Movatterモバイル変換


[0]ホーム

URL:


CN116240645A - Regenerated polyamide fiber and method for producing same - Google Patents

Regenerated polyamide fiber and method for producing same
Download PDF

Info

Publication number
CN116240645A
CN116240645ACN202310304436.9ACN202310304436ACN116240645ACN 116240645 ACN116240645 ACN 116240645ACN 202310304436 ACN202310304436 ACN 202310304436ACN 116240645 ACN116240645 ACN 116240645A
Authority
CN
China
Prior art keywords
compound
polyamide fiber
waste
regenerated
polyamide
Prior art date
Legal status (The legal status is an assumption and is not a legal conclusion. Google has not performed a legal analysis and makes no representation as to the accuracy of the status listed.)
Pending
Application number
CN202310304436.9A
Other languages
Chinese (zh)
Inventor
王生健
陈海涛
王海伦
张浩杰
王小丰
刘鹏
孟利祥
夏涛
Current Assignee (The listed assignees may be inaccurate. Google has not performed a legal analysis and makes no representation or warranty as to the accuracy of the list.)
Sinowin Chemical Fiber Co ltd
Original Assignee
Sinowin Chemical Fiber Co ltd
Priority date (The priority date is an assumption and is not a legal conclusion. Google has not performed a legal analysis and makes no representation as to the accuracy of the date listed.)
Filing date
Publication date
Application filed by Sinowin Chemical Fiber Co ltdfiledCriticalSinowin Chemical Fiber Co ltd
Priority to CN202310304436.9ApriorityCriticalpatent/CN116240645A/en
Publication of CN116240645ApublicationCriticalpatent/CN116240645A/en
Pendinglegal-statusCriticalCurrent

Links

Classifications

Landscapes

Abstract

The invention relates to the technical field of polyamide fibers, in particular to a regenerated polyamide fiber and a manufacturing method thereof. The regenerated polyamide fiber is prepared from 50-80 parts by weight of polyamide waste and 40-60 parts by weight of modified antibacterial polypropylene through melt spinning; the prepared regenerated polyamide fiber has good strength, ageing resistance, flame retardance and antibacterial property, has wide application value, achieves the aim of recycling polyamide waste, changes waste into valuable, saves social resources and effectively protects the environment.

Description

Regenerated polyamide fiber and method for producing same
Technical Field
The invention relates to the technical field of polyamide fibers, in particular to a regenerated polyamide fiber and a manufacturing method thereof.
Background
The main varieties of polyamide fibers (aliphatic) are nylon 66 and nylon 6, the latter also known as nylon. They have high strength, good rebound resilience, highest wear resistance in textile fibers, and multiple deformation resistance and fatigue resistance close to those of terylene and higher than those of other fibers. They have good heat absorption properties, but poor light and heat resistance. The polyamide fiber filament can be made into socks, underwear, shirts, sweaters, skiing shirts, raincoats, and the like; the short fibers can be blended with cotton, wool and viscose fibers, so that the fabric has good wear resistance and strength; can also be used as nylon fastener tape, carpet, decorative cloth, etc.; the method is mainly used for manufacturing the cord fabric, the conveyor belt, the fishing net, the cable and the like in industry. The polyamide products are widely applied in life, great convenience is brought to our life, but a large amount of waste materials pollute the environment, and along with the gradual enhancement of environmental awareness, people begin to pay more attention to recycling of the waste polyamide products.
Patent application No. 201580010460.5 discloses a polyamide textured yarn comprising at least 40 mass% of a low water-absorbing polyamide having an average water absorption of 5% or less at a temperature of 30 ℃ and a relative humidity of 90% rh, and a side-by-side composite yarn comprising the low water-absorbing polyamide as one component, and having been false-twisted to a crimp elongation of 25% or more, and a fabric using the same, which imparts high stretchability to the textured yarn and high stretchability and softness to the fabric using the same, by using a fiber comprising the low water-absorbing polyamide. The patent with application number 202110483986.2 discloses a method for carrying out alcoholysis regeneration on waste polyamide 6, wherein an alkyd monomer is added into waste polyamide 6 under certain temperature and pressure conditions to carry out alcoholysis to generate an alcoholysis polyamide 6 chain segment with carboxyl and amino at two ends respectively, and then the chain segment is subjected to esterification and amidation reaction under certain conditions to prepare regenerated polyamide 6, and a melt spinning method is adopted to prepare regenerated polyamide 6 fibers; although the patent provides a new method for recycling the waste polyamide 6 resources, the chemical reaction system is complex and difficult to control, and the comprehensive performance of the regenerated polyamide 6 fibers is not improved. Accordingly, the present invention provides a regenerated polyamide fiber and a method for manufacturing the same, which solve the problems set forth in the background art described above.
Disclosure of Invention
The invention aims to overcome the defects of the prior art and provide the regenerated polyamide fiber and the manufacturing method thereof, and the prepared regenerated polyamide fiber has good strength, ageing resistance, flame retardance and antibacterial property, has wide application value and achieves the aim of recycling polyamide waste.
The technical scheme adopted by the invention for achieving the purpose is as follows:
regenerated polyamide fibers prepared from 50-80 parts by weight of polyamide waste and 40-60 parts by weight of modified antibacterial polypropylene by melt spinning; the polyamide waste is nylon 66 waste or nylon 6 waste.
The preparation method of the modified antibacterial polypropylene comprises the following steps:
s1, adding benzoyl peroxide and a compound 1 into a xylene solution, adding polypropylene, heating to 110-130 ℃ under the protection of nitrogen, reacting for 2-4 hours, naturally cooling to room temperature, filtering, taking a solid, dissolving the solid in the xylene at 140-150 ℃, stirring and refluxing for 0.5-1.5 hours, adding acetone, continuously stirring for 20-40 minutes, cooling to room temperature, filtering and drying to obtain modified polypropylene; the dosage of the xylene is 15-20mL/1g of polypropylene; the mass ratio of the polypropylene to the compound 1 to the benzoyl peroxide is 1:0.2-0.3:0.01-0.02;
s2, adding trichloroisocyanuric acid into an acetone solution, then adding modified polypropylene, vigorously stirring for 2-3 hours at room temperature, filtering, washing with acetone for three times, and drying to obtain modified antibacterial polypropylene; the mass ratio of the modified polypropylene to the trichloroisocyanuric acid to the acetone is 1:0.5-0.6:15-20.
Further, the reaction process for preparing the modified antibacterial polypropylene comprises the following steps:
Figure BDA0004146230030000021
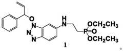
further, the chemical structural formula of the compound 1 is:
Figure BDA0004146230030000031
further, the preparation method of the compound 1 comprises the following steps:
(1) Sequentially adding chloromethyl vinylbenzene, 6-chloro-1-hydroxybenzotriazole and sodium hydroxide into N, N-dimethylformamide solution, heating to 70-80 ℃, and reacting for 4-5 hours to obtain a compound 2, wherein the molar ratio of chloromethyl vinylbenzene to 6-chloro-1-hydroxybenzotriazole to sodium hydroxide is 1:1.1-1.2:2.0-2.5; wherein the dosage of N, N-dimethylformamide is 5-10mL/1g chloromethyl vinyl benzene, and the chemical structural formula of the compound 2 is as follows:
Figure BDA0004146230030000032
(2) Adding platinum dioxide into absolute ethyl alcohol, stirring until the platinum dioxide is uniformly dispersed in the absolute ethyl alcohol, slowly bubbling hydrogen into the solution, sequentially adding diethyl cyanomethylphosphate and concentrated hydrochloric acid, and reacting at room temperature for 10-12h to obtain a compound 3, wherein the molar ratio of the diethyl cyanomethylphosphate to the platinum dioxide to the concentrated hydrochloric acid is 1:0.4-0.5:2.0-2.5; the dosage of the absolute ethyl alcohol is 5-10mL/1g of diethyl cyanomethylphosphonate; the bubbling time of the hydrogen is 20-40min; the chemical structural formula of the compound 3 is as follows:
Figure BDA0004146230030000033
(3) Adding the compound 2 into absolute ethyl alcohol, replacing nitrogen under ice bath condition, then slowly adding an aqueous solution of the compound 3, adjusting the pH value of the reaction solution to 9-10 by using a 1mol/L sodium hydroxide solution, and reacting for 12-14h at room temperature to obtain the compound 1; the molar ratio of the compound 3 to the compound 2 is 1:1.1-1.2; the dosage of the absolute ethyl alcohol is 5-10mL/1g of the compound 3.
The invention also provides a preparation method of the regenerated polyamide fiber, which comprises the following steps: collecting polyamide waste, cleaning and drying for later use; weighing the crushed polyamide waste and modified antibacterial polypropylene according to the weight ratio, blending, extruding from spinneret orifices on a spinneret plate through melt spinning, cooling by adopting circular blowing, oiling, stretching and winding to obtain the regenerated polyamide fiber.
Further, the technological parameters of melt spinning are: the melting temperature is 240-260 ℃, the spinning temperature is 250-280 ℃, the cooling temperature is 15-25 ℃, the prestretching temperature is 70-80 ℃, the stretching temperature is 140-160 ℃, the stretching multiple is 2.7-3.3, and the winding speed is 1000-1500m/min.
The invention has the following beneficial effects:
the invention takes polypropylene as a raw material for modification, and obtains the modified antibacterial polypropylene containing rigid benzene ring, phosphate, benzotriazole and nitrogen-chloro amine structure through structural modification, wherein the rigid benzene ring structure can enhance the mechanical property of the product and improve the breaking strength of the product; the phosphate has good flame retardant effect; the benzotriazole structure has certain light stability, can shield or absorb ultraviolet energy, eliminates or slows down the possibility of photochemical reaction, and prevents or delays the photo-aging process, so that the aging resistance of the product is enhanced, and has certain corrosion inhibition property, so that the ablation of each component of the material against flame can be promoted to be exerted, and the flame retardance of the product is improved; the nitrogen-chloro amine structure has good antibacterial effect, so that the product has antibacterial property; according to the invention, the modified antibacterial polypropylene and the polyamide waste are blended, and the regenerated polyamide fiber is prepared through melt spinning, so that the regenerated polyamide fiber with good comprehensive performance is prepared while the recycling of the polyamide waste is realized.
The regenerated polyamide fiber prepared by the invention has good strength, ageing resistance, flame retardance and antibacterial property, has wide application value, and can be applied to the production of carpets, such as automobile mats, ceramic tile carpets and floor mats; and the purpose of recycling the polyamide waste is achieved, so that the waste is turned into wealth, the social resource is saved, and the environment is effectively protected.
Detailed Description
The following description of the technical solutions in the embodiments of the present application will be made clearly and completely in connection with the embodiments of the present application, and it is obvious that the described embodiments are only some embodiments of the present application, not all embodiments. All other embodiments, which can be made by one of ordinary skill in the art without undue burden from the present disclosure, are within the scope of the present disclosure.
Benzoyl peroxide CAS number 94-36-0; trichloroisocyanuric acid CAS number 87-90-1; chloromethyl vinyl benzene CAS No. 30030-25-2; 6-chloro-1-hydroxybenzotriazole CAS number 26198-19-6; sodium hydroxide CAS number 1310-73-2; cyanomethyl diethyl phosphate CAS number 2537-48-6; platinum dioxide CAS number 1314-15-4; hydrochloric acid CAS number 7647-01-0; n, N-dimethylformamide CAS number 68-12-2; xylene CAS number 1330-20-7; acetone CAS number 67-64-1; absolute ethyl alcohol CAS number 64-17-5; dichloromethane CAS number 75-09-2; petroleum ether CAS No. 8032-32-4; all chemical reagents are commercially available.
Example 1
This example provides a regenerated polyamide fiber and a method of making the same.
Regenerated polyamide fiber is prepared from 80 parts by weight of polyamide waste and 60 parts by weight of modified antibacterial polypropylene through melt spinning; wherein the polyamide waste is nylon 66 waste.
A method for preparing regenerated polyamide fibers comprising the steps of: collecting polyamide waste, cleaning and drying for later use; weighing the crushed polyamide waste and modified antibacterial polypropylene according to the weight ratio, blending, extruding from spinneret orifices on a spinneret plate through melt spinning, cooling by adopting circular blowing, oiling, stretching and winding to obtain the regenerated polyamide fiber. Wherein the technological parameters of melt spinning are as follows: the melting temperature is 260 ℃, the spinning temperature is 280 ℃, the cooling temperature is 25 ℃, the pre-stretching temperature is 70 ℃, the stretching temperature is 160 ℃, the stretching multiple is 3.0, and the winding speed is 1500m/min.
The preparation method of the modified antibacterial polypropylene comprises the following steps:
s1, adding benzoyl peroxide and a compound 1 into a xylene solution, adding polypropylene (purchased from Dongguan Hongyao plastic limited company, model 320 powder), heating to 120 ℃ under the protection of nitrogen, reacting for 3 hours, naturally cooling to room temperature, filtering, dissolving a solid in xylene at 150 ℃, stirring and refluxing for 1.5 hours, adding acetone, continuously stirring for 40 minutes, cooling to room temperature, filtering and drying to obtain modified polypropylene; wherein the dosage of the xylene is 15mL/1g of polypropylene; the mass ratio of the polypropylene to the compound 1 to the benzoyl peroxide is 1:0.2:0.02;
s2, adding trichloroisocyanuric acid into an acetone solution, then adding modified polypropylene, stirring vigorously for 3 hours at room temperature, filtering, washing with acetone for three times, and drying to obtain modified antibacterial polypropylene, wherein the content of effective active chlorine is 14.6%; wherein the mass ratio of the modified polypropylene to the trichloroisocyanuric acid to the acetone is 1:0.5:15.
The reaction process for preparing the modified antibacterial polypropylene comprises the following steps:
Figure BDA0004146230030000061
wherein the chemical structural formula of the compound 1 is as follows:
Figure BDA0004146230030000062
the preparation method comprises the following steps:
(1) Sequentially adding chloromethyl vinylbenzene, 6-chloro-1-hydroxybenzotriazole and sodium hydroxide into N, N-dimethylformamide solution, heating to 80 ℃, reacting for 5 hours, naturally cooling to room temperature, adding water (the same volume as DMF) and dichloromethane (2 times of the volume of N, N-dimethylformamide) for extraction, collecting an organic phase, and concentrating under reduced pressure to obtain a compound 2, wherein the molar ratio of chloromethyl vinylbenzene, 6-chloro-1-hydroxybenzotriazole and sodium hydroxide is 1:1.1:2.0; the dosage of the N, N-dimethylformamide is 10mL/1g chloromethyl vinyl benzene, and the reaction process is as follows:
Figure BDA0004146230030000063
compound 2: ESI (m/z): 286.7[ M+H ]]+1 H-NMR(600MHz,DMSO-d6 ,δppm):7.99(s,1H),7.85(d,1H),7.46(d,1H),7.33-7.35(m,2H),7.29-7.30(m,1H),7.24-7.26(m,2H),6.30-6.32(m,1H),5.56(s,1H),4.49-5.50(m,2H)。
(2) Adding platinum dioxide into absolute ethyl alcohol, stirring until the platinum dioxide is uniformly dispersed in the absolute ethyl alcohol, slowly bubbling hydrogen into the solution, sequentially adding diethyl cyanomethylphosphate and concentrated hydrochloric acid, reacting for 10 hours at room temperature, filtering to remove the platinum dioxide, removing the ethanol by rotary evaporation, and recrystallizing with dichloromethane and petroleum ether (volume ratio is 5:1), filtering and drying to obtain a compound 3, wherein the molar ratio of diethyl cyanomethylphosphate to the platinum dioxide to the concentrated hydrochloric acid is 1:0.4:2.0; the dosage of the absolute ethyl alcohol is 10mL/1g of diethyl cyanomethylphosphonate; the bubbling time of the hydrogen is 20min; the reaction process is as follows:
Figure BDA0004146230030000071
compound 3: ESI (m/z): 182.1[ M-Cl]+1 H-NMR(600MHz,DMSO-d6 ,δppm):8.31(s,3H),4.19-4.20(m,4H),3.57(t,2H),2.51(t,2H),1.36(t,6H)。
(3) Adding the compound 2 into absolute ethyl alcohol, replacing nitrogen under ice bath condition, then slowly adding an aqueous solution of the compound 3 (3 mL of water/1 g of the compound 3), regulating the pH value of the reaction solution to 9-10 by using a 1mol/L sodium hydroxide solution, reacting for 14 hours at room temperature, removing the ethanol by rotary evaporation, filtering to obtain a crude product, recrystallizing the crude product by using methanol and petroleum ether (volume ratio is 1:2), filtering and drying to obtain the compound 1, wherein the molar ratio of the compound 3 to the compound 2 is 1:1.1; the dosage of the absolute ethyl alcohol is 10mL/1g of the compound 3; the reaction process is as follows:
Figure BDA0004146230030000072
compound 1: ESI (m/z): 431.4[ M+H ]]+1 H-NMR(600MHz,DMSO-d6 ,δppm):7.86(d,1H),7.43(s,1H),7.33-7.35(m,2H),7.28-7.29(m,3H),7.25(s,1H),6.72(d,1H),6.30-6.32(m,1H),5.58(s,1H),4.49-5.50(m,2H),4.19-4.20(m,4H),3.34(t,2H),2.42(t,2H),1.35(t,6H)。
Example 2
This example provides a regenerated polyamide fiber and a method of making the same.
Regenerated polyamide fiber is prepared from 50 parts by weight of polyamide waste and 40 parts by weight of modified antibacterial polypropylene through melt spinning; wherein the polyamide waste is nylon 66 waste.
A method for preparing regenerated polyamide fibers comprising the steps of: collecting polyamide waste, cleaning and drying for later use; weighing the crushed polyamide waste and modified antibacterial polypropylene according to the weight ratio, blending, extruding from spinneret orifices on a spinneret plate through melt spinning, cooling by adopting circular blowing, oiling, stretching and winding to obtain the regenerated polyamide fiber. Wherein the technological parameters of melt spinning are as follows: the melting temperature is 240 ℃, the spinning temperature is 250 ℃, the cooling temperature is 15 ℃, the pre-stretching temperature is 70 ℃, the stretching temperature is 160 ℃, the stretching multiple is 3.0, and the winding speed is 1200m/min.
Wherein the modified antibacterial polypropylene was prepared in the same manner as in example 1.
Example 3
This example provides a regenerated polyamide fiber and a method of making the same.
Regenerated polyamide fiber is prepared from 60 parts by weight of polyamide waste and 50 parts by weight of modified antibacterial polypropylene through melt spinning; wherein the polyamide waste is nylon 6 waste.
A method for preparing regenerated polyamide fibers comprising the steps of: collecting polyamide waste, cleaning and drying for later use; weighing the crushed polyamide waste and modified antibacterial polypropylene according to the weight ratio, blending, extruding from spinneret orifices on a spinneret plate through melt spinning, cooling by adopting circular blowing, oiling, stretching and winding to obtain the regenerated polyamide fiber. Wherein the technological parameters of melt spinning are as follows: the melting temperature is 250 ℃, the spinning temperature is 260 ℃, the cooling temperature is 20 ℃, the pre-stretching temperature is 80 ℃, the stretching temperature is 150 ℃, the stretching multiple is 3.3, and the winding speed is 1400m/min.
Wherein the modified antibacterial polypropylene was prepared in the same manner as in example 1.
Example 4
This example provides a regenerated polyamide fiber and a method of making the same.
Regenerated polyamide fiber is prepared from 70 parts by weight of polyamide waste and 40 parts by weight of modified antibacterial polypropylene through melt spinning; wherein the polyamide waste is nylon 6 waste.
A method for preparing regenerated polyamide fibers comprising the steps of: collecting polyamide waste, cleaning and drying for later use; weighing the crushed polyamide waste and modified antibacterial polypropylene according to the weight ratio, blending, extruding from spinneret orifices on a spinneret plate through melt spinning, cooling by adopting circular blowing, oiling, stretching and winding to obtain the regenerated polyamide fiber. Wherein the technological parameters of melt spinning are as follows: the melting temperature is 260 ℃, the spinning temperature is 260 ℃, the cooling temperature is 25 ℃, the pre-stretching temperature is 75 ℃, the stretching temperature is 150 ℃, the stretching multiple is 2.7, and the winding speed is 1000m/min.
Wherein the modified antibacterial polypropylene was prepared in the same manner as in example 1.
Comparative example 1
This comparative example provides a regenerated polyamide fiber and a method for producing the same, differing from example 1 in that the regenerated polyamide fiber is produced by melt spinning 80 parts by weight of a polyamide waste material and 60 parts by weight of a modified polypropylene; wherein the polyamide waste is nylon 66 waste.
The method for producing the regenerated polyamide fiber and the method for producing the modified polypropylene are the same as in example 1.
Comparative example 2
This comparative example provides a regenerated polyamide fiber and a method for producing the same, differing from example 1 in that the regenerated polyamide fiber is produced by melt spinning 80 parts by weight of a polyamide waste material and 60 parts by weight of polypropylene; wherein the polyamide waste is nylon 66 waste.
The regenerated polyamide fiber was produced in the same manner as in example 1.
Comparative example 3
This comparative example provides a regenerated polyamide fiber and a method for producing the same, differing from example 1 in that the regenerated polyamide fiber is produced from 80 parts by weight of a polyamide waste material by melt spinning; wherein the polyamide waste is nylon 66 waste.
The regenerated polyamide fiber was produced in the same manner as in example 1.
Test example 1
The regenerated polyamide fibers prepared in examples 1 to 4 and comparative examples 1 to 3 were respectively subjected to a total fineness, breaking strength, elongation at break tensile property test; the breaking strength and breaking elongation test method refers to GB/T3916-2013; anti-aging test is referred to GB/T16991-2008; the test results are shown in Table 1.
Figure BDA0004146230030000091
Table 1 correlation performance test table
Figure BDA0004146230030000101
As can be seen from the comparison results of Table 1, the total fineness of the regenerated polyamide fibers prepared in examples 1-4 is 1750-2000dtex, and the regenerated polyamide fibers have certain wear resistance while ensuring the softness, and the breaking strength and the breaking elongation before and after aging are far greater than those of comparative examples 1-3; compared with the modified polypropylene (added) in the comparative example 1, the modified polypropylene (added) in the comparative example 2 and the comparative example 3 (only polyamide waste is used), the rigid benzene ring on the molecular chain of the modified antibacterial polypropylene added in the example 1 can enhance the mechanical property of the product, improve the breaking strength of the product, enable the benzotriazole structure to have certain light stability, shield or absorb the energy of ultraviolet rays, eliminate or slow down the possibility of photochemical reaction and prevent or delay the photo-aging process, thereby enhancing the aging resistance of the product and ensuring that the breaking strength of the product before and after aging is not obviously changed basically; the invention shows that the modified antibacterial polypropylene and the polyamide waste material are blended and melt-spun, and the regenerated polyamide fiber with good strength and ageing resistance can be prepared.
Test example 2
The regenerated polyamide fibers prepared in examples 1 to 4 and comparative examples 1 to 3 were subjected to flame retardant and antibacterial property test, and the oxygen index test method was referred to GB/T2406-2009; testing the antibacterial effect on staphylococcus aureus and escherichia coli; the test results are shown in Table 2.
TABLE 2 flame retardant and antibacterial Property test Table
Figure BDA0004146230030000111
As can be seen from the comparison results of Table 2, the limiting oxygen index of the regenerated polyamide fibers prepared in examples 1-4 is 31-34%, the antibacterial rate against staphylococcus aureus is more than 98%, the antibacterial rate against escherichia coli is more than 99%, and the flame retardant and antibacterial properties of the regenerated polyamide fibers are far better than those of comparative examples 1-3; compared with the modified polypropylene (added) in the comparative example 1, the modified polypropylene (added) in the comparative example 2 and the comparative example 3 (only polyamide waste is used), the phosphate on the molecular chain of the modified antibacterial polypropylene added in the example 1 has flame retardant effect, and the benzotriazole structure also has certain corrosion inhibition property, so that the flame resistance of each component of the material against flame can be promoted to be exerted, and the flame resistance of the product is improved; the nitrogen-chloro amine has the antibacterial effect, is realized by directly acting hydrolytic release oxidative halogen and microorganism, and shows that the invention blends and melt-spins modified antibacterial polypropylene and polyamide waste, and can prepare regenerated polyamide fiber with good flame retardance and antibacterial property.
It will be evident to those skilled in the art that the invention is not limited to the details of the foregoing illustrative embodiments, and that the present invention may be embodied in other specific forms without departing from the spirit or essential characteristics thereof. The present embodiments are, therefore, to be considered in all respects as illustrative and not restrictive, the scope of the invention being indicated by the appended claims rather than by the foregoing description, and all changes which come within the meaning and range of equivalency of the claims are therefore intended to be embraced therein.
Furthermore, it should be understood that although the present disclosure describes embodiments, not every embodiment is provided with a separate embodiment, and that this description is provided for clarity only, and that the disclosure is not limited to the embodiments described in detail below, and that the embodiments described in the examples may be combined as appropriate to form other embodiments that will be apparent to those skilled in the art.

Claims (8)

1. Regenerated polyamide fiber, characterized in that the regenerated polyamide fiber is prepared from 50-80 parts by weight of polyamide waste and 40-60 parts by weight of modified antibacterial polypropylene through melt spinning; the preparation method of the modified antibacterial polypropylene comprises the following steps:
s1, adding benzoyl peroxide and a compound 1 into a xylene solution, adding polypropylene, heating to 110-130 ℃ under the protection of nitrogen, reacting for 2-4 hours, naturally cooling to room temperature, filtering, taking a solid, dissolving the solid in the xylene at 140-150 ℃, stirring and refluxing for 0.5-1.5 hours, adding acetone, continuously stirring for 20-40 minutes, cooling to room temperature, filtering and drying to obtain modified polypropylene;
s2, adding trichloroisocyanuric acid into an acetone solution, then adding modified polypropylene, vigorously stirring for 2-3 hours at room temperature, filtering, washing with acetone for three times, and drying to obtain modified antibacterial polypropylene;
the chemical structural formula of the compound 1 is as follows:
Figure FDA0004146230020000011
2. the regenerated polyamide fiber according to claim 1, wherein the preparation method of the compound 1 is:
(1) Sequentially adding chloromethyl vinylbenzene, 6-chloro-1-hydroxybenzotriazole and sodium hydroxide into N, N-dimethylformamide solution, heating to 70-80 ℃, and reacting for 4-5h to obtain a compound 2 with a chemical structural formula:
Figure FDA0004146230020000012
(2) Adding platinum dioxide into absolute ethyl alcohol, stirring until the platinum dioxide is uniformly dispersed in the absolute ethyl alcohol, slowly bubbling hydrogen into the solution, sequentially adding diethyl cyanomethylphosphate and concentrated hydrochloric acid, and reacting at room temperature for 10-12h to obtain a compound 3, wherein the chemical structural formula is as follows:
Figure FDA0004146230020000013
(3) Adding the compound 2 into absolute ethyl alcohol, replacing nitrogen under ice bath condition, then slowly adding an aqueous solution of the compound 3, adjusting the pH value of the reaction solution to 9-10 by using a 1mol/L sodium hydroxide solution, and reacting for 12-14h at room temperature to obtain the compound 1.
3. The regenerated polyamide fiber according to claim 2 wherein the chloromethylvinylbenzene, 6-chloro-1-hydroxybenzotriazole, sodium hydroxide in step (1) are in a molar ratio of 1:1.1-1.2:2.0-2.5; the molar ratio of the cyanomethyl diethyl phosphate, the platinum dioxide and the concentrated hydrochloric acid in the step (2) is 1:0.4-0.5:2.0-2.5; the molar ratio of the compound 3 to the compound 2 in the step (3) is 1:1.1-1.2.
4. The recycled polyamide fiber of claim 1, wherein the polyamide waste is nylon 66 waste or nylon 6 waste.
5. The regenerated polyamide fiber according to claim 1, wherein the mass ratio of the polypropylene, the compound 1 and the benzoyl peroxide in the step S1 is 1:0.2-0.3:0.01-0.02; and in the step S2, the mass ratio of the modified polypropylene to the trichloroisocyanuric acid to the acetone is 1:0.5-0.6:15-20.
6. The method for producing a regenerated polyamide fiber according to any one of claims 1 to 5, comprising the steps of: collecting polyamide waste, cleaning and drying for later use; weighing the crushed polyamide waste and modified antibacterial polypropylene according to the weight ratio, blending, extruding from spinneret orifices on a spinneret plate through melt spinning, cooling by adopting circular blowing, oiling, stretching and winding to obtain the regenerated polyamide fiber.
7. The method of producing a regenerated polyamide fiber according to claim 6 wherein the melting temperature is 240-260 ℃.
8. The method for producing a regenerated polyamide fiber according to claim 6, wherein the spinning temperature is 250 to 280 ℃, the cooling temperature is 15 to 25 ℃, the pre-stretching temperature is 70 to 80 ℃, the stretching temperature is 140 to 160 ℃, the stretching multiple is 2.7 to 3.3, and the winding speed is 1000 to 1500m/min.
CN202310304436.9A2023-03-272023-03-27Regenerated polyamide fiber and method for producing samePendingCN116240645A (en)

Priority Applications (1)

Application NumberPriority DateFiling DateTitle
CN202310304436.9ACN116240645A (en)2023-03-272023-03-27Regenerated polyamide fiber and method for producing same

Applications Claiming Priority (1)

Application NumberPriority DateFiling DateTitle
CN202310304436.9ACN116240645A (en)2023-03-272023-03-27Regenerated polyamide fiber and method for producing same

Publications (1)

Publication NumberPublication Date
CN116240645Atrue CN116240645A (en)2023-06-09

Family

ID=86627899

Family Applications (1)

Application NumberTitlePriority DateFiling Date
CN202310304436.9APendingCN116240645A (en)2023-03-272023-03-27Regenerated polyamide fiber and method for producing same

Country Status (1)

CountryLink
CN (1)CN116240645A (en)

Cited By (2)

* Cited by examiner, † Cited by third party
Publication numberPriority datePublication dateAssigneeTitle
CN116815345A (en)*2023-06-292023-09-29神马博列麦(平顶山)气囊丝制造有限公司Nylon industrial yarn for safety airbag and preparation method thereof
CN116903910A (en)*2023-09-142023-10-20河南华佳新材料技术有限公司Metallized film for rail transit capacitor and preparation method thereof

Cited By (3)

* Cited by examiner, † Cited by third party
Publication numberPriority datePublication dateAssigneeTitle
CN116815345A (en)*2023-06-292023-09-29神马博列麦(平顶山)气囊丝制造有限公司Nylon industrial yarn for safety airbag and preparation method thereof
CN116903910A (en)*2023-09-142023-10-20河南华佳新材料技术有限公司Metallized film for rail transit capacitor and preparation method thereof
CN116903910B (en)*2023-09-142023-12-01河南华佳新材料技术有限公司Metallized film for rail transit capacitor and preparation method thereof

Similar Documents

PublicationPublication DateTitle
CN116240645A (en)Regenerated polyamide fiber and method for producing same
CN106350894B (en)Graphene polyester monofilament
EP3257975B1 (en)Method of making a fiber of polyacrylonitrile - cellulose acetate
CN112779622A (en)Polyamide 56 industrial yarn and preparation method and application thereof
CN105200550B (en)A kind of low melting point antibacterial special polyester monofilament and its processing method
CN115198388A (en)Flame-retardant antistatic regenerated polyester wig fiber and preparation method thereof
CN102747450B (en)Production method of chitin antibacterial mouldproof polypropylene BCF (bulk continuous filament) filament
CN111691001A (en)Preparation method of ionic liquid plasticized polyamide 56 industrial yarn
CN111691000B (en) A method for preparing polyamide 56 industrial yarn by plasticizing and melting
CN114941186B (en)PET-based antibacterial wear-resistant fiber and preparation method thereof
CN112048781B (en)Degradable antibacterial flame-retardant PLA wig fiber and preparation method thereof
CN104726997A (en)Making method for bio-fiber/bamboo charcoal fiber/viscose fiber blended fabric
CN106350932A (en)Flocking lace fabric
CN112030259A (en)Degradable antibacterial flame-retardant wig fiber based on PLA (polylactic acid) and preparation method thereof
CN113774661A (en)Polyamide fiber-imitated polyester fiber pantyhose
CN111364115A (en)Antibacterial polyester fiber and fabric
CN102345180A (en)M-phthalic acid modified terylene low elastic network fiber
JP4617872B2 (en) Polylactic acid fiber
CN110983469A (en)Polylactic acid BCF bulked yarn, and preparation method and application thereof
JP2011226023A (en)Stretch-broken spun yarn composed of meta-type wholly aromatic polyamide
CN103060939B (en)Preparation method of cellulose acetate fiber through polybasic carboxylic acid crosslinking
CN104674432A (en)Manufacturing method for boiling and sizing copper ammonia fiber/bamboo fiber anti-bacterial blended fabric
CN108823725B (en)Preparation method of ultrahigh fiber density polyester fiber
CN110725041B (en)Welding anti-splashing fabric and preparation method thereof
CN111876840A (en)Preparation method of high-fluidity polyamide 56 fiber

Legal Events

DateCodeTitleDescription
PB01Publication
PB01Publication
SE01Entry into force of request for substantive examination
SE01Entry into force of request for substantive examination

[8]ページ先頭

©2009-2025 Movatter.jp