


技术领域Technical Field
本发明涉及电动汽车控制技术领域,尤其是一种双轮毂电机驱动电动汽车电子差速控制方法与系统。The present invention relates to the technical field of electric vehicle control, and in particular to an electronic differential control method and system for an electric vehicle driven by dual-hub motors.
背景技术Background Art
汽车保有量的不断扩大,给人们的生产生活带来方便的同时,也造成了能源的消耗和环境的污染。大力发展纯电动汽车是解决尾气对环境污染的有效措施,也是缓解能源危机,改善能源结构,构建绿色交通的重要措施。The continuous expansion of car ownership has brought convenience to people's production and life, but it has also caused energy consumption and environmental pollution. Vigorously developing pure electric vehicles is an effective measure to solve the environmental pollution caused by exhaust gas, and it is also an important measure to alleviate the energy crisis, improve the energy structure, and build green transportation.
传统的电动汽车驱动系统包括减速机、差动齿轮、传动轴等部件,直接驱动轮毂电机的损失,主要是转动驱动轮的损失。因此,使用了没有减速机等部件的直接驱动的轮毂电机,可以说能源损失极低。The traditional electric vehicle drive system includes components such as a reducer, differential gear, and drive shaft. The loss of the direct drive hub motor is mainly the loss of rotating the drive wheel. Therefore, the use of a direct drive hub motor without a reducer and other components can be said to have extremely low energy loss.
轮毂电机驱动轮的独立控制性和响应性很快,以驱动轮转矩为控制量,电动汽车内外侧驱动轮滑转率均衡为控制目标提出差速控制策略。传统横摆力矩控制存在计算量大、自适应力差的问题,因此提出了基于FNN的自适应系统、基于协作算法的分布式预测、自适应滑模控制方法等。滑模控制驱动力矩,研究车辆侧翻情况并提出防侧翻控制方法。将路面的实际附着系数和车轮实际滑转率作为模糊控制的输入,通过滑模变结构控制每个驱动车轮的转矩输出,使车轮的滑转率保持在目标滑转率附近。四轮驱动轮毂电动汽车稳定性由基于无轨迹卡尔曼滤波的直接横摆力矩控制系统来控制。滑模车辆运动控制器产生期望的总力和横摆力矩,通过先进的控制分配方法分配给每个轮胎,以此跟踪期望滑移率。The independent controllability and responsiveness of the wheel hub motor drive wheel are very fast. A differential control strategy is proposed with the drive wheel torque as the control quantity and the slip rate balance of the inner and outer drive wheels of the electric vehicle as the control target. Traditional yaw moment control has the problems of large calculation and adaptive force difference. Therefore, an adaptive system based on FNN, distributed prediction based on cooperative algorithm, and adaptive sliding mode control method are proposed. The sliding mode controls the driving torque, studies the vehicle rollover situation and proposes an anti-rollover control method. The actual adhesion coefficient of the road surface and the actual slip rate of the wheel are used as the input of fuzzy control. The torque output of each driving wheel is controlled by sliding mode variable structure to keep the slip rate of the wheel near the target slip rate. The stability of the four-wheel drive wheel hub electric vehicle is controlled by a direct yaw moment control system based on the trackless Kalman filter. The sliding mode vehicle motion controller generates the desired total force and yaw moment, which are distributed to each tire through an advanced control distribution method to track the desired slip rate.
轮毂电机驱动的电动汽车,是将驱动电机和车轮合为一体,相比传统汽车通过机械的差动制动控制整车的稳定性,轮毂电机工作互不干扰且响应速度快。在汽车灵活性和自由度增加的同时,控制难度也加大,对车辆的稳定性和安全性提出了更高的要求,要提出新的控制策略。车辆在直线行驶时,平稳性一般较好,因此,轮毂电机驱动的电动汽车转向时的稳定性值得研究。为控制车辆稳定,目前轮毂电动汽车大多采用直接横摆力矩控制,但这种控制方法存在车辆的滑移率和横摆角速度波动大、无法到达理想值等问题,导致车辆在转向时的稳定性差。In-wheel motor-driven electric vehicles integrate the drive motor and the wheel. Compared with traditional vehicles that control the stability of the whole vehicle through mechanical differential braking, the in-wheel motors work without interference and have a fast response speed. As the flexibility and freedom of the vehicle increase, the control difficulty also increases, which puts higher requirements on the stability and safety of the vehicle, and new control strategies need to be proposed. When the vehicle is driving in a straight line, the stability is generally good. Therefore, the stability of electric vehicles driven by in-wheel motors when turning is worth studying. In order to control the stability of the vehicle, most in-wheel electric vehicles currently use direct yaw torque control, but this control method has problems such as large fluctuations in the vehicle's slip rate and yaw angular velocity and failure to reach the ideal value, resulting in poor stability of the vehicle when turning.
发明内容Summary of the invention
本发明提供一种能提高车辆转向时稳定性的双轮毂电机驱动电动汽车电子差速控制方法与系统。The present invention provides an electronic differential control method and system for an electric vehicle driven by dual-wheel hub motors, which can improve the vehicle's stability during steering.
为实现上述目的,本发明的技术方案如下:To achieve the above object, the technical solution of the present invention is as follows:
一种双轮毂电机驱动电动汽车电子差速控制方法,包括:滑移率控制:根据阿克曼模型分析车速变化引起的滑移率变化,基于逻辑门限值方法控制车辆滑移率;横摆角速度控制:当车辆滑移率控制在稳定范围后,根据线性二自由度模型分析获得车辆理想横摆角速度,通过滑模控制算法控制反馈力矩,使车辆实际横摆角速度跟踪理想横摆角速度。A method for controlling an electronic differential of an electric vehicle driven by a dual-wheel-hub motor comprises: slip rate control: analyzing the slip rate change caused by the vehicle speed change according to the Ackerman model, and controlling the vehicle slip rate based on a logic threshold value method; yaw rate control: when the vehicle slip rate is controlled within a stable range, obtaining the ideal yaw rate of the vehicle according to a linear two-degree-of-freedom model analysis, and controlling the feedback torque through a sliding mode control algorithm so that the actual yaw rate of the vehicle tracks the ideal yaw rate.
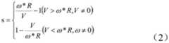
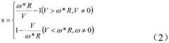
进一步地,根据阿克曼模型分析车速变化引起的滑移率变化,基于逻辑门限值方法控制车辆滑移率包括:根据公式(1)、(2)计算出后轮的目标转速Vl、Vr及车辆滑移率s,将车辆实际速度与目标转速比较,将车轮速度适当的增大或者减小,以保证车辆滑移率保持在稳定水平;Further, according to the Ackerman model, the slip ratio change caused by the vehicle speed change is analyzed, and the vehicle slip ratio is controlled based on the logic threshold value method, including: calculating the target speed Vl and Vr of the rear wheels and the vehicle slip ratio s according to formulas (1) and (2), comparing the actual vehicle speed with the target speed, and appropriately increasing or decreasing the wheel speed to ensure that the vehicle slip ratio remains at a stable level;
式(1)、(2)是以车辆左转为例,其中,Vl为左后轮速度,Vr为右后轮速度,V是转弯时车辆实际速度,δ是阿克曼转向角,L为轴距,R1为左后轮转向圆半径,C为轮距,B为后轴距质心的距离,R是前轴中心绕转向中心O的转动半径,ω为车轮滚动角速度。Formulas (1) and (2) take the vehicle turning left as an example, whereVl is the speed of the left rear wheel,Vr is the speed of the right rear wheel, V is the actual speed of the vehicle when turning, δ is the Ackerman steering angle, L is the wheelbase,R1 is the turning circle radius of the left rear wheel, C is the track width, B is the distance from the rear wheelbase to the center of mass, R is the turning radius of the front axle center around the turning center O, and ω is the wheel rolling angular velocity.
更进一步地,稳定水平为0~20%之间。Furthermore, the stable level is between 0 and 20%.
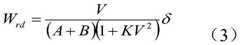
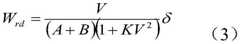
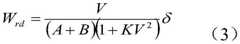
进一步地,根据线性二自由度模型分析获得车辆理想横摆角速度中,理想横摆角速度Wrd的计算公式为Furthermore, according to the linear two-degree-of-freedom model analysis, the ideal yaw rate of the vehicle is obtained, and the calculation formula of the ideal yaw rateWrd is:
式(3)中,V是转弯时车辆实际速度,A为前轴距质心的距离,B为后轴距质心的距离,K为车辆的稳定性系数,由车辆自身参数决定。In formula (3), V is the actual speed of the vehicle when turning, A is the distance from the front wheel to the center of mass, B is the distance from the rear wheel to the center of mass, and K is the stability coefficient of the vehicle, which is determined by the vehicle's own parameters.
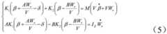
进一步地,通过滑模控制算法控制反馈力矩,使车辆实际横摆角速度跟踪理想横摆角速度包括:用滑模控制算法控制调整横摆力矩MV,首先令E=Wr-Wrd,定义滑模面为采用等速趋近律,令由此可得实时的横摆力矩,然后将力矩平均分配给两个轮毂电机,使车辆跟踪理想的横摆角速度Wrd。Furthermore, the feedback torque is controlled by a sliding mode control algorithm so that the actual yaw rate of the vehicle tracks the ideal yaw rate, including: using the sliding mode control algorithm to control and adjust the yaw torqueMV , firstly setting E =Wr -Wrd , and defining the sliding mode surface as Using the constant velocity approaching law, let The real-time yaw torque can be obtained, and then the torque is evenly distributed to the two wheel hub motors to make the vehicle track the ideal yaw angular velocity Wrd .
一种双轮毂电机驱动电动汽车电子差速控制系统,包括滑移率控制模块与横摆角速度控制模块;滑移率控制模块用于根据阿克曼模型分析车速变化引起的滑移率变化,基于逻辑门限值方法控制车辆滑移率;横摆角速度控制用于当车辆滑移率控制在稳定范围后,根据线性二自由度模型分析获得车辆理想横摆角速度,通过滑模控制算法控制反馈力矩,使车辆实际横摆角速度跟踪理想横摆角速度。An electronic differential control system for an electric vehicle driven by dual-wheel-hub motors comprises a slip rate control module and a yaw rate control module; the slip rate control module is used to analyze the slip rate change caused by the vehicle speed change according to the Ackerman model, and control the vehicle slip rate based on a logic threshold value method; the yaw rate control is used to obtain the ideal yaw rate of the vehicle according to a linear two-degree-of-freedom model analysis after the vehicle slip rate is controlled within a stable range, and control the feedback torque through a sliding mode control algorithm to make the actual yaw rate of the vehicle track the ideal yaw rate.
进一步地,根据阿克曼模型分析车速变化引起的滑移率变化,基于逻辑门限值方法控制车辆滑移率包括:根据公式(1)、(2)计算出后轮的目标转速Vl、Vr及车辆滑移率s,将车辆实际速度与目标转速比较,将车轮速度适当的增大或者减小,以保证车辆滑移率保持在稳定水平;Further, according to the Ackerman model, the slip ratio change caused by the vehicle speed change is analyzed, and the vehicle slip ratio is controlled based on the logic threshold value method, including: calculating the target speed Vl and Vr of the rear wheels and the vehicle slip ratio s according to formulas (1) and (2), comparing the actual vehicle speed with the target speed, and appropriately increasing or decreasing the wheel speed to ensure that the vehicle slip ratio remains at a stable level;
式(1)、(2)是以车辆左转为例,其中,Vl为左后轮速度,Vr为右后轮速度,V是转弯时车辆实际速度,δ是阿克曼转向角,L为轴距,R1为左后轮转向圆半径,C为轮距,B为后轴距质心的距离,R是前轴中心绕转向中心O的转动半径,ω为车轮滚动角速度。Formulas (1) and (2) take the vehicle turning left as an example, whereVl is the speed of the left rear wheel,Vr is the speed of the right rear wheel, V is the actual speed of the vehicle when turning, δ is the Ackerman steering angle, L is the wheelbase,R1 is the turning circle radius of the left rear wheel, C is the track width, B is the distance from the rear wheelbase to the center of mass, R is the turning radius of the front axle center around the turning center O, and ω is the wheel rolling angular velocity.
更进一步地,稳定水平为0~20%之间。Furthermore, the stable level is between 0 and 20%.
进一步地,根据线性二自由度模型分析获得车辆理想横摆角速度中,理想横摆角速度Wrd的计算公式为Furthermore, according to the linear two-degree-of-freedom model analysis, the ideal yaw rate of the vehicle is obtained, and the calculation formula of the ideal yaw rateWrd is:
式(3)中,V是转弯时车辆实际速度,A为前轴距质心的距离,B为后轴距质心的距离,K为车辆的稳定性系数,由车辆自身参数决定。In formula (3), V is the actual speed of the vehicle when turning, A is the distance from the front wheel to the center of mass, B is the distance from the rear wheel to the center of mass, and K is the stability coefficient of the vehicle, which is determined by the vehicle's own parameters.
进一步地,通过滑模控制算法控制反馈力矩,使车辆实际横摆角速度跟踪理想横摆角速度包括:用滑模控制算法控制调整横摆力矩MV,首先令E=Wr-Wrd,定义滑模面为采用等速趋近律,令由此可得实时的横摆力矩,然后将力矩平均分配给两个轮毂电机,使车辆跟踪理想的横摆角速度Wrd。Furthermore, the feedback torque is controlled by a sliding mode control algorithm so that the actual yaw rate of the vehicle tracks the ideal yaw rate, including: using the sliding mode control algorithm to control and adjust the yaw torqueMV , firstly setting E =Wr -Wrd , and defining the sliding mode surface as Using the uniform velocity approaching law, let The real-time yaw torque can be obtained, and then the torque is evenly distributed to the two wheel hub motors to make the vehicle track the ideal yaw angular velocity Wrd .
本发明的有益效果是:本发明双轮毂电机驱动电动汽车电子差速控制方法与系统,根据车辆失稳的原因选择了滑移率和横摆角速度作为反映车辆稳定性的因素,根据阿克曼模型分析车速变化引起的滑移率变化,基于逻辑门限值方法控制车辆滑移率;根据线性二自由度模型分析车辆横摆角速度引起的车辆失稳,通过滑模控制算法控制反馈力矩,使车辆实际横摆角速度跟踪理想横摆角速度,明显改善了车辆的滑移率和横摆角速度,可以保证双轮毂电机驱动的电动汽车在转向时的稳定性。The beneficial effects of the present invention are as follows: the electronic differential control method and system of the electric vehicle driven by dual-wheel hub motors of the present invention selects slip rate and yaw rate as factors reflecting vehicle stability according to the cause of vehicle instability, analyzes the change in slip rate caused by vehicle speed change according to the Ackerman model, and controls the vehicle slip rate based on the logic threshold value method; analyzes the vehicle instability caused by the yaw rate of the vehicle according to the linear two-degree-of-freedom model, controls the feedback torque through the sliding mode control algorithm, and makes the actual yaw rate of the vehicle track the ideal yaw rate, which significantly improves the slip rate and yaw rate of the vehicle, and can ensure the stability of the electric vehicle driven by the dual-wheel hub motors when turning.
附图说明BRIEF DESCRIPTION OF THE DRAWINGS
图1为本发明实施例双轮毂电机驱动电动汽车电子差速控制方法中阿克曼转向模型示意图。FIG. 1 is a schematic diagram of an Ackerman steering model in an electronic differential control method for an electric vehicle driven by dual-wheel-hub motors according to an embodiment of the present invention.
图2为图1所示双轮毂电机驱动电动汽车电子差速控制方法中线性二自由度模型示意图。FIG. 2 is a schematic diagram of a linear two-degree-of-freedom model in the electronic differential control method for the electric vehicle driven by dual-wheel-hub motors shown in FIG. 1 .
图3为本发明实施例双轮毂电机驱动电动汽车电子差速控制系统的示意图。FIG. 3 is a schematic diagram of an electronic differential control system for an electric vehicle driven by dual-wheel-hub motors according to an embodiment of the present invention.
具体实施方式DETAILED DESCRIPTION
下面结合附图及实例,对本发明做进一步说明。The present invention will be further described below in conjunction with the accompanying drawings and examples.
本实施例中,一种双轮毂电机驱动电动汽车电子差速控制方法包括:滑移率控制:根据阿克曼模型分析车速变化引起的滑移率变化,基于逻辑门限值方法控制车辆滑移率;横摆角速度控制:当车辆滑移率控制在稳定范围后,根据线性二自由度模型分析获得车辆理想横摆角速度,通过滑模控制算法控制反馈力矩,使车辆实际横摆角速度跟踪理想横摆角速度。In the present embodiment, an electronic differential control method for an electric vehicle driven by a dual-hub motor includes: slip rate control: analyzing the slip rate change caused by the vehicle speed change according to the Ackerman model, and controlling the vehicle slip rate based on the logic threshold value method; yaw rate control: when the vehicle slip rate is controlled within a stable range, the ideal yaw rate of the vehicle is obtained according to the linear two-degree-of-freedom model analysis, and the feedback torque is controlled by the sliding mode control algorithm to make the actual yaw rate of the vehicle track the ideal yaw rate.
本实施例是基于假设:①车辆为一个刚体;②车辆行驶过程中侧向力为零;③车轮做纯滚动运动。This embodiment is based on the assumptions that: ① the vehicle is a rigid body; ② the lateral force during the vehicle's driving is zero; and ③ the wheels perform pure rolling motion.
假设车辆左转,V是转弯时车辆实际速度,δ是阿克曼转向角(车辆转向角),δ1是左前轮的转向角,δ2是右前轮的转向角,且δ1>δ2,O为车辆转向中心,四个车轮的中轴线交于O点,L为轴距,C为轮距,A为前轴距质心的距离,B为后轴距质心的距离,r是车辆质心绕转向中心O点的转动半径,R是前轴中心绕转向中心O的转动半径;R1为左后轮转向圆半径;R2为右后轮转向圆半径;Vl为左后轮速度,Vr为右后轮速度,ω为车轮滚动角速度。由图1可得出如下几何关系:Assume that the vehicle turns left, V is the actual speed of the vehicle when turning, δ is the Ackerman steering angle (vehicle steering angle), δ1 is the steering angle of the left front wheel, δ2 is the steering angle of the right front wheel, and δ1 >δ2 , O is the vehicle steering center, the central axis of the four wheels intersects at point O, L is the wheelbase, C is the track, A is the distance from the front wheel to the center of mass, B is the distance from the rear wheel to the center of mass, r is the turning radius of the vehicle center of mass around the turning center O, R is the turning radius of the front axle center around the turning center O; R1 is the turning circle radius of the left rear wheel; R2 is the turning circle radius of the right rear wheel; Vl is the left rear wheel speed, Vr is the right rear wheel speed, and ω is the wheel rolling angular velocity. The following geometric relationship can be obtained from Figure 1:
由瞬心定理可知From the instantaneous center theorem, we know
由式(1)、(2)计算可得According to formula (1) and (2), we can get
滑移率计算:Slip ratio calculation:
根据公式计算出后轮的目标转速Vl、Vr及车辆滑移率s,将车辆实际速度与目标转速比较,将车轮速度适当的增大或者减小,以保证车辆滑移率保持在稳定水平。The target speeds of the rear wheels Vl and Vr and the vehicle slip rate s are calculated according to the formula, the actual vehicle speed is compared with the target speed, and the wheel speed is appropriately increased or decreased to ensure that the vehicle slip rate remains at a stable level.
车辆实际行驶的路面条件较复杂,在行驶时,滑移率在20%左右制动效果最佳,当滑移率为0%时,汽车抗侧滑能力最强,方向稳定性最好,因此滑转率在0%~20%范围内能保证车辆相对稳定。The actual road conditions on which the vehicle drives are relatively complex. When driving, the braking effect is best when the slip rate is around 20%. When the slip rate is 0%, the car's anti-skid ability is the strongest and the directional stability is the best. Therefore, a slip rate within the range of 0% to 20% can ensure the relative stability of the vehicle.
因此,本实施例中,具体地,根据阿克曼模型分析车速变化引起的滑移率变化,基于逻辑门限值方法控制车辆滑移率包括:根据公式(3)、(4)计算出后轮的目标转速Vl、Vr及车辆滑移率s,将车辆实际速度与目标转速比较,将车轮速度适当的增大或者减小,以保证车辆滑移率保持在稳定水平。本实施例中,稳定水平为0~20%之间。Therefore, in this embodiment, specifically, the slip ratio change caused by the vehicle speed change is analyzed according to the Ackerman model, and the vehicle slip ratio is controlled based on the logic threshold value method, including: calculating the target speedVl ,Vr of the rear wheels and the vehicle slip ratio s according to formulas (3) and (4), comparing the actual vehicle speed with the target speed, and appropriately increasing or decreasing the wheel speed to ensure that the vehicle slip ratio remains at a stable level. In this embodiment, the stable level is between 0 and 20%.
假设前轮转角和车辆前进速度不变,只考虑侧向和横摆运动两个自由度,则得到汽车线性二自由度模型如图2,模型忽略转向及悬架系统的作用,将车辆限制在平行地面的平面内;轮胎侧偏特性始终处于线性范围内,质心侧偏角足够小。设M为整车质量,K1、K2分别为前后轴的等效侧偏刚度,A为车辆前轴至质心的距离,B为车辆后轴至质心的距离,δ为前轮转角输入,IZ为车辆绕Z轴的转动惯量,V为车辆沿x轴前进速度,β为质心侧偏角,Wr为车辆横摆角速度。Assuming that the front wheel steering angle and the forward speed of the vehicle remain unchanged, only the lateral and yaw motions are considered, and the linear two-degree-of-freedom model of the vehicle is obtained as shown in Figure 2. The model ignores the effects of the steering and suspension systems and restricts the vehicle to a plane parallel to the ground; the tire side slip characteristics are always within the linear range, and the center of mass side slip angle is small enough. Let M be the vehicle mass, K1 and K2 be the equivalent side slip stiffness of the front and rear axles, A is the distance from the front axle to the center of mass, B is the distance from the rear axle to the center of mass, δ is the front wheel steering angle input, IZ is the moment of inertia of the vehicle around the Z axis, V is the forward speed of the vehicle along the x axis, β is the center of mass side slip angle, and Wr is the vehicle yaw angular velocity.
车辆二自由度运动微分方程为:The differential equation of the vehicle's two-degree-of-freedom motion is:
令由式(5)可得出理想横摆角速度Wrd为make From formula (5), the ideal yaw rateWrd can be obtained as
K为车辆的稳定性系数,由车辆自身参数决定,其公式为K is the stability coefficient of the vehicle, which is determined by the vehicle's own parameters and its formula is:
车辆的横摆角速度受车辆自身参数、车辆速度和转向角影响,因此横摆角速度实际值能最快追踪理想值条件下,车辆横向稳定性较好。The vehicle's yaw rate is affected by the vehicle's own parameters, vehicle speed and steering angle. Therefore, when the actual value of the yaw rate can track the ideal value as quickly as possible, the vehicle's lateral stability is better.
本实施例双轮毂电机驱动电动汽车电子差速控制方法的整体思路为:基于阿克曼转向模型和线性二自由度模型来计算车轮参考转速和理想横摆角速度,先通过逻辑门限值的方法对车轮滑移率进行控制,然后通过滑模控制实现实际横摆角速度追踪理想横摆角速度,最终实现车辆的稳定差速转向的控制策略。The overall idea of the electronic differential control method for the dual-wheel-hub motor driven electric vehicle of this embodiment is: based on the Ackerman steering model and the linear two-degree-of-freedom model, the wheel reference speed and the ideal yaw rate are calculated, the wheel slip rate is first controlled by the logic threshold method, and then the actual yaw rate is tracked to the ideal yaw rate by sliding mode control, and finally the vehicle's stable differential steering control strategy is realized.
本实施例双轮毂电机驱动电动汽车电子差速控制方法的控制流程为:车辆转弯时,电子差速控制系统启动,将车辆转向角δ和车速V输入到控制器,通过阿克曼转向模型计算出左后方和右后方车轮的参考转速;然后控制电机追踪参考转速,使得内侧车轮转速减小,外侧车轮转速增大,这样就可能导致车轮发生滑移,因此控制器要实时计算车轮的滑移率。检测到车轮速度后,外侧车轮减速,内侧车轮加速,并判断滑移率是否在0~20%之间;当车辆滑移率控制在稳定范围后,为保证车辆的横摆角速度Wr不能过大,根据车辆的线性二自由度模型得到理想横摆角速度Wrd,用滑模控制算法控制调整横摆力矩MV,首先令E=Wr-Wrd,定义滑模面为采用等速趋近律,令由此可得实时的横摆力矩,然后将力矩平均分配给两个轮毂电机,使车辆跟踪理想的横摆角速度Wrd。最终实现车辆的稳定差速转向。The control flow of the electronic differential control method for a dual-wheel-hub motor-driven electric vehicle in this embodiment is as follows: when the vehicle turns, the electronic differential control system is started, and the vehicle steering angle δ and the vehicle speed V are input to the controller, and the reference speeds of the left rear and right rear wheels are calculated through the Ackerman steering model; then the motor is controlled to track the reference speed, so that the speed of the inner wheel decreases and the speed of the outer wheel increases, which may cause the wheel to slip, so the controller needs to calculate the slip rate of the wheel in real time. After detecting the wheel speed, the outer wheel decelerates and the inner wheel accelerates, and it is determined whether the slip rate is between 0 and 20%; when the vehicle slip rate is controlled within a stable range, in order to ensure that the vehicle's yaw rate Wr is not too large, the ideal yaw rate Wrd is obtained according to the linear two-degree-of-freedom model of the vehicle, and the yaw torque MV is controlled and adjusted using the sliding mode control algorithm. First, let E = Wr -Wrd , and define the sliding mode surface as Using the constant velocity approaching law, let The real-time yaw torque can be obtained, and then the torque is evenly distributed to the two wheel hub motors, so that the vehicle can track the ideal yaw angular velocityWrd , and finally achieve stable differential steering of the vehicle.
如图3所示,本实施例还提供一种双轮毂电机驱动电动汽车电子差速控制系统,包括滑移率控制模块与横摆角速度控制模块;滑移率控制模块用于根据阿克曼模型分析车速变化引起的滑移率变化,基于逻辑门限值方法控制车辆滑移率;横摆角速度控制用于当车辆滑移率控制在稳定范围后,根据线性二自由度模型分析获得车辆理想横摆角速度,通过滑模控制算法控制反馈力矩,使车辆实际横摆角速度跟踪理想横摆角速度。As shown in FIG3 , the present embodiment further provides an electronic differential control system for a dual-wheel-hub motor driven electric vehicle, including a slip rate control module and a yaw rate control module; the slip rate control module is used to analyze the slip rate change caused by the vehicle speed change according to the Ackerman model, and control the vehicle slip rate based on the logic threshold value method; the yaw rate control is used to obtain the ideal yaw rate of the vehicle according to the linear two-degree-of-freedom model analysis when the vehicle slip rate is controlled within a stable range, and control the feedback torque through the sliding mode control algorithm to make the actual yaw rate of the vehicle track the ideal yaw rate.
经仿真实验检验,本实施例双轮毂电机驱动电动汽车电子差速控制方法与系统的效果非常好。The simulation experiment proves that the electronic differential control method and system for the electric vehicle driven by dual-wheel-hub motors in this embodiment have very good effects.
以车辆速度为30km/h和70km/h做仿真实验,车辆加速至30km/h,仿真时间在3s时,前轮输入阶跃转向角为5°、20°。结果显示(如表1),有控制的情况下车轮滑移率均保持在20%以下,转向角为5°时,有控制的滑移率趋于稳定值6%~7%,但无控制的滑移率最大值达到12%;转向角为20°时,有控制的滑移率趋于稳定值8%~9%,但无控制的滑移率明显超过20%,最大值达到16%。因车速较低,15s前无控制的滑移率也未超20%,但无控制的滑移率明显高于有控制的值,说明在此条件下,控制策略可以有效改善车轮滑移率。The simulation experiment was conducted with the vehicle speed of 30km/h and 70km/h. When the vehicle accelerated to 30km/h and the simulation time was 3s, the front wheel input step steering angle was 5° and 20°. The results show (as shown in Table 1) that the wheel slip rate was kept below 20% under control. When the steering angle was 5°, the controlled slip rate tended to a stable value of 6% to 7%, but the maximum value of the uncontrolled slip rate reached 12%; when the steering angle was 20°, the controlled slip rate tended to a stable value of 8% to 9%, but the uncontrolled slip rate obviously exceeded 20%, and the maximum value reached 16%. Due to the low speed, the uncontrolled slip rate did not exceed 20% before 15s, but the uncontrolled slip rate was obviously higher than the controlled value, indicating that under this condition, the control strategy can effectively improve the wheel slip rate.
车辆加速至70km/h,仿真时间在3s时,前轮输入阶跃转向角为5°、20°。结果显示(如表1),有控制的情况下左右轮滑移率虽有波动,但均保持在20%以下,而无控制的滑移率明显超过20%,且波动较大,呈明显上升趋势。转向角为5°时,有控制的滑移率趋于稳定值13%~14%,但无控制的滑移率最大值达到34%;转向角为20°时,有控制的滑移率趋于稳定值16%~17%,但无控制的滑移率明显超过20%,最大值达到37%。可以预测,随着仿真继续,无控制的车轮滑移率会快速增大并超过20%,导致车辆横摆运动引起车辆的不稳定。仿真结果说明此控制策略能有效改善车辆在转弯时的滑移率不稳定状况。When the vehicle accelerates to 70km/h and the simulation time is 3s, the front wheel input step steering angle is 5° and 20°. The results show (as shown in Table 1) that the left and right wheel slip rates fluctuate under control, but are kept below 20%, while the uncontrolled slip rate obviously exceeds 20%, and fluctuates greatly, showing an obvious upward trend. When the steering angle is 5°, the controlled slip rate tends to a stable value of 13% to 14%, but the uncontrolled slip rate reaches a maximum of 34%; when the steering angle is 20°, the controlled slip rate tends to a stable value of 16% to 17%, but the uncontrolled slip rate obviously exceeds 20%, and the maximum value reaches 37%. It can be predicted that as the simulation continues, the uncontrolled wheel slip rate will increase rapidly and exceed 20%, resulting in vehicle instability caused by vehicle yaw motion. The simulation results show that this control strategy can effectively improve the unstable condition of the vehicle slip rate when turning.
表1车轮滑移率数据表Table 1 Wheel slip rate data table
以车辆速度为30km/h和70km/h做仿真实验,仿真时间在3s时,前轮输入阶跃转向角为5°,得到在滑模控制下的车辆横摆角速度和未进行控制时的仿真结果和理想值的对比如表2。由仿真结果可知,不施加控制时,30km/h和70km/h的稳定时间分别为13s和10s,和施加控制时的9s和8s相比,明显无控制的横摆角速度比施加控制的响应时间长,且有控制的横摆角速度更加趋近于理想值。The simulation experiment was conducted with the vehicle speed of 30km/h and 70km/h. When the simulation time was 3s, the front wheel input step steering angle was 5°, and the comparison of the vehicle yaw rate under sliding mode control and the simulation results without control and the ideal value was shown in Table 2. From the simulation results, it can be seen that when no control is applied, the stabilization time of 30km/h and 70km/h is 13s and 10s respectively, compared with 9s and 8s when control is applied. It is obvious that the uncontrolled yaw rate has a longer response time than the controlled one, and the controlled yaw rate is closer to the ideal value.
以车辆速度为30km/h和70km/h做仿真实验,仿真时间在3s时,前轮输入阶跃转向角为20°,结果如表2。由仿真结果可知,由于车辆转向角的增加,无控制的横摆角速度数值波动大,响应时间明显增长,即使达到稳态也和理想值相差0.15~0.25rad/s,存在较大偏差;滑模控制对车辆横摆力矩进行重新计算分配后,30km/h时和70km/h的实际值曲线能基本拟合理想值曲线,说明实际横摆角速度能较好跟随理想值变化。The simulation experiment was conducted with the vehicle speed of 30km/h and 70km/h. When the simulation time was 3s, the front wheel input step steering angle was 20°, and the results are shown in Table 2. From the simulation results, it can be seen that due to the increase in the vehicle steering angle, the uncontrolled yaw rate value fluctuates greatly, the response time increases significantly, and even when it reaches a steady state, it differs from the ideal value by 0.15-0.25rad/s, which is a large deviation; after the sliding mode control recalculates and distributes the vehicle yaw moment, the actual value curves at 30km/h and 70km/h can basically fit the ideal value curve, indicating that the actual yaw rate can better follow the ideal value change.
表2车辆横摆角速度数据表Table 2 Vehicle yaw rate data table
通过对实验结果的分析,可以看出通过对车轮滑移率和车辆横摆角速度的控制,能够快速使车辆达到稳定状态,车辆转弯时,可以降低车辆滑移率,使其控制在20%以内;通过调整横摆力矩可以抑制车辆的横摆运动,稳定后横摆角速度实际值与理想值差值基本为0,车辆无论在低速还是高速情况下都能平稳行驶。Through the analysis of the experimental results, it can be seen that by controlling the wheel slip rate and the vehicle's yaw angular velocity, the vehicle can quickly reach a stable state. When the vehicle turns, the vehicle slip rate can be reduced and controlled within 20%. The yaw motion of the vehicle can be suppressed by adjusting the yaw moment. After stabilization, the difference between the actual value and the ideal value of the yaw angular velocity is basically 0, and the vehicle can travel smoothly regardless of low or high speed.
相对于现有技术,本实施例具有如下特点。Compared with the prior art, this embodiment has the following characteristics.
(1)根据车辆失稳的原因选择了滑移率和横摆角速度作为反映车辆稳定性的因素,根据阿克曼模型分析车速变化引起的滑移率变化,基于逻辑门限值方法控制车辆滑移率;根据线性二自由度模型分析车辆横摆角速度引起的车辆失稳,通过滑模控制算法控制反馈力矩,使车辆实际横摆角速度跟踪理想横摆角速度。(1) According to the cause of vehicle instability, slip rate and yaw rate are selected as factors reflecting vehicle stability. The slip rate change caused by vehicle speed change is analyzed according to the Ackerman model, and the vehicle slip rate is controlled based on the logic threshold value method. The vehicle instability caused by the vehicle yaw rate is analyzed according to the linear two-degree-of-freedom model, and the feedback torque is controlled through the sliding mode control algorithm to make the vehicle's actual yaw rate track the ideal yaw rate.
(2)通过仿真实验发现,当输入前轮转角信号和速度信号时,有控制的滑移率一直在稳定区间0%~20%,无控制的滑移率最大到达了32%。数据显示:有控制的横摆角速度除了稳定前的小波动,其余时间基本能追随理想值,而无控制的存在波动大、无法到达理想值等问题。说明该控制策略的使用明显改善了车辆的滑移率和横摆角速度。(2) Through simulation experiments, it is found that when the front wheel angle signal and speed signal are input, the controlled slip rate is always in the stable range of 0% to 20%, and the uncontrolled slip rate reaches a maximum of 32%. The data shows that except for the small fluctuation before stabilization, the controlled yaw rate can basically follow the ideal value at other times, while the uncontrolled one has large fluctuations and cannot reach the ideal value. This shows that the use of this control strategy significantly improves the vehicle's slip rate and yaw rate.
(3)通过对该控制策略的原理和仿真分析,本文提出的控制策略能同时抑制车辆的滑移和横摆运动,和控制单一变量的控制策略]相比,能更有效维持车辆稳定。实验可得,该控制策略可以保证双轮毂电机驱动的电动汽车在转向时的稳定性。(3) Through the principle and simulation analysis of the control strategy, the control strategy proposed in this paper can suppress the vehicle's slip and yaw motion at the same time, and can more effectively maintain vehicle stability compared with the control strategy of controlling a single variable. Experiments show that the control strategy can ensure the stability of electric vehicles driven by dual-wheel hub motors when turning.
| Application Number | Priority Date | Filing Date | Title |
|---|---|---|---|
| CN202310251460.0ACN116160870A (en) | 2023-03-16 | 2023-03-16 | A method and system for electronic differential control of electric vehicles driven by dual hub motors |
| Application Number | Priority Date | Filing Date | Title |
|---|---|---|---|
| CN202310251460.0ACN116160870A (en) | 2023-03-16 | 2023-03-16 | A method and system for electronic differential control of electric vehicles driven by dual hub motors |
| Publication Number | Publication Date |
|---|---|
| CN116160870Atrue CN116160870A (en) | 2023-05-26 |
| Application Number | Title | Priority Date | Filing Date |
|---|---|---|---|
| CN202310251460.0APendingCN116160870A (en) | 2023-03-16 | 2023-03-16 | A method and system for electronic differential control of electric vehicles driven by dual hub motors |
| Country | Link |
|---|---|
| CN (1) | CN116160870A (en) |
| Publication number | Priority date | Publication date | Assignee | Title |
|---|---|---|---|---|
| CN118907046A (en)* | 2024-10-11 | 2024-11-08 | 厦门金龙联合汽车工业有限公司 | Composite braking anti-lock intelligent control method based on real-time estimation of turning angle |
| Publication number | Priority date | Publication date | Assignee | Title |
|---|---|---|---|---|
| CN107953801A (en)* | 2017-11-29 | 2018-04-24 | 吉林大学 | A kind of driving force control method of full wheel-hub motor driven vehicle |
| CN110979022A (en)* | 2019-11-12 | 2020-04-10 | 珠海格力电器股份有限公司 | Control method and system for electronic differential of electric automobile and electric automobile |
| CN111645533A (en)* | 2019-12-30 | 2020-09-11 | 联合汽车电子有限公司 | New energy automobile driving method |
| CN114056124A (en)* | 2021-12-16 | 2022-02-18 | 东风德纳车桥有限公司 | Electric drive axle control method and system of electric automobile and electric automobile |
| CN114684109A (en)* | 2022-02-07 | 2022-07-01 | 北京新能源汽车股份有限公司 | Electric automobile yaw stability control method and device |
| CN114734983A (en)* | 2022-03-04 | 2022-07-12 | 南京航空航天大学 | Distributed electric vehicle stability control method based on stable domain |
| Publication number | Priority date | Publication date | Assignee | Title |
|---|---|---|---|---|
| CN107953801A (en)* | 2017-11-29 | 2018-04-24 | 吉林大学 | A kind of driving force control method of full wheel-hub motor driven vehicle |
| CN110979022A (en)* | 2019-11-12 | 2020-04-10 | 珠海格力电器股份有限公司 | Control method and system for electronic differential of electric automobile and electric automobile |
| CN111645533A (en)* | 2019-12-30 | 2020-09-11 | 联合汽车电子有限公司 | New energy automobile driving method |
| CN114056124A (en)* | 2021-12-16 | 2022-02-18 | 东风德纳车桥有限公司 | Electric drive axle control method and system of electric automobile and electric automobile |
| CN114684109A (en)* | 2022-02-07 | 2022-07-01 | 北京新能源汽车股份有限公司 | Electric automobile yaw stability control method and device |
| CN114734983A (en)* | 2022-03-04 | 2022-07-12 | 南京航空航天大学 | Distributed electric vehicle stability control method based on stable domain |
| Publication number | Priority date | Publication date | Assignee | Title |
|---|---|---|---|---|
| CN118907046A (en)* | 2024-10-11 | 2024-11-08 | 厦门金龙联合汽车工业有限公司 | Composite braking anti-lock intelligent control method based on real-time estimation of turning angle |
| CN118907046B (en)* | 2024-10-11 | 2025-01-14 | 厦门金龙联合汽车工业有限公司 | An intelligent control method for compound anti-lock braking based on real-time estimation of turning angle |
| Publication | Publication Date | Title |
|---|---|---|
| CN111152834B (en) | An electronic differential control method for electric vehicles based on Ackerman steering correction | |
| CN114407673B (en) | Torque control method of electric four-wheel drive vehicle based on slip ratio | |
| CN108422901B (en) | A Multi-objective Optimization Method for Wheel Torque of Electric Wheel Drive Vehicles Based on the Optimal Vehicle Comprehensive Performance | |
| CN108437978B (en) | Integrated control method for automatic road recognition and stability of four-wheel-hub electric drive vehicles | |
| CN105835721B (en) | A kind of four-wheel wheel hub electric automobile method for controlling driving speed | |
| CN109747434A (en) | Torque Vector Distribution Control Method for Distributed Drive Electric Vehicles | |
| CN108790940A (en) | Wheel-side driving steering differential control method, control device, equipment and automobile | |
| CN109606133A (en) | Torque vector control method for distributed drive electric vehicle based on double-layer control | |
| CN113002324B (en) | Electronic differential system of four-wheel independent driving and independent steering electric automobile | |
| CN107953801A (en) | A kind of driving force control method of full wheel-hub motor driven vehicle | |
| CN109398361B (en) | A handling stability control method for a four-wheel independent drive vehicle | |
| CN101574979A (en) | Electric motor car differential steeling control method based on slip rate control | |
| CN111152661A (en) | Failure control method for electric drive system of four-wheel distributed drive passenger car | |
| CN111267949B (en) | A skid steering control system for a vehicle | |
| CN106864306A (en) | A kind of distributed-driving electric automobile multi-mode electronic differential control system | |
| CN112172788A (en) | Distributed three-motor driving force distribution strategy for improving vehicle steering stability | |
| CN111546907B (en) | Wheel speed distribution method for four-wheel steering hub motor driven vehicle | |
| CN110422053A (en) | Four-wheel hub motor driven electric vehicle energy-saving control method | |
| CN108327702A (en) | A kind of four-wheel wheel hub motor independence drive control method | |
| CN111055694B (en) | Rule-based four-wheel distributed driving torque distribution method | |
| CN113335376B (en) | Inter-wheel differential anti-dragging control method for steering of distributed independent driving electric automobile | |
| CN114261288A (en) | Yaw torque control method for electric four-wheel drive vehicle | |
| CN106608202B (en) | Coordinated intelligent control method and system for electric vehicle driving | |
| CN116749781A (en) | A torque distribution control method for four-wheel hub motor-driven smart cars | |
| CN116160870A (en) | A method and system for electronic differential control of electric vehicles driven by dual hub motors |
| Date | Code | Title | Description |
|---|---|---|---|
| PB01 | Publication | ||
| PB01 | Publication | ||
| SE01 | Entry into force of request for substantive examination | ||
| SE01 | Entry into force of request for substantive examination |