Movatterモバイル変換


[0]ホーム

URL:


CN116320984A - Unmanned aerial vehicle safety communication system and method based on cooperative interference - Google Patents

Unmanned aerial vehicle safety communication system and method based on cooperative interference
Download PDF

Info

Publication number
CN116320984A
CN116320984ACN202310279573.1ACN202310279573ACN116320984ACN 116320984 ACN116320984 ACN 116320984ACN 202310279573 ACN202310279573 ACN 202310279573ACN 116320984 ACN116320984 ACN 116320984A
Authority
CN
China
Prior art keywords
unmanned aerial
dynamic
aerial vehicle
area
region
Prior art date
Legal status (The legal status is an assumption and is not a legal conclusion. Google has not performed a legal analysis and makes no representation as to the accuracy of the status listed.)
Granted
Application number
CN202310279573.1A
Other languages
Chinese (zh)
Other versions
CN116320984B (en
Inventor
李继锋
赵志霞
李晃
朱文明
Current Assignee (The listed assignees may be inaccurate. Google has not performed a legal analysis and makes no representation or warranty as to the accuracy of the list.)
Yangzhou Yuan Electronic Technology Co Ltd
Original Assignee
Yangzhou Yuan Electronic Technology Co Ltd
Priority date (The priority date is an assumption and is not a legal conclusion. Google has not performed a legal analysis and makes no representation as to the accuracy of the date listed.)
Filing date
Publication date
Application filed by Yangzhou Yuan Electronic Technology Co LtdfiledCriticalYangzhou Yuan Electronic Technology Co Ltd
Priority to CN202310279573.1ApriorityCriticalpatent/CN116320984B/en
Publication of CN116320984ApublicationCriticalpatent/CN116320984A/en
Application grantedgrantedCritical
Publication of CN116320984BpublicationCriticalpatent/CN116320984B/en
Activelegal-statusCriticalCurrent
Anticipated expirationlegal-statusCritical

Links

Images

Classifications

Landscapes

Abstract

The invention discloses an unmanned aerial vehicle safety communication system and method based on cooperative interference, and belongs to the technical field of unmanned aerial vehicles. Real-time tracking is carried out on all unmanned aerial vehicle position information of a single dispatch aerial region, and the aerial region is further divided into an instruction region and a non-instruction region so as to cope with the situation of the unmanned aerial vehicle position dynamic change and the instruction requirement changing at any time; searching the communication link relation of the unmanned aerial vehicle radar, and constructing a dynamic model of the communication link of the unmanned aerial vehicle network, so that a dynamic link relation is formed, and the persistence of a dynamic data link interference array is enhanced; constructing a dynamic area model of unmanned aerial vehicle networking cooperative interference safety communication so as to cope with changeable air situations and strengthen the protection of communication transmission; and further, all unmanned aerial vehicles in the single dispatch air area are dynamically scheduled to form a maximized safe maneuvering area, the fastest scheduling is ensured, and meanwhile, the integrity of the dynamic connection relation of the communication links of the unmanned aerial vehicle networking is maximally ensured, so that threat risks are reduced.

Description

Unmanned aerial vehicle safety communication system and method based on cooperative interference
Technical Field
The invention relates to the technical field of unmanned aerial vehicles, in particular to an unmanned aerial vehicle safety communication system and method based on cooperative interference.
Background
The unmanned aerial vehicle is used for networking, an omnibearing, stereoscopic and multilayer array system can be formed in an air area, the cooperation performance of full frequency bands, multiple systems and multiple overlapping coefficients can be realized, the information transmission communication interconnection interoperability and the system destruction resistance can be enhanced, and the advantages of system countermeasure and group countermeasure can be fully exerted; the traditional interference mode generally adopts a one-to-one point source interference mode, and with the continuous development of the informatization technology, the research on the distributed interference technology and the track spoofing interference technology is more and more in depth; the conventional interference mode also faces great challenges more and more, especially in the changeable air situation, the huge networking system is faced, in the flexible situation, when the unmanned aerial vehicle array is continuously changed to accept the task requirement which is possible at any time, the safe communication of the unmanned aerial vehicle is difficult to be prevented from being threatened, and meanwhile, the effective networking countermeasure system is difficult to be maintained.
Disclosure of Invention
The invention aims to provide an unmanned aerial vehicle safety communication system and method based on cooperative interference, which are used for solving the problems in the background technology.
In order to solve the technical problems, the invention provides the following technical scheme:
Unmanned aerial vehicle safety communication system based on cooperation interference, this system includes: the system comprises a dual-dynamic region construction module, an unmanned aerial vehicle networking communication link dynamic identification module, a safety communication dynamic region model construction module and an unmanned aerial vehicle dynamic cooperation module;
the double-dynamic-area construction module acquires all the position information of the unmanned aerial vehicle in the single dispatch air area, tracks all the position information of the unmanned aerial vehicle in the single dispatch air area in real time, performs dynamic area division on the single dispatch air area, and generates a double-dynamic-area set for the unmanned aerial vehicle based on a dynamic area division result, wherein the double-dynamic-area comprises an instruction area and a non-instruction area;
the unmanned aerial vehicle networking communication link dynamic identification module is used for carrying out radar communication link node division on all unmanned aerial vehicles in a single dispatch air area, constructing an unmanned aerial vehicle networking communication link dynamic model based on a radar communication link node division result, and carrying out networking communication link dynamic identification on all unmanned aerial vehicles in the single dispatch air area;
the safety communication dynamic region model construction module is used for constructing an unmanned aerial vehicle networking cooperation interference safety communication dynamic region model based on a networking communication link dynamic identification result to generate a safety communication dynamic region;
And the unmanned aerial vehicle dynamic collaboration module dynamically schedules all unmanned aerial vehicles in the single dispatch air area based on the safe communication dynamic area.
Further, the dual-dynamic region construction module further comprises an air region dynamic dividing unit and a dual-dynamic region set generating unit;
the aerial region dynamic dividing unit is used for carrying out real-time tracking on all unmanned aerial vehicle position information of the single dispatch aerial region to form real-time dynamic position tracking information of each unmanned aerial vehicle, carrying out dynamic region division on the single dispatch aerial region according to the real-time dynamic position tracking information of each unmanned aerial vehicle, and determining the number of unmanned aerial vehicles in an instruction region in the single dispatch aerial region and the number of unmanned aerial vehicles in a non-instruction region in the single dispatch aerial region, wherein the single dispatch aerial region is an integral aerial region of a single dispatch task, the instruction region is a local aerial region temporarily scheduled in the integral aerial region of the single dispatch task, and the non-instruction region is a local aerial region except the instruction region in the integral aerial region of the single dispatch task;
the dual-dynamic region set generating unit generates unified numbering information for all unmanned aerial vehicles in a single dispatch air region according to the number of unmanned aerial vehicles in the instruction region and the number of unmanned aerial vehicles in the non-instruction region The unmanned aerial vehicle in the instruction area is subjected to number information extraction according to the unified number information, and a number set of the generated instruction area is marked as U1 The unmanned aerial vehicle in the non-instruction area is subjected to number information extraction, and a non-instruction area number set is generated and marked as U2
Further, the unmanned aerial vehicle networking communication link dynamic identification module further comprises a node dynamic adjustment determination unit and an unmanned aerial vehicle networking communication link dynamic model construction unit;
the node dynamic adjustment determining unit regards each unmanned aerial vehicle in a single dispatch empty area as a radar communication link node, wherein the radar communication link node comprises a source node, a relay node and a target node, and the source node, the relay node and the target node are determined according to t1 From time to t2 The temporary task requirements between the moments are dynamically adjusted and determined, the source node is a radar communication transmitting source, the target node is a radar communication receiving source, and the relay node receives the radar communication transmitting information of the source node and sends the received radar communication transmitting information of the source node to the target node;
the dynamic adjustment determination is performed in the following manner:
according to t1 From time to t2 Temporary task requirements between moments, unmanned plane Ia Marking as a source node, and enabling the unmanned plane I to beb Marked as target node, unmanned plane Ia And unmanned plane Ib The point-to-point radar communication is carried out between the two, a and b respectively represent unmanned aerial vehicle numbers, and a is not equal to b; if unmanned plane Ia And unmanned plane Ib The radar communication distance between the unmanned plane I and the unmanned plane I meets the radar communication distance limiting conditiona And unmanned plane Ib Direct point-to-point communication is carried out between the unmanned plane Ia And unmanned plane Ib If the radar communication distance between the unmanned aerial vehicle I and the unmanned aerial vehicle I does not meet the radar communication distance limiting conditiona And unmanned plane Ib Indirect communication is carried out between the two through relay node connection;
the unmanned aerial vehicle networking communication link dynamic model construction unit constructs unmanned aerial vehicle networking communication link dynamic modelState model, t for all unmanned aerial vehicles in single dispatch empty region1 From time to t2 The method comprises the steps of dynamically adjusting and determining moments, carding radar communication links to form a dynamic connection relation of unmanned aerial vehicle networking communication links, wherein the dynamic connection relation of the unmanned aerial vehicle networking communication links comprises a direct communication connection relation and an indirect communication connection relation, and the direct communication connection relation is expressed as Ia →Ib Wherein Ia And Ib The indirect communication connection relationship is expressed as Ia →I1 →Ia →...→Ic →Ib Wherein I1 、Ia 、...、Ic The first relay node and the second relay node are respectively 1 st, 2 nd, c relay nodes, a not equal to b not equal to c, and c represents unmanned aerial vehicle numbers; and carrying out dynamic identification on networking communication links of all unmanned aerial vehicles in the single dispatch air area according to the dynamic connection relation of the networking communication links of the unmanned aerial vehicles.
Further, the safe communication dynamic region model building module further comprises a real interference signal coverage range acquisition unit and a safe communication dynamic region generation unit;
the real interference signal coverage area acquisition unit splits all radar communication link nodes in a single dispatch empty area and extracts target nodes based on a dynamic identification result of a networking communication link, and the extracted target nodes generate a target node set M; according to the instruction area number set and the target node set, t is calculated in the instruction area1 From time to t2 The temporary tasks between moments require the assigned unmanned aerial vehicles to be identified, a temporary assigned unmanned aerial vehicle set is generated and recorded as L, and L=U1 N is M; constructing a three-dimensional coordinate system of a single dispatch aerial region, performing point-to-point linear connection on all unmanned aerial vehicles in a temporary assignment unmanned aerial vehicle set according to real-time dynamic position tracking information of the unmanned aerial vehicles, forming a maximum connection outer surrounding stereogram of the unmanned aerial vehicles, identifying the unmanned aerial vehicles on an outer surrounding surface in the maximum connection outer surrounding stereogram, extracting number information of any unmanned aerial vehicle on the outer surrounding surface and recording the number information as Id Identifying and I on the outer peripheral surfaced Any two unmanned aerial vehicles connected in a straight line are respectively marked as Ie And If Wherein d, e and f represent the unmanned aerial vehicle number and d +.e +.f, respectively; i is as followsd Are angular apexes, respectively with Id To Ie Straight line I betweend Ie And Id To If Straight line I betweend If Calculating two-dimensional sector angles for both sides of the angle; in straight line If Ie Mid-point to Id The connecting straight line is a rotating shaft, and the two-dimensional fan shape is rotated for one circle according to the two-dimensional fan shape angle to form a cone; respectively by Id Pointing Ie Direction and Id Pointing If Extending the two-dimensional fan-shaped direction to form a cone extending range, and taking the cone extending range as the unmanned plane Id Is used for adjusting the transmission parameters of an interference source and aiming at the unmanned plane Id Is limited by the coverage range of the interference signals, and the unmanned plane I after the limitation is carried outd Is recorded as unmanned plane Id Is a real interference signal coverage area;
the safe communication dynamic region generation unit is used for acquiring real interference signal coverage areas of all unmanned aerial vehicles on an outer surrounding surface in the maximum connection outer surrounding stereogram, constructing an unmanned aerial vehicle networking cooperative interference safe communication dynamic region model, and recording the superposition coverage areas of the real interference signal coverage areas of all unmanned aerial vehicles as safe communication dynamic regions.
Further, the unmanned aerial vehicle dynamic collaboration module further comprises a dynamic scheduling judgment unit and a dynamic scheduling decision unit;
the dynamic scheduling judging unit is used for identifying the number of unmanned aerial vehicles in the safety communication dynamic area and determining the number of unmanned aerial vehicles participating in the temporary task according to the temporary task requirement; if the number of unmanned aerial vehicles in the safe communication dynamic area is greater than or equal to the number of unmanned aerial vehicles participating in the temporary task, keeping t1 From time to t2 The unmanned aerial vehicle network air area position array type between the moments, otherwise, dynamically scheduling all unmanned aerial vehicles in the single dispatch air area;
the dynamic scheduling decision listWhen dynamically scheduling, determining the lack quantity of unmanned aerial vehicles participating in the temporary task according to the quantity of unmanned aerial vehicles in the safe communication dynamic area and the quantity of unmanned aerial vehicles participating in the temporary task, wherein the quantity of unmanned aerial vehicles dynamically scheduled is equal to the lack quantity; starting a first dynamic scheduling decision, scheduling the areas except the safe communication dynamic area in the instruction area, determining the scheduling number of the unmanned aerial vehicle in the instruction area, and starting a second dynamic scheduling decision if the scheduling number does not meet the requirement of the lack of the number; when a second dynamic scheduling decision is started, scheduling unmanned aerial vehicles in a non-instruction area, and collecting U according to the number of the non-instruction area2 Determining the scheduling number of the unmanned aerial vehicles in a non-instruction area, wherein the scheduling number of the unmanned aerial vehicles in the non-instruction area is equal to the difference between the lack number and the scheduling number of the unmanned aerial vehicles in the instruction area; when a first dynamic scheduling decision is started and a second dynamic scheduling decision is started to schedule the unmanned aerial vehicle, the unmanned aerial vehicle networking communication link dynamic connection relation of the instruction area and the unmanned aerial vehicle networking communication link dynamic connection relation of the non-instruction area are called V, any one unmanned aerial vehicle networking communication link dynamic connection relation participating in scheduling in the unmanned aerial vehicle networking communication link dynamic connection relation of the instruction area and the unmanned aerial vehicle networking communication link dynamic connection relation of the non-instruction area is called I, and any one unmanned aerial vehicle participating in scheduling in the V is called Vy Wherein y is the number of the unmanned aerial vehicle, and calculating a dynamic scheduling influence value; and respectively calculating the dynamic scheduling influence values of all the unmanned aerial vehicle networking communication links in the instruction area and all the unmanned aerial vehicle networking communication links in the non-instruction area, sequentially arranging the dynamic scheduling influence values in order from small to large, and sequentially selecting and scheduling according to the arrangement during dynamic scheduling until the shortage is met.
A unmanned aerial vehicle safety communication method based on cooperative interference comprises the following steps:
step S100: acquiring position information of all unmanned aerial vehicles in a single dispatch air zone, tracking the position information of all unmanned aerial vehicles in the single dispatch air zone in real time, dividing dynamic zones in the single dispatch air zone, and generating a double dynamic zone set of the unmanned aerial vehicles based on a dynamic zone division result, wherein the double dynamic zone comprises an instruction zone and a non-instruction zone;
step S200: carrying out radar communication link node division on all unmanned aerial vehicles in the single dispatch air area, constructing a unmanned aerial vehicle networking communication link dynamic model based on a radar communication link node division result, and carrying out networking communication link dynamic identification on all unmanned aerial vehicles in the single dispatch air area;
step S300: based on a networking communication link dynamic identification result, constructing an unmanned aerial vehicle networking cooperative interference safety communication dynamic region model, and generating a safety communication dynamic region;
step S400: and dynamically scheduling all unmanned aerial vehicles in the single dispatch air area based on the safe communication dynamic area.
Further, the specific implementation process of the step S100 includes:
Step S101: real-time tracking is carried out on all unmanned aerial vehicle position information of a single dispatch aerial region to form real-time dynamic position tracking information of each unmanned aerial vehicle, dynamic region division is carried out on the single dispatch aerial region according to the real-time dynamic position tracking information of each unmanned aerial vehicle, the number of unmanned aerial vehicles in an instruction region in the single dispatch aerial region and the number of unmanned aerial vehicles in a non-instruction region in the single dispatch aerial region are determined, the single dispatch aerial region is an integral aerial region of a single dispatch task, the instruction region is a temporary scheduling local aerial region in the integral aerial region of the single dispatch task, and the non-instruction region is a local aerial region except the instruction region in the integral aerial region of the single dispatch task;
step S102: according to the number of unmanned aerial vehicles in the instruction area and the number of unmanned aerial vehicles in the non-instruction area, generating unified number information of all unmanned aerial vehicles in the single dispatch air area, extracting the number information of the unmanned aerial vehicles in the instruction area according to the unified number information, and marking a number set of the generated instruction area as U1 The unmanned aerial vehicle in the non-instruction area is subjected to number information extraction, and a non-instruction area number set is generated and marked as U2
According to the method, in the air area, the position information of the unmanned aerial vehicle is dynamically changed, and meanwhile, different dispatching tasks can send out instruction requirements changing at any time to the unmanned aerial vehicle, so that the air area is dynamically divided according to the position change information of the unmanned aerial vehicle in the single dispatching air area and the dynamic instruction requirements, the unmanned aerial vehicle in the instruction area is in response to the single task requirements, and the unmanned aerial vehicle in the non-instruction area is only temporarily in a silence state;
further, the specific implementation process of the step S200 includes:
step S201: each unmanned aerial vehicle in a single dispatch empty area is regarded as a radar communication link node, and the radar communication link node comprises a source node, a relay node and a target node, wherein the source node, the relay node and the target node are used for transmitting the traffic signal according to t1 From time to t2 The temporary task requirements between the moments are dynamically adjusted and determined, the source node is a radar communication transmitting source, the target node is a radar communication receiving source, and the relay node receives the radar communication transmitting information of the source node and sends the received radar communication transmitting information of the source node to the target node;
the dynamic adjustment determination is performed in the following manner:
According to t1 From time to t2 Temporary task requirements between moments, unmanned plane Ia Marking as a source node, and enabling the unmanned plane I to beb Marked as target node, unmanned plane Ia And unmanned plane Ib The point-to-point radar communication is carried out between the two, a and b respectively represent unmanned aerial vehicle numbers, and a is not equal to b; if unmanned plane Ia And unmanned plane Ib The radar communication distance between the unmanned plane I and the unmanned plane I meets the radar communication distance limiting conditiona And unmanned plane Ib Direct point-to-point communication is carried out between the unmanned plane Ia And unmanned plane Ib If the radar communication distance between the unmanned aerial vehicle I and the unmanned aerial vehicle I does not meet the radar communication distance limiting conditiona And unmanned plane Ib Indirect communication is carried out between the two through relay node connection;
step S202: constructing a communication link dynamic model of the unmanned aerial vehicle network, and setting t for all unmanned aerial vehicles in a single dispatch empty area1 From time to t2 The method comprises the steps of dynamically adjusting and determining moments, carding radar communication links to form a dynamic connection relation of unmanned aerial vehicle networking communication links, wherein the dynamic connection relation of the unmanned aerial vehicle networking communication links comprises a direct communication connection relation and an indirect communication connection relation, and the direct communication connection relation is expressed as Ia →Ib Wherein Ia And Ib The indirect communication connection relationship is expressed as Ia →I1 →Ia →...→Ic →Ib Wherein I1 、Ia 、...、Ic The first relay node and the second relay node are respectively 1 st, 2 nd, c relay nodes, a not equal to b not equal to c, and c represents unmanned aerial vehicle numbers; and carrying out dynamic identification on networking communication links of all unmanned aerial vehicles in the single dispatch air area according to the dynamic connection relation of the networking communication links of the unmanned aerial vehicles.
According to the method, in the dynamic position change of the unmanned aerial vehicle, a dynamic link relation is necessarily generated due to the limitation of the distance and the change of task requirements, and the dynamic link relation can generate a dynamic data link interference matrix, so that the networking communication link is dynamically identified, and the dynamic link relation is distinguished;
further, the implementation process of the step S300 includes:
step S301: splitting all radar communication link nodes in a single dispatch empty region based on a dynamic identification result of a networking communication link, extracting target nodes, and generating a target node set M from the extracted target nodes;
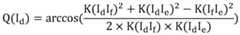
step S302: according to the instruction area number set and the target node set, t is calculated in the instruction area1 From time to t2 The temporary tasks between moments require the assigned unmanned aerial vehicles to be identified, a temporary assigned unmanned aerial vehicle set is generated and recorded as L, and L=U1 N is M; constructing a three-dimensional coordinate system of a single dispatch air area, and temporarily assigning no unmanned aerial vehicle according to real-time dynamic position tracking information of the unmanned aerial vehicleAll unmanned aerial vehicles in the unmanned aerial vehicle set are connected in a point-to-point straight line mode, a maximum connection outer surrounding perspective view of the unmanned aerial vehicles is formed, unmanned aerial vehicles on an outer surrounding surface in the maximum connection outer surrounding perspective view are identified, and number information of any unmanned aerial vehicle on the outer surrounding surface is extracted and recorded as Id Identifying and I on the outer peripheral surfaced Any two unmanned aerial vehicles connected in a straight line are respectively marked as Ie And If Wherein d, e and f represent the unmanned aerial vehicle number and d +.e +.f, respectively; i is as followsd Are angular apexes, respectively with Id To Ie Straight line I betweend Ie And Id To If Straight line I betweend If For both sides of the angle, a two-dimensional fan angle is calculated, denoted as Q (Id ) The specific calculation formula is as follows:
Figure BDA0004137625740000061
wherein I isf Ie Representation If To Ie Straight line between, K (Id If )、K(Id Ie ) And K (I)f Ie ) Respectively represent straight lines Id If Straight line Id Ie And straight line If Ie Is a length of (2);
step S303: in straight line If Ie Mid-point to Id The connecting straight line is a rotating shaft, and the two-dimensional fan shape is rotated for one circle according to the two-dimensional fan shape angle to form a cone; respectively by Id Pointing Ie Direction and Id Pointing If Extending the two-dimensional fan-shaped direction to form a cone extending range, and taking the cone extending range as the unmanned plane Id Is used for adjusting the transmission parameters of an interference source and aiming at the unmanned plane Id Is limited by the coverage range of the interference signals, and the unmanned plane I after the limitation is carried outd Is recorded as unmanned plane Id Is a real interference signal coverage area;
step S304: and acquiring real interference signal coverage areas of all unmanned aerial vehicles on an outer surrounding surface in the maximum connection outer surrounding perspective view, constructing a unmanned aerial vehicle networking cooperative interference safety communication dynamic area model, and recording the superposition coverage areas of the real interference signal coverage areas of all unmanned aerial vehicles as a safety communication dynamic area.
According to the method, the instruction area is an area directly receiving task scheduling, the situation of the instruction area is the most tense and the most changeable, and the safety communication of the instruction area needs to be enhanced and protected to ensure the completion of the task; in the instruction area, the target node directly receives task allocation, and then a maximum safe communication dynamic area is constructed according to the position information of the target node, the working parameters of the interference source are adjusted to form a real interference signal coverage area, and the safe communication dynamic area can be flexibly adjusted by flexibly adjusting the parameters;
Further, the specific implementation process of the step S400 includes:
step S401: identifying the number of unmanned aerial vehicles in a safe communication dynamic area, and determining the number of unmanned aerial vehicles participating in a temporary task according to the temporary task requirement; if the number of unmanned aerial vehicles in the safe communication dynamic area is greater than or equal to the number of unmanned aerial vehicles participating in the temporary task, keeping t1 From time to t2 The unmanned aerial vehicle network air area position array type between the moments, otherwise, dynamically scheduling all unmanned aerial vehicles in the single dispatch air area;
step S402: when in dynamic scheduling, determining the lack of unmanned aerial vehicles participating in the temporary task according to the number of unmanned aerial vehicles in the safe communication dynamic area and the number of unmanned aerial vehicles participating in the temporary task, wherein the number of unmanned aerial vehicles in the dynamic scheduling is equal to the lack; starting a first dynamic scheduling decision, scheduling the areas except the safe communication dynamic area in the instruction area, determining the scheduling number of the unmanned aerial vehicle in the instruction area, and starting a second dynamic scheduling decision if the scheduling number does not meet the requirement of the lack of the number; when a second dynamic scheduling decision is started, scheduling unmanned aerial vehicles in a non-instruction area, and collecting U according to the number of the non-instruction area2 Determining the scheduling number of the unmanned aerial vehicles in the non-instruction area, wherein the scheduling number of the unmanned aerial vehicles in the non-instruction area is equal to the lack numberThe difference between the amount and the number of unmanned aerial vehicle schedules in the instruction area;
step S403: when a first dynamic scheduling decision is started and a second dynamic scheduling decision is started to schedule the unmanned aerial vehicle, the unmanned aerial vehicle networking communication link dynamic connection relation of the instruction area and the unmanned aerial vehicle networking communication link dynamic connection relation of the non-instruction area are called V, any one unmanned aerial vehicle networking communication link dynamic connection relation participating in scheduling in the unmanned aerial vehicle networking communication link dynamic connection relation of the instruction area and the unmanned aerial vehicle networking communication link dynamic connection relation of the non-instruction area is called I, and any one unmanned aerial vehicle participating in scheduling in the V is called Vy Wherein y is the number of the unmanned aerial vehicle, and the dynamic scheduling influence value is calculated according to the following specific calculation formula:
Figure BDA0004137625740000081
wherein H (V) represents a dynamic scheduling impact value of V, PV Representing a set of unmanned aerial vehicles participating in scheduling in V, R (PV ) Representing PV The number of elements, R (V) represents the total number of unmanned aerial vehicles in V, S (I)y ) Representation Iy Distance to the center point of the dynamic area of the secure communication;
calculating dynamic scheduling influence values of all the unmanned aerial vehicle networking communication links in the instruction area and all the unmanned aerial vehicle networking communication links in the non-instruction area respectively, arranging the dynamic scheduling influence values in sequence from small to large, and selecting and scheduling in sequence according to the arrangement during dynamic scheduling until the shortage is met;
Once the safe communication dynamic area is formed, the integrity of the array type is ensured to the maximum degree when the unmanned aerial vehicle is scheduled according to the temporary task requirement so as to cope with changeable air situations; the integrity of the array is ensured to the maximum extent, two dimensions of the integrity of the dynamic connection relation of the communication link of the unmanned aerial vehicle network and the scheduling distance are considered, and the integrity of the dynamic connection relation of the communication link of the unmanned aerial vehicle network is ensured while the fastest scheduling is ensured according to the scheduling distance; the larger the dynamic scheduling impact value is, the greater the damage degree to the integrity is when the temporary task is completed, and the more threat risks are further existing.
Compared with the prior art, the invention has the following beneficial effects: according to the unmanned aerial vehicle safety communication system and method based on cooperative interference, all unmanned aerial vehicle position information of a single dispatch air area is tracked in real time, so that the single dispatch air area is dynamically divided into an instruction area and a non-instruction area, and the situation of the instruction requirement of the unmanned aerial vehicle position dynamic change and the change at any time is met; carrying out radar communication link node division on the unmanned aerial vehicle, searching for communication link relation, and constructing a communication link dynamic model of the unmanned aerial vehicle network, so as to form a dynamic link relation and strengthen the persistence of a dynamic data link interference array; constructing a unmanned aerial vehicle networking cooperative interference safe communication dynamic area model, and generating a safe communication dynamic area to cope with changeable air situations and strengthen the protection of communication transmission; and then, all unmanned aerial vehicles in the single dispatch air area are dynamically scheduled to form a maximized safe maneuvering area, the fastest scheduling is ensured, meanwhile, the integrity of the dynamic connection relation of the communication links of the unmanned aerial vehicle networking is ensured to the greatest extent, and the threat risk is reduced.
Drawings
The accompanying drawings are included to provide a further understanding of the invention and are incorporated in and constitute a part of this specification, illustrate the invention and together with the embodiments of the invention, serve to explain the invention. In the drawings:
fig. 1 is a schematic structural diagram of a cooperative interference-based unmanned aerial vehicle secure communication system of the present invention;
fig. 2 is a schematic step diagram of a method for secure communication of unmanned aerial vehicle based on cooperative interference.
Detailed Description
The following description of the embodiments of the present invention will be made clearly and completely with reference to the accompanying drawings, in which it is apparent that the embodiments described are only some embodiments of the present invention, but not all embodiments. All other embodiments, which can be made by those skilled in the art based on the embodiments of the invention without making any inventive effort, are intended to be within the scope of the invention.
Referring to fig. 1-2, the present invention provides the following technical solutions:
referring to fig. 1, in a first embodiment: provided is a cooperative interference-based unmanned aerial vehicle secure communication system, comprising: the system comprises a dual-dynamic region construction module, an unmanned aerial vehicle networking communication link dynamic identification module, a safety communication dynamic region model construction module and an unmanned aerial vehicle dynamic cooperation module;
The double-dynamic-area construction module acquires the position information of all unmanned aerial vehicles in the single dispatch air area, tracks the position information of all unmanned aerial vehicles in the single dispatch air area in real time, performs dynamic area division on the single dispatch air area, generates a double-dynamic-area set on the basis of a dynamic area division result, and comprises an instruction area and a non-instruction area;
the double dynamic region construction module further comprises an air region dynamic dividing unit and a double dynamic region set generating unit;
the aerial region dynamic dividing unit is used for carrying out real-time tracking on the position information of all unmanned aerial vehicles in the single dispatch aerial region to form real-time dynamic position tracking information of each unmanned aerial vehicle, carrying out dynamic region division on the single dispatch aerial region according to the real-time dynamic position tracking information of each unmanned aerial vehicle, determining the number of unmanned aerial vehicles in an instruction region in the single dispatch aerial region and the number of unmanned aerial vehicles in a non-instruction region in the single dispatch aerial region, wherein the single dispatch aerial region is the whole aerial region of the single dispatch task, the instruction region is a temporary dispatch local aerial region in the whole aerial region of the single dispatch task, and the non-instruction region is a local aerial region except the instruction region in the whole aerial region of the single dispatch task;
The double-dynamic-area set generating unit generates unified numbering information for all unmanned aerial vehicles in a single dispatch air area according to the number of unmanned aerial vehicles in the instruction area and the number of unmanned aerial vehicles in the non-instruction areaThe unmanned aerial vehicle in the instruction area is subjected to number information extraction according to the unified number information, and a number set of the generated instruction area is marked as U1 The unmanned aerial vehicle in the non-instruction area is subjected to number information extraction, and a non-instruction area number set is generated and marked as U2
The unmanned aerial vehicle networking communication link dynamic identification module is used for carrying out radar communication link node division on all unmanned aerial vehicles in the single dispatch air area, constructing an unmanned aerial vehicle networking communication link dynamic model based on a radar communication link node division result, and carrying out networking communication link dynamic identification on all unmanned aerial vehicles in the single dispatch air area;
the unmanned aerial vehicle networking communication link dynamic identification module further comprises a node dynamic adjustment determination unit and an unmanned aerial vehicle networking communication link dynamic model construction unit;
the node dynamic adjustment determining unit regards each unmanned aerial vehicle in the single dispatch empty area as a radar communication link node, and the radar communication link node comprises a source node, a relay node and a target node, wherein the source node, the relay node and the target node are determined according to t1 From time to t2 The temporary task requirements between the moments are dynamically adjusted and determined, a source node is a radar communication transmitting source, a target node is a radar communication receiving source, a relay node receives radar communication transmitting information of the source node and sends the received radar communication transmitting information of the source node to the target node;
the dynamic adjustment determination is performed in the following manner:
according to t1 From time to t2 Temporary task requirements between moments, unmanned plane Ia Marking as a source node, and enabling the unmanned plane I to beb Marked as target node, unmanned plane Ia And unmanned plane Ib The point-to-point radar communication is carried out between the two, a and b respectively represent unmanned aerial vehicle numbers, and a is not equal to b; if unmanned plane Ia And unmanned plane Ib The radar communication distance between the unmanned plane I and the unmanned plane I meets the radar communication distance limiting conditiona And unmanned plane Ib Direct point-to-point communication is carried out between the unmanned plane Ia And unmanned plane Ib If the radar communication distance between the unmanned aerial vehicle I and the unmanned aerial vehicle I does not meet the radar communication distance limiting conditiona And unmanned plane Ib Indirect communication is carried out between the two through relay node connection;
the unmanned aerial vehicle network communication link dynamic model building unit builds an unmanned aerial vehicle network communication link dynamic model, and t is set for all unmanned aerial vehicles in a single dispatch empty area1 From time to t2 The dynamic adjustment and determination are carried out between moments, radar communication links are combed, an unmanned aerial vehicle networking communication link dynamic connection relationship is formed, the unmanned aerial vehicle networking communication link dynamic connection relationship comprises a direct communication connection relationship and an indirect communication connection relationship, and the direct communication connection relationship is expressed as Ia →Ib Wherein Ia And Ib The indirect communication connection relationship is expressed as Ia →I1 →Ia →...→Ic →Ib Wherein I1 、Ia 、...、Ic The first relay node and the second relay node are respectively 1 st, 2 nd, c relay nodes, a not equal to b not equal to c, and c represents unmanned aerial vehicle numbers; according to the dynamic connection relation of the unmanned aerial vehicle networking communication links, carrying out networking communication link dynamic identification on all unmanned aerial vehicles in a single dispatch air area;
the safety communication dynamic region model building module is used for building a unmanned aerial vehicle networking cooperation interference safety communication dynamic region model based on a networking communication link dynamic identification result to generate a safety communication dynamic region;
the safe communication dynamic region model building module further comprises a real interference signal coverage range acquisition unit and a safe communication dynamic region generation unit;
the real interference signal coverage area acquisition unit splits all radar communication link nodes in the single dispatch empty area and extracts target nodes based on a dynamic identification result of the networking communication link, and the extracted target nodes generate a target node set M; according to the instruction area number set and the target node set, t is calculated in the instruction area1 From time to t2 The unmanned aerial vehicle with temporary task assignment between moments is required to be identified, and temporary task is generatedAssign unmanned set, note L, and l=u1 N is M; constructing a three-dimensional coordinate system of a single dispatch aerial region, performing point-to-point linear connection on all unmanned aerial vehicles in a temporary assignment unmanned aerial vehicle set according to real-time dynamic position tracking information of the unmanned aerial vehicles, forming a maximum connection outer surrounding stereogram of the unmanned aerial vehicles, identifying the unmanned aerial vehicles on an outer surrounding surface in the maximum connection outer surrounding stereogram, extracting number information of any unmanned aerial vehicle on the outer surrounding surface and recording the number information as Id Identifying and I on the outer peripheral surfaced Any two unmanned aerial vehicles connected in a straight line are respectively marked as Ie And If Wherein d, e and f represent the unmanned aerial vehicle number and d +.e +.f, respectively; i is as followsd Are angular apexes, respectively with Id To Ie Straight line I betweend Ie And Id To If Straight line I betweend If Calculating two-dimensional sector angles for both sides of the angle; in straight line If Ie Mid-point to Id The connecting straight line is a rotating shaft, and the two-dimensional fan shape is rotated for one circle according to the two-dimensional fan shape angle to form a cone; respectively by Id Pointing Ie Direction and Id Pointing If Extending the two-dimensional fan-shaped direction to form a cone extending range, and taking the cone extending range as the unmanned plane Id Is used for adjusting the transmission parameters of an interference source and aiming at the unmanned plane Id Is limited by the coverage range of the interference signals, and the unmanned plane I after the limitation is carried outd Is recorded as unmanned plane Id Is a real interference signal coverage area;
the safe communication dynamic region generation unit is used for acquiring real interference signal coverage areas of all unmanned aerial vehicles on an outer surrounding surface in the maximum connection outer surrounding stereogram, constructing an unmanned aerial vehicle networking cooperative interference safe communication dynamic region model, and recording the superposition coverage areas of the real interference signal coverage areas of all unmanned aerial vehicles as safe communication dynamic regions;
the unmanned aerial vehicle dynamic cooperation module is used for dynamically scheduling all unmanned aerial vehicles in a single dispatch air area based on the safe communication dynamic area;
the unmanned aerial vehicle dynamic collaboration module further comprises a dynamic scheduling judging unit and a dynamic scheduling decision unit;
the dynamic scheduling judging unit is used for identifying the number of unmanned aerial vehicles in the safety communication dynamic area and determining the number of unmanned aerial vehicles participating in the temporary task according to the temporary task requirement; if the number of unmanned aerial vehicles in the safe communication dynamic area is greater than or equal to the number of unmanned aerial vehicles participating in the temporary task, keeping t1 From time to t2 The unmanned aerial vehicle network air area position array type between the moments, otherwise, dynamically scheduling all unmanned aerial vehicles in the single dispatch air area;
the dynamic scheduling decision unit is used for determining the lack of unmanned aerial vehicles participating in the temporary task according to the number of unmanned aerial vehicles in the safety communication dynamic area and the number of unmanned aerial vehicles participating in the temporary task during dynamic scheduling, and the number of unmanned aerial vehicles for dynamic scheduling is equal to the lack; starting a first dynamic scheduling decision, scheduling the areas except the safe communication dynamic area in the instruction area, determining the scheduling number of the unmanned aerial vehicle in the instruction area, and starting a second dynamic scheduling decision if the scheduling number does not meet the requirement of the lack of the number; when a second dynamic scheduling decision is started, scheduling unmanned aerial vehicles in a non-instruction area, and collecting U according to the number of the non-instruction area2 Determining the scheduling number of the unmanned aerial vehicles in a non-instruction area, wherein the scheduling number of the unmanned aerial vehicles in the non-instruction area is equal to the difference between the lack number and the scheduling number of the unmanned aerial vehicles in the instruction area; when a first dynamic scheduling decision is started and a second dynamic scheduling decision is started to schedule the unmanned aerial vehicle, the unmanned aerial vehicle networking communication link dynamic connection relation of the instruction area and the unmanned aerial vehicle networking communication link dynamic connection relation of the non-instruction area are called V, any one unmanned aerial vehicle networking communication link dynamic connection relation participating in scheduling in the unmanned aerial vehicle networking communication link dynamic connection relation of the instruction area and the unmanned aerial vehicle networking communication link dynamic connection relation of the non-instruction area is called I, and any one unmanned aerial vehicle participating in scheduling in the V is called Vy Wherein y is the number of the unmanned aerial vehicle, and calculating a dynamic scheduling influence value; dynamic connection relation of all unmanned aerial vehicle networking communication links for calculating instruction areas and non-instruction areas respectivelyThe dynamic scheduling influence values of all the dynamic connection relations of the unmanned aerial vehicle networking communication links are sequentially arranged from small to large, and when in dynamic scheduling, selective scheduling is sequentially carried out according to the arrangement until the lack of quantity is met.
Referring to fig. 2, in the second embodiment: the unmanned aerial vehicle safety communication method based on cooperative interference comprises the following steps:
acquiring position information of all unmanned aerial vehicles in a single dispatch air zone, tracking the position information of all unmanned aerial vehicles in the single dispatch air zone in real time, dividing dynamic zones in the single dispatch air zone, and generating a double dynamic zone set of the unmanned aerial vehicles based on a dynamic zone division result, wherein the double dynamic zone comprises an instruction zone and a non-instruction zone;
real-time tracking is conducted on all unmanned aerial vehicle position information of the single dispatch aerial region, real-time dynamic position tracking information of each unmanned aerial vehicle is formed, dynamic region division is conducted on the single dispatch aerial region according to the real-time dynamic position tracking information of each unmanned aerial vehicle, the number of unmanned aerial vehicles in an instruction region in the single dispatch aerial region and the number of unmanned aerial vehicles in a non-instruction region in the single dispatch aerial region are determined, the single dispatch aerial region is an integral aerial region of a single dispatch task, the instruction region is a temporary scheduling local aerial region in the integral aerial region of the single dispatch task, and the non-instruction region is a local aerial region except the instruction region in the integral aerial region of the single dispatch task;
According to the number of unmanned aerial vehicles in the instruction area and the number of unmanned aerial vehicles in the non-instruction area, generating unified number information of all unmanned aerial vehicles in the single dispatch air area, extracting the number information of the unmanned aerial vehicles in the instruction area according to the unified number information, and marking a number set of the generated instruction area as U1 The unmanned aerial vehicle in the non-instruction area is subjected to number information extraction, and a non-instruction area number set is generated and marked as U2
Carrying out radar communication link node division on all unmanned aerial vehicles in the single dispatch air area, constructing a unmanned aerial vehicle networking communication link dynamic model based on a radar communication link node division result, and carrying out networking communication link dynamic identification on all unmanned aerial vehicles in the single dispatch air area;
each unmanned aerial vehicle in the single dispatch empty area is regarded as a radar communication link node, and the radar communication link node comprises a source node, a relay node and a target node, wherein the source node, the relay node and the target node are according to t1 From time to t2 The temporary task requirements between the moments are dynamically adjusted and determined, a source node is a radar communication transmitting source, a target node is a radar communication receiving source, a relay node receives radar communication transmitting information of the source node and sends the received radar communication transmitting information of the source node to the target node;
The dynamic adjustment determination is performed in the following manner:
according to t1 From time to t2 Temporary task requirements between moments, unmanned plane Ia Marking as a source node, and enabling the unmanned plane I to beb Marked as target node, unmanned plane Ia And unmanned plane Ib The point-to-point radar communication is carried out between the two, a and b respectively represent unmanned aerial vehicle numbers, and a is not equal to b; if unmanned plane Ia And unmanned plane Ib The radar communication distance between the unmanned plane I and the unmanned plane I meets the radar communication distance limiting conditiona And unmanned plane Ib Direct point-to-point communication is carried out between the unmanned plane Ia And unmanned plane Ib If the radar communication distance between the unmanned aerial vehicle I and the unmanned aerial vehicle I does not meet the radar communication distance limiting conditiona And unmanned plane Ib Indirect communication is carried out between the two through relay node connection;
for example, t1 Time sum t2 The time can be intelligently adjusted according to the repetition period of radar communication transmission, t1 Adjusted to the starting time of one period, t2 The end time of one period is adjusted, so that a switch for transmitting the interference signals is intelligently adjusted, and the adjacent interference signals in the repeated period are not from the same interference source, and the same position in the next period is not the interference signal of the previous period;
constructing a communication link dynamic model of the unmanned aerial vehicle network, and setting t for all unmanned aerial vehicles in a single dispatch empty area1 From time to t2 The dynamic adjustment and determination are carried out between moments, radar communication links are combed, an unmanned aerial vehicle networking communication link dynamic connection relationship is formed, the unmanned aerial vehicle networking communication link dynamic connection relationship comprises a direct communication connection relationship and an indirect communication connection relationship, and the direct communication connection relationship is expressed as Ia →Ib Wherein Ia And Ib The indirect communication connection relationship is expressed as Ia →I1 →Ia →...→Ic →Ib Wherein I1 、Ia 、...、Ic The first relay node and the second relay node are respectively 1 st, 2 nd, c relay nodes, a not equal to b not equal to c, and c represents unmanned aerial vehicle numbers; according to the dynamic connection relation of the unmanned aerial vehicle networking communication links, carrying out networking communication link dynamic identification on all unmanned aerial vehicles in a single dispatch air area;
based on a networking communication link dynamic identification result, constructing an unmanned aerial vehicle networking cooperative interference safety communication dynamic region model, and generating a safety communication dynamic region;
splitting all radar communication link nodes in a single dispatch empty region, extracting target nodes, and generating a target node set M from the extracted target nodes;
according to the instruction area number set and the target node set, t is calculated in the instruction area1 From time to t2 The temporary tasks between moments require the assigned unmanned aerial vehicles to be identified, a temporary assigned unmanned aerial vehicle set is generated and recorded as L, and L=U1 N is M; constructing a three-dimensional coordinate system of a single dispatch aerial region, performing point-to-point linear connection on all unmanned aerial vehicles in a temporary assignment unmanned aerial vehicle set according to real-time dynamic position tracking information of the unmanned aerial vehicles, forming a maximum connection outer surrounding stereogram of the unmanned aerial vehicles, identifying the unmanned aerial vehicles on an outer surrounding surface in the maximum connection outer surrounding stereogram, extracting number information of any unmanned aerial vehicle on the outer surrounding surface and recording the number information as Id Identifying and I on the outer peripheral surfaced Any two frames connected in straight lineUnmanned aerial vehicles and respectively marked as Ie And If Wherein d, e and f represent the unmanned aerial vehicle number and d +.e +.f, respectively; i is as followsd Are angular apexes, respectively with Id To Ie Straight line I betweend Ie And Id To If Straight line I betweend If For both sides of the angle, a two-dimensional fan angle is calculated, denoted as Q (Id ) The specific calculation formula is as follows:
Figure BDA0004137625740000141
wherein I isf Ie Representation If To Ie Straight line between, K (Id If )、K(Id Ie ) And K (I)f Ie ) Respectively represent straight lines Id If Straight line Id Ie And straight line If Ie Is a length of (2);
in straight line If Ie Mid-point to Id The connecting straight line is a rotating shaft, and the two-dimensional fan shape is rotated for one circle according to the two-dimensional fan shape angle to form a cone; respectively by Id Pointing Ie Direction and Id Pointing If Extending the two-dimensional fan-shaped direction to form a cone extending range, and taking the cone extending range as the unmanned plane Id Is used for adjusting the transmission parameters of an interference source and aiming at the unmanned plane Id Is limited by the coverage range of the interference signals, and the unmanned plane I after the limitation is carried outd Is recorded as unmanned plane Id Is a real interference signal coverage area;
acquiring real interference signal coverage areas of all unmanned aerial vehicles on an outer surrounding surface in a maximum connection outer surrounding perspective view, constructing an unmanned aerial vehicle networking cooperative interference safety communication dynamic area model, and recording the superposition coverage areas of the real interference signal coverage areas of all unmanned aerial vehicles as a safety communication dynamic area;
dynamically scheduling all unmanned aerial vehicles in the single dispatch air area based on the safe communication dynamic area;
identifying the number of unmanned aerial vehicles in a safe communication dynamic area, and determining the number of unmanned aerial vehicles participating in a temporary task according to the temporary task requirement; if the number of unmanned aerial vehicles in the safe communication dynamic area is greater than or equal to the number of unmanned aerial vehicles participating in the temporary task, keeping t1 From time to t2 The unmanned aerial vehicle network air area position array type between the moments, otherwise, dynamically scheduling all unmanned aerial vehicles in the single dispatch air area;
when in dynamic scheduling, determining the lack of unmanned aerial vehicles participating in the temporary task according to the number of unmanned aerial vehicles in the safe communication dynamic area and the number of unmanned aerial vehicles participating in the temporary task, wherein the number of unmanned aerial vehicles in the dynamic scheduling is equal to the lack; starting a first dynamic scheduling decision, scheduling the areas except the safe communication dynamic area in the instruction area, determining the scheduling number of the unmanned aerial vehicle in the instruction area, and starting a second dynamic scheduling decision if the scheduling number does not meet the requirement of the lack of the number; when a second dynamic scheduling decision is started, scheduling unmanned aerial vehicles in a non-instruction area, and collecting U according to the number of the non-instruction area2 Determining the scheduling number of the unmanned aerial vehicles in a non-instruction area, wherein the scheduling number of the unmanned aerial vehicles in the non-instruction area is equal to the difference between the lack number and the scheduling number of the unmanned aerial vehicles in the instruction area;
when a first dynamic scheduling decision is started and a second dynamic scheduling decision is started to schedule the unmanned aerial vehicle, the unmanned aerial vehicle networking communication link dynamic connection relation of the instruction area and the unmanned aerial vehicle networking communication link dynamic connection relation of the non-instruction area are called V, any one unmanned aerial vehicle networking communication link dynamic connection relation participating in scheduling in the unmanned aerial vehicle networking communication link dynamic connection relation of the instruction area and the unmanned aerial vehicle networking communication link dynamic connection relation of the non-instruction area is called I, and any one unmanned aerial vehicle participating in scheduling in the V is called Vy Wherein y is the number of the unmanned aerial vehicle, and the dynamic scheduling influence value is calculated according to the following specific calculation formula:
Figure BDA0004137625740000151
wherein H (V) represents a dynamic scheduling impact value of V, PV Representing a set of unmanned aerial vehicles participating in scheduling in V, R (PV ) Representing PV The number of elements, R (V) represents the total number of unmanned aerial vehicles in V, S (I)y ) Representation Iy Distance to the center point of the dynamic area of the secure communication;
calculating dynamic scheduling influence values of all the unmanned aerial vehicle networking communication links in the instruction area and all the unmanned aerial vehicle networking communication links in the non-instruction area respectively, arranging the dynamic scheduling influence values in sequence from small to large, and selecting and scheduling in sequence according to the arrangement during dynamic scheduling until the shortage is met;
For example, for a dynamic connection relationship of one unmanned aerial vehicle network communication link, there are 1 unmanned aerial vehicles participating in scheduling in the link, the total number of unmanned aerial vehicles in the link is 5, and the distance from the unmanned aerial vehicle participating in scheduling to the central point of the safe communication dynamic area is 60km, then the dynamic scheduling influence value of the link is 1/5×60=12.
It is noted that relational terms such as first and second, and the like are used solely to distinguish one entity or action from another entity or action without necessarily requiring or implying any actual such relationship or order between such entities or actions. Moreover, the terms "comprises," "comprising," or any other variation thereof, are intended to cover a non-exclusive inclusion, such that a process, method, article, or apparatus that comprises a list of elements does not include only those elements but may include other elements not expressly listed or inherent to such process, method, article, or apparatus.
Finally, it should be noted that: the foregoing description is only a preferred embodiment of the present invention and is not intended to limit the present invention, but although the present invention has been described in detail with reference to the foregoing embodiments, it will be apparent to those skilled in the art that modifications may be made to the technical solutions described in the foregoing embodiments, or equivalents may be substituted for some of the technical features thereof. Any modification, equivalent replacement, improvement, etc. made within the spirit and principle of the present invention should be included in the protection scope of the present invention.

Claims (10)

1. The unmanned aerial vehicle safety communication method based on cooperative interference is characterized by comprising the following steps of:
step S100: acquiring position information of all unmanned aerial vehicles in a single dispatch air zone, tracking the position information of all unmanned aerial vehicles in the single dispatch air zone in real time, dividing dynamic zones in the single dispatch air zone, and generating a double dynamic zone set of the unmanned aerial vehicles based on a dynamic zone division result, wherein the double dynamic zone comprises an instruction zone and a non-instruction zone;
step S200: carrying out radar communication link node division on all unmanned aerial vehicles in the single dispatch air area, constructing a unmanned aerial vehicle networking communication link dynamic model based on a radar communication link node division result, and carrying out networking communication link dynamic identification on all unmanned aerial vehicles in the single dispatch air area;
step S300: based on a networking communication link dynamic identification result, constructing an unmanned aerial vehicle networking cooperative interference safety communication dynamic region model, and generating a safety communication dynamic region;
step S400: and dynamically scheduling all unmanned aerial vehicles in the single dispatch air area based on the safe communication dynamic area.
2. The unmanned aerial vehicle safety communication method based on cooperative interference according to claim 1, wherein the specific implementation process of step S100 comprises:
Step S101: real-time tracking is carried out on all unmanned aerial vehicle position information of a single dispatch aerial region to form real-time dynamic position tracking information of each unmanned aerial vehicle, dynamic region division is carried out on the single dispatch aerial region according to the real-time dynamic position tracking information of each unmanned aerial vehicle, the number of unmanned aerial vehicles in an instruction region in the single dispatch aerial region and the number of unmanned aerial vehicles in a non-instruction region in the single dispatch aerial region are determined, the single dispatch aerial region is an integral aerial region of a single dispatch task, the instruction region is a temporary scheduling local aerial region in the integral aerial region of the single dispatch task, and the non-instruction region is a local aerial region except the instruction region in the integral aerial region of the single dispatch task;
step S102: according to the number of unmanned aerial vehicles in the instruction area and the number of unmanned aerial vehicles in the non-instruction area, generating unified number information of all unmanned aerial vehicles in the single dispatch air area, extracting the number information of the unmanned aerial vehicles in the instruction area according to the unified number information, and marking a number set of the generated instruction area as U1 The unmanned aerial vehicle in the non-instruction area is subjected to number information extraction, and a non-instruction area number set is generated and marked as U2
3. The unmanned aerial vehicle safety communication method based on cooperative interference according to claim 2, wherein the specific implementation process of step S200 comprises:
step S201: each unmanned aerial vehicle in a single dispatch empty area is regarded as a radar communication link node, and the radar communication link node comprises a source node, a relay node and a target node, wherein the source node, the relay node and the target node are used for transmitting the traffic signal according to t1 From time to t2 The temporary task requirements between the moments are dynamically adjusted and determined, the source node is a radar communication transmitting source, the target node is a radar communication receiving source, and the relay node receives the radar communication transmitting information of the source node and sends the received radar communication transmitting information of the source node to the target node;
the dynamic adjustment determination is performed in the following manner:
according to t1 From time to t2 Temporary task requirements between moments, unmanned plane Ia Marking as a source node, and enabling the unmanned plane I to beb Marked as target node, unmanned plane Ia And unmanned plane Ib The point-to-point radar communication is carried out between the two, a and b respectively represent unmanned aerial vehicle numbers, and a is not equal to b; if unmanned plane Ia And unmanned plane Ib The radar communication distance between the two can meet the requirement of radar If the information distance limiting condition is met, unmanned plane Ia And unmanned plane Ib Direct point-to-point communication is carried out between the unmanned plane Ia And unmanned plane Ib If the radar communication distance between the unmanned aerial vehicle I and the unmanned aerial vehicle I does not meet the radar communication distance limiting conditiona And unmanned plane Ib Indirect communication is carried out between the two through relay node connection;
step S202: constructing a communication link dynamic model of the unmanned aerial vehicle network, and setting t for all unmanned aerial vehicles in a single dispatch empty area1 From time to t2 The method comprises the steps of dynamically adjusting and determining moments, carding radar communication links to form a dynamic connection relation of unmanned aerial vehicle networking communication links, wherein the dynamic connection relation of the unmanned aerial vehicle networking communication links comprises a direct communication connection relation and an indirect communication connection relation, and the direct communication connection relation is expressed as Ia →Ib Wherein Ia And Ib The indirect communication connection relationship is expressed as Ia →I1 →Ia →...→Ic →Ib Wherein I1 、Ia 、...、Ic The first relay node and the second relay node are respectively 1 st, 2 nd, c relay nodes, a not equal to b not equal to c, and c represents unmanned aerial vehicle numbers; and carrying out dynamic identification on networking communication links of all unmanned aerial vehicles in the single dispatch air area according to the dynamic connection relation of the networking communication links of the unmanned aerial vehicles.
4. The unmanned aerial vehicle safety communication method based on cooperative interference according to claim 3, wherein the specific implementation process of the step S300 comprises:
Step S301: splitting all radar communication link nodes in a single dispatch empty region based on a dynamic identification result of a networking communication link, extracting target nodes, and generating a target node set M from the extracted target nodes;
step S302: according to the instruction area number set and the target node set, t is calculated in the instruction area1 From time to t2 The temporary tasks between moments require the assigned unmanned aerial vehicle to be identified, a temporary assigned unmanned aerial vehicle set is generated, and the temporary assigned unmanned aerial vehicle set is recordedIs L, and l=u1 N is M; constructing a three-dimensional coordinate system of a single dispatch aerial region, performing point-to-point linear connection on all unmanned aerial vehicles in a temporary assignment unmanned aerial vehicle set according to real-time dynamic position tracking information of the unmanned aerial vehicles, forming a maximum connection outer surrounding stereogram of the unmanned aerial vehicles, identifying the unmanned aerial vehicles on an outer surrounding surface in the maximum connection outer surrounding stereogram, extracting number information of any unmanned aerial vehicle on the outer surrounding surface and recording the number information as Id Identifying and I on the outer peripheral surfaced Any two unmanned aerial vehicles connected in a straight line are respectively marked as Ie And If Wherein d, e and f represent the unmanned aerial vehicle number and d +.e +.f, respectively; i is as followsd Are angular apexes, respectively with Id To Ie Straight line I betweend Ie And Id To If Straight line I betweend If For both sides of the angle, a two-dimensional fan angle is calculated, denoted as Q (Id ) The specific calculation formula is as follows:
Figure FDA0004137625730000031
wherein I isf Ie Representation If To Ie Straight line between, K (Id If )、K(Id Ie ) And K (I)f Ie ) Respectively represent straight lines Id If Straight line Id Ie And straight line If Ie Is a length of (2);
step S303: in straight line If Ie Mid-point to Id The connecting straight line is a rotating shaft, and the two-dimensional fan shape is rotated for one circle according to the two-dimensional fan shape angle to form a cone; respectively by Id Pointing Ie Direction and Id Pointing If Extending the two-dimensional fan-shaped direction to form a cone extending range, and taking the cone extending range as the unmanned plane Id Is used for adjusting the transmission parameters of an interference source and aiming at the unmanned plane Id Is limited by the coverage range of the interference signals, and the unmanned plane I after the limitation is carried outd Is of interference signal coverage of (a)Is marked as unmanned plane Id Is a real interference signal coverage area;
step S304: and acquiring real interference signal coverage areas of all unmanned aerial vehicles on an outer surrounding surface in the maximum connection outer surrounding perspective view, constructing a unmanned aerial vehicle networking cooperative interference safety communication dynamic area model, and recording the superposition coverage areas of the real interference signal coverage areas of all unmanned aerial vehicles as a safety communication dynamic area.
5. The unmanned aerial vehicle safety communication method based on cooperative interference according to claim 4, wherein the specific implementation process of step S400 comprises:
step S401: identifying the number of unmanned aerial vehicles in a safe communication dynamic area, and determining the number of unmanned aerial vehicles participating in a temporary task according to the temporary task requirement; if the number of unmanned aerial vehicles in the safe communication dynamic area is greater than or equal to the number of unmanned aerial vehicles participating in the temporary task, keeping t1 From time to t2 The unmanned aerial vehicle network air area position array type between the moments, otherwise, dynamically scheduling all unmanned aerial vehicles in the single dispatch air area;
step S402: when in dynamic scheduling, determining the lack of unmanned aerial vehicles participating in the temporary task according to the number of unmanned aerial vehicles in the safe communication dynamic area and the number of unmanned aerial vehicles participating in the temporary task, wherein the number of unmanned aerial vehicles in the dynamic scheduling is equal to the lack; starting a first dynamic scheduling decision, scheduling the areas except the safe communication dynamic area in the instruction area, determining the scheduling number of the unmanned aerial vehicle in the instruction area, and starting a second dynamic scheduling decision if the scheduling number does not meet the requirement of the lack of the number; when a second dynamic scheduling decision is started, scheduling unmanned aerial vehicles in a non-instruction area, and collecting U according to the number of the non-instruction area2 Determining the scheduling number of the unmanned aerial vehicles in a non-instruction area, wherein the scheduling number of the unmanned aerial vehicles in the non-instruction area is equal to the difference between the lack number and the scheduling number of the unmanned aerial vehicles in the instruction area;
step S403: when the first dynamic scheduling decision is started and the second dynamic scheduling decision is started to schedule the unmanned aerial vehicle, the unmanned aerial vehicle network of the instruction taking area is scheduledThe method comprises the steps that a communication link dynamic connection relation and an unmanned aerial vehicle networking communication link dynamic connection relation of a non-instruction area are recorded as V, any unmanned aerial vehicle participating in scheduling in the communication link dynamic connection relation of the unmanned aerial vehicle networking communication link of the instruction area and the unmanned aerial vehicle networking communication link dynamic connection relation of the non-instruction area are recorded as I, and any unmanned aerial vehicle participating in scheduling in the V is recorded as Vy Wherein y is the number of the unmanned aerial vehicle, and the dynamic scheduling influence value is calculated according to the following specific calculation formula:
Figure FDA0004137625730000041
wherein H (V) represents a dynamic scheduling impact value of V, PV Representing a set of unmanned aerial vehicles participating in scheduling in V, R (PV ) Representing PV The number of elements, R (V) represents the total number of unmanned aerial vehicles in V, S (I)y ) Representation Iy Distance to the center point of the dynamic area of the secure communication;
and respectively calculating the dynamic scheduling influence values of all the unmanned aerial vehicle networking communication links in the instruction area and all the unmanned aerial vehicle networking communication links in the non-instruction area, sequentially arranging the dynamic scheduling influence values in order from small to large, and sequentially selecting and scheduling according to the arrangement during dynamic scheduling until the shortage is met.
6. A cooperative interference-based unmanned aerial vehicle secure communication system, the system comprising: the system comprises a dual-dynamic region construction module, an unmanned aerial vehicle networking communication link dynamic identification module, a safety communication dynamic region model construction module and an unmanned aerial vehicle dynamic cooperation module;
the double-dynamic-area construction module acquires all the position information of the unmanned aerial vehicle in the single dispatch air area, tracks all the position information of the unmanned aerial vehicle in the single dispatch air area in real time, performs dynamic area division on the single dispatch air area, and generates a double-dynamic-area set for the unmanned aerial vehicle based on a dynamic area division result, wherein the double-dynamic-area comprises an instruction area and a non-instruction area;
the unmanned aerial vehicle networking communication link dynamic identification module is used for carrying out radar communication link node division on all unmanned aerial vehicles in a single dispatch air area, constructing an unmanned aerial vehicle networking communication link dynamic model based on a radar communication link node division result, and carrying out networking communication link dynamic identification on all unmanned aerial vehicles in the single dispatch air area;
the safety communication dynamic region model construction module is used for constructing an unmanned aerial vehicle networking cooperation interference safety communication dynamic region model based on a networking communication link dynamic identification result to generate a safety communication dynamic region;
And the unmanned aerial vehicle dynamic collaboration module dynamically schedules all unmanned aerial vehicles in the single dispatch air area based on the safe communication dynamic area.
7. The cooperative interference-based unmanned aerial vehicle secure communication system of claim 6, wherein: the dual-dynamic region construction module further comprises an air region dynamic dividing unit and a dual-dynamic region set generating unit;
the aerial region dynamic dividing unit is used for carrying out real-time tracking on all unmanned aerial vehicle position information of the single dispatch aerial region to form real-time dynamic position tracking information of each unmanned aerial vehicle, carrying out dynamic region division on the single dispatch aerial region according to the real-time dynamic position tracking information of each unmanned aerial vehicle, and determining the number of unmanned aerial vehicles in an instruction region in the single dispatch aerial region and the number of unmanned aerial vehicles in a non-instruction region in the single dispatch aerial region, wherein the single dispatch aerial region is an integral aerial region of a single dispatch task, the instruction region is a local aerial region temporarily scheduled in the integral aerial region of the single dispatch task, and the non-instruction region is a local aerial region except the instruction region in the integral aerial region of the single dispatch task;
The dual-dynamic region set generating unit is used for dispatching all the air regions in a single time according to the number of unmanned aerial vehicles in the instruction region and the number of unmanned aerial vehicles in the non-instruction regionThe unmanned aerial vehicle generates unified number information, the unmanned aerial vehicle in the instruction area is subjected to number information extraction according to the unified number information, and a generated instruction area number set is marked as U1 The unmanned aerial vehicle in the non-instruction area is subjected to number information extraction, and a non-instruction area number set is generated and marked as U2
8. The cooperative interference-based unmanned aerial vehicle secure communication system of claim 7, wherein: the unmanned aerial vehicle networking communication link dynamic identification module further comprises a node dynamic adjustment determination unit and an unmanned aerial vehicle networking communication link dynamic model construction unit;
the node dynamic adjustment determining unit regards each unmanned aerial vehicle in a single dispatch empty area as a radar communication link node, wherein the radar communication link node comprises a source node, a relay node and a target node, and the source node, the relay node and the target node are determined according to t1 From time to t2 The temporary task requirements between the moments are dynamically adjusted and determined, the source node is a radar communication transmitting source, the target node is a radar communication receiving source, and the relay node receives the radar communication transmitting information of the source node and sends the received radar communication transmitting information of the source node to the target node;
The dynamic adjustment determination is performed in the following manner:
according to t1 From time to t2 Temporary task requirements between moments, unmanned plane Ia Marking as a source node, and enabling the unmanned plane I to beb Marked as target node, unmanned plane Ia And unmanned plane Ib The point-to-point radar communication is carried out between the two, a and b respectively represent unmanned aerial vehicle numbers, and a is not equal to b; if unmanned plane Ia And unmanned plane Ib The radar communication distance between the unmanned plane I and the unmanned plane I meets the radar communication distance limiting conditiona And unmanned plane Ib Direct point-to-point communication is carried out between the unmanned plane Ia And unmanned plane Ib If the radar communication distance between the unmanned aerial vehicle I and the unmanned aerial vehicle I does not meet the radar communication distance limiting conditiona And unmanned plane Ib ' ZhangtongIndirectly communicating through relay node connection;
the unmanned aerial vehicle network communication link dynamic model building unit builds an unmanned aerial vehicle network communication link dynamic model, and sends all unmanned aerial vehicles in the empty area at t for a single time1 From time to t2 The method comprises the steps of dynamically adjusting and determining moments, carding radar communication links to form a dynamic connection relation of unmanned aerial vehicle networking communication links, wherein the dynamic connection relation of the unmanned aerial vehicle networking communication links comprises a direct communication connection relation and an indirect communication connection relation, and the direct communication connection relation is expressed as Ia →Ib Wherein Ia And Ib The indirect communication connection relationship is expressed as Ia →I1 →Ia →...→Ic →Ib Wherein I1 、Ia 、...、Ic The first relay node and the second relay node are respectively 1 st, 2 nd, c relay nodes, a not equal to b not equal to c, and c represents unmanned aerial vehicle numbers; and carrying out dynamic identification on networking communication links of all unmanned aerial vehicles in the single dispatch air area according to the dynamic connection relation of the networking communication links of the unmanned aerial vehicles.
9. The cooperative interference-based unmanned aerial vehicle secure communication system of claim 8, wherein: the safe communication dynamic region model building module further comprises a real interference signal coverage range acquisition unit and a safe communication dynamic region generation unit;
the real interference signal coverage area acquisition unit splits all radar communication link nodes in a single dispatch empty area and extracts target nodes based on a dynamic identification result of a networking communication link, and the extracted target nodes generate a target node set M; according to the instruction area number set and the target node set, t is calculated in the instruction area1 From time to t2 The temporary tasks between moments require the assigned unmanned aerial vehicles to be identified, a temporary assigned unmanned aerial vehicle set is generated and recorded as L, and L=U1 N is M; constructing a three-dimensional coordinate system of a single dispatch air area, and temporarily assigning according to real-time dynamic position tracking information of the unmanned aerial vehicleAll unmanned aerial vehicles in the unmanned aerial vehicle set are connected in a point-to-point straight line and form a maximum connection outer surrounding stereogram of the unmanned aerial vehicle, the unmanned aerial vehicle on the outer surrounding surface in the maximum connection outer surrounding stereogram is identified, and the number information of any unmanned aerial vehicle on the outer surrounding surface is extracted and recorded as Id Identifying and I on the outer peripheral surfaced Any two unmanned aerial vehicles connected in a straight line are respectively marked as Ie And If Wherein d, e and f represent the unmanned aerial vehicle number and d +.e +.f, respectively; i is as followsd Are angular apexes, respectively with Id To Ie Straight line I betweend Ie And Id To If Straight line I betweend If Calculating two-dimensional sector angles for both sides of the angle; in straight line If Ie Mid-point to Id The connecting straight line is a rotating shaft, and the two-dimensional fan shape is rotated for one circle according to the two-dimensional fan shape angle to form a cone; respectively by Id Pointing Ie Direction and Id Pointing If Extending the two-dimensional fan-shaped direction to form a cone extending range, and taking the cone extending range as the unmanned plane Id Is used for adjusting the transmission parameters of an interference source and aiming at the unmanned plane Id Is limited by the coverage range of the interference signals, and the unmanned plane I after the limitation is carried outd Is recorded as unmanned plane Id Is a real interference signal coverage area;
the safe communication dynamic region generation unit is used for acquiring real interference signal coverage areas of all unmanned aerial vehicles on an outer surrounding surface in the maximum connection outer surrounding stereogram, constructing an unmanned aerial vehicle networking cooperative interference safe communication dynamic region model, and recording the superposition coverage areas of the real interference signal coverage areas of all unmanned aerial vehicles as safe communication dynamic regions.
10. The cooperative interference-based unmanned aerial vehicle secure communication system of claim 9, wherein: the unmanned aerial vehicle dynamic collaboration module further comprises a dynamic scheduling judging unit and a dynamic scheduling decision unit;
the dynamic scheduling judging unit is used for identifyingThe number of unmanned aerial vehicles in the safe communication dynamic area is determined according to the temporary task requirement; if the number of unmanned aerial vehicles in the safe communication dynamic area is greater than or equal to the number of unmanned aerial vehicles participating in the temporary task, keeping t1 From time to t2 The unmanned aerial vehicle network air area position array type between the moments, otherwise, dynamically scheduling all unmanned aerial vehicles in the single dispatch air area;
The dynamic scheduling decision unit is used for determining the lack of unmanned aerial vehicles participating in the temporary task according to the number of unmanned aerial vehicles and the number of unmanned aerial vehicles participating in the temporary task in the dynamic area of the safety communication during dynamic scheduling, and the number of the unmanned aerial vehicles for dynamic scheduling is equal to the lack; starting a first dynamic scheduling decision, scheduling the areas except the safe communication dynamic area in the instruction area, determining the scheduling number of the unmanned aerial vehicle in the instruction area, and starting a second dynamic scheduling decision if the scheduling number does not meet the requirement of the lack of the number; when a second dynamic scheduling decision is started, scheduling unmanned aerial vehicles in a non-instruction area, and collecting U according to the number of the non-instruction area2 Determining the scheduling number of the unmanned aerial vehicles in a non-instruction area, wherein the scheduling number of the unmanned aerial vehicles in the non-instruction area is equal to the difference between the lack number and the scheduling number of the unmanned aerial vehicles in the instruction area; when a first dynamic scheduling decision is started and a second dynamic scheduling decision is started to schedule the unmanned aerial vehicle, the unmanned aerial vehicle networking communication link dynamic connection relation of the instruction area and the unmanned aerial vehicle networking communication link dynamic connection relation of the non-instruction area are called V, any one unmanned aerial vehicle networking communication link dynamic connection relation participating in scheduling in the unmanned aerial vehicle networking communication link dynamic connection relation of the instruction area and the unmanned aerial vehicle networking communication link dynamic connection relation of the non-instruction area is called I, and any one unmanned aerial vehicle participating in scheduling in the V is called Vy Wherein y is the number of the unmanned aerial vehicle, and calculating a dynamic scheduling influence value; calculating dynamic scheduling influence values of all unmanned aerial vehicle networking communication link dynamic connection relations of the instruction area and all unmanned aerial vehicle networking communication link dynamic connection relations of the non-instruction area respectively, arranging the dynamic scheduling influence values in sequence from small to large, and during dynamic scheduling, according to the dynamic schedulingAnd the arrangement sequentially performs selective scheduling until the lack of quantity is met.
CN202310279573.1A2023-03-222023-03-22Unmanned aerial vehicle safety communication system and method based on cooperative interferenceActiveCN116320984B (en)

Priority Applications (1)

Application NumberPriority DateFiling DateTitle
CN202310279573.1ACN116320984B (en)2023-03-222023-03-22Unmanned aerial vehicle safety communication system and method based on cooperative interference

Applications Claiming Priority (1)

Application NumberPriority DateFiling DateTitle
CN202310279573.1ACN116320984B (en)2023-03-222023-03-22Unmanned aerial vehicle safety communication system and method based on cooperative interference

Publications (2)

Publication NumberPublication Date
CN116320984Atrue CN116320984A (en)2023-06-23
CN116320984B CN116320984B (en)2023-10-03

Family

ID=86825388

Family Applications (1)

Application NumberTitlePriority DateFiling Date
CN202310279573.1AActiveCN116320984B (en)2023-03-222023-03-22Unmanned aerial vehicle safety communication system and method based on cooperative interference

Country Status (1)

CountryLink
CN (1)CN116320984B (en)

Citations (15)

* Cited by examiner, † Cited by third party
Publication numberPriority datePublication dateAssigneeTitle
US20100163621A1 (en)*2006-01-112010-07-01Carmel-Haifa University Economic Corporation Ltd.Uav decision and control system
CN104571131A (en)*2015-01-202015-04-29西安电子科技大学宁波信息技术研究院Unmanned aerial vehicle formation distributed collaboration system and anti-interference method thereof
US20170257779A1 (en)*2016-03-072017-09-07At&T Intellectual Property I, L.P.Supplementing network coverage with a fleet of autonomous drones
EP3287748A1 (en)*2016-08-222018-02-28Deutsche Telekom AGAn operation-aware aerial navigation system
CN109283938A (en)*2018-09-272019-01-29深圳市道通智能航空技术有限公司 A kind of unmanned aerial vehicle system and unmanned aerial vehicle system control method
CN109495906A (en)*2018-11-092019-03-19重庆邮电大学Based on unmanned plane-earth station's link prediction unmanned plane gateway selection algorithm
US20190150167A1 (en)*2017-11-152019-05-16Research & Business Foundation Sungkyunkwan Univer SityMethods and apparatuses for scheduling service area in drone network environment
CN209103155U (en)*2018-09-272019-07-12深圳市道通智能航空技术有限公司A kind of UAV system
CN111781951A (en)*2020-07-132020-10-16江苏中科智能制造研究院有限公司Industrial park monitoring and data visualization system based on cluster unmanned aerial vehicle
CN112631326A (en)*2020-12-082021-04-09广州中科云图智能科技有限公司Air-ground integrated unmanned aerial vehicle cluster scheduling method, device and system
CN113316118A (en)*2021-05-312021-08-27中国人民解放军国防科技大学Unmanned aerial vehicle cluster network self-organizing system and method based on task cognition
WO2021179550A1 (en)*2020-03-112021-09-16五邑大学Task dispatch decision making method and system for unmanned aerial vehicle cluster
CN113595619A (en)*2021-07-302021-11-02中国电子科技集团公司第五十四研究所Unmanned aerial vehicle group communication and coverage combination optimization method
CN114553302A (en)*2022-02-252022-05-27中国电子科技集团公司第三十八研究所 A real-time collaborative communication method for drone swarms
CN115696211A (en)*2022-10-312023-02-03重庆邮电大学Unmanned aerial vehicle track self-adaptive optimization method based on information age

Patent Citations (15)

* Cited by examiner, † Cited by third party
Publication numberPriority datePublication dateAssigneeTitle
US20100163621A1 (en)*2006-01-112010-07-01Carmel-Haifa University Economic Corporation Ltd.Uav decision and control system
CN104571131A (en)*2015-01-202015-04-29西安电子科技大学宁波信息技术研究院Unmanned aerial vehicle formation distributed collaboration system and anti-interference method thereof
US20170257779A1 (en)*2016-03-072017-09-07At&T Intellectual Property I, L.P.Supplementing network coverage with a fleet of autonomous drones
EP3287748A1 (en)*2016-08-222018-02-28Deutsche Telekom AGAn operation-aware aerial navigation system
US20190150167A1 (en)*2017-11-152019-05-16Research & Business Foundation Sungkyunkwan Univer SityMethods and apparatuses for scheduling service area in drone network environment
CN109283938A (en)*2018-09-272019-01-29深圳市道通智能航空技术有限公司 A kind of unmanned aerial vehicle system and unmanned aerial vehicle system control method
CN209103155U (en)*2018-09-272019-07-12深圳市道通智能航空技术有限公司A kind of UAV system
CN109495906A (en)*2018-11-092019-03-19重庆邮电大学Based on unmanned plane-earth station's link prediction unmanned plane gateway selection algorithm
WO2021179550A1 (en)*2020-03-112021-09-16五邑大学Task dispatch decision making method and system for unmanned aerial vehicle cluster
CN111781951A (en)*2020-07-132020-10-16江苏中科智能制造研究院有限公司Industrial park monitoring and data visualization system based on cluster unmanned aerial vehicle
CN112631326A (en)*2020-12-082021-04-09广州中科云图智能科技有限公司Air-ground integrated unmanned aerial vehicle cluster scheduling method, device and system
CN113316118A (en)*2021-05-312021-08-27中国人民解放军国防科技大学Unmanned aerial vehicle cluster network self-organizing system and method based on task cognition
CN113595619A (en)*2021-07-302021-11-02中国电子科技集团公司第五十四研究所Unmanned aerial vehicle group communication and coverage combination optimization method
CN114553302A (en)*2022-02-252022-05-27中国电子科技集团公司第三十八研究所 A real-time collaborative communication method for drone swarms
CN115696211A (en)*2022-10-312023-02-03重庆邮电大学Unmanned aerial vehicle track self-adaptive optimization method based on information age

Non-Patent Citations (3)

* Cited by examiner, † Cited by third party
Title
OUNS BOUACHIR: "A mobility model for UAV ad hoc network", 2014 INTERNATIONAL CONFERENCE ON UNMANNED AIRCRAFT SYSTEM(ICUAS)*
卓琨;张衡阳;郑博;戚云军;: "无人机自组网研究进展综述", 电信科学, no. 04*
杨洋;徐珞;艾中良;: "基于多Agent的无人机群区域探测协同作战仿真", 信息技术, no. 12*

Also Published As

Publication numberPublication date
CN116320984B (en)2023-10-03

Similar Documents

PublicationPublication DateTitle
CN113495578B (en) A Reinforcement Learning Method for Cluster Track Planning Based on Digital Twin Training
Luo et al.Optimization of task scheduling and dynamic service strategy for multi-UAV-enabled mobile-edge computing system
CN112925350B (en)Multi-unmanned aerial vehicle distributed cooperative target searching method
CN108632831B (en)Unmanned aerial vehicle cluster frequency spectrum resource allocation method based on dynamic flight path
CN106774331A (en) A method for distributed control of unmanned boat swarm formation
CN111835838A (en) A multi-agent system and its control method
CN106303968B (en) A road network hacker vehicle location method based on dedicated short-range communication network
CN109917811A (en) A UAV swarm cooperative obstacle avoidance-reconstruction processing method
CN111446990B (en) A cellular unmanned aerial vehicle U2X communication mode selection and trajectory design method and device
CN108718454A (en) A collaborative autonomous deployment method for multi-UAV communication relay platforms
CN112020001B (en)Time slot resource allocation method for multi-station multi-machine system of unmanned aerial vehicle
CN108830448A (en) Method and system for unmanned aerial vehicle swarm task decomposition and sending
CN109005525A (en) A relay network deployment method and device
CN113411372A (en)Radar communication networking detection display control method and system
CN114071432B (en) A UAV relay selection method for post-disaster emergency scenarios in underground spaces
CN116861779A (en)Intelligent anti-unmanned aerial vehicle simulation system and method based on digital twinning
CN113743468A (en)Cooperative driving information propagation method and system based on multi-agent reinforcement learning
CN117472076A (en) A safe flight control system for UAV swarm formation based on blockchain technology
CN104049616A (en)UUV group task coordinating system and method
CN116320984B (en)Unmanned aerial vehicle safety communication system and method based on cooperative interference
CN116709249A (en) A management method for edge computing in Internet of Vehicles
Huang et al.Energy consumption optimization for UAV-assisted communication by trajectory design
CN114384930A (en) A group intelligent decision-making system and method based on global information sharing
RedfieldCooperation between underwater vehicles
CN114879195A (en)Unmanned aerial vehicle cluster radar communication integration method based on resource scheduling

Legal Events

DateCodeTitleDescription
PB01Publication
PB01Publication
SE01Entry into force of request for substantive examination
SE01Entry into force of request for substantive examination
GR01Patent grant
GR01Patent grant
CP03Change of name, title or address
CP03Change of name, title or address

Address after:Building 4, Dongyuan, Jiangguang wisdom City, 15 Wenchang East Road, Yangzhou City, Jiangsu Province, 225000

Patentee after:Yangzhou Yuan Electronic Technology Co.,Ltd.

Country or region after:China

Address before:Building 4, Dongyuan, Jiangguang wisdom City, 15 Wenchang East Road, Yangzhou City, Jiangsu Province, 225000

Patentee before:YANGZHOU YU'AN ELECTRONIC TECHNOLOGY CO.,LTD.

Country or region before:China


[8]ページ先頭

©2009-2025 Movatter.jp