Movatterモバイル変換


[0]ホーム

URL:


CN116260316A - High-frequency digital direct-current power supply driving method - Google Patents

High-frequency digital direct-current power supply driving method
Download PDF

Info

Publication number
CN116260316A
CN116260316ACN202310526405.8ACN202310526405ACN116260316ACN 116260316 ACN116260316 ACN 116260316ACN 202310526405 ACN202310526405 ACN 202310526405ACN 116260316 ACN116260316 ACN 116260316A
Authority
CN
China
Prior art keywords
power supply
adjustment
current power
sub
value
Prior art date
Legal status (The legal status is an assumption and is not a legal conclusion. Google has not performed a legal analysis and makes no representation as to the accuracy of the status listed.)
Granted
Application number
CN202310526405.8A
Other languages
Chinese (zh)
Other versions
CN116260316B (en
Inventor
杨传普
曾芬良
Current Assignee (The listed assignees may be inaccurate. Google has not performed a legal analysis and makes no representation or warranty as to the accuracy of the list.)
Shenzhen Runhaitong Technology Co ltd
Original Assignee
Shenzhen Runhaitong Technology Co ltd
Priority date (The priority date is an assumption and is not a legal conclusion. Google has not performed a legal analysis and makes no representation as to the accuracy of the date listed.)
Filing date
Publication date
Application filed by Shenzhen Runhaitong Technology Co ltdfiledCriticalShenzhen Runhaitong Technology Co ltd
Priority to CN202310526405.8ApriorityCriticalpatent/CN116260316B/en
Publication of CN116260316ApublicationCriticalpatent/CN116260316A/en
Application grantedgrantedCritical
Publication of CN116260316BpublicationCriticalpatent/CN116260316B/en
Activelegal-statusCriticalCurrent
Anticipated expirationlegal-statusCritical

Links

Images

Classifications

Landscapes

Abstract

The invention discloses a high-frequency digital direct current power supply driving method, which relates to the technical field of power transformation and comprises the following steps: calculating a theoretical duty ratio according to the target value of the output voltage and the input voltage of the direct-current power supply, and generating a high-frequency digital pulse wave with the duty ratio being the theoretical duty ratio to initially drive the direct-current power supply; calculating a voltage target difference between the output voltage of the direct current power supply and an output voltage target value; and calculating and adjusting the duty ratio of the high-frequency digital pulse wave through the self-adaptive fuzzy control model according to the voltage target difference value and the load current, and driving the direct-current power supply. According to the invention, through the self-adaptive fuzzy control model, on the basis of the high-frequency digital pulse wave preliminary driving direct-current power supply with the duty ratio being the theoretical duty ratio, the direct-current power supply is subjected to dynamic feedback adjustment by utilizing the error of the output voltage and the current state of the load, so that the direct-current power supply can be adapted to various loads, and is stable and safe in output, high in flexibility, strong in robustness and good in safety.

Description

High-frequency digital direct-current power supply driving method
Technical Field
The invention relates to the technical field of power transformation, in particular to a high-frequency direct-current power supply driving method.
Background
The switching power supply is widely applied to various aspects of actual life from the last 60 th century to the present because of the characteristics of high power transformation efficiency and low loss. The switching power supply technology is used for both the direct current charger chip in the weak current field and the high-voltage direct current power supply transformer in the strong current field.
Although in terms of hardware, the switching power supply has various composition structures and composition modes, and although specific names of different elements in different application fields are different, the switching power supply comprises: a power switching element (including but not limited to a field effect transistor, a triode and an insulated gate bipolar transistor), a freewheel element (including but not limited to a freewheel diode), a power inductor, an energy storage capacitor and a high frequency digital pulse signal generator with a sampling feedback modulation function, which are driven by the high frequency digital pulse signal. The high-frequency digital signal pulse generator is a key circuit for determining the loop stability and the electricity safety of the switching power supply, and the circuit is a realistic carrier of the high-frequency digital direct-current power supply driving method technology.
The existing traditional high-frequency direct-current power supply driving method is mainly divided into a PWM (pulse width modulation ) control mode and a PFM (pulse frequency modulation ) control mode, and is further specifically divided into various subdivision types such as a voltage mode, a peak current mode, an average current mode, a constant conduction time control mode and the like. However, the conventional techniques have limitations, such as stability of the constant on-time control mode is established on the output voltage ripple, and sufficient stability can be ensured only when the output voltage ripple is large enough. The loop stability of the traditional technology mode is highly dependent on pole-zero analysis and solidification design of an analog electronic circuit, the flexibility is poor, the loop stability is easily influenced by parasitic load parameters, and dynamic adjustment such as safety control and the like is not easy to carry out according to the load electrifying condition.
Disclosure of Invention
Aiming at the defects in the prior art, the high-frequency digital direct-current power supply driving method provided by the invention solves the problems that the traditional high-frequency digital direct-current power supply driving method is highly dependent on pole-free analysis and solidification design of an analog electronic circuit, has poor flexibility, is easily influenced by load parasitic parameters, and is not easy to dynamically adjust such as safety control according to the load electrifying condition.
In order to achieve the aim of the invention, the invention adopts the following technical scheme: a high frequency digital DC power supply driving method comprises the following steps:
calculating a theoretical duty ratio according to the target value of the output voltage and the input voltage of the direct-current power supply, and generating a high-frequency digital pulse wave with the duty ratio being the theoretical duty ratio to initially drive the direct-current power supply;
calculating a voltage target difference between the output voltage of the direct current power supply and an output voltage target value;
and calculating and adjusting the duty ratio of the high-frequency digital pulse wave through the self-adaptive fuzzy control model according to the voltage target difference value and the load current, and driving the direct-current power supply.
The beneficial effects of the invention are as follows: according to the invention, through the self-adaptive fuzzy control model, on the basis of the high-frequency digital pulse wave preliminary driving direct-current power supply with the duty ratio being the theoretical duty ratio, the direct-current power supply is subjected to dynamic feedback adjustment by utilizing the error of the output voltage and the current state of the load, so that the direct-current power supply can be adapted to various loads, and is stable and safe in output, high in flexibility, strong in robustness and good in safety.
Further, the method for calculating the theoretical duty ratio according to the target value of the output voltage and the input voltage of the direct current power supply comprises the following steps:
calculating a theoretical duty ratio through a first duty ratio calculation equation according to the output voltage target value and the input voltage of the direct current power supply;
setting a simulation test of a high-frequency digital pulse wave driving direct-current power supply with a duty ratio being a theoretical duty ratio;
if the current existence value of the power inductor flowing through the direct current power supply is 0 in the simulation test, the theoretical duty ratio is correct;
if the current flowing through the power inductor in the direct current power supply does not have the value of 0 in the simulation test, the theoretical duty cycle is recalculated through the second duty cycle calculation equation.
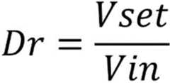
Further, the first duty ratio calculation equation is:
Figure SMS_1
wherein,,
Figure SMS_2
is duty cycle, +.>
Figure SMS_3
Is the input voltage of the DC power supply, +.>
Figure SMS_4
Is the output voltage target value.
Further, the second duty ratio calculation equation is:
Figure SMS_5
wherein,,
Figure SMS_6
is duty cycle, +.>
Figure SMS_7
Is the period value of the high frequency digital pulse wave, +.>
Figure SMS_8
For the power inductance value>
Figure SMS_9
Is the resistance value of the load.
The beneficial effects of the above-mentioned further scheme are: in the dc power supply using the switching power supply technology, when the high frequency digital pulse wave is not matched with the power inductor, that is, when the frequency of the high frequency digital pulse wave is too small or the power inductance value is too small, the current attenuation of 0 flowing through the power inductor occurs during the process of turning on and off the power switching element. At this time, the electrical characteristics will change, the relation between the output voltage and the input voltage of the direct current power supply will not be determined only by the duty ratio of the high frequency digital pulse wave, and the cycle value, the power inductance value and the load condition of the high frequency digital pulse wave need to be considered to perform complete modeling on the input and output voltages, and the duty ratio is recalculated. If the direct current power supply is driven by directly using an empirical formula in the prior art, namely a first duty ratio calculation equation, the direct current power supply and the load are damaged if the load is undervoltage and the system is unstable due to light weight and if the load is unstable due to heavy weight.
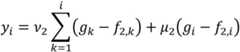
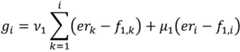
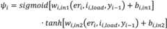
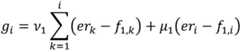
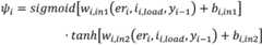
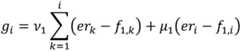
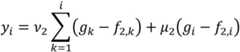
Further, the expression of the adaptive fuzzy control model is:
Figure SMS_10
Figure SMS_11
Figure SMS_12
Figure SMS_13
Figure SMS_14
wherein,,
Figure SMS_40
for adaptive fuzzy control model +.>
Figure SMS_42
Duty cycle calculated at secondary adjustment, +.>
Figure SMS_44
For the outer ring +>
Figure SMS_17
Feedback value at sub-regulation,/->
Figure SMS_21
For the outer ring differential coefficient>
Figure SMS_24
For adaptive fuzzy control model +.>
Figure SMS_29
Duty cycle calculated at secondary adjustment, +.>
Figure SMS_19
For the outer ring +>
Figure SMS_25
Cache value at secondary adjustment, < >>
Figure SMS_28
Is->
Figure SMS_30
The voltage target difference at the time of the secondary adjustment,
Figure SMS_32
for the outer ring +>
Figure SMS_33
Feedback value at sub-regulation,/->
Figure SMS_36
For counting the number of historical adjustment times, +.>
Figure SMS_37
For the outer loop integration coefficient,
Figure SMS_39
for the outer ring scale factor, +.>
Figure SMS_43
Is an inner ring proportionality coefficient->
Figure SMS_45
Is->
Figure SMS_46
Voltage target difference at secondary regulation, +.>
Figure SMS_15
Is the inner ring->
Figure SMS_22
Feedback value at sub-regulation,/->
Figure SMS_26
Is the differential coefficient of the inner ring->
Figure SMS_34
Is the inner ring->
Figure SMS_18
Output at sub-adjustment, < >>
Figure SMS_20
Is the inner ring
Figure SMS_23
Output at sub-adjustment, < >>
Figure SMS_27
For the inner loop integral coefficient, +.>
Figure SMS_31
For the outer ring +>
Figure SMS_35
Cache value at secondary adjustment, < >>
Figure SMS_38
Is the inner ring->
Figure SMS_41
Feedback value at sub-regulation,/->
Figure SMS_16
To adjust the coefficients.
The beneficial effects of the above-mentioned further scheme are: the built self-adaptive fuzzy control model is provided with an inner feedback loop and an outer feedback loop, integrates through the memory accumulation of past data, and performs double-loop proportional-integral-derivative control through the subtraction of current data and data of the past fuzzy control link. The outer ring makes the fuzzy control system converge towards stability, lays a control foundation with the residual difference of 0, and the inner ring carries out fine adjustment on the control quantity, increases damping, suppresses oscillation and accelerates the convergence of the fuzzy control system.
Further, an outer loop scaling factor in the adaptive fuzzy control model
Figure SMS_47
Inner ring scaling factor->
Figure SMS_48
Differential coefficient of outer ring->
Figure SMS_49
Differential coefficient of inner ring->
Figure SMS_50
Integration coefficient of outer ring->
Figure SMS_51
Inner loop integral coefficient->
Figure SMS_52
And adjustment coefficient->
Figure SMS_53
Mapping is carried out by adopting a coefficient model, wherein the coefficient model is as follows:
Figure SMS_54
wherein,,
Figure SMS_72
is->
Figure SMS_74
Output of coefficient model at sub-adjustment, +.>
Figure SMS_78
Is->
Figure SMS_56
Output of coefficient model at sub-adjustment, +.>
Figure SMS_61
As hyperbolic tangent function, +.>
Figure SMS_63
To select weights, ++>
Figure SMS_69
Is->
Figure SMS_73
The first output weight at the time of the secondary adjustment,
Figure SMS_77
is->
Figure SMS_81
Second output weight at secondary adjustment, +.>
Figure SMS_84
Is->
Figure SMS_75
Third output weight at sub-adjustment, +.>
Figure SMS_79
Is->
Figure SMS_83
First output bias at sub-regulation, +.>
Figure SMS_85
Is->
Figure SMS_57
Second output bias at secondary adjustment, +.>
Figure SMS_60
Is->
Figure SMS_65
State quantity at secondary adjustment, +.>
Figure SMS_67
Is->
Figure SMS_58
Voltage target difference at secondary regulation, +.>
Figure SMS_62
Is->
Figure SMS_66
Load current value at sub-regulation, wherein +.>
Figure SMS_70
Output of coefficient model at sub-adjustment>
Figure SMS_55
The types of (2) include: external ring scaling factor->
Figure SMS_59
Inner ring scaling factor->
Figure SMS_64
Differential coefficient of outer ring->
Figure SMS_68
Differential coefficient of inner ring->
Figure SMS_71
Integration coefficient of outer ring->
Figure SMS_76
Inner loop integral coefficient->
Figure SMS_80
And adjustment coefficient->
Figure SMS_82
Further, the first
Figure SMS_86
State quantity at sub-regulation->
Figure SMS_87
The formula of (2) is:
Figure SMS_88
wherein,,
Figure SMS_89
is->
Figure SMS_90
Forgetfulness during secondary adjustment, +.>
Figure SMS_91
Is->
Figure SMS_92
Input during secondary adjustment, +.>
Figure SMS_93
Is->
Figure SMS_94
The state at the time of the secondary adjustment.
Further, the first
Figure SMS_95
Forgetfulness during secondary adjustment +.>
Figure SMS_96
The formula of (2) is: />
Figure SMS_97
Wherein,,
Figure SMS_99
to activate the function +.>
Figure SMS_101
Is->
Figure SMS_105
Forgetting weight at secondary adjustment, +.>
Figure SMS_100
Is->
Figure SMS_102
Forgetting bias at secondary adjustment +.>
Figure SMS_104
Is->
Figure SMS_106
Voltage target difference at secondary regulation, +.>
Figure SMS_98
Is->
Figure SMS_103
Output of coefficient model at sub-adjustment, +.>
Figure SMS_107
Is->
Figure SMS_108
Load current value at the time of secondary adjustment.
Further, the first
Figure SMS_109
Input at sub-setting ∈>
Figure SMS_110
The formula of (2) is:
Figure SMS_111
wherein,,
Figure SMS_117
to activate the function +.>
Figure SMS_114
Is->
Figure SMS_116
Second time of adjustmentAn input weight, < >>
Figure SMS_115
Is->
Figure SMS_118
First input bias at sub-adjustment, +.>
Figure SMS_120
Is->
Figure SMS_123
Second input weight at secondary adjustment, +.>
Figure SMS_125
Is->
Figure SMS_127
Second input bias at secondary adjustment, +.>
Figure SMS_112
As hyperbolic tangent function, +.>
Figure SMS_121
Is->
Figure SMS_119
Voltage target difference at secondary regulation, +.>
Figure SMS_124
Is->
Figure SMS_122
Output of coefficient model at sub-adjustment, +.>
Figure SMS_126
Is->
Figure SMS_113
Load current value at the time of secondary adjustment.
The beneficial effects of the above-mentioned further scheme are: the load condition of the direct current power supply can directly influence the output state and the system stability of the direct current power supply, and even directly relate to the equipment safety of the direct current power supply. In order to improve the compatibility of a direct current power supply to a load without being influenced by parasitic parameters of the load, the self-adaptive fuzzy control model has self-adaptive capacity for adapting to the working state of the load, flexible adjustment of stability and safety is carried out, the time domain characteristics of the voltage target difference value and the load current value are extracted from a coefficient model with time domain memory, forgetting and updating functions on the voltage target difference value and the load current value, and the time domain characteristics are calculated and then used for adjusting each coefficient of the self-adaptive fuzzy control model, so that the problems that the prior art is highly dependent on analysis of a zero pole and solidification design of an analog electronic circuit, poor in flexibility, easy to be influenced by parasitic parameters of the load, and difficult to carry out dynamic adjustment such as safety control according to the electrifying condition of the load are solved.
Drawings
Fig. 1 is a flowchart of a high frequency dc power driving method according to an embodiment of the present invention.
Detailed Description
The following description of the embodiments of the present invention is provided to facilitate understanding of the present invention by those skilled in the art, but it should be understood that the present invention is not limited to the scope of the embodiments, and all the inventions which make use of the inventive concept are protected by the spirit and scope of the present invention as defined and defined in the appended claims to those skilled in the art.
In one embodiment of the present invention, a high frequency digital dc power driving method is used for driving a BUCK switching dc power supply, where the BUCK switching dc power supply is composed of a power switching element, a freewheel element, a power inductor and an energy storage capacitor, and mounts an electrical load. It is noted that, because the method is used for driving the direct current power supply, the BUCK switch direct current power supply is not provided with a special high-frequency digital pulse signal generator with a sampling feedback modulation function, and is replaced by a high-frequency digital pulse wave generating circuit with a configurable duty ratio, and the circuit is also in the prior art and is not repeated. As shown in fig. 1, the method comprises the following steps:
s1, calculating a theoretical duty ratio according to an output voltage target value and an input voltage of a direct current power supply, and generating a high-frequency digital pulse wave with the duty ratio being the theoretical duty ratio to initially drive the direct current power supply;
s2, calculating a voltage target difference value between the output voltage of the direct-current power supply and an output voltage target value;
s3, calculating and adjusting the duty ratio of the high-frequency digital pulse wave through the self-adaptive fuzzy control model according to the voltage target difference value and the load current, and driving the direct-current power supply.
In this embodiment, the present invention specifically includes:
a1, setting an input voltage safety interval, an output voltage target value, an abnormal output difference threshold value and a load current maximum jitter allowable value;
a2, judging whether the input voltage of the direct-current power supply is in an input voltage safety interval, if so, jumping to the step A3, and if not, jumping to the step A8;
a3, calculating a theoretical duty ratio according to the output voltage target value and the input voltage of the direct-current power supply, and generating a high-frequency digital pulse wave with the duty ratio being the theoretical duty ratio to initially drive the direct-current power supply;
a4, calculating a voltage target difference value between the output voltage of the direct-current power supply and an output voltage target value, judging whether the absolute value of the voltage target value is larger than an abnormal output difference threshold value, if so, jumping to the step A8, and if not, jumping to the step A5;
a5, calculating and adjusting the duty ratio of the high-frequency digital pulse wave through a self-adaptive fuzzy control model according to the voltage target difference value and the load current, and driving a direct-current power supply;
a6, monitoring the jitter value of the load current, judging whether the jitter value of the load current is larger than the maximum jitter allowable value of the load current, if so, jumping to the step A8, and if not, jumping to the step A7;
a7, judging whether the input voltage of the direct current power supply is in an input voltage safety interval, if so, jumping to the step A4, and if not, jumping to the step A8;
a8, turning off the direct current power supply.
In S1 or A3, according to the target value of the output voltage and the input voltage of the direct current power supply, the method for calculating the theoretical duty ratio is as follows:
calculating a theoretical duty ratio through a first duty ratio calculation equation according to the output voltage target value and the input voltage of the direct current power supply;
setting a simulation test of a high-frequency digital pulse wave driving direct-current power supply with a duty ratio being a theoretical duty ratio;
if the current existence value of the power inductor flowing through the direct current power supply is 0 in the simulation test, the theoretical duty ratio is correct;
if the current flowing through the power inductor in the direct current power supply does not have the value of 0 in the simulation test, the theoretical duty cycle is recalculated through the second duty cycle calculation equation.
The first duty cycle calculation equation is:
Figure SMS_128
wherein,,
Figure SMS_129
is duty cycle, +.>
Figure SMS_130
Is the input voltage of the DC power supply, +.>
Figure SMS_131
Is the output voltage target value.
The second duty cycle calculation equation is:
Figure SMS_132
wherein,,
Figure SMS_133
is duty cycle, +.>
Figure SMS_134
Is the period value of the high frequency digital pulse wave, +.>
Figure SMS_135
For the power inductance value>
Figure SMS_136
Is the resistance value of the load.
In the dc power supply using the switching power supply technology, when the high frequency digital pulse wave is not matched with the power inductor, that is, when the frequency of the high frequency digital pulse wave is too small or the power inductance value is too small, the current attenuation of 0 flowing through the power inductor occurs during the process of turning on and off the power switching element. At this time, the electrical characteristics will change, the relation between the output voltage and the input voltage of the direct current power supply will not be determined only by the duty ratio of the high frequency digital pulse wave, and the cycle value, the power inductance value and the load condition of the high frequency digital pulse wave need to be considered to perform complete modeling on the input and output voltages, and the duty ratio is recalculated. If the direct current power supply is driven by directly using an empirical formula in the prior art, namely a first duty ratio calculation equation, the direct current power supply and the load are damaged if the load is undervoltage and the system is unstable due to light weight and if the load is unstable due to heavy weight.
The expression of the adaptive fuzzy control model is as follows:
Figure SMS_137
Figure SMS_138
Figure SMS_139
Figure SMS_140
Figure SMS_141
wherein,,
Figure SMS_161
for adaptive fuzzy control model +.>
Figure SMS_164
Duty cycle calculated at secondary adjustment, +.>
Figure SMS_168
For the outer ring +>
Figure SMS_144
Feedback value at sub-regulation,/->
Figure SMS_149
For the outer ring differential coefficient>
Figure SMS_152
For adaptive fuzzy control model +.>
Figure SMS_155
Duty cycle calculated at secondary adjustment, +.>
Figure SMS_146
For the outer ring +>
Figure SMS_151
Cache value at secondary adjustment, < >>
Figure SMS_157
Is->
Figure SMS_159
The voltage target difference at the time of the secondary adjustment,
Figure SMS_162
for the outer ring +>
Figure SMS_166
Feedback value at sub-regulation,/->
Figure SMS_169
For counting the number of historical adjustment times, +.>
Figure SMS_173
For the outer loop integration coefficient,
Figure SMS_158
for the outer ring scale factor, +.>
Figure SMS_163
Is an inner ring proportionality coefficient->
Figure SMS_167
Is->
Figure SMS_170
Voltage target difference at secondary regulation, +.>
Figure SMS_142
Is the inner ring->
Figure SMS_148
Feedback value at sub-regulation,/->
Figure SMS_153
Is the differential coefficient of the inner ring->
Figure SMS_156
Is the inner ring->
Figure SMS_145
Output at sub-adjustment, < >>
Figure SMS_147
Is the inner ring
Figure SMS_150
Output at sub-adjustment, < >>
Figure SMS_154
For the inner loop integral coefficient, +.>
Figure SMS_160
For the outer ring +>
Figure SMS_165
Cache value at secondary adjustment, < >>
Figure SMS_171
Is the inner ring->
Figure SMS_172
Feedback value at sub-regulation,/->
Figure SMS_143
To adjust the coefficients.
The built self-adaptive fuzzy control model is provided with an inner feedback loop and an outer feedback loop, integrates through the memory accumulation of past data, and performs double-loop proportional-integral-derivative control through the subtraction of current data and data of the past fuzzy control link. The outer ring makes the fuzzy control system converge towards stability, lays a control foundation with the residual difference of 0, and the inner ring carries out fine adjustment on the control quantity, increases damping, suppresses oscillation and accelerates the convergence of the fuzzy control system.
Outer loop scaling factor in adaptive fuzzy control model
Figure SMS_174
Inner ring scaling factor->
Figure SMS_175
Differential coefficient of outer ring->
Figure SMS_176
Differential coefficient of inner ring->
Figure SMS_177
Integration coefficient of outer ring->
Figure SMS_178
Inner loop integral coefficient->
Figure SMS_179
And adjustment coefficient->
Figure SMS_180
Mapping is carried out by adopting a coefficient model, wherein the coefficient model is as follows:
Figure SMS_181
wherein,,
Figure SMS_200
is->
Figure SMS_203
Output of coefficient model at sub-adjustment, +.>
Figure SMS_208
Is->
Figure SMS_183
Output of coefficient model at sub-adjustment, +.>
Figure SMS_187
As hyperbolic tangent function, +.>
Figure SMS_190
To select weights, ++>
Figure SMS_196
Is->
Figure SMS_199
The first output weight at the time of the secondary adjustment,
Figure SMS_204
is->
Figure SMS_207
Second output weight at secondary adjustment, +.>
Figure SMS_211
Is->
Figure SMS_201
Third output weight at sub-adjustment,
Figure SMS_206
Is->
Figure SMS_209
First output bias at sub-regulation, +.>
Figure SMS_212
Is->
Figure SMS_197
Second output bias at secondary adjustment, +.>
Figure SMS_202
Is->
Figure SMS_205
State quantity at secondary adjustment, +.>
Figure SMS_210
Is->
Figure SMS_182
Voltage target difference at secondary regulation, +.>
Figure SMS_186
Is->
Figure SMS_191
Load current value at sub-regulation, wherein +.>
Figure SMS_195
Output of coefficient model at sub-adjustment>
Figure SMS_184
The types of (2) include: external ring scaling factor->
Figure SMS_188
Inner ring scaling factor->
Figure SMS_192
Differential coefficient of outer ring->
Figure SMS_198
Differential coefficient of inner ring->
Figure SMS_185
Integration coefficient of outer ring->
Figure SMS_189
Inner loop integral coefficient->
Figure SMS_193
And adjustment coefficient->
Figure SMS_194
In this embodiment, 7 coefficients need to be output, so 7 coefficient models are provided, each coefficient model outputs one coefficient, and the weight and the bias amount in each coefficient model are different.
First, the
Figure SMS_213
State quantity at sub-regulation->
Figure SMS_214
The formula of (2) is:
Figure SMS_215
wherein,,
Figure SMS_216
is->
Figure SMS_217
Forgetfulness during secondary adjustment, +.>
Figure SMS_218
Is->
Figure SMS_219
Input during secondary adjustment, +.>
Figure SMS_220
Is->
Figure SMS_221
The state at the time of the secondary adjustment.
First, the
Figure SMS_222
Forgetfulness during secondary adjustment +.>
Figure SMS_223
The formula of (2) is:
Figure SMS_224
wherein,,
Figure SMS_226
to activate the function +.>
Figure SMS_229
Is->
Figure SMS_231
Forgetting weight at secondary adjustment, +.>
Figure SMS_225
Is->
Figure SMS_230
Forgetting bias at secondary adjustment +.>
Figure SMS_233
Is->
Figure SMS_235
Voltage target difference at secondary regulation, +.>
Figure SMS_227
Is->
Figure SMS_228
Output of coefficient model at sub-adjustment, +.>
Figure SMS_232
Is->
Figure SMS_234
Load current value at the time of secondary adjustment.
First, the
Figure SMS_236
Input at sub-setting ∈>
Figure SMS_237
The formula of (2) is:
Figure SMS_238
wherein,,
Figure SMS_249
to activate the function +.>
Figure SMS_239
Is->
Figure SMS_245
First input weight at sub-adjustment, +.>
Figure SMS_242
Is->
Figure SMS_243
First input bias at sub-adjustment, +.>
Figure SMS_250
Is->
Figure SMS_253
Second input weight at secondary adjustment, +.>
Figure SMS_247
Is->
Figure SMS_251
Second input bias at secondary adjustment, +.>
Figure SMS_241
As hyperbolic tangent function, +.>
Figure SMS_246
Is->
Figure SMS_244
Voltage target difference at secondary regulation, +.>
Figure SMS_248
Is->
Figure SMS_252
Output of coefficient model at sub-adjustment, +.>
Figure SMS_254
Is->
Figure SMS_240
Load current value at the time of secondary adjustment.
The load condition of the direct current power supply can directly influence the output state and the system stability of the direct current power supply, and even directly relate to the equipment safety of the direct current power supply. In order to improve the compatibility of a direct current power supply to a load without being influenced by parasitic parameters of the load, the self-adaptive fuzzy control model has self-adaptive capacity for adapting to the working state of the load, flexible adjustment of stability and safety is carried out, the time domain characteristics of the voltage target difference value and the load current value are extracted from a coefficient model with time domain memory, forgetting and updating functions on the voltage target difference value and the load current value, and the time domain characteristics are calculated and then used for adjusting each coefficient of the self-adaptive fuzzy control model, so that the problems that the prior art is highly dependent on analysis of a zero pole and solidification design of an analog electronic circuit, poor in flexibility, easy to be influenced by parasitic parameters of the load, and difficult to carry out dynamic adjustment such as safety control according to the electrifying condition of the load are solved.
In summary, the invention utilizes the error of the output voltage and the current state of the load to carry out dynamic feedback adjustment on the direct current power supply on the basis of the high frequency digital pulse wave preliminary driving direct current power supply with the duty ratio being the theoretical duty ratio through the self-adaptive fuzzy control model, so that the direct current power supply can adapt to various loads and stably and safely output, and has the advantages of high flexibility, strong robustness and good safety.
The principles and embodiments of the present invention have been described in detail with reference to specific examples, which are provided to facilitate understanding of the method and core ideas of the present invention; meanwhile, as those skilled in the art will have variations in the specific embodiments and application scope in accordance with the ideas of the present invention, the present description should not be construed as limiting the present invention in view of the above.
Those of ordinary skill in the art will recognize that the embodiments described herein are for the purpose of aiding the reader in understanding the principles of the present invention and should be understood that the scope of the invention is not limited to such specific statements and embodiments. Those of ordinary skill in the art can make various other specific modifications and combinations from the teachings of the present disclosure without departing from the spirit thereof, and such modifications and combinations remain within the scope of the present disclosure.

Claims (9)

1. The high-frequency digital direct-current power supply driving method is characterized by comprising the following steps of:
calculating a theoretical duty ratio according to the target value of the output voltage and the input voltage of the direct-current power supply, and generating a high-frequency digital pulse wave with the duty ratio being the theoretical duty ratio to initially drive the direct-current power supply;
calculating a voltage target difference between the output voltage of the direct current power supply and an output voltage target value;
and calculating and adjusting the duty ratio of the high-frequency digital pulse wave through the self-adaptive fuzzy control model according to the voltage target difference value and the load current, and driving the direct-current power supply.
2. The method for driving a high frequency digital dc power supply according to claim 1, wherein the method for calculating the theoretical duty ratio based on the target value of the output voltage and the input voltage of the dc power supply comprises:
calculating a theoretical duty ratio through a first duty ratio calculation equation according to the output voltage target value and the input voltage of the direct current power supply;
setting a simulation test of a high-frequency digital pulse wave driving direct-current power supply with a duty ratio being a theoretical duty ratio;
if the current existence value of the power inductor flowing through the direct current power supply is 0 in the simulation test, the theoretical duty ratio is correct;
if the current flowing through the power inductor in the direct current power supply does not have the value of 0 in the simulation test, the theoretical duty cycle is recalculated through the second duty cycle calculation equation.
3. The high frequency digital dc power driving method according to claim 2, wherein the first duty ratio calculation equation is:
Figure QLYQS_1
wherein->
Figure QLYQS_2
Is duty cycle, +.>
Figure QLYQS_3
Is the input voltage of the DC power supply, +.>
Figure QLYQS_4
Is the output voltage target value.
4. The high frequency digital dc power driving method according to claim 2, wherein the second duty ratio calculation equation is:
Figure QLYQS_5
wherein->
Figure QLYQS_6
Is duty cycle, +.>
Figure QLYQS_7
Is the period value of the high frequency digital pulse wave, +.>
Figure QLYQS_8
For the power inductance value>
Figure QLYQS_9
For the resistance value of the load, < >>
Figure QLYQS_10
Is the input voltage of the DC power supply, +.>
Figure QLYQS_11
Is the output voltage target value.
5. The high frequency digital dc power driving method according to claim 1, wherein the expression of the adaptive fuzzy control model is:
Figure QLYQS_12
Figure QLYQS_13
Figure QLYQS_14
,/>
Figure QLYQS_15
Figure QLYQS_34
wherein->
Figure QLYQS_39
Is adaptive fuzzyControl model->
Figure QLYQS_41
The duty cycle calculated at the time of the secondary adjustment,
Figure QLYQS_18
for the outer ring +>
Figure QLYQS_21
Feedback value at sub-regulation,/->
Figure QLYQS_25
For the outer ring differential coefficient>
Figure QLYQS_29
For adaptive fuzzy control model +.>
Figure QLYQS_37
Duty cycle calculated at secondary adjustment, +.>
Figure QLYQS_44
For the outer ring +>
Figure QLYQS_46
Cache value at secondary adjustment, < >>
Figure QLYQS_48
Is->
Figure QLYQS_40
Voltage target difference at secondary regulation, +.>
Figure QLYQS_43
For the outer ring +>
Figure QLYQS_45
Feedback value at sub-regulation,/->
Figure QLYQS_47
For counting the number of historical adjustment times, +.>
Figure QLYQS_26
For the outer loop integral coefficient, +.>
Figure QLYQS_32
For the outer ring scale factor, +.>
Figure QLYQS_38
Is an inner ring proportionality coefficient->
Figure QLYQS_42
Is->
Figure QLYQS_19
Voltage target difference at secondary regulation, +.>
Figure QLYQS_23
Is the inner ring->
Figure QLYQS_27
Feedback value at sub-regulation,/->
Figure QLYQS_31
Is the differential coefficient of the inner ring->
Figure QLYQS_16
Is the inner ring->
Figure QLYQS_20
Output at sub-adjustment, < >>
Figure QLYQS_24
Is the inner ring->
Figure QLYQS_28
Output at sub-adjustment, < >>
Figure QLYQS_30
For the inner loop integral coefficient, +.>
Figure QLYQS_33
For the outer ring +>
Figure QLYQS_35
Cache value at secondary adjustment, < >>
Figure QLYQS_36
Is the inner ring->
Figure QLYQS_17
Feedback value at sub-regulation,/->
Figure QLYQS_22
To adjust the coefficients.
6. The method of claim 5, wherein the external ring scaling factor in the adaptive fuzzy control model
Figure QLYQS_49
Inner ring scaling factor->
Figure QLYQS_50
Differential coefficient of outer ring->
Figure QLYQS_51
Differential coefficient of inner ring->
Figure QLYQS_52
Integration coefficient of outer ring->
Figure QLYQS_53
Inner loop integral coefficient->
Figure QLYQS_54
And adjustment coefficient->
Figure QLYQS_55
Mapping is carried out by adopting a coefficient model, wherein the coefficient model is as follows:
Figure QLYQS_75
wherein->
Figure QLYQS_81
Is->
Figure QLYQS_83
Output of coefficient model at sub-adjustment, +.>
Figure QLYQS_57
Is->
Figure QLYQS_61
Output of coefficient model at sub-adjustment, +.>
Figure QLYQS_67
As hyperbolic tangent function, +.>
Figure QLYQS_72
To select weights, ++>
Figure QLYQS_56
Is->
Figure QLYQS_62
First output weight at sub-adjustment, +.>
Figure QLYQS_65
Is->
Figure QLYQS_70
Second output weight at secondary adjustment, +.>
Figure QLYQS_74
Is->
Figure QLYQS_76
Third output weight at sub-adjustment, +.>
Figure QLYQS_82
Is->
Figure QLYQS_84
First output bias at sub-regulation, +.>
Figure QLYQS_73
Is->
Figure QLYQS_77
Second output bias at secondary adjustment, +.>
Figure QLYQS_80
Is->
Figure QLYQS_85
State quantity at secondary adjustment, +.>
Figure QLYQS_59
Is->
Figure QLYQS_63
Voltage target difference at secondary regulation, +.>
Figure QLYQS_66
Is->
Figure QLYQS_69
Load current value at sub-regulation, wherein +.>
Figure QLYQS_60
Output of coefficient model at sub-adjustment>
Figure QLYQS_64
The types of (2) include: external ring scaling factor->
Figure QLYQS_68
Inner ring scaling factor->
Figure QLYQS_71
Differential coefficient of outer ring->
Figure QLYQS_78
Differential coefficient of inner ring->
Figure QLYQS_79
Integration coefficient of outer ring->
Figure QLYQS_86
Inner loop integral coefficient->
Figure QLYQS_87
And adjustment coefficient->
Figure QLYQS_58
7. The high frequency direct current power supply driving method according to claim 6, wherein the first step
Figure QLYQS_88
State quantity at sub-regulation->
Figure QLYQS_89
The formula of (2) is:
Figure QLYQS_90
wherein->
Figure QLYQS_91
Is->
Figure QLYQS_92
Forgetfulness during secondary adjustment, +.>
Figure QLYQS_93
Is->
Figure QLYQS_94
Input during secondary adjustment, +.>
Figure QLYQS_95
Is->
Figure QLYQS_96
The state at the time of the secondary adjustment.
8. The high frequency direct current power supply driving method according to claim 7, wherein the first
Figure QLYQS_97
Forgetfulness during secondary adjustment +.>
Figure QLYQS_98
The formula of (2) is:
Figure QLYQS_101
wherein->
Figure QLYQS_105
In order to activate the function,
Figure QLYQS_108
is->
Figure QLYQS_102
Forgetting weight at secondary adjustment, +.>
Figure QLYQS_103
Is->
Figure QLYQS_106
Forgetting bias at secondary adjustment +.>
Figure QLYQS_109
Is->
Figure QLYQS_100
Voltage target difference at secondary regulation, +.>
Figure QLYQS_104
Is->
Figure QLYQS_107
Output of coefficient model at sub-adjustment, +.>
Figure QLYQS_110
Is->
Figure QLYQS_99
Load current value at the time of secondary adjustment. />
9. The high frequency direct current power supply driving method according to claim 7, wherein the first
Figure QLYQS_111
Input at sub-setting ∈>
Figure QLYQS_112
The formula of (2) is:
Figure QLYQS_124
wherein, the method comprises the steps of, wherein,
Figure QLYQS_114
to activate the function +.>
Figure QLYQS_120
Is->
Figure QLYQS_123
At the time of secondary adjustmentFirst input weight, ++>
Figure QLYQS_127
Is->
Figure QLYQS_128
First input bias at sub-adjustment, +.>
Figure QLYQS_129
Is->
Figure QLYQS_121
Second input weight at secondary adjustment, +.>
Figure QLYQS_125
Is->
Figure QLYQS_113
A second input bias at the time of the secondary adjustment,
Figure QLYQS_117
as hyperbolic tangent function, +.>
Figure QLYQS_116
Is->
Figure QLYQS_119
Voltage target difference at secondary regulation, +.>
Figure QLYQS_122
Is->
Figure QLYQS_126
Output of coefficient model at sub-adjustment, +.>
Figure QLYQS_115
Is->
Figure QLYQS_118
Negative in secondary adjustmentCurrent carrying value. />
CN202310526405.8A2023-05-112023-05-11High-frequency digital direct-current power supply driving methodActiveCN116260316B (en)

Priority Applications (1)

Application NumberPriority DateFiling DateTitle
CN202310526405.8ACN116260316B (en)2023-05-112023-05-11High-frequency digital direct-current power supply driving method

Applications Claiming Priority (1)

Application NumberPriority DateFiling DateTitle
CN202310526405.8ACN116260316B (en)2023-05-112023-05-11High-frequency digital direct-current power supply driving method

Publications (2)

Publication NumberPublication Date
CN116260316Atrue CN116260316A (en)2023-06-13
CN116260316B CN116260316B (en)2023-07-21

Family

ID=86684626

Family Applications (1)

Application NumberTitlePriority DateFiling Date
CN202310526405.8AActiveCN116260316B (en)2023-05-112023-05-11High-frequency digital direct-current power supply driving method

Country Status (1)

CountryLink
CN (1)CN116260316B (en)

Cited By (1)

* Cited by examiner, † Cited by third party
Publication numberPriority datePublication dateAssigneeTitle
CN119231931A (en)*2024-12-032024-12-31浙江绿力智能科技有限公司 A converter intelligent control method and system

Citations (10)

* Cited by examiner, † Cited by third party
Publication numberPriority datePublication dateAssigneeTitle
CN103051186A (en)*2012-12-292013-04-17东南大学Fast transient response digital switch converter and control method of fast transient response digital switch converter
US20150188415A1 (en)*2013-12-302015-07-02King Abdulaziz City For Science And TechnologyPhotovoltaic systems with maximum power point tracking controller
US20200251986A1 (en)*2019-01-312020-08-06The Board Of Trustees Of The University Of AlabamaControl of a buck dc/dc converter using approximate dynamic programming and artificial neural networks
CN111711366A (en)*2020-07-082020-09-25哈尔滨理工大学 A fuzzy control method for a dual-active full-bridge DC-DC converter
CN112152280A (en)*2020-07-302020-12-29上海电力大学 A multi-variable equalization control method for power battery
CN112415890A (en)*2020-11-082021-02-26西北工业大学fuzzy-PID digital voltage compensator for simultaneously correcting error factor and PID control coefficient
CN113014132A (en)*2021-03-162021-06-22福州大学Control method of three-phase current tracking type inverter based on fuzzy PI control
CN114069695A (en)*2021-11-092022-02-18无锡学院MPPT control method, system and storage medium
CN114421769A (en)*2021-12-282022-04-29西北工业大学 Robust adaptive disturbance rejection control method for DC converter based on immersion and invariant theory
CN115542725A (en)*2022-10-282022-12-30深圳市联宇科技有限公司 A self-adaptive regulation method of digital switching power supply

Patent Citations (10)

* Cited by examiner, † Cited by third party
Publication numberPriority datePublication dateAssigneeTitle
CN103051186A (en)*2012-12-292013-04-17东南大学Fast transient response digital switch converter and control method of fast transient response digital switch converter
US20150188415A1 (en)*2013-12-302015-07-02King Abdulaziz City For Science And TechnologyPhotovoltaic systems with maximum power point tracking controller
US20200251986A1 (en)*2019-01-312020-08-06The Board Of Trustees Of The University Of AlabamaControl of a buck dc/dc converter using approximate dynamic programming and artificial neural networks
CN111711366A (en)*2020-07-082020-09-25哈尔滨理工大学 A fuzzy control method for a dual-active full-bridge DC-DC converter
CN112152280A (en)*2020-07-302020-12-29上海电力大学 A multi-variable equalization control method for power battery
CN112415890A (en)*2020-11-082021-02-26西北工业大学fuzzy-PID digital voltage compensator for simultaneously correcting error factor and PID control coefficient
CN113014132A (en)*2021-03-162021-06-22福州大学Control method of three-phase current tracking type inverter based on fuzzy PI control
CN114069695A (en)*2021-11-092022-02-18无锡学院MPPT control method, system and storage medium
CN114421769A (en)*2021-12-282022-04-29西北工业大学 Robust adaptive disturbance rejection control method for DC converter based on immersion and invariant theory
CN115542725A (en)*2022-10-282022-12-30深圳市联宇科技有限公司 A self-adaptive regulation method of digital switching power supply

Non-Patent Citations (1)

* Cited by examiner, † Cited by third party
Title
李彬: "基于自适应模糊PID控制的最大功率点跟踪技术研究", 《陕西电力》, vol. 43, no. 7, pages 8 - 10*

Cited By (1)

* Cited by examiner, † Cited by third party
Publication numberPriority datePublication dateAssigneeTitle
CN119231931A (en)*2024-12-032024-12-31浙江绿力智能科技有限公司 A converter intelligent control method and system

Also Published As

Publication numberPublication date
CN116260316B (en)2023-07-21

Similar Documents

PublicationPublication DateTitle
CN107070222B (en)Control method of bidirectional DC/DC power converter control circuit
CN102255489B (en)High-voltage start-up circuit for switching power supply converter
CN108574411A (en) Dual-port stable control method and control circuit for bidirectional DC/DC power converter
CN110021960B (en) A method for voltage and frequency control of island microgrid based on model predictive control
CN102522899B (en)Control method of control circuit of double-tube forward power converter
CN112600432B (en) A Predictive Charge Control Method for LLC Resonant Converter
KR20080025322A (en) Control method of power system and output voltage
CN109617205B (en) Collaborative control method for power distribution of composite power supply for electric vehicles
CN110277921A (en) A dynamic wireless charging system efficiency optimization method
CN116260316B (en)High-frequency digital direct-current power supply driving method
CN109980918B (en)Reverse coupling high-gain boosting Cuk circuit and fuzzy control method thereof
US20250192596A1 (en)Charger control method and apparatus, and charger and vehicle
CN104753350B (en)A kind of prediction for inductive current in booster circuit restrains control method
CN109039050A (en)A kind of source voltage-type Trans-Z active power factor correction circuit
EP4622082A1 (en)Power supply circuit and apparatus suitable for wide-range output, system and control method
CN112104093B (en)Induction power taking control device of inspection robot and MPPT control method thereof
CN207234674U (en)A kind of two-way DC/DC power converter control circuits
CN213402822U (en)Novel switching power supply
CN120377677B (en)Charge control method and digital control system based on double-active-bridge resonant converter
CN219779834U (en)BMS direct-current power supply circuit of lithium iron phosphate battery management system
Abedi et al.Disturbance rejection of peak current-mode control for bidirectional battery charging
CN222215997U (en)Constant current control circuit and constant current control system
CN223391257U (en) An inertial sensor DC power supply DC/DC module
CN115276408B (en) Wide-input Buck-Boost chopper control circuit and control method
CN114448242B (en) A double-terminal three-level energy storage converter

Legal Events

DateCodeTitleDescription
PB01Publication
PB01Publication
SE01Entry into force of request for substantive examination
SE01Entry into force of request for substantive examination
GR01Patent grant
GR01Patent grant

[8]ページ先頭

©2009-2025 Movatter.jp