Movatterモバイル変換


[0]ホーム

URL:


CN116308048A - Interactive display method - Google Patents

Interactive display method
Download PDF

Info

Publication number
CN116308048A
CN116308048ACN202310259956.2ACN202310259956ACN116308048ACN 116308048 ACN116308048 ACN 116308048ACN 202310259956 ACN202310259956 ACN 202310259956ACN 116308048 ACN116308048 ACN 116308048A
Authority
CN
China
Prior art keywords
area
warehouse
task
displaying
optimization
Prior art date
Legal status (The legal status is an assumption and is not a legal conclusion. Google has not performed a legal analysis and makes no representation as to the accuracy of the status listed.)
Granted
Application number
CN202310259956.2A
Other languages
Chinese (zh)
Other versions
CN116308048B (en
Inventor
滕立武
陈鹏
刘振洋
叶尉东
邓其鹏
蔡伦
贺绍丙
Current Assignee (The listed assignees may be inaccurate. Google has not performed a legal analysis and makes no representation or warranty as to the accuracy of the list.)
Zhuhai Lehuo Commune Network Technology Co ltd
Original Assignee
Zhuhai Lehuo Commune Network Technology Co ltd
Priority date (The priority date is an assumption and is not a legal conclusion. Google has not performed a legal analysis and makes no representation as to the accuracy of the date listed.)
Filing date
Publication date
Application filed by Zhuhai Lehuo Commune Network Technology Co ltdfiledCriticalZhuhai Lehuo Commune Network Technology Co ltd
Priority to CN202310259956.2ApriorityCriticalpatent/CN116308048B/en
Publication of CN116308048ApublicationCriticalpatent/CN116308048A/en
Application grantedgrantedCritical
Publication of CN116308048BpublicationCriticalpatent/CN116308048B/en
Activelegal-statusCriticalCurrent
Anticipated expirationlegal-statusCritical

Links

Images

Classifications

Landscapes

Abstract

The invention discloses an interactive display method, which comprises the following steps: displaying a main interface; responding to a selection instruction of the force layout optimization area, and displaying a submenu of the area; responding to a selected instruction of a warehouse detail area of the submenu, and displaying a warehouse main interface; responding to a selected instruction of an optimization suggestion region of the submenu, and displaying an optimization suggestion main interface; in response to a selection instruction for a reserve layout optimization area, displaying a submenu for the area; responding to a selected instruction of a history task optimization area of the submenu, and displaying a history task optimization main interface; and responding to the selected instruction of the simulation task optimization area of the submenu, and displaying a simulation task optimization main interface. The method is used for displaying the related interface of the storage layout optimization, a user can complete the layout optimization of the storage through the related interface, and the method also intuitively provides the data visualization icon so as to facilitate the user to excavate, drill and integrate the data, and the method can be widely applied to the field of the storage layout of the materials.

Description

Interactive display method
The application is a divisional application of application with the application date of 2022, 9 months and 30 days, the application number of 202211206673.3 and the name of 'storage layout optimization auxiliary decision method and interactive display method'.
Technical Field
The invention relates to the technical field of material storage layout, in particular to a storage layout optimization auxiliary decision-making method and an interactive display method.
Background
In a traditional warehouse management system, whether the scheduling and cost of the warehouse are evaluated and established before the warehouse is established and whether the material distribution of the warehouse is reasonable are judged, however, the warehouse is not analyzed by combining the actual use process after the warehouse is established, whether the warehouse needs to be optimized is not considered too much, the phenomena that part of the warehouse is distributed too dispersedly and part of the warehouse is too concentrated are caused, and the efficiency and the speed of the warehouse for material guarantee are low.
Meanwhile, in the process of scheduling the materials, a decision maker can make a transportation scheme of the materials according to factors such as transportation distance, transportation conditions, whether the materials are sufficient or not before the materials are transported, and after the materials are transported, the decision maker does not analyze the places needing to be optimized in the task from a global angle, such as whether the scheduling of the materials is reasonable or not, whether the transportation time can be improved or not, whether the material reserve type needs to be optimized or not, and the like. Due to the lack of analysis of the thematic task, the original problems of the material transportation scheme when the next thematic task is carried out are still not solved, the transportation scheme is not reasonably optimized, the material transportation efficiency is easily reduced, and the material cannot be timely and efficiently transported to the demand place if serious.
Disclosure of Invention
The embodiment of the application provides a warehouse layout optimization auxiliary decision-making method and an interactive display method, which are used for solving the problems of discrete warehouse distribution, repeated construction and resource waste.
The invention solves the technical problems as follows: in a first aspect, a warehouse layout optimization aid decision method is provided, comprising the steps of:
acquiring an optimization request, wherein the optimization request carries a target identifier;
when the optimization request is identified to carry the target identifier, executing an optimization scheme corresponding to the target identifier;
wherein the target identifier comprises any one of a first optimization identifier or a second optimization identifier; the optimization scheme corresponding to the target identifier comprises any one of a first optimization scheme or a second optimization scheme;
when the optimization request is identified to carry the target identifier, executing an optimization scheme corresponding to the target identifier, wherein the optimization scheme comprises the following steps:
executing the first optimization scheme when the optimization request is identified to carry the first optimization identification; the executing the first optimization scheme includes: calculating the comprehensive score of a target warehouse by acquiring the material type information, the space position information, the city information and the warehouse type information of the target warehouse, and optimizing the target warehouse with the comprehensive score lower than a preset first threshold value;
Or when the fact that the optimization request carries the second optimization identification is identified, executing the second optimization scheme; the executing the second optimization scheme includes: and determining the utilization rate of the simulation warehouse and the transportation efficiency of the corresponding transportation main body through the simulation operation of the simulation task, and further optimizing the simulation warehouse with the utilization rate lower than a preset second threshold value and optimizing the transportation main body with the transportation efficiency lower than a preset third threshold value.
In a second aspect, an interactive display method is provided, comprising the steps of:
displaying a main interface in the terminal, wherein the main interface comprises a force layout optimization area and a reserve layout optimization area;
in response to a selected instruction for the force layout optimization area, displaying a submenu of the force layout optimization area in a main interface, the submenu of the force layout optimization area including a warehouse detail area and an optimization suggestion area;
responsive to a selected instruction for the warehouse detail region, displaying a warehouse main interface, the warehouse main interface including a warehouse information region, a first view detail region, a warehouse detail region, and a first weight setting region;
displaying a weight setting window in response to a selected instruction to the first weight setting area, wherein the weight setting window comprises a weight setting completion control, and displaying the warehouse main interface in response to a trigger instruction to the weight setting completion control;
Responsive to a selected instruction for the optimization suggestion region, displaying an optimization suggestion master interface including a warehouse listing region, a dispersion information region, a second weight setting region, and a lower scoring warehouse region;
displaying a weight setting window in response to a selected instruction of the second weight setting area, wherein the weight setting window comprises a weight setting completion control, and displaying the optimization suggestion main interface in response to a triggering instruction of the weight setting completion control;
the weight setting window comprises a warehouse task area, a space position area, a traffic condition area and a basic condition area;
in response to a selected instruction for the reserve layout optimization area, displaying a submenu of the reserve layout optimization area in the main interface, the submenu of the reserve layout optimization area including a historical task optimization area and a simulated task optimization area;
responding to a selected instruction of the historical task optimization area, displaying a historical task optimization main interface, wherein the historical task optimization main interface comprises a historical task information area, a historical comprehensive data area and a task warehouse detail area;
And responding to the selected instruction of the simulation task optimization area, displaying a simulation task optimization main interface, wherein the simulation task optimization main interface comprises a simulation task execution area, a current comprehensive data area and a simulation warehouse detail area.
The embodiment of the application at least comprises the following beneficial effects: the storage layout optimization auxiliary decision-making method and the interactive display method are provided, and the decision-making method comprises the following steps: acquiring an optimization request; when the optimization request is identified to carry the target identifier, executing an optimization scheme corresponding to the target identifier; the first optimization scheme is performed when the first optimization designation is identified, or the second optimization scheme is performed when the second optimization designation is identified. Executing the first optimization scheme includes: calculating the comprehensive score of the target warehouse by acquiring the material type information, the spatial position information, the city information and the warehouse type information of the target warehouse, and optimizing the target warehouse with the comprehensive score lower than a preset first threshold value; executing the second optimization scheme includes: and determining the utilization rate of the simulation warehouse and the transportation efficiency of the corresponding transportation main body through simulation operation of the simulation task, optimizing the simulation warehouse with the utilization rate lower than a preset second threshold value and optimizing the transportation main body with the transportation efficiency lower than a preset third threshold value. The method comprises the steps of comprehensively scoring the warehouse through four dimensions of warehouse tasks, space positions, traffic conditions and basic conditions, integrating the warehouses after ranking and providing an optimization scheme; in addition, aiming at the material transportation task, comprehensive calculation is carried out on the rationality of the task warehouse and material allocation, the peripheral warehouse is radiated, the material storage and supply conditions are checked, and an optimal solution of material allocation is found out; the method and the system provide decision-making auxiliary support for construction planning such as storage integration merging, shrinkage point position, warehouse task adjustment and the like, improve the rationality of storage layout, and enable the storage layout to be closer to the material demands of the demand party.
Drawings
FIG. 1 is a general flow chart of a warehouse layout optimization aid decision making method provided in an embodiment of the present application;
FIG. 2 is a flowchart of obtaining a first index score according to the material type information provided in the embodiment of the present application;
FIG. 3 is a flowchart of obtaining a second index score according to spatial location information according to an embodiment of the present disclosure;
FIG. 4 is a flowchart of obtaining a third index score according to city information according to an embodiment of the present disclosure;
FIG. 5 is a flowchart of obtaining a fourth index score according to the library information provided in the embodiment of the present application;
FIG. 6 is a flowchart of performing a second optimization scheme according to an embodiment of the present application;
FIG. 7 is a schematic diagram of a warehouse main interface provided by an embodiment of the present application;
FIG. 8 is a schematic diagram of an optimization suggestion main interface provided by an embodiment of the present application;
FIG. 9 is a schematic diagram of a historical task optimization main interface provided by an embodiment of the present application;
FIG. 10 is a schematic diagram of a historical task information area and a historical integrated data area in a historical task optimization main interface provided in an embodiment of the present application;
FIG. 11 is a schematic diagram of a task warehouse detail area in a history task optimization main interface provided in an embodiment of the present application;
FIG. 12 is a schematic diagram of a simulation task optimization main interface provided in an embodiment of the present application;
FIG. 13 is a schematic diagram of a simulation task execution area and a current integrated data area in a simulation task optimization main interface provided in an embodiment of the present application;
FIG. 14 is a schematic diagram of a simulation warehouse detail area in a simulation task optimization main interface provided by an embodiment of the present application;
FIG. 15 is a schematic diagram of a warehouse task sub-interface provided by an embodiment of the present application;
FIG. 16 is a schematic diagram of a spatial location sub-interface provided by an embodiment of the present application;
FIG. 17 is a schematic diagram of a traffic condition sub-interface provided by an embodiment of the present application;
FIG. 18 is a schematic diagram of a base condition sub-interface provided by an embodiment of the present application;
FIG. 19 is a schematic diagram of an add task window provided in an embodiment of the present application;
fig. 20 is a schematic diagram of a material editing window according to an embodiment of the present application.
Detailed Description
In order to make the objects, technical solutions and advantages of the present application more apparent, the present application will be further described in detail with reference to the accompanying drawings and examples. It should be understood that the specific embodiments described herein are for purposes of illustration only and are not intended to limit the present application.
The present application is further described below with reference to the drawings and specific examples. The described embodiments should not be construed as limitations on the present application, and all other embodiments, which may be made by those of ordinary skill in the art without the exercise of inventive faculty, are intended to be within the scope of the present application.
In the following description, reference is made to "some embodiments" which describe a subset of all possible embodiments, but it is to be understood that "some embodiments" can be the same subset or different subsets of all possible embodiments and can be combined with one another without conflict.
Unless defined otherwise, all technical and scientific terms used herein have the same meaning as commonly understood by one of ordinary skill in the art to which this application belongs. The terminology used herein is for the purpose of describing embodiments of the present application only and is not intended to be limiting of the present application.
Before further describing embodiments of the present application in detail, the terms and expressions that are referred to in the embodiments of the present application are described, and are suitable for the following explanation.
(1) The warehouse is constructed for coping with the uncoordinated supply and solving the problem of the supply of the materials of temporary special tasks, and is characterized by large material storage capacity, long material storage period and high concentration of the materials, and as the materials stored in the warehouse are possibly called at any time, once the materials are allocated, the stored materials of the warehouse not only meet the demand of material allocation, but also ensure that the materials are delivered to a demand point in time, so that the site selection and layout of the warehouse are important.
(2) Warehouse layout, namely warehouse storage layout, is scientific planning and overall design of the quantity, scale, geographic position, warehouse facilities, roads and other elements of warehouses in a certain area or warehouse area. The layout of the warehouse and its reserves should take into account the following aspects: firstly, the distribution quantity and scale of the warehouse and the service range covered by the warehouse; secondly, the distance between the site selection of the warehouse and the demand party; thirdly, the transportation junction of the warehouse determines whether the warehouse can timely and efficiently send the materials to the demander; fourth, the size and capacity of the warehouse species, such as the size and capacity of ground, oil and cave warehouses. In addition to the above four aspects, the warehouse layout also needs to consider the efficiency of transporting the main body in each material transporting task, and the transporting main body can be understood as a logistics for transporting the material from the warehouse to the demander, and the efficiency of the transporting main body determines whether the material can be timely transported to the demander.
(3) Warehouse tasks, i.e., the supply of supplies undertaken by the warehouse. The degree of fullness of the warehouse task and the contribution rate of the warehouse task to material scheduling are important consideration factors of warehouse layout.
(4) The spatial location, i.e. the spatial location of the warehouse, may be understood as the geographical location where the warehouse is located. The distance between the warehouse and the demander influences the material logistics transportation efficiency to a great extent.
(5) Traffic conditions, i.e. traffic network distribution around the warehouse. The transportation efficiency and the transportation mode of the materials are greatly affected by the quality of the traffic condition of the warehouse, and the traffic condition of the warehouse in the technical field of the application can be divided into a first area traffic hub, a second area traffic hub and a third area traffic hub, wherein the coverage area of the second area traffic hub is larger than that of the third area traffic hub and smaller than that of the first area traffic hub.
(6) The base conditions, i.e., the infrastructure conditions of the warehouse, include the types of supplies that the warehouse can store and the infrastructure deployed within the warehouse, with the surface, oil and cave libraries being common infrastructure deployed within the warehouse. The basic conditions of the warehouse determine the amount of supplies that the warehouse can provide.
(7) Interactive display technology. The interactive technology is a technology for realizing the conversation between the human and the robot in an effective mode through the input and output equipment of the computer, and the interactive display technology is a technology for displaying the content of the human-computer interaction on a display screen when the human-computer interaction is carried out.
The existing warehouse storage layout has the problems of discrete distribution, repeated construction, resource waste and the like, although the cost of the warehouse and the distribution and scheduling of materials can be evaluated before the warehouse is built, so that the warehouse can meet the material demands of the consumers. With the rapid development of economy, the environment and conditions near the warehouse are inevitably changed, which may lead to the fact that the warehouse cannot meet the material demands of the consumers, such as the change of a traffic network near the warehouse, and the reduction of optional transportation modes of the warehouse leads to the low material transportation efficiency of the warehouse. After the warehouse is built, the built warehouse is rarely evaluated and optimized, the problems of the warehouse cannot be optimized and solved, the problems of the warehouse are accumulated, and finally the warehouse is behind and can not serve the demander any more.
Meanwhile, in each material transportation task, a decision maker can make a current material transportation scheme according to factors such as the transportation distance of materials, the transportation conditions near a warehouse, whether the materials in the warehouse are sufficient and the like before transporting the materials, however, after the material transportation task is finished, the problems in the current material transportation task are not solved and optimized, whether the material scheduling in the current material transportation task is reasonable, whether the transportation efficiency can be improved, whether the material reserve type needs to be optimized and the like are not considered, so that the problems such as low transportation efficiency, unreasonable material scheduling, insufficient material reserve and the like possibly occur in the next material transportation task.
In order to solve the problems of discrete warehouse distribution, repeated construction, resource waste, unreasonable material transportation tasks and the like, the embodiment of the application provides a warehouse layout optimization aid decision-making method, corresponding optimization schemes are executed according to target identifiers carried by optimization requests, and the optimization schemes are divided into a first optimization scheme and a second optimization scheme. The first optimization scheme aims at planning data operation results according to the logistics hub layout of the user, comprehensively scores the warehouse through four dimension indexes of warehouse tasks, space positions, traffic conditions and basic conditions, integrates the warehouses with the ranked names and provides an optimization scheme so as to optimize the warehouses with the ranked names and improve the rationality of the warehouse layout. The second optimization scheme is used for evaluating the simulation task which is completed in the history and simulating a new thematic task aiming at the thematic task, namely the material transportation task; and comprehensively calculating the rationality of the task warehouse and the material allocation, radiating the peripheral warehouse, checking the material storage and supply condition, and finding out the optimal solution of the material allocation. The method and the system provide decision-making auxiliary support for construction planning such as storage integration merging, shrinkage point position, warehouse task adjustment and the like, improve the rationality of storage layout, and enable the storage layout to be closer to the material demands of the demand party.
In addition, the application also provides an interactive display method for displaying the related interface of the warehouse layout optimization, and a user can complete the layout optimization of warehouse through the related interface. Meanwhile, the interactive display method also intuitively provides the data visualization icon so as to facilitate the user to excavate, drill and integrate the data.
The storage layout optimization auxiliary decision-making method provided by the application comprises the following steps:
acquiring an optimization request, wherein the optimization request carries a target identifier;
when the optimization request is identified to carry the target identifier, executing an optimization scheme corresponding to the target identifier;
the target identifier includes either one of the first optimization identifier or the second optimization identifier.
It should be noted that, the optimization scheme corresponding to the target identifier includes any one of the first optimization scheme or the second optimization scheme.
In the application, the first optimization scheme is used for optimizing the strength layout of the warehouse, comprehensively grading the warehouse through four dimension indexes of warehouse tasks, space positions, traffic conditions and basic conditions, integrating the warehouse after ranking and providing the optimization scheme so as to optimize the warehouse after ranking and improving the rationality of the strength layout of the warehouse. The second optimizing scheme is used for optimizing the storage layout of the warehouse, evaluating the simulation task which is completed in history and simulating a new thematic task, comprehensively calculating the rationality of task warehouse and material allocation, and providing a better solution of material allocation.
Referring to fig. 1, fig. 1 is a flowchart of a warehouse layout optimization aid decision method according to an embodiment of the present application. In one embodiment of the present application, when it is identified that the optimization request carries a target identifier, executing an optimization scheme corresponding to the target identifier includes:
and executing a first optimization scheme when the optimization request is identified to carry the first optimization identification.
Wherein, the first optimization scheme is executed as follows: acquiring basic data of a target warehouse, wherein the basic data comprises material type information, space position information, city information and stock type information of the target warehouse; scoring the target warehouse according to the basic data, and calculating to obtain the comprehensive score of the target warehouse; and screening out target warehouses with the comprehensive scores lower than a preset first threshold according to the comprehensive scores, and optimizing the target warehouses.
It should be noted that the first threshold may be determined according to practical situations, which is not limited in this application. The material type information is information related to the materials stored in the target warehouse, such as the kinds of the materials, the stock quantity of the materials, and the like. The spatial location information is a specific geographic location of the target warehouse. The geographic location information may be longitude and latitude, or may be other measurement units, which is not limited in this application. The city information is a city to which a specific geographic location of the target warehouse belongs, and the city to which the specific geographic location belongs may be any one of a provincial city, a municipal city or a county city, which is not limited in this application. The library seed information is library seeds deployed in the target warehouse, and the library seed information comprises one or more of a ground library, an oil library and a cave library.
Or executing a second optimization scheme when the optimization request is identified to carry the second optimization identification.
It should be noted that, executing the second optimization scheme is: determining the utilization rate of the simulation warehouse and the transportation efficiency of the transportation main body corresponding to the simulation warehouse by performing simulation operation on the simulation task; screening and optimizing the simulated warehouse with the usage rate lower than a preset second threshold value and the transportation main body with the transportation efficiency lower than a preset third threshold value.
It should be noted that the second threshold value and the third threshold value may be determined according to practical situations, which is not limited in this application.
In the step, according to the activity degree of the simulation warehouse and the transportation efficiency of the simulation transportation main body, the simulation warehouse with the highest activity degree and the highest transportation efficiency of the simulation transportation main body is selected as the optimal simulation warehouse for executing the simulation task, and the simulation transportation main body is used as the optimal transportation main body for executing the simulation task and simulating the transportation of the materials. The simulation warehouse and the transport main body correspond to the warehouse and the transport main body in the actual material transport task, and the optimal transport scheme when the actual material transport task is executed can be obtained by selecting the optimal simulation warehouse and the optimal transport main body, so that the situations of low efficiency, unreasonable material scheduling and the like in the material transport task are avoided.
In the application, each aspect of the target warehouse is respectively scored through the material type information, the space position information, the city information and the warehouse type information of the target warehouse when the first optimization scheme is executed. The scoring dimension of the target warehouse can be divided into four dimensions of warehouse tasks, spatial locations, traffic conditions and basic conditions: scoring warehouse tasks of the target warehouse through the material type information; scoring the spatial position of the target warehouse through the spatial position information; scoring traffic conditions of the target warehouse through city information; and scoring the basic conditions through library seed information of the target warehouse. And then, the current storage condition of the target warehouse can be obtained through the four grading dimensions, and the target warehouse can be correspondingly adjusted and optimized according to the storage condition.
Optionally, scoring the target warehouse according to the material type information to obtain a first index score. And scoring the target warehouse according to the space position information to obtain a second index score. And scoring the target warehouse according to the city information to obtain a third index score. And scoring the target warehouse according to the library type information to obtain a fourth index score. Thereafter, a first weight is assigned to the first indicator, a second weight is assigned to the second indicator, a third weight is assigned to the third indicator, and a fourth weight is assigned to the fourth indicator. And weighting the first index score given with the first weight, the second index score given with the second weight, the third index score given with the third weight and the fourth index score given with the fourth weight to obtain the target warehouse comprehensive score. The sum of the first weight, the second weight, the third weight and the fourth weight is equal to one, and the first weight, the second weight, the third weight and the fourth weight are all located in the [0,1] interval. The first weight, the second weight, the third weight, and the fourth weight may be determined according to actual situations, which is not limited in the present application.
With reference to fig. 1 to 5, the implementation procedure of executing the first optimization scheme will be explained and explained below. Referring to fig. 1 and fig. 2, fig. 2 is a flowchart of obtaining a first index score according to material type information provided in an embodiment of the present application. In one embodiment of the present application, a process of scoring warehouse tasks of a target warehouse according to material type information to obtain a first index score is described and illustrated below. Calculating a composite score for the target warehouse by obtaining the material type information, the spatial location information, the city information and the inventory type information of the target warehouse includes:
and 100, scoring warehouse tasks of the target warehouse according to the material type information to obtain a first index score.
It should be noted that the first score includes any one of the first material score or the second material score.
Scoring warehouse tasks of the target warehouse according to the material type information to obtain a first index score, including:
101, judging whether the material type information belongs to scrapped materials or finished oil;
102, when the material type information belongs to any one of scrapped materials or finished oil, giving a first material score to a warehouse task of a target warehouse;
And 103, giving a second asset score to the warehouse task of the target warehouse when the asset type information does not belong to the scrapped asset and does not belong to the finished oil.
It should be noted that the first material score is smaller than the second material score.
In this embodiment, since the degree of fullness of the warehouse to bear the supply task of the material reserve and the contribution rate thereof to the material scheduling are important consideration factors for the point position adjustment of the warehouse, the degree of fullness of the warehouse and the contribution rate of the material guarantee are directly influenced by the stored materials. If one warehouse mainly reserves materials to be scrapped and oil storage materials, the fullness and the material guarantee contribution rate of the warehouse are very low. According to the method and the system, the current situation of the warehouse tasks of the plurality of target warehouses is analyzed and scored through the material type information of the target warehouses to obtain the first index score, the first index score characterizes the advantages and disadvantages of the warehouse tasks of the target warehouses, and the lower the first index score is, the more items to be optimized of the warehouse tasks of the target warehouses are indicated. According to the method and the system, the warehouse for storing the materials to be scrapped and the oil is integrated, adjusted and optimized according to the final score of the warehouse task.
Referring to fig. 1 and fig. 3, fig. 3 is a flowchart of obtaining a second index score according to spatial location information according to an embodiment of the present application. In one embodiment of the present application, a process of scoring a spatial location of a target warehouse according to spatial location information to obtain a second index score is described and illustrated below. Calculating a comprehensive score of the target warehouse by acquiring the material type information, the spatial position information, the city information and the warehouse type information of the target warehouse, and further comprising:
And 200, scoring the spatial position of the target warehouse according to the spatial position information to obtain a second index score.
It should be noted that the second index score includes any one of the first location score, the second location score, or the third location score.
Scoring the spatial location of the target warehouse according to the spatial location information to obtain a second index score, including:
and 201, calculating the material transportation distance of the target warehouse according to the space position information, and comparing the material transportation distance with a preset distance range.
The material transportation distance is the distance between the target warehouse and the demander.
202, when the material transportation distance is greater than or equal to the upper limit value of the distance range, giving a first position score to the spatial position of the target warehouse;
203, when the material transportation distance is within the distance range, giving a second position score to the spatial position of the target warehouse;
204, when the asset transportation distance is less than or equal to the lower limit value of the distance range, assigning a third location score to the spatial location of the target warehouse.
It should be noted that the first location score is smaller than the second location score, and the second location score is smaller than the third location score.
The distance range may be determined according to practical situations, and the distance range is not limited in this application.
In this embodiment, the warehouse is typically located around the social production and life demanding parties, and the location of the warehouse largely affects the material flow. The closer the warehouse is to the demander, the flexible the warehouse is, and the economic benefit and the time efficiency are the highest. And the more distant the warehouse from the demand party is, the more single transportation means are adopted, and the transportation efficiency is low. Thus, there is also a need to integrate, adjust and optimize those warehouses that are farther from the demand party while preserving warehouses that are closer to the demand party.
When the material transportation distance is greater than or equal to the upper limit value of the distance range, the transportation means for transporting the materials are mostly single transportation means, and the combination modes of railway, waterway and even air transportation are needed to be considered for transporting the materials. The more this combination is, the higher the cost and the slower the transport efficiency. Thus, the spatial location of the target warehouse is given a first location score, which is the lowest. When the material transportation distance is within the distance range, the transportation means for transporting the material are more, and the possibility of considering the combination mode of railway, waterway and even air transportation is lower. The transportation cost and the transportation efficiency are moderate. Thus, the spatial location of the target warehouse is given a second location score, which is between the first location score and the third location score. When the material transportation distance is smaller than or equal to the lower limit value of the distance range, the transportation mode of transporting the materials is mainly land transportation, and the whole vehicle loading, the whole vehicle sending and the whole vehicle receiving can be realized, and the dispatching is flexible; and the highest economic benefit and time efficiency can be realized. Thus, the spatial location of the target warehouse is given a third location score, which is highest.
According to the method and the device, the current situation of the spatial positions of the plurality of target warehouses is analyzed and scored through the spatial position information of the target warehouses, and the second index score is obtained. The second index score characterizes the advantages and disadvantages of the spatial position of the target warehouse, and the lower the second index score is, the more items to be optimized of the spatial position of the target warehouse are indicated. According to the method and the system, the warehouse far away from the demand party is integrated, adjusted and optimized according to the final score of the space position.
Referring to fig. 1 and fig. 4, fig. 4 is a flowchart of obtaining a third index score according to city information according to an embodiment of the present application. In one embodiment of the present application, a process of scoring traffic conditions of a target warehouse according to city information to obtain a third index score is described and illustrated below. Calculating a comprehensive score of the target warehouse by acquiring the material type information, the spatial position information, the city information and the warehouse type information of the target warehouse, and further comprising:
and 300, scoring the traffic condition of the target warehouse according to the city information to obtain a third index score.
It should be noted that the third index score includes any one of the first traffic score, the second traffic score, the third traffic score, or the fourth traffic score.
Scoring traffic conditions of the target warehouse according to the city information to obtain a third index score, including:
301, obtaining a traffic hub type corresponding to the city information according to the city information;
302, when the traffic junction type corresponding to the city information accords with the traffic junction of the first area, giving a first traffic score to the traffic condition of the target warehouse;
303, when the traffic junction type corresponding to the city information accords with the traffic junction of the second area, giving a second traffic score to the traffic condition of the target warehouse;
304, when the traffic junction type corresponding to the city information accords with a third regional traffic junction, giving a third traffic score to the traffic condition of the target warehouse;
and 305, when the traffic junction type corresponding to the city information does not accord with the first area traffic junction, the second area traffic junction and the third area traffic junction, giving a fourth traffic score to the traffic condition of the target warehouse.
It should be noted that the first traffic score is greater than the second traffic score, the second traffic score is greater than the third traffic score, and the third traffic score is greater than the fourth traffic score.
It should be noted that, the coverage area of the first regional transportation hub is larger than the coverage area of the second regional transportation hub, and the coverage area of the second regional transportation hub is larger than the coverage area of the third regional transportation hub.
In this embodiment, the distribution of the materials has a high requirement on the traffic condition, so as to ensure that the required materials can be timely delivered to the required party. Some warehouses can deliver materials by means of railways, highways, inland navigation, etc., while some warehouses can only deliver materials by means of air transportation. Traffic conditions directly affect the cost and efficiency of transportation of materials. Generally, cities can be divided into three types of traffic hubs, a second regional traffic hub, a first regional traffic hub, and a third regional traffic hub.
It is understood that the first regional transportation hub refers to a transportation hub system in which a plurality of transportation modes (such as railway, highway, aviation, inland shipping, harbor, transportation pipeline, etc.) are integrated. And when the city information accords with the first regional transportation junction, giving a first traffic score to the traffic condition of the target warehouse, wherein the first traffic score is the highest. The second regional transportation junction refers to a transportation system with transportation facilities such as railway, highway, aviation, water transportation and the like, and the coverage area of the second regional transportation junction is smaller than that of the first regional transportation junction. And when the city information accords with the second regional transportation junction, giving a second traffic score to the transportation condition of the target warehouse, wherein the second traffic score is moderate. The third regional transportation junction meets the requirements of zero-distance transfer and seamless connection; the third traffic junction is an organically connected traffic junction system of water transportation, railway, highway, aviation and pipeline, and the coverage area of the third traffic junction system is smaller than that of the second area traffic junction system. And when the city information accords with the third regional transportation junction, giving a third traffic score to the transportation condition of the target warehouse, wherein the third traffic score is the lowest.
According to the method, the current traffic condition of the target warehouses is analyzed and scored through the city information of the target warehouses, and the third index score is obtained. The third index score characterizes the quality of the traffic condition of the target warehouse, and the lower the third index score is, the more items to be optimized of the traffic condition of the target warehouse are indicated. The warehouse located in the third regional transportation hub is integrated, adjusted and optimized through the third index score.
Referring to fig. 1 and fig. 5, fig. 5 is a flowchart of obtaining a fourth index score according to library information according to an embodiment of the present application. In one embodiment of the present application, a process of scoring the basic condition of the target warehouse according to the warehouse seed information to obtain the fourth index score is described and explained below. Calculating a comprehensive score of the target warehouse by acquiring the material type information, the spatial position information, the city information and the warehouse type information of the target warehouse, and further comprising:
and 400, scoring the basic conditions of the target warehouse according to the library type information to obtain a fourth index score. Scoring the basic conditions of the target warehouse according to the warehouse seed information to obtain a fourth index score, including:
and 401, scoring the ground warehouse of the target warehouse according to the ground warehouse area to obtain a first basic condition score.
It should be noted that the first base condition score includes either one of the first ground pool score or the second ground pool score.
And 402, scoring the oil depot of the target warehouse according to the oil depot capacity to obtain a second basic condition score.
It should be noted that the second base score includes any one of the first oil depot score, the second oil depot score, or the third oil depot score.
And 403, scoring the cave depot of the target warehouse according to the cave depot area to obtain a third basic condition score.
It should be noted that the third base condition score includes any one of the first hole pool score, the second hole pool score, or the third hole pool score.
And 404, calculating to obtain a fourth index score according to the first basic condition score, the second basic condition score and the third basic condition score.
Optionally, in this step, a first sub-weight is assigned to the first base condition score, a second sub-weight is assigned to the second base condition score, and a third sub-weight is assigned to the third base condition score, respectively. And then, weighting the first basic condition score given with the first sub-weight, the second basic condition score given with the second sub-weight and the third basic condition score given with the third sub-weight to obtain a fourth index score.
In this embodiment, the basic condition is used as a scoring content important for the warehouse, and compared with the traffic condition, the spatial position and the warehouse task, the basic condition of the warehouse, such as the attribute of the warehouse and the area of the warehouse, has higher value. The basic condition influences the construction cost of the warehouse, the development and construction of the warehouse are based on the existing warehouse resources as far as possible, and the warehouse with larger warehouse capacity area, better basic condition and stronger expansion capability is reserved. Meanwhile, the basic condition is an important factor for evaluating whether a warehouse is important or not and whether the warehouse is worth preserving. But also has larger gap in matched facilities due to different warehouse types included in the warehouse. Generally, the warehouse seeds of the warehouse comprise a ground warehouse, an oil warehouse and a cave warehouse, and the three warehouse seeds can influence the actual effect of the warehouse and also directly influence the actual value of the warehouse. If the various libraries of a warehouse are complete, the warehouse can be used as a material distribution area to allocate materials for the peripheral warehouse in combination with the use area of the various libraries. However, if one warehouse has few warehouse types, the actual value of the warehouse is low, and the kinds of materials which can be allocated are few. Meanwhile, the basic condition is used as a scoring content important for the material warehouse, and compared with traffic conditions, space positions and warehouse tasks, the attribute of the warehouse and the area of the warehouse have higher value and significance. Therefore, when the basic conditions of the target warehouse are scored, the ground warehouse, the oil warehouse and the cave warehouse of the target warehouse are scored respectively, and the first basic condition score corresponding to the ground warehouse, the second basic condition score corresponding to the oil warehouse and the third basic condition score corresponding to the cave warehouse are obtained. Then, the sub-weights corresponding to the three basic condition scores are respectively given. And calculating a fourth index score according to the first basic condition score given to the first sub-weight, the second basic condition score given to the second sub-weight and the third basic condition score given to the third sub-weight.
Further, scoring the ground pool of the target warehouse according to the ground pool area includes:
4011, comparing the ground warehouse area with a preset ground warehouse area threshold value;
4012, when the ground pool area is greater than or equal to the ground pool area threshold, assigning a first ground pool score to the ground pool;
4013, when the floor pool area is less than the floor pool area threshold, assigning a second floor pool score to the floor pool.
It should be noted that the first ground pool score is greater than the second ground pool score. The ground warehouse area threshold value can be dynamically adjusted according to the average storage capacity of the ground warehouse, the number of the ground warehouses and the cost for constructing the ground warehouse, and the ground warehouse area threshold value is not limited in the application.
In this embodiment, the ground library of the target warehouse is analyzed and scored according to the ground library area. The ground warehouse is a conventional warehouse built on the ground, can store conventional materials without special requirements, and has low construction cost and high use frequency. The present situation of the ground warehouse is analyzed through the ground warehouse area, and the smaller the ground warehouse area is, the lower the ground warehouse score is, the more the aspect that the ground warehouse needs to be optimized is represented. Based on this, a first ground pool score is assigned to the ground pool when the ground pool area is greater than or equal to the ground pool area threshold. And giving a ground pool a second ground pool score when the ground pool area is less than the ground pool area threshold. The first base condition score includes either a first ground pool score or a second ground pool score, the first base condition score characterizing the quality of the ground pool of the target warehouse. The method integrates, adjusts and optimizes the ground library of the target warehouse according to the first basic condition score.
Further, scoring the oil depot of the target warehouse according to the oil depot capacity includes:
4021, comparing the capacity of the oil depot with a preset capacity range of the oil depot;
4022, when the oil depot capacity is greater than or equal to the upper limit value of the oil depot capacity range, giving a first oil depot score to the oil depot;
4023, assigning a second oil depot score to the oil depot when the oil depot capacity is within the range of oil depot capacities;
4024, when the reservoir capacity is less than or equal to the lower limit of the reservoir capacity range, assigning a third reservoir score to the reservoir.
It should be noted that the first oil depot score is greater than the second oil depot score, which is greater than the third oil depot score. The capacity range of the oil depot can be dynamically adjusted according to the average storage amount of the oil depot, the number of the oil depots and the cost for constructing the oil depot, and the application is not limited to the method. Optionally, the lower limit of the range of reservoir capacities is 0.
In this embodiment, the oil depot of the target warehouse is analyzed and scored according to the oil depot capacity. An oil depot is a warehouse that can accept, store, and dispense crude oil or crude oil supplies. Because the oil has specificity, the oil needs to be stored by corresponding oil reservoirs and special equipment for the oil, and therefore, the cost of the oil reservoirs is high. According to the method and the device, the current situation of the oil depot is analyzed through the oil depot capacity, and the smaller the oil depot capacity is, the lower the oil depot score is, the more the oil depot needs to be optimized. Based on this, a first reservoir score is assigned to the reservoir when the reservoir capacity is greater than or equal to the upper limit of the reservoir capacity range. The oil depot is given a second oil depot score when the oil depot capacity is within the range of oil depot capacities. And when the oil depot capacity is smaller than or equal to the lower limit value of the oil depot capacity range, giving a third oil depot score to the oil depot. The second base condition score includes any one of a first oil depot score, a second oil depot score, or a third oil depot score, the second base condition score characterizing the goodness of the oil depot for the target condition. The oil depot of the target warehouse is integrated, adjusted and optimized according to the second basic condition score.
Further, scoring the hole pool of the target warehouse according to the hole pool area includes:
4031, comparing the hole library area with a preset hole library area range;
4032, assigning a first hole pool score to the hole pool when the hole pool area is greater than or equal to the upper limit of the hole pool area range;
4033, assigning a second hole pool score to the hole pool when the hole pool area is within the hole pool area range;
4034, assigning a third hole pool score to the hole pool when the hole pool area is less than or equal to the lower limit of the hole pool area range;
it should be noted that the first hole pool score is greater than the second hole pool score, and the second hole pool score is greater than the third hole pool score. The area range of the cave depot can be dynamically adjusted according to the average storage capacity of the cave depot, the number of the cave depots and the cost for constructing the cave depot, which is not limited in the application. Optionally, the lower limit value of the hole pool area range is 0.
In this embodiment, the hole library of the target warehouse is analyzed and scored according to the hole library area. The cave depot is generally built in mountains which are favorable for protection, are more concealed and are convenient for transportation, or is built underground by reinforced concrete on flatter terrains. The construction cost of the cave depot is high, and compared with the oil depot and the ground depot, the cave depot has higher application significance. The current situation of the hole library is analyzed through the area of the hole library, and the smaller the area of the hole library is, the lower the score of the hole library is, so that the more aspects of hole library optimization are required. Based on this, a first hole pool score is assigned to the hole pool when the hole pool area is greater than or equal to the upper value of the hole pool area range. And giving a second hole pool score to the hole pool when the hole pool area is within the hole pool area range. And when the hole pool area is smaller than or equal to the lower limit value of the hole pool area range, giving a third hole pool score to the hole pool. The third base condition score includes any one of a first hole pool score, a second hole pool score, or a third hole pool score, and the third base condition score characterizes the quality of the hole pool of the target warehouse. The hole warehouse of the target warehouse is integrated, adjusted and optimized through the third basic condition scoring.
Based on the embodiment, after the comprehensive score of the target warehouse is obtained through calculation, the discrete degree is used as an auxiliary scoring rule for evaluating the target warehouse, so that error compensation is carried out on errors existing in the comprehensive score of the target warehouse, and meanwhile, whether the target warehouse needs to be optimized or not is judged further. The auxiliary scoring rules for the target warehouse are further described and illustrated below. When the fact that the optimization request carries the first optimization identification is identified, executing a first optimization scheme, and further comprising:
acquiring position information of a transportation main body of a target warehouse;
according to the position information and the space position information of the transportation main body, calculating to obtain the distance between the target warehouse and the transportation main body;
and calculating the discrete degree of the target warehouse according to the distance between the target warehouse and the transportation main body of the target warehouse, and optimizing the transportation main body of the target warehouse with the discrete degree larger than or equal to a preset discrete degree threshold value.
In this embodiment, after the comprehensive score of the target warehouse is calculated, the discrete degree between the target warehouse and the transportation main body is calculated, and the larger the discrete degree is, the more inflexible the material transportation and allocation of the target warehouse is. When the degree of dispersion of the target warehouse is greater than or equal to a preset dispersion threshold, the transportation main aspect of the target warehouse needs to be considered for optimization. For this purpose, the transport bodies of the target warehouse are optimized with a degree of dispersion that is less than or equal to a preset dispersion threshold.
It should be noted that, if the composite score of the target warehouse is less than the first threshold and the degree of dispersion is less than or equal to the dispersion threshold, it is indicated that the target warehouse is currently in urgent need of optimization. If the composite score of the target warehouse is greater than or equal to the first threshold and the degree of dispersion is less than or equal to the dispersion threshold, the target warehouse is indicated to be only required to optimize the transportation main body at present. If the composite score of the target warehouse is greater than or equal to the first threshold and the degree of dispersion is greater than the dispersion threshold, the target warehouse is not required to be optimized.
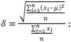
It should be noted that the degree of dispersion of the target warehouse satisfies the following formula:
Figure BDA0004130857430000111
wherein δ represents the degree of discretization of the target warehouse, n represents the number of transport bodies of the target warehouse, xi The i-th transport subject position information of the target warehouse is represented, and μ represents spatial position information.
Based on the above embodiments, referring to fig. 1 and fig. 6, fig. 6 is a flowchart of performing the second optimization scheme provided in the embodiment of the present application. Implementation of the second optimization scheme will be further described and explained below.
Determining the utilization rate of the simulation warehouse and the transportation efficiency of the corresponding transportation main body through the simulation operation of the simulation task, wherein the method comprises the following steps:
Step one, a simulation task is newly established, and initial simulation information is added to the simulation task.
It should be noted that, the initial analog information includes: the simulation warehouse, the simulation materials stored in the simulation warehouse, the simulation transportation main body and the simulation destination corresponding to the simulation warehouse. The simulation task is a virtual task for transporting the simulation materials from the simulation warehouse to the simulation destination through the simulation transportation main body according to the material transportation task in the actual situation. Each simulation task has a corresponding actual task, and the actual task is a material transportation task in the actual situation.
Optionally, initial simulation information is derived from data related to the historically completed simulation task. The related data of the simulation task with completed history may include, but is not limited to, activity of a task warehouse in the simulation task with completed history, transport efficiency of a task transport body, demand of task materials, task materials lacking in the task warehouse, and other task warehouse information storing the task materials lacking.
In the method, related data of the simulation task with the completed history is called out when the next simulation task is needed, analysis and processing of the execution condition of the simulation task with the completed history are performed, problems of the simulation task executed by the history are found out, and an optimization scheme is provided for the problems. When the same simulation task is performed next time, the simulation task is optimized by combining the optimization scheme, so that the benefit of the simulation task can be improved.
Optionally, according to the related data of the simulation task with the completed history, obtaining the storage condition of task materials of the simulation task with the completed history, matching other task warehouses which store the missing task materials in a first range with the history simulation warehouse as a center of circle, and displaying the task warehouses in an interactive mode on a map. According to the method and the device, the storage condition of task materials when the simulation task is executed can be known by acquiring the related data of the simulation task with the completed history. When a task material is out of stock in a historically completed simulation task, this indicates that the simulation material may be out of supply the next time the simulation task is performed. In this regard, the present application may further obtain other task warehouses storing the task materials lacking in the history simulation warehouse by matching other task warehouses storing the task materials lacking in the first range with the history simulation warehouse as a center of a circle. By the aid of the method, materials stored in the task warehouse can meet material requirements when the next task is executed, and supply of the materials is guaranteed.
And step two, obtaining the times of the simulated materials entering the simulated warehouse and the times of the simulated warehouse sending out, and calculating the utilization rate of the simulated warehouse according to the times of the simulated warehouse entering and the times of the simulated warehouse sending out.
In the step, the frequency of use of the simulation warehouse is calculated according to the times that the simulation materials enter the simulation warehouse and the times that the simulation materials are sent out of the simulation warehouse. The liveness of the simulation warehouse is measured through the use frequency of the simulation warehouse, the use frequency of the simulation warehouse is in direct proportion to the liveness of the simulation warehouse, and the higher the use frequency of the simulation warehouse is, the higher the liveness of the simulation warehouse is, the less the content of the simulation warehouse needs to be optimized. The lower the frequency of use of the simulation repository, the lower its liveness, the more content the simulation repository needs to be optimized.
Optionally, the calculation process of the frequency of use of the simulation warehouse is that the frequency of use is increased by one each time the materials stored in the simulation warehouse are transferred.
And thirdly, acquiring the conveying frequency, the conveying time and the conveying total mileage of the simulated conveying main body in the same time period, and calculating according to the conveying frequency, the conveying time and the conveying total mileage to obtain the conveying efficiency of the simulated conveying main body.
In this embodiment, the transportation main body is a security army for transporting analog materials, and the higher the transportation efficiency of the transportation main body is, the higher the score of the transportation main body will be. The transport efficiency is split into two calculation parts, and on the one hand, the transport frequency in the same time period is calculated. The transportation frequency represents the utilization rate of the line, and the importance degree of the line on the transportation of the peripheral warehouse materials can be known through the transportation frequency. Another aspect is calculating the transit time for the same mileage. The conveying time is used as an important index of logistics transportation, and the timeliness of the line to the guarantee of the peripheral warehouse materials can be known through the conveying time. The application performs preliminary calculation on the transportation efficiency of the transportation main body through the two calculation parts. In order to further improve the accuracy of calculating the transportation efficiency, the method and the system also take the total transportation mileage of the transportation main body as an auxiliary score, and know the radiance and task frequency of the transportation main body to the peripheral warehouse through the total transportation mileage, so as to obtain the importance degree of the transportation main body. And then, obtaining the comprehensive scores of the simulated transportation main bodies by combining the transportation frequency, the transportation time and the total transportation mileage, wherein the lower the comprehensive scores of the simulated transportation main bodies are, the more the contents of the simulated transportation main bodies need to be optimized.
Optionally, the method calculates the transportation efficiency, the transportation time and the transportation mileage of the transportation main body in the historically completed simulation task by summarizing the related data of the historically completed simulation task of the transportation main body, and obtains the comprehensive score of the transportation main body by combining the transportation efficiency, the transportation time and the transportation mileage with the historical comprehensive data.
And step four, calculating to obtain the demand quantity of the simulated materials and the allocation frequency of the simulated materials according to the times of entering the simulated warehouse and the times of sending the simulated warehouse.
Optionally, the method and the device can calculate the allocation frequency of the simulation materials in the simulation task through the related data of the simulation task which is completed in a historical manner.
It should be noted that, this dimension of the materials is different from the dimensions of the warehouse and the transportation main body, the variation conditions of the warehouse and the transportation main body are small, and the production and the demand of the materials are changed along with the time of the social development. The sources of demand for materials by the demand parties are not only warehouses and transportation subjects, but also the required materials can be obtained from coordination allocation and transportation between warehouses and a plurality of transportation subjects in multiple places. And the coordination and allocation between the multi-place warehouse and a plurality of transportation main bodies generally require a great deal of manpower and material resources for transportation, so that the transportation cost is greatly increased. In this regard, the present application performs modeling operation on the simulated material through two dimensions of the demand quantity and the allocation frequency of the simulated material, and the demand quantity of the simulated material may combine with the reserve quantity of the simulated material in the current simulated warehouse to determine whether the simulated material needs to be produced, so as to avoid the occurrence of the situation of shortage of the simulated material when the next simulated task is executed. The allocation frequency of the simulation materials can be used for deciding whether the simulation materials need to be allocated to the area with high use frequency of the simulation materials for storage, so that the allocation and transportation of the simulation materials are convenient when the next simulation task is executed.
Optionally, the simulated material is allocated according to the allocation frequency. Wherein the allocating the simulated material according to the allocating frequency comprises allocating the simulated material from a simulated warehouse with low allocating frequency to a simulated warehouse with high allocating frequency.
And fifthly, obtaining the simulation materials lacking in the simulation warehouse according to the demand of the simulation materials, searching other warehouses which are expanded outwards in the first range by taking the simulation warehouse as a center of a circle, and outputting the other warehouses which are reserved with the lacking simulation materials.
Optionally, other warehouses storing the scarce simulated supplies are interactively displayed on the map.
In the step, when the reserve quantity of the simulation materials is smaller than or equal to the demand quantity of the simulation materials in the simulation task, the phenomenon that the simulation materials are in shortage is indicated. In this regard, the present application performs the material matching on the warehouse in the first range expanding outwards with the simulated warehouse as the center, searches the warehouse having the simulated material, and outputs other warehouses having the simulated material, so as to schedule the stock out material when the next material transportation task is performed.
There are two directions of optimization for the second optimization scheme performed by the present application. The first direction is to find out problems existing in the simulation task executed by the history by looking up related data of the simulation task with completed history and knowing the history condition of the simulation task, and to propose an optimization scheme for the existing problems. Specifically, by acquiring relevant data of the simulation tasks which have been executed in the history, problems existing in the simulation tasks which have been executed in the past are analyzed and optimized, and optimization of three aspects of a warehouse, a transportation main body and materials in task topics, such as optimizing a scheduling scheme of materials, optimizing transportation efficiency of the transportation main body, optimizing material types of warehouse reserves and the like, are fully considered. When the next thematic task is carried out, the original problems of the material transportation scheme are fully solved, the material transportation scheme is reasonably optimized, and the material scheduling efficiency and the transportation main body transportation efficiency when the next thematic task is carried out can be effectively improved.
And the other direction is to verify whether the simulation task completed relative to the history has a better scheme or not by newly creating the simulation task and properly adjusting the parameters of the simulation task so as to prepare for the next development of the material transportation task. Specifically, a new simulation task is constructed and calculated to simulate a material transportation task in an actual situation, and the activity of a simulation warehouse, the transportation efficiency of a simulation transportation main body and the demand of simulation materials are obtained after calculation. According to the activity of the simulation warehouse, the transportation efficiency of the simulation transportation main body and the demand of the simulation materials, the optimal transportation main body and the optimal warehouse for executing the simulation task can be obtained, and data support is provided for the material transportation scheme in actual situations. Meanwhile, by calculating the demand quantity and the allocation frequency of the analog materials, whether the analog materials need to be allocated to a region with higher use frequency of the analog materials is decided according to the allocation frequency for storage. And deciding whether to produce the simulated materials according to the demand of the simulated materials and the reserve of the simulated materials in the current simulated warehouse, and obtaining the materials which are lacking when the simulated task is executed, and matching with other warehouses which are nearby the simulated warehouse and are provided with the materials.
Based on the above embodiment, the second optimization scheme provided by the application comprehensively calculates the rationality of the task warehouse and the material allocation, radiates the peripheral warehouse and checks the material storage and supply condition, and finds out the optimal solution of the material allocation, so as to obtain a reasonable scheme of the actual material transportation task, and improve the efficiency and the speed of material transportation.
Referring to fig. 7 to 20, an interactive display method according to an embodiment of the present application is described and illustrated below. The interactive display method may include, but is not limited to, the following steps.
Displaying a main interface in the terminal, wherein the main interface comprises a force layout optimization area and a reserve layout optimization area;
in response to a selection instruction of the force layout optimization area, displaying a submenu of the force layout optimization area in a main interface, wherein the submenu of the force layout optimization area comprises a warehouse detail area and an optimization suggestion area;
in response to a selected instruction for a warehouse detail region, a warehouse main interface is displayed, the warehouse main interface including a warehouse information region, a first view detail region, a warehouse detail region, and a first weight setting region.
The warehouse main interface also displays warehouse total information, warehouse total area information and transport main total information.
In this step, in response to a user's instruction to select a warehouse detail area, a warehouse main interface as shown in fig. 7 is displayed, and the warehouse main interface displays warehouse total number information, warehouse total area information, transportation main body total number information, a warehouse information area, a first view detail area, a warehouse detail sub-area, and a first weight setting area.
The warehouse information area is used for displaying warehouse basic information.
Optionally, the warehouse basic information includes the name of the warehouse, the affiliated security center, the transportation main body and the comprehensive score, and the security center can be understood as a security service center of the material.
It should be noted that, the warehouse detail sub-area is used for displaying the score information of the warehouse, and the score information includes a first index score, a second index score, a third index score, a fourth index score and a comprehensive score.
The first weight setting area is used for setting a first scoring mode, a first weight, a second scoring mode, a second weight, a third scoring mode, a third weight, a fourth scoring mode and a fourth weight.
And displaying a weight setting window in response to a selected instruction of the first weight setting area, wherein the weight setting window comprises a weight setting completion control, and displaying a warehouse main interface in response to a trigger instruction of the weight setting completion control.
In this step, the user enters a weight setting window in response to a selection instruction from the user to the first weight setting area. The user can finish setting the first scoring mode, the first weight, the second scoring mode, the second weight, the third scoring mode, the third weight, the fourth scoring mode and the fourth weight through the weight setting window, and the warehouse main interface shown in fig. 7 is displayed in response to a triggering instruction of the user on the weight setting completion control.
In response to a selected instruction for the optimization suggestion region, an optimization suggestion master interface is displayed that includes a warehouse listing region, a dispersion information region, a second weight setting region, and a lower scoring warehouse region.
In this step, in response to a user selection instruction of the optimization suggestion region, an optimization suggestion main interface as shown in fig. 8 is displayed, the optimization suggestion main interface including a warehouse overall score region, a dispersion information region, a second weight setting region, and a lower score warehouse region.
It should be noted that the warehouse overall score area is used to display warehouse overall information. Optionally, the warehouse overall information includes: the method comprises the steps of providing a name of a warehouse, a affiliated security center, a transportation subject, a first index score, a second index score, a third index score, a first basic condition score, a second basic condition score, a third basic condition score and a comprehensive score. Optionally, the warehouse overall information with high comprehensive scores is displayed earlier than the warehouse overall information with low comprehensive scores.
The dispersion information area is used for displaying the dispersion information of the warehouse in a bar chart manner.
It should be noted that, the warehouse area with lower score is used to display the warehouse related information with comprehensive score lower than the set value. Optionally, the warehouse related information includes: comprehensive score of warehouse, material type information, space position information, city information and library type information.
The second weight setting area is used for setting a first scoring mode, a first weight, a second scoring mode, a second weight, a third scoring mode, a third weight, a fourth scoring mode and a fourth weight.
And displaying a weight setting window in response to a selected instruction of the second weight setting area, wherein the weight setting window comprises a weight setting completion control, and displaying an optimization suggestion main interface in response to a trigger instruction of the weight setting completion control.
In this step, in response to a user entering a weight setting window from a selected instruction of the second weight setting area, the user may finish setting the first scoring mode, the first weight, the second scoring mode, the second weight, the third scoring mode, the third weight, the fourth scoring mode and the fourth weight through the weight setting window, and in response to a trigger instruction of the user on the weight setting completion control, an optimization suggestion main interface as shown in fig. 8 is displayed.
The weight setting window includes a warehouse task area, a spatial location area, a traffic condition area, and a base condition area.
Responding to a selection instruction of the reserve layout optimization area, and displaying a submenu of the reserve layout optimization area in a main interface, wherein the submenu of the reserve layout optimization area comprises a historical task optimization area and a simulation task optimization area;
and responding to the selected instruction of the historical task optimization area, displaying a historical task optimization main interface, wherein the historical task optimization main interface comprises a historical task information area, a historical comprehensive data area and a task warehouse detail area.
In this step, in response to a user's instruction to select a history task optimization area, a history task optimization main interface as shown in fig. 9 is displayed, where the history task optimization main interface includes a history task information area, a history comprehensive data area, and a task warehouse detail area. Fig. 10 is an enlarged view of a portion a in fig. 9, fig. 10 is a view showing a historical task information area and a historical integrated data area, fig. 11 is an enlarged view of a portion B in fig. 9, and fig. 11 is a task warehouse detail area.
The history task information area is used for displaying simulation task information of history execution. Optionally, the historically performed simulated task information includes: the name and completion time of the historically performed simulation task.
The history integrated data area is used for displaying history integrated data of a simulation task executed in a history. Optionally, the historical synthesis data includes: total length, number of warehouses, total amount of supplies, warehouse usage, high demand supplies, and low demand supplies. Optionally, the materials with high demand are displayed earlier than the materials with low demand, and the warehouse with high utilization rate is displayed earlier than the warehouse with low utilization rate.
The task warehouse detail area is used for displaying warehouse task information in the simulation task executed in a historical mode. Optionally, the warehouse task information includes: the total utilization rate, the available warehouse capacity of the warehouse, the residual warehouse capacity of the warehouse, the daily maximum goods receiving amount of the warehouse, the material condition of the warehouse, the task material information without reserves in the warehouse and other warehouses with reserved task materials.
And in response to the selected instruction of the simulation task optimization area, displaying a simulation task optimization main interface, wherein the simulation task optimization main interface comprises a simulation task execution area, a current comprehensive data area and a simulation warehouse detail area.
In this step, in response to a user's instruction to select a simulation task optimization area, a simulation task optimization interface as shown in fig. 12 is displayed, and the simulation task optimization main interface includes a simulation task execution area, a current comprehensive data area, and a simulation warehouse detail area. Fig. 13 is an enlarged view of a portion C in fig. 12, an area for performing a simulation task and a current integrated data area as shown in fig. 13, and fig. 14 is an enlarged view of a portion D in fig. 12, and an area for simulating warehouse details as shown in fig. 14.
The simulation task execution area is used for displaying initial simulation information of the currently executed simulation task. Optionally, the currently executed simulation task information includes a name, a topic, a guarantee object, a transportation main body and a transportation mode of the simulation task.
It should be noted that the current integrated data area is used to display the current integrated data of the simulation task. Optionally, the current integrated data includes: the number of warehouses, the total amount of materials, the warehouse utilization rate, the high-demand materials and the low-demand materials of the simulation task. Optionally, the high demand materials are displayed earlier than the low demand materials, and the high utilization warehouse is displayed earlier than the low utilization warehouse.
The simulation warehouse detail area is used for displaying simulation warehouse information in the currently executed simulation task. Optionally, the simulated warehouse information includes: the method comprises the steps of simulating the total utilization rate of the warehouse, the available warehouse capacity of the warehouse, the residual warehouse capacity of the warehouse, the daily maximum goods receiving amount of the warehouse, the daily maximum goods delivery amount of the warehouse, the material condition of the warehouse, the task material information without reserves in the warehouse and other warehouses with reserved task materials.
With reference to fig. 15 to 18, in one embodiment of the present application, a weight setting window is further described and illustrated. Displaying a weight setting window in response to a selected instruction to the first weight setting region, and displaying a weight setting window in response to a selected instruction to the second weight setting region, comprising:
Responding to a selected instruction of the warehouse task area, and displaying a warehouse task sub-interface in a weight setting window, wherein the warehouse task sub-interface comprises a first weight area, a warehouse task evaluation content area and a warehouse task evaluation rule area;
the first content information is displayed in the warehouse task sub-interface in response to information entered in the first weight setting area, the warehouse task rating content area, and the warehouse task rating rules area.
The first content information includes: the method comprises the steps of first weight information, warehouse task evaluation content information and warehouse task evaluation rule information.
In the above steps, in response to a user's instruction for selecting a warehouse task area, a warehouse task sub-interface as shown in fig. 15 is displayed in a weight setting window, where the warehouse task sub-interface includes a first weight area, a warehouse task evaluation content area, and a warehouse task evaluation rule area, and the user can input information to be set through the first weight area, the warehouse task evaluation content area, and the warehouse task evaluation rule area, and the warehouse task sub-interface synchronously displays first content information input by the user.
It will be appreciated that the warehouse task rating rules correspond to the first scoring modality.
In response to a selected instruction of the spatial location area, displaying a spatial location sub-interface in the weight setting window, the spatial location sub-interface including a second weight area, a spatial location evaluation content area, and a spatial location evaluation rule area;
the second content information is displayed in the spatial position sub-interface in response to information input in the second weight setting area, the spatial position evaluation content area, and the spatial position evaluation rule area.
The second content information includes: second weight information, spatial position evaluation content information, and spatial position evaluation rule information.
In the above step, in response to a user's instruction for selecting a spatial location area, a spatial location sub-interface as shown in fig. 16 is displayed in the weight setting window, where the spatial location sub-interface includes a second weight area, a spatial location evaluation content area, and a spatial location evaluation rule area, and the user may input information to be set through the second weight area, the spatial location evaluation content area, and the spatial location evaluation rule area, and the spatial task sub-interface synchronously displays second content information input by the user.
It will be appreciated that the spatial location assessment rules correspond to the second scoring mode.
In response to a selected instruction for the traffic condition area, displaying a traffic condition sub-interface in the weight setting window, the traffic condition sub-interface including a third weight area, a traffic condition evaluation content area and a traffic condition evaluation rule area;
third content information is displayed in the traffic condition sub-interface in response to information input in the third weight setting area, the traffic condition evaluation content area, and the traffic condition evaluation rule area.
The third content information includes: third weight information, traffic condition evaluation content information, and traffic condition evaluation rule information.
In the above steps, in response to a user's instruction for selecting a traffic condition area, a traffic condition sub-interface as shown in fig. 17 is displayed in the weight setting window, the traffic condition sub-interface includes a third weight area, a traffic condition evaluation content area, and a traffic condition evaluation rule area, and the user can input information to be set through the third weight area, the traffic condition evaluation content area, and the traffic condition evaluation rule area, and the traffic condition sub-interface synchronously displays third content information input by the user.
It is understood that the traffic condition evaluation rule corresponds to the third scoring mode.
In response to a selection instruction of the basic condition area, displaying a basic condition sub-interface in a weight setting window, wherein the basic condition sub-interface comprises a fourth weight area, a basic condition evaluation content area and a basic condition evaluation rule area;
in response to information input in the fourth weight setting area, the basic condition evaluation content area, and the basic condition evaluation rule area, fourth content information is displayed in the basic condition sub-interface.
The fourth content information includes: fourth weight information, basic condition evaluation content information, and basic condition evaluation rule information.
In the above step, in response to a user's instruction to select a base condition area, a base condition sub-interface as shown in fig. 18 is displayed in the weight setting window, where the base condition sub-interface includes a fourth weight area, a base condition evaluation content area, and a base condition evaluation rule area, and the user can input information to be set through the fourth weight area, the base condition evaluation content area, and the base condition evaluation rule area, and the base condition sub-interface synchronously displays fourth content information input by the user.
It is understood that the basic condition evaluation rule corresponds to the fourth scoring mode.
Referring to fig. 19 to 20, in one embodiment of the present application, the structure and function of the simulation task execution area are further described and illustrated. The simulation task execution area includes: adding a task area and an editing material area; responsive to a selected instruction for the simulated task optimization area, displaying a simulated task optimization main interface comprising:
in response to a selected instruction to add a task area, displaying an add task window, the add task window comprising: a task numbering area, a task name area, a guarantee object area, a guarantee entity area and a task setting completion control;
in response to information input in the task number area, the task name area, the safeguard object area and the safeguard entity area, fifth content information is displayed in the add task window;
and responding to a trigger instruction of a task setting completion control, and displaying the simulation task optimization main interface.
The fifth content information includes: task number information, task name information, guarantee object information, and guarantee entity information.
In the above step, in response to a selection instruction for adding a task area, an adding task window as shown in fig. 19 is displayed, the adding task window including: the user can input the information of the simulation task to be added through the task number area, the task name area, the guarantee object area and the guarantee entity area, and the task adding window synchronously displays the fifth content information. The fifth content information is determined for the user, and in response to a trigger instruction to the task setting completion control, a simulated task optimization main interface as shown in fig. 12 is displayed.
Displaying a material editing window in response to a selected instruction for editing a material area, the material editing window including a transport body selection area, a material display area, and a material setting completion control;
displaying, in response to a selected instruction to the transport subject selection area, material information matching the selected instruction of the transport subject selection area in a material display area;
displaying sixth updated content in the material display area in response to a selected instruction for the material information;
and responding to a trigger instruction of the material setting completion control, and displaying a simulation task optimization main interface.
The sixth update content is the material information matched with the selected instruction of the material information.
In the above steps, in response to the selection instruction for editing the material area, the material editing window as shown in fig. 20 is displayed, the material editing window includes a transport main body selection area, a material display area, and a material setting completion control, and the user can input desired material information through the transport main body selection area, the material display area, and in response to the selection instruction for material information, the material display area synchronously displays the sixth updated content. When the user determines the sixth updated content, a simulation task optimization main interface as shown in fig. 12 is displayed in response to a trigger instruction for the material setting completion control.
Optionally, the simulation task execution area further comprises a start simulation task area; in response to a selected instruction for the simulated task optimization area, displaying a simulated task optimization main interface, further comprising: in response to a selected instruction to start simulating the task area, initial simulation information of the simulation task added by the user according to the added task window is displayed.
In the step, after a user completes a new simulation task and adds simulation materials through adding a task window and a material editing window, an area for starting the simulation task is selected to realize the operation of the new simulation task.
In one embodiment, referring to FIG. 11, the task warehouse detail area includes: the system comprises a task material warehouse area without reserves and a task material warehouse area with reserves, wherein the task material warehouse area without reserves is provided with a query material warehouse area, and the task material warehouse area is provided with a checking and positioning area. Responsive to a selected instruction for the historical task optimization region, displaying a historical task optimization main interface comprising:
in response to a selected instruction for querying the asset repository area, displaying other repositories in the tasked asset repository area corresponding to the selected instruction for querying the asset repository area;
And displaying an interactive map matched with the selected instruction of the view positioning area in response to the selected instruction of the view positioning area, wherein the interactive map is provided with an exit control, and displaying a history task optimization main interface in response to a response instruction of the exit control.
The interactive map is displayed with warehouse geographic information matched with the selected instruction for viewing the positioning area.
In this embodiment, task material information missing in the historical execution simulation task can be known through the task material area without reserve, the missing task material information is provided with the corresponding query material warehouse area, and the warehouse information queried by the user is displayed in the task material warehouse in response to the user selection instruction of the query material warehouse area. And responding to a selected instruction of a user for viewing the positioning area, displaying an interactive map matched with the selected instruction of viewing the positioning area, and marking the geographic position of a warehouse with the missing materials on the interactive map so as to facilitate the user to allocate the materials after determining the position of the missing materials through the interactive map. Thereafter, in response to a response instruction to the exit control, a history task optimization main interface as shown in fig. 9 is displayed.
In another embodiment, referring to FIG. 14, the simulated warehouse detail area includes a simulated material area without reserves provided with a query material area and a simulated material warehouse area provided with a location area. In response to a selected instruction for the simulated task optimization area, displaying a simulated task optimization main interface, further comprising:
in response to a selected instruction for querying the asset region, displaying other warehouses in the simulated asset warehouse region corresponding to the selected instruction for querying the asset region;
and displaying an interactive map matched with the selected instruction of the positioning area in response to the selected instruction of the positioning area, wherein the interactive map is provided with an exit control, and displaying a simulation task optimization main interface in response to the selected instruction of the exit control.
The interactive map is displayed with warehouse geographic information matched with the selected instruction of the positioning area.
In this embodiment, task material information missing in the simulation task can be obtained through the simulation material area without reserve, the missing task material information is provided with the corresponding query material area, and warehouse information queried by the user is displayed in the simulation material warehouse area in response to a user selection instruction for querying the material area. And responding to the selected instruction of the user on the positioning area, displaying an interactive map matched with the selected instruction of the positioning area, and marking the geographic position of a warehouse with the missing materials on the interactive map so as to facilitate the user to allocate the materials after determining the position of the missing materials through the interactive map. Thereafter, in response to a response instruction to the exit control, a simulated task optimization main interface as shown in fig. 12 is displayed.
The embodiments of the present invention have been described in detail with reference to the accompanying drawings, but the present invention is not limited to the above embodiments, and various changes can be made within the knowledge of one of ordinary skill in the art without departing from the spirit of the present invention.

Claims (8)

1. The interactive display method is characterized by comprising the following steps of:
displaying a main interface in the terminal, wherein the main interface comprises a force layout optimization area and a reserve layout optimization area;
in response to a selected instruction for the force layout optimization area, displaying a submenu of the force layout optimization area in a main interface, the submenu of the force layout optimization area including a warehouse detail area and an optimization suggestion area;
responsive to a selected instruction for the warehouse detail region, displaying a warehouse main interface, the warehouse main interface including a warehouse information region, a first view detail region, a warehouse detail region, and a first weight setting region;
displaying a weight setting window in response to a selected instruction to the first weight setting area, wherein the weight setting window comprises a weight setting completion control, and displaying the warehouse main interface in response to a trigger instruction to the weight setting completion control;
Responsive to a selected instruction for the optimization suggestion region, displaying an optimization suggestion master interface including a warehouse listing region, a dispersion information region, a second weight setting region, and a lower scoring warehouse region;
displaying a weight setting window in response to a selected instruction of the second weight setting area, wherein the weight setting window comprises a weight setting completion control, and displaying the optimization suggestion main interface in response to a triggering instruction of the weight setting completion control;
the weight setting window comprises a warehouse task area, a space position area, a traffic condition area and a basic condition area;
in response to a selected instruction for the reserve layout optimization area, displaying a submenu of the reserve layout optimization area in the main interface, the submenu of the reserve layout optimization area including a historical task optimization area and a simulated task optimization area;
responding to a selected instruction of the historical task optimization area, displaying a historical task optimization main interface, wherein the historical task optimization main interface comprises a historical task information area, a historical comprehensive data area and a task warehouse detail area;
And responding to the selected instruction of the simulation task optimization area, displaying a simulation task optimization main interface, wherein the simulation task optimization main interface comprises a simulation task execution area, a current comprehensive data area and a simulation warehouse detail area.
2. The interactive display method according to claim 1, wherein said displaying a weight setting window in response to a selected instruction to the first weight setting area, and said displaying a weight setting window in response to a selected instruction to the second weight setting area, comprises:
responding to a selected instruction of the warehouse task area, and displaying a warehouse task sub-interface in the weight setting window, wherein the warehouse task sub-interface comprises a first weight area, a warehouse task evaluation content area and a warehouse task evaluation rule area;
displaying first content information in the warehouse task sub-interface in response to information input in the first weight setting area, the warehouse task rating content area, and the warehouse task rating rule area;
wherein the first content information includes: the first weight information, the warehouse task evaluation content information and the warehouse task evaluation rule information;
In response to a selected instruction for the spatial location area, displaying a spatial location sub-interface in the weight setting window, the spatial location sub-interface including a second weight area, a spatial location evaluation content area, and a spatial location evaluation rule area;
displaying second content information in the spatial position sub-interface in response to information input in the second weight setting area, the spatial position evaluation content area, and the spatial position evaluation rule area;
wherein the second content information includes: second weight information, spatial position evaluation content information, and spatial position evaluation rule information;
in response to a selected instruction to the traffic condition area, displaying a traffic condition sub-interface in the weight setting window, wherein the traffic condition sub-interface comprises a third weight area, a traffic condition evaluation content area and a traffic condition evaluation rule area;
displaying third content information in the traffic condition sub-interface in response to information input in the third weight setting area, the traffic condition evaluation content area, and the traffic condition evaluation rule area;
wherein the third content information includes: third weight information, traffic condition evaluation content information, and traffic condition evaluation rule information;
In response to a selection instruction of the basic condition area, displaying a basic condition sub-interface in the weight setting window, wherein the basic condition sub-interface comprises a fourth weight area, a basic condition evaluation content area and a basic condition evaluation rule area;
displaying fourth content information in the base condition sub-interface in response to information input in the fourth weight setting area, the base condition evaluation content area, and the base condition evaluation rule area;
wherein the fourth content information includes: fourth weight information, basic condition evaluation content information, and basic condition evaluation rule information.
3. The interactive display method according to claim 1, wherein the simulation task execution area comprises: adding a task area and an editing material area;
the response to the selected instruction of the simulation task optimization area displays a simulation task optimization main interface, which comprises the following steps:
in response to a selected instruction to the add task area, displaying an add task window, the add task window comprising: a task numbering area, a task name area, a guarantee object area, a guarantee entity area and a task setting completion control;
Displaying fifth content information in the adding task window in response to information input in the task number area, the task name area, the safeguard object area and the safeguard entity area;
wherein the fifth content information includes: task number information, task name information, guarantee object information and guarantee entity information;
responding to a trigger instruction of the task setting completion control, and displaying the simulation task optimization main interface;
displaying a material editing window in response to a selected instruction for editing the material area, wherein the material editing window comprises a transport main body selection area, a material display area and a material setting completion control;
displaying, in response to a selected instruction to the transport subject selection area, material information matching the selected instruction of the transport subject selection area in the material display area;
displaying sixth updated content in the asset display area in response to a selected instruction for the asset information; wherein the sixth updated content is material information matched with the selected instruction of the material information;
and responding to a trigger instruction of the material setting completion control, and displaying the simulation task optimization main interface.
4. The interactive display method according to claim 3, wherein the simulation task execution area further comprises: starting to simulate a task area; the response to the selected instruction of the simulation task optimization area displays a simulation task optimization main interface, which comprises the following steps:
after completing the new simulation task and adding the simulation materials through the task adding window and the material editing window, responding to the selected instruction of the simulation task starting area, and calculating the new simulation task.
5. The interactive display method according to claim 1, wherein the task warehouse detail area comprises: the system comprises a task material warehouse area without reserve and a task material warehouse area with view positioning areas, wherein the task material warehouse area is provided with a query material warehouse area;
the response to the selected instruction of the history task optimization area, displaying a history task optimization main interface, including:
in response to the selected instruction for the query material warehouse area, displaying, in the tasked material warehouse area, other warehouses corresponding to the selected instruction for the query material warehouse area;
And displaying an interactive map matched with the selected instruction of the view positioning area in response to the selected instruction of the view positioning area, wherein the interactive map is provided with an exit control, and displaying the historical task optimization main interface in response to a response instruction of the exit control.
6. The interactive display method of claim 5, wherein the interactive map has warehouse geographic information displayed thereon that matches the selected instructions for viewing the location area.
7. The interactive display method according to claim 1, wherein the simulated warehouse detail area comprises a simulated material area without reserves and a simulated material warehouse area with positioning areas, and the simulated material area without reserves is provided with query material areas;
the method for displaying the simulation task optimization main interface in response to the selected instruction of the simulation task optimization area further comprises the following steps:
in response to the selected instruction for the query material area, displaying other warehouses corresponding to the selected instruction for the query material area in a simulated material warehouse area;
and displaying an interactive map matched with the selected instruction of the positioning area in response to the selected instruction of the positioning area, wherein the interactive map is provided with an exit control, and displaying a simulation task optimization main interface in response to the selected instruction of the exit control.
8. The interactive display method of claim 7, wherein the interactive map has warehouse geographic information displayed thereon that matches selected instructions of the location area.
CN202310259956.2A2022-09-302022-09-30Interactive display methodActiveCN116308048B (en)

Priority Applications (1)

Application NumberPriority DateFiling DateTitle
CN202310259956.2ACN116308048B (en)2022-09-302022-09-30Interactive display method

Applications Claiming Priority (2)

Application NumberPriority DateFiling DateTitle
CN202310259956.2ACN116308048B (en)2022-09-302022-09-30Interactive display method
CN202211206673.3ACN115496449B (en)2022-09-302022-09-30Storage layout optimization auxiliary decision-making method and interactive display method

Related Parent Applications (1)

Application NumberTitlePriority DateFiling Date
CN202211206673.3ADivisionCN115496449B (en)2022-09-302022-09-30Storage layout optimization auxiliary decision-making method and interactive display method

Publications (2)

Publication NumberPublication Date
CN116308048Atrue CN116308048A (en)2023-06-23
CN116308048B CN116308048B (en)2023-09-19

Family

ID=84472260

Family Applications (2)

Application NumberTitlePriority DateFiling Date
CN202211206673.3AActiveCN115496449B (en)2022-09-302022-09-30Storage layout optimization auxiliary decision-making method and interactive display method
CN202310259956.2AActiveCN116308048B (en)2022-09-302022-09-30Interactive display method

Family Applications Before (1)

Application NumberTitlePriority DateFiling Date
CN202211206673.3AActiveCN115496449B (en)2022-09-302022-09-30Storage layout optimization auxiliary decision-making method and interactive display method

Country Status (1)

CountryLink
CN (2)CN115496449B (en)

Families Citing this family (1)

* Cited by examiner, † Cited by third party
Publication numberPriority datePublication dateAssigneeTitle
CN118941214B (en)*2024-10-142025-03-07紫金智信(厦门)科技有限公司Park intelligent life auxiliary management system and method

Citations (3)

* Cited by examiner, † Cited by third party
Publication numberPriority datePublication dateAssigneeTitle
CN104021426A (en)*2014-05-202014-09-03北京物资学院Goods allocation optimization system based on combination of product multidimensional elements and method thereof
CN107609719A (en)*2017-11-012018-01-19佛山杰致信息科技有限公司A kind of logistics operation routing optimization system and its application method
CN114357551A (en)*2021-12-222022-04-15中国人民解放军陆军装甲兵学院 A security decision module system and its realization method

Family Cites Families (6)

* Cited by examiner, † Cited by third party
Publication numberPriority datePublication dateAssigneeTitle
CN105160515A (en)*2015-09-232015-12-16胡卫建Earthquake rescue equipment material storage information system and material storage and distribution control method
CN112150056B (en)*2019-06-282024-08-16北京京东振世信息技术有限公司Method, device and storage medium for determining replenishment period
CN112785025B (en)*2019-11-112024-01-16北京京邦达贸易有限公司Warehouse layout method and device
CN111701233B (en)*2020-06-182023-04-07网易(杭州)网络有限公司Interface display control method, device, equipment and storage medium
US12159260B2 (en)*2020-12-152024-12-03Target Brands, Inc.Coordination platform for warehouse operations
CN114757630B (en)*2022-06-162022-10-14阿里健康科技(杭州)有限公司Storage management model determining method and device and computer equipment

Patent Citations (3)

* Cited by examiner, † Cited by third party
Publication numberPriority datePublication dateAssigneeTitle
CN104021426A (en)*2014-05-202014-09-03北京物资学院Goods allocation optimization system based on combination of product multidimensional elements and method thereof
CN107609719A (en)*2017-11-012018-01-19佛山杰致信息科技有限公司A kind of logistics operation routing optimization system and its application method
CN114357551A (en)*2021-12-222022-04-15中国人民解放军陆军装甲兵学院 A security decision module system and its realization method

Non-Patent Citations (1)

* Cited by examiner, † Cited by third party
Title
陈润泽: "T物流公司仓库布局与货位优化问题研究", 《中国优秀硕士学位论文全文数据库 信息科技辑》, pages 22 - 28*

Also Published As

Publication numberPublication date
CN115496449A (en)2022-12-20
CN115496449B (en)2023-05-02
CN116308048B (en)2023-09-19

Similar Documents

PublicationPublication DateTitle
US10664770B2 (en)Vehicle fleet routing system
US10528062B2 (en)Computerized vehicle control system for fleet routing
US9068852B2 (en)Vehicle fleet routing system
CN110298474B (en)AIS and GIS-based logistics site selection method for ship spare parts
US20150338226A1 (en)Context-based routing and access path selection
Austin et al.Taxicabs as public transportation in Boston, Massachusetts
US12051153B2 (en)System and process for creating a three-dimensional model of a real estate development site
Rönnqvist et al.Calibrated Route Finder: Improving the safety, environmental consciousness, and cost effectiveness of truck routing in Sweden
CN108549971A (en)A kind of modular logistics zonal function section planning method
CN116308048B (en)Interactive display method
CN112069635A (en)Battery replacement cabinet deployment method, device, medium and electronic equipment
CN111539673A (en)Rental equipment storage management system and method
CN104598548B (en)A kind of method and device of anal yzing agricul products price space relevance
Li et al.Optimizing urban car-sharing systems based on geospatial big data and machine learning: A spatio-temporal rebalancing perspective
CN113739812B (en) Distribution plan generation method, device, system, and computer-readable storage medium
CN113538088A (en)Robotaxi automatic driving network car booking order processing method
Mamonov et al.Geospatial analysis of the territory for solving urban planning problems
Zhou et al.Spatial deployment optimisation for public charging stations with coverage equilibrium
Malau et al.TOD Index of Jakarta MRT: Case of Five Areas
Li et al.[Retracted] Layout Optimization Method of Public Service Facilities in Residential Quarters considering Time Distance
ZhangResearch on ArcGIS-based emergency material dispatching scheme
Wang et al.Logistical inventory approach in forecasting and relocating share-use vehicles
Salaloung et al.A Maximum Capture Problem for Public Bicycle Station Allocation and Bicycle Network Design
Dolia et al.Modeling transport processes with geoinformative technologies: monograph
Li et al.Analysis on Location Selection and Path Optimization of Hubei SF Express Logistics Distribution Center

Legal Events

DateCodeTitleDescription
PB01Publication
PB01Publication
SE01Entry into force of request for substantive examination
SE01Entry into force of request for substantive examination
GR01Patent grant
GR01Patent grant

[8]ページ先頭

©2009-2025 Movatter.jp