







技术领域technical field
本发明涉及智能材料技术领域,特别是涉及一种光响应软体驱动材料、光驱动软体飞行器、电子器件及其制备方法。The invention relates to the technical field of intelligent materials, in particular to a light-responsive soft-body driving material, a light-driven soft-body aircraft, an electronic device and a preparation method thereof.
背景技术Background technique
自从莱特兄弟发明了第一架飞机后,各式各样新型飞行器便如雨后春笋般层出不穷。近些年来,科学家们向自然界学习,开发出形式多样、功能强大的新型仿生飞行器。例如,仿生蜜蜂、蝴蝶、蜻蜓等扑翼飞行原理,开发了能可靠、安全性更高的扑翼型飞行器;模拟海鸥、信天翁等鸟类滑翔飞行原理,开发了可以高空作业的滑翔机;受到“竹蜻蜓”的启发,发明了螺旋直升机等等。但是当前飞行器的动力主要是依靠石油或电力,开发新型、环保、高效、稳定的光驱动飞行器是目前的重要研究方向。Since the Wright Brothers invented the first airplane, various new types of aircraft have sprung up like mushrooms after rain. In recent years, scientists have learned from nature and developed new types of bionic aircraft with various forms and powerful functions. For example, bionic bees, butterflies, dragonflies and other flapping-wing flying principles have developed reliable and safer flapping-wing aircraft; simulating the gliding flight principles of seagulls, albatross and other birds have developed gliders that can work at high altitudes; Inspired by "Bamboo Dragonfly", he invented the spiral helicopter and so on. However, the power of the current aircraft mainly relies on oil or electricity, and the development of new, environmentally friendly, efficient, and stable light-driven aircraft is an important research direction at present.
太阳光属于取之不尽用之不竭的清洁能源,是种最理想、最清洁的能源。在自然界,太阳能甚至可以影响植物种子的传播。最为典型的就是蒲公英种子,它借助于风力或者由太阳辐射引起的气流,散播到几百米甚至几千米以后的距离。相对于其他的飞行方式,蒲公英无疑是最省力、最有效的飞行方式之一。蒲公英体积小,质量轻,它的冠毛可以增强了蒲公英的向上的拖拽力,增加蒲公英降落的时间。据相关研究分析,蒲公英在飞行过程中,冠毛上部会因为气压而产生空气涡流,这就为蒲公英远距离的飞行提供了动力基础。然而现在并没有相关技术模拟蒲公英。Sunlight is an inexhaustible clean energy, and it is the most ideal and clean energy. In nature, solar energy can even affect the dispersal of plant seeds. The most typical is the dandelion seed, which spreads to a distance of hundreds of meters or even thousands of meters with the help of wind or airflow caused by solar radiation. Compared with other flying methods, dandelion is undoubtedly one of the most labor-saving and effective flying methods. The dandelion is small in size and light in weight, and its pappus can enhance the upward drag force of the dandelion and increase the time for the dandelion to fall. According to relevant research analysis, during the flight of dandelion, the upper part of the pappus will generate air vortex due to air pressure, which provides the power basis for the long-distance flight of dandelion. However, there is currently no related technology to simulate dandelions.
发明内容Contents of the invention
本发明的目的是针对现有技术中存在的技术缺陷,而提供一种光响应软体驱动材料。The object of the present invention is to provide a light-responsive soft-body driving material aiming at the technical defects existing in the prior art.
本发明的另一目的,提供一种所述光响应软体驱动材料的制备方法。Another object of the present invention is to provide a method for preparing the photoresponsive soft body driving material.
本发明的另一目的,提供一种光驱动软体飞行器。Another object of the present invention is to provide a light-driven soft aircraft.
本发明的另一目的,提供一种所述光驱动软体飞行器的制备方法。Another object of the present invention is to provide a method for preparing the light-driven soft aircraft.
本发明的另一目的,提供一种基于所述光驱动软体飞行器的电子器件。Another object of the present invention is to provide an electronic device based on the light-driven soft aircraft.
为实现本发明的目的所采用的技术方案是:The technical scheme adopted for realizing the purpose of the present invention is:
一种光响应软体驱动材料,包括有热响应的软体驱动材料和涂覆于所述软体驱动材料表面的具有光热转化功能的涂层,所述涂层由光响应纳米材料复合胶水干燥后形成;A light-responsive soft-body driving material, comprising a heat-responsive soft-body driving material and a coating with a light-to-heat conversion function coated on the surface of the soft-body driving material, and the coating is formed by drying a light-responsive nanomaterial composite glue ;
所述光响应纳米材料复合胶水包括修饰后的功能纳米材料和胶水;The photoresponsive nanomaterial composite glue includes modified functional nanomaterials and glue;
所述软体驱动材料包括基层和层层自组装在所述基层表面的聚电解质层,所述聚电解质层包括正电解质层和负电介质层,最外侧的所述聚电解质层与所述光响应纳米材料复合胶水电荷相反,以通过胶水的粘结作用和聚电解质层与光响应纳米材料复合胶水间的静电相互作用形成所述光响应软体驱动材料。The soft body driving material includes a base layer and a polyelectrolyte layer self-assembled layer by layer on the surface of the base layer. The polyelectrolyte layer includes a positive electrolyte layer and a negative dielectric layer. The outermost polyelectrolyte layer and the photoresponsive nanometer The charge of the material composite glue is opposite to form the photoresponsive soft body driving material through the bonding effect of the glue and the electrostatic interaction between the polyelectrolyte layer and the photoresponsive nanomaterial composite glue.
在上述技术方案中,所述基层的层数为一层时,所述基层为液晶高分子薄膜;In the above technical solution, when the number of layers of the base layer is one layer, the base layer is a liquid crystal polymer film;
所述基层的层数为多层时,所述基层为由两种或者两种以上具有不同热膨胀系数的高分子薄膜复合而成。When the number of layers of the base layer is multiple layers, the base layer is composed of two or more polymer films with different coefficients of thermal expansion.
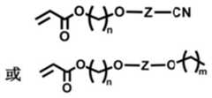
在上述技术方案中,所述液晶高分子薄膜所使用的液晶单体为末端带有反应官能度的可聚合的液晶单体,所述液晶单体的液晶相变温度为25℃~180℃,优选的,所述液晶单体为单一液晶单体或者两种以上液晶单体组成的混合物,所述液晶高分子薄膜的取向为展曲取向,厚度为5μm~100μm,进一步优选的,末端带有双反应官能度的液晶单体的含量为20%~95%,单官能度的液晶单体的含量为0%~50%,光引发剂的含量为0.5%~2%,更为优选的,单官能度液晶单体为以下的一种或多种:In the above technical solution, the liquid crystal monomer used in the liquid crystal polymer film is a polymerizable liquid crystal monomer with a reactive functionality at the end, and the liquid crystal phase transition temperature of the liquid crystal monomer is 25° C. to 180° C. Preferably, the liquid crystal monomer is a single liquid crystal monomer or a mixture of two or more liquid crystal monomers, the orientation of the liquid crystal polymer film is a splay orientation, and the thickness is 5 μm to 100 μm. More preferably, the terminal has The content of liquid crystal monomers with dual-reaction functionality is 20% to 95%, the content of monofunctional liquid crystal monomers is 0% to 50%, and the content of photoinitiators is 0.5% to 2%. More preferably, The monofunctional liquid crystal monomer is one or more of the following:
其中,n=2~13,m=1~12,X=H、Cl、F、CH3.;Wherein, n=2~13, m=1~12, X=H, Cl, F, CH3 .;
双单官能度液晶单体为以下的一种或多种:The double monofunctional liquid crystal monomer is one or more of the following:
其中,n=2~13,m=1~12,X=H、Cl、F、CH3.;Wherein, n=2~13, m=1~12, X=H, Cl, F, CH3 .;
所述高分子薄膜包括至少一个高热膨胀系数的高分子薄膜,一个低热膨胀系数的高分子薄膜,所述高热膨胀系数范围为100×10-6~500×10-6K-1,所述高热膨胀系数的高分子薄膜优选为聚乙烯、聚丙烯、PDMS、石蜡或PVDF;所述低热膨胀系数范围为1×10-6~70×10-6K-1,所述低热膨胀系数的高分子薄膜优选为聚酰亚胺、聚氯乙烯、PET或聚碳酸酯,每层所述高分子薄膜的厚度为3μm~80μm,所述高分子薄膜的总厚度为6μm~160μm。The polymer film includes at least one polymer film with a high thermal expansion coefficient and one polymer film with a low thermal expansion coefficient, the high thermal expansion coefficient ranges from 100×10-6 to 500×10-6 K-1 , the high The polymer film with thermal expansion coefficient is preferably polyethylene, polypropylene, PDMS, paraffin or PVDF; the range of the low thermal expansion coefficient is 1×10-6 to 70×10-6 K-1 , and the low thermal expansion coefficient of the polymer film is The film is preferably polyimide, polyvinyl chloride, PET or polycarbonate, the thickness of each polymer film is 3 μm-80 μm, and the total thickness of the polymer film is 6 μm-160 μm.
在上述技术方案中,所述正电解质层为PAH、聚二烯丙基二甲基铵、聚乙烯胺、聚乙烯吡啶或聚乙烯亚胺;所述负电介质层为PSS、聚丙烯酸、聚乙烯磺酸聚乙烯磷酸或聚甲基丙烯酸,优选的,所述正电解质层为PAH,所述负电介质层为PSS;In the above technical scheme, the positive electrolyte layer is PAH, polydiallyldimethylammonium, polyethyleneamine, polyvinylpyridine or polyethyleneimine; the negative dielectric layer is PSS, polyacrylic acid, polyethylene Polyvinyl phosphonic acid sulfonate or polymethacrylic acid, preferably, the positive electrolyte layer is PAH, and the negative dielectric layer is PSS;
所述光响应纳米材料复合胶水由修饰后的功能纳米材料与胶水复合而成,其粘度范围为 300~10000cps,所述胶水为水性丙烯酸、醋酸乙烯基乳液、聚乙烯醇缩醛胶或乳胶类胶水;The photoresponsive nanomaterial composite glue is composed of modified functional nanomaterials and glue, and its viscosity ranges from 300 to 10,000 cps. The glue is water-based acrylic, vinyl acetate emulsion, polyvinyl acetal glue or latex glue;
所述功能纳米材料的光吸收范围为300~1200nm的全光谱的光或者特定波长的单色光,材质为贵金属纳米材料、过渡金属纳米材料、碳基材料、半导体纳米材料、过渡金属碳化物或过渡金属氮化物,优选为金纳米球、铜纳米棒、碳纳米管、氧化石墨烯、Cu2-xS纳米微晶、 TiO2纳米球或MXene材料;The light absorption range of the functional nanomaterial is 300-1200nm full-spectrum light or monochromatic light of a specific wavelength, and the material is noble metal nanomaterial, transition metal nanomaterial, carbon-based material, semiconductor nanomaterial, transition metal carbide or Transition metal nitrides, preferably gold nanospheres, copper nanorods, carbon nanotubes, graphene oxide, Cu2-x S nanocrystallites, TiO2 nanospheres or MXene materials;
所述修饰后的功能纳米材料的Zeta电位值为±10mV~±60mV,修饰使用的试剂为负电性试剂或正电性试剂,优选为甲氧基聚乙二醇硫醇、羧基化聚乙二醇硫醇、氨基化聚乙二醇硫醇或聚乙烯亚胺硫醇。The Zeta potential value of the modified functional nanomaterial is ±10mV~±60mV, and the reagent used for modification is negatively charged or positively charged, preferably methoxypolyethylene glycol thiol, carboxylated polyethylene glycol Alcohol thiol, aminated polyethylene glycol thiol or polyethylene imine thiol.
在上述技术方案中,所述光响应软体驱动材料通过以下步骤制备,In the above technical solution, the photoresponsive soft body driving material is prepared through the following steps,
步骤1,制备具有高光热转化效率的功能纳米材料,对其表面进行修饰,使其表面带有大量电荷,接着加入胶水,使得功能纳米材料的质量分数为0.5wt%~3wt%,形成光响应纳米材料复合胶水;Step 1, preparing functional nanomaterials with high light-to-heat conversion efficiency, modifying its surface so that its surface has a large amount of charge, and then adding glue so that the mass fraction of functional nanomaterials is 0.5wt% to 3wt%, forming a light Responsive nanomaterial composite glue;
步骤2,将热响应的软体驱动材料通过两种带有相反电荷的聚电解质溶液进行层层自组装,使软体驱动材料表面形成聚电解质层,所述聚电解质层所携带的电荷与功能纳米材料携带的电荷相反,基层和层层自组装在所述基层表面的聚电解质层构成热响应的软体驱动材料;Step 2, self-assemble the thermoresponsive soft-body driving material layer by layer through two polyelectrolyte solutions with opposite charges, so that a polyelectrolyte layer is formed on the surface of the soft-body driving material, and the charge carried by the polyelectrolyte layer is compatible with the functional nanomaterial The charges carried are opposite, and the base layer and the polyelectrolyte layer self-assembled layer by layer on the surface of the base layer constitute a thermally responsive soft-body driving material;
步骤3,将所述光响应纳米材料复合胶水涂覆在软体驱动材料的表面,自然干燥,通过胶水的粘结作用和聚电解质层与光响应纳米材料复合胶水间的静电相互作用,即可获得光响应软体驱动材料,Step 3, coating the photoresponsive nanomaterial composite glue on the surface of the soft drive material, drying naturally, through the bonding effect of the glue and the electrostatic interaction between the polyelectrolyte layer and the photoresponsive nanomaterial composite glue, to obtain Light-responsive soft-body-actuated materials,
优选的,所述步骤2中每次自组装时,在溶液中浸泡4~30次,优选的,所述溶液为对应电解质的盐溶液,更为优选的,所述溶液为对应电解质的NaCl溶液,每次20~40min,所述步骤3中涂覆为旋涂,旋涂转速为500~5000rpm。Preferably, during each self-assembly in the step 2, soak in the solution for 4 to 30 times, preferably, the solution is a salt solution corresponding to the electrolyte, more preferably, the solution is a NaCl solution corresponding to the electrolyte , 20-40 minutes each time, the coating in the step 3 is spin coating, and the rotation speed of spin coating is 500-5000 rpm.
本发明的另一方面,提供一种光驱动软体飞行器,所述光驱动软体飞行器为仿生蒲公英结构,包括所述的光响应软体驱动材料组成的主体和仿生冠毛,所述主体上部裁剪成细条,所述仿生冠毛粘接于所述细条上,所述主体的下部形成空腔。Another aspect of the present invention provides a light-driven soft aircraft, the light-driven soft aircraft is a bionic dandelion structure, including the main body composed of the light-responsive soft-body driving material and the bionic pappus, and the upper part of the main body is cut into thin strips , the bionic pappa is bonded to the strip, and the lower part of the main body forms a cavity.
在上述技术方案中,所述仿生冠毛的数量为10~200根,长度为5mm~55mm,密度为0.5~3g cm-1,优选的,所述仿生冠毛的材质为无机材料纤维、有机高分子纤维或天然纤维,更为优选为玻璃纤维、石棉纤维、聚丙烯腈纤维、涤纶纤维、棉纤维或麻纤维;In the above technical solution, the number of the bionic pappa is 10-200, the length is 5mm-55mm, and the density is 0.5-3g cm-1 . Preferably, the material of the bionic pappa is inorganic material fiber, organic Polymer fibers or natural fibers, more preferably glass fibers, asbestos fibers, polyacrylonitrile fibers, polyester fibers, cotton fibers or hemp fibers;
所述仿生冠毛和光响应软体驱动材料的细条状端之间使用粘结剂粘接,所述粘结剂为水性丙烯酸、a-氰基丙烯酸酯瞬干胶、乙基丙烯酸酯胶粘剂或环氧丙烯酸酯胶。Adhesive is used to bond between the bionic pappus and the thin strip end of light-responsive soft-body driving material, and the adhesive is water-based acrylic, a-cyanoacrylate instant adhesive, ethyl acrylate adhesive or epoxy Acrylic glue.
本发明的另一方面,提供一种制备所述光驱动软体飞行器的方法,包括以下步骤:Another aspect of the present invention provides a method for preparing the light-driven soft aircraft, comprising the following steps:
步骤1,将所述的光响应软体驱动材料切割成长方形,然后沿长度方向的一端切割成细条;Step 1, cutting the photoresponsive soft body driving material into a rectangle, and then cutting one end along the length direction into thin strips;
步骤2,使用粘结剂在每根所述细条的末端粘附轻质纤维;Step 2, using a binder to attach lightweight fibers to the ends of each of the thin strips;
步骤3,使用粘结剂将步骤1得到的长方形的光响应软体驱动材料的宽度方向的两端粘附一起,即可获得具有蒲公英外形的光驱动软体飞行器;Step 3, using an adhesive to adhere the two ends in the width direction of the rectangular light-responsive soft-body driving material obtained in step 1 together to obtain a light-driven soft-body vehicle in the shape of a dandelion;
优选的,步骤2中,长方形的光响应软体驱动材料的长为10mm~50mm,宽为5mm~25mm,细条长度为3mm~10mm,宽度为0.4mm~1.6mm。Preferably, in step 2, the length of the rectangular light-responsive soft body driving material is 10mm-50mm, the width is 5mm-25mm, the length of the thin strip is 3mm-10mm, and the width is 0.4mm-1.6mm.
本发明的另一方面,提供一种电子器件,包括所述的光驱动软体飞行器和微型探测器、微型摄像机或微型传感器,所述微型探测器、微型摄像机或微型传感器负载于所述光驱动软体飞行器的空腔中。Another aspect of the present invention provides an electronic device, including the light-driven soft aircraft and micro-detectors, micro-cameras or micro-sensors, the micro-probes, micro-cameras or micro-sensors are loaded on the light-driven software in the cavity of the aircraft.
本发明的另一方面,提供一种光响应软体驱动材料的制备方法,包括以下步骤:Another aspect of the present invention provides a method for preparing a photoresponsive soft body driving material, comprising the following steps:
步骤1,制备具有高光热转化效率的功能纳米材料,对其表面进行修饰,使其表面带有大量电荷,接着加入胶水,使得功能纳米材料的质量分数为0.5wt%~3wt%,形成光响应纳米材料复合胶水;Step 1, preparing functional nanomaterials with high light-to-heat conversion efficiency, modifying its surface so that its surface has a large amount of charge, and then adding glue so that the mass fraction of functional nanomaterials is 0.5wt% to 3wt%, forming a light Responsive nanomaterial composite glue;
步骤2,将热响应的软体驱动材料通过两种带有相反电荷的聚电解质溶液进行层层自组装,使软体驱动材料表面形成聚电解质层,所述聚电解质层所携带的电荷与功能纳米材料携带的电荷相反,基层和层层自组装在所述基层表面的聚电解质层构成热响应的软体驱动材料;Step 2, self-assemble the thermoresponsive soft-body driving material layer by layer through two polyelectrolyte solutions with opposite charges, so that a polyelectrolyte layer is formed on the surface of the soft-body driving material, and the charge carried by the polyelectrolyte layer is compatible with the functional nanomaterial The charges carried are opposite, and the base layer and the polyelectrolyte layer self-assembled layer by layer on the surface of the base layer constitute a thermally responsive soft-body driving material;
步骤3,将所述光响应纳米材料复合胶水涂覆在软体驱动材料的表面,自然干燥,通过胶水的粘结作用和聚电解质层与光响应纳米材料复合胶水间的静电相互作用,即可获得光响应软体驱动材料,Step 3, coating the photoresponsive nanomaterial composite glue on the surface of the soft drive material, drying naturally, through the bonding effect of the glue and the electrostatic interaction between the polyelectrolyte layer and the photoresponsive nanomaterial composite glue, to obtain Light-responsive soft-body-actuated materials,
优选的,所述步骤2中每次自组装时,在溶液中浸泡4~30次,优选的,所述溶液为对应电解质的盐溶液,更为优选的,所述溶液为对应电解质的NaCl溶液,每次20~40min,所述步骤3中涂覆为旋涂,旋涂转速为500~5000rpm。Preferably, during each self-assembly in the step 2, soak in the solution for 4 to 30 times, preferably, the solution is a salt solution corresponding to the electrolyte, more preferably, the solution is a NaCl solution corresponding to the electrolyte , 20-40 minutes each time, the coating in the step 3 is spin coating, and the rotation speed of spin coating is 500-5000 rpm.
与现有技术相比,本发明的有益效果是:Compared with prior art, the beneficial effect of the present invention is:
1、本发明的光响应软体驱动材料薄膜具有优越的稳定性,经过长时间的持续滑翔或飞行后,光驱动软体飞行器飞行性能并没有出现明显的衰减。1. The light-responsive soft-body driving material film of the present invention has excellent stability, and after a long period of continuous gliding or flying, the flight performance of the light-driven soft-body aircraft does not show obvious attenuation.
2、本发明的光驱动软体飞行器,在外界光的作用下可以改变材料形态,进而改变仿生冠毛的投影面积,以此非常简易的调节飞行时的向上的拖拽力,可以在微型机器的运输、远程监控工程、森林检测、情报窃听、监视和侦察等领域进行广泛应用。2. The light-driven soft aircraft of the present invention can change the shape of the material under the action of external light, and then change the projected area of the bionic pappus, so as to easily adjust the upward drag force during flight, and can be used in the micromachine It is widely used in the fields of transportation, remote monitoring engineering, forest detection, intelligence eavesdropping, surveillance and reconnaissance.
2、本发明的光驱动软体飞行器只需要光能驱动,继续优化可以达到太阳光驱动效果。达到该效果时,具有非常大的优势,首先是在能源方面非常环保,而且无需考虑续航能力的问题,有高度自发行为,无需人工控制,可以实现长时间、长距离飞行的目标。2. The light-driven soft aircraft of the present invention only needs to be driven by light energy, and further optimization can achieve the effect of sunlight drive. When this effect is achieved, it has great advantages. First of all, it is very environmentally friendly in terms of energy, and there is no need to consider the issue of endurance. It has a highly spontaneous behavior without manual control, and can achieve the goal of long-term and long-distance flight.
3、本发明采取简单的材料,相比于市面飞行器而言,具有非常低廉的价格,有望实现大规模的量产,且制备复杂程度远低于目前市场上一些飞行器,技术手段无需困扰。3. The present invention uses simple materials. Compared with commercial aircraft, it has a very low price and is expected to achieve large-scale mass production. The preparation complexity is far lower than that of some aircraft currently on the market, and technical means do not need to be troubled.
4、本发明的光驱动软体飞行器是通过模仿蒲公英的形态结构和飞行动力学设计而成的,具有尺寸小,重量轻,机动性强的特点,在恒定光照下能够控制向下滑翔速度,同时,借助于光照引起的周围上升的气流,软体飞行器可以产生飞行现象,且滑翔速度、飞行时间和飞行高度可由光照强度和冠毛长度进行控制。4. The light-driven soft aircraft of the present invention is designed by imitating the morphological structure and flight dynamics of a dandelion. It has the characteristics of small size, light weight, and strong maneuverability. It can control the downward gliding speed under constant light, and at the same time , with the help of the surrounding updraft caused by light, the soft-bodied aircraft can produce flying phenomena, and the gliding speed, flight time and flight height can be controlled by the light intensity and the length of the pappus.
附图说明Description of drawings
图1为金纳米棒修饰的过程图。Figure 1 is a schematic diagram of the modification process of gold nanorods.
图2为光响应软体驱动材料制备过程图。Fig. 2 is a diagram of the preparation process of the photoresponsive soft body driving material.
图3为光驱动软体飞行器的制备过程图。Figure 3 is a diagram of the preparation process of the light-driven soft aircraft.
图4为光驱动软体飞行器理论投影面积图,其中a为正视图,b为俯视图。Fig. 4 is a theoretical projected area diagram of the light-driven soft aircraft, wherein a is a front view, and b is a top view.
图5为光驱动软体飞行器在a光照开关状态下,b不同光强下张开的图片。Fig. 5 is a picture of the light-driven soft air vehicle under a light switch state and b different light intensities.
图6为光驱动软体飞行器在不同光功率密度下的张开角度和下降速度图。Fig. 6 is a diagram of the opening angle and descent speed of the light-driven soft air vehicle under different light power densities.
图7为光驱动软体飞行器在光照下飞行过程图,其中a为飞行状态图,b为飞行轨迹图。Fig. 7 is a diagram of the flight process of the light-driven soft air vehicle under light, wherein a is the flight state diagram, and b is the flight trajectory diagram.
图8为光驱动软体飞行器在不同功率光照下的飞行高度图。Fig. 8 is a flight height diagram of the light-driven soft air vehicle under different power illuminations.
具体实施方式Detailed ways
以下结合具体实施例对本发明作进一步详细说明。应当理解,此处所描述的具体实施例仅仅用以解释本发明,并不用于限定本发明。The present invention will be described in further detail below in conjunction with specific examples. It should be understood that the specific embodiments described here are only used to explain the present invention, not to limit the present invention.
实施例1Example 1
1.11.1
一种光响应软体驱动材料,通过以下方法制备:A photoresponsive soft body driving material prepared by the following method:
步骤1,将金纳米棒溶液在剧烈搅拌下混加入甲氧基聚乙二醇硫醇(mPEG-SH),充分搅匀后在室温下静止12小时,反应机理如图1所示,接着进一步进行离心去除未参加反应的甲氧基聚乙二醇硫醇,mPEG末端带有甲氧基,因此所修饰的金纳米棒呈现负电性,最后加入水性丙烯酸即可获得光响应纳米材料复合胶水。Step 1, the gold nanorod solution is mixed with methoxypolyethylene glycol thiol (mPEG-SH) under vigorous stirring, and after fully stirring, stand still at room temperature for 12 hours. The reaction mechanism is shown in Figure 1, and then further The unreacted methoxypolyethylene glycol thiol is removed by centrifugation. The mPEG end has a methoxy group, so the modified gold nanorods are negatively charged. Finally, water-based acrylic acid is added to obtain a photoresponsive nanomaterial composite glue.
步骤2,取两块干净的玻璃分别进行垂直和水平取向后制备成液晶盒,进一步将含量为5 wt.%的单官能团的液晶单体、94.5wt.%的双官能团的液晶单体以及0.5wt.%的光引发剂溶于甲苯中,充分混匀后蒸干形成粉末,然后升高温度至90℃,将液晶混合物注入到液晶盒中,接着降温后保温30min,最后使用波长为365nm的UV灯进行光交联,即可得到液晶薄膜,薄膜厚度为10μm。Step 2, take two pieces of clean glass and carry out vertical and horizontal alignment respectively to prepare a liquid crystal cell, and further add a monofunctional liquid crystal monomer with a content of 5 wt.%, a bifunctional liquid crystal monomer with a content of 94.5wt.%, and 0.5 The wt.% photoinitiator was dissolved in toluene, mixed thoroughly and evaporated to dryness to form a powder, then the temperature was raised to 90°C, the liquid crystal mixture was injected into the liquid crystal cell, and then the temperature was lowered and kept for 30 minutes, and finally the wavelength was 365nm. The liquid crystal film can be obtained by photocrosslinking with a UV lamp, and the thickness of the film is 10 μm.
然后将上述制备的液晶薄膜分别依次浸泡在聚4-苯乙烯磺酸钠(PSS)和聚(烯丙胺盐酸盐) (PAH)的NaCl的水溶液中,每次浸泡前使用去离子水进行洗涤,每种聚电解质溶液至少浸泡5次,每次浸泡20min,PSS侧链上的苯磺酸基与PAH侧链上的氨基带有相反的电荷,因此PAH和PSS可以在液晶膜的表面进行层层自组装,最后一次浸泡在PAH溶液中,浸泡完后液晶薄膜表面的亲水性显著提高。Then the above-mentioned prepared liquid crystal film is soaked in the NaCl aqueous solution of poly-4-styrene sulfonate (PSS) and poly(allylamine hydrochloride) (PAH) successively respectively, uses deionized water to wash before soaking each time , each polyelectrolyte solution was soaked at least 5 times, soaked for 20min each time, the benzenesulfonic acid group on the PSS side chain and the amino group on the PAH side chain have opposite charges, so PAH and PSS can be layered on the surface of the liquid crystal film layer self-assembly, and soaked in PAH solution for the last time, after soaking, the hydrophilicity of the surface of the liquid crystal film is significantly improved.
步骤3,将步骤1的得到的光响应纳米材料复合胶水以转速1000rmp旋涂在液晶薄膜表面,自然干燥后,即可获得光响应软体驱动材料,如图2所示,带有负电荷的金纳米棒在液晶膜的表面通过静电相互作用堆积在液晶膜表面。Step 3, spin-coat the photoresponsive nanomaterial composite glue obtained in step 1 on the surface of the liquid crystal film at a speed of 1000rmp, and after natural drying, the photoresponsive soft-body driving material can be obtained, as shown in Figure 2, the negatively charged gold The nanorods are accumulated on the surface of the liquid crystal film through electrostatic interaction.
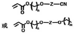
本实施例中所述的单官能团可聚合的液晶单体的结构式如下:The structural formula of the monofunctional polymerizable liquid crystal monomer described in this embodiment is as follows:
本实施例中所述的双官能团可聚合的液晶单体的结构式如下:The structural formula of the bifunctional polymerizable liquid crystal monomer described in this embodiment is as follows:
1.21.2
一种光驱动软体飞行器,通过以下方法制备:A light-driven soft aircraft, prepared by the following method:
如图3所示,步骤1,将1.1制备的光响应软体驱动材料切割成长方形,长为10mm,宽为7mm,接着将10mm长度的一侧切割成细条,细条长度为3mm,宽度为0.4mm。As shown in Figure 3, step 1, cut the photoresponsive software driving material prepared in 1.1 into a rectangle, with a length of 10mm and a width of 7mm, and then cut one side of the 10mm length into thin strips, the length of which is 3mm, and the width is 0.4mm .
步骤2,使用水性丙烯酸将玻璃纤维粘附在步骤1得到的细条的末端,其中玻璃纤维的总数目为20根,并进一步将玻璃纤维的长度切割成10mm。Step 2, using water-based acrylic to adhere glass fibers to the ends of the strips obtained in step 1, wherein the total number of glass fibers is 20, and further cutting the length of the glass fibers to 10 mm.
步骤3,最后将步骤1中光响应软体驱动材料的两端(两个宽度边缘)粘附在一起即可获得光驱动软体飞行器,如图3所示。Step 3. Finally, stick the two ends (two width edges) of the light-responsive soft-body driving material together in step 1 to obtain the light-driven soft-body vehicle, as shown in FIG. 3 .
用镊子夹住光驱动软体飞行器放在功率密度为10mW/cm2、波长为808nm的红外光下,光驱动软体飞行器张开的角度为30°,当从30cm高度释放光驱动软体飞行器,即可产生缓慢的向下滑行的现象。当关闭红外灯时,光驱动软体飞行器不能张开,会导致瞬间降落。在本条件下,光驱动软体飞行器向下滑翔的时间为0.51s,下降速度为0.59m/s。Use tweezers to clamp the light-driven soft air vehicle and place it under infrared light with a power density of 10mW/cm2 and a wavelength of 808nm. The light-driven soft air vehicle opens at an angle of 30°. When the light-driven soft air vehicle is released from a height of 30cm, it will be ready. Generating a slow downward slide phenomenon. When the infrared light is turned off, the light-driven soft air vehicle cannot be opened, and it will cause an instant landing. Under this condition, the time for the light-driven soft-body vehicle to glide downward is 0.51s, and the descending speed is 0.59m/s.
将40cm高的圆筒放在光强为225W红外灯上方,然后将所制备的光驱动软体飞行器放在圆筒的上方出口处。当打开灯时,光驱动软体飞行器即可由闭合状态变形为张开状态,在由红外灯引起的热气流的托扶下,光驱动软体飞行器即可产生飞行现象。在本实验条件下,飞行的时间为3s,高度为30mm。Place the cylinder with a height of 40cm above the infrared lamp with a light intensity of 225W, and then place the prepared light-driven soft vehicle at the upper outlet of the cylinder. When the light is turned on, the light-driven soft aircraft can be transformed from a closed state to an open state. Under the support of the thermal air flow caused by the infrared light, the light-driven soft aircraft can produce a flying phenomenon. Under the conditions of this experiment, the flight time is 3s and the height is 30mm.
实施例2Example 2
2.12.1
一种光响应软体驱动材料,通过以下方法制备:A photoresponsive soft body driving material prepared by the following method:
步骤1,将铜纳米棒溶液在剧烈搅拌下混加入甲氧基聚乙二醇硫醇(mPEG-SH),充分搅匀后在室温下静止12小时,接着进一步进行离心去除未参加反应的甲氧基聚乙二醇硫醇, mPEG末端带有甲氧基,因此所修饰的铜纳米棒呈现负电性,最后加入醋酸乙烯基乳液即可获得光响应纳米材料复合胶水。Step 1, the copper nanorod solution is mixed with methoxypolyethylene glycol thiol (mPEG-SH) under vigorous stirring, fully stirred and left to stand at room temperature for 12 hours, and then further centrifuged to remove unreacted formazan Oxy-polyethylene glycol thiol, mPEG has a methoxy group at the end, so the modified copper nanorods are negatively charged, and finally a vinyl acetate emulsion is added to obtain a photoresponsive nanomaterial composite glue.
步骤2,取两块干净的玻璃分别进行垂直和水平取向后制备成液晶盒,进一步将含量为 10wt.%的单官能团的液晶单体、90wt.%的双官能团的液晶单体以及1wt.%的光引发剂溶于甲苯中,充分混匀后蒸干形成粉末,然后升高温度至85℃,将液晶混合物注入到液晶盒中,接着降温后保温30min,最后使用波长为365nm的UV灯进行光交联,即可得到液晶薄膜,薄膜厚度为50μm。Step 2, take two pieces of clean glass and carry out vertical and horizontal alignment respectively to prepare a liquid crystal cell, and further add a monofunctional liquid crystal monomer with a content of 10wt.%, a bifunctional liquid crystal monomer with a content of 90wt.%, and a 1wt.% Dissolve the photoinitiator in toluene, mix well and evaporate to dryness to form a powder, then raise the temperature to 85°C, inject the liquid crystal mixture into the liquid crystal cell, then cool down and keep warm for 30min, and finally use a UV lamp with a wavelength of 365nm After photocrosslinking, a liquid crystal film can be obtained, and the film thickness is 50 μm.
然后将上述制备的液晶薄膜分别依次浸泡在聚丙烯酸和聚二烯丙基二甲基铵的NaCl的水溶液中,每次浸泡前使用去离子水进行洗涤,每种聚电解质溶液至少浸泡10次,每次浸泡 25min,最后一次浸泡在聚二烯丙基二甲基氯化铵溶液中,聚丙烯酸侧基的羧酸基团与聚二烯丙基二甲基氯化铵侧链的二甲基胺基团之间带有相反的基团,因此可以在液晶膜的表面进行层层自组装,浸泡完后液晶薄膜表面的亲水性显著提高。Then the above-mentioned prepared liquid crystal film is soaked in the NaCl aqueous solution of polyacrylic acid and polydiallyldimethylammonium successively respectively, uses deionized water to wash before soaking each time, every kind of polyelectrolyte solution soaks at least 10 times, Soak for 25 minutes each time, and soak in the polydiallyl dimethyl ammonium chloride solution for the last time, the carboxylic acid group of the polyacrylic acid side group and the dimethyl group of the polydiallyl dimethyl ammonium chloride side chain There are opposite groups between the amine groups, so layer-by-layer self-assembly can be carried out on the surface of the liquid crystal film, and the hydrophilicity of the surface of the liquid crystal film is significantly improved after soaking.
步骤3,将步骤1的得到的光响应纳米材料复合胶水以转速2000rmp旋涂在液晶薄膜表面,自然干燥后,即可获得光响应软体驱动材料。In step 3, spin-coat the photoresponsive nanomaterial composite glue obtained in step 1 on the surface of the liquid crystal film at a rotational speed of 2000 rpm, and after natural drying, the photoresponsive soft-body driving material can be obtained.
本实施例中所述的单官能团可聚合的液晶单体的结构式如下:The structural formula of the monofunctional polymerizable liquid crystal monomer described in this embodiment is as follows:
本实施例中所述的双官能团可聚合的液晶单体的结构式如下:The structural formula of the bifunctional polymerizable liquid crystal monomer described in this embodiment is as follows:
2.22.2
一种光驱动软体飞行器,通过以下方法制备A light-driven soft aircraft prepared by the following method
步骤1,将2.1制备的光响应软体驱动材料切割成长方形,长为20mm,宽为10mm,接着将20mm的长度的一侧切割成细条状,细条长度为5mm,宽度为0.7mm。Step 1: Cut the light-responsive software driving material prepared in 2.1 into a rectangle with a length of 20 mm and a width of 10 mm, and then cut one side of the length of 20 mm into thin strips with a length of 5 mm and a width of 0.7 mm.
步骤2,使用醋酸乙烯基乳液将棉纤维粘附在光响应软体驱动材料细条状末端,其中棉纤维的总数目为40根,并进一步将棉纤维的长度切割成15mm。Step 2, using vinyl acetate emulsion to adhere the cotton fibers to the end of the light-responsive soft drive material strips, wherein the total number of cotton fibers is 40, and further cutting the length of the cotton fibers into 15mm.
步骤3,将光响应软体驱动材料两端(两个宽度边缘)粘附在一起即可获得光驱动软体飞行器。Step 3, adhering the two ends (two width edges) of the light-responsive soft-body driving material together to obtain the light-driven soft-body vehicle.
用镊子夹住光驱动软体飞行器放在功率密度为20mW/cm2、波长为808nm的红外光下,光驱动软体飞行器张开的角度为50°,当从30cm高度释放光驱动软体飞行器,即可产生缓慢的向下滑行的现象。当关闭红外灯时,光驱动软体飞行器不能张开,会导致瞬间降落。在本条件下,光驱动软体飞行器向下滑翔的时间为0.71s,下降速度为0.42m/s。Use tweezers to clamp the light-driven soft air vehicle and place it under infrared light with a power density of 20mW/cm2 and a wavelength of 808nm. The light-driven soft air vehicle opens at an angle of 50°. When the light-driven soft air vehicle is released from a height of 30cm, it will be ready. Generating a slow downward slide phenomenon. When the infrared light is turned off, the light-driven soft air vehicle cannot be opened, and it will cause an instant landing. Under this condition, the time for the light-driven soft-body vehicle to glide downward is 0.71s, and the descending speed is 0.42m/s.
将30cm高的圆筒放在光强为225W红外灯上方,然后将所制备光驱动软体飞行器放在圆筒的上方出口处。当打开灯时,光驱动软体飞行器即可由闭合状态变形为张开状态,在由红外灯引起的热气流的托扶下,光驱动软体飞行器即可产生飞行现象。在本实验条件下,飞行的时间为5s,高度为58mm。Place the cylinder with a height of 30cm above the 225W infrared lamp, and then place the prepared light-driven soft vehicle at the upper outlet of the cylinder. When the light is turned on, the light-driven soft aircraft can be transformed from a closed state to an open state. Under the support of the thermal air flow caused by the infrared light, the light-driven soft aircraft can produce a flying phenomenon. Under the conditions of this experiment, the flight time is 5s and the height is 58mm.
实施例3Example 3
3.13.1
一种光响应软体驱动材料,通过以下方法制备:A photoresponsive soft body driving material prepared by the following method:
步骤1,将金纳米球溶液在剧烈搅拌下混加入氨基化聚乙二醇硫醇,充分搅匀后在室温下静止12小时,接着进一步进行离心去除未参加反应的氨基化聚乙二醇硫醇,氨基化聚乙二醇硫醇末端带有胺基,因此所修饰的金纳米棒呈现正电性,最后加入聚乙烯醇缩醛胶即可获得光响应纳米材料复合胶水。Step 1, the gold nanosphere solution is mixed with aminated polyethylene glycol thiol under vigorous stirring, fully stirred and left to stand at room temperature for 12 hours, and then further centrifuged to remove unreacted aminated polyethylene glycol thiol Alcohol, aminated polyethylene glycol thiol with amine groups at the end, so the modified gold nanorods are positively charged, finally adding polyvinyl acetal glue to obtain photoresponsive nanomaterial composite glue.
步骤2,将8μm厚的聚乙烯薄膜和5μm厚的聚酰亚胺薄膜通过聚乙烯醇缩醛胶复合,即可获得双层软体驱动材料。将上述制备的双层软体驱动材料分别依次浸泡在聚乙烯吡啶盐酸盐和聚甲基丙烯酸的NaCl的水溶液中,每次浸泡前使用去离子水进行洗涤,每种聚电解质溶液至少浸泡15次,每次浸泡30min,最后一次浸泡在聚甲基丙烯酸溶液中,聚乙烯吡啶盐酸盐侧链上的吡啶基与聚甲基丙烯酸侧链上的羧基带有相反的电荷,因此可以在高分子复合薄膜的表面进行层层自组装,浸泡完后高分子复合薄膜表面的亲水性显著提高。In step 2, the polyethylene film with a thickness of 8 μm and the polyimide film with a thickness of 5 μm are compounded with polyvinyl acetal to obtain a double-layer soft driving material. Soak the above-prepared double-layer soft drive material in the NaCl aqueous solution of polyvinylpyridine hydrochloride and polymethacrylic acid in sequence, wash with deionized water before each soaking, and soak each polyelectrolyte solution at least 15 times , soaked for 30 minutes each time, and soaked in polymethacrylic acid solution for the last time, the pyridyl group on the side chain of polyvinylpyridine hydrochloride and the carboxyl group on the side chain of polymethacrylic acid have opposite charges, so it can be used in polymers The surface of the composite film is self-assembled layer by layer, and the hydrophilicity of the surface of the polymer composite film is significantly improved after soaking.
步骤3,将步骤1的得到的光响应纳米材料复合胶水以转速3000rmp旋涂在在薄膜表面,自然干燥后,即可获得光响应软体驱动材料,如图2所示,带有正电荷的金纳米棒在液晶膜的表面通过静电相互作用堆积在高分子复合薄膜表面。Step 3, spin-coat the photoresponsive nanomaterial composite glue obtained in step 1 on the surface of the film at a speed of 3000rmp, and after natural drying, the photoresponsive soft-body driving material can be obtained, as shown in Figure 2, the positively charged gold The nanorods are accumulated on the surface of the polymer composite film through electrostatic interaction on the surface of the liquid crystal film.
3.23.2
一种光驱动软体飞行器,通过以下方法制备A light-driven soft aircraft prepared by the following method
步骤1,将3.1制备的光响应软体驱动材料切割成长方形,长为30mm,宽为14mm,接着将30mm长度的一侧切割成细条状,细条长度为7mm,宽度为0.9mm。Step 1: Cut the light-responsive software driving material prepared in 3.1 into a rectangle with a length of 30mm and a width of 14mm, and then cut one side of the 30mm length into thin strips with a length of 7mm and a width of 0.9mm.
步骤2,使用聚乙烯醇缩醛胶将石棉纤维粘附在步骤1得到的细条的末端,其中石棉纤维的总数目为60根,并进一步将石棉纤维的长度切割成20mm。Step 2, using polyvinyl acetal glue to adhere asbestos fibers to the ends of the strips obtained in step 1, wherein the total number of asbestos fibers is 60, and further cutting the length of the asbestos fibers to 20mm.
步骤3,最后将步骤1中光响应软体驱动材料的两端(两个宽度边缘)粘附在一起即可获得光驱动软体飞行器。Step 3. Finally, stick the two ends (two width edges) of the light-responsive soft-body driving material in step 1 together to obtain the light-driven soft-body aircraft.
用镊子夹住光驱动软体飞行器放在功率密度为30mW/cm2、波长为808nm的红外光下,光驱动软体飞行器张开的角度为60°,当从30cm高度释放光驱动软体飞行器,即可产生缓慢的向下滑行的现象。当关闭红外灯时,光驱动软体飞行器不能张开,会导致瞬间降落。Use tweezers to clamp the light-driven soft air vehicle and place it under infrared light with a power density of 30mW/cm2 and a wavelength of 808nm. The light-driven soft air vehicle opens at an angle of 60°. When the light-driven soft air vehicle is released from a height of 30cm, it will be ready. Generating a slow downward slide phenomenon. When the infrared light is turned off, the light-driven soft air vehicle cannot be opened, and it will cause an instant landing.
图4是软体飞行器在不同张开角度下投影示意图,图5为软体飞行器在不同光照下张开的角度,光功率越大,光驱动软体飞行器张开的角度越大,则滑翔的时间越长。图6是滑翔时间的数据,在冠毛长度为20mm的条件下,光驱动软体飞行器向下滑翔的时间为0.75s,滑翔降落的速度为0.4m/s。Figure 4 is a schematic diagram of the projection of the soft aircraft at different opening angles, and Figure 5 is the opening angle of the soft aircraft under different lighting conditions. The greater the optical power, the greater the opening angle of the light-driven soft aircraft, and the longer the gliding time . Figure 6 is the data of the gliding time. Under the condition that the length of the pappus is 20mm, the time for the light-driven soft body vehicle to glide downward is 0.75s, and the speed of gliding and landing is 0.4m/s.
将30cm高的圆筒放在光强为300W红外灯上方,然后将所制备光驱动软体飞行器放在圆筒的上方出口处。当打开灯时,光驱动软体飞行器即可由闭合状态变形为张开状态,在由红外灯引起的热气流的托扶下,光驱动软体飞行器即可产生飞行现象。图7为软体飞行器飞行过程的照片,采用相同制备方法,区别在于石棉纤维的长度切割成10mm、15mm,结果如图8所示,光驱动软体飞行器飞行在不同位置和不同光强下飞行的数据,实验表明,光强越大,飞行越高,离圆筒出口的位置越高,则飞行高度越低。在本实验条件下,当冠毛长度为20mm时,飞行的时间为7s,高度为240mm。Place the 30cm high cylinder above the infrared lamp with a light intensity of 300W, and then place the prepared light-driven soft vehicle at the upper outlet of the cylinder. When the light is turned on, the light-driven soft aircraft can be transformed from a closed state to an open state. Under the support of the thermal air flow caused by the infrared light, the light-driven soft aircraft can produce a flying phenomenon. Figure 7 is a photo of the flight process of the soft aircraft, using the same preparation method, the difference is that the length of the asbestos fiber is cut into 10mm, 15mm, the results are shown in Figure 8, the data of the light-driven soft aircraft flying at different positions and different light intensities , experiments show that the greater the light intensity, the higher the flight, and the higher the position away from the cylinder exit, the lower the flight altitude. Under the conditions of this experiment, when the pappus length is 20mm, the flight time is 7s and the height is 240mm.
实施例4Example 4
4.14.1
一种光响应软体驱动材料,通过以下方法制备:A photoresponsive soft body driving material prepared by the following method:
步骤1,将银纳米球溶液在剧烈搅拌下混加入羧基化聚乙二醇硫醇,充分搅匀后在室温下静止12小时,接着进一步进行离心去除未参加反应的羧基化聚乙二醇硫醇,羧基化聚乙二醇硫醇末端带有甲氧基,因此所修饰的铜纳米棒呈现负电性,最后加入醋酸乙烯基乳液即可获得光响应纳米材料复合胶水。Step 1, the silver nanosphere solution is mixed with carboxylated polyethylene glycol thiol under vigorous stirring, fully stirred and left to stand at room temperature for 12 hours, and then further centrifuged to remove unreacted carboxylated polyethylene glycol thiol Alcohol, carboxylated polyethylene glycol thiol end with methoxy group, so the modified copper nanorods are negatively charged, finally adding vinyl acetate emulsion to obtain photoresponsive nanomaterial composite glue.
步骤2,将20μm厚的PDMS膜和30μm厚的PET薄膜通过醋酸乙烯基乳复合,即可获得双层软体驱动材料。将上述制备的双层软体驱动材料分别依次浸泡在聚乙烯亚胺和聚甲基丙烯酸的NaCl的水溶液中,每次浸泡前使用去离子水进行洗涤,每种聚电解质溶液至少浸泡 20次,每次浸泡40min,最后一次浸泡在聚乙烯亚胺溶液中,聚聚乙烯亚胺侧基的亚胺基团与聚甲基丙烯酸侧链的羧基之间带有相反的基团,因此可以在高分子复合薄膜的表面进行层层自组装,浸泡完后高分子复合薄膜表面的亲水性显著提高,如图2所示,In step 2, the 20 μm thick PDMS film and the 30 μm thick PET film are compounded through vinyl acetate emulsion to obtain a double-layer soft driving material. Soak the above-prepared double-layer soft drive material in the NaCl aqueous solution of polyethyleneimine and polymethacrylic acid in sequence, and wash with deionized water before each soaking. Each polyelectrolyte solution is soaked at least 20 times. Soak for 40 minutes for the first time, and soak in polyethyleneimine solution for the last time. The imine group of the side group of polyethyleneimine and the carboxyl group of the side chain of polymethacrylic acid have opposite groups, so it can be used in polymer The surface of the composite film is self-assembled layer by layer, and the hydrophilicity of the surface of the polymer composite film is significantly improved after soaking, as shown in Figure 2.
步骤3,将步骤1的得到的光响应纳米材料复合胶水以转速4000rmp旋涂在高分子复合薄膜表面,自然干燥后,即可获得光响应软体驱动材料。Step 3: spin-coat the photoresponsive nanomaterial composite glue obtained in step 1 on the surface of the polymer composite film at a speed of 4000 rpm, and dry naturally to obtain the photoresponsive soft-body driving material.
4.24.2
一种光驱动软体飞行器,通过以下方法制备:A light-driven soft aircraft, prepared by the following method:
步骤1,将4.1制备的光响应软体驱动材料切割成长方形,长为40mm,宽为20mm,接着将40mm长度的一侧切割成细条状,细条长度为9mm,宽度为1.2mm。Step 1: Cut the light-responsive software driving material prepared in 4.1 into a rectangle with a length of 40mm and a width of 20mm, and then cut one side of the 40mm length into thin strips with a length of 9mm and a width of 1.2mm.
步骤2,使用醋酸乙烯基乳液将涤纶纤维粘附在光驱动材料细条状末端,其中涤纶纤维的总数目为80根,并进一步将涤纶纤维的长度切割成25mm。Step 2, using vinyl acetate emulsion to adhere polyester fibers to the light-driven material thin strip ends, wherein the total number of polyester fibers is 80, and further cutting the length of polyester fibers to 25 mm.
步骤3,最后将步骤1中光响应软体驱动材料的两端(两个宽度边缘)粘附在一起即可获得光驱动软体飞行器。Step 3. Finally, stick the two ends (two width edges) of the light-responsive soft-body driving material in step 1 together to obtain the light-driven soft-body aircraft.
用镊子夹住光驱动软体飞行器放在功率密度为50mW/cm2、波长为808nm的红外光下,光驱动软体飞行器张开的角度为85°,当从30cm高度释放光驱动软体飞行器,即可产生缓慢的向下滑行的现象。当关闭红外灯时,光驱动软体飞行器不能张开,会导致瞬间降落。在本条件下,光驱动软体飞行器向下滑翔的时间为0.88s,水平滑翔距离为0.34m/s。Use tweezers to clamp the light-driven soft air vehicle and place it under infrared light with a power density of 50mW/cm2 and a wavelength of 808nm. The light-driven soft air vehicle opens at an angle of 85°. When the light-driven soft air vehicle is released from a height of 30cm, it will be ready. Generating a slow downward slide phenomenon. When the infrared light is turned off, the light-driven soft air vehicle cannot be opened, and it will cause an instant landing. Under this condition, the time for the light-driven soft-body vehicle to glide downward is 0.88s, and the horizontal glide distance is 0.34m/s.
将30cm高的圆筒放在光强为300W红外灯上方,然后将所制备光驱动软体飞行器放在圆筒的上方出口处。当打开灯时,光驱动软体飞行器即可由闭合状态变形为张开状态,在由红外灯引起的热气流的托扶下,光驱动软体飞行器即可产生飞行现象。在本实验条件下,飞行的时间为7s,高度为340mm。Place the 30cm high cylinder above the infrared lamp with a light intensity of 300W, and then place the prepared light-driven soft vehicle at the upper outlet of the cylinder. When the light is turned on, the light-driven soft aircraft can be transformed from a closed state to an open state. Under the support of the thermal air flow caused by the infrared light, the light-driven soft aircraft can produce a flying phenomenon. Under the conditions of this experiment, the flight time is 7s and the height is 340mm.
以上所述仅是本发明的优选实施方式,应当指出的是,对于本技术领域的普通技术人员来说,在不脱离本发明原理的前提下,还可以做出若干改进和润饰,这些改进和润饰也应视为本发明的保护范围。The above is only a preferred embodiment of the present invention, it should be pointed out that, for those of ordinary skill in the art, without departing from the principle of the present invention, some improvements and modifications can also be made, these improvements and Retouching should also be regarded as the protection scope of the present invention.
| Application Number | Priority Date | Filing Date | Title |
|---|---|---|---|
| CN202210446017.4ACN116376082B (en) | 2022-04-26 | 2022-04-26 | A light-responsive soft-body driving material, a light-driven soft-body aircraft, an electronic device and a preparation method thereof |
| Application Number | Priority Date | Filing Date | Title |
|---|---|---|---|
| CN202210446017.4ACN116376082B (en) | 2022-04-26 | 2022-04-26 | A light-responsive soft-body driving material, a light-driven soft-body aircraft, an electronic device and a preparation method thereof |
| Publication Number | Publication Date |
|---|---|
| CN116376082Atrue CN116376082A (en) | 2023-07-04 |
| CN116376082B CN116376082B (en) | 2025-03-21 |
| Application Number | Title | Priority Date | Filing Date |
|---|---|---|---|
| CN202210446017.4AActiveCN116376082B (en) | 2022-04-26 | 2022-04-26 | A light-responsive soft-body driving material, a light-driven soft-body aircraft, an electronic device and a preparation method thereof |
| Country | Link |
|---|---|
| CN (1) | CN116376082B (en) |
| Publication number | Priority date | Publication date | Assignee | Title |
|---|---|---|---|---|
| GB1464791A (en)* | 1973-03-08 | 1977-02-16 | Western Electric Co | Electro-optic devices |
| US5246782A (en)* | 1990-12-10 | 1993-09-21 | The Dow Chemical Company | Laminates of polymers having perfluorocyclobutane rings and polymers containing perfluorocyclobutane rings |
| CN105479836A (en)* | 2016-01-06 | 2016-04-13 | 复旦大学 | Light-drive deformation-controllable composite and preparation method thereof |
| CN113043288A (en)* | 2020-12-25 | 2021-06-29 | 天津大学 | Liquid metal-polymer composite soft driver and preparation method thereof |
| CN114133609A (en)* | 2021-12-08 | 2022-03-04 | 福州大学 | Light-driven composite material and preparation method thereof |
| Publication number | Priority date | Publication date | Assignee | Title |
|---|---|---|---|---|
| GB1464791A (en)* | 1973-03-08 | 1977-02-16 | Western Electric Co | Electro-optic devices |
| US5246782A (en)* | 1990-12-10 | 1993-09-21 | The Dow Chemical Company | Laminates of polymers having perfluorocyclobutane rings and polymers containing perfluorocyclobutane rings |
| CN105479836A (en)* | 2016-01-06 | 2016-04-13 | 复旦大学 | Light-drive deformation-controllable composite and preparation method thereof |
| CN113043288A (en)* | 2020-12-25 | 2021-06-29 | 天津大学 | Liquid metal-polymer composite soft driver and preparation method thereof |
| CN114133609A (en)* | 2021-12-08 | 2022-03-04 | 福州大学 | Light-driven composite material and preparation method thereof |
| Publication number | Publication date |
|---|---|
| CN116376082B (en) | 2025-03-21 |
| Publication | Publication Date | Title |
|---|---|---|
| Li et al. | A hydrovoltaic power generation system based on solar thermal conversion | |
| CN105905297B (en) | Bionical adaptive flapping wing aircraft | |
| CN109104137A (en) | A kind of common pole-type power generator being collected simultaneously rainwater energy and solar energy | |
| CN114702093A (en) | Method for preparing three-dimensional porous salt-resistant interface evaporator by using CNTs modified polyurethane sponge | |
| CN109361325B (en) | High-performance wave-type electret nano friction generator and preparation method thereof | |
| CN112509747B (en) | A flexible transparent conductive film fabrication method based on low-voltage driven liquid film embedded electrojet 3D printing | |
| CN114276383B (en) | Liquid crystal nanocomposite film, light-driven self-sustaining vibrator, preparation method and application thereof | |
| CN105337560A (en) | Composite energy apparatus and power generating method | |
| Yang et al. | Photochemically responsive polymer films enable tunable gliding flights | |
| CN104112602A (en) | Method for preparing solar cell in inverse opal composite structure | |
| CN108512453A (en) | A kind of photovoltaic energy conversion device and preparation method thereof | |
| CN108893070A (en) | A kind of ice-covering-proof pad pasting of photo-thermal type low temperature | |
| CN105479836A (en) | Light-drive deformation-controllable composite and preparation method thereof | |
| CN111211707A (en) | Preparation method of photovoltaic device based on bacterial cellulose and carboxylated ferroferric oxide | |
| Wang et al. | The intrigue of directional water collection interface: mechanisms and strategies | |
| CN110676332A (en) | Flexible photoelectric detector based on layered transition metal sulfide and preparation method thereof | |
| CN111600508A (en) | A kind of preparation method of gradient titanium dioxide-based hydrovoltaic device | |
| CN116376082A (en) | Light response soft driving material, light driving soft aircraft, electronic device and preparation method of light response soft driving material | |
| CN110947597B (en) | Black body fiber flocking material and preparation method and application thereof | |
| CN102874861A (en) | Electrospinning Method of Red Fluorescent Nanosheets Y2O2SO4:Eu3+ | |
| CN101468877B (en) | Infrared light transmission sandwich structure composite material based on silver dendritic structure | |
| CN115411971A (en) | Cellulose-based moisture absorption and evaporation integrated power generation device and preparation method thereof | |
| CN104701404A (en) | Ultraviolet photosensitive sensor based on ZnO nanostructure and preparation method thereof | |
| CN105810441B (en) | To electrode and preparation method thereof and dye-sensitized solar cells | |
| CN115967297A (en) | A wearable self-power supply system and method for plants based on droplet triboelectric power generation |
| Date | Code | Title | Description |
|---|---|---|---|
| PB01 | Publication | ||
| PB01 | Publication | ||
| SE01 | Entry into force of request for substantive examination | ||
| SE01 | Entry into force of request for substantive examination | ||
| GR01 | Patent grant | ||
| GR01 | Patent grant |