







技术领域technical field
本发明属于电动汽车控制技术领域,尤其涉及一种考虑外部干扰下电动汽车横摆稳定学习预测控制方法。The invention belongs to the technical field of electric vehicle control, and in particular relates to a yaw stability learning predictive control method of an electric vehicle considering external disturbances.
背景技术Background technique
汽车的安全性问题一直是人们关注的热点,驾驶员的不当操作会导致车辆发生侧滑、侧翻等失稳现象,甚至有可能具有生命危险,因此设计保证汽车行驶安全的控制策略至关重要。而四轮驱动电动汽车允许存在多个动力来源,可以独立向车轮输送动力,因此可以通过电子控制单元控制每一个车轮的力矩,性能主要取决于软件,具有控制灵活、加速速度快等优点。针对汽车安全问题,电子车身稳定系统是目前汽车中主流的主动安全控制系统,特别是在极限工况下,通过合理控制汽车的执行机构保证汽车的轮胎维持在线性区域以免发生侧滑、车轮抱死等危险情况,从而保证汽车的稳定性。The safety of automobiles has always been a hot topic of concern. Improper operation of the driver will cause the vehicle to slip, roll over and other instability phenomena, and may even be life-threatening. Therefore, it is very important to design a control strategy to ensure the safety of the car. . The four-wheel drive electric vehicle allows multiple power sources and can independently transmit power to the wheels. Therefore, the torque of each wheel can be controlled by the electronic control unit. The performance mainly depends on the software, and it has the advantages of flexible control and fast acceleration. For automobile safety issues, the electronic body stabilization system is currently the mainstream active safety control system in automobiles. Especially under extreme conditions, it can ensure that the tires of the automobile are maintained in a linear area by reasonably controlling the actuators of the automobile to avoid side slipping and wheel locks. Dangerous situations such as death, so as to ensure the stability of the car.
目前电动汽车稳定性控制主流的控制方法有主动前轮转向和直接力矩控制,其中采用的控制策略主要为基于模型的模型预测控制,而目前的电子车身稳定系统也存在着诸多问题待解决,主要有:At present, the mainstream control methods of electric vehicle stability control include active front wheel steering and direct torque control. have:
1.车辆系统的结构复杂,汽车运动学以及轮胎系统具有非线性、强耦合等特性,电子车身稳定系统通过基于模型的预测控制对车辆进行控制时,需要搭建用于控制器设计的预测模型,由于车辆系统的复杂性,搭建的模型不能够准确描述汽车的运动学特性,具有一定的建模误差,从而进一步影响到控制系统的控制性能,甚至可能使汽车发生失稳,导致交通事故的发生。1. The structure of the vehicle system is complex, and the car kinematics and tire system have characteristics such as nonlinearity and strong coupling. When the electronic body stabilization system controls the vehicle through model-based predictive control, it is necessary to build a predictive model for controller design. Due to the complexity of the vehicle system, the built model cannot accurately describe the kinematic characteristics of the vehicle, and has certain modeling errors, which further affects the control performance of the control system, and may even cause the vehicle to become unstable, leading to traffic accidents .
2.汽车在行驶过程中由于环境存在很强的不确定性,特别是在极限工况,侧风、坑洼路面等不确定因素都有可能使汽车的运动状态发生改变,最终导致车辆失稳,而目前的电子车身稳定系统只考虑到了一些确定性的信息,没有考虑到不确定因素对控制系统的影响,不能够满足一些极端环境下的驾驶需求。2. Due to the strong uncertainty of the environment during the driving process of the car, especially in extreme working conditions, uncertain factors such as crosswinds and potholes may change the motion state of the car and eventually lead to vehicle instability , and the current electronic body stabilization system only takes into account some deterministic information, does not take into account the influence of uncertain factors on the control system, and cannot meet the driving needs in some extreme environments.
发明内容Contents of the invention
本发明的目的在于提供一种考虑外部干扰下电动汽车横摆稳定学习预测控制方法,旨在解决上述背景技术中提出的问题。The purpose of the present invention is to provide a learning predictive control method for yaw stability of an electric vehicle considering external disturbances, aiming to solve the problems raised in the above-mentioned background technology.
为实现上述目的,本发明提供如下技术方案:To achieve the above object, the present invention provides the following technical solutions:
一种考虑外部干扰下电动汽车横摆稳定学习预测控制方法,包括以下步骤:A learning predictive control method for yaw stability of an electric vehicle considering external disturbances, comprising the following steps:
数据机理混合模型的搭建:数据机理混合模型作为四轮驱动电动汽车横摆稳定控制器的预测模型,通过高斯过程回归模型对二自由度车辆模型的误差进行补偿,得到高精度的预测模型;Construction of the data-mechanism hybrid model: The data-mechanism hybrid model is used as the prediction model of the yaw stability controller of the four-wheel drive electric vehicle, and the error of the two-degree-of-freedom vehicle model is compensated by the Gaussian process regression model to obtain a high-precision prediction model;
横摆稳定预测控制器的设计:考虑车辆执行机构约束以及车辆横摆稳定性约束,根据横摆稳定控制器控制目标构建模型预测控制器的代价函数,得到最终的优化问题;The design of the yaw stability predictive controller: Considering the constraints of the vehicle actuator and the vehicle yaw stability, the cost function of the model predictive controller is constructed according to the control objective of the yaw stability controller, and the final optimization problem is obtained;
针对环境不确定性预测控制器的重构:将预测时域内的不确定性扰动进行传播,然后将概率约束转化为确定性约束,得到最终的非线性规划优化问题;Reconstruction of the predictive controller for environmental uncertainty: propagate the uncertain disturbance in the forecast time domain, and then transform the probability constraints into deterministic constraints to obtain the final nonlinear programming optimization problem;
通过优化求解得到控制器的控制信号,将得到的前轮转角以及四个车轮的驱动力矩作用于被控车辆。The control signal of the controller is obtained through the optimization solution, and the obtained front wheel rotation angle and the driving torque of the four wheels are applied to the controlled vehicle.
进一步的,所述数据机理混合模型的搭建步骤中,选取车辆的质心侧偏角和横摆角速度作为控制器的状态变量,即x=[β,γ],控制器的控制变量为车辆的前轮转角以及四个车轮的驱动力矩,即u=[δf,Tfl,Trl,Tfr,Trr],搭建二自由度车辆模型用于状态变量的预测,数据机理混合模型的动态方程表示为:Further, in the step of building the data-mechanism hybrid model, the center of mass side slip angle and yaw rate of the vehicle are selected as the state variables of the controller, that is, x=[β,γ], and the control variables of the controller are the front The wheel rotation angle and the driving torque of the four wheels, namely u=[δf , Tfl , Trl , Tfr , Trr ], build a two-degree-of-freedom vehicle model for the prediction of state variables, and the dynamic equation of the data-mechanism hybrid model Expressed as:
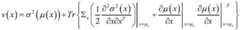
其中f2dof(x,u)为二自由度机理模型,gc(x,u)为二自由度车辆模型的模型误差,ω为预测模型中的随机扰动,服从均值为0,标准差为σ的高斯分布,Bd为模型误差和不确定性扰动权重系数。where f2dof (x,u) is the two-degree-of-freedom mechanism model, gc (x,u) is the model error of the two-degree-of-freedom vehicle model, ω is the random disturbance in the prediction model, and the mean value is 0, and the standard deviation is σ Gaussian distribution of Bd is the weight coefficient of model error and uncertainty disturbance.
进一步的,所述二自由度车辆模型将前后轴的左右轮简化为一个轮,质心侧偏角和横摆角速度的动态方程为:Further, the two-degree-of-freedom vehicle model simplifies the left and right wheels of the front and rear axles into one wheel, and the dynamic equations of the sideslip angle of the center of mass and the yaw rate are:
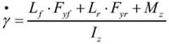
其中β和γ为车辆的质心侧偏角和横摆角速度,m为车身质量,V为车辆的纵向速度,Fyf和Fyr为前轮和后轮的侧向力,Lf和Lr分别为前轴和后轴到质心的距离,Iz为车身的横摆转动惯量,Mz为车辆的横摆力矩;忽略纵向力对侧向力的影响,采用纯侧偏工况下的简化魔术公式轮胎模型,侧向力表示为:where β and γ are the sideslip angle and yaw rate of the vehicle, m is the body mass, V is the longitudinal velocity of the vehicle, Fyf and Fyr are the lateral forces of the front and rear wheels, Lf and Lr are respectively is the distance from the front and rear axles to the center of mass, Iz is the yaw moment of inertia of the vehicle body, and Mz is the yaw moment of the vehicle; ignoring the influence of the longitudinal force on the lateral force, the simplified magic under pure cornering conditions is used Formula tire model, the lateral force is expressed as:
其中Cf和Cr分别为前轮和后轮的侧偏刚度,Ka和Kb为前后轮的轮胎力拟合参数,αf和αr为前轮和后轮的侧偏角,侧偏角表示为:where Cf and Cr are the cornering stiffnesses of the front and rear wheels respectively, Ka and Kb are the tire force fitting parameters of the front and rear wheels, αf and αr are the slip angles of the front and rear wheels, and The deflection angle is expressed as:
其中δf为前轮转角,忽略轮胎滚动过程中的滚动阻力、空气阻力以及加速阻力,车辆的横摆力矩表示为:whereδf is the front wheel rotation angle, ignoring the rolling resistance, air resistance and acceleration resistance during tire rolling, the yaw moment of the vehicle is expressed as:
其中Tfr、Trr、Tfl、Trl为前右、后右、前左、后左轮的驱动力矩,Re为轮胎滚动过程中的有效滚动半径;Among them, Tfr , Trr , Tfl , Trl are the driving moments of the front right, rear right, front left, and rear left wheels, and Re is the effective rolling radius of the tire during rolling;
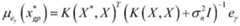
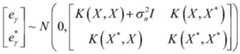
通过高斯过程回归模型对二自由度车辆模型的误差进行补偿,模型的输出为模型的横摆角速度误差,横摆角速度误差之间服从高斯联合分布,表示为:The error of the two-degree-of-freedom vehicle model is compensated by the Gaussian process regression model. The output of the model is the yaw rate error of the model, and the yaw rate errors obey the Gaussian joint distribution, expressed as:
其中eγ为采集到的横摆角速度误差,为待预测的横摆角速度误差,X为训练数据向量,即X=[xgp,1,xgp,2,L,xgp,900],其中xgp=(β,γ,V,δf,Tfl,Tfr,Trl,Trr),为用于高斯过程回归模型训练的输入数据,X*为待预测数据向量,即/>通过高斯联合分布推断公式得到待预测横摆角速度的均值/>和方差/>预测公式表示为:where eγ is the collected yaw rate error, is the yaw rate error to be predicted, X is the training data vector, that is, X=[xgp,1 ,xgp,2 ,L,xgp,900 ], where xgp =(β,γ,V,δf ,Tfl ,Tfr ,Trl ,Trr ), is the input data for Gaussian process regression model training, X* is the data vector to be predicted, ie /> The mean value of the yaw rate to be predicted is obtained by the Gaussian joint distribution inference formula/> and variance /> The prediction formula is expressed as:
其中为待预测数据;in is the data to be predicted;
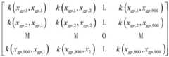
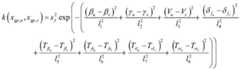
高斯联合分布推断公式中,采用的训练集容量n为900,协方差矩阵表示为:In the Gaussian joint distribution inference formula, the training set capacity n used is 900, and the covariance matrix is expressed as:
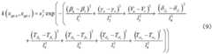
其中k(xgp,u,xgp,v)表示模型的核函数,衡量两个点之间的距离,u和v代表训练样本向量中的每一个样本,范围是1到n,将Automatic Relevance Determination高斯核函数作为高斯过程回归模型中的核函数,具体形式为:Where k(xgp,u ,xgp,v ) represents the kernel function of the model, which measures the distance between two points, u and v represent each sample in the training sample vector, the range is 1 to n, and the Automatic Relevance The Determination Gaussian kernel function is used as the kernel function in the Gaussian process regression model, and the specific form is:
高斯过程回归模型中存在待优化参数θ=(sf,l1,l2,l3,l4,l5,l6,l7,l8,σn),也称为超参数,通过模型训练优化求解高斯过程回归模型建立完成之后存在的超参数。In the Gaussian process regression model, there are parameters to be optimized θ=(sf ,l1 ,l2 ,l3 ,l4 ,l5 ,l6 ,l7 ,l8 ,σn ), also known as hyperparameters, through Model training optimizes and solves the hyperparameters that exist after the Gaussian process regression model is established.
进一步的,所述高斯过程回归模型的训练采用最大化边际似然函数,边际似然函数logP(eγ|X)的具体公式为:Further, the training of the Gaussian process regression model adopts the maximum marginal likelihood function, and the specific formula of the marginal likelihood function logP(eγ |X) is:
其中P(eγ|X)为给定训练数据X条件下eγ的条件概率,表示为数据的拟合程度,/>为模型的复杂度,n是样本数量;where P(eγ |X) is the conditional probability of eγ under the condition of given training data X, Expressed as the degree of fit to the data, /> is the complexity of the model, n is the number of samples;
对模型进行简单交叉验证,将数据集分为两部分,一部分为训练集,另一部分为验证集,其中训练集来自模型采集的历史数据,验证集采用的是控制器运行产生的新的数据,通过先验知识对高斯过程回归的超参数进行调整,改变各个特征的权重系数以及方差系数,得到期望的泛化误差。Carry out simple cross-validation on the model, divide the data set into two parts, one part is the training set, and the other part is the verification set. The training set comes from the historical data collected by the model, and the verification set uses new data generated by the controller operation. Adjust the hyperparameters of Gaussian process regression through prior knowledge, change the weight coefficient and variance coefficient of each feature, and obtain the expected generalization error.
进一步的,所述横摆稳定预测控制器的设计步骤中,对数据机理混合模型进行离散化,得到离散的状态空间方程如下:Further, in the design step of the yaw stability predictive controller, the data mechanism hybrid model is discretized, and the discrete state space equation is obtained as follows:
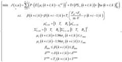
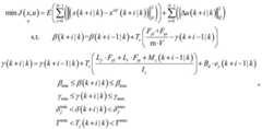
其中Ts为系统的采样时间,车辆横摆稳定控制器的状态变量为x=[β(k),γ(k)],控制量为u=[δf(k),Tfl(k),Trl(k),Tfr(k),Trr(k)],目标函数如下:Where Ts is the sampling time of the system, the state variable of the vehicle yaw stability controller is x=[β(k),γ(k)], and the control quantity is u=[δf (k), Tfl (k) ,Trl (k),Tfr (k),Trr (k)], the objective function is as follows:
其中xref(k+i|k)为系统跟踪的参考序列,横摆角速度参考值由输入的前轮转角通过稳态转向模型计算获取,质心侧偏角的参考值设置为0,(k+i|k)代表在第k时刻预测第k+i时刻的值,Δu(k+i|k)=u(k+i|k)-u(k+i-1|k),代表控制量的变化率,N为控制器的预测时域,i为预测时域内的特定时刻,范围为0到N-1,P和Q均为控制器的权重矩阵。where xref (k+i|k) is the reference sequence of the system tracking, the reference value of the yaw rate is calculated by the input front wheel angle through the steady-state steering model, the reference value of the side slip angle of the center of mass is set to 0, (k+ i|k) represents the value predicted at time k+i at time k, Δu(k+i|k)=u(k+i|k)-u(k+i-1|k), represents the control amount The change rate of , N is the forecast time domain of the controller, i is a specific moment in the forecast time domain, the range is 0 to N-1, P and Q are the weight matrix of the controller.
进一步的,所述车辆横摆稳定性约束为:Further, the vehicle yaw stability constraints are:
βmin≤β(k+i|k)≤βmaxβmin ≤ β(k+i|k) ≤ βmax
γmin≤γ(k+i|k)≤γmaxγmin ≤γ(k+i|k)≤γmax
其中βmin、βmax、γmin、γmax分别为维持车辆稳定的质心侧偏角最小、最大值和横摆角速度的最小、最大值;Where βmin , βmax , γmin , and γmax are the minimum and maximum sideslip angles and the minimum and maximum values of the yaw rate to maintain vehicle stability, respectively;
所述车辆执行机构约束为:The constraints of the vehicle actuators are:
Tmin<Tj(k+i|k)<TmaxTmin < Tj (k+i|k) < Tmax
其中Tmin、Tmax分别为前轮转角的最小、最大值以及驱动力矩的最小、最大值;j表示车辆的四个轮胎,范围为1到4。in Tmin and Tmax are the minimum and maximum values of the front wheel rotation angle and the minimum and maximum value of the driving torque respectively; j represents the four tires of the vehicle, ranging from 1 to 4.
进一步的,所述横摆稳定预测控制器的设计步骤中,最终的优化问题描述,表示为:Further, in the design steps of the yaw stability predictive controller, the final optimization problem description is expressed as:
进一步的,所述针对环境随机扰动的车辆横摆稳定预测控制器重构步骤中,对横摆角速度的状态空间方程进行不确定性传播,当第一个预测时域时,预测模型中前两项均为确定的值,最后一项是输入为确定值的高斯过程回归模型的输出,是一个随机变量,得到的第二个预测时域的横摆角速度是一个具有均值和方差信息的随机变量,当迭代预测到第二个预测时域时,高斯过程回归的输入为一个随机变量,表示为:Further, in the reconfiguration step of the vehicle yaw stability prediction controller for random disturbances in the environment, uncertainty propagation is performed on the state space equation of the yaw rate. When the first one is predicted in the time domain, the first two in the prediction model The items are all definite values, and the last item is the output of the Gaussian process regression model whose input is a definite value, which is a random variable. The yaw rate in the second predicted time domain is a random variable with mean and variance information , when iteratively forecasting to the second forecasting time domain, the input of Gaussian process regression is a random variable, expressed as:
采用迭代期望和条件方差公式,得到输入为随机变量的分布,由于输入为随机变量时模型的输出不一定服从高斯分布,需要对其进行泰勒展开近似处理,表示为:Using the iterative expectation and conditional variance formula, the distribution of the input as a random variable is obtained. Since the output of the model does not necessarily obey the Gaussian distribution when the input is a random variable, it needs to be approximated by Taylor expansion, which is expressed as:
m(x)=Ex(μ(x))≈μ(μ(x))m(x)=Ex (μ(x))≈μ(μ(x))
最终得到的函数分布表示为:The resulting function distribution is expressed as:
f2dof(x(k+i|k),u(k+i|k))~N(m2dof,v2dof)f2dof (x(k+i|k),u(k+i|k))~N(m2dof ,v2dof )
其中μ(x)和σ2(x)是关于x的函数,x服从高斯分布;Among them, μ(x) and σ2 (x) are functions about x, and x obeys Gaussian distribution;
联合高斯分布表示为:The joint Gaussian distribution is expressed as:
横摆角速度的状态空间方程整体表示为:The overall state space equation of the yaw rate is expressed as:
进一步的,所述横摆角速度的约束如下:Further, the constraints on the yaw rate are as follows:
γmin≤γ(k+i|k)≤γmaxγmin ≤γ(k+i|k)≤γmax
其中:in:
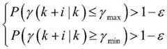
横摆角速度约束为一个概率约束,表示为:The yaw rate constraint is a probability constraint, expressed as:
其中1-ε为置信度等级,以百分之95为例,横摆角速度以百分之95的概率满足该约束,通过查询标准正态分布表,将概率约束转化为:Among them, 1-ε is the confidence level. Taking 95% as an example, the yaw rate satisfies the constraint with a probability of 95%. By querying the standard normal distribution table, the probability constraint is transformed into:
将目标函数用期望的形式表示,并通过期望平方公式转化为:Express the objective function in the expected form, and transform it into:
其中Tr表示矩阵的迹,Σx为状态量的协方差矩阵。Where Tr represents the trace of the matrix, and Σx is the covariance matrix of the state quantity.
进一步的,所述针对环境不确定性预测控制器的重构步骤中,得到最终的非线性规划优化问题,表示为:Further, in the reconstruction step of the predictive controller for environmental uncertainty, the final nonlinear programming optimization problem is obtained, expressed as:
与现有技术相比,本发明的有益效果是:Compared with prior art, the beneficial effect of the present invention is:
1.本发明采用数据机理混合模型实现对模型误差的补偿,提高预测模型的精度,从而提高电子车身稳定系统的控制性能;1. The present invention adopts the data mechanism mixed model to realize the compensation to the model error, improves the accuracy of the prediction model, thereby improves the control performance of the electronic body stabilization system;
2.本发明针对环境中的不确定性,采用期望和方差量化不确定性,考虑到预测时域内的不确定性传播,将概率约束转化为确定性约束,对约束进行收紧实现对环境不确定性干扰的抑制,进一步提升被控车辆的稳定性。2. For the uncertainty in the environment, the present invention uses expectation and variance to quantify the uncertainty, and takes into account the propagation of uncertainty in the forecast time domain, transforms the probability constraint into a deterministic constraint, and tightens the constraint to realize the uncertainty of the environment. Deterministic interference suppression further improves the stability of the controlled vehicle.
附图说明Description of drawings
图1是本发明中电动汽车横摆稳定学习预测控制系统框图。Fig. 1 is a block diagram of an electric vehicle yaw stability learning predictive control system in the present invention.
图2是本发明中二自由度机理车辆模型示意图。Fig. 2 is a schematic diagram of the vehicle model of the two-degree-of-freedom mechanism in the present invention.
图3是本发明中二自由度车辆机理模型与数据机理混合模型的模型误差对比图。Fig. 3 is a comparison diagram of model errors between a two-degree-of-freedom vehicle mechanism model and a data mechanism hybrid model in the present invention.
图4是本发明中没有不确定性传播的预测模型示意图。Fig. 4 is a schematic diagram of a prediction model without uncertainty propagation in the present invention.
图5是本发明中有不确定性传播的预测模型示意图。Fig. 5 is a schematic diagram of a prediction model with uncertainty propagation in the present invention.
图6是本发明中路面附着系数为0.8,初始速度为60km/h的横摆角速度跟踪曲线。Fig. 6 is the tracking curve of the yaw rate with the road surface adhesion coefficient being 0.8 and the initial speed being 60km/h in the present invention.
图7是本发明中路面附着系数为0.8,初始速度为60km/h的质心侧偏角曲线。Fig. 7 is the center-of-mass slip angle curve with the road surface adhesion coefficient being 0.8 and the initial speed being 60km/h in the present invention.
图8是本发明中二自由度车辆机理模型与数据机理混合模型作为预测模型时设计的控制器横摆角速度跟踪曲线。Fig. 8 is the yaw rate tracking curve of the controller designed when the two-degree-of-freedom vehicle mechanism model and the data mechanism hybrid model are used as the predictive model in the present invention.
具体实施方式Detailed ways
为了使本发明的目的、技术方案及优点更加清楚明白,以下结合附图及实施例,对本发明进行进一步详细说明。应当理解,此处所描述的具体实施例仅仅用以解释本发明,并不用于限定本发明。In order to make the object, technical solution and advantages of the present invention clearer, the present invention will be further described in detail below in conjunction with the accompanying drawings and embodiments. It should be understood that the specific embodiments described here are only used to explain the present invention, not to limit the present invention.
以下结合具体实施例对本发明的具体实现进行详细描述。The specific implementation of the present invention will be described in detail below in conjunction with specific embodiments.
如图1-8所示,为本发明一个实施例提供的一种考虑外部干扰下电动汽车横摆稳定学习预测控制方法,包括以下步骤:As shown in Figures 1-8, an embodiment of the present invention provides an electric vehicle yaw stability learning predictive control method considering external disturbances, including the following steps:
数据机理混合模型的搭建:数据机理混合模型作为四轮驱动电动汽车横摆稳定控制器的预测模型,通过高斯过程回归模型对二自由度车辆模型的误差进行补偿,得到高精度的预测模型;Construction of the data-mechanism hybrid model: The data-mechanism hybrid model is used as the prediction model of the yaw stability controller of the four-wheel drive electric vehicle, and the error of the two-degree-of-freedom vehicle model is compensated by the Gaussian process regression model to obtain a high-precision prediction model;
横摆稳定预测控制器的设计:考虑车辆执行机构约束以及车辆横摆稳定性约束,根据横摆稳定控制器控制目标构建模型预测控制器的代价函数,得到最终的优化问题;The design of the yaw stability predictive controller: Considering the constraints of the vehicle actuator and the vehicle yaw stability, the cost function of the model predictive controller is constructed according to the control objective of the yaw stability controller, and the final optimization problem is obtained;
针对环境不确定性预测控制器的重构:将预测时域内的不确定性扰动进行传播,然后将概率约束转化为确定性约束,得到最终的非线性规划优化问题;Reconstruction of the predictive controller for environmental uncertainty: propagate the uncertain disturbance in the forecast time domain, and then transform the probability constraints into deterministic constraints to obtain the final nonlinear programming optimization problem;
通过优化求解得到控制器的控制信号,将得到的前轮转角以及四个车轮的驱动力矩作用于被控车辆。The control signal of the controller is obtained through the optimization solution, and the obtained front wheel rotation angle and the driving torque of the four wheels are applied to the controlled vehicle.
在本发明实施例中,数据机理混合模型作为模型预测控制器的预测模型,开环预测被控车辆的运动状态,为控制器提供未来一段时间的运动状态轨迹,使控制器能够提前应对环境的变化,从而做出相应的控制动作。横摆稳定预测控制器是根据跟踪期望横摆角速度和抑制质心侧偏角的控制目标,在执行机构的物理约束和车辆稳定性约束的条件下,通过优化求解得到电动汽车的前轮转角和四个车轮的驱动力矩,并将控制信号作用与被控车辆。针对环境不确定性预测控制器的重构是针对环境中存在的不确定性,考虑不确定性在预测时域内的传播问题,将存在的概率约束转化为确定性约束,从而将不可处理的随机优化问题转化为一个确定性的非线性优化问题,降低了控制器的求解难度以及计算负担。In the embodiment of the present invention, the data-mechanism hybrid model is used as the prediction model of the model prediction controller to open-loop predict the motion state of the controlled vehicle, and provide the controller with the motion state trajectory for a period of time in the future, so that the controller can respond to environmental changes in advance Changes, so as to make corresponding control actions. The yaw stability predictive controller is based on the control objectives of tracking the desired yaw rate and suppressing the side slip angle of the center of mass, and under the conditions of the physical constraints of the actuator and the vehicle stability constraints, the front wheel angle and four-wheel angle of the electric vehicle are obtained through optimization. The driving torque of each wheel, and the control signal is applied to the controlled vehicle. The reconstruction of the predictive controller for environmental uncertainty is aimed at the uncertainty existing in the environment, considering the propagation of uncertainty in the prediction time domain, and transforming the existing probability constraints into deterministic constraints, so as to convert the unmanageable random The optimization problem is transformed into a deterministic nonlinear optimization problem, which reduces the difficulty of solving the controller and the computational burden.
作为本发明的一种优选实施例,所述数据机理混合模型的搭建步骤中,As a preferred embodiment of the present invention, in the step of building the data mechanism hybrid model,
电动汽车的横摆稳定性控制的目的是车辆行驶过程中防止轮胎进入非线性区域导致车辆发生侧滑甚至侧翻等现象,车辆的侧偏角主要取决于车辆的横摆角速度以及质心侧偏角,因此选取车辆的质心侧偏角和横摆角速度作为控制器的状态变量,即x=[β,γ],控制器的控制变量为车辆的前轮转角以及四个车轮的驱动力矩,即u=[δf,Tfl,Trl,Tfr,Trr],搭建二自由度车辆模型用于状态变量的预测,数据机理混合模型的动态方程表示为:The purpose of the yaw stability control of electric vehicles is to prevent the tires from entering the non-linear region during driving, causing the vehicle to slip or even rollover. , so the sideslip angle and yaw rate of the vehicle are selected as the state variables of the controller, that is, x=[β,γ], and the control variables of the controller are the front wheel angle of the vehicle and the driving torque of the four wheels, that is, u =[δf , Tfl , Trl , Tfr , Trr ], build a two-degree-of-freedom vehicle model for the prediction of state variables, and the dynamic equation of the data-mechanism hybrid model is expressed as:
其中f2dof(x,u)为二自由度机理模型,gc(x,u)为二自由度车辆模型的模型误差,ω为预测模型中的随机扰动,服从均值为0,标准差为σ的高斯分布,Bd为模型误差和不确定性扰动权重系数。where f2dof (x,u) is the two-degree-of-freedom mechanism model, gc (x,u) is the model error of the two-degree-of-freedom vehicle model, ω is the random disturbance in the prediction model, and the mean value is 0, and the standard deviation is σ Gaussian distribution of Bd is the weight coefficient of model error and uncertainty disturbance.
作为本发明的一种优选实施例,二自由度车辆机理模型假设车辆的两个前轮转角相等,且忽略左右轮距之间的影响,将前后轴的左右轮简化为一个轮,质心侧偏角和横摆角速度的动态方程为:As a preferred embodiment of the present invention, the two-degree-of-freedom vehicle mechanism model assumes that the two front wheels of the vehicle have the same rotation angle, and ignores the influence between the left and right wheelbases, and simplifies the left and right wheels of the front and rear axles into one wheel, and the center of mass is sideways. The dynamic equations for angular and yaw rate are:
其中β和γ为车辆的质心侧偏角和横摆角速度,m为车身质量,V为车辆的纵向速度,Fyf和Fyr为前轮和后轮的侧向力,Lf和Lr分别为前轴和后轴到质心的距离,Iz为车身的横摆转动惯量,Mz为车辆的横摆力矩;忽略纵向力对侧向力的影响,采用纯侧偏工况下的简化魔术公式轮胎模型,侧向力表示为:where β and γ are the sideslip angle and yaw rate of the vehicle, m is the body mass, V is the longitudinal velocity of the vehicle, Fyf and Fyr are the lateral forces of the front and rear wheels, Lf and Lr are respectively is the distance from the front and rear axles to the center of mass, Iz is the yaw moment of inertia of the vehicle body, and Mz is the yaw moment of the vehicle; ignoring the influence of the longitudinal force on the lateral force, the simplified magic under pure cornering conditions is used Formula tire model, the lateral force is expressed as:
其中Cf和Cr分别为前轮和后轮的侧偏刚度,Ka和Kb为前后轮的轮胎力拟合参数,αf和αr为前轮和后轮的侧偏角,侧偏角表示为:where Cf and Cr are the cornering stiffnesses of the front and rear wheels respectively, Ka and Kb are the tire force fitting parameters of the front and rear wheels, αf and αr are the slip angles of the front and rear wheels, and The deflection angle is expressed as:
其中δf为前轮转角,忽略轮胎滚动过程中的滚动阻力、空气阻力以及加速阻力,车辆的横摆力矩表示为:whereδf is the front wheel rotation angle, ignoring the rolling resistance, air resistance and acceleration resistance during tire rolling, the yaw moment of the vehicle is expressed as:
其中Tfr、Trr、Tfl、Trl为前右、后右、前左、后左轮的驱动力矩,Re为轮胎滚动过程中的有效滚动半径;Among them, Tfr , Trr , Tfl , Trl are the driving moments of the front right, rear right, front left, and rear left wheels, and Re is the effective rolling radius of the tire during rolling;
二自由度车辆模型具有较大的模型误差,对车辆横摆稳定控制器设计具有较大影响,本发明采用高斯过程回归模型对二自由度车辆模型的误差进行补偿,即式1中的gc(x,u)+ω项;The two-degree-of-freedom vehicle model has a large model error, which has a great influence on the design of the vehicle yaw stability controller. The present invention uses a Gaussian process regression model to compensate the error of the two-degree-of-freedom vehicle model, that is,g in formula 1 (x,u)+ω term;
首先是数据采集,需要将二自由度车辆模型用于控制器设计,将设计好的控制器作用于被控车辆,获取被控车辆在行驶过程中的实时数据,与二自由度车辆模型的数据对比,获得二自由度车辆模型的误差数据,用于误差模型的训练。The first is data acquisition. It is necessary to use the two-degree-of-freedom vehicle model for controller design, apply the designed controller to the controlled vehicle, and obtain real-time data of the controlled vehicle during driving, which can be compared with the data of the two-degree-of-freedom vehicle model. In contrast, the error data of the two-degree-of-freedom vehicle model is obtained for the training of the error model.
由于高斯过程回归模型是一个非参数的机器学习模型,通过衡量点与点之间的距离来衡量数据之间的相关性,因此预测过程中需要将每一个训练样本储存起来,预测过程依赖每一个训练样本,因此高斯过程回归的训练集容量不能太大,否者会带来严重的计算负担。针对本发明的车辆稳定性控制系统,选取的数据集容量为900个样本,模型的输入数据为系统的横摆角速度、质心侧偏角、纵向速度、前轮转角以及四个车轮的驱动力矩,输出为二自由度车辆模型的横摆角速度偏差。Since the Gaussian process regression model is a non-parametric machine learning model, the correlation between data is measured by measuring the distance between points, so each training sample needs to be stored in the prediction process, and the prediction process relies on each Training samples, so the training set capacity of Gaussian process regression should not be too large, otherwise it will bring a serious computational burden. For the vehicle stability control system of the present invention, the data set capacity selected is 900 samples, and the input data of the model are the yaw rate of the system, the side slip angle of the center of mass, the longitudinal speed, the front wheel rotation angle and the driving torque of the four wheels, The output is the yaw rate deviation of the two-degree-of-freedom vehicle model.
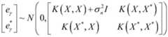
高斯过程回归假设函数服从一个先验分布,然后通过证据因子不断修正做出的假设,最终得到待拟合函数的后验分布,每一个目标值被认为服从一个联合高斯分布,本发明选择对预测模型中的横摆角速度进行误差补偿,因此模型的输出为模型的横摆角速度误差,横摆角速度误差之间服从高斯联合分布,表示为:Gaussian process regression assumes that the function obeys a priori distribution, and then continuously corrects the assumptions made by the evidence factor, and finally obtains the posterior distribution of the function to be fitted. Each target value is considered to obey a joint Gaussian distribution. The present invention selects the prediction The yaw rate in the model is compensated for errors, so the output of the model is the yaw rate error of the model, and the yaw rate errors obey the Gaussian joint distribution, expressed as:
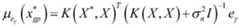
其中eγ为采集到的横摆角速度误差,为待预测的横摆角速度误差,X为训练数据向量,即X=[xgp,1,xgp,2,L,xgp,900],其中xgp=(β,γ,V,δf,Tfl,Tfr,Trl,Trr),为用于高斯过程回归模型训练的输入数据,X*为待预测数据向量,即/>通过高斯联合分布推断公式得到待预测横摆角速度的均值/>和方差/>预测公式表示为:where eγ is the collected yaw rate error, is the yaw rate error to be predicted, X is the training data vector, that is, X=[xgp,1 ,xgp,2 ,L,xgp,900 ], where xgp =(β,γ,V,δf ,Tfl ,Tfr ,Trl ,Trr ), is the input data for Gaussian process regression model training, X* is the data vector to be predicted, ie /> The mean value of the yaw rate to be predicted is obtained by the Gaussian joint distribution inference formula/> and variance /> The prediction formula is expressed as:
其中为待预测数据;in is the data to be predicted;
可见高斯过程回归的预测过程计算量最大的部分为协方差矩阵求逆,计算复杂度为O(n3),为了降低模型推断过程中的计算复杂度,采用Cholesky分解对矩阵求逆进行简化运算,式6中K(X,X)为高斯过程回归的协方差矩阵,是一个半正定矩阵,用来衡量输入数据点与点之间的距离,根据距离预测该点的均值和方差。本发明中采用的训练集容量n为900,因此式6中协方差矩阵表示为:It can be seen that the most computationally intensive part of the prediction process of Gaussian process regression is the inversion of the covariance matrix, and the computational complexity is O(n3 ). In order to reduce the computational complexity in the model inference process, Cholesky decomposition is used to simplify the matrix inversion. , K(X,X) in
其中k(xgp,u,xgp,v)表示模型的核函数,衡量两个点之间的距离,u和v代表训练样本向量中的每一个样本,范围是1到n,将AutomaticRelevanceDetermination高斯核函数作为高斯过程回归模型中的核函数,具体形式为:Where k(xgp,u ,xgp,v ) represents the kernel function of the model, which measures the distance between two points, u and v represent each sample in the training sample vector, the range is 1 to n, and the AutomaticRelevanceDetermination Gaussian The kernel function is used as the kernel function in the Gaussian process regression model, and the specific form is:
高斯过程回归模型中存在待优化参数θ=(sf,l1,l2,l3,l4,l5,l6,l7,l8,σn),也称为超参数。高斯过程回归模型建立完成之后,模型中存在这些超参数,需要进行模型训练来优化求解这些超参数。由于高斯过程回归属于贝叶斯机器学习,贝叶斯机器学习模型训练的常用方法为最大化边际似然函数。In the Gaussian process regression model, there are parameters to be optimized θ=(sf ,l1 ,l2 ,l3 ,l4 ,l5 ,l6 ,l7 ,l8 ,σn ), which are also called hyperparameters. After the Gaussian process regression model is established, these hyperparameters exist in the model, and model training is required to optimize and solve these hyperparameters. Since Gaussian process regression belongs to Bayesian machine learning, the common method of Bayesian machine learning model training is to maximize the marginal likelihood function.
作为本发明的一种优选实施例,所述高斯过程回归模型的训练采用最大化边际似然函数,边际似然函数logP(eγ|X)的具体公式为:As a preferred embodiment of the present invention, the training of the Gaussian process regression model adopts the maximum marginal likelihood function, and the specific formula of the marginal likelihood function logP(eγ |X) is:
其中P(eγ|X)为给定训练数据X条件下eγ的条件概率,表示为数据的拟合程度,/>为模型的复杂度,n是样本数量;where P(eγ |X) is the conditional probability of eγ under the condition of given training data X, Expressed as the degree of fit to the data, /> is the complexity of the model, n is the number of samples;
高斯过程回归模型的训练需要最大化边际似然函数,即式10,本发明采用的是基于梯度的牛顿优化算法,值得注意的是,式10是一个非凸函数,优化求解得到的超参数可能为局部最小值,因此需要对模型进行交叉验证。本发明对模型进行简单交叉验证,将数据集分为两部分,一部分为训练集,另一部分为验证集,其中训练集来自模型采集的历史数据,验证集采用的是控制器运行产生的新的数据,通过先验知识对高斯过程回归的超参数进行调整,改变各个特征的权重系数以及方差系数,得到期望的泛化误差。The training of the Gaussian process regression model needs to maximize the marginal likelihood function, that is, formula 10. The present invention uses a gradient-based Newton optimization algorithm. It is worth noting that formula 10 is a non-convex function, and the hyperparameters obtained by optimizing the solution may be is a local minimum, so the model needs to be cross-validated. The invention performs simple cross-validation on the model, and divides the data set into two parts, one part is a training set, and the other part is a verification set, wherein the training set comes from the historical data collected by the model, and the verification set adopts the new data generated by the operation of the controller. Data, adjust the hyperparameters of Gaussian process regression through prior knowledge, change the weight coefficient and variance coefficient of each feature, and obtain the expected generalization error.
通过对二自由度机理模型建模和高斯过程回归误差模型建模,得到了机理数据混合模型,为了验证机理数据混合模型,将得到的预测模型用于控制器设计,验证得到的模型误差与二自由度车辆模型的模型误差对比结果见图3,可见数据机理混合模型的模型误差远小于二自由度车辆模型,提高了模型预测控制器的模型精度,进而提升车辆横摆稳定控制器的控制性能。By modeling the two-degree-of-freedom mechanism model and the Gaussian process regression error model, the mechanism data mixture model was obtained. In order to verify the mechanism data mixture model, the obtained prediction model was used in the controller design, and the obtained model error was verified to be consistent with the two The model error comparison results of the DOF vehicle model are shown in Figure 3. It can be seen that the model error of the data-mechanism hybrid model is much smaller than that of the two-DOF vehicle model, which improves the model accuracy of the model predictive controller, thereby improving the control performance of the vehicle yaw stability controller. .
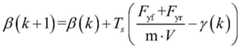
作为本发明的一种优选实施例,得到高精度的数据机理混合预测模型后,根据横摆稳定控制器的控制目标以及约束条件设计车辆横摆稳定控制器。为了便于控制器设计,对数据机理混合模型进行离散化,得到离散的状态空间方程如下:As a preferred embodiment of the present invention, after obtaining the high-precision data-mechanism mixed prediction model, the vehicle yaw stability controller is designed according to the control objectives and constraints of the yaw stability controller. In order to facilitate controller design, the data-mechanism hybrid model is discretized, and the discrete state-space equation is obtained as follows:
其中Ts为系统的采样时间,车辆横摆稳定控制器的状态变量为x=[β(k),γ(k)],控制量为u=[δf(k),Tfl(k),Trl(k),Tfr(k),Trr(k)],控制器的控制目标为尽可能跟踪车辆期望的横摆角速度和抑制车辆的质心侧偏角,同时应保证车辆行驶的舒适性,控制器的控制动作变化幅度尽可能小,因此目标函数如下:Where Ts is the sampling time of the system, the state variable of the vehicle yaw stability controller is x=[β(k),γ(k)], and the control quantity is u=[δf (k), Tfl (k) ,Trl (k),Tfr (k),Trr (k)], the control goal of the controller is to track the expected yaw rate of the vehicle as much as possible and restrain the sideslip angle of the vehicle’s center of mass, while ensuring the Comfort, the control action of the controller changes as little as possible, so the objective function is as follows:
其中xref(k+i|k)为系统跟踪的参考序列,横摆角速度参考值由输入的前轮转角通过稳态转向模型计算获取,质心侧偏角的参考值设置为0,(k+i|k)代表在第k时刻预测第k+i时刻的值,Δu(k+i|k)=u(k+i|k)-u(k+i-1|k),代表控制量的变化率,影响车辆行驶过程中的舒适性,N为控制器的预测时域,i为预测时域内的特定时刻,范围为0到N-1,P和Q均为控制器的权重矩阵。where xref (k+i|k) is the reference sequence of the system tracking, the reference value of the yaw rate is calculated by the input front wheel angle through the steady-state steering model, the reference value of the side slip angle of the center of mass is set to 0, (k+ i|k) represents the value predicted at time k+i at time k, Δu(k+i|k)=u(k+i|k)-u(k+i-1|k), represents the control amount The change rate of , which affects the comfort of the vehicle during driving, N is the forecast time domain of the controller, i is a specific moment in the forecast time domain, ranging from 0 to N-1, P and Q are the weight matrix of the controller.
为本发明的一种优选实施例,控制器设计应满足车辆执行机构约束以及车辆的行驶稳定性约束,所述车辆横摆稳定性约束为:As a preferred embodiment of the present invention, the design of the controller should meet the constraints of the vehicle actuator and the driving stability constraints of the vehicle, and the vehicle yaw stability constraints are:
其中βmin、βmax、γmin、γmax分别为维持车辆稳定的质心侧偏角最小、最大值和横摆角速度的最小、最大值;Where βmin , βmax , γmin , and γmax are the minimum and maximum sideslip angles and the minimum and maximum values of the yaw rate to maintain vehicle stability, respectively;
所述车辆执行机构约束为:The constraints of the vehicle actuators are:
其中Tmin、Tmax分别为前轮转角的最小、最大值以及驱动力矩的最小、最大值;j表示车辆的四个轮胎,范围为1到4。in Tmin and Tmax are the minimum and maximum values of the front wheel rotation angle and the minimum and maximum value of the driving torque respectively; j represents the four tires of the vehicle, ranging from 1 to 4.
作为本发明的一种优选实施例,所述横摆稳定预测控制器的设计步骤中,最终的优化问题描述,表示为:As a preferred embodiment of the present invention, in the design steps of the yaw stability predictive controller, the final optimization problem description is expressed as:
作为本发明的一种优选实施例,上述设计的电动汽车横摆稳定控制器没有考虑到环境中的不确定性对控制器的影响,针对环境中的不确定性,需要对预测模型中的外部扰动进行处理,同时优化问题中的约束条件以及目标函数也需要进行相应的重构,最终得到重构的优化问题描述。As a preferred embodiment of the present invention, the electric vehicle yaw stability controller designed above does not consider the influence of the uncertainty in the environment on the controller. At the same time, the constraints and objective functions in the optimization problem also need to be reconstructed accordingly, and finally the reconstructed optimization problem description is obtained.
首先需要考虑的是预测模型中不确定性随着预测时域传播的问题,离散化后的车辆横摆稳定控制器的预测模型如式11所示,所述针对环境随机扰动的车辆横摆稳定预测控制器重构步骤中,本发明只对横摆角速度的状态空间方程进行不确定性传播,当第一个预测时域时,预测模型中前两项均为确定的值,最后一项是输入为确定值的高斯过程回归模型的输出,是一个随机变量,得到的第二个预测时域的横摆角速度是一个具有均值和方差信息的随机变量,当迭代预测到第二个预测时域时,高斯过程回归的输入为一个随机变量,表示为:The first thing to consider is the propagation of uncertainty in the prediction model along with the prediction time domain. The prediction model of the discretized vehicle yaw stability controller is shown in Equation 11. The vehicle yaw stability for random disturbances in the environment In the reconfiguration step of the predictive controller, the present invention only performs uncertainty propagation on the state space equation of the yaw rate. When the first forecast time domain is used, the first two items in the forecast model are definite values, and the last item is The output of the Gaussian process regression model whose input is a definite value is a random variable. The yaw rate in the second prediction time domain obtained is a random variable with mean and variance information. When the iterative prediction reaches the second prediction time domain When , the input of Gaussian process regression is a random variable, expressed as:
当输入为随机变量时,采用迭代期望和条件方差公式,得到输入为随机变量的分布,如下:When the input is a random variable, the iterative expectation and conditional variance formula are used to obtain the distribution of the input as a random variable, as follows:
其中μ(x)和σ2(x)是关于x的函数,x服从一个高斯分布,由于输入为随机变量时模型的输出不一定服从高斯分布,需要对其进行泰勒展开近似处理,式17转化为:Among them, μ(x) and σ2 (x) are functions about x, and x obeys a Gaussian distribution. Since the output of the model does not necessarily obey the Gaussian distribution when the input is a random variable, it needs to be approximated by Taylor expansion. Equation 17 transforms for:
最终得到的函数分布表示为:The resulting function distribution is expressed as:
求得两个函数的概率分布之后,目前式11中横摆角速度预测模型中三项的概率分布都已经得到,三项均服从高斯分布,因此需要考虑三项之间的协方差矩阵对预测模型的影响,联合高斯分布表示为:After obtaining the probability distributions of the two functions, the probability distributions of the three items in the yaw rate prediction model in Eq. The influence of the joint Gaussian distribution is expressed as:
横摆角速度的状态空间方程整体表示为:The overall state space equation of the yaw rate is expressed as:
图4为没有不确定性传播的不确定性预测示意图,图5为有不确定性传播的不确定性预测示意图。可以看出考虑不确定性传播之后,预测时域内的不确定性逐渐增加,控制器可根据不确定性信息设计不同程度的约束收紧策略,提升控制器的安全性能。Fig. 4 is a schematic diagram of uncertainty prediction without uncertainty propagation, and Fig. 5 is a schematic diagram of uncertainty prediction with uncertainty propagation. It can be seen that after considering the uncertainty propagation, the uncertainty in the prediction time domain gradually increases, and the controller can design different degrees of constraint tightening strategies according to the uncertainty information to improve the safety performance of the controller.
作为本发明的一种优选实施例,不确定性传播设计完成之后,横摆角速度的概率约束需要进行处理,否则无法进行控制器优化问题求解,通过将概率约束转换为确定性约束进行处理,本发明采用标准正态分布寻找出概率区间对应的标准差,最终转换为确定性约束。横摆角速度的约束如下:As a preferred embodiment of the present invention, after the uncertainty propagation design is completed, the probability constraints of the yaw rate need to be processed, otherwise the controller optimization problem cannot be solved, and the probability constraints are converted into deterministic constraints for processing. The invention uses the standard normal distribution to find the standard deviation corresponding to the probability interval, and finally converts it into a deterministic constraint. The constraints on the yaw rate are as follows:
γmin≤γ(k+i|k)≤γmax (22)γmin ≤ γ(k+i|k) ≤ γmax (22)
其中:in:
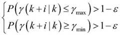
预测时域内的横摆角速度都应满足该约束,由于预测时域内横摆角速度服从一个概率分布,因此横摆角速度约束为一个概率约束,表示为:The yaw rate in the predicted time domain should satisfy this constraint. Since the yaw rate in the predicted time domain obeys a probability distribution, the yaw rate constraint is a probability constraint, expressed as:
其中1-ε为置信度等级,以百分之95为例,横摆角速度以百分之95的概率满足该约束,通过查询标准正态分布表,将概率约束转化为:Among them, 1-ε is the confidence level. Taking 95% as an example, the yaw rate satisfies the constraint with a probability of 95%. By querying the standard normal distribution table, the probability constraint is transformed into:
概率约束转换为确定性约束后,最后需要对目标函数进行重构,目标函数中由于存在随机变量,将目标函数用期望的形式表示,表示为:After the probabilistic constraints are converted into deterministic constraints, the objective function needs to be reconstructed at last. Due to the existence of random variables in the objective function, the objective function is expressed in an expected form, which is expressed as:
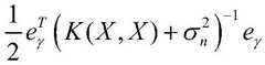
通过期望平方公式转化为:Transformed by the expected square formula:
其中Tr表示矩阵的迹,Σx为状态量的协方差矩阵。Where Tr represents the trace of the matrix, and Σx is the covariance matrix of the state quantity.
作为本发明的一种优选实施例,所述针对环境不确定性预测控制器的重构步骤中,得到最终的非线性规划优化问题,表示为:As a preferred embodiment of the present invention, in the reconstruction step of the predictive controller for environmental uncertainty, the final nonlinear programming optimization problem is obtained, expressed as:
该优化问题考虑到了不确定性在预测时域内的传播问题,采用概率约束对环境中的不确定性进行约束收紧,最后对目标函数进行重构,实现了从不可处理的随机优化问题转化为一个确定性的非线性规划问题,通过对非线性优化问题进行求解,可以得到被控车辆的前轮转角信号以及四个车轮的驱动力矩信号并作用于被控车辆。上述优化问题通过考虑环境中存在的不确定性扰动进一步提升车辆横摆稳定控制器的安全性能。This optimization problem takes into account the propagation of uncertainty in the prediction time domain, and uses probability constraints to tighten the constraints on the uncertainty in the environment. Finally, the objective function is reconstructed, realizing the transformation from an unhandleable stochastic optimization problem to A deterministic nonlinear programming problem. By solving the nonlinear optimization problem, the front wheel angle signal of the controlled vehicle and the driving torque signals of the four wheels can be obtained and acted on the controlled vehicle. The above optimization problem further improves the safety performance of the vehicle yaw stability controller by considering the uncertain disturbances in the environment.
实验验证Experimental verification
为了验证本发明控制器的有效性,采用Simulink-CarSim仿真平台对控制器的有效性进行验证。仿真环境的采样时间设置为10ms,控制器的预测时域和控制时域为10,在不断增大方向盘转角的工况作为横摆稳定控制器的实验工况,电动汽车的初始速度为60km/h,路面附着系数为0.8,验证横摆稳定控制器的有效性。图6为横摆角速度跟踪期望值曲线,图7为质心侧偏角抑制曲线,可以看出横摆角速度曲线可以更好的跟踪期望值,而质心侧偏角的峰值接近0.05rad,约为2.86°,远小于汽车失稳的边界值5°。图8为本发明设计的控制器与二自由度车辆模型设计的控制器横摆角速度跟踪对比曲线,可以看出二自由度模型由于较大的模型误差,横摆角速度的跟踪性能较差,而采用数据机理混合模型实现了对二自由度车辆模型的误差进行补偿,减小了模型误差,控制性能得到了显著提升。通过上述实验证明,该电动汽车横摆稳定控制器具有良好的控制性能,能够进一步提升电子车身稳定系统的控制性能,同时提高车辆行驶的操纵稳定性。In order to verify the effectiveness of the controller of the present invention, the Simulink-CarSim simulation platform is used to verify the effectiveness of the controller. The sampling time of the simulation environment is set to 10ms, the prediction time domain and the control time domain of the controller are 10, and the working condition of increasing the steering wheel angle is used as the experimental working condition of the yaw stability controller, and the initial speed of the electric vehicle is 60km/h h, the adhesion coefficient of the road surface is 0.8, which verifies the effectiveness of the yaw stability controller. Figure 6 is the yaw rate tracking expected value curve, and Figure 7 is the mass center slip angle suppression curve. It can be seen that the yaw rate curve can better track the expected value, and the peak value of the mass center slip angle is close to 0.05rad, which is about 2.86°. Far less than the
本发明的工作原理是:The working principle of the present invention is:
首先搭建二自由度车辆模型作为预测模型设计初始的电动汽车横摆稳定控制器,将该控制器作用于被控车辆,在车辆运行过程中采集实车数据或高精度仿真软件数据,将采集的数据与二自由度车辆模型的预测数据对比,获得二自由度车辆模型的误差数据,由此数据训练高斯过程回归模型,利用该模型实现对二自由度车辆模型的误差补偿,得到数据机理混合预测模型;随后进行电动汽车横摆稳定控制器的设计,采用模型预测控制的控制方法,考虑电动汽车执行机构约束以及车辆稳定性约束,跟踪期望的横摆角速度以及抑制车辆的质心侧偏角,构造对应的代价函数;最后通过量化环境中的不确定性,考虑预测时域内的不确定性传播问题,将概率约束转化为确定性约束,最终将不可处理的随机优化问题转化为典型的非线性规划问题,通过优化求解得到最终的前轮转角以及四个车轮的驱动力矩并作用与系统,保证被控车辆的横摆稳定性。First, a two-degree-of-freedom vehicle model is built as a predictive model to design the initial electric vehicle yaw stability controller, and the controller is applied to the controlled vehicle, and real vehicle data or high-precision simulation software data are collected during vehicle operation. Comparing the data with the prediction data of the two-degree-of-freedom vehicle model, the error data of the two-degree-of-freedom vehicle model is obtained, and the Gaussian process regression model is trained from this data, and the error compensation of the two-degree-of-freedom vehicle model is realized by using the model, and the mixed prediction of the data mechanism is obtained Model; followed by the design of the electric vehicle yaw stability controller, using the control method of model predictive control, considering the constraints of the electric vehicle actuator and vehicle stability, tracking the desired yaw rate and suppressing the side slip angle of the vehicle's center of mass, and constructing The corresponding cost function; finally, by quantifying the uncertainty in the environment, considering the uncertainty propagation problem in the prediction time domain, transforming the probability constraints into deterministic constraints, and finally transforming the intractable stochastic optimization problem into a typical nonlinear programming For the problem, the final front wheel angle and the driving torque of the four wheels are obtained by optimizing the solution and act on the system to ensure the yaw stability of the controlled vehicle.
以上仅是本发明的优选实施方式,应当指出,对于本领域的技术人员来说,在不脱离本发明构思的前提下,还可以作出若干变形和改进,这些也应该视为本发明的保护范围,这些均不会影响本发明实施的效果和专利的实用性。The above are only preferred embodiments of the present invention. It should be pointed out that for those skilled in the art, some modifications and improvements can be made without departing from the concept of the present invention, and these should also be regarded as the protection scope of the present invention. , these will not affect the effect of the implementation of the present invention and the practicability of the patent.
| Application Number | Priority Date | Filing Date | Title |
|---|---|---|---|
| CN202211623241.2ACN116424343B (en) | 2022-12-16 | 2022-12-16 | Electric automobile yaw stability learning prediction control method considering external interference |
| Application Number | Priority Date | Filing Date | Title |
|---|---|---|---|
| CN202211623241.2ACN116424343B (en) | 2022-12-16 | 2022-12-16 | Electric automobile yaw stability learning prediction control method considering external interference |
| Publication Number | Publication Date |
|---|---|
| CN116424343Atrue CN116424343A (en) | 2023-07-14 |
| CN116424343B CN116424343B (en) | 2025-05-30 |
| Application Number | Title | Priority Date | Filing Date |
|---|---|---|---|
| CN202211623241.2AActiveCN116424343B (en) | 2022-12-16 | 2022-12-16 | Electric automobile yaw stability learning prediction control method considering external interference |
| Country | Link |
|---|---|
| CN (1) | CN116424343B (en) |
| Publication number | Priority date | Publication date | Assignee | Title |
|---|---|---|---|---|
| CN119165867A (en)* | 2024-11-15 | 2024-12-20 | 成都农业科技职业学院 | Automatic inspection control method for agricultural inspection robot |
| CN119937317A (en)* | 2025-01-23 | 2025-05-06 | 百科荣创(山东)科技发展有限公司 | Electric vehicle simulation model test control platform and method |
| Publication number | Priority date | Publication date | Assignee | Title |
|---|---|---|---|---|
| US20080086248A1 (en)* | 2006-08-30 | 2008-04-10 | Ford Global Technologies, Llc | Integrated control system for stability control of yaw, roll and lateral motion of a driving vehicle using an integrated sensing system with pitch information |
| CN109888788A (en)* | 2019-02-18 | 2019-06-14 | 国网江苏省电力有限公司苏州供电分公司 | A solution method for optimal power flow in power system |
| WO2020187462A1 (en)* | 2019-03-15 | 2020-09-24 | Volkswagen Aktiengesellschaft | Controlling an autonomous or partially autonomous vehicle |
| CN112677992A (en)* | 2020-12-31 | 2021-04-20 | 北京理工大学 | Path tracking optimization control method for distributed driving unmanned vehicle |
| CN112731813A (en)* | 2020-12-29 | 2021-04-30 | 西北工业大学 | Spacecraft multi-source interference random model prediction control method based on composite disturbance observer |
| CN114684199A (en)* | 2022-04-29 | 2022-07-01 | 江苏大学 | A Mechanism Analysis-Data-Driven Vehicle Dynamics Series Hybrid Model, Intelligent Vehicle Trajectory Tracking Control Method and Controller |
| Publication number | Priority date | Publication date | Assignee | Title |
|---|---|---|---|---|
| US20080086248A1 (en)* | 2006-08-30 | 2008-04-10 | Ford Global Technologies, Llc | Integrated control system for stability control of yaw, roll and lateral motion of a driving vehicle using an integrated sensing system with pitch information |
| CN109888788A (en)* | 2019-02-18 | 2019-06-14 | 国网江苏省电力有限公司苏州供电分公司 | A solution method for optimal power flow in power system |
| WO2020187462A1 (en)* | 2019-03-15 | 2020-09-24 | Volkswagen Aktiengesellschaft | Controlling an autonomous or partially autonomous vehicle |
| CN112731813A (en)* | 2020-12-29 | 2021-04-30 | 西北工业大学 | Spacecraft multi-source interference random model prediction control method based on composite disturbance observer |
| CN112677992A (en)* | 2020-12-31 | 2021-04-20 | 北京理工大学 | Path tracking optimization control method for distributed driving unmanned vehicle |
| CN114684199A (en)* | 2022-04-29 | 2022-07-01 | 江苏大学 | A Mechanism Analysis-Data-Driven Vehicle Dynamics Series Hybrid Model, Intelligent Vehicle Trajectory Tracking Control Method and Controller |
| Title |
|---|
| 张一西;马建;唐自强;刘晓东;贺伊琳;: "分布式驱动电动汽车直接横摆力矩控制策略与仿真验证", 甘肃农业大学学报, no. 04, 15 August 2018 (2018-08-15), pages 165 - 173* |
| 景东印;: "分布式驱动电动汽车操纵稳定性控制仿真", 汽车工业研究, no. 11, 5 November 2018 (2018-11-05), pages 27 - 34* |
| 许芳、郭中一等: "四轮驱动电动汽车稳定性预测控制器快速实现", 控制理论与应用, vol. 39, no. 5, 31 May 2022 (2022-05-31), pages 777 - 787* |
| Publication number | Priority date | Publication date | Assignee | Title |
|---|---|---|---|---|
| CN119165867A (en)* | 2024-11-15 | 2024-12-20 | 成都农业科技职业学院 | Automatic inspection control method for agricultural inspection robot |
| CN119937317A (en)* | 2025-01-23 | 2025-05-06 | 百科荣创(山东)科技发展有限公司 | Electric vehicle simulation model test control platform and method |
| Publication number | Publication date |
|---|---|
| CN116424343B (en) | 2025-05-30 |
| Publication | Publication Date | Title |
|---|---|---|
| CN111507019B (en) | Iterative joint estimation method of vehicle mass and road gradient based on MMRLS and SH-STF | |
| CN107415939B (en) | A Steering Stability Control Method for Distributed Drive Electric Vehicles | |
| Wang et al. | Adaptive model predictive control-based path following control for four-wheel independent drive automated vehicles | |
| Song et al. | Direct‐yaw‐moment control of four‐wheel‐drive electrical vehicle based on lateral tyre–road forces and sideslip angle observer | |
| US11938923B1 (en) | Longitudinal and lateral vehicle motion cooperative control method based on fast solving algorithm | |
| US12122359B2 (en) | Coordinated control method for electric vehicles having independent four-wheel driving and steering | |
| CN112141101B (en) | A method and system for previewing safe paths based on CNN and LSTM | |
| CN109808707B (en) | A vehicle steering control method and controller based on stochastic model prediction | |
| CN116424343A (en) | Electric automobile yaw stability learning prediction control method considering external interference | |
| US12162472B1 (en) | Real-time control method for additional yaw moment of distributed drive electric vehicle | |
| CN113467470B (en) | Trajectory tracking control method of unmanned autonomous trolley | |
| Meng et al. | Real-time high-precision nonlinear tracking control of autonomous vehicles using fast iterative model predictive control | |
| CN115303289B (en) | A deep Gaussian vehicle dynamics model, training method, intelligent vehicle trajectory tracking control method and terminal device | |
| CN113433942A (en) | Long-axis vehicle path tracking control method based on optimal course angle | |
| Abdullahi et al. | Adaptive cruise control: A model reference adaptive control approach | |
| Zhang et al. | Adaptive backstepping fuzzy lateral motion control approach for autonomous vehicles | |
| CN114906128A (en) | Automatic parking motion planning method based on MCTS algorithm | |
| Hu et al. | Robust tube-based model predictive control for autonomous vehicle path tracking | |
| CN114802228A (en) | Collision avoidance control method based on vehicle lateral stability area | |
| Castellanos Molina et al. | Predictive handling limits monitoring and agility improvement with torque vectoring on a rear in-wheel drive electric vehicle | |
| Zhang et al. | Minimum time lane changing problem of vehicle handling inverse dynamics considering the driver’s intention | |
| CN118579052A (en) | An adaptive fault-tolerant control method for a distributed drive electric vehicle drive system | |
| He et al. | Lateral and longitudinal coordinated control of intelligent vehicle based on high-precision dynamics model under high-speed limit condition | |
| CN116588077A (en) | A road condition-based smart car parameter self-adjusting trajectory tracking system and smart car | |
| CN115892070A (en) | Four-wheel drive and four-wheel steering automatic driving automobile extreme obstacle avoidance working condition track tracking control method and equipment |
| Date | Code | Title | Description |
|---|---|---|---|
| PB01 | Publication | ||
| PB01 | Publication | ||
| SE01 | Entry into force of request for substantive examination | ||
| SE01 | Entry into force of request for substantive examination | ||
| GR01 | Patent grant | ||
| GR01 | Patent grant |