Movatterモバイル変換


[0]ホーム

URL:


CN116408793A - Industrial robot path fairing method and system with continuous curvature - Google Patents

Industrial robot path fairing method and system with continuous curvature
Download PDF

Info

Publication number
CN116408793A
CN116408793ACN202310121189.9ACN202310121189ACN116408793ACN 116408793 ACN116408793 ACN 116408793ACN 202310121189 ACN202310121189 ACN 202310121189ACN 116408793 ACN116408793 ACN 116408793A
Authority
CN
China
Prior art keywords
curvature
objective function
shape adjustment
path
solving
Prior art date
Legal status (The legal status is an assumption and is not a legal conclusion. Google has not performed a legal analysis and makes no representation as to the accuracy of the status listed.)
Granted
Application number
CN202310121189.9A
Other languages
Chinese (zh)
Other versions
CN116408793B (en
Inventor
何敏佳
彭健琼
李伟涛
吴世磊
关立文
Current Assignee (The listed assignees may be inaccurate. Google has not performed a legal analysis and makes no representation or warranty as to the accuracy of the list.)
Guangzhou Numerical Control Equipment Co Ltd
Original Assignee
Guangzhou Numerical Control Equipment Co Ltd
Priority date (The priority date is an assumption and is not a legal conclusion. Google has not performed a legal analysis and makes no representation as to the accuracy of the date listed.)
Filing date
Publication date
Application filed by Guangzhou Numerical Control Equipment Co LtdfiledCriticalGuangzhou Numerical Control Equipment Co Ltd
Priority to CN202310121189.9ApriorityCriticalpatent/CN116408793B/en
Publication of CN116408793ApublicationCriticalpatent/CN116408793A/en
Application grantedgrantedCritical
Publication of CN116408793BpublicationCriticalpatent/CN116408793B/en
Activelegal-statusCriticalCurrent
Anticipated expirationlegal-statusCritical

Links

Images

Classifications

Landscapes

Abstract

The invention belongs to the field of robot path planning, and discloses a method and a system for fairing paths of industrial robots with continuous curvatures, wherein the method comprises the following steps: reading a robot path and calculating curvatures at all position points on the path; dividing the path into curvature abrupt change areas and continuous areas; calculating the curvature, unit tangent vector and unit normal vector at two endpoints of the curvature abrupt change region; defining a quintic Bezier curve containing shape adjustment parameters; defining an objective function of the shape adjusting parameter according to boundary conditions, curvature change energy and length energy composite minimum principle at the end points; converting the shape adjustment parameter solving problem into a minimized objective function problem, respectively solving partial derivatives of the shape adjustment parameters through the objective function, solving the objective function to obtain the numerical value of the shape adjustment parameters, and substituting the numerical value into a five-time Bezier curve to obtain the fairing path of the curvature mutation region. The invention realizes the continuous smooth transition of the robot path curvature and improves the motion smoothness of the robot passing through the abrupt change region.

Description

Industrial robot path fairing method and system with continuous curvature
Technical Field
The invention belongs to the field of robot path planning, and particularly relates to an industrial robot path fairing method and system with continuous curvature.
Background
The motion path of the industrial robot generally comprises a circular arc segment path, a straight line segment path and other different types of paths. In order to improve the motion stability and speed of the robot and solve the problem of frequent acceleration and deceleration of the robot at corners, fairing treatment is needed between different types of path sections. The straight-line segment path is characterized in that the curvature is zero everywhere on the path, so when moving from one straight-line segment path to another straight-line segment path, the curvature before and after fairing at the corner is not changed, and the corresponding fairing method is quite large. However, for a circular arc segment path, the curvature may be any value greater than zero, so when moving from one circular arc segment path to another circular arc segment path or another straight line segment path, the characteristic of different curvatures at the two ends of the transition curve needs to be considered in the corner fairing process. Therefore, how to smooth according to different types of path sections at two sides of the transition section becomes a problem to be solved by the robot path fairing.
In the prior art, a person adopts a cubic B spline curve to transition a tiny straight line segment to carry out local fairing at a transition corner, so that C3 continuity at the corner is realized, but the method aims at an off-line command and does not involve a curve with curvature change; it has also been proposed to use a C3 continuous short segment transition fairing algorithm that uses a PH curve to ensure smooth transition at the junction of a straight segment and a PH curve, which also smoothes the path for the G01 command.
In the prior art, different curves such as NUBRS curve, five-time and seven-time PH curve, bezier curve and the like are adopted to smooth the path of the tiny straight line segment. For example, the transition between the arc segment path and the arc segment path, the arc segment path and the straight line segment path is adopted by adopting an assumed arc transition method, and although the fairing can be realized aiming at the arc segment paths with different diameters and different processing error requirements, the set assumed arc curvature is unequal to the curvature before and after transition, so that the motion is unstable at the motion connecting point.
Therefore, the gesture path after the fairing in the prior art realizes certain curvature continuity and motion stability, but the continuous fairing of the curvature is not considered for a complex arc path, and a plurality of different path fairing methods are lacked.
Disclosure of Invention
In order to overcome the defects in the prior art, the invention provides the industrial robot path fairing method and system with continuous curvature, which adopt the quintic Bezier curve containing the shape adjusting parameters, realize the continuous curvature when the arc section path and other types of paths are switched, and improve the motion stability of the industrial robot when passing through different paths.
The technical scheme adopted by the method is as follows: a method of fairing an industrial robot path with a continuous curvature, comprising the steps of:
reading a path of a given industrial robot, and calculating curvatures at all position points on the path;
dividing the path into a curvature abrupt change region and a curvature continuous region according to whether the curvature is abrupt;
for the curvature abrupt change region, calculating the curvature, unit tangent vector and unit normal vector at two endpoints of the region;
defining a quintic Bezier curve containing shape adjustment parameters for a fairing curvature mutation zone;
defining an objective function of a shape adjustment parameter in the quintic Bezier curve according to boundary conditions at the end points and according to a curvature change energy and length energy composite minimum principle;
converting the shape adjustment parameter solving problem into a minimized objective function problem, respectively solving partial derivatives of the shape adjustment parameters through the objective function, and solving the objective function by adopting a quasi-Newton method to obtain the numerical value of the shape adjustment parameters;
substituting the numerical value of the shape adjusting parameter into the quintic Bezier curve to obtain the fairing path of the curvature mutation region.
The technical scheme adopted by the system of the invention is as follows: an industrial robot path fairing system with continuous curvature comprising the following modules:
the curvature calculation module is used for reading the path of the given industrial robot and calculating the curvatures at all the position points on the path;
the abrupt change area dividing module is used for dividing the path into a curvature abrupt change area and a curvature continuous area according to whether the curvature is abrupt or not;
the abrupt region processing module is used for calculating the curvature, the unit tangent vector and the unit normal vector at the two end points of the curvature abrupt region;
the Bezier curve definition module is used for defining a five-order Bezier curve fairing curvature mutation zone containing shape adjustment parameters; defining an objective function of a shape adjustment parameter in the quintic Bezier curve according to boundary conditions at the end points and according to a curvature change energy and length energy composite minimum principle;
the shape adjustment parameter solving module is used for converting the shape adjustment parameter solving problem into a minimized objective function problem, respectively solving partial derivatives of the shape adjustment parameters through the objective function, and solving the objective function by adopting a quasi-Newton method to obtain the numerical value of the shape adjustment parameters; substituting the numerical value of the shape adjusting parameter into the quintic Bezier curve to obtain the fairing path of the curvature mutation region.
Compared with the prior art, the invention has the following technical effects:
the invention adopts the quintic Bezier curve containing the shape adjusting parameters, realizes the curvature continuity when the arc section path and other types of paths are switched, realizes the smooth transition of the robot path curvature continuity, and improves the motion stability of the industrial robot when passing through different paths.
Drawings
FIG. 1 is a flow chart of an industrial robot path fairing method in an embodiment of the invention.
FIG. 2 is a schematic illustration of a non-smooth path in example 1 of the present invention.
Fig. 3 is a schematic diagram of the path after fairing in example 1 of the present invention.
Fig. 4 is a graph showing the curvature change of a given path and a fairing curve in example 1 of the present invention.
FIG. 5 is a schematic illustration of a non-smooth path in example 2 of the present invention.
Fig. 6 is a schematic diagram of the path after fairing in example 2 of the present invention.
Fig. 7 shows the curvature change of a given path and a fairing curve in example 2 of the present invention.
Detailed Description
The technical scheme of the present invention will be described in further detail with reference to examples and drawings, but embodiments of the present invention are not limited thereto.
Example 1
The embodiment provides a fairing method with continuous curvature when an industrial robot arc path and an arc path transition, as shown in fig. 1, the method comprises the following main steps:
step 1, reading a path of a given industrial robot, and calculating curvatures at all position points on the path;
the path c (t) of the industrial robot comprises two arc segment paths, namely c1 (t) and c2 (t) the circle centers are respectively marked as C1 And C2 The radii are denoted as r respectively1 And r2 Each circular arc segment path comprises 300 position points Pi (xi ,yi ,zi ) Where i=1, 2,3 …, N, xi 、yi 、zi Coordinates of the ith position point on the x-axis, the y-axis and the z-axis are respectively, N is the number of position points included in the path, and N is 300 in the embodiment; the non-smooth pose path is shown in fig. 2.
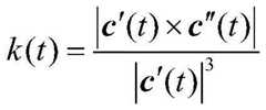
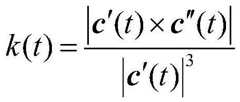
Calculating the curvature k (t) at all the position points on the two circular arc path sections:
Figure BDA0004079984740000031
where c' (t) is the first derivative of path c (t), c "(t) is the second derivative of path c (t), t is the normalized parameter variable, t ε [0,1].
Step 2, dividing the path into a curvature abrupt change area and a curvature continuous area according to whether the curvature is abrupt;
the invention uses the contact point P of two arc segment pathsj The point is defined as the point of abrupt change of curvatureThe embodiment normalizes the parameter variable t E [0.9,1 ]]The included arc segment path is divided into curvature abrupt change areas.
Step 3, calculating the curvature, unit tangent vector and unit normal vector of the curvature mutation region at two end points of the region;
the location points of the two end points of the curvature mutation region are denoted as p0 And p1 Obtaining the curvature k of two endpoints of the curvature abrupt change region according to the curvature calculation formula in thestep 10 And k1 The method comprises the steps of carrying out a first treatment on the surface of the Contact point P of two arc segment pathsj And two end points p of curvature mutation region0 And p1 Respectively calculating two arc segment paths c1 (t) and c2 (T) tangential vectors at both end points, and performing unitization processing on the tangential vectors to obtain a unitized tangential vector T0 And T1 The method comprises the steps of carrying out a first treatment on the surface of the The two unit tangential vectors are respectively rotated by 90 degrees anticlockwise to obtain two normal vectors, and the two normal vectors are respectively subjected to unitization treatment to obtain a unit normal vector N0 And N1
That is, the unit tangent vector T in the present embodiment0 And T1 The vector unitization is obtained by two endpoints of the curvature mutation region and the curvature mutation point; the unit normal vector is denoted as N0 And N1 Is obtained by rotating the unit tangent vector by 90 degrees anticlockwise
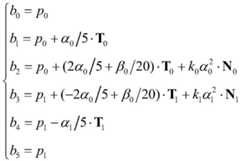
Step 4, defining a quintic Bezier curve containing shape adjustment parameters for a fairing curvature mutation zone;
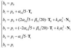
defining a quintic Bezier curve b (t) containing shape adjustment parameters as:
b(t)=b0 B0 (t)+b1 B1 (t)+b2 B2 (t)+b3 B3 (t)+b4 B4 (t)+b5 B5 (t)
wherein b0 、b1 、b2 、b3 、b4 And b5 As control points, the expression of each control point is:
Figure BDA0004079984740000041
wherein alpha is0 、α1 、β0 、β1 The shape adjusting parameter is larger than zero and is used for adjusting the tangential directions of the starting point and the end point of the spline curve and the positions of the control points;
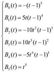
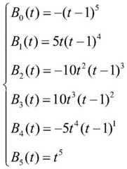
B0 (t)、B1 (t)、B2 (t)、B3 (t)、B4 (t) and B5 (t) is a control point Bernstant polynomial of the formula:
Figure BDA0004079984740000042
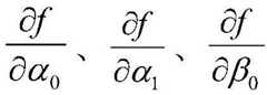
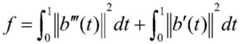
step 5, defining an objective function of a shape adjustment parameter in the quintic Bezier curve according to boundary conditions at the end points and according to a curvature change energy and length energy composite minimum principle;
the objective function is defined as:
Figure BDA0004079984740000043
where b '"(t) is the third derivative of b (t) and b' (t) is the first derivative of b (t).
Step 6, converting the problem of solving the shape adjusting parameters into a minimized objective function problem, respectively solving partial derivatives of the shape adjusting parameters through the objective function, and solving the objective function by adopting a quasi-Newton method to obtain the numerical value of the shape adjusting parameters;
the minimization of the objective function problem is: minf (alpha)0101 );
The partial derivatives of the shape adjustment parameters are respectively calculated through the objective function, and the method comprises the following steps:
Figure BDA0004079984740000051
and->
Figure BDA0004079984740000052
Solving an objective function by adopting a quasi-Newton method, comprising the following steps of:
given an initial value
Figure BDA0004079984740000053
And a stop condition epsilon; wherein the superscript 0 denotes alpha atiteration 00101 Is set to an initial value of (1);
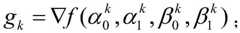
setting a hessian matrix Hk Initial value H of0 Is a unit matrix and calculates the gradient g of the objective functionk
Figure BDA0004079984740000054
Determining a search direction dk =Hk gk
Updating shape adjustment parameters
Figure BDA0004079984740000055
Wherein the superscript k denotes alpha at the kth iteration0101 Is a value of (2); the superscript k+1 denotes α at the k+1th iteration0101 Is a value of (2); lambda (lambda)k Representing step size factor, by solving->
Figure BDA0004079984740000056
Lambda at the time of obtaining the minimum value;
judging
Figure BDA0004079984740000057
If so, outputting a shape adjustment parameter, otherwise, updating the gradient of the hessian matrix and the objective function:
Figure BDA0004079984740000058
Figure BDA0004079984740000059
and performs the next calculation of the shape adjustment parameters.
And 7, substituting the numerical value of the shape adjusting parameter into the quintic Bezier curve to obtain the fairing path of the curvature mutation region.
Fig. 2 shows a path before the two circular arc segment paths are straightened in this embodiment, and fig. 3 shows a curvature change condition after the two circular arc segment paths are straightened in this embodiment. It can be seen that after the path fairing is performed by adopting the method of the embodiment, the curvatures of the two transition path sections are equal to the curvatures of the two arc path sections respectively, as shown in fig. 4, so that the continuous change of the path curvature after the fairing is ensured, and therefore, the movement speed of the robot can not be reduced to zero, thereby improving the movement efficiency and ensuring the movement stability.
Example 2
The present embodiment provides a path fairing method with continuous curvature when the arc path and the straight path of the industrial robot are transited, and the main steps are basically the same as those ofembodiment 1. Fig. 5 shows a path before a circular arc section and a straight path section of the present embodiment, fig. 6 shows a path after a circular arc section and a straight path section of the present embodiment, fig. 7 shows a curvature change condition after a circular arc section and a straight path section of the present embodiment are straightened, a curvature of the path after the straightening continuously changes, a movement speed of the robot may not be reduced to zero, a movement efficiency of the robot is improved, and a movement stability of the robot is also ensured.
Example 3
The present embodiment, based on the same inventive concept asembodiment 1 andembodiment 2, provides an industrial robot path fairing system with continuous curvature, which includes the following modules:
the curvature calculation module is used for reading the path of the given industrial robot and calculating the curvatures at all the position points on the path;
the abrupt change area dividing module is used for dividing the path into a curvature abrupt change area and a curvature continuous area according to whether the curvature is abrupt or not;
the abrupt region processing module is used for calculating the curvature, the unit tangent vector and the unit normal vector at the two end points of the curvature abrupt region;
the Bezier curve definition module is used for defining a five-order Bezier curve fairing curvature mutation zone containing shape adjustment parameters; defining an objective function of a shape adjustment parameter in the quintic Bezier curve according to boundary conditions at the end points and according to a curvature change energy and length energy composite minimum principle;
the shape adjustment parameter solving module is used for converting the shape adjustment parameter solving problem into a minimized objective function problem, respectively solving partial derivatives of the shape adjustment parameters through the objective function, and solving the objective function by adopting a quasi-Newton method to obtain the numerical value of the shape adjustment parameters; substituting the numerical value of the shape adjusting parameter into the quintic Bezier curve to obtain the fairing path of the curvature mutation region.
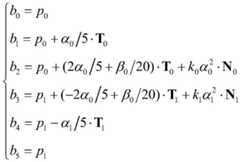
Wherein, the defined quintic Bezier curve b (t) containing the shape adjusting parameters is:
b(t)=b0 B0 (t)+b1 B1 (t)+b2 B2 (t)+b3 B3 (t)+b4 B4 (t)+b5 B5 (t)
wherein b0 、b1 、b2 、b3 、b4 And b5 As control points, the expression of each control point is:
Figure BDA0004079984740000061
B0 (t)、B1 (t)、B2 (t)、B3 (t)、B4 (t) and B5 (t) is the control point, the Bernstan polynomial:
Figure BDA0004079984740000062
wherein p is0 And p1 The two end points of the curvature mutation zone are position points; alpha0 、α1 、β0 And beta1 The shape adjusting parameter is larger than zero and is used for adjusting the tangential directions of the starting point and the end point of the spline curve and the positions of the control points; k (k)0 And k1 Is the curvature of the two endpoints of the curvature abrupt region.
The shape adjustment parameter obtaining module is used for defining an objective function of the shape adjustment parameter in the quintic Bezier curve according to boundary conditions at the end points and the curvature change energy and length energy composite minimum principle, wherein the objective function is as follows:
Figure BDA0004079984740000071
wherein b '"(t) is the third derivative of b (t) and b' (t) is the first derivative of b (t);
the shape adjustment parameter solving module converts the shape adjustment parameter solving problem into a minimized objective function problem, respectively solves partial derivatives of the shape adjustment parameters through the objective function, solves the objective function by adopting a quasi-Newton method to obtain the numerical value of the shape adjustment parameters, and comprises the following steps:
the minimization of the objective function problem is: minf (alpha)0101 )
The partial derivatives of the shape adjustment parameters are respectively calculated through the objective function, and the method comprises the following steps:
Figure BDA0004079984740000072
and->
Figure BDA0004079984740000073
Solving an objective function by adopting a quasi-Newton method, comprising the following steps of:
given an initial value
Figure BDA0004079984740000074
And a stop condition epsilon;
setting the initial value H of the Heisen matrix0 Calculating the gradient of the objective function as an identity matrix
Figure BDA0004079984740000075
Determining a search direction dk =Hk gk Wherein H isk Is a hessian matrix;
updating shape adjustment parameters
Figure BDA0004079984740000076
Wherein the superscript k denotes alpha at the kth iteration0101 The superscript k+1 denotes α at the k+1th iteration0101 Is a value of (2); lambda (lambda)k Representing step size factor, by solving->
Figure BDA0004079984740000077
Lambda at the time of obtaining the minimum value;
judging
Figure BDA0004079984740000078
If so, outputting a shape adjustment parameter, otherwise, updating the gradient of the hessian matrix and the objective function:
Figure BDA0004079984740000079
Figure BDA00040799847400000710
and performs the next shape adjustment parameter calculation.
Please refer toembodiment 1 andembodiment 2 for the implementation process of each module in this embodiment, which is not repeated.
Although embodiments of the present invention have been shown and described above, it will be understood that the above embodiments are illustrative and not to be construed as limiting the invention, and that variations, modifications, alternatives, and variations may be made in the above embodiments by those skilled in the art without departing from the spirit and principles of the invention.

Claims (9)

1. A method for smoothing a path of an industrial robot having a continuous curvature, comprising the steps of:
reading a path of a given industrial robot, and calculating curvatures at all position points on the path;
dividing the path into a curvature abrupt change region and a curvature continuous region according to whether the curvature is abrupt;
for the curvature abrupt change region, calculating the curvature, unit tangent vector and unit normal vector at two endpoints of the region;
defining a quintic Bezier curve containing shape adjustment parameters for a fairing curvature mutation zone;
defining an objective function of a shape adjustment parameter in the quintic Bezier curve according to boundary conditions at the end points and according to a curvature change energy and length energy composite minimum principle;
converting the shape adjustment parameter solving problem into a minimized objective function problem, respectively solving partial derivatives of the shape adjustment parameters through the objective function, and solving the objective function by adopting a quasi-Newton method to obtain the numerical value of the shape adjustment parameters;
substituting the numerical value of the shape adjusting parameter into the quintic Bezier curve to obtain the fairing path of the curvature mutation region.
2. The method according to claim 1, wherein the path of the industrial robot is c (t), the path comprising a position point Pi (xi ,yi ,zi ) Where i=1, 2,3 …, N, xi 、yi 、zi Coordinates of the ith position point on the x-axis, the y-axis and the z-axis respectively, and N is the number of position points included in the path;
curvature k (t) at all points on the path:
Figure FDA0004079984710000011
where c' (t) is the first derivative of path c (t), c "(t) is the second derivative of path c (t), and t is the normalized parameter variable.
3. The method of claim 1, wherein the computing curvature, unit tangent vector, and unit normal vector at two endpoints of the region for the region of abrupt curvature comprises:
the unit tangent vector is denoted as T0 And T1 The vector unitization is obtained by two endpoints of the curvature mutation region and the curvature mutation point; the unit normal vector is denoted as N0 And N1 Is obtained by rotating the unit tangent vector by 90 degrees anticlockwise.
4. The method according to claim 1, characterized in that the defined quintic bezier curve b (t) containing shape adjustment parameters is:
b(t)=b0 B0 (t)+b1 B1 (t)+b2 B2 (t)+b3 B3 (t)+b4 B4 (t)+b5 B5 (t)
wherein b0 、b1 、b2 、b3 、b4 And b5 As control points, the expression of each control point is:
Figure FDA0004079984710000021
B0 (t)、B1 (t)、B2 (t)、B3 (t)、B4 (t) and B5 (t) is the control point, the Bernstan polynomial:
Figure FDA0004079984710000022
wherein p is0 And p1 The two end points of the curvature mutation zone are position points; alpha0 、α1 、β0 And beta1 Shape adjustment parameters greater than zero for adjusting spline curve start and end cutsLine direction and control point position; k (k)0 And k1 Is the curvature of the two endpoints of the curvature abrupt region.
5. The method of claim 4, wherein the objective function of the shape adjustment parameters in the five-order bezier curve defined according to the boundary conditions at the end points and according to the curvature change energy and length energy composite minima principle is:
Figure FDA0004079984710000023
where b '"(t) is the third derivative of b (t) and b' (t) is the first derivative of b (t).
6. The method of claim 5, wherein converting the shape adjustment parameter solving problem to a minimized objective function problem, respectively solving the shape adjustment parameters by the objective function as partial derivatives, and solving the objective function by quasi-newton method to obtain the values of the shape adjustment parameters, comprises:
the minimization of the objective function problem is: minf (alpha)0101 )
The partial derivatives of the shape adjustment parameters are respectively calculated through the objective function, and the method comprises the following steps:
Figure FDA0004079984710000024
and->
Figure FDA0004079984710000025
Solving an objective function by adopting a quasi-Newton method, comprising the following steps of:
given an initial value
Figure FDA0004079984710000026
And a stop condition epsilon; wherein the superscript 0 denotes alpha at iteration 00101 Is set to an initial value of (1);
setting the initial value H of the Heisen matrix0 Calculating the gradient of the objective function as an identity matrix
Figure FDA0004079984710000031
Determining a search direction dk =Hk gk Wherein H isk Is a hessian matrix;
updating shape adjustment parameters
Figure FDA0004079984710000032
Wherein the superscript k denotes alpha at the kth iteration0101 Is a value of (2); the superscript k+1 denotes α at the k+1th iteration0101 Is a value of (2); lambda (lambda)k Representing step size factor, by solving->
Figure FDA0004079984710000033
Lambda at the time of obtaining the minimum value;
judging
Figure FDA0004079984710000034
If so, outputting a shape adjustment parameter, otherwise, updating the gradient of the hessian matrix and the objective function:
Figure FDA0004079984710000035
Figure FDA0004079984710000036
and performs the next shape adjustment parameter calculation.
7. An industrial robot path fairing system with continuous curvature, comprising the following modules:
the curvature calculation module is used for reading the path of the given industrial robot and calculating the curvatures at all the position points on the path;
the abrupt change area dividing module is used for dividing the path into a curvature abrupt change area and a curvature continuous area according to whether the curvature is abrupt or not;
the abrupt region processing module is used for calculating the curvature, the unit tangent vector and the unit normal vector at the two end points of the curvature abrupt region;
the Bezier curve definition module is used for defining a five-order Bezier curve fairing curvature mutation zone containing shape adjustment parameters; defining an objective function of a shape adjustment parameter in the quintic Bezier curve according to boundary conditions at the end points and according to a curvature change energy and length energy composite minimum principle;
the shape adjustment parameter solving module is used for converting the shape adjustment parameter solving problem into a minimized objective function problem, respectively solving partial derivatives of the shape adjustment parameters through the objective function, and solving the objective function by adopting a quasi-Newton method to obtain the numerical value of the shape adjustment parameters; substituting the numerical value of the shape adjusting parameter into the quintic Bezier curve to obtain the fairing path of the curvature mutation region.
8. The system of claim 7, wherein the defined quintic bezier curve b (t) containing shape adjustment parameters is:
b(t)=b0 B0 (t)+b1 B1 (t)+b2 B2 (t)+b3 B3 (t)+b4 B4 (t)+b5 B5 (t)
wherein b0 、b1 、b2 、b3 、b4 And b5 As control points, the expression of each control point is:
Figure FDA0004079984710000041
B0 (t)、B1 (t)、B2 (t)、B3 (t)、B4 (t) and B5 (t) is the control point, the Bernstan polynomial:
Figure FDA0004079984710000042
wherein p is0 And p1 The two end points of the curvature mutation zone are position points; alpha0 、α1 、β0 And beta1 The shape adjusting parameter is larger than zero and is used for adjusting the tangential directions of the starting point and the end point of the spline curve and the positions of the control points; k (k)0 And k1 Is the curvature of the two endpoints of the curvature abrupt region.
9. The system of claim 8, wherein the objective function of the shape adjustment parameters in the five-order bezier curve defined according to the boundary conditions at the end points and according to the curvature change energy and length energy composite minima principle is:
Figure FDA0004079984710000043
wherein b '"(t) is the third derivative of b (t) and b' (t) is the first derivative of b (t);
converting the shape adjustment parameter solving problem into a minimized objective function problem, respectively solving partial derivatives of the shape adjustment parameters through the objective function, and solving the objective function by adopting a quasi-Newton method to obtain the numerical value of the shape adjustment parameters, wherein the method comprises the following steps:
the minimization of the objective function problem is: minf (alpha)0101 )
The partial derivatives of the shape adjustment parameters are respectively calculated through the objective function, and the method comprises the following steps:
Figure FDA0004079984710000044
and->
Figure FDA0004079984710000045
Solving an objective function by adopting a quasi-Newton method, comprising the following steps of:
given an initial value
Figure FDA0004079984710000046
And a stop condition epsilon; wherein the superscript 0 denotes alpha at iteration 00101 Is set to an initial value of (1);
setting the initial value H of the Heisen matrix0 Calculating the gradient of the objective function as an identity matrix
Figure FDA0004079984710000051
Determining a search direction dk =Hk gk Wherein H isk Is a hessian matrix;
updating shape adjustment parameters
Figure FDA0004079984710000052
Wherein the superscript k denotes alpha at the kth iteration0101 Is a value of (2); the superscript k+1 denotes α at the k+1th iteration0101 Is a value of (2); lambda (lambda)k Representing step size factor, by solving->
Figure FDA0004079984710000053
Lambda at the time of obtaining the minimum value;
judging
Figure FDA0004079984710000054
If so, outputting a shape adjustment parameter, otherwise, updating the gradient of the hessian matrix and the objective function:
Figure FDA0004079984710000055
Figure FDA0004079984710000056
and performs the next shape adjustment parameter calculation.
CN202310121189.9A2023-02-162023-02-16Industrial robot path fairing method and system with continuous curvatureActiveCN116408793B (en)

Priority Applications (1)

Application NumberPriority DateFiling DateTitle
CN202310121189.9ACN116408793B (en)2023-02-162023-02-16Industrial robot path fairing method and system with continuous curvature

Applications Claiming Priority (1)

Application NumberPriority DateFiling DateTitle
CN202310121189.9ACN116408793B (en)2023-02-162023-02-16Industrial robot path fairing method and system with continuous curvature

Publications (2)

Publication NumberPublication Date
CN116408793Atrue CN116408793A (en)2023-07-11
CN116408793B CN116408793B (en)2023-11-14

Family

ID=87057287

Family Applications (1)

Application NumberTitlePriority DateFiling Date
CN202310121189.9AActiveCN116408793B (en)2023-02-162023-02-16Industrial robot path fairing method and system with continuous curvature

Country Status (1)

CountryLink
CN (1)CN116408793B (en)

Cited By (1)

* Cited by examiner, † Cited by third party
Publication numberPriority datePublication dateAssigneeTitle
CN118927247A (en)*2024-05-242024-11-12广州信邦智能装备股份有限公司 Robotic arm trajectory correction device and related computer program

Citations (5)

* Cited by examiner, † Cited by third party
Publication numberPriority datePublication dateAssigneeTitle
CN109623820A (en)*2018-12-252019-04-16哈工大机器人(合肥)国际创新研究院A kind of robot space tracking transition method
CN110347151A (en)*2019-05-312019-10-18河南科技大学A kind of robot path planning method merging Bezier optimized Genetic Algorithm
CN110865642A (en)*2019-11-062020-03-06天津大学 A Path Planning Method Based on Mobile Robot
CN111723983A (en)*2020-06-122020-09-29哈尔滨工业大学(深圳)(哈尔滨工业大学深圳科技创新研究院) A time parameterized route planning method and system for UAV in unknown environment
CN115246131A (en)*2022-08-052022-10-28武汉理工大学 A laser cleaning system and method mounted on a robotic arm

Patent Citations (5)

* Cited by examiner, † Cited by third party
Publication numberPriority datePublication dateAssigneeTitle
CN109623820A (en)*2018-12-252019-04-16哈工大机器人(合肥)国际创新研究院A kind of robot space tracking transition method
CN110347151A (en)*2019-05-312019-10-18河南科技大学A kind of robot path planning method merging Bezier optimized Genetic Algorithm
CN110865642A (en)*2019-11-062020-03-06天津大学 A Path Planning Method Based on Mobile Robot
CN111723983A (en)*2020-06-122020-09-29哈尔滨工业大学(深圳)(哈尔滨工业大学深圳科技创新研究院) A time parameterized route planning method and system for UAV in unknown environment
CN115246131A (en)*2022-08-052022-10-28武汉理工大学 A laser cleaning system and method mounted on a robotic arm

Non-Patent Citations (1)

* Cited by examiner, † Cited by third party
Title
杨堂勇,等: "面向五轴联动高速加工的等距双NURBS刀具路径光顺方法", 《中国机械工程》, vol. 24, no. 11, pages 1479 - 1483*

Cited By (1)

* Cited by examiner, † Cited by third party
Publication numberPriority datePublication dateAssigneeTitle
CN118927247A (en)*2024-05-242024-11-12广州信邦智能装备股份有限公司 Robotic arm trajectory correction device and related computer program

Also Published As

Publication numberPublication date
CN116408793B (en)2023-11-14

Similar Documents

PublicationPublication DateTitle
CN109571473B (en)Error-controllable small line segment trajectory fairing method
CN106393106B (en)The robot nurbs curve of parameter adaptive densification moves interpolating method
CN110900612B (en)Pose-synchronous six-axis industrial robot track smoothing method
CN113985817B (en)Robot small line segment track local fairing method and system capable of performing online interpolation
CN109664303B (en)Error-controllable B-spline transition type smooth trajectory generation method for four-axis industrial robot
CN108062073B (en)Circular arc smooth compression interpolation method for high-quality machining
CN106125673B (en)Based on the approximate profile errors real-time estimation method of space circular arc
CN112975992B (en)Error-controllable robot track synchronous optimization method
CN108073138B (en)Elliptical arc smooth compression interpolation algorithm suitable for high-speed high-precision machining
CN116408793B (en)Industrial robot path fairing method and system with continuous curvature
CN116117796B (en)Industrial robot gesture track transition and speed planning method and system
CN109676613B (en)Error-controllable arc transition type smooth track generation method for four-axis industrial robot
CN118331171B (en)Tool path corner fairing method based on Airthoid curves
CN109918807A (en) A local tool path smoothing method with optimized curvature
CN116360343A (en)Corner external transition fairing method for improving kinematic performance of five-axis machine tool
CN119356214B (en) Corner smoothing method of Airthoid curve based on strain energy optimization
CN113504764A (en)Continuous line segment numerical control machining path smoothing method based on position vector weighted integral
CN112051803B (en)Small line segment fairing method based on space plane normal vector
CN108628255A (en)A kind of instruction point correction smoothing processing method
CN112147893B (en) A five-axis milling cutter axis vector optimization method based on ruled surface space
CN111487928B (en) A smoothing method of NC machining trajectory based on the addition, deletion and modification of tool position points
CN112859750B (en)Processing track local fairing method for geometric fairing and speed planning synchronous design
CN118859835A (en) Local smoothing method and smoothing device for three-axis machining trajectory of laser cutting machine
CN114879606B (en)Adaptive control interpolation method for micromachining precision of arbitrary parameter curve
CN117991716A (en)Cutter path corner smooth transition method suitable for five-axis numerical control device under curvature monotonic constraint

Legal Events

DateCodeTitleDescription
PB01Publication
PB01Publication
SE01Entry into force of request for substantive examination
SE01Entry into force of request for substantive examination
GR01Patent grant
GR01Patent grant

[8]ページ先頭

©2009-2025 Movatter.jp