Movatterモバイル変換


[0]ホーム

URL:


CN116236443B - Mesenchymal stem cell repairing injection and preparation method thereof - Google Patents

Mesenchymal stem cell repairing injection and preparation method thereof
Download PDF

Info

Publication number
CN116236443B
CN116236443BCN202310530205.XACN202310530205ACN116236443BCN 116236443 BCN116236443 BCN 116236443BCN 202310530205 ACN202310530205 ACN 202310530205ACN 116236443 BCN116236443 BCN 116236443B
Authority
CN
China
Prior art keywords
mesenchymal stem
weight
parts
sio
porous hollow
Prior art date
Legal status (The legal status is an assumption and is not a legal conclusion. Google has not performed a legal analysis and makes no representation as to the accuracy of the status listed.)
Active
Application number
CN202310530205.XA
Other languages
Chinese (zh)
Other versions
CN116236443A (en
Inventor
王壮
雷起凤
尹娜
梁玉倩
Current Assignee (The listed assignees may be inaccurate. Google has not performed a legal analysis and makes no representation or warranty as to the accuracy of the list.)
Beijing Ivy Guxi Stem Cell Technology Research Institute Co ltd
Original Assignee
Beijing Ivy Guxi Stem Cell Technology Research Institute Co ltd
Priority date (The priority date is an assumption and is not a legal conclusion. Google has not performed a legal analysis and makes no representation as to the accuracy of the date listed.)
Filing date
Publication date
Application filed by Beijing Ivy Guxi Stem Cell Technology Research Institute Co ltdfiledCriticalBeijing Ivy Guxi Stem Cell Technology Research Institute Co ltd
Priority to CN202310530205.XApriorityCriticalpatent/CN116236443B/en
Publication of CN116236443ApublicationCriticalpatent/CN116236443A/en
Application grantedgrantedCritical
Publication of CN116236443BpublicationCriticalpatent/CN116236443B/en
Activelegal-statusCriticalCurrent
Anticipated expirationlegal-statusCritical

Links

Images

Classifications

Landscapes

Abstract

The invention provides mesenchymal stem cell repair injection and a preparation method thereof, and belongs to the technical field of medicines. Porous hollow CaCO is prepared by an emulsion method3 /SiO2 The microballoon is further reacted with diammonium hydrogen phosphate to prepare porous hollow hydroxyapatite/SiO2 Microsphere, surface is coated by polylactic acid-glycolic acid copolymer, then surface modification is carried out by silk fibroin and polydopamine, and the modified polylactic acid-glycolic acid copolymer coated porous hollow hydroxyapatite/SiO is prepared2 The microspheres are inoculated with mesenchymal stem cell suspension, and uniformly mixed with embedding admixture, deionized water and cocamidopropyl betaine to prepare the mesenchymal stem cell repair injection. The mesenchymal stem cells are inoculated on the microspheres, so that the stability of the injection is improved, the survival rate of the injection is improved, and the effect of the injection on cartilage repair is improved by adding the embedding mixine, so that the injection has a wide application prospect.

Description

Mesenchymal stem cell repairing injection and preparation method thereof
Technical Field
The invention relates to the technical field of medicines, in particular to mesenchymal stem cell repair injection and a preparation method thereof.
Background
Mesenchymal stem cells are an important member of the stem cell family, derived from early stages of development, mesoderm and ectoderm. Mesenchymal stem cells were originally found in bone marrow and have a multi-directional differentiation potential, hematopoietic support and promote multiple functions such as stem cell implantation, immune regulation, and the like, and have been attracting attention. The mesenchymal stem cells can be differentiated into various tissue cells such as fat, bone, nerve and the like under the induction of in vivo or in vitro, and the continuous subculture still has multidirectional differentiation potential.
The mesenchymal stem cells can secrete a plurality of cytokines such as endothelial cell growth factor (VEGF), stem cell growth factor (SCF), fibroblast Growth Factor (FGF), epidermal cell growth factor (EGF), granulocyte Colony Stimulating Factor (GCSF), macrophage knockdown stimulating factor (M-CSF), interleukin (IL) and the like in the in vitro culture process, plays an important paracrine role, and can generate a series of extracellular matrix molecules such as fibronectin, laminin, type I-IV collagen, proteoglycan and the like. These paracrine factors are involved in repairing damaged tissues of the organism, inhibiting apoptosis of the damaged tissue cells, promoting proliferation of the damaged tissue cells, resisting inflammatory reaction, inhibiting proliferation and migration of cells related to inflammation induced by the damaged part, and the like.
The mesenchymal stem cell injection can be clinically used for preventing and treating immune system diseases, diabetes and the like. However, unlike other injections, the active ingredient in the mesenchymal stem cell injection is stem cells, and when the mesenchymal stem cells are preserved by auxiliary materials such as sodium chloride, DMSO and the like which are conventionally used for preparing the injection, the activity of the stem cells is greatly reduced, and the cell activity cannot be ensured for a long time.
Disclosure of Invention
The invention aims to provide mesenchymal stem cell repairing injection and a preparation method thereof, wherein mesenchymal stem cells are inoculated on microspheres, so that the stability of the injection is improved, the preservation time of the mesenchymal stem cells is prolonged, the survival rate of the mesenchymal stem cells is improved, and the effects of the injection on cartilage inflammation diminishing and cartilage repairing are improved by adding embedding mixing elements, so that the mesenchymal stem cell repairing injection has a wide application prospect.
The technical scheme of the invention is realized as follows:
the invention provides a preparation method of mesenchymal stem cell repair injection, which prepares porous hollow CaCO through an emulsion method3 /SiO2 Microsphere, further combined with hydrogen phosphateDiammonium reaction to obtain porous hollow hydroxyapatite/SiO2 Microsphere, surface is coated by polylactic acid-glycolic acid copolymer, then surface modification is carried out by silk fibroin and polydopamine, and the modified polylactic acid-glycolic acid copolymer coated porous hollow hydroxyapatite/SiO is prepared2 The microspheres are inoculated with mesenchymal stem cell suspension, and are uniformly mixed with microspheres embedded with mixin beta and interleukin 6, deionized water and cocamidopropyl betaine to prepare the mesenchymal stem cell repair injection.
Preferably, the mesenchymal stem cells are rat synovial mesenchymal stem cells.
As a further improvement of the invention, the method comprises the following steps:
s1, porous hollow CaCO3 /SiO2 Preparation of microspheres: dissolving an oleophylic emulsifier and alkyl orthosilicate in an organic solvent to obtain an oil phase; dissolving a hydrophilic emulsifier, a pore-forming agent and sodium carbonate in water to obtain a water phase; adding oil phase into water phase, stirring, emulsifying, adding into calcium chloride solution, stirring, centrifuging, washing, and drying to obtain porous hollow CaCO3 /SiO2 A microsphere;
s2, porous hollow hydroxyapatite/SiO2 Preparation of microspheres: the porous hollow CaCO prepared in the step S13 /SiO2 Adding the microspheres into diammonium hydrogen phosphate solution, regulating the pH value of the solution to be alkaline, heating and stirring for reaction, centrifuging, washing and drying to obtain porous hollow hydroxyapatite/SiO2 A microsphere;
s3, coating a polylactic acid-glycolic acid copolymer: the porous hollow hydroxyapatite/SiO prepared in the step S2 is treated2 Adding microspheres into ethanol water solution, adding silane coupling agent, heating and stirring for reaction, centrifuging, washing, adding into dichloromethane, adding polylactic acid-glycolic acid copolymer, stirring for reaction, centrifuging, washing, and drying to obtain porous hollow hydroxyapatite/SiO coated with polylactic acid-glycolic acid copolymer2 A microsphere;
s4, modifying silk fibroin/polydopamine: coating the porous hollow hydroxyl phosphorus coated by the polylactic acid-glycolic acid copolymer prepared in the step S3limestone/SiO2 Adding the microspheres into water, adding dopamine hydrochloride and a catalyst, heating and stirring for reaction, adding silk fibroin, stirring for reaction, centrifuging, washing, and freeze-drying to obtain the modified polylactic acid-glycolic acid copolymer coated porous hollow hydroxyapatite/SiO2 A microsphere;
s5, adsorbing mesenchymal stem cells: the modified polylactic acid-glycolic acid copolymer coated porous hollow hydroxyapatite/SiO prepared in the step S42 Adding the microspheres into a syringe, adding mesenchymal stem cell suspension, infiltrating the cell suspension under negative pressure, feeding the microspheres, culturing, centrifuging, and washing to obtain microspheres inoculated with mesenchymal stem cells;
s6, embedding a mixed element: uniformly dispersing interferon beta and interleukin 6 in a sodium alginate aqueous solution, emulsifying, dripping a calcium chloride solution, solidifying at normal temperature, centrifuging, washing, and freeze-drying to obtain the embedding mixture;
S7, preparing mesenchymal stem cell repair injection: uniformly mixing the microspheres inoculated with the mesenchymal stem cells prepared in the step S5, the embedding mixture prepared in the step S6, deionized water and cocamidopropyl betaine to prepare the mesenchymal stem cell repair injection.
As a further improvement of the present invention, the porogen in step S1 comprises a macropore porogen and a mesopore porogen, the mesopore porogen being selected from at least one of ammonium bicarbonate, cetyltrimethylammonium bromide, ethylene oxide-propylene oxide triblock copolymers PEO20-PPO70-PEO20, PEO106-PPO70-PEO 106; the macroporous pore-forming agent is selected from at least one of polyoxyethylene sorbitan fatty acid ester and polyethylene glycol octyl phenyl ether, preferably, the pore-forming agent is a mixture of ammonium bicarbonate and polyoxyethylene sorbitan fatty acid ester, and the mass ratio is 2-3:5; the mass ratio of the lipophilic emulsifier to the alkyl orthosilicate is 1-2:5-10; the mass ratio of the hydrophilic emulsifier to the pore-forming agent to the sodium carbonate is 1-2:2-3:10-15; the mass ratio of the oil phase to the water phase is 3-5:7-10; the mass ratio of the emulsion to the calcium chloride solution is 10-12:7-10; the concentration of the calcium chloride solution is 5-7wt%.
Preferably, the lipophilic emulsifier is at least one selected from span-20, span-40, span-60 and span-80; the hydrophilic emulsifier is at least one selected from Tween-20, tween-40, tween-60 and Tween-80; the organic solvent is at least one selected from petroleum ether, dichloromethane, chloroform, toluene, n-hexane, cyclohexane, cycloheptane, n-heptane and diethyl ether; the alkyl orthosilicate is methyl orthosilicate or ethyl orthosilicate.
As a further improvement of the invention, the addition amount of the diammonium hydrogen phosphate in the step S2 is to ensure that the molar ratio of calcium to phosphorus is 5:3, the pH value of the solution is adjusted to be 11.5-12.5, the temperature of the heating and stirring reaction is 90-100 ℃, and the time is 12-15h.
As a further improvement of the present invention, the porous hollow hydroxyapatite/SiO in step S32 The mass ratio of the microsphere to the silane coupling agent to the polylactic acid-glycolic acid copolymer is 10:0.5-1:3-5, the temperature of the heating and stirring reaction is 50-70 ℃ for 2-3h, and the stirring reaction time is 3-5h.
Preferably, the silane coupling agent is selected from at least one of KH550, KH560, KH570, KH580, KH590, KH602, KH 792.
As a further improvement of the present invention, the polylactic acid-glycolic acid copolymer coated porous hollow hydroxyapatite/SiO in the step S42 The mass ratio of the microsphere to the dopamine hydrochloride to the catalyst to the silk fibroin is 10-12:12-15:0.2-0.4:3-5, and the catalyst contains 3-5wt% of CoCl2 The temperature of the heating and stirring reaction is 40-50 ℃ for 2-3h, and the stirring reaction time is 1-2h.
As a further improvement of the present invention, the modified polylactic acid-glycolic acid copolymer coated porous hollow hydroxyapatite/SiO in step S52 The mass ratio of the microsphere to the mesenchymal stem cell suspension is 10:12-15, and the cell density of the mesenchymal stem cell suspension is 106 -107 cell/mL, the culture condition is 36-38 ℃ and the time is 3-5h.
As a further improvement of the present invention, the mass ratio of interferon β to interleukin 6 in step S6 is 5-7:3-5, wherein the concentration of the sodium alginate aqueous solution is 12-15wt%, the concentration of the calcium chloride solution is 0.5-1wt%, and the time for normal solidification is 30-40min.
As a further improvement of the invention, the mass ratio of the microspheres inoculated with mesenchymal stem cells, the embedding mixture, the deionized water and the cocamidopropyl betaine in the step S7 is 10-12:2-3:100-120:3-5.
The invention further protects the mesenchymal stem cell repair injection prepared by the preparation method.
The invention has the following beneficial effects:
interferon has various effects of inhibiting cell division, regulating immunity, resisting virus, resisting tumor, etc., but has a short half-life in vivo, and when interleukin 6 is directly contacted with mesenchymal stem cells, it is difficult to combine to form a colony, and it is fissile into various white blood cells within several days to lose the original characteristics. Therefore, the invention embeds the interferon beta and the interleukin 6 through sodium alginate, effectively avoids the degradation of the interferon, and the interleukin 6 is directly contacted with the mesenchymal stem cells, thereby prolonging the drug effect and improving the stability.
After injection of the injection containing the microspheres inoculated with mesenchymal stem cells and the embedding mixture, they can re-enter bone marrow, and can produce a large number of various types of white blood cells and secrete a large number of anti-inflammatory factors, thereby retaining the original characteristics of stem cells.
The mesenchymal stem cells are often used as tissue engineering seed cells, have the function of regulating microenvironment besides the capability of inducing multidirectional differentiation, and have the tissue repair capability obviously superior to that of terminally differentiated osteoblasts. However, when mesenchymal stem cells are stored by directly injecting an injection containing a mesenchymal stem cell suspension, the activity of the mesenchymal stem cells is greatly reduced and the cell activity cannot be ensured for a long period of time by using auxiliary materials such as sodium chloride, DMSO and the like which are conventionally used for preparing the injection. Therefore, the method for coating and fixing the biological scaffold material avoids damage of other auxiliary materials to the mesenchymal stem cells, improves the stability of the mesenchymal stem cells to the greatest extent, prolongs the service life of the mesenchymal stem cells and improves the survival rate of the mesenchymal stem cells.
The biological scaffold material can deliver stem cells to a carrier at a focus of an organism, and plays a role of a bridge. The ideal biological scaffold material has the characteristics of good biocompatibility, low immunogenicity, degradability, modifier, certain mechanical strength, contribution to cell adhesion, proliferation, migration and the like, and the single biological material is difficult to simultaneously meet the conditions.
Hydroxyapatite is an important component of organism bones, has better stability, biocompatibility and osteoinductive property, and is widely applied to bone tissue engineering. The invention uses hydroxyapatite/SiO2 As the composite material is used as the skeleton material of the microsphere, not only the mechanical strength of the microsphere is improved, but also the specific surface area of the microsphere is improved, and the adsorption and fixation of the microsphere to stem cells are facilitated.
In porous hollow hydroxyapatite/SiO2 The polylactic acid-glycolic acid copolymer is coated on the surface of the microsphere, is a high polymer material formed by polymerizing lactic acid and glycolic acid, can be finally degraded into water and carbon dioxide by an organism, is safe and nontoxic, has a simple preparation method, is not easy to generate immune rejection reaction, can enhance the toughness of the microsphere, can be in proper time in vivo, and can promote the anti-inflammatory and repairing effects of cartilage.
The silk fibroin is fibrin existing in natural silk, has the characteristics of high mechanical strength, low immunogenicity, hydrophilicity and the like, and hardly causes any inflammatory reaction of organisms. Can be degraded in various forms in aqueous solutions. Polydopamine is also a biocompatible material. The surfaces of the polydopamine and the silk fibroin contain rich hydroxyl, amino, carboxyl, sulfhydryl and other charge-rich groups, and the inoculation adsorption of the microspheres to the mesenchymal stem cells can be promoted through electrostatic adsorption, so that the immobilization rate of the microspheres to the mesenchymal stem cells is improved.
The mesenchymal stem cell repairing injection prepared by the invention inoculates the mesenchymal stem cells on the microspheres, improves the stability of the injection, prolongs the preservation time of the mesenchymal stem cells, improves the survival rate of the mesenchymal stem cells, improves the effects of the injection on cartilage inflammation diminishing and cartilage repairing by adding the embedding mixin, and has wide application prospect.
Drawings
In order to more clearly illustrate the embodiments of the invention or the technical solutions of the prior art, the drawings which are used in the description of the embodiments or the prior art will be briefly described, it being obvious that the drawings in the description below are only some embodiments of the invention, and that other drawings can be obtained according to these drawings without inventive faculty for a person skilled in the art.
FIG. 1 is a porous hollow hydroxyapatite/SiO of example 1 step S22 SEM image of microspheres.
Detailed Description
The following description of the technical solutions in the embodiments of the present invention will be clear and complete, and it is obvious that the described embodiments are only some embodiments of the present invention, but not all embodiments. All other embodiments, which can be made by those skilled in the art based on the embodiments of the invention without making any inventive effort, are intended to be within the scope of the invention.
The mesenchymal stem cells are rat synovial mesenchymal stem cells, and the product number is CP-R304, purchased from the GmbH of the life technology of the Wuhanplaunorace; polylactic acid-glycolic acid copolymer with molecular weight of 50000, sigma company in united states; silk fibroin, san died medical science and technology limited, beijing; interferon beta, brand bios, shanghai scrupulously and respectfully sensitive biotechnology limited; interleukin 6, huamei bioengineering Co.
Example 1
The embodiment provides a preparation method of mesenchymal stem cell repair injection, which comprises the following steps:
s1, porous hollow CaCO3 /SiO2 Preparation of microspheres: 1 part by weight of span-20 and 5 parts by weight of methyl orthosilicate are dissolved in 100 parts by weight of petroleum ether to obtain an oil phase; dissolving 1 part by weight of Tween-20, 2 parts by weight of a pore-forming agent and 10 parts by weight of sodium carbonate in 100 parts by weight Obtaining a water phase in water; adding 30 parts by weight of oil phase into 70 parts by weight of water phase, stirring and mixing for 4 hours, emulsifying for 12000r/min for 15 minutes, pouring 100 parts by weight of emulsion into 70 parts by weight of 5wt% calcium chloride solution, stirring and reacting for 2 hours, centrifuging for 15 minutes 3000r/min, washing with deionized water, drying at 105 ℃ for 2 hours, and obtaining porous hollow CaCO3 /SiO2 A microsphere;
the pore-forming agent is a mixture of ammonium bicarbonate and polyoxyethylene sorbitan fatty acid ester, and the mass ratio is 2:5;
s2, porous hollow hydroxyapatite/SiO2 Preparation of microspheres: 10 parts by weight of porous hollow CaCO prepared in the step S13 /SiO2 Adding the microspheres into a 10wt% diammonium phosphate solution, wherein the addition amount of the diammonium phosphate is used for ensuring that the molar ratio of calcium to phosphorus is 5:3, regulating the pH value of the solution to be 11.5, heating to 90 ℃, stirring for reaction for 12h, centrifuging for 15min at 3000r/min, washing with deionized water, and drying for 2h at 105 ℃ to obtain porous hollow hydroxyapatite/SiO2 A microsphere; FIG. 1 shows the prepared porous hollow hydroxyapatite/SiO2 SEM images of the microspheres, as can be seen, the microspheres formed a porous structure.
S3, coating a polylactic acid-glycolic acid copolymer: 10 parts by weight of porous hollow hydroxyapatite/SiO prepared in the step S22 Adding the microspheres into 100 parts by weight of 50wt% ethanol aqueous solution, adding 0.5 part by weight of silane coupling agent KH550, heating to 50 ℃, stirring and reacting for 2 hours, centrifuging for 15 minutes at 3000r/min, washing with deionized water, adding into 100 parts by weight of methylene dichloride, adding 3 parts by weight of polylactic acid-glycolic acid copolymer, stirring and reacting for 3 hours, centrifuging for 15 minutes at 3000r/min, washing with deionized water, drying for 2 hours at 105 ℃ to obtain porous hollow hydroxyapatite/SiO coated with the polylactic acid-glycolic acid copolymer2 A microsphere;
s4, modifying silk fibroin/polydopamine: 10 parts by weight of porous hollow hydroxyapatite/SiO coated with polylactic acid-glycolic acid copolymer prepared in step S32 Adding the microspheres into 100 weight parts of water, adding 12 weight parts of dopamine hydrochloride and 0.2 weight part of catalyst, heating to 40 ℃, stirring and reacting for 2 hours, adding 3 weight parts of silk fibroin, stirring and reacting for 1.5 hours, centrifuging for 15 minutes at 3000r/min, and deionizingWashing with water, and freeze-drying to obtain modified polylactic acid-glycolic acid copolymer coated porous hollow hydroxyapatite/SiO2 A microsphere;
the catalyst was a catalyst containing 3wt% of CoCl2 Tirs-HCl solution at ph=5;
s5, adsorbing mesenchymal stem cells: 10 parts by weight of porous hollow hydroxyapatite/SiO coated with the modified polylactic acid-glycolic acid copolymer prepared in the step S42 Adding the microspheres into a syringe, adding 12 parts by weight of mesenchymal stem cell suspension, wherein the cell density of the mesenchymal stem cell suspension is 106 Soaking the cell suspension in the cell/mL under negative pressure, feeding the cell suspension into the microsphere, culturing for 3h at 36 ℃, centrifuging for 15min at 3000r/min, and washing with deionized water to obtain the microsphere inoculated with mesenchymal stem cells;
s6, embedding a mixed element: uniformly dispersing 5 parts by weight of interferon beta and 3 parts by weight of interleukin 6 in 100 parts by weight of 12wt% sodium alginate aqueous solution, emulsifying for 15min at 10000r/min, dripping 10 parts by weight of 0.5wt% calcium chloride solution, solidifying for 30min at normal temperature, centrifuging for 15min at 3000r/min, washing with deionized water, and freeze-drying to obtain the embedding mixture;
S7, preparing mesenchymal stem cell repair injection: uniformly mixing 10 parts by weight of the microspheres inoculated with the mesenchymal stem cells prepared in the step S5, 2 parts by weight of the embedding mixture prepared in the step S6, 100 parts by weight of deionized water and 3 parts by weight of cocamidopropyl betaine to prepare the mesenchymal stem cell repair injection.
Example 2
The embodiment provides a preparation method of mesenchymal stem cell repair injection, which comprises the following steps:
s1, porous hollow CaCO3 /SiO2 Preparation of microspheres: dissolving 2 parts by weight of span-40 and 10 parts by weight of ethyl orthosilicate in 100 parts by weight of toluene to obtain an oil phase; dissolving 2 parts by weight of Tween-40, 3 parts by weight of a pore-forming agent and 15 parts by weight of sodium carbonate in 100 parts by weight of water to obtain a water phase; 50 parts by weight of the oil phase is added into 100 parts by weight of the water phase, stirred and mixed for 4 hours, 12000r/min is emulsified for 15 minutes, then 120 parts by weight of the emulsion is poured into 100 parts by weight of 7wt% calcium chloride solution, stirred and reacted for 2 hours, 3000r/min is separatedThe core is washed by deionized water for 15min, and dried for 2h at 105 ℃ to obtain porous hollow CaCO3 /SiO2 A microsphere;
the pore-forming agent is a mixture of ammonium bicarbonate and polyoxyethylene sorbitan fatty acid ester, and the mass ratio is 3:5;
s2, porous hollow hydroxyapatite/SiO2 Preparation of microspheres: 10 parts by weight of porous hollow CaCO prepared in the step S13 /SiO2 Adding the microspheres into a 10wt% diammonium phosphate solution, wherein the addition amount of the diammonium phosphate is used for ensuring that the molar ratio of calcium to phosphorus is 5:3, regulating the pH value of the solution to be 12.5, heating to 100 ℃, stirring for reaction for 15h, centrifuging for 15min at 3000r/min, washing with deionized water, and drying at 105 ℃ for 2h to obtain porous hollow hydroxyapatite/SiO2 A microsphere;
s3, coating a polylactic acid-glycolic acid copolymer: 10 parts by weight of porous hollow hydroxyapatite/SiO prepared in the step S22 Adding the microspheres into 100 parts by weight of 50wt% ethanol aqueous solution, adding 1 part by weight of silane coupling agent KH560, heating to 70 ℃, stirring and reacting for 3 hours, centrifuging for 15 minutes at 3000r/min, washing with deionized water, adding 100 parts by weight of methylene dichloride, adding 5 parts by weight of polylactic acid-glycolic acid copolymer, stirring and reacting for 5 hours, centrifuging for 15 minutes at 3000r/min, washing with deionized water, drying for 2 hours at 105 ℃ to obtain porous hollow hydroxyapatite/SiO coated with the polylactic acid-glycolic acid copolymer2 A microsphere;
s4, modifying silk fibroin/polydopamine: 12 parts by weight of porous hollow hydroxyapatite/SiO coated with polylactic acid-glycolic acid copolymer prepared in the step S32 Adding the microspheres into 100 parts by weight of water, adding 15 parts by weight of dopamine hydrochloride and 0.4 part by weight of catalyst, heating to 50 ℃, stirring and reacting for 3 hours, adding 5 parts by weight of silk fibroin, stirring and reacting for 2 hours, centrifuging for 15 minutes 3000r/min, washing with deionized water, and freeze-drying to obtain the porous hollow hydroxyapatite/SiO coated with the modified polylactic acid-glycolic acid copolymer2 A microsphere;
the catalyst was a catalyst containing 5wt% of CoCl2 Tirs-HCl solution at ph=6;
s5, adsorbing mesenchymal stem cells: 10 parts by weight of the modified polylactic acid prepared in the step S4Acid-hydroxyacetic acid copolymer coated porous hollow hydroxyapatite/SiO2 Adding the microspheres into a syringe, adding 15 parts by weight of mesenchymal stem cell suspension, wherein the cell density of the mesenchymal stem cell suspension is 107 Soaking the cell suspension in the cell/mL under negative pressure, feeding the cell suspension into the microsphere, culturing for 5h at 38 ℃, centrifuging for 15min at 3000r/min, and washing with deionized water to obtain the microsphere inoculated with mesenchymal stem cells;
s6, embedding a mixed element: uniformly dispersing 7 parts by weight of interferon beta and 5 parts by weight of interleukin 6 in 100 parts by weight of 15wt% sodium alginate aqueous solution, emulsifying for 15min at 10000r/min, dripping 10 parts by weight of 1wt% calcium chloride solution, solidifying for 40min at normal temperature, centrifuging for 15min at 3000r/min, washing with deionized water, and freeze-drying to obtain embedded mixed essence;
s7, preparing mesenchymal stem cell repair injection: uniformly mixing 12 parts by weight of the microspheres inoculated with mesenchymal stem cells prepared in the step S5, 3 parts by weight of the embedding mixture prepared in the step S6, 120 parts by weight of deionized water and 5 parts by weight of cocamidopropyl betaine to prepare the mesenchymal stem cell repair injection.
Example 3
The embodiment provides a preparation method of mesenchymal stem cell repair injection, which comprises the following steps:
s1, porous hollow CaCO3 /SiO2 Preparation of microspheres: 1.5 parts by weight of span-80 and 7 parts by weight of tetraethoxysilane are dissolved in 100 parts by weight of cyclohexane to obtain an oil phase; dissolving 1.5 parts by weight of Tween-80, 2.5 parts by weight of a pore-forming agent and 12 parts by weight of sodium carbonate in 100 parts by weight of water to obtain a water phase; adding 40 parts by weight of oil phase into 85 parts by weight of water phase, stirring and mixing for 4 hours, emulsifying for 12000r/min for 15 minutes, then pouring 110 parts by weight of emulsion into 85 parts by weight of 6wt% calcium chloride solution, stirring and reacting for 2 hours, centrifuging for 15 minutes 3000r/min, washing with deionized water, drying for 2 hours at 105 ℃ to obtain porous hollow CaCO3 /SiO2 A microsphere;
the pore-forming agent is a mixture of ammonium bicarbonate and polyoxyethylene sorbitan fatty acid ester, and the mass ratio is 2.5:5;
s2, porous hollow hydroxyapatite/SiO2 Microsphere(s)Preparation: 10 parts by weight of porous hollow CaCO prepared in the step S13 /SiO2 Adding the microspheres into a 10wt% diammonium phosphate solution, wherein the addition amount of the diammonium phosphate is used for ensuring that the molar ratio of calcium to phosphorus is 5:3, regulating the pH value of the solution to be 12, heating to 95 ℃, stirring for reaction 13h, centrifuging at 3000r/min for 15min, washing with deionized water, and drying at 105 ℃ for 2h to obtain porous hollow hydroxyapatite/SiO2 A microsphere;
s3, coating a polylactic acid-glycolic acid copolymer: 10 parts by weight of porous hollow hydroxyapatite/SiO prepared in the step S22 Adding the microspheres into 100 parts by weight of 50wt% ethanol aqueous solution, adding 0.7 part by weight of silane coupling agent KH580, heating to 60 ℃, stirring and reacting for 2.5 hours, centrifuging for 15 minutes at 3000r/min, washing with deionized water, adding into 100 parts by weight of methylene dichloride, adding 4 parts by weight of polylactic acid-glycolic acid copolymer, stirring and reacting for 4 hours, centrifuging for 15 minutes at 3000r/min, washing with deionized water, drying for 2 hours at 105 ℃, and obtaining the porous hollow hydroxyapatite/SiO coated with the polylactic acid-glycolic acid copolymer2 A microsphere;
s4, modifying silk fibroin/polydopamine: 11 parts by weight of porous hollow hydroxyapatite/SiO coated with polylactic acid-glycolic acid copolymer prepared in step S32 Adding the microspheres into 100 parts by weight of water, adding 13.5 parts by weight of dopamine hydrochloride and 0.3 part by weight of catalyst, heating to 45 ℃, stirring and reacting for 2.5 hours, adding 4 parts by weight of silk fibroin, stirring and reacting for 1 hour, centrifuging for 15 minutes at 3000r/min, washing with deionized water, and freeze-drying to obtain the modified polylactic acid-glycolic acid copolymer coated porous hollow hydroxyapatite/SiO2 A microsphere;
the catalyst was a catalyst containing 4wt% CoCl2 Tirs-HCl solution at ph=5.5;
s5, adsorbing mesenchymal stem cells: 10 parts by weight of porous hollow hydroxyapatite/SiO coated with the modified polylactic acid-glycolic acid copolymer prepared in the step S42 Adding the microspheres into a syringe, adding 13.5 parts by weight of mesenchymal stem cell suspension, wherein the cell density of the mesenchymal stem cell suspension is 107 Soaking cell suspension in cell/mL under negative pressure, adding into microsphere, culturing at 37deg.C for 4 hr, centrifuging at 3000r/min for 15min, washing with deionized waterObtaining microspheres inoculated with mesenchymal stem cells;
s6, embedding a mixed element: uniformly dispersing 6 parts by weight of interferon beta and 5 parts by weight of interleukin 6 in 100 parts by weight of 13.5wt% sodium alginate aqueous solution, emulsifying for 15min at 10000r/min, dripping 10 parts by weight of 0.7wt% calcium chloride solution, solidifying for 35min at normal temperature, centrifuging for 15min at 3000r/min, washing with deionized water, and freeze-drying to obtain embedded mixed essence;
s7, preparing mesenchymal stem cell repair injection: uniformly mixing 11 parts by weight of the microspheres inoculated with mesenchymal stem cells prepared in the step S5, 2.5 parts by weight of the embedding mixture prepared in the step S6, 110 parts by weight of deionized water and 4 parts by weight of cocamidopropyl betaine to prepare the mesenchymal stem cell repair injection.
Example 4
The difference compared to example 3 is that the porogen is a single ammonium bicarbonate.
Example 5
The difference compared to example 3 is that the porogen is a single polyoxyethylene sorbitan fatty acid ester.
Comparative example 1
In comparison with example 3, the difference is that no ethyl orthosilicate was added in step S1.
The method comprises the following steps:
s1, porous hollow CaCO3 Preparation of microspheres: 1.5 parts by weight of span-80 is dissolved in 100 parts by weight of cyclohexane to obtain an oil phase; dissolving 1.5 parts by weight of Tween-80, 2.5 parts by weight of a pore-forming agent and 12 parts by weight of sodium carbonate in 100 parts by weight of water to obtain a water phase; adding 40 parts by weight of oil phase into 85 parts by weight of water phase, stirring and mixing for 4 hours, emulsifying for 12000r/min for 15 minutes, then pouring 110 parts by weight of emulsion into 85 parts by weight of 6wt% calcium chloride solution, stirring and reacting for 2 hours, centrifuging for 15 minutes 3000r/min, washing with deionized water, drying for 2 hours at 105 ℃ to obtain porous hollow CaCO3 A microsphere;
the pore-forming agent is a mixture of ammonium bicarbonate and polyoxyethylene sorbitan fatty acid ester, and the mass ratio is 2.5:5.
Comparative example 2
The difference compared to example 3 is that no porogen is added in step S1.
The method comprises the following steps:
S1, hollow CaCO3 /SiO2 Preparation of microspheres: 1.5 parts by weight of span-80 and 7 parts by weight of tetraethoxysilane are dissolved in 100 parts by weight of cyclohexane to obtain an oil phase; dissolving 4 parts by weight of Tween-80 and 12 parts by weight of sodium carbonate in 100 parts by weight of water to obtain a water phase; adding 40 parts by weight of oil phase into 85 parts by weight of water phase, stirring and mixing for 4 hours, emulsifying for 12000r/min for 15 minutes, then pouring 110 parts by weight of emulsion into 85 parts by weight of 6wt% calcium chloride solution, stirring and reacting for 2 hours, centrifuging for 15 minutes 3000r/min, washing with deionized water, drying for 2 hours at 105 ℃ to obtain hollow CaCO3 /SiO2 And (3) microspheres.
Comparative example 3
In comparison with example 3, the difference is that step S2 is not performed.
The method comprises the following steps:
s1, porous hollow CaCO3 /SiO2 Preparation of microspheres: 1.5 parts by weight of span-80 and 7 parts by weight of tetraethoxysilane are dissolved in 100 parts by weight of cyclohexane to obtain an oil phase; dissolving 1.5 parts by weight of Tween-80, 2.5 parts by weight of a pore-forming agent and 12 parts by weight of sodium carbonate in 100 parts by weight of water to obtain a water phase; adding 40 parts by weight of oil phase into 85 parts by weight of water phase, stirring and mixing for 4 hours, emulsifying for 12000r/min for 15 minutes, then pouring 110 parts by weight of emulsion into 85 parts by weight of 6wt% calcium chloride solution, stirring and reacting for 2 hours, centrifuging for 15 minutes 3000r/min, washing with deionized water, drying for 2 hours at 105 ℃ to obtain porous hollow CaCO3 /SiO2 A microsphere;
the pore-forming agent is a mixture of ammonium bicarbonate and polyoxyethylene sorbitan fatty acid ester, and the mass ratio is 2.5:5;
s2, coating a polylactic acid-glycolic acid copolymer: 10 parts by weight of porous hollow CaCO prepared in the step S13 /SiO2 Adding the microspheres into 100 parts by weight of 50wt% ethanol water solution, adding 0.7 part by weight of silane coupling agent KH580, heating to 60 ℃, stirring for reacting for 2.5h, centrifuging for 15min at 3000r/min, washing with deionized water, adding into 100 parts by weight of dichloromethane, and adding 4 parts by weight of polylactic acid-hydroxyethylAcid copolymer, stirring and reacting for 4 hours, centrifuging for 15 minutes at 3000r/min, washing with deionized water, and drying for 2 hours at 105 ℃ to obtain porous hollow CaCO coated by polylactic acid-glycolic acid copolymer3 /SiO2 A microsphere;
s3, modifying silk fibroin/polydopamine: 11 parts by weight of porous hollow CaCO coated by polylactic acid-glycolic acid copolymer prepared in step S23 /SiO2 Adding the microspheres into 100 parts by weight of water, adding 13.5 parts by weight of dopamine hydrochloride and 0.3 part by weight of catalyst, heating to 45 ℃, stirring and reacting for 2.5 hours, adding 4 parts by weight of silk fibroin, stirring and reacting for 1 hour, centrifuging for 15 minutes at 3000r/min, washing with deionized water, and freeze-drying to obtain modified polylactic acid-glycolic acid copolymer coated porous hollow CaCO3 /SiO2 A microsphere;
the catalyst was a catalyst containing 4wt% CoCl2 Tirs-HCl solution at ph=5.5;
s4, adsorbing mesenchymal stem cells: 10 parts by weight of porous hollow CaCO coated by the modified polylactic acid-glycolic acid copolymer prepared in the step S33 /SiO2 Adding the microspheres into a syringe, adding 13.5 parts by weight of mesenchymal stem cell suspension, wherein the cell density of the mesenchymal stem cell suspension is 107 Soaking cell suspension in cell/mL under negative pressure, introducing into microsphere, culturing at 37deg.C for 4h, centrifuging at 3000r/min for 15min, washing with deionized water to obtain microsphere inoculated with mesenchymal stem cells;
s5, embedding a mixed element: uniformly dispersing 6 parts by weight of interferon beta and 5 parts by weight of interleukin 6 in 100 parts by weight of 13.5wt% sodium alginate aqueous solution, emulsifying for 15min at 10000r/min, dripping 10 parts by weight of 0.7wt% calcium chloride solution, solidifying for 35min at normal temperature, centrifuging for 15min at 3000r/min, washing with deionized water, and freeze-drying to obtain embedded mixed essence;
s6, preparing mesenchymal stem cell repair injection: uniformly mixing 11 parts by weight of the microspheres inoculated with mesenchymal stem cells prepared in the step S4, 2.5 parts by weight of the embedding mixture prepared in the step S5, 110 parts by weight of deionized water and 4 parts by weight of cocamidopropyl betaine to prepare the mesenchymal stem cell repair injection.
Comparative example 4
The difference from example 3 is that the silane coupling agent KH580 is not added in step S3.
The method comprises the following steps:
s3, coating a polylactic acid-glycolic acid copolymer: 10 parts by weight of porous hollow hydroxyapatite/SiO prepared in the step S22 Adding the microspheres into 100 parts by weight of dichloromethane, adding 4 parts by weight of polylactic acid-glycolic acid copolymer, stirring and reacting for 4 hours, centrifuging for 15 minutes at 3000r/min, washing with deionized water, and drying at 105 ℃ for 2 hours to obtain porous hollow hydroxyapatite/SiO coated with the polylactic acid-glycolic acid copolymer2 Microsphere(s)
Comparative example 5
In comparison with example 3, the difference is that step S3 is not performed.
The method comprises the following steps:
s1, porous hollow CaCO3 /SiO2 Preparation of microspheres: 1.5 parts by weight of span-80 and 7 parts by weight of tetraethoxysilane are dissolved in 100 parts by weight of cyclohexane to obtain an oil phase; dissolving 1.5 parts by weight of Tween-80, 2.5 parts by weight of a pore-forming agent and 12 parts by weight of sodium carbonate in 100 parts by weight of water to obtain a water phase; adding 40 parts by weight of oil phase into 85 parts by weight of water phase, stirring and mixing for 4 hours, emulsifying for 12000r/min for 15 minutes, then pouring 110 parts by weight of emulsion into 85 parts by weight of 6wt% calcium chloride solution, stirring and reacting for 2 hours, centrifuging for 15 minutes 3000r/min, washing with deionized water, drying for 2 hours at 105 ℃ to obtain porous hollow CaCO3 /SiO2 A microsphere;
the pore-forming agent is a mixture of ammonium bicarbonate and polyoxyethylene sorbitan fatty acid ester, and the mass ratio is 2.5:5;
s2, porous hollow hydroxyapatite/SiO2 Preparation of microspheres: 10 parts by weight of porous hollow CaCO prepared in the step S13 /SiO2 Adding the microspheres into a 10wt% diammonium phosphate solution, wherein the addition amount of the diammonium phosphate is used for ensuring that the molar ratio of calcium to phosphorus is 5:3, regulating the pH value of the solution to be 12, heating to 95 ℃, stirring for reaction 13h, centrifuging at 3000r/min for 15min, washing with deionized water, and drying at 105 ℃ for 2h to obtain porous hollow hydroxyapatite/SiO2 A microsphere;
s3, silk fibroin/polypolymerAnd (3) modification of the baamine: 11 parts by weight of porous hollow hydroxyapatite/SiO prepared in the step S22 Adding the microspheres into 100 weight parts of water, adding 13.5 weight parts of dopamine hydrochloride and 0.3 weight part of catalyst, heating to 45 ℃, stirring and reacting for 2.5 hours, adding 4 weight parts of silk fibroin, stirring and reacting for 1 hour, centrifuging for 15 minutes at 3000r/min, washing with deionized water, and freeze-drying to obtain the modified porous hollow hydroxyapatite/SiO2 A microsphere;
the catalyst was a catalyst containing 4wt% CoCl2 Tirs-HCl solution at ph=5.5;
s4, adsorbing mesenchymal stem cells: 10 parts by weight of modified porous hollow hydroxyapatite/SiO prepared in the step S32 Adding the microspheres into a syringe, adding 13.5 parts by weight of mesenchymal stem cell suspension, wherein the cell density of the mesenchymal stem cell suspension is 107 Soaking cell suspension in cell/mL under negative pressure, introducing into microsphere, culturing at 37deg.C for 4h, centrifuging at 3000r/min for 15min, washing with deionized water to obtain microsphere inoculated with mesenchymal stem cells;
s5, embedding a mixed element: uniformly dispersing 6 parts by weight of interferon beta and 5 parts by weight of interleukin 6 in 100 parts by weight of 13.5wt% sodium alginate aqueous solution, emulsifying for 15min at 10000r/min, dripping 10 parts by weight of 0.7wt% calcium chloride solution, solidifying for 35min at normal temperature, centrifuging for 15min at 3000r/min, washing with deionized water, and freeze-drying to obtain embedded mixed essence;
s6, preparing mesenchymal stem cell repair injection: uniformly mixing 11 parts by weight of the microspheres inoculated with mesenchymal stem cells prepared in the step S4, 2.5 parts by weight of the embedding mixture prepared in the step S5, 110 parts by weight of deionized water and 4 parts by weight of cocamidopropyl betaine to prepare the mesenchymal stem cell repair injection.
Comparative example 6
In comparison with example 3, the difference is that silk fibroin is not added in step S4.
The method comprises the following steps:
s4, modifying polydopamine: 11 parts by weight of porous hollow hydroxyapatite/SiO coated with polylactic acid-glycolic acid copolymer prepared in step S32 The microspheres were added to 100 parts by weight of water, and 13.5 parts by weight of dopamine were addedHydrochloride and 0.3 weight part of catalyst, heating to 45 ℃, stirring and reacting for 2.5 hours, centrifuging for 15 minutes at 3000r/min, washing with deionized water, and freeze-drying to obtain the porous hollow hydroxyapatite/SiO coated with the modified polylactic acid-glycolic acid copolymer2 A microsphere;
the catalyst was a catalyst containing 4wt% CoCl2 Tirs-HCl solution at ph=5.5.
Comparative example 7
The difference compared to example 3 is that dopamine hydrochloride and catalyst are not added in step S4.
The method comprises the following steps:
s4, modifying silk fibroin/polydopamine: 11 parts by weight of porous hollow hydroxyapatite/SiO coated with polylactic acid-glycolic acid copolymer prepared in step S32 Adding the microspheres into 100 weight parts of water, adding 4 weight parts of silk fibroin, stirring and reacting for 1h, centrifuging for 15min at 3000r/min, washing with deionized water, and freeze-drying to obtain modified polylactic acid-glycolic acid copolymer coated porous hollow hydroxyapatite/SiO2 A microsphere;
the catalyst was a catalyst containing 4wt% CoCl2 Tirs-HCl solution at ph=5.5.
Comparative example 8
In comparison with example 3, the difference is that step S4 is not performed.
The method comprises the following steps:
s1, porous hollow CaCO3 /SiO2 Preparation of microspheres: 1.5 parts by weight of span-80 and 7 parts by weight of tetraethoxysilane are dissolved in 100 parts by weight of cyclohexane to obtain an oil phase; dissolving 1.5 parts by weight of Tween-80, 2.5 parts by weight of a pore-forming agent and 12 parts by weight of sodium carbonate in 100 parts by weight of water to obtain a water phase; adding 40 parts by weight of oil phase into 85 parts by weight of water phase, stirring and mixing for 4 hours, emulsifying for 12000r/min for 15 minutes, then pouring 110 parts by weight of emulsion into 85 parts by weight of 6wt% calcium chloride solution, stirring and reacting for 2 hours, centrifuging for 15 minutes 3000r/min, washing with deionized water, drying for 2 hours at 105 ℃ to obtain porous hollow CaCO3 /SiO2 A microsphere;
the pore-forming agent is a mixture of ammonium bicarbonate and polyoxyethylene sorbitan fatty acid ester, and the mass ratio is 2.5:5;
s2, porous hollow hydroxyapatite/SiO2 Preparation of microspheres: 10 parts by weight of porous hollow CaCO prepared in the step S13 /SiO2 Adding the microspheres into a 10wt% diammonium phosphate solution, wherein the addition amount of the diammonium phosphate is used for ensuring that the molar ratio of calcium to phosphorus is 5:3, regulating the pH value of the solution to be 12, heating to 95 ℃, stirring for reaction 13h, centrifuging at 3000r/min for 15min, washing with deionized water, and drying at 105 ℃ for 2h to obtain porous hollow hydroxyapatite/SiO2 A microsphere;
s3, coating a polylactic acid-glycolic acid copolymer: 10 parts by weight of porous hollow hydroxyapatite/SiO prepared in the step S22 Adding the microspheres into 100 parts by weight of 50wt% ethanol aqueous solution, adding 0.7 part by weight of silane coupling agent KH580, heating to 60 ℃, stirring and reacting for 2.5 hours, centrifuging for 15 minutes at 3000r/min, washing with deionized water, adding into 100 parts by weight of methylene dichloride, adding 4 parts by weight of polylactic acid-glycolic acid copolymer, stirring and reacting for 4 hours, centrifuging for 15 minutes at 3000r/min, washing with deionized water, drying for 2 hours at 105 ℃, and obtaining the porous hollow hydroxyapatite/SiO coated with the polylactic acid-glycolic acid copolymer2 A microsphere;
s4, adsorbing mesenchymal stem cells: 10 parts by weight of porous hollow hydroxyapatite/SiO coated with polylactic acid-glycolic acid copolymer prepared in step S32 Adding the microspheres into a syringe, adding 13.5 parts by weight of mesenchymal stem cell suspension, wherein the cell density of the mesenchymal stem cell suspension is 107 Soaking cell suspension in cell/mL under negative pressure, introducing into microsphere, culturing at 37deg.C for 4h, centrifuging at 3000r/min for 15min, washing with deionized water to obtain microsphere inoculated with mesenchymal stem cells;
s5, embedding a mixed element: uniformly dispersing 6 parts by weight of interferon beta and 5 parts by weight of interleukin 6 in 100 parts by weight of 13.5wt% sodium alginate aqueous solution, emulsifying for 15min at 10000r/min, dripping 10 parts by weight of 0.7wt% calcium chloride solution, solidifying for 35min at normal temperature, centrifuging for 15min at 3000r/min, washing with deionized water, and freeze-drying to obtain embedded mixed essence;
s6, preparing mesenchymal stem cell repair injection: uniformly mixing 11 parts by weight of the microspheres inoculated with mesenchymal stem cells prepared in the step S4, 2.5 parts by weight of the embedding mixture prepared in the step S5, 110 parts by weight of deionized water and 4 parts by weight of cocamidopropyl betaine to prepare the mesenchymal stem cell repair injection.
Comparative example 9
In comparison with example 3, the difference is that interferon beta is not added in step S6.
The method comprises the following steps:
s6, embedding interleukin 6: uniformly dispersing 11 parts by weight of interleukin 6 in 100 parts by weight of 13.5wt% sodium alginate aqueous solution, emulsifying for 15min at 10000r/min, dripping 10 parts by weight of 0.7wt% calcium chloride solution, solidifying for 35min at normal temperature, centrifuging for 15min at 3000r/min, washing with deionized water, and freeze-drying to obtain the embedded interleukin 6.
Comparative example 10
In comparison with example 3, the difference is that no interleukin 6 was added in step S6.
The method comprises the following steps:
s6, embedding interferon: uniformly dispersing 11 parts by weight of interferon beta in 100 parts by weight of 13.5wt% sodium alginate aqueous solution, emulsifying for 15min at 10000r/min, dripping 10 parts by weight of 0.7wt% calcium chloride solution, solidifying for 35min at normal temperature, centrifuging for 15min at 3000r/min, washing with deionized water, and freeze-drying to obtain the embedded interferon.
Comparative example 11
The difference compared to example 3 is that the microspheres seeded with mesenchymal stem cells are replaced with an equal amount of mesenchymal stem cells in step S7.
The method comprises the following steps:
s7, preparing mesenchymal stem cell repair injection: and (3) uniformly mixing 11 parts by weight of mesenchymal stem cells, 2.5 parts by weight of the embedding mixture prepared in the step S6, 110 parts by weight of deionized water and 4 parts by weight of cocamidopropyl betaine to prepare the mesenchymal stem cell repair injection.
Comparative example 12
The difference compared to example 3 is that the embedding mixture is replaced by equal amounts of interferon beta and interleukin 6 (mass ratio 6:5) in step S7.
The method comprises the following steps:
s7, preparing mesenchymal stem cell repair injection: uniformly mixing 11 parts by weight of the microspheres inoculated with the mesenchymal stem cells prepared in the step S5, 2.5 parts by weight of a mixture of interferon beta and interleukin 6 (the mass ratio of the interferon beta to the interleukin 6 is 6:5), 110 parts by weight of deionized water and 4 parts by weight of cocamidopropyl betaine to prepare the mesenchymal stem cell repair injection.
Test example 1
The performance of the microspheres of the present invention, which were not adsorbed by mesenchymal stem cells, in examples 1 to 5 and comparative examples 1 to 8 was tested, and the results are shown in Table 1.
ASAP2460 type full-automatic specific surface area and porosity analyzer manufactured by Micromeritics instruments, inc. of America are adopted to measure parameters such as specific surface area, pore volume and the like of sample
TABLE 1
Figure SMS_1
As can be seen from the above table, the microspheres prepared in examples 1 to 3 of the present invention have a larger specific surface area and a larger pore volume.
Test example 2
After the adaptation feeding of 120 rats for 1 week, the rats were divided into a sham operation group, a model group, a positive control group, examples 1 to 5, comparative examples 1 to 12, each of 6 animals by a random grouping method. Except for the sham operated group, rats in each group were given a collagen induction method to construct an RA model. The specific operation method comprises the following steps: the collagen II is dissolved by acetic acid solution to prepare 2g/L of collagen solution, and the collagen solution with the same volume and incomplete Freund's adjuvant are fully emulsified and mixed until 1 drop of emulsion is coagulated but not dispersed on the distilled water surface, which indicates that the emulsifier is successfully prepared. 400 μg of collagen emulsifier was injected subcutaneously into the plantar region of the right foot of the rat to boost immunity by administering 100 μg of collagen emulsifier on day 14 of molding. On the 20 th day of molding, the plantar region of the rat was observed by camera photographing and X-ray photographing to show severe red swelling, continuous low density shadows and bone-dissolving phenomena, indicating successful molding.
Examples 1 to 5, comparative examples 1 to 12 were each injected with 20mL/kg of the corresponding mesenchymal stem cell repair injection, and the sham-operated and model groups were injected with an equal amount of physiological saline. The positive control group was intraperitoneally injected with methotrexate 1mg/kg at a volume of 20mL/kg. The administration was continued for 3 weeks 1 time per week.
Rat bone index detection the rat was sacrificed 24h after the last dose, the tibia was isolated, fixed in 40g/L paraformaldehyde solution, decalcified, dehydrated in sequence, paraffin embedded, sliced, and the bone volume fraction (BV/TV), bone surface area/bone volume (BS/BV), bone trabecular thickness (tb.th) values were measured using a dual-energy X-ray bone densitometer.
The results are shown in Table 2.
TABLE 2
Figure SMS_2
Annotation:
Figure SMS_3
for comparison with sham surgery group, P<0.05; # is compared with the model group, P<0.05。
From the above table, the rat bone volume fraction and bone trabecular thickness of the present invention group 1-3 were significantly improved, and the bone surface area/bone volume was significantly reduced, which revealed that cartilage damage was repaired and bone density was improved.
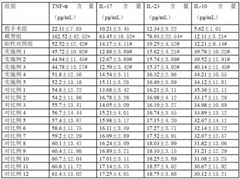
After the rat was sacrificed, the anterior carotid artery was sampled with 0.5mL and centrifuged at 12000r/min at 4℃for 10min, and the supernatant was collected. The amounts of inflammatory factors TNF-alpha, IL-17, IL-23 and IL-10 in peripheral blood were measured according to the instructions of ELISA kits for TNF-alpha, IL-17, IL-23, IL-10 and the like.
The results are shown in Table 3.
TABLE 3 Table 3
Figure SMS_4
Annotation:
Figure SMS_5
for comparison with sham surgery group, P<0.05; # is compared with the model group, P<0.05。
As shown in the table above, the mesenchymal stem cell repair injection prepared in the embodiment 1-3 of the invention can effectively inhibit the content rise of pro-inflammatory factors TNF-alpha, IL-17 and IL-23, promote the secretion of anti-inflammatory factor IL-10, and can improve the inflammatory reaction of rat synovial tissue.
Examples 4 and 5 compare with example 3 in which the porogen was a single ammonium bicarbonate or polyoxyethylene sorbitan fatty acid ester. Comparative example 2 compared to example 3, no porogen was added in step S1. The specific surface area and pore volume are reduced, the cartilage repair effect is reduced, and the anti-inflammatory effect is reduced. The mixture of the mesoporous pore-forming agent and macroporous pore-forming agent ammonium bicarbonate or polyoxyethylene sorbitan fatty acid ester can lead the microsphere to generate macropores and mesopores with proper proportion, and the specific surface area is increased.
In comparative example 1, in contrast to example 3, no ethyl orthosilicate was added in step S1. Comparative example 3 compared to example 3, step S2 was not performed. The specific surface area and pore volume are reduced, the cartilage repair effect is reduced, and the anti-inflammatory effect is reduced. Hydroxyapatite is an important component of organism bones, has better stability, biocompatibility and osteoinductive property, and is widely applied to bone tissue engineering. The invention uses hydroxyapatite/SiO2 As the composite material is used as the skeleton material of the microsphere, not only the mechanical strength of the microsphere is improved, but also the specific surface area of the microsphere is improved, and the adsorption and fixation of the microsphere to stem cells are facilitated.
Comparative example 4 compared with example 3, the silane coupling agent KH580 was not added in step S3. Comparative example 5 compared to example 3, step S3 was not performed. The specific surface area is reduced, the cartilage repair effect is reduced, and the anti-inflammatory effect is reduced. In porous hollow hydroxyapatite/SiO2 The polylactic acid-glycolic acid copolymer is coated on the surface of the microsphere, is a high polymer material formed by polymerizing lactic acid and glycolic acid, can be finally degraded into water and carbon dioxide by an organism, is safe and nontoxic, has a simple preparation method, is not easy to generate immune rejection reaction, can enhance the toughness of the microsphere, can be in proper time in vivo, and can promote the anti-inflammatory and repairing effects of cartilage.
Comparative examples 6 and 7 compared with example 3, no silk fibroin or dopamine hydrochloride and catalyst were added in step S4. Comparative example 8 compared to example 3, step S4 was not performed. The specific surface area is reduced, the cartilage repair effect is reduced, and the anti-inflammatory effect is reduced. The silk fibroin is fibrin existing in natural silk, has the characteristics of high mechanical strength, low immunogenicity, hydrophilicity and the like, and hardly causes any inflammatory reaction of organisms. Can be degraded in various forms in aqueous solutions. Polydopamine is also a biocompatible material. The surfaces of the polydopamine and the silk fibroin contain rich hydroxyl, amino, carboxyl, sulfhydryl and other charge-rich groups, and the inoculation adsorption of the microspheres to the mesenchymal stem cells can be promoted through electrostatic adsorption, so that the immobilization rate of the microspheres to the mesenchymal stem cells is improved.
In comparative examples 9 and 10, no interferon beta or interleukin 6 was added in step S6, as compared with example 3. Comparative example 12 compared with example 3, the embedding compound was replaced with the same amount of interferon beta and interleukin 6 (mass ratio of 6:5) in step S7. The cartilage repair effect is reduced and the anti-inflammatory effect is reduced. Interferon has various effects of inhibiting cell division, regulating immunity, resisting virus, resisting tumor, etc., but has a short half-life in vivo, and when interleukin 6 is directly contacted with mesenchymal stem cells, it is difficult to combine to form a colony, and it is fissile into various white blood cells within several days to lose the original characteristics. Therefore, the invention embeds the interferon beta and the interleukin 6 through sodium alginate, effectively avoids the degradation of the interferon, and the interleukin 6 is directly contacted with the mesenchymal stem cells, thereby prolonging the drug effect and improving the stability.
Comparative example 11 compared with example 3, the microspheres seeded with mesenchymal stem cells were replaced with an equal amount of mesenchymal stem cells in step S7. The cartilage repair effect is reduced and the anti-inflammatory effect is reduced. The mesenchymal stem cells are often used as tissue engineering seed cells, have the function of regulating microenvironment besides the capability of inducing multidirectional differentiation, and have the tissue repair capability obviously superior to that of terminally differentiated osteoblasts. However, when mesenchymal stem cells are stored by directly injecting an injection containing a mesenchymal stem cell suspension, the activity of the mesenchymal stem cells is greatly reduced and the cell activity cannot be ensured for a long period of time by using auxiliary materials such as sodium chloride, DMSO and the like which are conventionally used for preparing the injection. Therefore, the method for coating and fixing the biological scaffold material avoids damage of other auxiliary materials to the mesenchymal stem cells, improves the stability of the mesenchymal stem cells to the greatest extent, prolongs the service life of the mesenchymal stem cells and improves the survival rate of the mesenchymal stem cells.
The foregoing description of the preferred embodiments of the invention is not intended to be limiting, but rather is intended to cover all modifications, equivalents, alternatives, and improvements that fall within the spirit and scope of the invention.

Claims (9)

1. The preparation method of the mesenchymal stem cell repair injection is characterized by comprising the following steps of:
s1, porous hollow CaCO3 /SiO2 Preparation of microspheres: dissolving an oleophylic emulsifier and alkyl orthosilicate in an organic solvent to obtain an oil phase; dissolving a hydrophilic emulsifier, a pore-forming agent and sodium carbonate in water to obtain a water phase; adding oil phase into water phase, stirring, emulsifying, adding into calcium chloride solution, stirring, centrifuging, washing, and drying to obtain porous hollow CaCO3 /SiO2 A microsphere;
the pore-forming agent is a mixture of ammonium bicarbonate and polyoxyethylene sorbitan fatty acid ester, and the mass ratio is 2-3:5;
s2, porous hollow hydroxyapatite/SiO2 Preparation of microspheres: the porous hollow CaCO prepared in the step S13 /SiO2 Adding the microspheres into diammonium hydrogen phosphate solution, regulating the pH value of the solution to be alkaline, heating and stirring for reaction, centrifuging, washing and drying to obtain porous hollow hydroxyapatite/SiO2 A microsphere;
s3, coating a polylactic acid-glycolic acid copolymer: the porous hollow hydroxyapatite/SiO prepared in the step S2 is treated2 Adding microsphere into ethanol water solution, adding silane coupling agent, heating and stirring for reaction, centrifuging, washing, adding into dichloromethane, adding polylactic acid-glycolic acidStirring, reacting, centrifuging, washing and drying the polymer to obtain the porous hollow hydroxyapatite/SiO coated by the polylactic acid-glycolic acid copolymer2 A microsphere;
s4, modifying silk fibroin/polydopamine: coating the porous hollow hydroxyapatite/SiO with the polylactic acid-glycolic acid copolymer prepared in the step S32 Adding the microspheres into water, adding dopamine hydrochloride and a catalyst, heating and stirring for reaction, adding silk fibroin, stirring for reaction, centrifuging, washing, and freeze-drying to obtain the modified polylactic acid-glycolic acid copolymer coated porous hollow hydroxyapatite/SiO2 A microsphere;
s5, adsorbing mesenchymal stem cells: the modified polylactic acid-glycolic acid copolymer coated porous hollow hydroxyapatite/SiO prepared in the step S42 Adding the microspheres into a syringe, adding mesenchymal stem cell suspension, infiltrating the cell suspension under negative pressure, feeding the microspheres, culturing, centrifuging, and washing to obtain microspheres inoculated with mesenchymal stem cells;
S6, embedding a mixed element: uniformly dispersing interferon beta and interleukin 6 in a sodium alginate aqueous solution, emulsifying, dripping a calcium chloride solution, solidifying at normal temperature, centrifuging, washing, and freeze-drying to obtain the embedding mixture;
s7, preparing mesenchymal stem cell repair injection: uniformly mixing the microspheres inoculated with the mesenchymal stem cells prepared in the step S5, the embedding mixture prepared in the step S6, deionized water and cocamidopropyl betaine to prepare the mesenchymal stem cell repair injection.
2. The preparation method according to claim 1, wherein the mass ratio of the lipophilic emulsifier to the alkyl orthosilicate is 1-2:5-10; the mass ratio of the hydrophilic emulsifier to the pore-forming agent to the sodium carbonate is 1-2:2-3:10-15; the mass ratio of the oil phase to the water phase is 3-5:7-10; the mass ratio of the emulsion to the calcium chloride solution is 10-12:7-10; the concentration of the calcium chloride solution is 5-7wt%.
3. The preparation method according to claim 1, wherein the addition amount of the diammonium hydrogen phosphate in the step S2 is 5:3 molar ratio of calcium to phosphorus, the pH value of the solution is adjusted to 11.5-12.5, the temperature of the heating and stirring reaction is 90-100 ℃, and the time is 12-15h.
4. The method according to claim 1, wherein the porous hollow hydroxyapatite/SiO in step S32 The mass ratio of the microsphere to the silane coupling agent to the polylactic acid-glycolic acid copolymer is 10:0.5-1:3-5, the temperature of the heating and stirring reaction is 50-70 ℃ for 2-3h, and the stirring reaction time is 3-5h.
5. The method according to claim 1, wherein the polylactic acid-glycolic acid copolymer coated porous hollow hydroxyapatite/SiO in step S42 The mass ratio of the microsphere to the dopamine hydrochloride to the catalyst to the silk fibroin is 10-12:12-15:0.2-0.4:3-5, and the catalyst contains 3-5wt% of CoCl2 The temperature of the heating and stirring reaction is 40-50 ℃ for 2-3h, and the stirring reaction time is 1-2h.
6. The method according to claim 1, wherein the modified polylactic acid-glycolic acid copolymer coated porous hollow hydroxyapatite/SiO in step S52 The mass ratio of the microsphere to the mesenchymal stem cell suspension is 10:12-15, and the cell density of the mesenchymal stem cell suspension is 106 -107 cell/mL, the culture condition is 36-38 ℃ and the time is 3-5h.
7. The method according to claim 1, wherein the mass ratio of interferon beta to interleukin 6 in step S6 is 5-7:3-5, wherein the concentration of the sodium alginate aqueous solution is 12-15wt%, the concentration of the calcium chloride solution is 0.5-1wt%, and the normal-temperature curing time is 30-40min.
8. The method according to claim 1, wherein the mass ratio of the microspheres inoculated with mesenchymal stem cells, the embedding compound, the deionized water and the cocamidopropyl betaine in the step S7 is 10-12:2-3:100-120:3-5.
9. A mesenchymal stem cell repair injection prepared by the preparation method of any one of claims 1-8.
CN202310530205.XA2023-05-122023-05-12Mesenchymal stem cell repairing injection and preparation method thereofActiveCN116236443B (en)

Priority Applications (1)

Application NumberPriority DateFiling DateTitle
CN202310530205.XACN116236443B (en)2023-05-122023-05-12Mesenchymal stem cell repairing injection and preparation method thereof

Applications Claiming Priority (1)

Application NumberPriority DateFiling DateTitle
CN202310530205.XACN116236443B (en)2023-05-122023-05-12Mesenchymal stem cell repairing injection and preparation method thereof

Publications (2)

Publication NumberPublication Date
CN116236443A CN116236443A (en)2023-06-09
CN116236443Btrue CN116236443B (en)2023-07-11

Family

ID=86633498

Family Applications (1)

Application NumberTitlePriority DateFiling Date
CN202310530205.XAActiveCN116236443B (en)2023-05-122023-05-12Mesenchymal stem cell repairing injection and preparation method thereof

Country Status (1)

CountryLink
CN (1)CN116236443B (en)

Families Citing this family (2)

* Cited by examiner, † Cited by third party
Publication numberPriority datePublication dateAssigneeTitle
CN116899027B (en)*2023-07-252025-07-25合肥工业大学Low-heat-release antibacterial anti-inflammatory injectable bone cement and preparation method and application thereof
CN118556797B (en)*2024-07-312024-10-01内蒙古盛健农牧业工程技术研究有限公司Milk goat breeding feed and preparation method and application thereof

Family Cites Families (8)

* Cited by examiner, † Cited by third party
Publication numberPriority datePublication dateAssigneeTitle
CN106860422A (en)*2015-12-102017-06-20中国科学院大连化学物理研究所Alginic acid alkali-polycation microcapsules and its for bioactivator embedding
KR20180111450A (en)*2017-03-312018-10-11포항공과대학교 산학협력단Porous microspheres comprising mussel adhesive protein and method for preparing the same
CN107137774A (en)*2017-06-062017-09-08上海理工大学A kind of fibroin albumen with three-dimensional structure/hydroxyapatite compound rest and preparation method thereof
CN107789674B (en)*2017-10-202021-06-04上海纳米技术及应用国家工程研究中心有限公司Preparation method of composite biological membrane material with porous microsphere structure, product and application thereof
CN107898810B (en)*2017-12-202020-03-24北京臻惠康生物科技有限公司Mesenchymal stem cell repair injection and preparation method thereof
CN109749119B (en)*2019-01-312021-11-02济南大学 Polylactic acid-hydroxyapatite micro-nano hierarchical structure composite microsphere material and its application
CN115554270A (en)*2022-08-032023-01-03苏州麦克凯博医疗科技有限公司Drug-loaded composite material with pH stimulation response and slow release functions and preparation method and application thereof
CN115920129B (en)*2022-12-082024-07-30广东省科学院生物与医学工程研究所Composite microsphere containing polydopamine layer on surface of water-soluble drug-loaded drug, and preparation method and application thereof

Also Published As

Publication numberPublication date
CN116236443A (en)2023-06-09

Similar Documents

PublicationPublication DateTitle
CN116236443B (en)Mesenchymal stem cell repairing injection and preparation method thereof
US20220192986A1 (en)Injectable, pore-forming hydrogels for materials-based cell therapies
US20210402065A1 (en)Functionally Gradient Material for Guided Periodontal Hard and Soft Tissue Regeneration and A Preparation Method Thereof
Bölgen et al.Stem cell suspension injected HEMA-lactate-dextran cryogels for regeneration of critical sized bone defects
CN104587524B (en)Beta-TCP/PGS composite scaffold and preparation method and application thereof
CN108273131A (en)A kind of composite bone cement, preparation method and applications and a kind of bone renovating material
CN110982335A (en)Preparation method of self-curing hydroxyapatite 3D printing ink
CN119326794B (en) Adipose stem cell composition for wound repair and preparation method and application thereof
CN103394120B (en)Calcium phosphate-based composite microsphere support and preparation method thereof
CN117643650A (en)Subcutaneous gel filling composite material and preparation method thereof
CN117338816A (en)Stem cell preparation for treating arthritis and preparation method thereof
CN109331223B (en)Medicine-carrying bioactive glass composite calcium phosphate bone cement and application thereof
CN103495208A (en)Tissue- engineered cartilage graftimplant and preparation method thereof
Chang et al.An in vivo evaluation of a novel malleable composite scaffold (polypropylene carbonate/poly (D-lactic acid)/tricalcium phosphate elastic composites) for bone defect repair
CN116271216B (en) A method for preparing a bionic chondrogenic 3D printed tissue engineering trachea
WO2004105825A1 (en)Biomaterial for osteogenesis, injection preparation containing the material, kit for preparing the material and osteogenesis method using the same
CN111012946B (en)Thermo-sensitive calcium phosphate bone cement and preparation method thereof
Martínez-Ramos et al.Neural tissue regeneration in experimental brain injury model with channeled scaffolds of acrylate copolymers
Kang et al.PLGA microspheres in hyaluronic acid gel as a potential bulking agent for urologic and dermatologic injection therapies
WO2001038428A1 (en)Microporous polymer matrices
Hu et al.Surface‐modified pliable PDLLA/PCL/β‐TCP scaffolds as a promising delivery system for bone regeneration
CN101961509B (en) A kind of silk fibroin/calcium phosphate bone cement composite material and preparation method thereof
CN1751748A (en) Gene Recombinant Spidroin-Porous Scaffold Material for High Polymer Tissue Engineering
Liu et al.Decellularized human amniotic particles reinforced with gelma assist wound healing of the oral mucosa in vivo
Liu et al.Synthesis and Properties of PGS-Li Scaffold

Legal Events

DateCodeTitleDescription
PB01Publication
PB01Publication
SE01Entry into force of request for substantive examination
SE01Entry into force of request for substantive examination
GR01Patent grant
GR01Patent grant

[8]ページ先頭

©2009-2025 Movatter.jp