












技术领域Technical Field
本申请一般涉及电力系统备用优化技术领域,尤其涉及一种考虑备用能量可交付性的电力系统备用优化方法、系统、处理装置和存储介质。The present application generally relates to the technical field of power system backup optimization, and in particular to a power system backup optimization method, system, processing device and storage medium considering the deliverability of backup energy.
背景技术Background Art
在电力系统调度运行中,为了应对可能的机组故障、可再生能源出力和负荷的不确定性,电力系统需要合理配置一定的备用容量。备用容量的配置与电力系统运行的经济性和安全性密切相关。当备用配置容量较高时,系统有能力应对可能的风险,系统安全性得到保障,但机组为了提供备用,可能会偏离最经济的运行基点,导致系统经济性下降;当备用配置容量较低时,系统为了预留备用而产生的机会成本减小,经济性提高,但系统无力应对可能的风险,系统安全性降低。因此合理配置备用是在电力系统安全性和经济性间实现平衡的关键问题。In the dispatching and operation of the power system, in order to cope with possible unit failures, uncertainty in renewable energy output and load, the power system needs to reasonably configure a certain amount of reserve capacity. The configuration of reserve capacity is closely related to the economy and safety of the power system operation. When the reserve configuration capacity is high, the system is able to cope with possible risks and the system safety is guaranteed, but in order to provide backup, the unit may deviate from the most economical operating base point, resulting in a decrease in the economy of the system; when the reserve configuration capacity is low, the opportunity cost of the system in order to reserve backup is reduced, and the economy is improved, but the system is unable to cope with possible risks and the system safety is reduced. Therefore, the reasonable configuration of backup is the key issue to achieve a balance between the safety and economy of the power system.
传统的备用优化方法认为无论是负荷侧还是电源侧,其需求或者出力都在同一调度时段内保持不变,而在不同调度时段间阶梯变化。实际上这样的阶梯状调度满足的是调度时段内的平均出力平衡,而非实时功率平衡。因此传统的备用优化模型中,未充分考虑备用的响应过程,混淆了备用容量和备用可交付能量的概念,认为备用容量等价于备用可交付的能量。以往的电力系统中不确定性较小,且受限于计算能力,对于调度时间尺度较长的备用优化,将调度时段内的平均出力平衡视作实时功率平衡有其合理之处,也是一种无奈之举;而随着风电等可再生能源的大规模接入,系统中不确定性上升,同样的调度时段内可能会更加频繁的出现功率不平衡的问题,虽然后续的经济调度以及自动发电控制环节的再调度过程可以在一定程度上缓解该问题,但事前看来配置够用的备用容量,在调用过程中,由于其无法阶跃响应,备用可交付的能量并不能到达事前预期的效果,进而导致电力系统面临比预期更严重的失负荷和弃风的风险,因此传统的阶梯状调度难以为继。The traditional reserve optimization method assumes that the demand or output of both the load side and the power supply side remains unchanged in the same dispatch period, but changes in steps between different dispatch periods. In fact, such step-like dispatch satisfies the average output balance in the dispatch period, rather than the real-time power balance. Therefore, in the traditional reserve optimization model, the response process of the reserve is not fully considered, and the concepts of reserve capacity and reserve deliverable energy are confused, and it is believed that reserve capacity is equivalent to reserve deliverable energy. In the past, the uncertainty in the power system was small, and limited by computing power, for the reserve optimization with a long dispatch time scale, it was reasonable to regard the average output balance in the dispatch period as the real-time power balance, but it was also a helpless move; with the large-scale access of renewable energy such as wind power, the uncertainty in the system has increased, and the problem of power imbalance may occur more frequently in the same dispatch period. Although the subsequent economic dispatch and the re-dispatching process of the automatic power generation control link can alleviate this problem to a certain extent, the reserve capacity that seems to be configured in advance, in the process of calling, cannot respond in a step, and the energy that can be delivered by the reserve cannot reach the expected effect in advance, which leads to the power system facing a more serious risk of load loss and wind abandonment than expected, so the traditional step-like dispatch is unsustainable.
在中国专利文件(CN113394789A)中,针对如何提高电力系统安全性和经济性的问题,公开了一种考虑高比例可再生能源接入的电力系统一体化调度方法,其通过构建多时间颗粒度模型,整合UC、ED和AGC中PFs三个部分,以电力系统总运行成本最小为优化目标,构建考虑高比例可再生能源接入的电力系统一体化调度模型;构建所述电力系统一体化调度模型的约束条件,得到满足各项约束条件的电力系统一体化调度优化模型;对电力系统一体化调度优化模型的约束中不确定性参数的进行鲁棒优化,求解鲁棒优化后的电力系统一体化调度优化模型,得到最终调度方案。达到了提高电力系统安全性和经济性的效果。然而,在解决如何提升电力系统中备用能量的可交付性问题时,并未公开相应解决方案。In a Chinese patent document (CN113394789A), in order to improve the safety and economy of the power system, a method for integrated dispatching of a power system considering a high proportion of renewable energy access is disclosed. The method constructs a multi-time granularity model, integrates the three parts of PFs in UC, ED and AGC, takes the minimum total operating cost of the power system as the optimization goal, and constructs an integrated dispatching model of the power system considering a high proportion of renewable energy access; constructs the constraints of the integrated dispatching model of the power system to obtain an integrated dispatching optimization model of the power system that meets various constraints; robustly optimizes the uncertainty parameters in the constraints of the integrated dispatching optimization model of the power system, solves the integrated dispatching optimization model of the power system after robust optimization, and obtains the final dispatching plan. The effect of improving the safety and economy of the power system is achieved. However, when solving the problem of how to improve the deliverability of backup energy in the power system, no corresponding solution is disclosed.
发明内容Summary of the invention
鉴于现有技术中的上述缺陷或不足,期望提供一种可提升电力系统备用可交付性的电力系统备用优化方法、系统、处理装置和计算机可读存储介质。In view of the above-mentioned defects or deficiencies in the prior art, it is desirable to provide a power system reserve optimization method, system, processing device and computer-readable storage medium that can improve the reserve deliverability of the power system.
具体技术方案如下:The specific technical solutions are as follows:
第一方面First aspect
本申请提供一种考虑备用能量可交付性的电力系统备用优化方法,包括如下步骤:The present application provides a method for optimizing power system reserve considering the deliverability of reserve energy, comprising the following steps:
获取可靠性成本初始模型,并根据备用容量应对系统扰动的实时性,修正可靠性成本初始模型,得到可靠性成本更新模型;Obtain an initial reliability cost model, and according to the real-time performance of the reserve capacity in responding to system disturbances, modify the initial reliability cost model to obtain an updated reliability cost model;
线性化处理可靠性成本更新模型,得到可靠性成本的混合整数线性规划模型;Linearize the reliability cost update model to obtain a mixed integer linear programming model of reliability cost;
获取电力系统备用优化初始模型,所述备用优化初始模型至少包括:可靠性成本初始模型;Acquire an initial model of power system reserve optimization, wherein the initial model of reserve optimization includes at least: an initial model of reliability cost;
将所述混合整数线性规划模型更新至所述备用优化初始模型,得到考虑备用可交付性的备用优化模型;Updating the mixed integer linear programming model to the backup optimization initial model to obtain a backup optimization model that takes backup deliverability into consideration;
以所述备用优化模型优化电力系统的备用调度。The reserve dispatching of the power system is optimized by using the reserve optimization model.
作为本申请的进一步限定,所述获取可靠性成本初始模型,至少包括:期望缺供电量初始模型和弃风期望初始模型。As a further limitation of the present application, the obtaining of the initial model of reliability cost at least includes: an expected power shortage initial model and an expected wind power abandonment initial model.
作为本申请的进一步限定,所述根据备用容量应对系统扰动的实时性,修正可靠性成本初始模型,得到可靠性成本更新模型,包括如下步骤:As a further limitation of the present application, the method of correcting the initial reliability cost model according to the real-time performance of the spare capacity in coping with the system disturbance to obtain the reliability cost update model includes the following steps:
获取期望缺供电量初始模型,并根据上调备用容量应对系统扰动的实时性,修正期望缺供电量初始模型,得到期望缺供电量更新模型;Obtaining an initial model of expected power shortage, and correcting the initial model of expected power shortage according to the real-time nature of increasing the reserve capacity to cope with system disturbances, to obtain an updated model of expected power shortage;
获取弃风期望初始模型,并根据下调备用容量应对系统扰动的实时性,修正弃风期望初始模型,得到弃风期望更新模型;Obtain an initial model of wind power abandonment expectations, and according to the real-time nature of reducing the reserve capacity to cope with system disturbances, modify the initial model of wind power abandonment expectations to obtain an updated model of wind power abandonment expectations;
所述可靠性成本更新模型,包括:期望缺供电量更新模型和弃风期望更新模型。The reliability cost update model includes: an expected power shortage update model and a wind curtailment expectation update model.
作为本申请的进一步限定,所述线性化处理可靠性成本更新模型,得到可靠性成本的混合整数线性规划模型,包括如下步骤:As a further limitation of the present application, the linearization process of the reliability cost update model to obtain a mixed integer linear programming model of the reliability cost includes the following steps:
线性化处理期望缺供电量更新模型,得到期望缺供电量的混合整数线性规划模型;Linearize the expected power shortage update model to obtain a mixed integer linear programming model of the expected power shortage;
线性化处理弃风期望更新模型,得到弃风期望的混合整数线性规划模型。The expected wind curtailment update model is linearized to obtain a mixed integer linear programming model of the expected wind curtailment.
作为本申请的进一步限定,获取电力系统备用优化初始模型的步骤包括:As a further limitation of the present application, the step of obtaining the initial model of power system reserve optimization includes:
获取备用优化初始模型的目标函数,所述目标函数为最小化运行成本、备用成本和可靠性成本之和;Obtaining an objective function of an initial model of standby optimization, wherein the objective function is to minimize the sum of operating cost, standby cost and reliability cost;
获取备用优化初始模型的约束条件,所述约束条件至少包括:发电机出力约束、逻辑变量约束、功率平衡约束、机组爬坡约束、机组最小启停时间约束、上调备用约束、下调备用约束。Obtain the constraint conditions of the initial model of reserve optimization, wherein the constraint conditions at least include: generator output constraint, logical variable constraint, power balance constraint, unit climbing constraint, unit minimum start and stop time constraint, upward reserve constraint, and downward reserve constraint.
第二方面Second aspect
本申请提供一种考虑备用能量可交付性的电力系统备用优化系统,第一更新模块,所述第一更新模块配置用于,获取可靠性成本初始模型,并根据备用容量是否足以应对系统扰动,修正可靠性成本初始模型,得到可靠性成本更新模型;The present application provides a power system backup optimization system considering the deliverability of backup energy, a first update module, the first update module is configured to obtain an initial reliability cost model, and according to whether the backup capacity is sufficient to cope with system disturbances, correct the initial reliability cost model to obtain a reliability cost update model;
线性化模块,所述线性化模块配置用于,线性化处理可靠性成本更新模型,得到可靠性成本的混合整数线性规划模型;A linearization module, wherein the linearization module is configured to linearize the reliability cost update model to obtain a mixed integer linear programming model of the reliability cost;
采集模块,所述采集模块配置用于,获取电力系统备用优化初始模型,所述备用优化初始模型至少包括:可靠性成本初始模型;A collection module, wherein the collection module is configured to obtain an initial model of power system backup optimization, wherein the initial model of backup optimization at least includes: an initial model of reliability cost;
第二更新模块,所述第二更新模块配置用于,将所述混合整数线性规划模型更新至所述备用优化初始模型,得到考虑备用可交付性的备用优化模型。The second updating module is configured to update the mixed integer linear programming model to the backup optimization initial model to obtain a backup optimization model that takes backup deliverability into consideration.
第三方面The third aspect
本申请提供一种处理装置,包括存储器、处理器以及存储在所述存储器中并可在所述处理器上运行的计算机程序,所述处理器执行所述计算机程序时实现如上所述的考虑备用能量可交付性的电力系统备用优化方法步骤。The present application provides a processing device, including a memory, a processor, and a computer program stored in the memory and executable on the processor. When the processor executes the computer program, the steps of the power system reserve optimization method considering the deliverability of reserve energy as described above are implemented.
第四方面The fourth aspect
本申请提供一种计算机可读存储介质,所述计算机可读存储介质有计算机程序,所述计算机程序被处理器执行时实现如上所述的考虑备用能量可交付性的电力系统备用优化方法步骤。The present application provides a computer-readable storage medium having a computer program. When the computer program is executed by a processor, the steps of the power system reserve optimization method considering the deliverability of reserve energy as described above are implemented.
本申请有益效果在于:The beneficial effects of this application are:
(1)本发明区别于传统的备用优化方法,在优化备用容量的基础上,精细分析了备用能量的可交付性,依据备用实际可交付能量,建立了新的可靠性成本模型,从而对电力系统面临的弃风和失负荷风险作出更加准确的评估。(1) Different from the traditional reserve optimization method, the present invention analyzes the deliverability of reserve energy in detail on the basis of optimizing reserve capacity, and establishes a new reliability cost model based on the actual deliverable reserve energy, thereby making a more accurate assessment of the risks of wind curtailment and load loss faced by the power system.
(2)本发明对可靠性成本的计算作出进一步的线性化处理,通过分段线性化以及大M法将模型转化为可直接调用商用求解器求解的混合整数线性规划模型,提高了模型的计算效率,使模型更加具有实用性。(2) The present invention further linearizes the calculation of reliability cost and transforms the model into a mixed integer linear programming model that can be directly solved by a commercial solver through piecewise linearization and the big M method, thereby improving the computational efficiency of the model and making the model more practical.
(3)本发明建立了考虑备用能量可交付性的备用优化模型。以最小化运行成本、备用成本与可靠性成本之和为目标函数,在功率平衡约束、机组运行约束、机组备用约束下,考虑风电、负荷和设备故障的不确定性,进而决策出更切实可靠的备用优化方案。(3) The present invention establishes a reserve optimization model that takes into account the deliverability of reserve energy. Taking the minimization of the sum of operating cost, reserve cost and reliability cost as the objective function, under the constraints of power balance, unit operation and unit reserve, the uncertainty of wind power, load and equipment failure is considered, and a more practical and reliable reserve optimization scheme is decided.
附图说明BRIEF DESCRIPTION OF THE DRAWINGS
通过阅读参照以下附图所作的对非限制性实施例所作的详细描述,本申请的其它特征、目的和优点将会变得更明显:Other features, objects and advantages of the present application will become more apparent by reading the detailed description of non-limiting embodiments made with reference to the following drawings:
图1为本申请实施例提供的考虑备用能量可交付性的电力系统备用优化方法的流程图;FIG1 is a flow chart of a method for optimizing power system backup energy in consideration of the deliverability of backup energy provided by an embodiment of the present application;
图2为认为备用能量为阶梯式输出的情况下,当系统扰动量超过上调备用容量时,发生事件s后备用容量的输出功率曲线;FIG2 is a curve of the output power of the reserve capacity after event s occurs when the system disturbance exceeds the increased reserve capacity, assuming that the reserve energy is output in a step-by-step manner;
图3为认为备用能量为阶梯式输出的情况下,当上调备用容量超过系统扰动量时,发生事件s后备用容量的输出功率曲线;FIG3 is a diagram showing the output power curve of the reserve capacity after event s occurs when the reserve capacity is adjusted upward to exceed the system disturbance, assuming that the reserve energy is output in a step-by-step manner;
图4为认为备用能量为渐进式输出的情况下,当系统扰动量超过上调备用容量时,发生事件s后备用容量的输出功率曲线;FIG4 is an output power curve of the reserve capacity after event s occurs when the system disturbance exceeds the increased reserve capacity, assuming that the reserve energy is output progressively;
图5为认为备用能量为渐进式输出的情况下,当上调备用容量超过系统扰动量时,发生事件s后备用容量的输出功率曲线;FIG5 is a curve of the output power of the reserve capacity after event s occurs when the reserve capacity is adjusted upward to exceed the system disturbance, assuming that the reserve energy is output progressively;
图6为认为备用能量为阶梯式输出的情况下,当系统扰动量超过下调备用容量时,发生事件s后备用容量的输出功率曲线;FIG6 is an output power curve of the reserve capacity after event s occurs when the system disturbance exceeds the reserve capacity when the reserve energy is output in a step-by-step manner;
图7为认为备用能量为阶梯式输出的情况下,当下调备用容量超过系统扰动量时,发生事件s后备用容量的输出功率曲线;FIG7 is a diagram showing the output power curve of the reserve capacity after event s occurs when the reserve capacity is adjusted downward to exceed the system disturbance amount, assuming that the reserve energy is output in a step-by-step manner;
图8为认为备用能量为渐进式输出的情况下,当系统扰动量超过下调备用容量时,发生事件s后备用容量的输出功率曲线;FIG8 is a curve of the output power of the reserve capacity after event s occurs when the system disturbance exceeds the reserve capacity reduction, assuming that the reserve energy is output progressively;
图9为认为备用能量为渐进式输出的情况下,当下调备用容量超过系统扰动量时,发生事件s后备用容量的输出功率曲线;FIG9 is a curve of the output power of the reserve capacity after event s occurs when the reserve capacity is adjusted downward to exceed the system disturbance amount, assuming that the reserve energy is output progressively;
图10为期望缺供电量随上调备用容量的变化曲线;Figure 10 is a curve showing the change of expected power shortage with the increase of reserve capacity;
图11为弃风期望随下调备用容量的变化曲线;Figure 11 shows the change curve of wind curtailment expectation with the reduction of reserve capacity;
图12为当上调备用容量超过系统扰动量时,第一机组在第一时间段内作为备用对外输出功率曲线;FIG12 is a curve of the power output of the first unit as a backup in the first time period when the increased reserve capacity exceeds the system disturbance amount;
图13为当系统扰动量超过上调备用容量时,第二机组在第二时间段内作为备用对外输出功率曲线;FIG13 is a curve of the power output of the second unit as a backup in the second time period when the system disturbance exceeds the increased reserve capacity;
具体实施方式DETAILED DESCRIPTION
下面结合附图和实施例对本申请作进一步的详细说明。可以理解的是,此处所描述的具体实施例仅仅用于解释相关发明,而非对该发明的限定。另外还需要说明的是,为了便于描述,附图中仅示出了与发明相关的部分。The present application will be further described in detail below in conjunction with the accompanying drawings and embodiments. It is to be understood that the specific embodiments described herein are only used to explain the relevant inventions, rather than to limit the inventions. It should also be noted that, for ease of description, only the parts related to the invention are shown in the accompanying drawings.
需要说明的是,在不冲突的情况下,本申请中的实施例及实施例中的特征可以相互组合。下面将参考附图并结合实施例来详细说明本申请。It should be noted that, in the absence of conflict, the embodiments and features in the embodiments of the present application can be combined with each other. The present application will be described in detail below with reference to the accompanying drawings and in combination with the embodiments.
实施例1Example 1
请参考图1,为本实施例提供的一种考虑备用能量可交付性的电力系统备用优化方法的流程图,包括如下步骤:Please refer to FIG1 , which is a flow chart of a method for optimizing power system backup considering the deliverability of backup energy provided in this embodiment, including the following steps:
S100:获取可靠性成本初始模型,并根据备用容量应对系统扰动的实时性,修正可靠性成本初始模型,得到可靠性成本更新模型;S100: obtaining an initial reliability cost model, and correcting the initial reliability cost model according to the real-time performance of the reserve capacity in responding to system disturbances, to obtain an updated reliability cost model;
S200:线性化处理可靠性成本更新模型,得到可靠性成本的混合整数线性规划模型;S200: Linearize the reliability cost update model to obtain a mixed integer linear programming model of the reliability cost;
S300:获取电力系统备用优化初始模型,所述备用优化初始模型至少包括:可靠性成本初始模型;S300: Acquire an initial model of power system backup optimization, wherein the initial model of backup optimization at least includes: an initial model of reliability cost;
S400:将所述混合整数线性规划模型更新至所述备用优化初始模型,得到考虑备用可交付性的备用优化模型;S400: updating the mixed integer linear programming model to the standby optimization initial model to obtain a standby optimization model considering standby deliverability;
S500:以所述备用优化模型优化电力系统的备用调度。S500: Optimizing the reserve dispatching of the power system by using the reserve optimization model.
在具体阐述对模型优化过程前,需要明确以下概念:Before describing the model optimization process in detail, the following concepts need to be clarified:
期望缺供电量(Expected Energy not Supplied,EENS),即当负荷侧发生不确定性事件(需求增加)后,电力系统对外供电短缺的功率期望值;Expected Energy Not Supplied (EENS), that is, the expected value of the power shortage of the power system when an uncertain event (demand increase) occurs on the load side;
弃风期望(Expected Wind Energy Spillage,EWS),即当负荷侧发生不确定性事件(需求减少)后,电力系统对外供电多余的功率期望值;Expected Wind Energy Spillage (EWS), that is, the expected value of excess power supplied by the power system to the outside world after an uncertain event (demand reduction) occurs on the load side;
上述两个变量均会对电力系统运行的经济性产生影响。Both of the above variables will affect the economic efficiency of power system operation.
上述方法的具体实施过程为:The specific implementation process of the above method is as follows:
一、以可靠性成本初始模型得到可靠性成本更新模型:1. Obtain the reliability cost update model based on the reliability cost initial model:
(一)获取期望缺供电量和弃风期望初始模型,传统的EENS和EWS的表达式如下:(I) Obtaining the expected power shortage and wind curtailment expected initial model, the traditional EENS and EWS expressions are as follows:
式(1)、(2)中,Supt表示时段t内所有可能造成电力系统失负荷的事件集合;pups,t表示时段t内事件s发生的概率;ΔCups,t表示时段t内事件s发生而造成的功率缺额;bups,t表示判断时段t内事件s发生是否会造成失负荷的0/1变量,当功率缺额超过系统可提供的上调备用容量时,bups,t为1,否则为0。In formulas (1) and (2), Supt represents the set of all events that may cause load loss in the power system within time period t; pups,t represents the probability of event s occurring within time period t; ΔCups,t represents the power shortage caused by the occurrence of event s within time period t; bups,t represents a 0/1 variable that determines whether the occurrence of event s within time period t will cause load loss. When the power shortage exceeds the upward reserve capacity that the system can provide, bups,t is 1, otherwise it is 0.
式(3)、(4)中,Sdnt表示时段t内所有可能造成弃风的事件集合;pdns,t表示时段t内事件s发生的概率;ΔCdns,t表示时段t内事件s发生而造成的功率过剩;bdns,t表示判断时段t内事件s发生是否会造成弃风的0/1变量,当功率过剩超过系统可提供的下调备用容量时,bdns,t为1,否则为0。In equations (3) and (4), Sdnt represents the set of all events that may cause wind curtailment in time period t; pdns,t represents the probability of event s occurring in time period t; ΔCdns,t represents the excess power caused by event s occurring in time period t; bdns,t represents a 0/1 variable that determines whether event s occurring in time period t will cause wind curtailment. When the excess power exceeds the reserve capacity that can be provided by the system, bdns,t is 1, otherwise it is 0.
所述可靠性成本初始模型,至少包括:期望缺供电量,即EENS初始模型,和弃风期望,即EWS初始模型。可靠性成本初始模型中EENS如式(1)所示,EWS如式(3)所示。The reliability cost initial model at least includes: expected power shortage, i.e., EENS initial model, and wind curtailment expectation, i.e., EWS initial model. In the reliability cost initial model, EENS is shown in formula (1), and EWS is shown in formula (3).
(二)将上调备用容量应对系统扰动的实时性和下调备用容量应对系统扰动的实时性两个因素考虑到上述模型中:(ii) The real-time nature of adjusting the reserve capacity upward to cope with system disturbances and the real-time nature of adjusting the reserve capacity downward to cope with system disturbances are taken into account in the above model:
传统EENS表达式中的0/1变量bups,t确保失负荷只有两种结果,当系统扰动量超过上调备用总量时,会造成失负荷;反之不会。这两种结果可以由附图2和3更直观得体现。附图2和3中,上调备用的响应轨迹以加粗黑线表示。附图2表示系统扰动量超过上调备用总量的情况,阴影部分面积即为EENS,附图3表示上调备用总量超过系统扰动量的情况,不会造成失负荷。可以看出,传统EENS模型认为上调备用可以阶跃变化,然而考虑实际运行情况,上调备用的响应轨迹取决于其实际的爬坡过程,如附图4和5所示。附图4和5中的阴影部分面积表示实际造成的EENS。附图2和附图4对比,可以看出,当上调备用容量不足时,考虑上调备用的爬坡过程后会比认为上调备用可以阶跃响应造成的EENS多;对比附图3和附图5可以看出,即使上调备用容量足够,考虑上调备用的爬坡过程后仍然会造成EENS,而非完全不会失负荷。综合上述两种情况,不考虑上调备用的爬坡过程会高估上调备用可交付的能量,进而低估了失负荷风险。The 0/1 variable bups,t in the traditional EENS expression ensures that there are only two results of load loss. When the system disturbance exceeds the total amount of the increased reserve, load loss will occur; otherwise, it will not. These two results can be more intuitively reflected in Figures 2 and 3. In Figures 2 and 3, the response trajectory of the increased reserve is represented by bold black lines. Figure 2 shows the situation where the system disturbance exceeds the total amount of the increased reserve, and the shaded area is the EENS. Figure 3 shows the situation where the total amount of the increased reserve exceeds the system disturbance, and no load loss will occur. It can be seen that the traditional EENS model believes that the increased reserve can change in steps. However, considering the actual operating conditions, the response trajectory of the increased reserve depends on its actual climbing process, as shown in Figures 4 and 5. The shaded area in Figures 4 and 5 represents the actual EENS caused. Comparing Figure 2 and Figure 4, it can be seen that when the upward reserve capacity is insufficient, the EENS caused by considering the ramping process of the upward reserve is greater than that caused by assuming that the upward reserve can respond in a step manner; comparing Figure 3 and Figure 5, it can be seen that even if the upward reserve capacity is sufficient, the EENS caused by considering the ramping process of the upward reserve will still be caused, rather than no load loss at all. Combining the above two situations, not considering the ramping process of the upward reserve will overestimate the energy that the upward reserve can deliver, and thus underestimate the risk of load loss.
基于上述分析,可以根据上调备用容量是否足以应对系统扰动分两种情况计算EENS。为区分这两种情况,引入0/1变量bup_inss,t和bup_sufs,t,当上调备用容量不足时,bup_inss,t取1而bup_sufs,t取0,此时对应的EENS记作EENSinss,t;当上调备用容量足够时,bup_sufs,t取1而bup_inss,t取0,此时对应的EENS记作EENSsufs,t。因此EENS可以表达如下:Based on the above analysis, EENS can be calculated in two cases according to whether the increased reserve capacity is sufficient to cope with system disturbances. To distinguish these two cases, 0/1 variables bup_inss,t and bup_sufs,t are introduced. When the increased reserve capacity is insufficient, bup_inss,t takes 1 and bup_sufs,t takes 0. The corresponding EENS is recorded as EENSinss,t ; when the increased reserve capacity is sufficient, bup_sufs,t takes 1 and bup_inss,t takes 0. The corresponding EENS is recorded as EENSsufs,t . Therefore, EENS can be expressed as follows:
EENSinss,t对应附图4中的阴影部分面积,其计算较为简单,如式(8)所示。EENSsufs,t对应附图5中的阴影部分面积,在还未到调度时段末时,系统已经实现功率平衡,不需要再继续失负荷。假设系统在τ1时刻已经实现功率平衡,τ1的计算如式(9)所示,EENSsufs,t的计算如式(10)所示。EENSinss,t corresponds to the shaded area in Figure 4, and its calculation is relatively simple, as shown in formula (8). EENSsufs,t corresponds to the shaded area in Figure 5. Before the end of the scheduling period, the system has achieved power balance and no longer needs to lose load. Assuming that the system has achieved power balance at time τ1 , the calculation of τ1 is shown in formula (9), and the calculation of EENSsufs,t is shown in formula (10).
最终,EENS可以合并表示为:Finally, EENS can be combined and expressed as:
同理,传统EWS表达式中的0/1变量bdns,t确保弃风只有两种结果,当系统扰动量超过下调备用总量时,会造成弃风;反之不会。这两种结果可以由附图6和7更直观得体现。在附图6和7中,下调备用的响应轨迹以加粗黑线表示,附图6表示系统扰动量超过下调备用总量的情况,阴影面积即为EWS,附图7表示下调备用总量超过系统扰动量的情况,不会造成弃风。可以看出,传统模型认为下调备用可以阶跃变化,然而考虑实际运行情况,下调备用的响应轨迹取决于其实际的爬坡过程,如附图8和9所示。在附图8和9中的阴影部分面积表示实际造成的EWS。附图8和附图9对比,可以看出,当下调备用容量不足时,考虑下调备用的爬坡过程后会比认为下调备用可以阶跃响应造成的EWS多;对比附图8和附图9可以看出,即使下调备用容量足够,考虑下调备用的爬坡过程后仍然会造成EWS,而非完全不会弃风。综合上述两种情况,不考虑下调备用的爬坡过程会高估下调备用可交付的能量,进而低估了弃风风险。Similarly, the 0/1 variable bdns,t in the traditional EWS expression ensures that there are only two results for wind curtailment. When the system disturbance exceeds the total amount of downward reserve, wind curtailment will occur; otherwise, it will not occur. These two results can be more intuitively reflected in Figures 6 and 7. In Figures 6 and 7, the response trajectory of downward reserve is represented by bold black lines. Figure 6 shows the situation where the system disturbance exceeds the total amount of downward reserve, and the shaded area is EWS. Figure 7 shows the situation where the total amount of downward reserve exceeds the system disturbance, and wind curtailment will not occur. It can be seen that the traditional model believes that the downward reserve can change in steps. However, considering the actual operating conditions, the response trajectory of the downward reserve depends on its actual climbing process, as shown in Figures 8 and 9. The shaded area in Figures 8 and 9 represents the actual EWS caused. Comparing Figure 8 and Figure 9, it can be seen that when the reserve capacity is insufficient, the EWS caused by considering the ramping process of the reserve will be greater than that caused by assuming that the reserve can respond in a step manner; comparing Figure 8 and Figure 9, it can be seen that even if the reserve capacity is sufficient, the ramping process of the reserve will still cause EWS, rather than no wind curtailment. Combining the above two situations, not considering the ramping process of the reserve will overestimate the energy that can be delivered by the reserve, and thus underestimate the risk of wind curtailment.
基于上述分析,对EWS的计算可以根据下调备用容量是否足以应对系统扰动分两种情况。为区分这两种情况,引入0/1变量bdn_inss,t和bdn_sufs,t,当下调备用容量不足时,bdn_inss,t取1而bdn_sufs,t取0,此时对应的EWS记作EWSinss,t;当下调备用容量足够时,bdn_sufs,t取1而bdn_inss,t取0,此时对应的EWS记作EWSsufs,t。因此EWS可以表达如下:Based on the above analysis, the calculation of EWS can be divided into two cases according to whether the reserve capacity is sufficient to cope with system disturbances. To distinguish these two cases, 0/1 variables bdn_inss,t and bdn_sufs,t are introduced. When the reserve capacity is insufficient, bdn_inss,t takes 1 and bdn_sufs,t takes 0. The corresponding EWS is recorded as EWSinss,t ; when the reserve capacity is sufficient, bdn_sufs,t takes 1 and bdn_inss,t takes 0. The corresponding EWS is recorded as EWSsufs,t . Therefore, EWS can be expressed as follows:
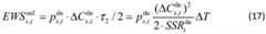
EWSinss,t对应附图8中的阴影部分面积,其计算较为简单,如式(15)所示。EWSsufs,t对应附图9中的阴影部分面积,在还未到调度时段末时,系统已经实现功率平衡,不需要再继续弃风。假设系统在τ2时刻已经实现功率平衡,τ2的计算如式(16)所示,EWSsufs,t的计算如式(17)所示。EWSinss,t corresponds to the shaded area in Figure 8, and its calculation is relatively simple, as shown in formula (15). EWSsufs,t corresponds to the shaded area in Figure 9. Before the end of the scheduling period, the system has achieved power balance and no longer needs to abandon wind. Assuming that the system has achieved power balance at time τ2 , the calculation of τ2 is shown in formula (16), and the calculation of EWSsufs,t is shown in formula (17).
最终,EWS可以合并表示为:Finally, EWS can be combined and expressed as:
(三)根据式(11)和式(18)获取所述期望缺供电量更新模型和所述弃风期望更新模型,并根据上述两个模型获取所述可靠性成本更新模型。(iii) Obtaining the expected power shortage update model and the wind curtailment expected update model according to equation (11) and equation (18), and obtaining the reliability cost update model according to the above two models.
二、对可靠性成本更新模型进行线性化处理,得到可靠性成本的混合整数线性规划模型,具体包括:2. Linearize the reliability cost update model to obtain a mixed integer linear programming model of reliability cost, which includes:
(一)线性化处理期望缺供电量更新模型,得到期望缺供电量的混合整数线性规划模型:(I) Linearize the expected power shortage update model to obtain the mixed integer linear programming model of the expected power shortage:
EENS的线性化分两种情况,对于上调备用容量不足的情况,可引入辅助变量zups,t,线性化结果如式(19)和式(20)所示:There are two cases for the linearization of EENS. For the case where the reserve capacity is insufficient, an auxiliary variable zups,t can be introduced. The linearization results are shown in equations (19) and (20):
对于上调备用容量足够的情况,EENSsufs,t和上调备用容量之间的关系可由附图10直观展示。For the case where the up-regulated reserve capacity is sufficient, the relationship between EENSsufs,t and the up-regulated reserve capacity can be intuitively shown in FIG. 10 .
如附图10所示,随着上调备用容量的增加,EENSsufs,t的变化轨迹为反比例函数曲线,因此可以进行分段线性化,以红色线段近似代替反比例函数曲线。取整数倍的扰动量作为分段点,并求出每个分段点处的函数值,进而可以求出每条线段的斜率和截距,分段线性化后的EENSsufs,t满足如下约束:As shown in Figure 10, with the increase of the reserve capacity, the change trajectory of EENSsufs,t is an inverse proportional function curve, so it can be piecewise linearized, and the red line segment can be used to approximate the inverse proportional function curve. Take integer multiples of the disturbance as segmentation points, and find the function value at each segmentation point, and then find the slope and intercept of each line segment. After piecewise linearization, EENSsufs,t satisfies the following constraints:
式中,bup_ssm,s,t表示判断上调备用容量SSRupt是否落在第m段扰动量区间的0/1变量,当上调备用容量SSRupt落在第m段扰动量区间时,bup_ssm,s,t取1,否则取0。EENSsufm,s,t表示各分段点处EENSsufs,t的取值,aup_sufm,s,t表示EENSsufs,t在第m段扰动量区间线性化后的斜率,bup_sufm,s,t表示EENSsufs,t在第m段扰动量区间线性化后的截距。Wherein, bup_ssm,s,t represents a 0/1 variable for judging whether the increased reserve capacity SSRupt falls within the mth disturbance interval. When the increased reserve capacity SSRupt falls within the mth disturbance interval, bup_ssm,s,t takes 1, otherwise it takes 0.EENS sufm,s,t represents the value of EENSsufs,t at each segment point, aup_sufm,s,t represents the slope of EENSsufs,t after linearization in the mth disturbance interval, and bup_sufm,s,t represents the intercept of EENSsufs,t after linearization in the mth disturbance interval.
式(21)中仍存在0/1变量和连续变量的乘积,需要进一步线性化。首先,对于0/1变量bup_ssm,s,t,式(22)仅为逻辑表达,需要作进一步的处理。因此引入新的0/1变量bup_sm,s,t和bup_sssm,s,t并满足约束(26)和(27)以代替式(22),式(26)中,一个足够大的正数,可以确保当SSRupt<mΔCups,t时,bup_sm,s,t取1,否则取0。式(27)通过引入0/1变量bup_sssm,s,t可以确保,当mΔCups,t≤SSRupt<(m+1)ΔCups,t时,bup_ssm,s,t取1,否则取0。There are still products of 0/1 variables and continuous variables in equation (21), which need to be further linearized. First, for the 0/1 variable bup_ssm,s,t , equation (22) is only a logical expression and needs further processing. Therefore, new 0/1 variables bup_sm,s,t and bup_sssm,s,t are introduced to replace equation (22) and satisfy constraints (26) and (27). In equation (26), a sufficiently large positive number can ensure that when SSRupt <mΔCups,t , bup_sm,s,t takes 1, otherwise it takes 0. Equation (27) can ensure that when mΔCups,t ≤SSRupt <(m+1)ΔCups,t , bup_ss m,s,t takes 1, otherwise it takes 0 by introducing the 0/1 variable bup_sssm,s,t .
0/1变量bup_ssm,s,t由约束(26)和(27)表达后,式(21)中的0/1变量和连续变量的乘积可以使用大M法进行线性化,由式(28)-(31)代替式(21)。After the 0/1 variable bup_ssm,s,t is expressed by constraints (26) and (27), the product of the 0/1 variable and the continuous variable in equation (21) can be linearized using the big M method, and equations (28)-(31) can be used to replace equation (21).
(二)线性化处理弃风期望更新模型,得到弃风期望的混合整数线性规划模型:(II) Linearize the wind curtailment expectation update model to obtain the mixed integer linear programming model of wind curtailment expectation:
EWS的线性化分两种情况,对于下调备用容量不足的情况,可引入辅助变量zdns,t,线性化结果如式(32)和式(33)所示:The linearization of EWS is divided into two cases. For the case of insufficient reserve capacity, an auxiliary variable zdns,t can be introduced. The linearization results are shown in equations (32) and (33):
对于下调备用容量足够的情况,EWSsufs,t和下调备用容量之间的关系可由附图11直观展示。For the case where the down-regulated reserve capacity is sufficient, the relationship between EWSsufs,t and the down-regulated reserve capacity can be intuitively shown in FIG. 11 .
如附图11所示,随着下调备用容量的增加,EWSsufs,t的变化轨迹为反比例函数曲线,因此可以进行分段线性化,以红色线段近似代替反比例函数曲线。取整数倍的扰动量作为分段点,并求出每个分段点处的函数值,进而可以求出每条线段的斜率和截距,分段线性化后的EWSsufs,t满足如下约束:As shown in Figure 11, as the reserve capacity is increased, the change trajectory of EWSsufs,t is an inverse proportional function curve, so it can be piecewise linearized, and the red line segment can be used to approximate the inverse proportional function curve. Take integer multiples of the disturbance as segmentation points, and find the function value at each segmentation point, and then find the slope and intercept of each line segment. The piecewise linearized EWSsufs,t satisfies the following constraints:
式中,bdn_ssm,s,t表示判断下调备用容量SSRdnt是否落在第m段扰动量区间的0/1变量,当下调备用容量SSRdnt落在第m段扰动量区间时,bdn_ssm,s,t取1,否则取0。EWSsufm,s,t表示各分段点处EWSsufs,t的取值,adn_sufm,s,t表示EWSsufs,t在第m段扰动量区间线性化后的斜率,bdn_sufm,s,t表示EWSsufs,t在第m段扰动量区间线性化后的截距。Wherein, bdn_ssm,s,t represents a 0/1 variable for judging whether the reserve capacity SSRdnt falls within the mth disturbance interval. When the reserve capacity SSRdnt falls within the mth disturbance interval, bdn_ssm,s,t takes 1, otherwise it takes 0. EWSsufm,s,t represents the value of EWSsufs,t at each segment point, adn_sufm,s,t represents the slope of EWSsufs,t after linearization in the mth disturbance interval, and bdn_sufm,s,t represents the intercept of EWSsufs,t after linearization in the mth disturbance interval.
式(34)中仍存在0/1变量和连续变量的乘积,需要进一步线性化。首先,对于0/1变量bdn_ssm,s,t,式(35)仅为逻辑表达,需要作进一步的处理。因此引入新的0/1变量bdn_sm,s,t和bdn_sssm,s,t并满足约束(39)和(40)以代替式(35),式(39)中,M是一个足够大的正数,可以确保当SSRdnt<mΔCdns,t时,bdn_sm,s,t取1,否则取0。式(40)通过引入0/1变量bdn_sssm,s,t可以确保,当mΔCdns,t≤SSRdnt<(m+1)ΔCdns,t时,bdn_ssm,s,t取1,否则取0。There are still products of 0/1 variables and continuous variables in equation (34), which needs further linearization. First, for the 0/1 variable bdn_ssm,s,t , equation (35) is only a logical expression and needs further processing. Therefore, new 0/1 variables bdn_sm,s,t and bdn_sssm,s,t are introduced to replace equation (35) and satisfy constraints (39) and (40). In equation (39), M is a sufficiently large positive number to ensure that when SSRdnt <mΔCdns,t , bdn_sm,s,t takes 1, otherwise it takes 0. Formula (40) can ensure that bdn_sssm,s,t takes the value of 1 when mΔCdns,t ≤SSRdnt <(m+1)ΔCdns,t, and takes the value of 0 otherwise by introducing the 0/1 variable bdn_sssm,s,t .
0/1变量bdn_ssm,s,t由约束(39)和(40)表达后,式(34)中的0/1变量和连续变量的乘积可以使用大M法进行线性化,由式(41)-(44)代替式(34)。After the 0/1 variable bdn_ssm,s,t is expressed by constraints (39) and (40), the product of the 0/1 variable and the continuous variable in equation (34) can be linearized using the big M method, and equations (41)-(44) can be used to replace equation (34).
三、将所述混合整数线性规划模型更新至所述备用优化初始模型,得到考虑备用可交付性的备用优化模型:3. Updating the mixed integer linear programming model to the backup optimization initial model to obtain a backup optimization model that takes backup deliverability into consideration:
(一)获取备用优化初始模型的目标函数:(I) Obtaining the objective function of the backup optimization initial model:
模型的目标函数为最小化运行成本、备用成本与可靠性成本:The objective function of the model is to minimize the operating cost, backup cost and reliability cost:
式中,g/NG是发电机的集合与索引,t/NT是优化时段的集合与索引;CNLg为发电机组g的空载成本,CLVg为发电机组g的燃耗成本,Cupg和Cdng分别为发电机组g的启停成本;ug,t,bupg,t和bdng,t为0/1变量,其值取1分别表示t时段发电机组g处于运行,启动和关停状态,否则取0;Eg,t为发电机组g在t时段内的电能输出;πupg和πdng分别发电机组g的上调备用成本和下调备用成本;Rupg,t和Rdng,t分别为发电机组g在t时段内的上调备用容量和下调备用容量。VOLL为失负荷惩罚价格,VOLW为弃风惩罚价格。式(45)中EENS表达式为式(28)-(31),EWS表达式为(41)-(44)。In the formula, g/NG is the set and index of generators, t/NT is the set and index of the optimization period; CNLg is the no-load cost of generator set g, CLVg is the fuel consumption cost of generator set g, Cupg and Cdng are the start-up and shutdown costs of generator set g respectively; ug,t , bupg,t and bdng,t are 0/1 variables, whose values are 1, indicating that generator set g is in operation, start-up and shutdown during period t, and 0 otherwise; Eg,t is the power output of generator set g during period t; πupg and πdng are the up-reserve cost and down-reserve cost of generator set g respectively; Rupg,t and Rdng,t are the up-reserve capacity and down-reserve capacity of generator set g during period t respectively. VOLL is the penalty price for loss of load, and VOLW is the penalty price for wind abandonment. In formula (45), the EENS expression is as follows: (28)-(31), and the EWS expression is as follows: (41)-(44).
(二)获取备用优化初始模型的约束条件:(II) Obtaining the constraints of the backup optimization initial model:
模型的约束条件如下:The constraints of the model are as follows:
1、发电机出力约束:1. Generator output constraints:
式中,Pg,t为发电机组g在t时段末的输出功率;Pmaxg,Pming为发电机组g的输出功率上、下限,P0g为初始时刻发电机组输出功率;式(46)为机组出力上下限约束,式(47)和(48)为机组在各时段内的电能输出约束。Where Pg,t is the output power of generator set g at the end of time period t;PmaxgandPming are the upper and lower limits of the output power of generator setg ,andP0g is the output power of the generator set at the initial moment; Formula (46) is the upper and lower limit constraints of the unit output, and Formulas (47) and (48) are the power output constraints of the unit in each time period.
2、逻辑变量约束:2. Logical variable constraints:
式中,u0g为表示发电机组g初始时刻运行状态的二进制变量(运行为1,停运为0)。Where u0g is a binary variable representing the operating status of generator set g at the initial moment (1 for operation and 0 for shutdown).
3、功率平衡约束:3. Power balance constraints:
式中,PLt为t时段末的负荷,PWTt为t时段末的风电输出功率。Where PLt is the load at the end of period t, and PWTt is the wind power output power at the end of period t.
4、机组爬坡约束:4. Unit climbing constraints:
式中,URg和DRg分别为发电机组g的上爬速率和下爬速率。Where URg and DRg are the climbing rate and descending rate of generator set g, respectively.
机组初始爬坡约束:Initial climbing constraints of the unit:
式中,ICg表示发电机组g的初始运行状态,其数值代表已运行时间;Tong和Toffg分别表示发电机组g的最小运行时间和最小停运时间。In the formula, ICg represents the initial operating state of generator set g, and its value represents the running time; Tong and Toffg represent the minimum operating time and minimum shutdown time of generator set g, respectively.
5、机组最小启停时间约束:5. Minimum start and stop time constraints for units:
式(56)和(57)分别为最小运行时间约束和初始最小运行时间约束;式(58)和(59)分别为最小停运时间约束和初始最小停运时间约束。Equations (56) and (57) are the minimum running time constraint and the initial minimum running time constraint respectively; Equations (58) and (59) are the minimum downtime constraint and the initial minimum downtime constraint respectively.
6、上调备用约束:6. Increase the standby constraint:
式中,SSRupt表示系统总的上调备用。式(61)和式(62)分别表示考虑备用的响应过程受爬坡约束的影响,实际可用的上调备用容量约束。Where SSRupt represents the total up-reserve of the system. Equations (61) and (62) respectively represent the response process of the reserve under the influence of the ramp constraint and the actual available up-reserve capacity constraint.
7、下调备用约束:7. Lower the reserve constraint:
式中,SSRdnt表示系统总的下调备用。式(65)和式(66)分别表示考虑备用的响应过程受爬坡约束的影响,实际可用的下调备用容量约束。Where SSRdnt represents the total down-regulated reserve of the system. Equations (65) and (66) respectively represent the response process of the reserve under the influence of the ramp constraint and the actual available down-regulated reserve capacity constraint.
现采用IEEE-RTS 26机系统进行算例分析。系统中所有机组提供旋转备用的价格设置为燃耗价格的10%;风电输出服从高斯分布,其均值设置为系统负荷的20%,标准差设置为均值的15%;负荷预测误差的标准差设置为系统负荷的3%;VOLL设定为1000$/MWh,VOLW设定为500$/MWh。The IEEE-RTS 26-machine system is used for example analysis. The price of spinning reserve provided by all units in the system is set to 10% of the fuel consumption price; the wind power output follows a Gaussian distribution, with the mean set to 20% of the system load and the standard deviation set to 15% of the mean; the standard deviation of the load forecast error is set to 3% of the system load; VOLL is set to 1000$/MWh, and VOLW is set to 500$/MWh.
所提模型基于GAMS平台编程实现,调用商用求解器CPLEX进行求解,收敛精度为0.1%。计算机配置为Intel Core i5-4460系列,主频3.2GHz,内存8G。The proposed model is implemented based on GAMS platform programming and solved by calling the commercial solver CPLEX, with a convergence accuracy of 0.1%. The computer configuration is Intel Core i5-4460 series, main frequency 3.2GHz, memory 8G.
本申请对两种方案进行算例比较,This application compares the two solutions.
方案一:不考虑备用能量的可交付性;Option 1: not considering the deliverability of backup energy;
方案二:考虑备用能量的可交付性。Option 2: Consider the deliverability of backup energy.
两种方案下的各项成本如表1所示:The costs under the two schemes are shown in Table 1:
表1两种方案下的成本对比:Table 1 Cost comparison under two schemes:
观察表1,可以发现,相比不考虑备用能量可交付性的方案一,考虑备用能量可交付性后,方案二对应的总成本、运行成本和启停成本均有所增加,主要原因在于考虑备用能量可交付性后,系统为了提供更可靠的备用,发电机组并不处于最佳运行基点,因此系统经济性下降。此外,考虑备用能量可交付性后,备用成本以及可靠性成本上升明显,备用成本几乎上升一倍,但即使配置了更多的备用,失负荷成本和弃风成本仍然增加,失负荷成本增加了大约5.98倍,弃风成本也不再为0。弃风成本变化的主要原因在于,方案一中认为如果下调备用容量充足,那么电力系统就完全不会面临弃风风险,因此弃风成本为0,但实际上,虽然下调备用容量看似足够,由于备用无法瞬间响应,系统仍会面临弃风风险。从两种方案的成本对比可以看出,考虑备用能量的可交付性,会导致系统经济性下降,但是对弃风和失负荷风险做出了更为准确的评估,更加确保了电力系统的安全性。Observing Table 1, it can be found that compared with Scheme 1 which does not consider the deliverability of reserve energy, after considering the deliverability of reserve energy, the total cost, operating cost and start-up and shutdown cost of Scheme 2 have all increased. The main reason is that after considering the deliverability of reserve energy, in order to provide more reliable reserve, the generator set is not at the optimal operating base point, so the system economy decreases. In addition, after considering the deliverability of reserve energy, the reserve cost and reliability cost increase significantly, and the reserve cost almost doubles. However, even if more reserve is configured, the load loss cost and wind abandonment cost still increase. The load loss cost increases by about 5.98 times, and the wind abandonment cost is no longer 0. The main reason for the change in wind abandonment cost is that Scheme 1 believes that if the reserve capacity is adjusted down sufficiently, the power system will not face the risk of wind abandonment at all, so the wind abandonment cost is 0. However, in fact, although the reserve capacity seems to be sufficient, the system will still face the risk of wind abandonment because the reserve cannot respond instantly. From the cost comparison of the two schemes, it can be seen that considering the deliverability of reserve energy will lead to a decrease in the economy of the system, but a more accurate assessment of the risk of wind abandonment and load loss is made, which further ensures the safety of the power system.
为展示上调备用实际可交付能量受备用响应过程的影响,以第一机组在第一时段停运且净负荷上升波动最缓和的场景为例。此时系统失负荷功率为371.231MW,而系统可提供上调备用容量为445.471MW,很显然,系统上调备用容量足以应对系统波动。但由于备用无法阶跃响应,因此还是会造成如图12阴影部分面积所示的失负荷。而如果不考虑备用能量的可交付性,则误以为不会造成失负荷,低估了系统失负荷风险。In order to show that the actual deliverable energy of the increased reserve is affected by the reserve response process, the scenario where the first unit is shut down in the first period and the net load increase fluctuation is the most moderate is taken as an example. At this time, the system load loss power is 371.231MW, and the system can provide an increased reserve capacity of 445.471MW. Obviously, the system's increased reserve capacity is sufficient to cope with system fluctuations. However, since the reserve cannot respond in a step, it will still cause a load loss as shown in the shaded area of Figure 12. If the deliverability of the reserve energy is not considered, it is mistakenly believed that there will be no load loss, and the risk of system load loss is underestimated.
对于上调备用容量不足以应对系统波动的情况,以第二机组在第二时段停运且净负荷上升波动最剧烈的场景为例。此时系统失负荷功率为502.481MW,而系统可提供上调备用容量为445.477MW,很显然,系统上调备用容量不足以应对系统波动,但如果不考虑备用实际可交付能量受爬坡过程的影响,则会认为系统缺供电量为(502.481MW-445.477MW)*1h=57.004MWh,而如果考虑备用实际可交付能量受爬坡过程的影响,系统实际缺供电量为445.477MW/2*1h+57.004MWh=279.7425MWh,如图13中阴影部分面积所示。可见,如果不考虑备用能量的可交付性,会大大低估系统失负荷的风险。For the case where the increased reserve capacity is insufficient to cope with system fluctuations, take the scenario where the second unit is shut down in the second period and the net load rises and fluctuates most violently as an example. At this time, the system load loss power is 502.481MW, and the system can provide an increased reserve capacity of 445.477MW. Obviously, the system increased reserve capacity is insufficient to cope with system fluctuations, but if the impact of the actual deliverable reserve energy on the ramp process is not considered, the system power shortage will be (502.481MW-445.477MW)*1h=57.004MWh, and if the impact of the actual deliverable reserve energy on the ramp process is considered, the actual power shortage of the system is 445.477MW/2*1h+57.004MWh=279.7425MWh, as shown in the shaded area in Figure 13. It can be seen that if the deliverability of reserve energy is not considered, the risk of system load loss will be greatly underestimated.
实施例2Example 2
本实施例提供的一种考虑备用能量可交付性的电力系统备用优化系统,包括:This embodiment provides a power system backup optimization system considering the deliverability of backup energy, including:
第一更新模块,所述第一更新模块配置用于,获取可靠性成本初始模型,并根据备用容量是否足以应对系统扰动,修正可靠性成本初始模型,得到可靠性成本更新模型;A first updating module, wherein the first updating module is configured to obtain an initial reliability cost model, and according to whether the backup capacity is sufficient to cope with the system disturbance, correct the initial reliability cost model to obtain an updated reliability cost model;
线性化模块,所述线性化模块配置用于,线性化处理可靠性成本更新模型,得到可靠性成本的混合整数线性规划模型;A linearization module, wherein the linearization module is configured to linearize the reliability cost update model to obtain a mixed integer linear programming model of the reliability cost;
采集模块,所述采集模块配置用于,获取电力系统备用优化初始模型,所述备用优化初始模型至少包括:可靠性成本初始模型;A collection module, wherein the collection module is configured to obtain an initial model of power system backup optimization, wherein the initial model of backup optimization at least includes: an initial model of reliability cost;
第二更新模块,所述第二更新模块配置用于,将所述混合整数线性规划模型更新至所述备用优化初始模型,得到考虑备用可交付性的备用优化模型。The second updating module is configured to update the mixed integer linear programming model to the backup optimization initial model to obtain a backup optimization model that takes backup deliverability into consideration.
实施例3Example 3
本实施例提供的一种处理装置,包括存储器、处理器以及存储在所述存储器中并可在所述处理器上运行的计算机程序,所述处理器执行所述计算机程序时实现如上所述的考虑备用能量可交付性的电力系统备用优化方法步骤。This embodiment provides a processing device, including a memory, a processor, and a computer program stored in the memory and executable on the processor. When the processor executes the computer program, the steps of the power system standby optimization method considering the deliverability of standby energy as described above are implemented.
实施例4Example 4
本实施例提供的一种计算机可读存储介质,所述计算机可读存储介质有计算机程序,所述计算机程序被处理器执行时实现如上所述的考虑备用能量可交付性的电力系统备用优化方法步骤。This embodiment provides a computer-readable storage medium, which has a computer program. When the computer program is executed by a processor, the steps of the power system reserve optimization method considering the deliverability of reserve energy are implemented as described above.
以上描述仅为本申请的较佳实施例以及对所运用技术原理的说明。本领域技术人员应当理解,本申请中所涉及的发明范围,并不限于上述技术特征的特定组合而成的技术方案,同时也应涵盖在不脱离所述发明构思的情况下,由上述技术特征或其等同特征进行任意组合而形成的其它技术方案。例如上述特征与本申请中公开的(但不限于)具有类似功能的技术特征进行互相替换而形成的技术方案。The above description is only a preferred embodiment of the present application and an explanation of the technical principles used. Those skilled in the art should understand that the scope of the invention involved in the present application is not limited to the technical solution formed by a specific combination of the above technical features, but should also cover other technical solutions formed by any combination of the above technical features or their equivalent features without departing from the inventive concept. For example, the above features are replaced with the technical features with similar functions disclosed in this application (but not limited to) by each other.
| Application Number | Priority Date | Filing Date | Title |
|---|---|---|---|
| CN202310334763.9ACN116341748A (en) | 2023-03-31 | 2023-03-31 | Backup energy deliverability-considered power system backup optimization method, system, processing device and storage medium |
| Application Number | Priority Date | Filing Date | Title |
|---|---|---|---|
| CN202310334763.9ACN116341748A (en) | 2023-03-31 | 2023-03-31 | Backup energy deliverability-considered power system backup optimization method, system, processing device and storage medium |
| Publication Number | Publication Date |
|---|---|
| CN116341748Atrue CN116341748A (en) | 2023-06-27 |
| Application Number | Title | Priority Date | Filing Date |
|---|---|---|---|
| CN202310334763.9APendingCN116341748A (en) | 2023-03-31 | 2023-03-31 | Backup energy deliverability-considered power system backup optimization method, system, processing device and storage medium |
| Country | Link |
|---|---|
| CN (1) | CN116341748A (en) |
| Publication number | Priority date | Publication date | Assignee | Title |
|---|---|---|---|---|
| CN104463703A (en)* | 2014-12-05 | 2015-03-25 | 西安交通大学 | Electrical power system condition reserve capacity decision-making method based on risk preference |
| CN106779180A (en)* | 2016-11-29 | 2017-05-31 | 国网陕西省电力公司电力科学研究院 | Power system spinning reserve optimization method based on curve segmentation linearisation |
| CN115241878A (en)* | 2022-09-21 | 2022-10-25 | 山东电力工程咨询院有限公司 | Standby optimization method and system considering wind power standby reliability |
| Publication number | Priority date | Publication date | Assignee | Title |
|---|---|---|---|---|
| CN104463703A (en)* | 2014-12-05 | 2015-03-25 | 西安交通大学 | Electrical power system condition reserve capacity decision-making method based on risk preference |
| CN106779180A (en)* | 2016-11-29 | 2017-05-31 | 国网陕西省电力公司电力科学研究院 | Power system spinning reserve optimization method based on curve segmentation linearisation |
| CN115241878A (en)* | 2022-09-21 | 2022-10-25 | 山东电力工程咨询院有限公司 | Standby optimization method and system considering wind power standby reliability |
| Publication | Publication Date | Title |
|---|---|---|
| CN104617590B (en) | The microgrid energy optimization method dispatched under different time scales based on hybrid energy-storing | |
| CN107171367B (en) | Fired power generating unit decision making of combinatorial optimization method of the wind-powered electricity generation with energy-storage system under complementary | |
| CN112383086A (en) | Island micro-grid day-ahead energy-standby combined optimization scheduling method | |
| CN109193802A (en) | A kind of Demand-side resource regulating method and system considering new energy prediction error | |
| CN110649598B (en) | Method and system for regulating node electricity price by virtual power plant in area | |
| CN115133548A (en) | An optimal scheduling method for power system with storage coordination considering operational flexibility | |
| CN114936672B (en) | Multi-virtual power plant joint scheduling method based on Nash negotiation method | |
| CN117559391A (en) | Hybrid energy storage joint planning method considering flexible supply-demand balance of power system | |
| CN113627762A (en) | Virtual power plant peak regulation method based on excitation electricity price | |
| CN109149631A (en) | It is a kind of to consider that wind-light storage provides the two stages economic load dispatching method of flexible climbing capacity | |
| CN118627799A (en) | Day-ahead and intraday two-stage scheduling method and system for flexible ramping services | |
| CN118114943A (en) | Resource collaborative planning method considering new energy consumption requirements and marginal effect | |
| CN115842376A (en) | Method, device and medium for evaluating equivalent inertia trend and safety state of power system | |
| CN116191505A (en) | Method and device for adjusting global dynamic interaction of low-voltage platform area source charge storage and charging | |
| CN116341748A (en) | Backup energy deliverability-considered power system backup optimization method, system, processing device and storage medium | |
| CN110768305A (en) | Coordination method, device, device and storage medium for spare resources | |
| CN119010037A (en) | High-reliability optimization scheduling method for micro-grid of industrial park in severe weather | |
| CN117371247B (en) | Multi-dimensional fuzzy evaluation method, device and storage medium for wind farm energy storage system | |
| CN115632438B (en) | An optimization scheduling method and terminal based on probability box and conditional risk value | |
| CN115241878B (en) | Standby optimization method and system considering wind power standby reliability | |
| CN114243796B (en) | Method and system for determining subregional reserve capacity of regional interconnection grid | |
| CN113517691B (en) | A Coordinated Scheduling Method of Multi-type Power Sources Based on Peak and Valley Time-of-Use Electricity Prices | |
| CN113300416B (en) | Power grid standby capacity configuration method, system, equipment and computer medium | |
| CN112821469B (en) | Day-ahead power generation scheduling optimization method and device based on frequency modulation absorption domain analysis | |
| Cai et al. | Optimization Algorithms for Coordinated Interaction of Massive Source-Load-Storage Resources in Spot Markets |
| Date | Code | Title | Description |
|---|---|---|---|
| PB01 | Publication | ||
| PB01 | Publication | ||
| SE01 | Entry into force of request for substantive examination | ||
| SE01 | Entry into force of request for substantive examination |