





技术领域technical field
本发明属于数字信号处理技术领域,特别涉及一种快速时域成像方法,可用于双基合成孔径雷达协同成像探测与精确打击。The invention belongs to the technical field of digital signal processing, and in particular relates to a fast time-domain imaging method, which can be used for dual-base synthetic aperture radar cooperative imaging detection and precise strike.
背景技术Background technique
合成孔径雷达SAR是一种通过载体平台运动来形成虚拟天线,从而获得高分辨的成像雷达,其成像技术已经广泛用在国土资源勘探、工农业生产、环境观测保护多方面。SAR可以分为单基SAR和双基SAR。单基SAR收发功能由同一个天线完成,系统构型只需要一个载机平台,所以天线的功能需要设计的比较复杂,设计制造成本也比较昂贵。对于传统单基SAR的正前方场景来说,其飞行方向和目标方向发生重叠,导致单基SAR的距离向和方位向重合,无法实现成像。这种单基SAR系统由于其构型受限,远远不能满足实际的应用需求,因而要想在前视条件下依旧可以实现成像要求,可以利用双基SAR的前视构型。双基SAR系统中将发射机与接收机分别放置在两个不同的平台上,发射机发射信号后经目标点的反射由接收机接收到回波信号,使得在距离向和方位向就产生夹角,形成基本的二维分辨网格,以在成像场景位于接收机正前方的前视情况下依旧可实现成像。由于双基SAR具有构型灵活的特点,故可实现更多视角的成像,得到越来越多的关注与重视。Synthetic Aperture Radar (SAR) is a high-resolution imaging radar that forms a virtual antenna through the movement of the carrier platform. Its imaging technology has been widely used in land and resource exploration, industrial and agricultural production, and environmental observation and protection. SAR can be divided into single-base SAR and double-base SAR. The single-base SAR transceiver function is completed by the same antenna, and the system configuration only needs one carrier platform, so the antenna function needs to be designed more complicated, and the design and manufacturing cost is also relatively expensive. For the frontal scene of the traditional single-base SAR, the flight direction and the target direction overlap, resulting in the coincidence of the range direction and the azimuth direction of the single-base SAR, and imaging cannot be realized. Due to its limited configuration, this single-base SAR system is far from meeting the actual application requirements. Therefore, if the imaging requirements can still be achieved under forward-looking conditions, the forward-looking configuration of the bi-static SAR can be used. In the bistatic SAR system, the transmitter and the receiver are placed on two different platforms. After the transmitter transmits the signal, it is reflected by the target point and the receiver receives the echo signal. Angle, forming a basic two-dimensional resolution grid, so that imaging can still be achieved when the imaging scene is located in front of the receiver. Due to the flexible configuration of bistatic SAR, it can realize imaging from more viewing angles, and has received more and more attention and attention.
文章“Synthetic aperture radar processing using fast factorized back-projection,IEEE Trans.Aerosp.Electron.Syst.,vol.39,no.3,pp.760-776,Jul.2003”提出了一种快速分解后向投影FFBP算法,其为一种高效的快速时域成像算法。该算法最早是在单基SAR系统中进行研究并加以实现的,由于该系统中发射和接收功能在同一个载体平台上实现,所以针对合成孔径分割得到的子孔径来说建立极坐标系比较简单,能够在单基SAR进行匀速运动时实现精确成像。但是对于双基SAR系统来说,由于发射机和接收机分别置于不同的平台,对于分割得到的各子孔径建立极坐标系也变得不再简单,后续的处理过程也更为复杂,所以该算法无法直接应用于双基SAR系统,需要根据双基SAR的构型对子孔径构建局部椭圆极坐标系并进行后续的成像处理。The article "Synthetic aperture radar processing using fast factorized back-projection, IEEE Trans.Aerosp. Electron. Syst., vol.39, no.3, pp.760-776, Jul.2003" proposed a fast factorized back-projection FFBP algorithm, which is an efficient fast time-domain imaging algorithm. This algorithm was first studied and implemented in the monostatic SAR system. Since the transmitting and receiving functions in this system are implemented on the same carrier platform, it is relatively simple to establish a polar coordinate system for the sub-aperture obtained by synthetic aperture segmentation. , which can achieve precise imaging when the single-base SAR is moving at a uniform speed. But for the bistatic SAR system, since the transmitter and the receiver are placed on different platforms, it is no longer simple to establish a polar coordinate system for each sub-aperture obtained by segmentation, and the subsequent processing process is also more complicated, so This algorithm cannot be directly applied to the bistatic SAR system, and it is necessary to construct a local elliptical polar coordinate system for the subaperture according to the configuration of the bistatic SAR and perform subsequent imaging processing.
文章“Vu V T,M.I.Pettersson.Fast back projection algorithms based onsubapertures and local polar coordinates for general bistatic airborne SARsystems[J].IEEE Transactions on Geoscience and Remote Sensing,2016,54(5):2706-2712.”在单基SAR的FFBP算法基础上对双基前视SAR的快速时域成像算法进行研究,该双基前视SAR的FFBP算法能够在收发双站进行匀速运动时实现精确成像。当接收机和发射机匀速运动时,双基前视SAR的FFBP算法根据相同的方位采样点个数划分初始子孔径,此时各个初始孔径的长度相等,根据孔径的长度确定的初始二维采样间隔也相等,可以实现高效且精确的成像。但当两个平台为非匀速运动即以恒定的加速度朝着同一方向直线飞行时,收发双站在各方位时刻位置之间的距离并不是恒定不变的,如果还是以传统FFBP算法中子孔径分割的方法来对整个合成孔径进行分解时,则会出现各个初始孔径的长度不一致的情况,此时根据某个初始孔径的长度确定的初始二维采样间隔并不能满足全部初始孔径的精度要求,导致成像结果中的双基前视SAR图像出现聚焦性能下降和运行效率降低的问题。The article "Vu V T, M.I. Pettersson. Fast back projection algorithms based on subapertures and local polar coordinates for general bistatic airborne SARsystems[J]. IEEE Transactions on Geoscience and Remote Sensing, 2016,54(5):2706-2712." Based on the FFBP algorithm of SAR, the fast time-domain imaging algorithm of bistatic forward-looking SAR is studied. The FFBP algorithm of bistatic forward-looking SAR can realize accurate imaging when the two stations of the transceiver are moving at a constant speed. When the receiver and transmitter move at a constant speed, the FFBP algorithm of bistatic forward-looking SAR divides the initial sub-aperture according to the same number of azimuth sampling points. At this time, the lengths of each initial aperture are equal, and the initial two-dimensional sampling determined according to the length of the aperture The spacing is also equal for efficient and precise imaging. However, when the two platforms are moving at a non-uniform speed, that is, flying straight in the same direction with a constant acceleration, the distance between the transceiver stations at each azimuth time is not constant. If the traditional FFBP algorithm still uses the neutron aperture When the method of segmentation is used to decompose the entire synthetic aperture, the length of each initial aperture will be inconsistent. At this time, the initial two-dimensional sampling interval determined according to the length of a certain initial aperture cannot meet the accuracy requirements of all initial apertures. As a result, the bistatic forward-looking SAR image in the imaging results has the problems of degraded focusing performance and reduced operating efficiency.
发明内容Contents of the invention
本发明的目的在于针对上述已有技术的不足,提出一种基于加速轨迹双基前视合成孔径雷达的快速时域成像方法,以改善成像的聚焦性能,提高成像的运行效率。The object of the present invention is to address the deficiencies of the above-mentioned prior art, and propose a fast time-domain imaging method based on the accelerated trajectory bistatic forward-looking synthetic aperture radar, so as to improve the focusing performance of imaging and improve the operational efficiency of imaging.
本发明目的的技术思路是:通过对合成孔径进行非均匀子孔径分割,对得到的多个子孔径建立局部椭圆极坐标系并分别进行BP成像;通过对全部图像的插值与融合得到精确聚焦的双基前视SAR图像。其实现步骤包括如下:The technical idea of the object of the present invention is: by performing non-uniform sub-aperture segmentation on the synthetic aperture, establishing a local elliptical polar coordinate system for the obtained multiple sub-apertures and performing BP imaging respectively; Base forward looking SAR image. Its implementation steps include the following:
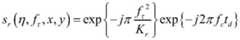
1)根据双基雷达发射机的发射信号se(τ),双基雷达的接收机接收到的回波信号为:1) According to the transmitted signal se (τ) of the bistatic radar transmitter, the echo signal received by the bistatic radar receiver is:
其中,rect()为矩形包络函数,j为虚数单位,T为脉冲信号的持续时间,Kr为信号的脉冲调频率,fc为信号载频,τ为回波信号的快时间,η为方位慢时间,td为回波信号延时;Among them, rect() is the rectangular envelope function, j is the imaginary number unit, T is the duration of the pulse signal, Kr is the pulse modulation frequency of the signal, fc is the signal carrier frequency, τ is the fast time of the echo signal, η is the azimuth slow time, td is the echo signal delay;
2)对回波信号s(η,τ)进行脉冲压缩,得到脉冲压缩后的回波信号ss(η,τ);2) Perform pulse compression on the echo signal s(η,τ) to obtain the echo signal ss (η,τ) after pulse compression;
3)对雷达合成孔径的脉压后回波信号进行非均匀子孔径分割,得到初始孔径长度N1,根据初始孔径长度N1确定初始二维采样间隔;3) Perform non-uniform sub-aperture segmentation on the echo signal after the pulse pressure of the radar synthetic aperture to obtain the initial aperture length N1 , and determine the initial two-dimensional sampling interval according to the initial aperture length N1 ;
4)对每个初始孔径进行BP成像,得到对应各个初始孔径的子图像;4) Perform BP imaging on each initial aperture to obtain sub-images corresponding to each initial aperture;
4a)以每个初始孔径接收机中间位置为中心建立局部椭圆极坐标系,并根据初始二维采样间隔划分成像网格,成像网格中每个点的位置用坐标表示,其中/>表示第一级第k个初始孔径中每个网格点到接收机的距离,/>表示第一级第k个初始孔径中以接收机与发射机连线方向作为椭圆坐标系正方向下的角度;4a) Establish a local elliptical polar coordinate system centered on the middle position of each initial aperture receiver, and divide the imaging grid according to the initial two-dimensional sampling interval. The position of each point in the imaging grid is defined by the coordinate means that /> Indicates the distance from each grid point to the receiver in the kth initial aperture of the first stage, /> Indicates the angle in the positive direction of the ellipse coordinate system in the kth initial aperture of the first stage with the line direction between the receiver and the transmitter as the positive direction;
4b)利用网格点的极坐标计算得到各个点的直角坐标/>由该直角坐标计算得到每个方位时刻下网格点分别到发射机和接收机的斜距之和/>利用该距离之和对每个初始孔径分别进行BP成像得到对应的多幅低分辨子图像;4b) Using the polar coordinates of the grid points Calculate the Cartesian coordinates of each point /> Calculate the sum of the slant distances from the grid point to the transmitter and receiver at each azimuth moment from the rectangular coordinates Using the sum of the distances to perform BP imaging on each initial aperture to obtain corresponding multiple low-resolution sub-images;
5)对第一级每个初始孔径对应的子图像进行融合,获得第二级中的全部子图像:5) Fuse the sub-images corresponding to each initial aperture of the first level to obtain all sub-images in the second level:
5a)根据第一级初始孔径的中间位置确定第二级子孔径的中间位置,并以该中间位置为中心建立新的局部椭圆极坐标系,形成新的成像网格坐标5a) Determine the middle position of the second-level sub-aperture according to the middle position of the first-level initial aperture, and establish a new local ellipse polar coordinate system centered on the middle position to form a new imaging grid coordinate
5b)利用成像网格坐标计算得到其对应在第一级子图像的二维坐标,根据各像素点对应的二维坐标将第一级各子图像融合得到第二级的子图像;5b) Using imaging grid coordinates Calculate and obtain the two-dimensional coordinates corresponding to the first-level sub-image, and fuse the first-level sub-images to obtain the second-level sub-image according to the two-dimensional coordinates corresponding to each pixel point;
6)重复步骤5),直至子孔径融合成为全孔径,得到斜平面上位于椭圆极坐标系下的双基前视SAR图像;6) Repeat step 5) until the sub-apertures are fused to become the full aperture, and obtain the bibase forward-looking SAR image located in the elliptical polar coordinate system on the inclined plane;
7)对斜平面椭圆极坐标系下的图像插值叠加,完成双基前视SAR的快速时域成像:7) Interpolation and superposition of images in the oblique plane elliptical polar coordinate system to complete the fast time-domain imaging of bistatic forward-looking SAR:
7a)在地平面直角坐标系下划分成像网格,得到每个点的位置坐标(x,y),计算其到收发双站的斜距之和Rs与该双站对应的两个斜视角θ1、θ2,得到各网格点对应在斜平面图像中的二维坐标;7a) Divide the imaging grid in the Cartesian coordinate system on the ground plane, obtain the position coordinates (x, y) of each point, and calculate the sum of the oblique distances Rs to the transceiver station and the two oblique angles corresponding to the station θ1 , θ2 , get the two-dimensional coordinates corresponding to each grid point in the oblique plane image;
7b)根据各网格点对应的二维坐标对步骤6)得到的斜平面图像进行插值叠加,得到地平面上直角坐标系下的双基前视SAR图像,完成双基前视SAR的快速时域成像。7b) According to the two-dimensional coordinates corresponding to each grid point, the oblique plane image obtained in step 6) is interpolated and superimposed to obtain the bistatic forward-looking SAR image in the Cartesian coordinate system on the ground plane, and the fast time-lapse of the bistatic forward-looking SAR is completed. domain imaging.
本发明与现有技术相比具有以下优点:Compared with the prior art, the present invention has the following advantages:
1)本发明由于在快速时域成像过程中将合成孔径分割为长度相等的初始孔径,根据初始孔径长度确定相同的角度采样间隔,有利于降低成像的复杂度。1) Since the present invention divides the synthetic aperture into initial apertures of equal length during the fast time-domain imaging process, and determines the same angular sampling interval according to the length of the initial aperture, it is beneficial to reduce the complexity of imaging.
2)本发明在快速时域成像过程中由于根据相同的角度采样间隔对每个初始孔径依次进行BP成像、子图像融合、斜平面图象插值叠加,因而得到地平面直角坐标系下的双基前视SAR图像聚焦性能好,且提高了成像的运行效率。2) In the fast time-domain imaging process, the present invention sequentially performs BP imaging, sub-image fusion, and interpolation and superposition of oblique plane images for each initial aperture according to the same angular sampling interval, thus obtaining the double-base front in the ground plane Cartesian coordinate system The focusing performance of visual SAR images is good, and the operating efficiency of imaging is improved.
附图说明Description of drawings
图1为本发明的实现流程图;Fig. 1 is the realization flowchart of the present invention;
图2为本发明中初始孔径分割示意图;Fig. 2 is a schematic diagram of initial aperture segmentation in the present invention;
图3为本发明中双基前视SAR的BP成像模型图;Fig. 3 is the BP imaging model figure of bibase forward-looking SAR among the present invention;
图4为本发明中子孔径融合对应关系图;Fig. 4 is the neutron aperture fusion correspondence diagram of the present invention;
图5为传统FFBP算法的点目标成像的仿真结果图;Fig. 5 is the simulation result figure of the point target imaging of traditional FFBP algorithm;
图6为本发明的点目标成像的仿真结果图。Fig. 6 is a simulation result diagram of point target imaging in the present invention.
具体实施方式Detailed ways
以下结合附图对本发明的实施例和效果作进一步详细描述。Embodiments and effects of the present invention will be further described in detail below in conjunction with the accompanying drawings.
参照图1,本实例的实现步骤如下:Referring to Figure 1, the implementation steps of this example are as follows:
步骤1.建立回波信号模型。
1.1)双基雷达的发射机发射的线性调频信号为se(τ):1.1) The chirp signal emitted by the bistatic radar transmitter is se (τ):
其中,rect()为矩形包络函数,j为虚数单位,T为脉冲信号的持续时间,Kr为信号的脉冲调频率,fc为信号载频,τ为回波信号的快时间;Among them, rect () is a rectangular envelope function, j is an imaginary number unit, T is the duration of the pulse signal, Kr is the pulse modulation frequency of the signal, fc is the signal carrier frequency, and τ is the fast time of the echo signal;
1.2)双基雷达的接收机对发射信号se(τ)进行接收,得到的回波信号为:1.2) The receiver of the bistatic radar receives the transmitted signal se (τ), and the echo signal obtained is:
其中,η为方位慢时间,td为回波信号延时。Among them, η is the azimuth slow time, and td is the echo signal delay.
步骤2.对回波信号s(η,τ)进行脉冲压缩。Step 2. Perform pulse compression on the echo signal s(η,τ).
2a)将回波信号s(η,τ)变换到距离频域,得到频域回波信号sr(η,fτ):2a) Transform the echo signal s(η,τ) into the range frequency domain to obtain the frequency domain echo signal sr (η,fτ ):
其中,fτ为距离频域;Among them, fτ is the distance frequency domain;
2b)根据距离频域fτ定义频域回波信号的匹配函数为:2b) According to the distance frequency domain fτ , the matching function of the frequency domain echo signal is defined as:
2c)将回波信号在距离频域与匹配函数相乘,再进行逆傅里叶变换,得到脉冲压缩后的信号ss(η,τ):2c) Multiply the echo signal with the matching function in the range frequency domain, and then perform an inverse Fourier transform to obtain the pulse-compressed signal ss (η,τ):
其中,B为信号带宽。Among them, B is the signal bandwidth.
步骤3.对雷达合成孔径进行非均匀子孔径分割,得到初始孔径长度N1。Step 3. Perform non-uniform sub-aperture segmentation on the radar synthetic aperture to obtain an initial aperture length N1 .
参照图2,本步骤的具体实现如下:Referring to Figure 2, the specific implementation of this step is as follows:
3.1)根据双基前视SAR系统中合成孔径包含的方位采样点个数N,计算每个方位采样点的位置Lsub:3.1) Calculate the position Lsub of each azimuth sampling point according to the number N of azimuth sampling points contained in the synthetic aperture of the bistatic forward-looking SAR system:
其中,v0为收发双站的初始速度,a为加速度,PRF为脉冲重复频率;Among them,v0 is the initial velocity of the transceiver, a is the acceleration, and PRF is the pulse repetition frequency;
3.2)对合成孔径的方位采样点个数进行非均匀子孔径分割:3.2) Perform non-uniform sub-aperture segmentation on the number of azimuth sampling points of the synthetic aperture:
如果按照传统FFBP算法中初始孔径划分的方式对合成孔径进行分割,得到的是包含方位采样点个数相等的初始孔径,而实际上根据方位采样点位置公式可知此时各个初始孔径长度是不相等的,这样会造成双基前视SAR成像出现聚焦性能下降和运行效率降低的问题。本发明根据每个方位采样点的位置Lsub,对合成孔径的方位采样点个数采用非均匀子孔径分割,得到长度相等的各初始孔径长度N1为:If the synthetic aperture is divided according to the initial aperture division method in the traditional FFBP algorithm, the initial aperture containing the same number of azimuth sampling points is obtained. In fact, according to the position formula of the azimuth sampling points, it can be known that the lengths of each initial aperture are not equal at this time. Yes, this will cause the problems of reduced focusing performance and reduced operating efficiency in bistatic forward-looking SAR imaging. In the present invention, according to the position Lsub of each azimuth sampling point, the number of azimuth sampling points of the synthetic aperture is divided into non-uniform sub-apertures, and the lengthN of each initial aperture with equal length is obtained as:
其中,L为整个合成孔径的长度,M为初始孔径的个数。Among them, L is the length of the entire synthetic aperture, and M is the number of initial apertures.
步骤4.确定初始孔径的二维采样间隔。Step 4. Determine the two-dimensional sampling interval of the initial aperture.
根据初始孔径长度N1,得到角度向采样间隔:Δa=λ/N1,其中,λ为信号波长;According to the initial aperture length N1 , the angular sampling interval is obtained: Δa=λ/N1 , where λ is the signal wavelength;
根据信号带宽B,得到距离向采样间隔:Δs=c/4B,其中,c为电磁波的传播速度。According to the signal bandwidth B, the sampling interval in the range direction is obtained: Δs=c/4B, where c is the propagation speed of the electromagnetic wave.
步骤5.对每个初始孔径进行BP成像,得到对应各个初始孔径的子图像。Step 5. Perform BP imaging on each initial aperture to obtain sub-images corresponding to each initial aperture.
参照图3,本步骤的具体实现如下:Referring to Figure 3, the specific implementation of this step is as follows:
5.1)以初始孔径接收机中间位置为中心建立局部椭圆极坐标系,收发双站到场景中心的斜距之和Rs,得到距离向采样序列a0:5.1) Establish a local elliptical polar coordinate system centered on the middle position of the initial aperture receiver, and the sum Rs of the slant distances from the transceiver station to the center of the scene, and obtain the range sampling sequence a0 :
Rs=RT0+RR0Rs =RT0 +RR0
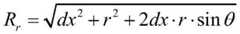
其中,RT0和RR0分别为发射机和接收机到场景中心的距离,Δr为距离向采样间隔序列;Among them, RT0 and RR0 are the distances from the transmitter and receiver to the center of the scene, respectively, and Δr is the distance sampling interval sequence;
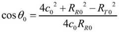
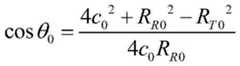
5.2)分别计算椭圆的焦距c0、离心率e0、场景中心与发射机在接收机位置的余弦夹角cosθ0:5.2) Calculate the focal length c0 of the ellipse, the eccentricity e0 , and the cosine angle cosθ0 between the center of the scene and the transmitter at the receiver position:
c0=RRT/2c0 =RRT /2
e0=c0/a0e0 =c0 /a0
其中,RRT为发射机与接收机之间的距离;Among them, RRT is the distance between the transmitter and receiver;
5.3)设定角度向采样间隔序列Δcosθ,计算角度向采样序列cosθ1:5.3) Set the angular sampling interval sequence Δcosθ, and calculate the angular sampling sequence cosθ1 :
cosθ1=cosθ0+Δcosθ;cosθ1 =cosθ0 +Δcosθ;
5.4)根据距离向采样序列a0和角度向采样序列cosθ1,计算每个网格点的极坐标5.4) Calculate the polar coordinates of each grid point according to the range sampling sequence a0 and the angle sampling sequence cosθ1
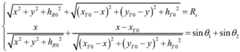
5.5)根据每个网格点的极坐标计算直角坐标/>5.5) According to the polar coordinates of each grid point Calculate rectangular coordinates />
其中,xR表示接收机所在位置的x值;Wherein, xR represents the x value of the location of the receiver;
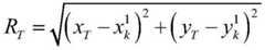
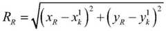
5.6)根据网格点的直角坐标计算每个方位时刻下网格点到发射机和接收机的斜距之和/>5.6) According to the Cartesian coordinates of grid points Calculate the sum of the slant distances from the grid point to the transmitter and receiver at each azimuth moment />
其中,RT和RR分别为发射机和接收机到网格点的斜距,计算公式如下:Among them, RT and RR are the slant distances from the transmitter and receiver to the grid point respectively, and the calculation formula is as follows:
式中(xT,yT)为发射机的坐标,(xR,yR)为接收机的坐标;where (xT , yT ) is the coordinates of the transmitter, and (xR , yR ) is the coordinates of the receiver;
5.7)根据各网格点的斜距之和在脉压后的一组回波数据中确定对应的数值,将该对应的数值投影到成像网格中各点的位置,通过对所有方位时刻回波的投影得到对应的低分辨子图像;5.7) According to the sum of the slope distances of each grid point Determine the corresponding value in a group of echo data after the pulse pressure, project the corresponding value to the position of each point in the imaging grid, and obtain the corresponding low-resolution sub-image by projecting the echo at all azimuth times;
5.8)对各初始孔径分别进行5.1)至5.7)的操作,得到全部的子图像。5.8) Perform operations from 5.1) to 5.7) for each initial aperture to obtain all sub-images.
步骤6.对第一级每个初始孔径对应的子图像进行融合,获得第二级中的全部子图像。Step 6. Fusion the sub-images corresponding to each initial aperture in the first level to obtain all the sub-images in the second level.
参照图4,本步骤的具体实现如下:Referring to Figure 4, the specific implementation of this step is as follows:
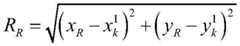
6.1)根据接收机和发射机在第一级初始孔径的中间位置A点和B点确定第二级子孔径的中间位置,并以该中间位置为中心建立新的局部椭圆极坐标系,得到成像网格中的网格点P,分别计算P点到A点之间的距离Rr和P到B点之间的距离Rt:6.1) Determine the middle position of the second-level sub-aperture according to the middle positions A and B of the first-level initial aperture of the receiver and the transmitter, and establish a new local elliptical polar coordinate system centered on the middle position to obtain the imaging For a grid point P in the grid, calculate the distance Rr between point P and point A and the distance Rt between point P and point B:
其中,(r,θ)为P点的极坐标,dx为A点到第二级子孔径接收机之间的距离,rr为P点到第二级子孔径发射机之间的距离;Wherein, (r, θ) is the polar coordinate of point P, dx is the distance between point A and the second-stage sub-aperture receiver, and rr is the distance between point P and the second-stage sub-aperture transmitter;
6.2)计算P点在第一级初始孔径中对应的角度θ2:6.2) Calculate the angle θ2 corresponding to point P in the first-stage initial aperture:
6.3)根据第二级成像网格中各点坐标得到其对应在第一级子图像的二维坐标,根据各网格点对应的二维坐标对第一级各子图像进行融合,得到第二级的全部子图像。6.3) According to the coordinates of each point in the second-level imaging grid The two-dimensional coordinates corresponding to the sub-images at the first level are obtained, and the sub-images at the first level are fused according to the two-dimensional coordinates corresponding to each grid point to obtain all the sub-images at the second level.
步骤7.重复步骤6,直至子孔径融合成为全孔径,得到斜平面上位于椭圆极坐标系下的双基前视SAR图像。Step 7. Repeat step 6 until the sub-apertures are fused to become the full aperture, and the bistatic forward-looking SAR image located in the elliptical polar coordinate system on the oblique plane is obtained.
步骤8.对斜平面椭圆极坐标系下的图像插值叠加,得到地平面直角坐标系下的双基前视SAR图像,完成双基前视SAR的快速时域成像。Step 8. Interpolating and superimposing the images in the inclined plane elliptical polar coordinate system to obtain the bistatic forward-looking SAR image in the ground plane rectangular coordinate system, and complete the fast time-domain imaging of the bistatic forward-looking SAR.
8.1)在地平面直角坐标系下划分成像网格,得到每个点的位置坐标(x,y),建立如下方程组,计算其到收发双站的斜距之和与该双站对应的两个斜视角:8.1) Divide the imaging grid under the Cartesian coordinate system on the ground plane, obtain the position coordinates (x, y) of each point, establish the following equations, and calculate the sum of the slant distances to the transceiver station and the two stations corresponding to the station. oblique angles:
其中,(0,0,hR0)和(xT0,yT0,hT0)分别为接收机和发射机在合成孔径中心位置处的坐标,Rs为收发双站对于斜平面椭圆极坐标系下各网格点的斜距之和,θ1和θ2分别为接收机和发射机对于各网格点的斜视角;Among them, (0,0,hR0 ) and (xT0 ,yT0 ,hT0 ) are the coordinates of the receiver and the transmitter at the center of the synthetic aperture, respectively, and Rs is the elliptical polar coordinate system of the two transceivers for the oblique plane The sum of the slant distances of each grid point below, θ1 and θ2 are the oblique viewing angles of the receiver and transmitter for each grid point, respectively;
8.2)根据收发双站的斜距之和Rs与该双站对应的两个斜视角θ1和θ2,得到各网格点对应在斜平面图像中的二维坐标,根据各网格点的二维坐标,利用sinc函数在步骤7得到的斜平面图像中找到各网格点精确对应的数值,并将这些数值进行叠加,得到地平面上直角坐标系下的双基前视SAR图像,完成双基前视SAR的快速时域成像。8.2) According to the sum Rs of the slant distances of the two stations and the two oblique angles θ1 and θ2 corresponding to the two stations, the two-dimensional coordinates corresponding to each grid point in the oblique plane image are obtained, and according to the The two-dimensional coordinates of , use the sinc function to find the exact corresponding value of each grid point in the oblique plane image obtained in step 7, and superimpose these values to obtain the bibase forward-looking SAR image in the Cartesian coordinate system on the ground plane, Complete the fast time-domain imaging of bistatic forward-looking SAR.
本发明的效果通过以下仿真实验进一步说明:Effect of the present invention is further illustrated by following simulation experiments:
1.仿真条件:1. Simulation conditions:
设置双基前视合成孔径雷达系统参数,如表1所示。Set the parameters of the bistatic forward-looking synthetic aperture radar system, as shown in Table 1.
表1雷达系统参数Table 1 Radar system parameters
在成像平面以接收机在合成孔径中心时刻的位置作为原点(0,0),发射机的位置为(0,2000),场景中心的坐标为(5000,0),在场景中心周围设置9个目标点,坐标分别为(4800,-200)、(4800,0)、(4800,200)、(5000,-200)、(5000,0)、(5000,200)、(5200,-200)、(5200,0)、(5200,200),对发射机和接收机分别增加一个沿航迹方向大小为25m/s2的加速度,此时收发双站沿x轴方向匀加速运动。On the imaging plane, the position of the receiver at the center of the synthetic aperture is taken as the origin (0,0), the position of the transmitter is (0,2000), and the coordinates of the center of the scene are (5000,0), and 9 points are set around the center of the scene The target point, the coordinates are (4800,-200), (4800,0), (4800,200), (5000,-200), (5000,0), (5000,200), (5200,-200) , (5200,0), (5200,200), respectively add an acceleration of 25m/s2 along the track direction to the transmitter and the receiver, and at this time, the transceiver and the receiver move uniformly along the x-axis direction.
2.仿真内容:2. Simulation content:
实验1.在上述仿真条件下采用传统FFBP算法的两种方式对多点目标的成像进行仿真,结果如图5。其中:
图5(a)是FFBP算法根据长度最短的初始孔径确定初始角度采样间隔,即方式一的成像结果图;Figure 5(a) is the FFBP algorithm to determine the initial angle sampling interval according to the initial aperture with the shortest length, that is, the imaging result diagram of
图5(b)是FFBP算法根据长度最长的初始孔径确定初始角度采样间隔,即方式二的成像结果图;Figure 5(b) is the FFBP algorithm to determine the initial angle sampling interval according to the longest initial aperture, that is, the imaging result diagram of the second method;
图5(c)是图5(a)中圈出点目标的距离向剖面图;Fig. 5 (c) is the range direction section view of circled point target in Fig. 5 (a);
图5(d)是图5(a)中圈出点目标的方位向剖面图;Fig. 5 (d) is the azimuth section view of the circled point target in Fig. 5 (a);
图5(e)是图5(b)中点目标的距离向剖面图;Fig. 5 (e) is the range direction section view of the point target in Fig. 5 (b);
图5(f)是图5(b)中点目标的方位向剖面图。Fig. 5(f) is an azimuth sectional view of the point target in Fig. 5(b).
从图5可以看出传统FFBP算法根据长度最短的初始孔径确定初始角度采样间隔的成像结果出现了散焦现象,旁瓣分布不规则;根据长度最长的初始孔径确定初始角度采样间隔的成像质量没有受到明显影响,但会使运行效率降低。From Figure 5, it can be seen that the traditional FFBP algorithm determines the initial angular sampling interval according to the shortest initial aperture, and the imaging results show defocusing, and the distribution of side lobes is irregular; the imaging quality of the initial angular sampling interval is determined according to the longest initial aperture Not significantly affected, but will make the operation less efficient.
实验2.用本发明对多点目标的成像进行仿真,结果如图6。其中:Experiment 2. Using the present invention to simulate the imaging of multi-point targets, the results are shown in Figure 6. in:
图6(a)是本发明的成像结果图;Fig. 6 (a) is the imaging result figure of the present invention;
图6(b)是图6(a)投影至地平面并转换到直角坐标系下的双基前视SAR图像;Figure 6(b) is the bistatic forward-looking SAR image projected to the ground plane and converted to the Cartesian coordinate system in Figure 6(a);
图6(c)是图6(a)中点目标的距离向剖面图;Fig. 6 (c) is the range direction section view of the point target in Fig. 6 (a);
图6(d)是图6(a)中点目标的方位向剖面图。Fig. 6(d) is an azimuth sectional view of the point target in Fig. 6(a).
从图6可以看出,本发明的成像结果聚焦效果良好,旁瓣分布规则,运行效率提高。It can be seen from FIG. 6 that the imaging result of the present invention has a good focusing effect, regular distribution of side lobes, and improved operating efficiency.
将上述两个仿真结果的图像评价指标进行对比,如表二。Compare the image evaluation indexes of the above two simulation results, as shown in Table 2.
表2仿真结果的图像评价指标Table 2 Image evaluation index of simulation results
从表2可见,本发明的运行效率和聚焦性能均高于传统FFBP算法,验证了本发明快速时域成像的有效性。It can be seen from Table 2 that the operating efficiency and focusing performance of the present invention are higher than those of the traditional FFBP algorithm, which verifies the effectiveness of the fast time-domain imaging of the present invention.
| Application Number | Priority Date | Filing Date | Title | 
|---|---|---|---|
| CN202310433867.5ACN116359921B (en) | 2023-04-21 | 2023-04-21 | Fast time-domain imaging method based on bistatic forward-looking synthetic aperture radar with accelerated trajectory | 
| Application Number | Priority Date | Filing Date | Title | 
|---|---|---|---|
| CN202310433867.5ACN116359921B (en) | 2023-04-21 | 2023-04-21 | Fast time-domain imaging method based on bistatic forward-looking synthetic aperture radar with accelerated trajectory | 
| Publication Number | Publication Date | 
|---|---|
| CN116359921Atrue CN116359921A (en) | 2023-06-30 | 
| CN116359921B CN116359921B (en) | 2025-05-16 | 
| Application Number | Title | Priority Date | Filing Date | 
|---|---|---|---|
| CN202310433867.5AActiveCN116359921B (en) | 2023-04-21 | 2023-04-21 | Fast time-domain imaging method based on bistatic forward-looking synthetic aperture radar with accelerated trajectory | 
| Country | Link | 
|---|---|
| CN (1) | CN116359921B (en) | 
| Publication number | Priority date | Publication date | Assignee | Title | 
|---|---|---|---|---|
| CN117849800A (en)* | 2024-03-07 | 2024-04-09 | 中国科学院空天信息创新研究院 | Multi-angle SAR image sequence generation method, device, equipment and storage medium | 
| CN119087436A (en)* | 2024-08-29 | 2024-12-06 | 深圳大学 | A common platform bistatic forward-looking SAR imaging method and system | 
| CN120214792A (en)* | 2025-03-27 | 2025-06-27 | 安徽大学 | SAR self-focusing method based on multi-level sub-aperture segmentation | 
| Publication number | Priority date | Publication date | Assignee | Title | 
|---|---|---|---|---|
| CN107367731A (en)* | 2016-05-11 | 2017-11-21 | 中国科学院声学研究所 | It is adapted to SAS imagings and the motion compensation process of non-uniform rectilinear's flight path | 
| CN111273234A (en)* | 2020-01-06 | 2020-06-12 | 内蒙古工业大学 | A Signal Transceiver Method Based on Synthetic Aperture Radar System | 
| JPWO2022014052A1 (en)* | 2020-07-17 | 2022-01-20 | 
| Publication number | Priority date | Publication date | Assignee | Title | 
|---|---|---|---|---|
| CN107367731A (en)* | 2016-05-11 | 2017-11-21 | 中国科学院声学研究所 | It is adapted to SAS imagings and the motion compensation process of non-uniform rectilinear's flight path | 
| CN111273234A (en)* | 2020-01-06 | 2020-06-12 | 内蒙古工业大学 | A Signal Transceiver Method Based on Synthetic Aperture Radar System | 
| JPWO2022014052A1 (en)* | 2020-07-17 | 2022-01-20 | 
| Title | 
|---|
| 段江涛;黄勇;刘纪元;: "适用于非匀速直线航迹的FFBP算法在SAS中的应用", 应用声学, no. 01, 11 January 2017 (2017-01-11)* | 
| Publication number | Priority date | Publication date | Assignee | Title | 
|---|---|---|---|---|
| CN117849800A (en)* | 2024-03-07 | 2024-04-09 | 中国科学院空天信息创新研究院 | Multi-angle SAR image sequence generation method, device, equipment and storage medium | 
| CN117849800B (en)* | 2024-03-07 | 2024-05-14 | 中国科学院空天信息创新研究院 | Multi-angle SAR image sequence generation method, device, equipment and storage medium | 
| CN119087436A (en)* | 2024-08-29 | 2024-12-06 | 深圳大学 | A common platform bistatic forward-looking SAR imaging method and system | 
| CN120214792A (en)* | 2025-03-27 | 2025-06-27 | 安徽大学 | SAR self-focusing method based on multi-level sub-aperture segmentation | 
| Publication number | Publication date | 
|---|---|
| CN116359921B (en) | 2025-05-16 | 
| Publication | Publication Date | Title | 
|---|---|---|
| CN116359921B (en) | Fast time-domain imaging method based on bistatic forward-looking synthetic aperture radar with accelerated trajectory | |
| CN102288963B (en) | Bistatic inverse synthetic aperture radar (ISAR) image fusion method based on sub aperture parameter estimation | |
| CN101369018B (en) | Satellite machine combined double-base synthetic aperture radar frequency domain imaging method | |
| CN103869311B (en) | Real beam scanning radar super-resolution imaging method | |
| CN104007440B (en) | One accelerated decomposition rear orientation projection spot beam SAR formation method | |
| CN110879391B (en) | Radar image dataset creation method based on electromagnetic simulation and missile echo simulation | |
| CN102313887B (en) | Spaceborne-airborne bistatic synthetic aperture radar (SA-BiSAR) imaging method | |
| CN109870686B (en) | Curve track SAR strabismus imaging method based on improved slant range model | |
| CN102749621B (en) | Bistatic synthetic aperture radar (BSAR) frequency domain imaging method | |
| CN103293520B (en) | Equivalent range equation based SAR (synthetic aperture radar) ground motion target imaging method | |
| CN106872974A (en) | High-precision motion target imaging method based on hypersonic platform Two-channels radar | |
| CN107229048A (en) | A kind of high score wide cut SAR moving-targets velocity estimation and imaging method | |
| CN106199602B (en) | A kind of Staggered-SAR echo-signals method for reconstructing | |
| CN112764031B (en) | Near-field ISAR interference turntable imaging method based on millimeter wave radar | |
| CN109444882B (en) | Double-station SAR imaging method based on variable squint elliptical beam synchronous model | |
| CN116500626B (en) | Multi-receiving array element data receiving-transmitting combination conversion method | |
| CN103823210B (en) | A kind of non-cooperative star ground double-base SAR time-frequency synchronization method | |
| CN110261852B (en) | A frequency diversity inverse synthetic aperture radar imaging system and method | |
| CN109270528A (en) | The fixed dual station SAR imaging method in a station based on complete solution analysis distance model | |
| CN104833974A (en) | SAR imaging quick backward projection method based on image spectrum compression | |
| CN105204019A (en) | Stepped-frequency SAR imaging method based on wavenumber domain algorithm | |
| CN112285658A (en) | Recursive computation based method for rapidly generating satellite-borne SAR deception jamming signal | |
| CN105487074A (en) | Bistatic synthetic aperture radar numerical range Doppler imaging method | |
| CN103033811B (en) | Bistatic synthetic aperture radar imaging method based on similar single static equivalence | |
| CN112433210A (en) | Quick time domain imaging method for double-station forward-looking ground penetrating radar | 
| Date | Code | Title | Description | 
|---|---|---|---|
| PB01 | Publication | ||
| PB01 | Publication | ||
| SE01 | Entry into force of request for substantive examination | ||
| SE01 | Entry into force of request for substantive examination | ||
| GR01 | Patent grant | ||
| GR01 | Patent grant |