Movatterモバイル変換


[0]ホーム

URL:


CN116386038A - DC cell detection method and system - Google Patents

DC cell detection method and system
Download PDF

Info

Publication number
CN116386038A
CN116386038ACN202310376762.0ACN202310376762ACN116386038ACN 116386038 ACN116386038 ACN 116386038ACN 202310376762 ACN202310376762 ACN 202310376762ACN 116386038 ACN116386038 ACN 116386038A
Authority
CN
China
Prior art keywords
image
cell
cells
immature
mature
Prior art date
Legal status (The legal status is an assumption and is not a legal conclusion. Google has not performed a legal analysis and makes no representation as to the accuracy of the status listed.)
Granted
Application number
CN202310376762.0A
Other languages
Chinese (zh)
Other versions
CN116386038B (en
Inventor
聂宵
田国忠
张鹏
Current Assignee (The listed assignees may be inaccurate. Google has not performed a legal analysis and makes no representation or warranty as to the accuracy of the list.)
Watson Click Beijing Biotechnology Co ltd
Original Assignee
Watson Click Beijing Biotechnology Co ltd
Priority date (The priority date is an assumption and is not a legal conclusion. Google has not performed a legal analysis and makes no representation as to the accuracy of the date listed.)
Filing date
Publication date
Application filed by Watson Click Beijing Biotechnology Co ltdfiledCriticalWatson Click Beijing Biotechnology Co ltd
Priority to CN202310376762.0ApriorityCriticalpatent/CN116386038B/en
Publication of CN116386038ApublicationCriticalpatent/CN116386038A/en
Application grantedgrantedCritical
Publication of CN116386038BpublicationCriticalpatent/CN116386038B/en
Activelegal-statusCriticalCurrent
Anticipated expirationlegal-statusCritical

Links

Images

Classifications

Landscapes

Abstract

The invention discloses a DC cell detection method and a DC cell detection system, which are characterized in that the first acquisition frequency F is used for1 Acquiring cell culture images, sequentially separating out selected area images, and sequentially detecting immature DC cells of the selected area images based on a support vector machine; by a second acquisition frequency F2 Acquiring a DC cell culture image, and performing enhancement treatment to obtain an image set P to be identified1 The method comprises the steps of carrying out a first treatment on the surface of the Image set P to be identified by means of DC cell detection-based deep learning model1 To be treated of (2)Identifying the image for mature DC cell detection; an original DC cell culture image is obtained in which mature DC cells are detected. The method provided by the embodiment of the invention provides a DC cell detection method, realizes monitoring of DC cell cultivation by means of artificial intelligence, avoids manpower waste and inaccuracy, can accurately classify the DC cell state, and improves accurate data support for quantitative analysis of the DC cell growth process.

Description

DC cell detection method and system
[ field of technology ]
The invention relates to the technical field of cell biology, in particular to a DC cell detection method and system.
[ background Art ]
In biological research, monitoring of a cell growth process is often realized by means of an in vitro cell culture method, so that the relationship between a cell growth rule and external environmental factors is analyzed, and biological parameters related to cell growth at different moments are mined and calculated for quantitative analysis of the cell growth process.
Mature DC cells are the most powerful professional antigen presenting cells in the immune system of the organism discovered so far, and play a key role in the initiation and regulation of immune response, so that the promotion and research of transformation of immature DC cells into mature DC cells are key for in vitro culture of DC cells.
Because the DC cells are in a small amount in the tissue, in vitro induction is required by monocytes and peripheral blood cells, but whether the DC cells are mature often requires a flow cytometer to detect the change of DC surface molecules, the detection increases the experimental burden and is time-consuming and labor-consuming, and the method neglects the observation of global cells; however, due to factors such as huge cell number and complex behavior in the in vitro culture process of the DC cells, it is not practical to monitor the process of converting the immature DC cells into mature DC cells for a long time by manpower and to perform subjective judgment.
[ invention ]
In view of the above, the embodiment of the invention provides a DC cell detection method and a DC cell detection system.
In a first aspect, embodiments of the present invention provide a method of DC cell detection, the method comprising:
s1, through the first acquisition frequency F1 Acquiring cell culture images, sequentially separating out selected area images, and sequentially detecting immature DC cells of the selected area images based on a support vector machine;
s2, when detecting immature DC cells, performing second acquisition frequency F2 Acquiring a DC cell culture image, and performing enhancement treatment to obtain an image set P to be identified1
S3, constructing a deep learning model based on DC cell detection, and identifying an image set P to be identified through the deep learning model based on DC cell detection1 Mature DC cell detection is carried out on the image to be identified;
s4, acquiring an original DC cell culture image of the detected mature DC cells, and adding a time mark to obtain a mature DC cell image set P2
Preferably, the separating the selected area image in S1 specifically includes:
sequencing the acquired cell culture images according to time sequence, and establishing a reference coordinate system according to the sizes of the cell culture images;
selecting a dynamic rectangular area S on a reference coordinate system, and aligning the dynamic rectangular area S with the center point of the cell culture image;
dividing the cell culture image sequentially by taking the dynamic rectangular region S as a dividing template;
S[Rec(x′1 ,y′1 ),(x′2 ,y′2 )]=w*S0 [Rec(x1 ,y1 ),(x2 ,y2 )],
wherein S represents the area of the dynamic rectangular region, (x'1 ,y′1 ) Representing the upper left corner position coordinates of the dynamic rectangular region, (x'2 ,y′2 ) Represents the right lower corner position coordinate of the dynamic rectangular area, w represents the scaling, 0<w<1,S0 Representing the area of the cell culture image, (x)1 ,y1 ) Representing the upper left corner position coordinates of the cell culture image, (x)2 ,y2 ) Representing the position coordinates of the lower right corner of the cell culture image;
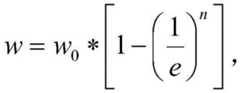
Figure BDA0004170704800000021
wherein w is0 Representing the final scaling, being a specified constant, e representing the natural logarithm, n representing the number of divisions;
the selected region images are separated in sequence and ordered in time sequence.
Preferably, in S1, the detection of immature DC cells on the selected area image based on the support vector machine sequentially includes:
reading and classifying a selected area image preselected as a sample, wherein the selected area image comprises a cell culture image in which immature DC cells are not induced and in which immature DC cells are induced and artificially located;
extracting features of the selected area image by adopting a local binary pattern, and converting the image into an integer value matrix;
obtaining an LBP histogram based on the integer value matrix;
training the support vector machine model by using the LBP histogram, and outputting a target class and a non-target class;
and based on the trained support vector machine model, judging the target class and the non-target class of the selected area image to be detected, and finishing the detection of the immature DC cells.
Preferably, the second acquisition frequency F2 Is greater than the first acquisition frequency F1
Preferably, the enhancing processing in S2 specifically includes:
filtering the DC cell culture image by using a Gaussian low-pass filter to generate a noise reduction image;
and carrying out histogram equalization operation on the noise reduction image.
Preferably, the enhancing processing in S2 specifically includes:
constructing a bilateral filter based on an improved bilateral filtering algorithm to filter the DC cell culture image, and generating a noise reduction image;
and carrying out histogram equalization operation on the noise reduction image.
Preferably, the construction of the bilateral filter based on the improved bilateral filtering algorithm is as follows:
f(x)=h(x)+d(x),
g(x)=h(x)+Kd(x),
wherein f (x) represents an original image, g (x) represents a noise reduction image, h (x) represents a base layer of the original image, d (x) represents a detail layer of the original image, and K represents an adjustment factor;
the base layer is calculated as follows:
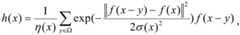
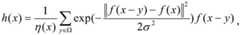
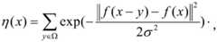
Figure BDA0004170704800000031
Figure BDA0004170704800000041
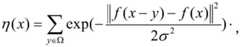
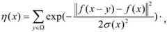
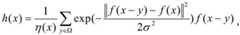
wherein x represents the pixel position, y represents the neighborhood pixel value position of x, Ω= [ -p, p]2 Represents a filtering window centered on (0, 0), σ represents a scale parameter, and the range is [0,255]The term, |·| represents the euclidean norm;
and (3) performing saliency map feature calculation:
S(x)=||fG (x)-μ||2
wherein S (x) represents a saliency map, μ represents an average pixel value of the CIE-Lab spatial input image, fG (x) Gaussian filtering of f (x) is represented, and after filtering, filtering results are converted into CIE-Lab space;
the significance map is linearly normalized to [0,1];
setting a threshold T, and if S (x) > T, identifying one pixel as saliency, thereby dividing the image into a salient region and a non-salient region, and performing range mapping:
σ(x)=Ψλ,T (S(x)),
Figure BDA0004170704800000042
wherein ψ isλ,T (T) represents a mapping function, λ represents a slope parameter of sigmoid, and T represents a displacement parameter of sigmoid for distinguishing a high-saliency region from a low-saliency region;
the final adjustment is as follows:
Figure BDA0004170704800000043
Figure BDA0004170704800000044
t epsilon [0.2, [ 05] and sigma epsilon [50,80] are set.
Preferably, the S3 specifically includes:
acquiring image data, adding a class to an immature DC cell image and adding a class and a position data tag to the mature DC cell image to obtain a data set;
constructing a deep learning model based on DC cell detection, and training through the data set;
image set P to be identified through trained deep learning model based on DC cell detection1 And (3) detecting mature DC cells in the image to be identified, and outputting a detection result.
Preferably, the acquiring image data specifically includes:
obtaining an image of immature DC cells in an in-vitro culture process of the DC cells by an electron microscope, wherein the image of immature DC cells is provided with immature DC cells and is not provided with mature DC cells, and the immature DC cells have the morphology of the immature DC cells and are verified to be an immature DC phenotype by a flow cytometer;
acquiring a mature DC cell image in the in-vitro culture process of the DC cells through an electron microscope, wherein the mature DC cell image is used as a second original image, and the mature DC cells have the form of mature DC cells and are verified to be in a mature DC phenotype through a flow cytometer;
acquiring a rotated image by rotating the first original image and the second original image from 0 ° to 270 ° around the center points thereof;
selecting different values according to T epsilon [0.2, [ 05] and sigma epsilon [50,80], and constructing a bilateral filter based on an improved bilateral filtering algorithm to filter a first original image, a second original image and a rotating image, so as to realize enhancement of the original images to different degrees and obtain enhanced images;
respectively inputting two similar first original images, second original images, rotating images or enhanced images into a coder Vencoder to obtain two compliant normal distributions;
randomly acquiring and processing the two normal distributions to obtain a 100-dimensional feature vector, inputting the 100-dimensional feature vector into a decoder Vdecoder, and fusing to obtain a cell superposition image;
the first original image, the second original image, the rotation image, the enhancement image and the cell superposition image are proportionally formed into a training set, a verification set and a test set.
In a second aspect, embodiments of the present invention provide a DC cell detection system comprising a memory and a processor, the memory and the processor being coupled, the memory being for storing a computer program capable of running on the processor, the processor being for performing the DC cell detection method of any one of claims 1-9 when the computer program is run.
One of the above technical solutions has the following beneficial effects:
the method provided by the embodiment of the invention provides a DC cell detection method, realizes monitoring of DC cell cultivation by means of artificial intelligence, avoids manpower waste and inaccuracy, can accurately classify the DC cell state, and improves accurate data support for quantitative analysis of the DC cell growth process.
[ description of the drawings ]
In order to more clearly illustrate the technical solutions of the embodiments of the present invention, the drawings that are needed in the embodiments will be briefly described below, it being obvious that the drawings in the following description are only some embodiments of the present invention, and that other drawings may be obtained according to these drawings without inventive effort for a person skilled in the art.
FIG. 1 is a schematic flow chart of S1-S4 of a DC cell detection method according to an embodiment of the present invention;
FIG. 2 is a block diagram of a DC cell detection system according to an embodiment of the present invention.
[ detailed description ] of the invention
In order to make the objects, technical solutions and advantages of the present invention more apparent, the technical solutions of the present invention will be clearly and completely described below with reference to specific embodiments and corresponding drawings. It will be apparent that the described embodiments are only some, but not all, embodiments of the invention. All other embodiments, which can be made by those skilled in the art based on the embodiments of the invention without making any inventive effort, are intended to be within the scope of the invention.
Please refer to fig. 1, which is a flow chart of the DC cell detection methods S1-S4 according to an embodiment of the present invention. As shown in fig. 1, the DC cell detection method according to the embodiment of the present invention includes:
s1, through the first acquisition frequency F1 Acquiring cell culture images, sequentially separating out selected area images, and sequentially detecting immature DC cells of the selected area images based on a support vector machine;
s2, when detecting immature DC cells, performing second acquisition frequency F2 Acquiring a DC cell culture image, and performing enhancement treatment to obtain an image set P to be identified1
S3, constructing a deep learning model based on DC cell detection, and identifying an image set P to be identified through the deep learning model based on DC cell detection1 Mature DC cell detection is carried out on the image to be identified;
s4, acquiring an original DC cell culture image of the detected mature DC cells, and adding a time mark to obtain a mature DC cell image set P2
By adopting the technical scheme, the first acquisition frequency F is adopted1 The method comprises the steps of obtaining cell culture images, sequentially separating out selected area images, sequentially detecting immature DC cells in the selected area images based on a support vector machine, wherein the processing speed can be increased, the processing time can be shortened, the precision can be increased, and the immature DC cells can be rapidly detected by using the support vector machine; when immature DC cells are detected, to achieve more accurate monitoring of the DC cellsBy a second acquisition frequency F2 Acquiring a DC cell culture image, and performing enhancement treatment to improve classification accuracy to obtain an image set P to be identified1 The method comprises the steps of carrying out a first treatment on the surface of the Constructing a deep learning model based on DC cell detection, and identifying an image set P to be identified through the deep learning model based on DC cell detection1 Mature DC cell detection is carried out on the image to be identified, so that the detection of the mature DC cell can be more accurately realized; acquiring an original DC cell culture image of the detected mature DC cells, and adding a time mark to obtain a mature DC cell image set P2 Thereby completing the complete monitoring process of the mature DC cell culture; according to the invention, the monitoring of the DC cell culture is realized by means of artificial intelligence, the manpower waste and inaccuracy are avoided, the DC cell state can be accurately classified, and the accurate data support is improved for quantitative analysis of the DC cell growth process.
For some possible design ideas, the separating the selected area image in S1 specifically includes:
sequencing the acquired cell culture images according to time sequence, and establishing a reference coordinate system according to the sizes of the cell culture images;
selecting a dynamic rectangular area S on a reference coordinate system, and aligning the dynamic rectangular area S with the center point of the cell culture image;
dividing the cell culture image sequentially by taking the dynamic rectangular region S as a dividing template;
S[Rec(x′1 ,y′1 ),(x′2 ,y′2 )]=w*S0 [Rec(x1 ,y1 ),(x2 ,y2 )],
wherein S represents the area of the dynamic rectangular region, (x'1 ,y′1 ) Representing the upper left corner position coordinates of the dynamic rectangular region, (x'2 ,y′2 ) Represents the position coordinate of the right lower corner of the dynamic rectangular area, w represents the scaling, 0 < w < 1, S0 Representing the area of the cell culture image, (x)1 ,y1 ) Representing the upper left corner position coordinates of the cell culture image, (x)2 ,y2 ) Representing the lower right corner of the cell culture imageSetting coordinates;
Figure BDA0004170704800000081
wherein w is0 Representing the final scaling, being a specified constant, e representing the natural logarithm, n representing the number of divisions;
the selected region images are separated in sequence and ordered in time sequence.
It should be noted that, as the culture proceeds, the greater the probability of monocytes and peripheral blood cells inducing immature DC cells, and at the same time, the complete detection of immature DC cells is not required. Therefore, the area of the separated selected area image is increased along with the segmentation times, so that the processing and detection speed is increased, and the later missing detection of immature DC cells is avoided.
For some possible design ideas, the step S1 of sequentially performing immature DC cell detection on the selected area image based on the support vector machine specifically includes:
reading and classifying a selected area image preselected as a sample, wherein the selected area image comprises a cell culture image in which immature DC cells are not induced and in which immature DC cells are induced and artificially located;
extracting features of the selected area image by adopting a local binary pattern, and converting the image into an integer value matrix;
obtaining an LBP histogram based on the integer value matrix;
training the support vector machine model by using the LBP histogram, and outputting a target class and a non-target class;
and based on the trained support vector machine model, judging the target class and the non-target class of the selected area image to be detected, and finishing the detection of the immature DC cells.
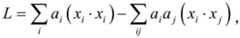
For some possible design ideas, the support vector machine model is constructed as follows:
establishing a sample set { x }i The method comprises the steps of carrying out a first treatment on the surface of the i=1, …, N }, N representing the total number of samples;
the relaxation factor ζ is introduced, constrained as follows:
(xi -a)(xi -a)T ≤R2l
ξl ≥0,
wherein R represents a target value, ζ represents a relaxation factor,T representing a transpose of representations;
the minimum extremum is found by the following function:
Figure BDA0004170704800000091
wherein, C represents a set penalty factor, and the following Lagrangian equation is established:
Figure BDA0004170704800000092
wherein, xii Represents the ith relaxation factor, ai And gammai Represents the Lagrangian multiplier and ai Not less than 0 and gammai ≥0,xi Representing the input data;
when the partial derivative is zero, the support vector machine model satisfies the constraint condition:
l ai =1,
Figure BDA0004170704800000093
0≤ai ≤C,
in consideration of the limiting conditions, for al Maximization is performed:
Figure BDA0004170704800000094
when z is less than the target value, then sample z satisfies the requirement:
Figure BDA0004170704800000095
the training set is described by the above formula, and the support object is al Not equal to 0, in the case where C.ltoreq.1 and the support object is equal to C, the sample is considered a non-target class.
As monocytes and peripheral blood cells are induced to form immature DC cells, the cell shape changes, and the cells form dendritic projections, so that the irregularity of the cell shape increases to cause the change of texture, the change is recorded by an LBP histogram and is reflected to pixel concentration, therefore, the LBP histogram is used for training a support vector machine model, the change can be rapidly detected, the detection of the immature DC cells is completed, and the support vector machine can be used for rapidly detecting the immature DC cells.
It should be noted that the support vector machine model of the present invention may adopt the model designed in the above-mentioned manner, so that the detection speed is faster, but may also adopt other existing support vector machine models as required.
For some possible design considerations, the second acquisition frequency F2 Is greater than the first acquisition frequency F1
For some possible design ideas, the enhancing processing in S2 specifically includes:
filtering the DC cell culture image by using a Gaussian low-pass filter to generate a noise reduction image;
and carrying out histogram equalization operation on the noise reduction image.
The invention effectively removes noise by using the Gaussian low-pass filter, simultaneously retains texture information, generates a noise reduction image, and realizes image enhancement by normalizing the image by applying a histogram equation method in order to compensate for potential negative effects by considering that image contrast or brightness may be different.
For some possible design ideas, the enhancing processing in S2 specifically includes:
constructing a bilateral filter based on an improved bilateral filtering algorithm to filter the DC cell culture image, and generating a noise reduction image;
performing histogram equalization operation on the noise reduction image usage;
the construction of the bilateral filter based on the improved bilateral filtering algorithm is as follows:
f(x)=h(x)+d(x),
g(x)=h(x)+Kd(x),
wherein f (x) represents an original image, g (x) represents a noise reduction image, h (x) represents a base layer of the original image, d (x) represents a detail layer of the original image, and K represents an adjustment factor;
the base layer is calculated as follows:
Figure BDA0004170704800000111
Figure BDA0004170704800000112
wherein x represents the pixel position, y represents the neighborhood pixel value position of x, Ω= [ -p, p]2 Represents a filtering window centered on (0, 0), σ represents a scale parameter, and the range is [0,255]The term, |·| represents the euclidean norm;
and (3) performing saliency map feature calculation:
S(x)=||fG (x)-μ||2
wherein S (x) represents a saliency map, μ represents an average pixel value of the CIE-Lab spatial input image, fG (x) Gaussian filtering of f (x) is represented, and after filtering, filtering results are converted into CIE-Lab space;
the significance map is linearly normalized to [0,1];
setting a threshold T, and if S (x) > T, identifying one pixel as saliency, thereby dividing the image into a salient region and a non-salient region, and performing range mapping:
σ(x)=Ψλ,T (S(x)),
Figure BDA0004170704800000113
wherein ψ isλ,T (T) represents a mapping function, λ represents a slope parameter of sigmoid, and T represents a displacement parameter of sigmoid for distinguishing a high-saliency region from a low-saliency region;
the final adjustment is as follows:
Figure BDA0004170704800000114
Figure BDA0004170704800000115
t epsilon [0.2, [ 05] and sigma epsilon [50,80] are set.
According to the invention, the bilateral filter is constructed based on the improved bilateral filtering algorithm to filter the DC cell culture image, the enhancement is realized rapidly by using the saliency map, the noise is removed, the details of the non-salient region are not amplified, and the texture information is reserved.
For some possible design considerations, S3 specifically includes:
acquiring image data, adding a class to an immature DC cell image and adding a class and a position data tag to the mature DC cell image to obtain a data set;
constructing a deep learning model based on DC cell detection, and training through the data set;
image set P to be identified through trained deep learning model based on DC cell detection1 Detecting mature DC cells of the image to be identified, and outputting a detection result;
the deep learning model based on DC cell detection is a deep convolutional neural network model based on AlexNet, and sequentially comprises an input layer, a convolutional layer 1, a maximum pooling layer 1, a convolutional layer 2, a maximum pooling layer 2, a convolutional layer 3, a convolutional layer 4, a convolutional layer 5, a maximum pooling layer 3, a full-connection layer 1, a full-connection layer 2 and an output layer; the size of an input image of the input layer is 227 x 3, the convolution layer 1 comprises 96 convolution kernels, the size of each convolution kernel is 11 x 3, the stride is 4, and the convolution is followed by batch normalization to form a 55 x 55 feature map; the convolution layer 2 comprises 256 convolution kernels, the size of each convolution kernel is 5×5×96, the stride is 1, and after convolution, batch normalization is carried out to form a 27×27 feature map; the convolution layer 3 and the convolution layer 4 comprise 384 convolution kernels, wherein each convolution kernel has a size of 3×3×256 and a stride of 1, and a feature map of 13×13 is formed; the convolution layer 5 comprises 256 convolution kernels, the size of each convolution kernel is 3 x 192, the stride is 1, and after convolution, batch normalization is carried out to form a feature map of 13 x 13; the maximum pooling layer 1, the maximum pooling layer 2 and the maximum pooling layer 3 adopt the maximum pooling with the steps of 2 and the size of 3*3; the full-connection layer 1 and the full-connection layer 2 comprise 4096 neurons, dropout operation is carried out, the output layer is a Softmax classifier, and the output class is 2.
Image set P to be identified through trained deep learning model based on DC cell detection1 The image to be identified is used for detecting mature DC cells, the accuracy is high, and the robustness of the deep learning model is good. Mature DC cells are in a typical dendritic cell form, namely, the surface of the mature DC cells is visible with more extended burr-like protrusions, and the immature DC cells are easy to ignore because of being developed into the mature DC cells, so that the mature DC cells can be automatically detected by using a computer-aided detection method, the detection is accurate, and the negligence and the burden of personnel can be reduced.
It should be noted that the deep learning model of the present invention may adopt the model designed in the above-mentioned manner, so that the detection speed is more accurate, but may also adopt other existing deep learning models as required.
For some possible design ideas, the acquiring image data specifically includes:
obtaining an image of immature DC cells in an in-vitro culture process of the DC cells by an electron microscope, wherein the image of immature DC cells is provided with immature DC cells and is not provided with mature DC cells, and the immature DC cells have the morphology of the immature DC cells and are verified to be an immature DC phenotype by a flow cytometer;
wherein, the morphology of the immature DC cells is that the cells form dendritic projections, the immature DC phenotypes are that the positive rate of CD40, CD80, CD86 and HLA-DR is high, and the CD83 is low;
acquiring a mature DC cell image in the in-vitro culture process of the DC cells through an electron microscope, wherein the mature DC cell image is used as a second original image, and the mature DC cells have the form of mature DC cells and are verified to be in a mature DC phenotype through a flow cytometer;
the mature DC cells are in the form of burr-shaped protrusions with more stretching surface, and the positive rates of the mature DC phenotypes of CD40, CD80, CD83, CD86 and HLA-DR are all obviously high-expressed;
acquiring a rotated image by rotating the first original image and the second original image from 0 ° to 270 ° around the center points thereof;
selecting different values according to T epsilon [0.2, [ 05] and sigma epsilon [50,80], and constructing a bilateral filter based on an improved bilateral filtering algorithm to filter a first original image, a second original image and a rotating image, so as to realize enhancement of the original images to different degrees and obtain enhanced images;
respectively inputting two similar first original images, second original images, rotating images or enhanced images into a coder Vencoder to obtain two compliant normal distributions;
randomly acquiring and processing the two normal distributions to obtain a 100-dimensional feature vector, inputting the 100-dimensional feature vector into a decoder Vdecoder, and fusing to obtain a cell superposition image;
the first original image, the second original image, the rotation image, the enhancement image and the cell superposition image are formed into a training set, a verification set and a test set in proportion;
training a model through a training set and verifying the model through a verification set in the training process;
the performance of the model is tested by the test set.
The invention realizes increasing the data set through the operation, thereby increasing the training condition of the deep learning model and improving the detection accuracy.
The embodiment of the invention further provides a system embodiment for realizing the steps and the method in the method embodiment.
Referring to fig. 2, which is a block diagram of a DC cell detection system according to an embodiment of the invention, the DC cell detection system 100 may include a processor 110, a machine-readable storage medium 120 (storage), a bus 130, and acommunication unit 140.
The processor 110 may perform various suitable actions and processes based on programs stored in the machine-readable storage medium 120, such as the program instructions associated with the DC cell detection methods described in the foregoing embodiments. The processor 110, the machine-readable storage medium 120, and thecommunication unit 140 communicate signals over the bus 130.
In particular, the processes described in the above exemplary flowcharts may be implemented as computer software programs, in accordance with embodiments of the present invention. For example, embodiments of the present invention include a computer program product comprising a computer program embodied on a computer readable medium, the computer program comprising program code for performing the method shown in the flowcharts. In such an embodiment, the computer program may be downloaded and installed from a network via thecommunication unit 140, which, when executed by the processor 110, performs the above-described functions defined in the method of the embodiment of the invention.
Still another embodiment of the present invention provides a computer-readable storage medium having stored therein computer-executable instructions which, when executed by a processor, are configured to implement the DC cell detection method according to any of the above embodiments.
The computer readable medium of the present invention may be a computer readable signal medium, a computer readable storage medium, or any combination of the two. The computer readable storage medium can be, for example, but not limited to, an electronic, magnetic, optical, electromagnetic, infrared, or semiconductor system, apparatus, or device, or a combination of any of the foregoing. More specific examples of the computer-readable storage medium may include, but are not limited to: an electrical connection having one or more wires, a portable computer diskette, a hard disk, a random access memory (LAM), a read-only memory (LOM), an erasable programmable read-only memory (EPLOM or flash memory), an optical fiber, a portable compact disc read-only memory (CD-LOM), an optical storage device, a magnetic storage device, or any suitable combination of the foregoing. In the context of this document, a computer readable storage medium may be any tangible medium that can contain, or store a program for use by or in connection with an instruction execution system, apparatus, or device. In the present invention, however, the computer-readable signal medium may include a data signal propagated in baseband or as part of a carrier wave, with the computer-readable program code embodied therein. Such a propagated data signal may take any of a variety of forms, including, but not limited to, electro-magnetic, optical, or any suitable combination of the foregoing. A computer readable signal medium may also be any computer readable medium that is not a computer readable storage medium and that can communicate, propagate, or transport a program for use by or in connection with an instruction execution system, apparatus, or device. Program code embodied on a computer readable medium may be transmitted using any appropriate medium, including but not limited to: electrical wires, fiber optic cables, LM (radio frequency), etc., or any suitable combination of the foregoing.
The computer readable medium may be contained in the electronic device; or may exist alone without being incorporated into the electronic device.
The computer-readable medium carries one or more programs which, when executed by the electronic device, cause the electronic device to perform the methods shown in the above-described embodiments.
Yet another embodiment of the invention provides a computer program product comprising a computer program which, when executed by a processor, implements a DC cell detection method as described in any of the above embodiments.
The terms "first," "second," "third," "fourth" and the like in the description and in the claims and in the above drawings, if any, are used for distinguishing between similar objects and not necessarily for describing a particular sequential or chronological order. It is to be understood that the data so used may be interchanged where appropriate such that the embodiments of the invention described herein may be implemented, for example, in sequences other than those illustrated or otherwise described herein. Furthermore, the terms "comprises," "comprising," and "includes" and any variations thereof, are intended to cover a non-exclusive inclusion, such that a process, method, system, article, or apparatus that comprises a list of steps or elements is not necessarily limited to those steps or elements expressly listed or inherent to such process, method, article, or apparatus.
Finally, it should be noted that: the above embodiments are only for illustrating the technical solution of the present invention, and not for limiting the same; although the invention has been described in detail with reference to the foregoing embodiments, it will be understood by those of ordinary skill in the art that: the technical scheme described in the foregoing embodiments can be modified or some or all of the technical features thereof can be replaced by equivalents; such modifications and substitutions do not depart from the spirit of the invention.

Claims (10)

1. A method of DC cell detection, the method comprising:
s1, through the first acquisition frequency F1 Acquiring cell culture images, sequentially separating out selected area images, and sequentially detecting immature DC cells of the selected area images based on a support vector machine;
s2, when detecting immature DC cells, performing second acquisition frequency F2 Acquiring a DC cell culture image, and performing enhancement treatment to obtain an image set P to be identified1
S3, constructing a deep learning model based on DC cell detection, and identifying an image set P to be identified through the deep learning model based on DC cell detection1 Mature DC cell detection is carried out on the image to be identified;
s4, acquiring an original DC cell culture image of the detected mature DC cells, and adding a time mark to obtain a mature DC cell image set P2
2. The method according to claim 1, wherein the step of separating the image of the selected region in S1 comprises:
sequencing the acquired cell culture images according to time sequence, and establishing a reference coordinate system according to the sizes of the cell culture images;
selecting a dynamic rectangular area S on a reference coordinate system, and aligning the dynamic rectangular area S with the center point of the cell culture image;
dividing the cell culture image sequentially by taking the dynamic rectangular region S as a dividing template;
S[Rec(x′1 ,y′1 ),(x′2 ,y′2 )]=w*S0 [Rec(x1 ,y1 ),(x2 ,y2 )],
wherein S represents the area of the dynamic rectangular region, (x'1 ,y′1 ) Representing the upper left corner position coordinates of the dynamic rectangular region, (x'2 ,y′2 ) Represents the right lower corner position coordinate of the dynamic rectangular area, w represents the scaling, 0<w<1,S0 Representing the area of the cell culture image, (x)1 ,y1 ) Representing the upper left corner position coordinates of the cell culture image, (x)2 ,y2 ) Representing the position coordinates of the lower right corner of the cell culture image;
Figure FDA0004170704780000011
wherein w is0 Representing the final scaling, being a specified constant, e representing the natural logarithm, n representing the number of divisions;
the selected region images are separated in sequence and ordered in time sequence.
3. The method for detecting DC cells according to claim 2, wherein the step S1 of sequentially performing immature DC cell detection on the selected region image based on a support vector machine comprises:
reading and classifying a selected area image preselected as a sample, wherein the selected area image comprises a cell culture image in which immature DC cells are not induced and in which immature DC cells are induced and artificially located;
extracting features of the selected area image by adopting a local binary pattern, and converting the image into an integer value matrix;
obtaining an LBP histogram based on the integer value matrix;
training the support vector machine model by using the LBP histogram, and outputting a target class and a non-target class;
and based on the trained support vector machine model, judging the target class and the non-target class of the selected area image to be detected, and finishing the detection of the immature DC cells.
4. The method of claim 1, wherein the second acquisition frequency F2 Is greater than the first acquisition frequency F1
5. The method for detecting DC cells according to claim 1, wherein the step of performing enhancement treatment in S2 comprises:
filtering the DC cell culture image by using a Gaussian low-pass filter to generate a noise reduction image;
and carrying out histogram equalization operation on the noise reduction image.
6. The method for detecting DC cells according to claim 1, wherein the step of performing enhancement treatment in S2 comprises:
constructing a bilateral filter based on an improved bilateral filtering algorithm to filter the DC cell culture image, and generating a noise reduction image;
and carrying out histogram equalization operation on the noise reduction image.
7. The method of claim 6, wherein the construction of the bilateral filter based on the modified bilateral filtering algorithm is as follows:
f(x)=h(x)+d(x),
g(x)=h(x)+Kd(x),
wherein f (x) represents an original image, g (x) represents a noise reduction image, h (x) represents a base layer of the original image, d (x) represents a detail layer of the original image, and K represents an adjustment factor;
the base layer is calculated as follows:
Figure FDA0004170704780000031
Figure FDA0004170704780000032
wherein x represents the pixel position, y represents the neighborhood pixel value position of x, Ω= [ -p, p]2 Represents a filtering window centered on (0, 0), σ represents a scale parameter, and the range is [0,255]The term, |·| represents the euclidean norm;
and (3) performing saliency map feature calculation:
S(x)=||fG (x)-μ||2
wherein S (x) represents a saliency map, μ represents an average pixel value of the CIE-Lab spatial input image, fG (x) Gaussian filtering of f (x) is represented, and after filtering, filtering results are converted into CIE-Lab space;
the significance map is linearly normalized to [0,1];
setting a threshold T, and if S (x) > T, identifying one pixel as saliency, thereby dividing the image into a salient region and a non-salient region, and performing range mapping:
σ(x)=Ψλ,T (S(x)),
Figure FDA0004170704780000033
wherein ψ isλ,T (T) represents a mapping function, λ represents a slope parameter of sigmoid, and T represents a displacement parameter of sigmoid forDistinguishing between high and low saliency regions;
the final adjustment is as follows:
Figure FDA0004170704780000041
Figure FDA0004170704780000042
t epsilon [0.2, [ 05] and sigma epsilon [50,80] are set.
8. The method for detecting a DC cell according to any one of claims 6 or 7, wherein S3 specifically comprises:
acquiring image data, adding a class to an immature DC cell image and adding a class and a position data tag to the mature DC cell image to obtain a data set;
constructing a deep learning model based on DC cell detection, and training through the data set;
image set P to be identified through trained deep learning model based on DC cell detection1 And (3) detecting mature DC cells in the image to be identified, and outputting a detection result.
9. The method for detecting a DC cell according to claim 8, wherein the acquiring image data specifically comprises:
obtaining an image of immature DC cells in an in-vitro culture process of the DC cells by an electron microscope, wherein the image of immature DC cells is provided with immature DC cells and is not provided with mature DC cells, and the immature DC cells have the morphology of the immature DC cells and are verified to be an immature DC phenotype by a flow cytometer;
acquiring a mature DC cell image in the in-vitro culture process of the DC cells through an electron microscope, wherein the mature DC cell image is used as a second original image, and the mature DC cells have the form of mature DC cells and are verified to be in a mature DC phenotype through a flow cytometer;
acquiring a rotated image by rotating the first original image and the second original image from 0 ° to 270 ° around the center points thereof;
selecting different values according to T epsilon [0.2, [ 05] and sigma epsilon [50,80], and constructing a bilateral filter based on an improved bilateral filtering algorithm to filter a first original image, a second original image and a rotating image, so as to realize enhancement of the original images to different degrees and obtain enhanced images;
respectively inputting two similar first original images, second original images, rotating images or enhanced images into a coder Vencoder to obtain two compliant normal distributions;
randomly acquiring and processing the two normal distributions to obtain a 100-dimensional feature vector, inputting the 100-dimensional feature vector into a decoder Vdecoder, and fusing to obtain a cell superposition image;
the first original image, the second original image, the rotation image, the enhancement image and the cell superposition image are proportionally formed into a training set, a verification set and a test set.
10. A DC cell detection system, characterized in that the system comprises a memory and a processor, the memory and the processor being coupled, the memory being for storing a computer program capable of running on the processor, the processor being for performing the DC cell detection method according to any one of claims 1-9 when the computer program is run.
CN202310376762.0A2023-04-112023-04-11DC cell detection method and systemActiveCN116386038B (en)

Priority Applications (1)

Application NumberPriority DateFiling DateTitle
CN202310376762.0ACN116386038B (en)2023-04-112023-04-11DC cell detection method and system

Applications Claiming Priority (1)

Application NumberPriority DateFiling DateTitle
CN202310376762.0ACN116386038B (en)2023-04-112023-04-11DC cell detection method and system

Publications (2)

Publication NumberPublication Date
CN116386038Atrue CN116386038A (en)2023-07-04
CN116386038B CN116386038B (en)2023-10-24

Family

ID=86976600

Family Applications (1)

Application NumberTitlePriority DateFiling Date
CN202310376762.0AActiveCN116386038B (en)2023-04-112023-04-11DC cell detection method and system

Country Status (1)

CountryLink
CN (1)CN116386038B (en)

Citations (5)

* Cited by examiner, † Cited by third party
Publication numberPriority datePublication dateAssigneeTitle
US20130183707A1 (en)*2012-01-132013-07-18University Of Pittsburgh - Of The Commonwealth System Of Higher EducationStem cell bioinformatics
CN107622238A (en)*2017-09-192018-01-23北京瑞格瑞特生物科技有限公司 A device and method for image acquisition and monitoring of immune cell state
CN112017208A (en)*2020-10-262020-12-01南京英瀚斯生物科技有限公司Multicellular ball identification and classification method based on deep learning
US20220101568A1 (en)*2019-06-282022-03-31Olympus CorporationImage generation system, image generation method, and non-transitory computer-readable storage medium
WO2023281016A1 (en)*2021-07-072023-01-12Sartorius Stedim Data Analytics AbMonitoring, simulation and control of bioprocesses

Patent Citations (5)

* Cited by examiner, † Cited by third party
Publication numberPriority datePublication dateAssigneeTitle
US20130183707A1 (en)*2012-01-132013-07-18University Of Pittsburgh - Of The Commonwealth System Of Higher EducationStem cell bioinformatics
CN107622238A (en)*2017-09-192018-01-23北京瑞格瑞特生物科技有限公司 A device and method for image acquisition and monitoring of immune cell state
US20220101568A1 (en)*2019-06-282022-03-31Olympus CorporationImage generation system, image generation method, and non-transitory computer-readable storage medium
CN112017208A (en)*2020-10-262020-12-01南京英瀚斯生物科技有限公司Multicellular ball identification and classification method based on deep learning
WO2023281016A1 (en)*2021-07-072023-01-12Sartorius Stedim Data Analytics AbMonitoring, simulation and control of bioprocesses

Non-Patent Citations (2)

* Cited by examiner, † Cited by third party
Title
曾柱;龙金华;陈琳;: "肝癌细胞微环境对不同分化阶段树突状细胞功能状态的影响", 重庆医科大学学报, no. 12*
邢玉英;李伟靖;赵雪莲;刘淑香;: "七氟醚对树突状细胞成熟及成熟树突状细胞活力的影响", 疑难病杂志, no. 11*

Also Published As

Publication numberPublication date
CN116386038B (en)2023-10-24

Similar Documents

PublicationPublication DateTitle
CN111539942B (en) Detection method of face depth forgery based on multi-scale depth feature fusion
CN113111947B (en)Image processing method, apparatus and computer readable storage medium
CN108388874B (en) Automatic measurement method of shrimp morphological parameters based on image recognition and cascade classifier
CN103164692B (en)A kind of special vehicle instrument automatic identification system based on computer vision and method
Yang et al.Cell image segmentation with kernel-based dynamic clustering and an ellipsoidal cell shape model
CN110929836B (en)Neural network training and image processing method and device, electronic equipment and medium
CN114821229A (en)Underwater acoustic data set amplification method and system based on condition generation countermeasure network
CN112507924A (en)3D gesture recognition method, device and system
CN113850792A (en)Cell classification counting method and system based on computer vision
Wu et al.Intelligent crater detection on planetary surface using convolutional neural network
CN118429981A (en)Smart electric meter registration identification method and device based on improvement YOLOv5
CN110443790B (en)Cartilage identification method and system in medical image
Dewan et al.A method for automatic segmentation of nuclei in phase-contrast images based on intensity, convexity and texture
Nguyen et al.Pavement crack detection and segmentation based on deep neural network
CN118379316B (en)Image edge detection method, system and equipment based on entropy analysis and edge density
CN116386038B (en)DC cell detection method and system
CN119274004A (en) Identification method, device, equipment and medium based on biological image recognition model
Tikkanen et al.Training based cell detection from bright-field microscope images
CN112396648B (en)Target identification method and system capable of positioning mass center of target object
CN118644592A (en) A visual measurement method and system based on digital human model
Chu et al.Unsupervised anomaly detection in the textile texture database
CN112990304A (en)Semantic analysis method and system suitable for power scene
Karthik et al.Microarray spot partitioning by autonomously organising maps through contour model.
Bhattacharjee et al.An object localization optimization technique in medical images using plant growth simulation algorithm
CN118918585B (en) Automatic recognition method and system of pathological images based on deep learning

Legal Events

DateCodeTitleDescription
PB01Publication
PB01Publication
SE01Entry into force of request for substantive examination
SE01Entry into force of request for substantive examination
CB02Change of applicant information
CB02Change of applicant information

Address after:123/125, 1st Floor, Building 1, No. 538 Yongfengtun, Haidian District, Beijing, 100094

Applicant after:WATSON CLICK (BEIJING) BIOTECHNOLOGY Co.,Ltd.

Address before:106, 1st Floor, Incubation Building, No. 7 Fengxian Middle Road, Haidian District, Beijing, 100094

Applicant before:WATSON CLICK (BEIJING) BIOTECHNOLOGY Co.,Ltd.

GR01Patent grant
GR01Patent grant

[8]ページ先頭

©2009-2025 Movatter.jp