






技术领域technical field
本发明涉及一种直接序列扩频长码的折叠捕获方法,属于扩频通信技术领域。The invention relates to a method for folding and capturing direct sequence spread spectrum long codes, which belongs to the technical field of spread spectrum communication.
背景技术Background technique
扩频通信由于具有良好的抗多径效应、抗干扰能力强、保密性好等诸多优点,被广泛运用。Spread spectrum communication is widely used due to its good anti-multipath effect, strong anti-interference ability, good confidentiality and many other advantages.
对于一套完整的扩频通信系统来讲,主要可分为发射端与接收端。发射端主要是将待传输的数据信息经过扩频码序列调制,实现了数据信息的频谱扩展,再进行成型滤波后进行传输;接收端则将经过无线传播后的信号接收下来,利用与发射端相同的扩频码序列进行相关运算,实现同步接收、解扩和恢复原始要传输的数据信息。整个无线传输系统最终的目的是使得原始数据与解扩恢复后的数据信息相一致,这样就做到了数据的无误传输。For a complete spread spectrum communication system, it can be mainly divided into a transmitting end and a receiving end. The transmitting end mainly modulates the data information to be transmitted through the spread spectrum code sequence to realize the spectrum expansion of the data information, and then transmits after shaping and filtering; the receiving end receives the signal after wireless propagation, and uses The same spread spectrum code sequence is used for correlation calculation to realize synchronous reception, despreading and recovery of the original data information to be transmitted. The ultimate goal of the entire wireless transmission system is to make the original data consistent with the data information after despreading and recovery, so that the data can be transmitted without error.
但整个信号通过无线信道传输后,难免会收到传输环境如噪声、障碍物、相对移动等之类的影响,使信号在传输过程中发生错码,使得通信系统的有效性变低。而扩频通信系统的捕获是数据经过无线信道传输后到达的第一个处理模块,这直接决定了后续同步与解扩的性能,所以对捕获系统的研究尤为重要。However, after the entire signal is transmitted through the wireless channel, it will inevitably be affected by the transmission environment such as noise, obstacles, relative movement, etc., which will cause code errors during the transmission process and reduce the effectiveness of the communication system. The capture of the spread spectrum communication system is the first processing module after the data is transmitted through the wireless channel, which directly determines the performance of subsequent synchronization and despreading, so the research on the capture system is particularly important.
发明内容Contents of the invention
直接序列扩频通信系统中的同步一般可分为两个阶段:捕获和跟踪。扩频捕获也称粗同步,实现数据的初始同步,确定数据码元的码相位确定在一个1/2个码元间隔偏差范围内。扩频跟踪也称细同步,是初始同步后的跟踪阶段,利用PN码的自相关性将相位偏差控制在一个采样间隔以内。Synchronization in direct sequence spread spectrum communication systems can generally be divided into two phases: acquisition and tracking. Spread spectrum acquisition is also called coarse synchronization, which realizes the initial synchronization of data and determines that the code phase of the data symbol is determined within a 1/2 symbol interval deviation range. Spread spectrum tracking is also called fine synchronization, which is the tracking stage after initial synchronization, and uses the autocorrelation of PN code to control the phase deviation within a sampling interval.
对于DSSS快速捕获方法,主要可分为两类:时域捕获和频域捕获。基于时域的捕获方法有利用匹配滤波器串行/并行捕获,基于频域的捕获方法有利用FFT进行循环相关实现并行匹配搜索。将时域相关和频域并行FFT搜索联合进行搜索,结合的技术称为部分匹配滤波PMF—FFT,以及再衍生出的一系列优化算法。其中时域捕获方法匹配滤波法将每一个码相位与本地码进行相关运算,其结构实现简单,但所需的寄存器和运算单元过多,以至于捕获时间太长。频域捕获方法并行FFT法进行频域共扼卷积捕获时间快,但实现复杂度过高。基于PMF-FFT的快速捕获的纠正频偏能力收到FFT点数的制约,不一定能满足大频偏、资源受限的需求。For DSSS fast acquisition methods, it can be mainly divided into two categories: time domain acquisition and frequency domain acquisition. The acquisition method based on the time domain includes serial/parallel acquisition using matched filters, and the acquisition method based on the frequency domain uses FFT for circular correlation to realize parallel matching search. The combination of time-domain correlation and frequency-domain parallel FFT search is called partial matched filter PMF-FFT, and a series of optimization algorithms are derived. Among them, the matched filtering method of the time-domain capture method correlates each code phase with the local code. Its structure is simple to implement, but the required registers and arithmetic units are too many, so that the capture time is too long. Frequency domain capture method Parallel FFT method for frequency domain conjugate convolution capture time is fast, but the implementation complexity is too high. The ability to correct frequency offset based on PMF-FFT fast acquisition is restricted by the number of FFT points, and may not be able to meet the needs of large frequency offset and limited resources.
本发明的目的针对现有捕获技术存在的上述问题,提供一种直接序列扩频长码的折叠捕获方法。The object of the present invention is to provide a folding acquisition method of direct sequence spread spectrum long codes for the above-mentioned problems existing in the existing acquisition technology.
为达到上述目的,本发明是采用下述技术方案实现的:In order to achieve the above object, the present invention is achieved by adopting the following technical solutions:
第一方面,本发明提出了一种直接序列扩频长码的折叠捕获方法,包括:In the first aspect, the present invention proposes a method for folding and capturing direct sequence spread spectrum long codes, including:
S1、获取接收到的通过无线信道传输的高频扩频信号;S1. Obtain the received high-frequency spread spectrum signal transmitted through the wireless channel;
S2、将所述高频扩频信号进行下变频处理、A/D转换,得到数字中频信号;S2. Perform down-conversion processing and A/D conversion on the high-frequency spread-spectrum signal to obtain a digital intermediate-frequency signal;
S3、对数字中频信号进行能量检测;S3, performing energy detection on the digital intermediate frequency signal;
S4、响应于检测到分组信号能量,将所述数字中频信号进行预处理调制为固定位宽的数据,得到预处理后的数据;对所述预处理后的数据利用正交的载波进行数字下变频处理,得到I/Q两路正交数据;S4. In response to detecting the energy of the packet signal, perform preprocessing and modulation on the digital intermediate frequency signal into data with a fixed bit width to obtain preprocessed data; perform digital downloading on the preprocessed data using an orthogonal carrier Frequency conversion processing to obtain I/Q two-way orthogonal data;
S5、获取本地扩频码模块产生的M*L点本地扩频码数据;对本地扩频码数据进行本地码错开N码片叠加,得到M*L个折叠码;S5. Obtain M*L point local spread code data generated by the local spread spectrum code module; perform local code staggered N chip superposition on the local spread spectrum code data to obtain M*L folding codes;
S6、将I/Q两路正交数据和折叠码进行部分匹配相关运算,得到折叠码与I/Q两路正交数据的部分匹配相关结果;S6. Performing a partial matching correlation operation on the I/Q two-way orthogonal data and the folding code to obtain a partial matching correlation result between the folding code and the I/Q two-way orthogonal data;
S7、对所述部分匹配相关结果进行分组得到分组后的匹配相关结果,对分组后的匹配相关结果中的每一组分别进行频域FFT转换,得到频域数据;将设定周期的频域数据进行累加处理得到M个频域能量K;S7. Group the partial matching related results to obtain grouped matching related results, and perform frequency domain FFT transformation on each group of the grouped matching related results to obtain frequency domain data; set the frequency domain of the cycle The data is accumulated and processed to obtain M frequency domain energies K;
S8、将M个频域能量K中的最大值与自适应门限值进行比较;S8. Comparing the maximum value among the M frequency-domain energies K with the adaptive threshold value;
响应于M个频域能量K中的最大值未超过自适应门限值,更新本地扩频码模块产生的M*L点本地扩频码数据,重复步骤S5到步骤S8进行下一轮捕获;In response to the maximum value of the M frequency-domain energies K not exceeding the adaptive threshold value, update the M*L point local spreading code data generated by the local spreading code module, and repeat steps S5 to S8 for the next round of capture;
S9、响应于M个频域能量K中的最大值超过自适应门限值,表明捕获成功;将M个频域能量K值中的最大值对应的折叠码还原成一组未折叠的N段本地扩频原码,将高频扩频信号与N段本地扩频原码分别进行相关运算,确定对齐的本地扩频码数据的位置信息,实现直接序列扩频长码的折叠捕获。S9. Responding to the fact that the maximum value of the M frequency-domain energies K exceeds the adaptive threshold value, it indicates that the capture is successful; restore the folded code corresponding to the maximum value of the M frequency-domain energies K values into a set of unfolded N-segment local The spread spectrum original code performs correlation calculations on the high-frequency spread spectrum signal and N-segment local spread spectrum original codes respectively, and determines the location information of the aligned local spread spectrum code data to realize the folding capture of the direct sequence spread spectrum long code.
在一些实施例中,S3、对数字中频信号进行能量检测,包括:In some embodiments, S3, performing energy detection on the digital intermediate frequency signal, includes:
数字中频信号中包含噪声,数字中频信号rn=sn+wn,sn为接收信号,wn为噪声分量,使得判决分量mn选为接收信号能量在窗口长度L下的累加和,表示为使判决分量与预定阈值Th比较后判定分组检测情况:The digital intermediate frequency signal contains noise, the digital intermediate frequency signal rn =sn +wn , sn is the received signal, wn is the noise component, so that the decision component mn is selected as the cumulative sum of the energy of the received signal under the window length L, Expressed as After comparing the decision component with the predetermined threshold Th , it is determined whether the packet detection situation is:
H0:mn<Th没有出现分组H0 : mn <Th No grouping occurs
H1:mn≥Th出现分组H1 : mn ≥ Th grouping occurs
其中rn-k为数字中频信号延迟k后的值,为rn-k的共轭值,n、k为0~L-1的变量。Among them, rnk is the value after delay k of the digital intermediate frequency signal, It is the conjugate value of rnk , and n and k are variables from 0 to L-1.
在一些实施例中,将所述数字中频信号进行预处理调制为固定位宽的数据,得到预处理后的数据,包括:In some embodiments, the digital intermediate frequency signal is preprocessed and modulated into data with a fixed bit width to obtain preprocessed data, including:
将数字中频信号调制为固定位宽的数据,并将数据分为M个数据块,每个数据块包含L点数据记为xi(n),其中i=0,1,...,M-1,n=0,1,...,L-1,并用寄存器将各段数据顺序寄存。Modulate the digital intermediate frequency signal into data with a fixed bit width, and divide the data into M data blocks, each data block contains L point data and is recorded as xi (n), where i=0, 1,...,M -1, n=0,1,...,L-1, and use the register to store the data of each segment sequentially.
在一些实施例中,对所述预处理后的数据利用正交的载波进行数字下变频处理,得到I/Q两路正交数据,包括:In some embodiments, the preprocessed data is digitally down-converted using an orthogonal carrier to obtain I/Q two-way orthogonal data, including:
将预处理后的数据xi(n)利用正交的载波进行数字下变频处理,得到:The preprocessed data xi (n) is digitally down-converted using an orthogonal carrier to obtain:
Ixi(n)=xi(n)*sin(2π*fI*m*ts),i=0,1,...,M-1,n=0,1,...,L-1;Ixi (n)=xi (n)*sin(2π*fI *m*ts ), i=0,1,...,M-1,n=0,1,...,L -1;
Qxi(n)=xi(n)*cos(2π*fI*m*ts),i=0,1,...,M-1,n=0,1,...,L-1,Qxi (n)=xi (n)*cos(2π*fI *m*ts ),
其中,Ixi(n)为I路正交数据,Qxi(n)为Q路正交数据,fI为发射端中频载波频率,ts为采样时间,m为第m个采样点,窗口长度L。Among them, Ixi (n) is the orthogonal data of the I path,Qxi (n) is the orthogonal data of the Q path, fI is the intermediate frequency carrier frequency of the transmitter, ts is the sampling time, m is the mth sampling point, and the window Length L.
在一些实施例中,S5、获取本地扩频码模块产生的M*L点本地扩频码数据;对本地扩频码数据进行本地码错开N码片叠加,得到M*L个折叠码,包括:In some embodiments, S5. Obtain M*L local spread code data generated by the local spread code module; perform local code staggered N chip superposition on the local spread code data to obtain M*L folding codes, including :
本地扩频码数据分为M段,每段长度为L个码元ri(n),记为:The local spreading code data is divided into M sections, and each section has a length of L code elements ri (n), which is denoted as:
ri(n)i=0,1,...,M-1,n=0,1,...L-1;ri (n)i=0,1,...,M-1,n=0,1,...L-1;
对本地扩频码数据进行本地码错开N码片叠加,得到M*L个折叠码ro(n),记为:ro(n)=ri(n)+ri(n+1)+...+ri(n+N-1)n=0,1,...,L-1。Carry out local code staggered N code chip superposition to local spreading code data, obtain M*L folding code ro (n), denote as: ro (n)=ri (n)+ri (n+1) +...+ri (n+N-1)n=0,1,...,L-1.
在一些实施例中,S6、将I/Q两路正交数据和折叠码进行部分匹配相关运算,得到折叠码与I/Q两路正交数据的部分匹配相关结果,包括:In some embodiments, S6, performing a partial matching correlation operation on the I/Q two-way orthogonal data and the folded code, to obtain a partial matching correlation result between the folded code and the I/Q two-way orthogonal data, including:
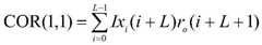
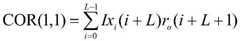
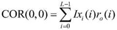
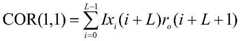
I路和Q路各有一个L位匹配相关运算器,折叠码与I/Q两路正交数据的部分匹配相关结果用一个M行L列的二维寄存器存放;以I路数据为例,各个部分匹配相关结果记为:The I-way and the Q-way each have an L-bit matching correlation operator, and the partial matching correlation results of the folding code and the I/Q two-way orthogonal data are stored in a two-dimensional register with M rows and L columns; taking the I-way data as an example, The relevant results of each partial match are recorded as:
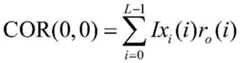
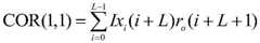
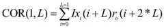
……
Ixi(n)为I路正交数据,COR(0,0)相关值是第一段长为L的ro(n)和第一段长为L的ro(n)各对应相位的非相干累加值;同理:Ixi (n) is the quadrature data of I channel, and the correlation value of COR(0,0) is ro (n) whose length is L in the first segment and ro (n) whose length is L in the first segment. Non-coherent accumulation value; similarly:
……
二维寄存器的部分匹配相关结果存储值为(Ci,j=COR(i,j)):The storage value of the partial matching correlation result of the two-dimensional register is (Ci, j = COR(i, j)):
在一些实施例中,S7、对所述部分匹配相关结果进行分组得到分组后的匹配相关结果,对分组后的匹配相关结果中的每一组分别进行频域FFT转换,得到频域数据,包括:In some embodiments, S7. Group the partial matching correlation results to obtain grouped matching correlation results, and perform frequency domain FFT transformation on each group of the grouped matching correlation results to obtain frequency domain data, including :
分组规则为:每列相关值分为W组,每组有P=M/W个相关值,每组对应位相关值相差W间隔;某列的第一个分组为:P0,i:C0,i,Cw,i,C2w,i,...,Cw*(P-1),i;P0,i表示第i列第一个分组序列;The grouping rules are: the correlation values of each column are divided into W groups, each group has P=M/W correlation values, and the corresponding bit correlation values of each group are different by W intervals; the first grouping of a certain column is: P0,i :C0,i ,Cw,i ,C2w,i ,...,Cw*(P-1),i ; P0,i represents the first grouping sequence in column i;
分组后的匹配相关结果有M*L个数据,其中相位差相同的共有M个;即第i列得到的相关值相位相同;The matching correlation results after grouping have M*L data, among which there are M data with the same phase difference; that is, the correlation values obtained in the i-th column have the same phase;
从每一列的在第一个时钟周期选P个数据进行FFT、第二个时钟周期选P个数据进行FFT、…、第W个时钟周期选P个数据进行FFT;(I0,I1,...,Iw-1)=fft(Pi,0,Pi,1,...,Pi,w-1)、(Q0,Q1,...,Qw-1)=fft(Pi,0,Pi,1,...,Pi,w-1);From each column, select P data in the first clock cycle to perform FFT, select P data in the second clock cycle to perform FFT, ..., select P data in the Wth clock cycle to perform FFT; (I0 , I1 , ...,Iw-1 )=fft(Pi,0 ,Pi,1 ,...,Pi,w-1 ), (Q0 ,Q1 ,...,Qw-1 ) =fft(Pi,0 ,Pi,1 ,...,Pi,w-1 );
W个时钟周期后对I/Q两路每一列W组频域数据非相干累加,I路第n列的累加值为In,Q路第n列的累加值为Qn,将I/Q路对应列累加值模平方相加得到频域能量Kn,频域能量Kn=In2+Qn2。After W clock cycles, non-coherently accumulate W groups of frequency-domain data for each column of the I/Q two-way, the accumulated value of the nth column of the I-way is In , the accumulated value of the n-th column of the Q-way is Qn , and the I/Q The frequency-domain energy Kn is obtained by adding the modular squares of the accumulated values of the corresponding columns of the road, and the frequency-domain energy Kn =In2 +Qn2 .
在一些实施例中,所述自适应门限值P=Pmax/Pave,其中Pmax为I/Q两路正交数据信号最高峰能量,Pave为I/Q两路正交数据平均能量。In some embodiments, the adaptive threshold value P=Pmax /Pave , where Pmax is the highest peak energy of the I/Q two-way orthogonal data signal, and Pave is the average value of the I/Q two-way orthogonal data energy.
第二方面,本发明提供了一种直接序列扩频长码的折叠捕获装置,包括处理器及存储介质;In a second aspect, the present invention provides a device for folding and capturing direct sequence spread spectrum long codes, including a processor and a storage medium;
所述存储介质用于存储指令;The storage medium is used to store instructions;
所述处理器用于根据所述指令进行操作以执行根据第一方面所述方法的步骤。The processor is configured to operate in accordance with the instructions to perform the steps of the method according to the first aspect.
第三方面,本发明提供了一种存储介质,其上存储有计算机程序,所述计算机程序被处理器执行时实现第一方面所述方法的步骤。In a third aspect, the present invention provides a storage medium on which a computer program is stored, and when the computer program is executed by a processor, the steps of the method described in the first aspect are implemented.
有益效果:本发明将本地码折叠,与接收信号进行部分匹配相关时,就相当于一次相关同时检测多个码相位,大大减少了平均捕获时间的同时实现结构也不会变得更加复杂,有效解决了捕获效率和实现复杂度之间的矛盾。同时,针对FFT点数越多计算量越大计算时间越长的问题,进行分组FFT运算,在不影响信号包络特性与FFT频谱分辨率精度的情况下,减小了复杂度,大大减小了资源消耗。本发明具有效率高、捕获时间短、捕获带宽大等优点,在高动态低信噪比条件下比传统捕获算法有更好的捕获概率。Beneficial effects: when the present invention folds the local code and performs partial matching correlation with the received signal, it is equivalent to detecting multiple code phases at the same time in one correlation, which greatly reduces the average capture time and at the same time realizes that the structure will not become more complicated and effective The contradiction between capture efficiency and implementation complexity is resolved. At the same time, in view of the problem that the more FFT points, the greater the amount of calculation, the longer the calculation time, the group FFT operation is performed, without affecting the signal envelope characteristics and the resolution accuracy of the FFT spectrum, the complexity is reduced, and the LF. The invention has the advantages of high efficiency, short capture time, large capture bandwidth, etc., and has better capture probability than traditional capture algorithms under the condition of high dynamic and low signal-to-noise ratio.
附图说明Description of drawings
图1为本发明实施例提出的捕获方法的总体模块图;Fig. 1 is the overall block diagram of the capture method that the embodiment of the present invention proposes;
图2为本发明实施例提出捕获方法中能量检测模块结构示意图;Fig. 2 is a schematic structural diagram of the energy detection module in the capture method proposed by the embodiment of the present invention;
图3为本发明实施例提出捕获方法中的数据折叠示意图;Fig. 3 is a schematic diagram of data folding in the capture method proposed by the embodiment of the present invention;
图4为本发明实施例中部分匹配相关模块相关运算顺序图;FIG. 4 is a sequence diagram of related operations of partial matching related modules in an embodiment of the present invention;
图5为本发明实施例中部分匹配相关模块相分组进行FFT示意图;Fig. 5 is a schematic diagram of performing FFT in groups of partial matching related modules in an embodiment of the present invention;
图6为本发明实施例提出捕获方法中实现结构图;FIG. 6 is a structural diagram of the capture method proposed by the embodiment of the present invention;
图7为本发明实施例捕获效果图。Fig. 7 is a capture effect diagram of the embodiment of the present invention.
具体实施方式Detailed ways
下面结合附图对本发明作进一步描述。以下实施例仅用于更加清楚地说明本发明的技术方案,而不能以此来限制本发明的保护范围。The present invention will be further described below in conjunction with the accompanying drawings. The following examples are only used to illustrate the technical solution of the present invention more clearly, but not to limit the protection scope of the present invention.
在本发明的描述中,若干的含义是一个以上,多个的含义是两个以上,大于、小于、超过等理解为不包括本数,以上、以下、以内等理解为包括本数。如果有描述到第一、第二只是用于区分技术特征为目的,而不能理解为指示或暗示相对重要性或者隐含指明所指示的技术特征的数量或者隐含指明所指示的技术特征的先后关系。In the description of the present invention, several means more than one, and multiple means more than two. Greater than, less than, exceeding, etc. are understood as not including the original number, and above, below, within, etc. are understood as including the original number. If the description of the first and second is only for the purpose of distinguishing the technical features, it cannot be understood as indicating or implying the relative importance or implicitly indicating the number of the indicated technical features or implicitly indicating the order of the indicated technical features relation.
本发明的描述中,参考术语“一个实施例”、“一些实施例”、“示意性实施例”、“示例”、“具体示例”、或“一些示例”等的描述意指结合该实施例或示例描述的具体特征、结构、材料或者特点包含于本发明的至少一个实施例或示例中。在本说明书中,对上述术语的示意性表述不一定指的是相同的实施例或示例。而且,描述的具体特征、结构、材料或者特点可以在任何的一个或多个实施例或示例中以合适的方式结合。In the description of the present invention, reference to the terms "one embodiment," "some embodiments," "exemplary embodiments," "examples," "specific examples," or "some examples" is intended to mean that the embodiments are A specific feature, structure, material, or characteristic described by or example is included in at least one embodiment or example of the present invention. In this specification, schematic representations of the above terms do not necessarily refer to the same embodiment or example. Furthermore, the specific features, structures, materials or characteristics described may be combined in any suitable manner in any one or more embodiments or examples.
实施例1:Example 1:
一种直接序列扩频长码的折叠捕获方法,包括:A method for folding and capturing direct sequence spread spectrum long codes, comprising:
S1、获取接收到的通过无线信道传输的高频扩频信号;S1. Obtain the received high-frequency spread spectrum signal transmitted through the wireless channel;
S2、将所述高频扩频信号进行下变频处理、A/D转换,得到数字中频信号;S2. Perform down-conversion processing and A/D conversion on the high-frequency spread-spectrum signal to obtain a digital intermediate-frequency signal;
S3、对数字中频信号进行能量检测;S3, performing energy detection on the digital intermediate frequency signal;
S4、响应于检测到分组信号能量,将所述数字中频信号进行预处理调制为固定位宽的数据,得到预处理后的数据;对所述预处理后的数据利用正交的载波进行数字下变频处理,得到I/Q两路正交数据;S4. In response to detecting the energy of the packet signal, perform preprocessing and modulation on the digital intermediate frequency signal into data with a fixed bit width to obtain preprocessed data; perform digital downloading on the preprocessed data using an orthogonal carrier Frequency conversion processing to obtain I/Q two-way orthogonal data;
S5、获取本地扩频码模块产生的M*L点本地扩频码数据;对本地扩频码数据进行本地码错开N码片叠加,得到M*L个折叠码;S5. Obtain M*L point local spread code data generated by the local spread spectrum code module; perform local code staggered N chip superposition on the local spread spectrum code data to obtain M*L folding codes;
S6、将I/Q两路正交数据和折叠码进行部分匹配相关运算,得到折叠码与I/Q两路正交数据的部分匹配相关结果;S6. Performing a partial matching correlation operation on the I/Q two-way orthogonal data and the folding code to obtain a partial matching correlation result between the folding code and the I/Q two-way orthogonal data;
S7、对所述部分匹配相关结果进行分组得到分组后的匹配相关结果,对分组后的匹配相关结果中的每一组分别进行频域FFT转换,得到频域数据;将设定周期的频域数据进行累加处理得到M个频域能量K;S7. Group the partial matching related results to obtain grouped matching related results, and perform frequency domain FFT transformation on each group of the grouped matching related results to obtain frequency domain data; set the frequency domain of the cycle The data is accumulated and processed to obtain M frequency domain energies K;
S8、将M个频域能量K中的最大值与自适应门限值进行比较;S8. Comparing the maximum value among the M frequency-domain energies K with the adaptive threshold value;
响应于M个频域能量K中的最大值未超过自适应门限值,更新本地扩频码模块产生的M*L点本地扩频码数据,重复步骤S5到步骤S8进行下一轮捕获;In response to the maximum value of the M frequency-domain energies K not exceeding the adaptive threshold value, update the M*L point local spreading code data generated by the local spreading code module, and repeat steps S5 to S8 for the next round of capture;
S9、响应于M个频域能量K中的最大值超过自适应门限值,表明捕获成功;将M个频域能量K值中的最大值对应的折叠码还原成一组未折叠的N段本地扩频原码,将高频扩频信号与N段本地扩频原码分别进行相关运算,确定对齐的本地扩频码数据的位置信息,实现直接序列扩频长码的折叠捕获。S9. Responding to the fact that the maximum value of the M frequency-domain energies K exceeds the adaptive threshold value, it indicates that the capture is successful; restore the folded code corresponding to the maximum value of the M frequency-domain energies K values into a set of unfolded N-segment local The spread spectrum original code performs correlation calculations on the high-frequency spread spectrum signal and N-segment local spread spectrum original codes respectively, and determines the location information of the aligned local spread spectrum code data to realize the folding capture of the direct sequence spread spectrum long code.
在一些实施例中,S3、对数字中频信号进行能量检测,包括:In some embodiments, S3, performing energy detection on the digital intermediate frequency signal, includes:
数字中频信号中包含噪声,数字中频信号rn=sn+wn,sn为接收信号,wn为噪声分量,使得判决分量mn选为接收信号能量在窗口长度L下的累加和,表示为使判决分量与预定阈值Th比较后判定分组检测情况:The digital intermediate frequency signal contains noise, the digital intermediate frequency signal rn =sn +wn , sn is the received signal, wn is the noise component, so that the decision component mn is selected as the cumulative sum of the energy of the received signal under the window length L, Expressed as After comparing the decision component with the predetermined threshold Th , it is determined whether the packet detection situation is:
H0:mn<Th没有出现分组H0 : mn <Th No grouping occurs
H1:mn≥Th出现分组H1 : mn ≥ Th grouping occurs
其中rn-k为数字中频信号延迟k后的值,为rn-k的共轭值,n、k为0~L-1的变量。Among them, rnk is the value after delay k of the digital intermediate frequency signal, It is the conjugate value of rnk , and n and k are variables from 0 to L-1.
在一些实施例中,将所述数字中频信号进行预处理调制为固定位宽的数据,得到预处理后的数据,包括:In some embodiments, the digital intermediate frequency signal is preprocessed and modulated into data with a fixed bit width to obtain preprocessed data, including:
将数字中频信号调制为固定位宽的数据,并将数据分为M个数据块,每个数据块包含L点数据记为xi(n),其中i=0,1,...,M-1,n=0,1,...,L-1,并用寄存器将各段数据顺序寄存。Modulate the digital intermediate frequency signal into data with a fixed bit width, and divide the data into M data blocks, each data block contains L point data and is recorded as xi (n), where i=0, 1,...,M -1, n=0,1,...,L-1, and use the register to store the data of each segment sequentially.
在一些实施例中,对所述预处理后的数据利用正交的载波进行数字下变频处理,得到I/Q两路正交数据,包括:In some embodiments, the preprocessed data is digitally down-converted using an orthogonal carrier to obtain I/Q two-way orthogonal data, including:
将预处理后的数据xi(n)利用正交的载波进行数字下变频处理,得到:The preprocessed data xi (n) is digitally down-converted using an orthogonal carrier to obtain:
Ixi(n)=xi(n)*sin(2π*fI*m*ts),i=0,1,...,M-1,n=0,1,...,L-1;Ixi (n)=xi (n)*sin(2π*fI *m*ts ), i=0,1,...,M-1,n=0,1,...,L -1;
Qxi(n)=xi(n)*cos(2π*fI*m*ts),i=0,1,...,M-1,n=0,1,...,L-1,Qxi (n)=xi (n)*cos(2π*fI *m*ts ),
其中,Ixi(n)为I路正交数据,Qxi(n)为Q路正交数据,fI为发射端中频载波频率,ts为采样时间,m为第m个采样点,窗口长度L。Among them, Ixi (n) is the orthogonal data of the I path,Qxi (n) is the orthogonal data of the Q path, fI is the intermediate frequency carrier frequency of the transmitter, ts is the sampling time, m is the mth sampling point, and the window Length L.
在一些实施例中,S5、获取本地扩频码模块产生的M*L点本地扩频码数据;对本地扩频码数据进行本地码错开N码片叠加,得到M*L个折叠码,包括:In some embodiments, S5. Obtain M*L local spread code data generated by the local spread code module; perform local code staggered N chip superposition on the local spread code data to obtain M*L folding codes, including :
本地扩频码数据分为M段,每段长度为L个码元ri(n),记为:The local spreading code data is divided into M sections, and each section has a length of L code elements ri (n), which is denoted as:
ri(n)i=0,1,...,M-1,n=0,1,...L-1;ri (n)i=0,1,...,M-1,n=0,1,...L-1;
对本地扩频码数据进行本地码错开N码片叠加,得到M*L个折叠码ro(n),记为:ro(n)=ri(n)+ri(n+1)+...+ri(n+N-1)n=0,1,...,L-1。Carry out local code staggered N code chip superposition to local spreading code data, obtain M*L folding code ro (n), denote as: ro (n)=ri (n)+ri (n+1) +...+ri (n+N-1)n=0,1,...,L-1.
在一些实施例中,S6、将I/Q两路正交数据和折叠码进行部分匹配相关运算,得到折叠码与I/Q两路正交数据的部分匹配相关结果,包括:In some embodiments, S6, performing a partial matching correlation operation on the I/Q two-way orthogonal data and the folded code, to obtain a partial matching correlation result between the folded code and the I/Q two-way orthogonal data, including:
I路和Q路各有一个L位匹配相关运算器,折叠码与I/Q两路正交数据的部分匹配相关结果用一个M行L列的二维寄存器存放;以I路数据为例,各个部分匹配相关结果记为:The I-way and the Q-way each have an L-bit matching correlation operator, and the partial matching correlation results of the folding code and the I/Q two-way orthogonal data are stored in a two-dimensional register with M rows and L columns; taking the I-way data as an example, The relevant results of each partial match are recorded as:
……
Ixi(n)为I路正交数据,COR(0,0)相关值是第一段长为L的ro(n)和第一段长为L的ro(n)各对应相位的非相干累加值;同理:Ixi (n) is the quadrature data of I channel, and the correlation value of COR(0,0) is ro (n) whose length is L in the first segment and ro (n) whose length is L in the first segment. Non-coherent accumulation value; similarly:
……
二维寄存器的部分匹配相关结果存储值为(Ci,j=COR(i,j)):The storage value of the partial matching correlation result of the two-dimensional register is (Ci, j = COR(i, j)):
在一些实施例中,S7、对所述部分匹配相关结果进行分组得到分组后的匹配相关结果,对分组后的匹配相关结果中的每一组分别进行频域FFT转换,得到频域数据,包括:In some embodiments, S7. Group the partial matching correlation results to obtain grouped matching correlation results, and perform frequency domain FFT transformation on each group of the grouped matching correlation results to obtain frequency domain data, including :
分组规则为:每列相关值分为W组,每组有P=M/W个相关值,每组对应位相关值相差W间隔;某列的第一个分组为:P0,i:C0,i,Cw,i,C2w,i,...,Cw*(P-1),i;P0,i表示第i列第一个分组序列;The grouping rules are: the correlation values of each column are divided into W groups, each group has P=M/W correlation values, and the corresponding bit correlation values of each group are different by W intervals; the first grouping of a certain column is: P0,i :C0,i ,Cw,i ,C2w,i ,...,Cw*(P-1),i ; P0,i represents the first grouping sequence in column i;
分组后的匹配相关结果有M*L个数据,其中相位差相同的共有M个;即第i列得到的相关值相位相同;The matching correlation results after grouping have M*L data, among which there are M data with the same phase difference; that is, the correlation values obtained in the i-th column have the same phase;
从每一列的在第一个时钟周期选P个数据进行FFT、第二个时钟周期选P个数据进行FFT、…、第W个时钟周期选P个数据进行FFT;(I0,I1,...,Iw-1)=fft(Pi,0,Pi,1,...,Pi,w-1)、(Q0,Q1,...,Qw-1)=fft(Pi,0,Pi,1,...,Pi,w-1);From each column, select P data in the first clock cycle to perform FFT, select P data in the second clock cycle to perform FFT, ..., select P data in the Wth clock cycle to perform FFT; (I0 , I1 , ...,Iw-1 )=fft(Pi,0 ,Pi,1 ,...,Pi,w-1 ), (Q0 ,Q1 ,...,Qw-1 ) =fft(Pi,0 ,Pi,1 ,...,Pi,w-1 );
W个时钟周期后对I/Q两路每一列W组频域数据非相干累加,I路第n列的累加值为In,Q路第n列的累加值为Qn,将I/Q路对应列累加值模平方相加得到频域能量Kn,频域能量Kn=In2+Qn2。After W clock cycles, non-coherently accumulate W groups of frequency-domain data for each column of the I/Q two-way, the accumulated value of the nth column of the I-way is In , the accumulated value of the n-th column of the Q-way is Qn , and the I/Q The frequency-domain energy Kn is obtained by adding the modular squares of the accumulated values of the corresponding columns of the road, and the frequency-domain energy Kn =In2 +Qn2 .
在一些实施例中,所述自适应门限值P=Pmax/Pave,其中Pmax为I/Q两路正交数据信号最高峰能量,Pave为I/Q两路正交数据平均能量。In some embodiments, the adaptive threshold value P=Pmax /Pave , where Pmax is the highest peak energy of the I/Q two-way orthogonal data signal, and Pave is the average value of the I/Q two-way orthogonal data energy.
实施例2Example 2
第二方面,本实施例提供了一种直接序列扩频长码的折叠捕获装置,包括处理器及存储介质;In the second aspect, this embodiment provides a device for folding and capturing direct sequence spread spectrum long codes, including a processor and a storage medium;
所述存储介质用于存储指令;The storage medium is used to store instructions;
所述处理器用于根据所述指令进行操作以执行根据实施例1所述方法的步骤。The processor is configured to operate according to the instructions to execute the steps of the method according to
在一些实施例中,图1所示,一种针对高动态直接序列扩频长码的折叠捕获装置,包括:A/D模数转换单元、能量检测模块、数据预处理模块、混频模块、采样时钟控制模块、本地扩频码产生模块、折叠控制模块、部分匹配相关模块、移位控制模块、分组控制模块、FFT运算模块、数据累加缓存模块、反馈控制模块、门限判决模块、码位确定模块。输入信号经过个模块处理后与本地码相关处理求功率谱后,会得到一个远大于较其他功率谱幅值的最大峰值,最大峰值与门限值相比较,若大于门限值,则此时该峰值对应的接收信号与本地码相位对齐,再将接收信号与参与折叠的对应本地码求相关,再求峰值,则该峰值对应的二维坐标可以确定输入码相位与多普勒频偏。In some embodiments, as shown in FIG. 1 , a device for folding and capturing high dynamic direct sequence spread spectrum long codes includes: an A/D analog-to-digital conversion unit, an energy detection module, a data preprocessing module, a frequency mixing module, Sampling clock control module, local spread spectrum code generation module, folding control module, partial matching related module, shift control module, grouping control module, FFT operation module, data accumulation buffer module, feedback control module, threshold judgment module, code bit determination module. After the input signal is processed by a module and related to the local code to calculate the power spectrum, a maximum peak value that is much larger than other power spectrum amplitudes will be obtained. Compared with the threshold value, if the maximum peak value is greater than the threshold value, then at this time The received signal corresponding to the peak is phase-aligned with the local code, and then the received signal is correlated with the corresponding local code participating in the folding, and then the peak is calculated, then the two-dimensional coordinates corresponding to the peak can determine the input code phase and Doppler frequency offset.
所述采样时钟控制模块包括本地码与接收信号送入部分匹配相关模块控制时钟、分组提取相关数据值进行FFT运算控制时钟,分组提取相关数据的时钟是部分匹配相关模块时钟的W倍,W为数据的分组个数。Described sampling clock control module comprises that local code and received signal are sent into partial matching relevant module control clock, grouping extracts relevant data value and carries out FFT operation control clock, and the clock of grouping and extracting relevant data is W times of partial matching relevant module clock, W is The number of groups of data.
所述码相确定模块为捕获成功后确定接收信号的准确码相,由于已确定接收信号与重叠后得本地码相关能量最大,确定接收信号一定与参与重叠的多个本地码中的一个码相位对齐,使接收信号与未重叠相加前得本地码分别进行相关运算,寻找相关能量最大的码相位,也即确定了接收信号的码相。The code phase determination module is to determine the accurate code phase of the received signal after successful capture, since it has been determined that the received signal has the largest correlation energy with the local code after overlapping, it is determined that the received signal must be one of the multiple local codes participating in the overlapped code phase Alignment, so that the received signal and the local code obtained before the overlapping addition are subjected to correlation calculations, and the code phase with the largest correlation energy is found, that is, the code phase of the received signal is determined.
本实施例通过将本地扩频码折叠,与接收信号进行部分匹配相关时,就相当于一次相关同时检测多个码相位,大大减少了平均捕获时间的同时实现结构也不会变得更加复杂,有效解决了捕获效率和实现复杂度之间的矛盾。同时,针对FFT点数越多计算量越大计算时间越长的问题,进行分组FFT运算,在不影响信号包络特性与FFT频谱分辨率精度的情况下,减小了复杂度,大大减小了资源消耗。In this embodiment, by folding the local spread spectrum code and performing partial matching correlation with the received signal, it is equivalent to detecting multiple code phases at the same time in one correlation, which greatly reduces the average acquisition time and the implementation structure will not become more complicated. The contradiction between capture efficiency and implementation complexity is effectively resolved. At the same time, in view of the problem that the more FFT points, the greater the amount of calculation, the longer the calculation time, the group FFT operation is performed, without affecting the signal envelope characteristics and the resolution accuracy of the FFT spectrum, the complexity is reduced, and the LF.
本实施例进行扩频信号捕获过程包括有如下步骤:In this embodiment, the process of capturing the spread spectrum signal includes the following steps:
1)该折叠捕获方法接收通过无线信道传输的高频扩频信号,并将接收的高频扩频信号传输至射频单元进行下变频处理,下变频处理后再经过A/D转换单元将信号转换为数字中频信号。1) The folding acquisition method receives the high-frequency spread spectrum signal transmitted through the wireless channel, and transmits the received high-frequency spread spectrum signal to the radio frequency unit for down-conversion processing, and then converts the signal through the A/D conversion unit after down-conversion processing It is a digital intermediate frequency signal.
2)由图2所示为能量检测模块结构图。所述能量检测模块包括有数据缓存模块、主控制模块、延迟窗口能量计算模块、相关窗口能量计算模块、码元搜索模块。数据缓存模块实现对等待检测的输入数据进行缓存,同时在找到数据分组起始与结束位置时,实现对缓存数据的输出与停止;主控制模块根据系统的当前状态(如分组检测处理过程中,分组检测处理已完成等)以及码元搜索模块的输出结果,向数据缓存模块输出相应的控制指令(分组检测有效,分组检测处理完成有效等);延迟窗口能量计算、相关窗口能量计算和码元搜索三个模块构成延迟相关算法的主体,完成分组检测,并反馈给主控制模块。2) Figure 2 shows the structure diagram of the energy detection module. The energy detection module includes a data cache module, a main control module, a delay window energy calculation module, a correlation window energy calculation module, and a symbol search module. The data caching module realizes caching the input data waiting to be detected, and at the same time, when finding the start and end positions of the data packet, realizes the output and stop of the cached data; the main control module according to the current state of the system (such as during the packet detection process, Packet detection processing has been completed, etc.) and the output result of the symbol search module, output corresponding control instructions to the data cache module (packet detection is effective, packet detection processing is completed, etc.); delay window energy calculation, correlation window energy calculation and symbol The three search modules constitute the main body of the delay correlation algorithm, complete packet detection, and feed back to the main control module.
数字中频信号进入能量检测模块,即检测突发传输方式的信道上是否有新的数据到达。因接收信号中包含噪声,即rn=sn+wn,sn为接收信号,wn为噪声分量,使得判决分量mn选为接收信号能量在窗口长度L下的累计和,可表示为使判决分量与预定阈值Th比较后判定分组检测情况:The digital intermediate frequency signal enters the energy detection module, that is, detects whether new data arrives on the channel of the burst transmission mode. Because the received signal contains noise, that is, rn =sn +wn , sn is the received signal, wn is the noise component, so that the decision component mn is selected as the cumulative sum of the energy of the received signal under the window length L, which can be expressed as for After comparing the decision component with the predetermined threshold Th , it is determined whether the packet detection situation is:
H0:mn<Th没有出现分组H0 : mn <Th No grouping occurs
H1:mn≥Th出现分组。H1 : mn ≥ Th grouping occurs.
3)检测到分组信号能量后,将数字中频信号送入数据预处理模块,数据预处理模块将数字中频信号调制为固定位宽的数据。同时将数据分为M个数据块,每个数据块包含L点数据记为xi(n),其中i=0,1,...,M-1,n=0,1,...,L-1,并用寄存器将各段数据顺序寄存。3) After the packet signal energy is detected, the digital intermediate frequency signal is sent to the data preprocessing module, and the data preprocessing module modulates the digital intermediate frequency signal into data with a fixed bit width. At the same time, the data is divided into M data blocks, and each data block contains L point data and is recorded as xi (n), where i=0, 1,...,M-1, n=0,1,... ,L-1, and use the register to store the data of each segment sequentially.
4)将预处理后的数据送至混频模块进行数字下变频,将中频信号利用正交的载波下变频,并产生I/Q两路正交数据。4) Send the preprocessed data to the frequency mixing module for digital down-conversion, down-convert the intermediate frequency signal using an orthogonal carrier, and generate I/Q two-way orthogonal data.
Ixi(n)=xi(n)*sin(2π*fI*m*ts),i=0,1,...,M-1,n=0,1,...,L-1;Ixi (n)=xi (n)*sin(2π*fI *m*ts ), i=0,1,...,M-1,n=0,1,...,L -1;
Qxi(n)=xi(n)*cos(2π*fI*m*ts),i=0,1,...,M-1,n=0,1,...,L-1,Qxi (n)=xi (n)*cos(2π*fI *m*ts ),
其中,fI为发射端中频载波频率,ts为采样时间,m为第m个采样点。Among them, fI is the intermediate frequency carrier frequency of the transmitter, ts is the sampling time, and m is the mth sampling point.
5)本地扩频码模块产生M*L点数据扩频码数据并依次存入本地扩频码寄存器。扩频码可分为M段,每段长度为L个码元,可记为:5) The local spreading code module generates M*L point data spreading code data and sequentially stores them in the local spreading code register. The spreading code can be divided into M sections, and each section has a length of L symbols, which can be recorded as:
ri(n)i=0,1,...,M-1,n=0,1,...L-1;ri (n)i=0,1,...,M-1,n=0,1,...L-1;
6)将生成的本地扩频码数据送入折叠控制模块,进行本地码错开N码片叠加,叠加后的数据可记为:ro(n)=ri(n)+ri(n+1)+...+ri(n+N-1)n=0,1,...,L-1。本地扩频码经过折叠控制模块后可得到M*L个折叠码。图3为本地扩频码折叠操作示意图。6) Send the generated local spread spectrum code data into the folding control module, and carry out local code staggered N code chip superposition, the data after superposition can be recorded as: ro (n)=ri (n)+ri (n+ 1)+...+ri (n+N-1)n=0,1,...,L-1. After the local spreading code passes through the folding control module, M*L folding codes can be obtained. FIG. 3 is a schematic diagram of a local spreading code folding operation.
7)将I/Q两路正交数据和本地码传输至部分匹配相关模块进行相关运算,I路和Q路各有一个L位匹配相关运算器。折叠码各个码位部分匹配相关结果可以用一个M行L列的二维寄存器存放。图4为部分匹配相关运算示意图。各个结果表达式记为:7) The I/Q two-way orthogonal data and the local code are transmitted to the partial matching correlation module for correlation calculation, and the I path and the Q path each have an L-bit matching correlation operator. Partial matching results of each code bit of the folded code can be stored in a two-dimensional register with M rows and L columns. FIG. 4 is a schematic diagram of a partial matching correlation operation. The individual result expressions are denoted as:
由COR(0,0)可知,其相关值是第一段长为L的ro(n)和第一段长为L的xi(n)各对应相位的非相干累加值。同理可知From COR(0,0), it can be seen that the correlation value is the non-coherent accumulation value of the corresponding phases of ro (n) with the length of L in the first segment andxi (n) with the length of L in the first segment. empathy
……
进而依次可得出此二维寄存器得其他存储值为(Ci,j=COR(i,j)):Further, other storage values of this two-dimensional register can be obtained in turn (Ci, j = COR(i, j)):
8)将COR寄存器送入分组控制模块,每列相关值分为W组,每组有P=M/W个相关值,每组对应位相关值相差W间隔。以某列的第一个分组为例:Pi,0:Ci,0,Ci,w,Ci,2w,...,Ci,w*(P-1)。8) The COR register is sent into the grouping control module, and each column correlation value is divided into W groups, and each group has P=M/W correlation values, and the corresponding bit correlation values of each group differ by W intervals. Take the first grouping of a column as an example: Pi,0 :Ci,0 ,Ci,w ,Ci,2w ,...,Ci,w*(P-1) .
9)匹配相关后有M*L个数据,其中相位差相同的共有M个。即第i列得到的相关值相位相同。从每一列的在第一个时钟周期选P个数据进行FFT、第二个时钟周期选P个数据进行FFT、…、第W个时钟周期选P个数据进行FFT。(I0,I1,...,Iw-1)=fft(Pi,0,Pi,1,...,Pi,w-1)、(Q0,Q1,...,Qw-1)=fft(Pi,0,Pi,1,...,Pi,w-1)。图5为分组FFT运算示意图。9) After matching and correlation, there are M*L pieces of data, among which there are M pieces with the same phase difference. That is, the phases of the correlation values obtained in column i are the same. From each column, select P data in the first clock cycle to perform FFT, select P data in the second clock cycle to perform FFT, ..., select P data in the Wth clock cycle to perform FFT. (I0 ,I1 ,...,Iw-1 )=fft(Pi,0 ,Pi,1 ,...,Pi,w-1 ),(Q0 ,Q1 ,.. .,Qw-1 )=fft(Pi,0 ,Pi,1 ,...,Pi,w-1 ). Fig. 5 is a schematic diagram of a grouped FFT operation.
10)W个时钟周期后对I/Q两路每一列W组频域数据非相干累加,I路第n列的累加值为In,Q路第n列的累加值为Qn,将I/Q路对应列累加值模平方相加得到频域能量Kn,频域能量Kn=In2+Qn2。10) After W clock cycles, the non-coherent accumulation of W groups of frequency domain data in each column of the I/Q two-way, the accumulated value of the n-th column of the I-way is In , the accumulated value of the n-th column of the Q-way is Qn , and the I The frequency-domain energy Kn is obtained by adding the modular squares of the column accumulation values corresponding to the /Q channel, and the frequency-domain energy Kn =In2 +Qn2 .
11)I/Q两路正交数据经过门限自适应模块,求解完成自适应门限值的计算。将最大步骤9中求得的M个累加K值中的最大值与门限值进行比较,如果发现存在最大值超过门限,则表明成功捕获到码,否则调整本地扩频码模块,换下一轮扩频码值,重复步骤(5)到步骤(10)进行下一轮捕获,直到捕获成功。11) The I/Q two-way orthogonal data passes through the threshold adaptive module, and solves to complete the calculation of the adaptive threshold value. Compare the maximum value among the M accumulated K values obtained in the maximum step 9 with the threshold value. If it is found that the maximum value exceeds the threshold value, it indicates that the code has been successfully captured, otherwise adjust the local spreading code module and replace it with the next one. Round spreading code value, repeat step (5) to step (10) to carry out next round of capture, until capture is successful.
12)码捕获成功后再将最大值对应的扩频码还原成本地未折叠码与接收信号分别进行相关运算,找出确切的码元位置。12) After the code is successfully captured, the spreading code corresponding to the maximum value is restored to the local unfolded code and the received signal is correlated with the received signal to find out the exact symbol position.
所述本地折叠码分别送入I、Q两路,分别与同相接收信号与正交接收信号进行部分匹配相关。The local folded codes are respectively sent to two channels of I and Q, and are respectively correlated with partial matching of the in-phase received signal and the quadrature received signal.
所述的本地扩频码发生模块产生的本地码存储在寄存器中,寄存器能进行同时读写、先读后写、先写后读等操作。The local code generated by the local spread spectrum code generation module is stored in the register, and the register can perform operations such as simultaneous reading and writing, reading first and then writing, and writing first and then reading.
所述分组FFT选取相关值的处理时钟比直接FFT处理相关值时钟快W倍。The processing clock of the grouped FFT to select the correlation value is W times faster than the direct FFT processing clock of the correlation value.
捕获成功后将最高峰寻找到对应的折叠本地伪码序列,将折叠码还原为N段未折叠的本地扩频原码,接收信号与N段本地扩频码分别进行相关运算,找出最大值对应的本地扩频码,从而确定码偏移量。After the capture is successful, find the corresponding folded local pseudo code sequence for the highest peak, restore the folded code to N segments of unfolded local spread spectrum original code, and perform correlation calculations on the received signal and N segments of local spread spectrum code to find the maximum value Corresponding local spreading code, so as to determine the code offset.
针对上述的扩频信号捕获方法,以下通过一具体实例来说明。With regard to the above-mentioned method for acquiring the spread spectrum signal, a specific example will be used below to illustrate.
如图6所示,为实例捕获实现结构图。模块接收信号通过A/D转换单元1001后,送入能量检测单元1002,检测突发传输方式的信道上有新的数据到达时,可以观察到接收能量信号将发生明显的跳变。As shown in Figure 6, the structure diagram is implemented for instance capture. After the received signal of the module passes through the A/
检测到的信号接收模型可以表示为:Ps为接收信号功率,d(t)表示数据调制,ω0为数据载波频率,ωd表示传播过程的载波多普勒频移,n(t)为高斯白噪声。将接收信号分为I/Q路送入混频模块1003,混频采用与数据载波频率相同的正交信号,xI(n)=rI(t)cos(ω0t)、xQ(n)=rQ(t)sin(ω0t)。混频后的信号存放在寄存器当中,依次寄存2048个信号码元。将2048个信号码元分为64组数据,每组数据64个,即每次送入部分匹配相关1004的接收信号长度为64位码元。The detected signal reception model can be expressed as: Ps is the received signal power, d(t) is the data modulation, ω0 is the data carrier frequency, ωd is the carrier Doppler frequency shift in the propagation process, and n(t) is Gaussian white noise. The received signal is divided into I/Q roads and sent to the
本地扩频码由线性反馈移位寄存器1005生成的本地扩频伪码周期为L=223-1。每次将生成本地码按顺序取64*256个本地码进行4倍折叠,生成累加后的折叠码长为64,共256段折叠码,会存在三个码元损失,但对捕获结果结果依次送入部分匹配相关器1004与接收信号进行相关操作。The period of the local spreading code generated by the linear feedback shift register 1005 is L=223 -1. Take 64*256 local codes in order to generate 4 times of local codes each time, and the length of the accumulated folded codes is 64, with a total of 256 folded codes. There will be three code unit losses, but the captured results are sequentially The incoming partially matched
部分匹配相关器1004两个输入端分别来自本地折叠码和接收信号,长度为64,进行相关操作时,先将第一段x(0),x(1),...,x(63)接收信号和r(0),r(1),...,r(63)本地折叠码同时输入部分匹配相关器,然后按顺序将本地折叠码依次移动一个码元,例如第二个相关时刻是x(0),x(1),...,x(63)与r(1),r(2),...,r(64)进行相关操作,当本地折叠码r(64),r(65),...,r(127)将移入部分匹配相关器时,接收信号输入x(64),x(64),...,x(127)进入对应位。将每次相关结果存储在二维(64,64)寄存器1006当中。The two input terminals of the
二维寄存器总共有64行64列,以第一列为例,送入分组FFT模块1007运算时进行四分组,即(C0,0,C0,4,...,C0,60)、(C0,1,C0,5,...,C0,61)、(C0,2,C0,6,...,C0,62)、(C0,3,C0,7,...,C0,63)分别进行16点FFT运算,运算后的结果累加。每列FFT运算方法相同。The two-dimensional register has a total of 64 rows and 64 columns. Taking the first column as an example, four groups are performed when it is sent to the grouped
一个二维寄存器能计算出64个能量值,I/Q两路各有一个二维寄存器,可记为:I0,I1,...,I63;Q0,Q1,...,Q63。A two-dimensional register can calculate 64 energy values, and each of the I/Q two channels has a two-dimensional register, which can be recorded as: I0 , I1 ,...,I63 ; Q0 , Q1 ,... , Q63 .
令比较得出最大的峰值K,将峰值K与判决门限值模块1008相比较,比门限值大则捕获成功,进行下一步伪码相位确定,比门限值小则进行下一轮本地伪码搜索,重复上述操作。make Compare the maximum peak value K, and compare the peak value K with the decision threshold value module 1008. If it is larger than the threshold value, the capture is successful, and the next step is to determine the pseudo code phase. If it is smaller than the threshold value, the next round of local pseudo code is performed. code search, repeat the above operation.
伪码相位确定模块1009通过最大峰值找出对应的本地扩频折叠码,将本地扩频折叠码还原为本地扩频原码,再将本地扩频原码分别与接收信号相关运算,找到相关最大峰值,此时接收信号与本地扩频码相位对齐,进而确定了多普勒频偏与码相位值。如图7所示,接下来将确定的多普勒频偏与码相位值进行跟踪实现细同步。Pseudo-code
实施例3Example 3
第三方面,本实施例提供了一种存储介质,其上存储有计算机程序,所述计算机程序被处理器执行时实现实施例1所述方法的步骤。In a third aspect, this embodiment provides a storage medium on which a computer program is stored, and when the computer program is executed by a processor, the steps of the method described in
本领域内的技术人员应明白,本申请的实施例可提供为方法、系统、或计算机程序产品。因此,本申请可采用完全硬件实施例、完全软件实施例、或结合软件和硬件方面的实施例的形式。而且,本申请可采用在一个或多个其中包含有计算机可用程序代码的计算机可用存储介质(包括但不限于磁盘存储器、CD-ROM、光学存储器等)上实施的计算机程序产品的形式。Those skilled in the art should understand that the embodiments of the present application may be provided as methods, systems, or computer program products. Accordingly, the present application may take the form of an entirely hardware embodiment, an entirely software embodiment, or an embodiment combining software and hardware aspects. Furthermore, the present application may take the form of a computer program product embodied on one or more computer-usable storage media (including but not limited to disk storage, CD-ROM, optical storage, etc.) having computer-usable program code embodied therein.
本申请是参照根据本申请实施例的方法、设备(系统)、和计算机程序产品的流程图和/或方框图来描述的。应理解可由计算机程序指令实现流程图和/或方框图中的每一流程和/或方框、以及流程图和/或方框图中的流程和/或方框的结合。可提供这些计算机程序指令到通用计算机、专用计算机、嵌入式处理机或其他可编程数据处理设备的处理器以产生一个机器,使得通过计算机或其他可编程数据处理设备的处理器执行的指令产生用于实现在流程图一个流程或多个流程和/或方框图一个方框或多个方框中指定的功能的装置。The present application is described with reference to flowcharts and/or block diagrams of methods, apparatus (systems), and computer program products according to embodiments of the present application. It should be understood that each procedure and/or block in the flowchart and/or block diagram, and a combination of procedures and/or blocks in the flowchart and/or block diagram can be realized by computer program instructions. These computer program instructions may be provided to a general purpose computer, special purpose computer, embedded processor, or processor of other programmable data processing equipment to produce a machine such that the instructions executed by the processor of the computer or other programmable data processing equipment produce a An apparatus for realizing the functions specified in one or more procedures of the flowchart and/or one or more blocks of the block diagram.
这些计算机程序指令也可存储在能引导计算机或其他可编程数据处理设备以特定方式工作的计算机可读存储器中,使得存储在该计算机可读存储器中的指令产生包括指令装置的制造品,该指令装置实现在流程图一个流程或多个流程和/或方框图一个方框或多个方框中指定的功能。These computer program instructions may also be stored in a computer-readable memory capable of directing a computer or other programmable data processing apparatus to operate in a specific manner, such that the instructions stored in the computer-readable memory produce an article of manufacture comprising instruction means, the instructions The device realizes the function specified in one or more procedures of the flowchart and/or one or more blocks of the block diagram.
这些计算机程序指令也可装载到计算机或其他可编程数据处理设备上,使得在计算机或其他可编程设备上执行一系列操作步骤以产生计算机实现的处理,从而在计算机或其他可编程设备上执行的指令提供用于实现在流程图一个流程或多个流程和/或方框图一个方框或多个方框中指定的功能的步骤。These computer program instructions can also be loaded onto a computer or other programmable data processing device, causing a series of operational steps to be performed on the computer or other programmable device to produce a computer-implemented process, thereby The instructions provide steps for implementing the functions specified in the flow chart or blocks of the flowchart and/or the block or blocks of the block diagrams.
以上所述仅是本发明的优选实施方式,应当指出:对于本技术领域的普通技术人员来说,在不脱离本发明原理的前提下,还可以做出若干改进和润饰,这些改进和润饰也应视为本发明的保护范围。The above is only a preferred embodiment of the present invention, it should be pointed out that for those of ordinary skill in the art, without departing from the principle of the present invention, some improvements and modifications can also be made, and these improvements and modifications are also possible. It should be regarded as the protection scope of the present invention.
| Application Number | Priority Date | Filing Date | Title |
|---|---|---|---|
| CN202211374948.4ACN116318245B (en) | 2022-11-04 | 2022-11-04 | A folding acquisition method for direct sequence spread spectrum long code |
| Application Number | Priority Date | Filing Date | Title |
|---|---|---|---|
| CN202211374948.4ACN116318245B (en) | 2022-11-04 | 2022-11-04 | A folding acquisition method for direct sequence spread spectrum long code |
| Publication Number | Publication Date |
|---|---|
| CN116318245Atrue CN116318245A (en) | 2023-06-23 |
| CN116318245B CN116318245B (en) | 2025-02-25 |
| Application Number | Title | Priority Date | Filing Date |
|---|---|---|---|
| CN202211374948.4AActiveCN116318245B (en) | 2022-11-04 | 2022-11-04 | A folding acquisition method for direct sequence spread spectrum long code |
| Country | Link |
|---|---|
| CN (1) | CN116318245B (en) |
| Publication number | Priority date | Publication date | Assignee | Title |
|---|---|---|---|---|
| CN119420613A (en)* | 2023-11-30 | 2025-02-11 | 中国星网网络应用有限公司 | Spread spectrum signal capture method and device |
| CN120614019A (en)* | 2025-08-12 | 2025-09-09 | 南京控维通信科技有限公司 | High-efficiency acquisition method for low signal-to-noise ratio direct sequence spread spectrum channels |
| Publication number | Priority date | Publication date | Assignee | Title |
|---|---|---|---|---|
| CN101022282A (en)* | 2007-03-23 | 2007-08-22 | 清华大学 | Long-period spread spectrum code double-folding capture searching method |
| CN103499823A (en)* | 2013-09-29 | 2014-01-08 | 北京星地恒通信息科技有限公司 | Two-dimensional parallel acquisition system in spread spectrum communication |
| CN107026810A (en)* | 2017-03-17 | 2017-08-08 | 西南电子技术研究所(中国电子科技集团公司第十研究所) | The PN synchronization method of burst directly-enlarging system and its DS waveform that happens suddenly |
| Publication number | Priority date | Publication date | Assignee | Title |
|---|---|---|---|---|
| CN101022282A (en)* | 2007-03-23 | 2007-08-22 | 清华大学 | Long-period spread spectrum code double-folding capture searching method |
| CN103499823A (en)* | 2013-09-29 | 2014-01-08 | 北京星地恒通信息科技有限公司 | Two-dimensional parallel acquisition system in spread spectrum communication |
| CN107026810A (en)* | 2017-03-17 | 2017-08-08 | 西南电子技术研究所(中国电子科技集团公司第十研究所) | The PN synchronization method of burst directly-enlarging system and its DS waveform that happens suddenly |
| Title |
|---|
| 石荣;: "扩时通信与扩频通信的特性对比及其不同应用形式的展现", 通信技术, no. 08, 10 August 2020 (2020-08-10)* |
| Publication number | Priority date | Publication date | Assignee | Title |
|---|---|---|---|---|
| CN119420613A (en)* | 2023-11-30 | 2025-02-11 | 中国星网网络应用有限公司 | Spread spectrum signal capture method and device |
| CN119420613B (en)* | 2023-11-30 | 2025-09-26 | 中国星网网络应用有限公司 | Spread spectrum signal capturing method and device |
| CN120614019A (en)* | 2025-08-12 | 2025-09-09 | 南京控维通信科技有限公司 | High-efficiency acquisition method for low signal-to-noise ratio direct sequence spread spectrum channels |
| Publication number | Publication date |
|---|---|
| CN116318245B (en) | 2025-02-25 |
| Publication | Publication Date | Title |
|---|---|---|
| CN106646546B (en) | A kind of satellite-signal multidimensional quick capturing method and system | |
| CN103645483B (en) | Beidou signal capturing method in weak signal environment | |
| CN110071738B (en) | Despreading and Tracking Method of Spread Spectrum Signal Based on Multiple Pseudocode Branch Receivers | |
| CN101022282A (en) | Long-period spread spectrum code double-folding capture searching method | |
| CN116318245A (en) | Folding capturing method for direct sequence spread spectrum long code | |
| CN100553168C (en) | A Frequency Folding Time-Frequency Parallel Search Method for Long-Period Spreading Codes | |
| JP3590473B2 (en) | Spread spectrum signal receiver | |
| CN109088838B (en) | Pseudo code-Doppler fast capturing method of direct sequence spread spectrum DPSK signal under high dynamic condition | |
| CN102928853B (en) | A method for capturing weak signals of Beidou D1 satellite navigation system | |
| CN101132191A (en) | A kind of GNSS receiver baseband signal processing method | |
| CN105553507A (en) | Full coherence accumulation time-frequency domain parallel capturing method based on FFT | |
| CN106230475B (en) | One kind being based on Tong detectors pseudo-code Doppler effect correction catching method and device | |
| CN104570017B (en) | A method for avoiding and stripping Neumann-Hoffman codes in Beidou navigation satellite system D1 navigation message | |
| CN109412644B (en) | Doppler frequency estimation method for direct sequence spread spectrum MSK signal | |
| CN105759288B (en) | The Big Dipper B1I weak signal catching methods of feature based sequence | |
| CN103364802A (en) | TDDM spread spectrum navigation signal capturing method based on two-channel combined utilization | |
| CN105553506B (en) | A kind of quick capturing method and device of long code spread-spectrum signal | |
| CN100581068C (en) | A hybrid serial-parallel correlation acquisition method for multi-constellation satellite signals | |
| CN110456393A (en) | Beidou weak signal quick capturing method | |
| CN108196274A (en) | Be applicable in BOC (n, n) signal without fuzziness catching method and device | |
| CN115499036B (en) | Parallel capturing method and storage medium for broadband spread spectrum signal | |
| CN103197328A (en) | High dynamic satellite receiver fast capture method based on 2 ms data storage | |
| CN102798871B (en) | Pseudo code capturing method and device based on pseudo code reconstruction | |
| JP6061773B2 (en) | Signal processing apparatus, signal processing method, and signal processing program | |
| CN113904905B (en) | Capturing device and method for dynamic direct-spread GMSK signal |
| Date | Code | Title | Description |
|---|---|---|---|
| PB01 | Publication | ||
| PB01 | Publication | ||
| SE01 | Entry into force of request for substantive examination | ||
| SE01 | Entry into force of request for substantive examination | ||
| GR01 | Patent grant | ||
| GR01 | Patent grant |