the reaction formula 1 aminoamide derivatives general formula (II) and carbonyl compound general formula (III) (as aldehyde) at reductive agent (as NaBH3CN) under the condition, use alcohol solvent (as methyl alcohol), to 100 degree Celsius, react, can get final product in room temperature.
Reaction formula 2
Halo in the reaction formula 2 (halo) amide derivatives general formula (IV) and aminoderivative [R3(VWW ') nNH2] in alcohol solvent (as Virahol), reaction between centigradetemperature from 60 to 180 degree can get final product to logical formula V in the presence of organic bases (as triethylamine) or mineral alkali (as salt of wormwood).
Reaction formula 3
Reaction formula 3 demonstrates the method for preparing the anils intermediate.
Figure C0213867100211
Reaction formula 4
Reaction formula 4 demonstrates the method for preparing volution anils intermediate.
Reaction formula 5
Reaction formula 5 are acid amides free acid general formulas (VI) of utilizing protection with phenyl amine intermediate general formula (VII) under the condensation catalyst catalysis in the solvent of better solubleness room temperature to 100 degree conditions Celsius, react; or with general formula (VI) elder generation and SOCl2 reaction being transformed into acyl chlorides; under alkaline condition, react then, remove protecting group (P) at last and get final product with general formula (VII).
On practical work, to realize more above-described change, the protection of some active group is absolutely necessary, generally speaking, utilizing protecting group to connect some group or remove some group is clearly to the people who is proficient in this art of organic synthesis.The people who is proficient in this art can utilize different solvents or the above-mentioned transformation of reagent reorganization under certain situation be essential.
Can prepare following compound with similar organic chemistry method
R2
Disclosed all articles and reference comprise that patent is the reference section of whole document in this piece application form.
Example below this invention will utilize is explained that further this is not to be interpreted as described those steps and the scope of only limiting to.
The starting raw material of this invention and various intermediate can have been bought, and perhaps can use the commodity feedstock production, or use well-known synthetic method preparation.
Some representational methods that prepare this invention intermediate will be disclosed in the following embodiments.
Below some abbreviations be used in this article, other be the standard chemical formula.
EDCI 1-(3-dimethylamino-propyl)-3-ethyl-carbodiimide hydrochloride
HOBt I-hydroxybenzotriazole hydrate
The THF tetrahydrofuran (THF)
The DIEA diisopropylethylamine
The DMSO dimethyl sulfoxide (DMSO)
Embodiment
Embodiment 1
N-[4-(cyano group cyclobutyl) phenyl] and the 2-[(4-picolyl) amino] phenyl } carboxylic acid amides
A:1-(4-aminophenyl) cyclobutyl nitrile
Mix 1-benzyl ring butyl nitrile (5 gram), acetate (15 milliliters), H2SO4(10 milliliters) and KNO3(1.1 mol ratio) stirred 20 minutes down at 0 ℃, rose to the room temperature restir then 2 hours.Then this mixture is poured in the ice cube and stirred moltenly entirely up to ice cube, separate out solid, suction filtration also just obtains 1-(4-nitrophenyl) cyclobutyl nitrile with ethyl alcohol recrystallization.Above-mentioned product 2g and palladium-carbon (800 milligrams, 10%) and ethanol (100 milliliters) mixing, normal pressure hydrogenation 1 hour, suction filtration just obtains 1-(4-aminophenyl) cyclobutyl nitrile to the filtrate evaporate to dryness then.Mass spectrum (M+1), 172, product end purifying is for the step uses down.
B.2-aminophenyl-N-[4-(cyano group cyclobutyl) phenyl] carboxylic acid amides
Anthranilic acid (1.4 gram), 1-(4-aminophenyl) cyclobutyl nitrile (1 mol ratio) and DIEA (1.2 mol ratio), the mixture of methylene dichloride (80 milliliters) and EDCI (1.25 mol ratio), HOBt (1 mol ratio) at room temperature stir and spend the night, the saturated NaHCO of reaction3, water and saturated brine elder generation after scouring, Na2SO4Dry also evaporation, the residue purification by silica gel column chromatography gets this title compound.
C.N-[4-(cyano group cyclobutyl) phenyl] and the 2-[(4-picolyl) amino] phenyl } carboxylic acid amides
2-aminophenyl-N-[4-(cyano group cyclobutyl) phenyl] carboxylic acid amides (400 milligrams) and 4-pyridylaldehyde (1.2 mol ratio) and NaBH3CN (2 mol ratio) is mixed in to stir in the methyl alcohol (50 milliliters) and spends the night, and adds ethyl acetate (80 milliliters) and water (80 milliliters) after the solvent evaporation, water and the first after scouring of saturated brine again behind twice of the ethyl acetate extraction, Na42SO4Dry also evaporation, the residue purification by silica gel column chromatography gets this title compound.Mass spectrum: (M+1), 383
Embodiment 2
N-[4-(cyano group cyclopropyl) phenyl] and the 2-[(4-picolyl) amino] phenyl } carboxylic acid amides
This compound originates in 1-phenycyclopropyl nitrile with the method preparation that is similar to embodiment 1.Mass spectrum: (M+1), 369
Embodiment 3
N-[4-(cyano group cyclopentyl) phenyl] and the 2-[(4-picolyl) amino] phenyl } carboxylic acid amides
This compound originates in 1-benzyl ring amyl group nitrile with the method preparation that is similar to embodiment 1.Mass spectrum: (M+1), 395
Embodiment 4
N-[4-(cyanocyclohexanoic base) phenyl] and the 2-[(4-picolyl) amino] phenyl } carboxylic acid amides
This compound originates in 1-benzyl ring hexyl nitrile with the method preparation that is similar to embodiment 1.Mass spectrum: (M+1), 407
Embodiment 5
N-[4-(cyano group cyclobutyl) phenyl] and the 2-[(4-picolyl) amino] (3-pyridine) } carboxylic acid amides
2-chloronicotinoyl chloride (50 milligrams), 1-(4-aminophenyl) cyclobutyl nitrile (1 mol ratio) and K2CO3(80 milligrams), the mixture of methylene dichloride (20 milliliters) at room temperature stirred 30 minutes, filtered this reaction, the evaporation filtrate, residue and 4-aminomethyl-pyridine (120 milligrams), amylalcohol (10 milliliters) mixes and is heated to 120 ℃, reacts six hours.This reaction mixes with silica gel (1 gram) and evaporates, and purification by silica gel column chromatography gets this title compound then.Mass spectrum: (M+1), 384
Embodiment 6
N-[4-(cyano group cyclopropyl) phenyl] and the 2-[(4-picolyl) amino] (3-pyridine) } carboxylic acid amides
This compound originates in 1-phenycyclopropyl nitrile with the method preparation that is similar to embodiment 5.Mass spectrum: (M+1), 370
Embodiment 7
N-[4-(cyano group cyclopentyl) phenyl the 2-[(4-picolyl) amino] (3-pyridine) } carboxylic acid amides
This compound originates in 1-benzyl ring amyl group nitrile with the method preparation that is similar to embodiment 5.Mass spectrum: (M+1), 394
Embodiment 8
N-[4-(cyanocyclohexanoic base) phenyl] and the 2-[(4-picolyl) amino] (3-pyridine) } carboxylic acid amides
This compound originates in 1-benzyl ring hexyl nitrile with the method preparation that is similar to embodiment 5.Mass spectrum: (M+1), 406
Embodiment 9
The N-{4-[(methoxymethyl) cyclobutyl] phenyl } the 2-[(4-picolyl) and amino] phenyl } carboxylic acid amides
Method 1:
The A:[(4-nitrophenyl) cyclobutyl] methyl 1-alcohol
1-phenyl cyclobutyl carboxylic acid (10 gram) under 0 ℃, adds acetic acid (20 milliliters), sulfuric acid (20 milliliters) and KNO3In the mixture of (1.1 mol ratio), stirred 20 minutes, this mixture is warming up to room temperature then naturally and stirs and spends the night, and this reaction is poured in the ice cube and to be stirred to ice cube molten entirely, filters out faint yellow precipitation and is used for the next step with the small amount of ethanol washing.Above product (5 gram) is dissolved in THF (80 milliliters) and is chilled to 0 ℃, slowly adds NaBH4Slowly add BH after (3 mol ratio) again3Et2O (3 mol ratio), this reaction is at room temperature stirred and is spent the night.1N NaOH slowly adds in the reaction to lather collapse, water and saturated brine elder generation after scouring again behind twice of the ethyl acetate extraction, Na2SO4Dry also evaporation, it is an oily matter that the residue purification by silica gel column chromatography gets this title compound.
The B:4-[(methoxymethyl) cyclobutyl] aniline
[(4-nitrophenyl) cyclobutyl] methyl 1-alcohol (500 milligrams), (60% in mineral oil for NaH, 1.2 mol ratio) with methyl iodide (1.2 mol ratio), the mixture of THF (50 milliliters) at room temperature stirs and spends the night, slowly adding water destruct should react, water and saturated brine elder generation after scouring again behind twice of the ethyl acetate extraction, Na2SO4Dry and evaporation, residue and Pd/C (10%, 100 milligram) are mixed in the ethanol (50 milliliters) and with normal pressure hydrogen hydrogenation 30 minutes, reaction with diatomite filtration and evaporate this title compound for going on foot use down.
This compound originates in the 4-[(methoxymethyl with the method preparation that is similar to embodiment 1) cyclobutyl] aniline.Mass spectrum: (M+1), 402
Method 2:
A:2-[N-(4-picolyl) kharophen] ethyl benzoate
Ethyl 2-aminobenzoate (4 gram), 4-pyridylaldehyde (1.2 mol ratio) and NaBH4CN (2 mol ratio) is mixed in to stir in the methyl alcohol (100 milliliters) and spends the night, and adds ethyl acetate (80 milliliters) and water (80 milliliters) after the solvent evaporation, water and the first after scouring of saturated brine again behind twice of the ethyl acetate extraction, Na2SO4Dry also evaporation, the residue purification by silica gel column chromatography gets 2-[N-(4-picolyl) amino] ethyl benzoate.This product (400 milligrams) is dissolved among the THF (40 milliliters) and with Acetyl Chloride 98Min. (1.2 mol ratio) and triethylamine (1.2 mol ratio) and mixes stirring at room two hours.Water and saturated brine elder generation after scouring again behind twice of the ethyl acetate extraction, Na2SO4Dry also evaporation, the residue purification by silica gel column chromatography gets this title compound.
B:N-[2-(N-4[(methoxymethyl) cyclobutyl] phenyl) carbamyl) phenyl] N-(4-picolyl) ethanamide
2-[N-(4-picolyl) kharophen] ethyl benzoate (300 milligrams), 5N NaOH (2 milliliters) at room temperature stirred three hours with the mixture of ethanol (20 milliliters).This solution is with 5N HCl neutralization and be evaporated to dried, residue also filters with methanol wash, filtrate evaporation back and 4-[(methoxymethyl) cyclobutyl] aniline (1 mol ratio), triethylamine (1.2 mol ratio), EDCI (1.25 mol ratio), HOBt (1 mol ratio) are mixed among the DMF (10 milliliters) and at room temperature stir and spend the night.This solution with wash three times saturated brine washing, Na after methylene dichloride (100 milliliters) mixes with water2SO4Dry also evaporation, the residue purification by silica gel column chromatography gets this title compound.
The C:N-{4-[(methoxymethyl) cyclobutyl] phenyl } the 2-[(4-picolyl) and amino] phenyl } carboxylic acid amides
Above product (100 milligrams), 20%HCl (5 milliliters) spends the night the saturated NaHCO of this solution with mixture stirring under 80 ℃ of ethanol (15 milliliters)3Slow and a small amount of silica gel evaporation in alkalization back, the residue purification by silica gel column chromatography gets this title compound.Mass spectrum: (M+1), 402
Embodiment 10
The N-{4-[(methoxymethyl) cyclobutyl] phenyl the 2-[(4-picolyl) amino] (3-pyridine) } carboxylic acid amides
This compound originates in the 4-[(methoxymethyl with the method preparation that is similar to embodiment 5) cyclobutyl] aniline.Mass spectrum: (M+1), 403
Embodiment 11
The N-{4-[(methylol) cyclobutyl] phenyl } the 2-[(4-picolyl) and amino] phenyl } carboxylic acid amides
[(4-nitrophenyl) cyclobutyl] methyl 1-alcohol (500 milligrams) and Pd-C (10%, 50mg) be mixed in the ethanol (80 milliliters), hydrogenation is one hour under the normal pressure hydrogen, reaction with diatomite filtration and evaporate [(4-aminophenyl) cyclobutyl] methyl 1-alcohol.
This compound originates in [(4-aminophenyl) cyclobutyl] methyl 1-alcohol with the method preparation that is similar to embodiment 1.Mass spectrum: (M+1), 388
Embodiment 12
The N-{4-[(methylol) cyclobutyl] phenyl } the 2-[(4-picolyl) amino] (3-pyridine) } carboxylic acid amides
This compound originates in [(4-aminophenyl) cyclobutyl] methyl 1-alcohol with the method preparation that is similar to embodiment 5.Mass spectrum: (M+1), 389
Embodiment 13
N-[7-oxo volution (pentamethylene base-1,3 '-indoline-11-yl) the 2-[(4-picolyl) amino]-phenyl } carboxylic acid amides
The amino Indolin-2-one of A:6-
2,4-dinitrobenzene acetate (10 gram), the mixture of sulfuric acid (0.1 mol ratio) and ethanol (300 milliliters) is heated with stirring to reflux and spends the night, and adds the extraction of ethyl acetate (120 milliliters) and water (200 milliliters) after the solvent evaporation.Water and saturated brine elder generation after scouring again behind twice of the ethyl acetate extraction, Na2SO4Dry and evaporate 2,4-dinitrobenzene ethyl acetate is used for the next step.Above product (5 gram) is mixed in the ethanol (120 milliliters) with Pd-C (10%, 500 milligram), and hydrogenation is spent the night under the normal pressure hydrogen, and reaction is with diatomite filtration and evaporation, residue with the amount of ethyl acetate washing and filter title product.
B:1-ethanoyl-6 (1,3-dioxo benzo [c] pyrroline pyridine-2-yl) 2-oxoindoline
The amino Indolin-2-one of 6-(2 gram) is with 1, and the mixture of 3-dioxo benzo [c] pyrroline pyridine-2-carboxylic acid, ethyl ester (1.1 mol ratio) and THF (100 milliliters) is heated with stirring to reflux and spends the night.Reaction is cooled to room temperature after-filtration precipitation, this gray solid (2 gram) and aceticanhydride (2 mol ratio), and acetic acid (40 milliliters) is heated with stirring to 115 ℃ and spends the night.After the solvent evaporation, residue filters to such an extent that title product is a Dark grey solid with 50% ethyl acetate/normal hexane washing.
The amino volution (pentamethylene base-1,3 '-indoline) of C:11--7-ketone
1-ethanoyl-6 (1,3-dioxo benzo [c] pyrroline pyridine-2-yl) 2-oxoindoline (500 milligrams), K2CO3(1.5 mol ratio) and dibromobutane (1.3 mol ratio) stir under the mixture room temperature of DMSO (10 milliliters) and spend the night, this solution with wash with water three times after methylene dichloride (100 milliliters) mixes, saturated brine washs, Na2SO4Drying is also evaporated to such an extent that 6-ethanoyl-11 (1,3-dioxo benzo [c] pyrroline pyridine-2-yl)-7-oxo volution (pentamethylene base-1,3 '-indoline) is used for the next step.Mass spectrum: (M+1), 375.This product (200 milligrams) and hydrazine hydrate (2 mol ratio), the mixture of methyl alcohol (15 milliliters) at room temperature stirred one hour, after the solvent evaporation, added ethyl acetate (80 milliliters) and 1N NaOH (50 milliliters), water and saturated brine elder generation after scouring again behind twice of the ethyl acetate extraction, Na2SO4Dry also evaporation, the residue purification by silica gel column chromatography gets this title compound.Mass spectrum: (M+1), 203
This compound originates in the amino volution (pentamethylene base-1,3 '-indoline) of 11--7-ketone with the method preparation that is similar to embodiment 1.Mass spectrum: (M+1), 413
Embodiment 14
N-[7-oxo volution (pentamethylene base-1,3 '-indoline-11-yl)] and the 2-[(4-picolyl) amino]-(3-pyridine) } carboxylic acid amides
This compound originates in the amino volution (pentamethylene base-1,3 '-indoline) of 11--7-ketone with the method preparation that is similar to embodiment 5.Mass spectrum: (M+1), 414
Embodiment 15
N-[7-oxo volution (cyclopropane base-1,3 '-indoline-11-yl)] and the 2-[(4-picolyl) amino]-phenyl } carboxylic acid amides
This compound prepares with the method that is similar to embodiment 13.Mass spectrum: (M+1), 385
Embodiment 16
N-[7-oxo volution (cyclopropane base-1,3 '-indoline-11-yl)] and the 2-[(4-picolyl) amino]-(3-pyridine) } carboxylic acid amides
This compound prepares with the method that is similar to embodiment 14.Mass spectrum: (M+1), 386
Embodiment 17
N-(4-ethynyl phenyl) the 2-[(4-picolyl) amino]-phenyl } carboxylic acid amides
This compound is with being similar to embodiment 9, and the step preparation of method 2 originates in 4-ethynyl aniline.Mass spectrum: (M+1), 328
Embodiment 18
N-(3-ethynyl phenyl) the 2-[(4-picolyl) amino]-phenyl } carboxylic acid amides
This compound is with being similar to embodiment 9, and the step preparation of method 2 originates in 3-ethynyl aniline.Mass spectrum: (M+1), 328

Claims (10)

1. the compound of following general structural formula (I):
Figure C021386710002C1
General formula (I)
Wherein
X is O or S;
Y is-NH-;
Z1, Z2, Z3, Z4Be CR independently5Or N;
A is direct chemical bond;
B is direct chemical bond;
R1Represent a phenyl;
Cy represents a cycloalkyl;
R2Be rudimentary haloalkyl, rudimentary alkyl, rudimentary thiazolinyl, rudimentary alkynyl; Cyano group, rudimentary alkane cyano group; Hydroxyl, rudimentary alkane hydroxyl, rudimentary alkoxyl group, rudimentary alkyl alkoxy, rudimentary alkoxyalkoxy group, rudimentary alkyl alkoxyalkoxy group; Rudimentary alkoxy amino, rudimentary alkoxy amino alkyl, rudimentary alkoxy amino dialkyl group, rudimentary alkyl alkoxy amino, rudimentary alkyl alkoxy aminoalkyl group, the amino dialkyl group of rudimentary alkyl alkoxy; Rudimentary alcoxyl acyl alkyl, carboxyl, acyloxyalkyl group; Rudimentary alkyl alcoxyl acyl alkyl, carboxyl, acyloxyalkyl group; Amino, carbamyl, ammonia acyloxy, urea groups; Lower alkyl amino, carbamyl, ammonia acyloxy, urea groups; N-is single to replace or N the disubstituted amino of N-, carbamyl, urea groups; Sulfydryl, sulfo group; Carbonylic alkyl, rudimentary alkyl-carbonyl alkyl; Cycloalkyl, cycloalkenyl group, aryl or heterocyclic radical, and cycloalkyl, cycloalkenyl group, some positions of aryl or heterocyclic radical can optionally be replaced;
R1And R2Can be joined together to form one and contain C, N, the condensed ring G of O or S, the ring G can be saturated or fractional saturation and can be do not have substituent, mono-substituted or polysubstituted;
V is C, N or SO2
W and W ' can be hydrogen independent of each other, halogen or low alkyl group;
N represents integer 0~6;
R3It is pyridine;
R5Be hydrogen, halogen, or low alkyl group.
2. according to the compound of the general structure (I) of claim 1,
Wherein
X is O;
Y is-NH-;
Z1, Z2, Z3=C; Z4=C or N;
A is direct chemical bond;
B is direct chemical bond;
R1Represent a phenyl;
Cy represents a cyclopropyl or a cyclobutyl or a cyclopentyl;
R2Be:
Figure C021386710004C1
V is C;
W and W ' are hydrogen independent of each other;
N represents integer 1,2,3;
R3It is pyridine;
R5Be hydrogen, fluorine, chlorine, methyl.
3. according to the compound of the general structure (I) of claim 1, be selected from:
N-[4-(cyano group cyclobutyl) phenyl] and the 2-[(4-picolyl) amino] phenyl } carboxylic acid amides;
N-[4-(cyano group cyclopropyl) phenyl] and the 2-[(4-picolyl) amino] phenyl } carboxylic acid amides;
N-[4-(cyano group cyclopentyl) phenyl] and the 2-[(4-picolyl) amino] phenyl } carboxylic acid amides;
N-[4-(cyanocyclohexanoic base) phenyl] and the 2-[(4-picolyl) amino] phenyl } carboxylic acid amides;
N-[4-(cyano group cyclobutyl) phenyl] and the 2-[(4-picolyl) amino] (3-pyridine) } carboxylic acid amides;
N-[4-(cyano group cyclopropyl) phenyl] and the 2-[(4-picolyl) amino] (3-pyridine) } carboxylic acid amides;
N-[4-(cyano group cyclopentyl) phenyl] and the 2-[(4-picolyl) amino] (3-pyridine) } carboxylic acid amides;
N-[4-(cyanocyclohexanoic base) phenyl] and the 2-[(4-picolyl) amino] (3-pyridine) } carboxylic acid amides;
The N-{4-[(methoxymethyl) cyclobutyl] phenyl } the 2-[(4-picolyl) and amino] phenyl } carboxylic acid amides;
The N-{4-[(methoxymethyl) cyclobutyl] phenyl } the 2-[(4-picolyl) amino] (3-pyridine) } carboxylic acid amides;
The N-{4-[(methylol) cyclobutyl] phenyl } the 2-[(4-picolyl) and amino] phenyl } carboxylic acid amides;
The N-{4-[(methylol) cyclobutyl] phenyl } the 2-[(4-picolyl) amino] (3-pyridine) } carboxylic acid amides;
N-[7-oxo volution (pentamethylene base-1,3 '-indoline-11-yl)] and the 2-[(4-picolyl) amino]-phenyl } carboxylic acid amides;
N-[7-oxo volution (pentamethylene base-1,3 '-indoline-11-yl)] and the 2-[(4-picolyl) amino]-(3-pyridine) } carboxylic acid amides;
N-[7-oxo volution (cyclopropane base-1,3 '-indoline-11-yl)] and the 2-[(4-picolyl) amino]-phenyl } carboxylic acid amides;
N-[7-oxo volution (cyclopropane base-1,3 '-indoline-11-yl)] and the 2-[(4-picolyl) amino]-(3-pyridine) } carboxylic acid amides.
4. according to the preparation method of the compound of the general structure (I) of claim 1, this method is with general formula (II)
Figure C021386710005C1
General formula (II)
Compound and the carbonyl compound of general formula (III) in the presence of reductive agent, react
R3CHO general formula (III)
Group wherein and symbol have the defined implication of claim 1.
5. according to the preparation method of the compound of the general structure (I) of claim 1, this method is with general formula (IV)
General formula (IV)
Compound and the aminocompound of logical formula V in the presence of organic or inorganic alkali, react
R3(VWW ') nNH2Logical formula V
Group wherein and symbol have the defined implication of claim 1, and halo is a halo.
6. according to the preparation method of the compound of the general structure (I) of claim 1, this method is with general formula (VI)
Figure C021386710006C2
General formula (VI)
Compound and the aminocompound of general formula (VII) in the presence of the coupling catalyzer, react; Or with general formula (VI) elder generation and SOCl2Reaction is transformed into acyl chlorides, reacts with general formula (VII) under alkaline condition then; Remove protecting group (P) at last
Figure C021386710006C3
General formula (VII)
Group wherein and symbol have the defined implication of claim 1, and P is a protecting group.
7. according to any one prepared a kind of pharmaceutically acceptable salt of compound in the claim 1 to 3, said pharmaceutically acceptable salt is and hydrochloric acid Hydrogen bromide, sulfuric acid, nitric acid or phosphoric acid; Succsinic acid, toxilic acid, acetic acid, fumaric acid, citric acid, Citric Acid, tartrate, phenylformic acid, Phenylsulfonic acid, the salt that methylsulfonic acid or naphthene sulfonic acid form.
8. according to any one prepared medicament of compound in the claim 1 to 3, said medicament is said tablet on any pharmaceutics, capsule, elixir, syrup, lozenge, inhalation, sprays, injection, film, patch, powder, granule, piece agent, emulsion, suppository, compound preparation.
9. according to the purposes of compound any in the claim 1 to 3 in the medicine of preparation treatment cancer, Kaposi sarcoma, protoheme vascular tumor, Kaposi sarcoma, protoheme vascular tumor, lymphoma, psoriasis disease.
10. according to the purposes of compound any in the claim 1 to 3 in the medicine of the eye disease that preparation treatment degree of depth scuffing and adhesion, endomitosis, anovulatory dysfunctional uterine hemorrhage, retina pipe hyperplasia cause.
CN 021386712002-11-272002-11-27Hexavalent amino amidate derivative with function of inhibiting blood vessel growth activityExpired - LifetimeCN1281590C (en)

Priority Applications (1)

Application NumberPriority DateFiling DateTitle
CN 02138671CN1281590C (en)2002-11-272002-11-27Hexavalent amino amidate derivative with function of inhibiting blood vessel growth activity

Applications Claiming Priority (1)

Application NumberPriority DateFiling DateTitle
CN 02138671CN1281590C (en)2002-11-272002-11-27Hexavalent amino amidate derivative with function of inhibiting blood vessel growth activity

Publications (2)

Publication NumberPublication Date
CN1502608A CN1502608A (en)2004-06-09
CN1281590Ctrue CN1281590C (en)2006-10-25

Family

ID=34231771

Family Applications (1)

Application NumberTitlePriority DateFiling Date
CN 02138671Expired - LifetimeCN1281590C (en)2002-11-272002-11-27Hexavalent amino amidate derivative with function of inhibiting blood vessel growth activity

Country Status (1)

CountryLink
CN (1)CN1281590C (en)

Families Citing this family (30)

* Cited by examiner, † Cited by third party
Publication numberPriority datePublication dateAssigneeTitle
ES2320955B1 (en)2007-03-022010-03-16Laboratorios Almirall S.A. NEW DERIVATIVES OF 3 - ((1,2,4) TRIAZOLO (4,3-A) PIRIDIN-7-IL) BENZAMIDA.
ES2329639B1 (en)2007-04-262010-09-23Laboratorios Almirall S.A. NEW DERIVATIVES OF 4,8-DIFENILPOLIAZANAFTALENO.
EP2108641A1 (en)2008-04-112009-10-14Laboratorios Almirall, S.A.New substituted spiro[cycloalkyl-1,3'-indo]-2'(1'H)-one derivatives and their use as p38 mitogen-activated kinase inhibitors
EP2113503A1 (en)2008-04-282009-11-04Laboratorios Almirall, S.A.New substituted indolin-2-one derivatives and their use as p39 mitogen-activated kinase inhibitors
CN101675930B (en)*2008-09-162012-04-25江苏恒瑞医药股份有限公司Pharmaceutical composition for treating proliferative diseases
CN101676267B (en)*2008-09-162012-12-26江苏恒瑞医药股份有限公司N-4-(1-cyan cyclopentyl) phenyl-2-(4-picolyl) amidogen-3-pyridinecarboxamide salt
CN102048737B (en)*2009-10-282012-10-03江苏恒瑞医药股份有限公司Pharmaceutical composition for treating tumor diseases
CN102579454B (en)*2009-10-282013-06-05江苏恒瑞医药股份有限公司Drug composition for curing tumour diseases
US8940742B2 (en)2012-04-102015-01-27Infinity Pharmaceuticals, Inc.Heterocyclic compounds and uses thereof
WO2015051241A1 (en)2013-10-042015-04-09Infinity Pharmaceuticals, Inc.Heterocyclic compounds and uses thereof
PH12016500582B1 (en)2013-10-042023-06-30Infinity Pharmaceuticals IncHeterocyclic compounds and uses thereof
CN113616656B (en)2014-03-192023-02-17无限药品股份有限公司Heterocyclic compounds for the treatment of PI 3K-gamma mediated disorders
CN104086483A (en)*2014-07-082014-10-08上海宣创生物科技有限公司Mesylate crystal form F of nicotinamide derivatives as well as preparation method and application of Mesylate crystal form F
CN104072411A (en)*2014-07-082014-10-01上海宣创生物科技有限公司Mesylate C crystal form of amide derivatives as well as preparation method and application thereof
CN104072413A (en)*2014-07-082014-10-01上海宣创生物科技有限公司Mesylate crystal form A of nicotinamide derivatives as well as preparation method and application of mesylate crystal form A
CN104086484B (en)*2014-07-082016-05-25上海宣创生物科技有限公司Mesylate solvate crystal of nicotinamide derivative and its preparation method and application
CN104072410B (en)*2014-07-082017-02-08上海宣创生物科技有限公司Mesylate D crystal form of nicotinamide derivatives and preparation method and application thereof
WO2016054491A1 (en)2014-10-032016-04-07Infinity Pharmaceuticals, Inc.Heterocyclic compounds and uses thereof
CN105541708A (en)*2014-10-282016-05-04华东理工常熟研究院有限公司New crystal form of apatinib sulfate
CN105622499A (en)*2014-10-282016-06-01华东理工常熟研究院有限公司New crystal of apatinib sulfate
CN105622498A (en)*2014-10-282016-06-01华东理工常熟研究院有限公司New crystal of apatinib sulfate
JP6980649B2 (en)2015-09-142021-12-15インフィニティー ファーマシューティカルズ, インコーポレイテッド The solid form of the isoquinolinone derivative, the method for producing it, the composition containing it, and the method for using it.
WO2017161116A1 (en)2016-03-172017-09-21Infinity Pharmaceuticals, Inc.Isotopologues of isoquinolinone and quinazolinone compounds and uses thereof as pi3k kinase inhibitors
WO2017214269A1 (en)2016-06-082017-12-14Infinity Pharmaceuticals, Inc.Heterocyclic compounds and uses thereof
CN106243031B (en)*2016-07-262017-09-08江苏恒瑞医药股份有限公司A kind of Ah handkerchief replaces the preparation method of Buddhist nun
CN108250138A (en)*2016-12-282018-07-06上海宣创生物科技有限公司A Pa is for Buddhist nun's A crystal forms and its preparation method and application
GB201709456D0 (en)*2017-06-142017-07-26Ucb Biopharma SprlTherapeutic agents
WO2019034048A1 (en)*2017-08-152019-02-21江苏恒瑞医药股份有限公司Crystal form of vegfr inhibitor and preparation method thereof
CN108409647B (en)*2018-03-142020-03-24盐城师范学院Preparation method of apatinib
CN110372583A (en)*2019-08-292019-10-25郑州大学第一附属医院A Pa replaces the preparation method of Buddhist nun

Also Published As

Publication numberPublication date
CN1502608A (en)2004-06-09

Similar Documents

PublicationPublication DateTitle
CN1281590C (en)Hexavalent amino amidate derivative with function of inhibiting blood vessel growth activity
KR101911560B1 (en)Fused heterocyclic compounds as ion channel modulators
EP2707361B1 (en)Fused heterocyclic compounds as sodium channel modulators
JP7074903B2 (en) Imidazopyridazine compound
TWI622589B (en) Apoptosis signal-regulating kinase inhibitor
JP5740409B2 (en) Kinase inhibitor
JP7191799B2 (en) Pyrimidine compounds and pharmaceutical uses thereof
JP6175673B2 (en) Amide derivatives as TTX-S blockers
CN1230185A (en)Bicyclic heteroaromatic compounds as protein tyrosine kinase inhibitors
TWI746525B (en)Novel inhibitors of phosphatidylinositol 3-kinase gamma
CN1158283C (en)4-and 5-pyrazinyl oxindoles as protein kinase inhibitors
JPWO2005023771A1 (en) Chemokine receptor antagonist and its pharmaceutical use
EP1471910A2 (en)Substituted quinazolin-4-ylamine analogues as modulators of capsaicin receptors
CN1659145A (en) 3-cyanoquinolines as inhibitors of EGF-R and HER2 kinases
CN1469878A (en)Aza-and polyaza-naphthalenyl carboxamides useful as HIV integrase inhibitors
JP2010513433A (en) Pyridinebenzamide and pyrazinebenzamide used as PKD inhibitors
CN1264376A (en)3(5)-Heteroaryl substituted pyrazoles as P38 kinase inhibitors
TW200908983A (en)Heterocyclic compounds and uses thereof
CN1323307A (en)1H-imidazopyridine derivatives
CN1839130A (en)N-substituted pyrazolyl-amidyl-benzimidazolyl C-KIT inhibitors
CN1771247A (en) Oxime derivatives and their use as pharmaceutically active agents
CN100349893C (en) Substituted 2,4-dihydro-pyrrolo[3,4-b]quinolin-9-one derivatives useful as phosphodiesterase inhibitors
CN1839132A (en) N3-substituted imidazopyridine derivatives as C-KIT inhibitors
JP2017521460A (en) Pyrazolopyrimidine compounds
CN1665792A (en) Arylcarbonylpiperazines and heteroarylcarbonylpiperazines and their use in the treatment of benign and malignant neoplastic diseases

Legal Events

DateCodeTitleDescription
C06Publication
PB01Publication
C10Entry into substantive examination
SE01Entry into force of request for substantive examination
C14Grant of patent or utility model
GR01Patent grant
ASSSuccession or assignment of patent right

Owner name:NANJING KAI HENG TECHNOLOGY & TRADE CO., LTD.; RO

Free format text:FORMER OWNER: NANJING KAI HENG TECHNOLOGY + TRADE CO., LTD.

Effective date:20080201

C41Transfer of patent application or patent right or utility model
TR01Transfer of patent right

Effective date of registration:20080201

Address after:Room 14, block 506, Xuanwu garden, Xuanwu District, Jiangsu, Nanjing: 210018

Co-patentee after:Hangzhou Rongli Pharmaceutical Technology Co.,Ltd.

Patentee after:Nanjing Kaiheng Science and Trade Co.,Ltd.

Address before:Room 14, block 506, Xuanwu garden, Xuanwu District, Jiangsu, Nanjing: 210018

Patentee before:Nanjing Kaiheng Science and Trade Co.,Ltd.

TR01Transfer of patent right

Effective date of registration:20200914

Address after:310012 1st floor, building 2, Huaxing Industrial Village, 18 tangmiao Road, Xihu District, Hangzhou City, Zhejiang Province

Patentee after:Hangzhou Rongli Pharmaceutical Technology Co.,Ltd.

Address before:210018 Nanjing, Xuanwu District, Jiangsu, No. 1 Park, room 14, room 506

Co-patentee before:Hangzhou Rongli Pharmaceutical Technology Co.,Ltd.

Patentee before:Nanjing Kaiheng Science and Trade Co.,Ltd.

TR01Transfer of patent right
TR01Transfer of patent right

Effective date of registration:20210302

Address after:Ulsan, South Korea

Patentee after:Aichi Aibi Co.,Ltd.

Address before:310012 1st floor, building 2, Huaxing Industrial Village, No.18 tangmiao Road, Xihu District, Hangzhou City, Zhejiang Province

Patentee before:Hangzhou Rongli Pharmaceutical Technology Co.,Ltd.

TR01Transfer of patent right
CX01Expiry of patent term

Granted publication date:20061025

CX01Expiry of patent term

[8]ページ先頭

©2009-2025 Movatter.jp