Movatterモバイル変換


[0]ホーム

URL:


CN116150946A - Pipeline arrangement method based on simulation technology - Google Patents

Pipeline arrangement method based on simulation technology
Download PDF

Info

Publication number
CN116150946A
CN116150946ACN202211442852.7ACN202211442852ACN116150946ACN 116150946 ACN116150946 ACN 116150946ACN 202211442852 ACN202211442852 ACN 202211442852ACN 116150946 ACN116150946 ACN 116150946A
Authority
CN
China
Prior art keywords
data
simulation
pipeline
scheme
pipeline arrangement
Prior art date
Legal status (The legal status is an assumption and is not a legal conclusion. Google has not performed a legal analysis and makes no representation as to the accuracy of the status listed.)
Granted
Application number
CN202211442852.7A
Other languages
Chinese (zh)
Other versions
CN116150946B (en
Inventor
谢耘
张春林
温胤鑫
李京华
张运春
董雷
李文奎
王燕
Current Assignee (The listed assignees may be inaccurate. Google has not performed a legal analysis and makes no representation or warranty as to the accuracy of the list.)
Beijing Tongtech Co Ltd
Original Assignee
Beijing Tongtech Co Ltd
Priority date (The priority date is an assumption and is not a legal conclusion. Google has not performed a legal analysis and makes no representation as to the accuracy of the date listed.)
Filing date
Publication date
Application filed by Beijing Tongtech Co LtdfiledCriticalBeijing Tongtech Co Ltd
Priority to CN202211442852.7ApriorityCriticalpatent/CN116150946B/en
Publication of CN116150946ApublicationCriticalpatent/CN116150946A/en
Application grantedgrantedCritical
Publication of CN116150946BpublicationCriticalpatent/CN116150946B/en
Activelegal-statusCriticalCurrent
Anticipated expirationlegal-statusCritical

Links

Images

Classifications

Landscapes

Abstract

The invention provides a pipeline arrangement method based on a simulation technology, which comprises the following steps: acquiring a simulation model for pipeline arrangement based on a simulation model large database; based on big data, extracting to obtain pipeline historical data, wherein the pipeline historical data comprises a pipeline fixed variable data parameter list and a pipeline inspection result data list; carrying out pipeline arrangement based on the simulation model and the pipeline fixed variable data parameter list, carrying out pipeline arrangement correction by combining the pipeline inspection result data list, generating a pipeline arrangement scheme and a scheme identification data set, and storing the scheme and the scheme identification data set into a pipeline arrangement scheme library; and matching the actual production plan data with the scheme identification data, and calling a pipeline arrangement scheme in the pipeline arrangement scheme library according to the matching result to realize pipeline arrangement. The invention establishes the simulation scheme library, and can improve the management and planning level of the pipeline by calling the simulation scheme to program the pipeline.

Description

Pipeline arrangement method based on simulation technology
Technical Field
The invention relates to the technical field of pipeline arrangement, in particular to a pipeline arrangement method based on a simulation technology.
Background
The problem of pipeline arrangement is the most complex resource combination optimization problem, and the rationality of pipeline arrangement is the key point of pipeline design and directly influences the pipeline running efficiency.
The production site has uncertainty and randomness, so that the production site is difficult to predict and schedule due to the fact that the production site is derived from pipeline staff and the random variation of equipment and products; how to achieve the controllability and standardization management of the production site is a difficult point to be solved by enterprises and is also an important point for the arrangement of the production site.
The assembly line arrangement method needs to comprehensively consider random factors such as personnel skills, equipment faults, repair and the like, and improves the accuracy and the flexible adjustability of the method. The pipeline arrangement method based on the simulation technology can directly provide a scientific arrangement scheme for production, establishes a pipeline simulation model by using the simulation technology, and optimizes and improves the pipeline by analyzing sensitivity of model parameters and field variable factors so as to realize automation and informatization of field management.
Therefore, it is necessary to provide a pipeline arrangement method based on the simulation technology.
Disclosure of Invention
The invention provides a pipeline arrangement method based on a simulation technology, which establishes a simulation scheme library by using the simulation technology, and realizes arrangement of a pipeline by calling the simulation scheme, thereby improving the management and planning level of the production pipeline and being beneficial to resource integration and overall utilization of personnel, equipment and products.
The invention provides a pipeline arrangement method based on a simulation technology, which comprises the following steps:
s1: acquiring a simulation model for pipeline arrangement based on a simulation model large database;
s2: based on big data, extracting to obtain pipeline historical data, wherein the pipeline historical data comprises a pipeline fixed variable data parameter list and a pipeline inspection result data list;
s3: carrying out pipeline arrangement based on the simulation model and the pipeline fixed variable data parameter list, carrying out pipeline arrangement correction by combining the pipeline inspection result data list, generating a pipeline arrangement scheme and a scheme identification data set, and storing the scheme and the scheme identification data set into a pipeline arrangement scheme library;
s4: and matching the actual production plan data with the scheme identification data, and calling a pipeline arrangement scheme in the pipeline arrangement scheme library according to the matching result to realize pipeline arrangement.
Further, S1 includes:
s101: acquiring a plurality of simulation models for pipeline arrangement, and generating a first simulation model set;
s102: obtaining a plurality of simulation models with the usage amount larger than a preset usage amount threshold value from the first simulation model set to obtain a second simulation model set;
s103: obtaining a plurality of simulation models with evaluation values larger than a preset evaluation value threshold value from the second simulation model set to obtain a third simulation model set;
s104: and acquiring a plurality of simulation models with the simulation degree of the simulation model larger than a preset simulation degree threshold value from the third simulation model set to obtain the simulation model.
Further, S2 includes:
s201: acquiring a production line production data statistical table and a production line spot inspection result statistical table;
s202: based on a preset first data extraction template, quantitative data parameters and variable data parameters are extracted from a production data statistics table, and a pipeline quantitative variable data parameter list is obtained; the pipeline constant variable data parameter list comprises a quantitative data parameter list and a variable data parameter list;
s203: based on a preset second data extraction template, extracting point inspection unqualified data and fault data from a pipeline point inspection result statistical table to obtain a pipeline inspection result data list; the pipeline inspection result data list comprises a spot inspection disqualified data list and a fault data list.
Further, S3 includes:
s301: based on the quantitative data parameter list and the variable data parameter list, simulating pipeline arrangement by using a simulation model to generate a plurality of pipeline arrangement schemes;
s302: obtaining a production efficiency value of a pipeline arrangement scheme, reserving the production efficiency value which accords with a preset threshold range of the production efficiency value, and generating a first production efficiency value array;
s303: acquiring a negative influence value of pipeline inspection result data on the generation efficiency, and correcting the production efficiency value in the first production efficiency value array based on the negative influence value to obtain a corrected production efficiency value array;
s304: and summarizing and correcting the pipeline arrangement scheme corresponding to the production efficiency value array to generate a pipeline arrangement scheme library.
Further, S303 includes:
s3031: based on the spot inspection unqualified data list and the fault data list, analyzing and acquiring a class item influence value and a class item influence weight value thereof which negatively influence the generation efficiency;
s3032: performing product operation on the class item influence values and the class item influence weight values, and accumulating to generate negative influence values;
s3033: screening negative influence values with the negative influence value larger than a negative influence value threshold, correcting and matching calculation standards based on the preset negative influence value and the production efficiency value, and correcting the production efficiency value to obtain a first corrected production efficiency value;
s3034: reserving the first corrected production efficiency value which accords with the preset second production efficiency value threshold range, and generating a corrected production efficiency value array.
Further, S3 further includes:
s305: creating a pipeline arrangement scheme identifier by adopting a combination naming mode, wherein the identifier name comprises at least one quantitative data parameter and one fixed variable data parameter;
s306: establishing a matching relation between a pipeline arrangement scheme identifier and a pipeline arrangement scheme;
s307: based on the matching relationship, the identifier data set corresponding to the pipeline arrangement scheme is followed.
Further, S4 includes:
s401: acquiring actual quantitative data parameters in an actual production plan;
s402: according to the actual quantitative data parameters, searching corresponding scheme identifiers in the identifier data set, and according to the scheme identifiers, calling corresponding pipeline arrangement schemes to realize pipeline arrangement;
s403: if the corresponding scheme identifier cannot be retrieved in the identifier dataset according to the actual quantitative data parameter, two scheme identifiers corresponding to two quantitative data parameters adjacent to the actual quantitative data parameter are called, two pipeline arrangement schemes corresponding to the two scheme identifiers are called, and one pipeline arrangement scheme with larger simulation degree is selected for pipeline arrangement.
Further, S4 further includes:
acquiring an actual result of pipeline arrangement, and comparing the actual result with a simulation result of a simulation arrangement scheme; if the two results are consistent, marking the corresponding simulation layout scheme as a first marking;
if the two results are inconsistent, checking the pipeline inspection result data, and if a point inspection unqualified data list or fault data exists, performing result correction on the pipeline arrangement actual result; if the point detection unqualified data list or the fault data does not exist, correcting the simulation degree of the pipeline arrangement scheme, and marking the corrected pipeline arrangement scheme as a second mark;
summarizing simulation layout schemes corresponding to the first labels and the second labels, and generating a simulation layout scheme update library.
Further, S5, screening a simulation model with the largest simulation degree is fixedly used for arranging a production line, and the specific steps are as follows:
s501: dividing the working process of the assembly line into a plurality of time periods, obtaining data deviation values of simulation results and actual results of each time period, and summarizing to obtain a first data deviation total value H1
S502: obtaining bottleneck data deviation value H of simulation result and actual result of pipeline bottleneck2
S503: the first data deviation total value H1 Bottleneck data offset value H2 Respectively weighting and summing to obtain a total deviation value of the simulation analog data; if the deviation total value of the simulation data is smaller than a preset deviation threshold value, reserving a corresponding first simulation arrangement scheme;
s504: and carrying out a plurality of pipeline arrangement tests by using the first simulation arrangement scheme, and fixing the simulation arrangement scheme for pipeline arrangement if the probability value of the arrangement simulation degree being the preset maximum value is larger than the preset probability threshold value.
Further, the method also comprises S6, wherein the method stores and displays the simulation result data, and comprises the following specific steps:
s601: storing simulation result data into a blank SQL database;
s602: selecting a plurality of attribute features to form a metadata data set based on the attribute features of the simulation result data statistics table;
s603: setting SQL query sentences based on metadata in the metadata data set;
s604: and carrying out statistical analysis on simulation result data according to the pipeline arrangement requirement by utilizing SQL query sentences, and outputting the simulation result data in a statistical table or a statistical graph.
Additional features and advantages of the invention will be set forth in the description which follows, and in part will be obvious from the description, or may be learned by practice of the invention. The objectives and other advantages of the invention may be realized and attained by the structure particularly pointed out in the written description and drawings.
The technical scheme of the invention is further described in detail through the drawings and the embodiments.
Drawings
The accompanying drawings are included to provide a further understanding of the invention and are incorporated in and constitute a part of this specification, illustrate the invention and together with the embodiments of the invention, serve to explain the invention. In the drawings:
FIG. 1 is a schematic diagram of the steps of a pipeline arrangement method based on simulation technique according to the present invention;
FIG. 2 is a schematic diagram of steps of a method for obtaining a simulation model by pipeline arrangement based on a simulation technique according to the present invention;
FIG. 3 is a schematic diagram of the steps of the method for obtaining a pipeline constant data parameter list and a pipeline inspection result data list according to the present invention.
Detailed Description
The preferred embodiments of the present invention will be described below with reference to the accompanying drawings, it being understood that the preferred embodiments described herein are for illustration and explanation of the present invention only, and are not intended to limit the present invention.
The invention provides a pipeline arrangement method based on a simulation technology, which is shown in figure 1 and comprises the following steps:
s1: acquiring a simulation model for pipeline arrangement based on a simulation model large database;
s2: based on big data, extracting to obtain pipeline historical data, wherein the pipeline historical data comprises a pipeline fixed variable data parameter list and a pipeline inspection result data list;
s3: carrying out pipeline arrangement based on the simulation model and the pipeline fixed variable data parameter list, carrying out pipeline arrangement correction by combining the pipeline inspection result data list, generating a pipeline arrangement scheme and a scheme identification data set, and storing the scheme and the scheme identification data set into a pipeline arrangement scheme library;
s4: and matching the actual production plan data with the scheme identification data, and calling a pipeline arrangement scheme in the pipeline arrangement scheme library according to the matching result to realize pipeline arrangement.
The working principle of the technical scheme is as follows: s1: acquiring a simulation model for pipeline arrangement based on a simulation model large database;
s2: based on big data, extracting to obtain pipeline historical data, wherein the pipeline historical data comprises a pipeline fixed variable data parameter list and a pipeline inspection result data list;
s3: carrying out pipeline arrangement based on the simulation model and the pipeline fixed variable data parameter list, carrying out pipeline arrangement correction by combining the pipeline inspection result data list, generating a pipeline arrangement scheme and a scheme identification data set, and storing the scheme and the scheme identification data set into a pipeline arrangement scheme library;
s4: and matching the actual production plan data with the scheme identification data, and calling a pipeline arrangement scheme in the pipeline arrangement scheme library according to the matching result to realize pipeline arrangement.
The beneficial effects of the technical scheme are as follows: by adopting the scheme provided by the embodiment, the simulation scheme library is established by utilizing the simulation technology, and the arrangement of the production line is realized by calling the simulation scheme, so that the management and planning level of the production line can be improved, and the resource integration and overall utilization of personnel, equipment and products are facilitated.
In one embodiment, as shown in fig. 2, S1 includes:
s101: acquiring a plurality of simulation models for pipeline arrangement, and generating a first simulation model set;
s102: obtaining a plurality of simulation models with the usage amount larger than a preset usage amount threshold value from the first simulation model set to obtain a second simulation model set;
s103: obtaining a plurality of simulation models with evaluation values larger than a preset evaluation value threshold value from the second simulation model set to obtain a third simulation model set;
s104: and acquiring a plurality of simulation models with the simulation degree of the simulation model larger than a preset simulation degree threshold value from the third simulation model set to obtain the simulation model.
The working principle of the technical scheme is as follows: s1 comprises the following steps:
s101: acquiring a plurality of simulation models for pipeline arrangement, and generating a first simulation model set;
s102: obtaining a plurality of simulation models with the usage amount larger than a preset usage amount threshold value from the first simulation model set to obtain a second simulation model set;
s103: obtaining a plurality of simulation models with evaluation values larger than a preset evaluation value threshold value from the second simulation model set to obtain a third simulation model set;
s104: and acquiring a plurality of simulation models with the simulation degree of the simulation model larger than a preset simulation degree threshold value from the third simulation model set to obtain the simulation model.
The beneficial effects of the technical scheme are as follows: by adopting the scheme provided by the embodiment, the simulation model is screened layer by utilizing the usage amount, the evaluation value and the simulation degree, so that the screening precision of the simulation model can be improved.
In one embodiment, as shown in fig. 3, S2 includes:
s201: acquiring a production line production data statistical table and a production line spot inspection result statistical table;
s202: based on a preset first data extraction template, quantitative data parameters and variable data parameters are extracted from a production data statistics table, and a pipeline quantitative variable data parameter list is obtained; the pipeline constant variable data parameter list comprises a quantitative data parameter list and a variable data parameter list;
s203: based on a preset second data extraction template, extracting point inspection unqualified data and fault data from a pipeline point inspection result statistical table to obtain a pipeline inspection result data list; the pipeline inspection result data list comprises a spot inspection disqualified data list and a fault data list.
The working principle of the technical scheme is as follows: s2 comprises the following steps:
s201: acquiring a production line production data statistical table and a production line spot inspection result statistical table;
s202: based on a preset first data extraction template, quantitative data parameters and variable data parameters are extracted from a production data statistics table, and a pipeline quantitative variable data parameter list is obtained; the pipeline constant variable data parameter list comprises a quantitative data parameter list and a variable data parameter list;
s203: based on a preset second data extraction template, extracting point inspection unqualified data and fault data from a pipeline point inspection result statistical table to obtain a pipeline inspection result data list; the pipeline inspection result data list comprises a spot inspection disqualified data list and a fault data list.
The beneficial effects of the technical scheme are as follows: by adopting the scheme provided by the embodiment, the data parameters for pipeline arrangement are extracted through the pipeline production data statistical table and the pipeline point detection result statistical table, so that the accuracy of pipeline arrangement can be improved.
In one embodiment, S3 comprises:
s301: based on the quantitative data parameter list and the variable data parameter list, simulating pipeline arrangement by using a simulation model to generate a plurality of pipeline arrangement schemes;
s302: obtaining a production efficiency value of a pipeline arrangement scheme, reserving the production efficiency value which accords with a preset threshold range of the production efficiency value, and generating a first production efficiency value array;
s303: acquiring a negative influence value of pipeline inspection result data on the generation efficiency, and correcting the production efficiency value in the first production efficiency value array based on the negative influence value to obtain a corrected production efficiency value array;
s304: and summarizing and correcting the pipeline arrangement scheme corresponding to the production efficiency value array to generate a pipeline arrangement scheme library.
The working principle of the technical scheme is as follows: s3 comprises the following steps:
s301: based on the quantitative data parameter list and the variable data parameter list, simulating pipeline arrangement by using a simulation model to generate a plurality of pipeline arrangement schemes;
s302: obtaining a production efficiency value of a pipeline arrangement scheme, reserving the production efficiency value which accords with a preset threshold range of the production efficiency value, and generating a first production efficiency value array;
s303: acquiring a negative influence value of pipeline inspection result data on the generation efficiency, and correcting the production efficiency value in the first production efficiency value array based on the negative influence value to obtain a corrected production efficiency value array;
s304: and summarizing and correcting the pipeline arrangement scheme corresponding to the production efficiency value array to generate a pipeline arrangement scheme library.
The beneficial effects of the technical scheme are as follows: with the scheme provided in this embodiment, a scheme for pipeline arrangement can be provided by generating a pipeline arrangement scheme library.
In one embodiment, S303 comprises:
s3031: based on the spot inspection unqualified data list and the fault data list, analyzing and acquiring a class item influence value and a class item influence weight value thereof which negatively influence the generation efficiency;
s3032: performing product operation on the class item influence values and the class item influence weight values, and accumulating to generate negative influence values;
s3033: screening negative influence values with the negative influence value larger than a negative influence value threshold, correcting and matching calculation standards based on the preset negative influence value and the production efficiency value, and correcting the production efficiency value to obtain a first corrected production efficiency value;
s3034: reserving the first corrected production efficiency value which accords with the preset second production efficiency value threshold range, and generating a corrected production efficiency value array.
The working principle of the technical scheme is as follows: s303 includes:
s3031: based on the spot inspection unqualified data list and the fault data list, analyzing and acquiring a class item influence value and a class item influence weight value thereof which negatively influence the generation efficiency;
s3032: performing product operation on the class item influence values and the class item influence weight values, and accumulating to generate negative influence values;
s3033: screening negative influence values with the negative influence value larger than a negative influence value threshold, correcting and matching calculation standards based on the preset negative influence value and the production efficiency value, and correcting the production efficiency value to obtain a first corrected production efficiency value;
s3034: reserving the first corrected production efficiency value which accords with the preset second production efficiency value threshold range, and generating a corrected production efficiency value array.
The beneficial effects of the technical scheme are as follows: by adopting the scheme provided by the embodiment, the accuracy of the production efficiency value can be improved through correcting the production efficiency value.
In one embodiment, S3 further comprises:
s305: creating a pipeline arrangement scheme identifier by adopting a combination naming mode, wherein the identifier name comprises at least one quantitative data parameter and one fixed variable data parameter;
s306: establishing a matching relation between a pipeline arrangement scheme identifier and a pipeline arrangement scheme;
s307: based on the matching relationship, the identifier data set corresponding to the pipeline arrangement scheme is followed.
The working principle of the technical scheme is as follows: s3 further comprises:
s305: creating a pipeline arrangement scheme identifier by adopting a combination naming mode, wherein the identifier name comprises at least one quantitative data parameter and one fixed variable data parameter;
s306: establishing a matching relation between a pipeline arrangement scheme identifier and a pipeline arrangement scheme;
s307: based on the matching relationship, the identifier data set corresponding to the pipeline arrangement scheme is followed.
The beneficial effects of the technical scheme are as follows: by adopting the scheme provided by the embodiment, the identifier is established for the pipeline arrangement scheme, so that convenience is provided for later retrieval and calling.
In one embodiment, S4 comprises:
s401: acquiring actual quantitative data parameters in an actual production plan;
s402: according to the actual quantitative data parameters, searching corresponding scheme identifiers in the identifier data set, and according to the scheme identifiers, calling corresponding pipeline arrangement schemes to realize pipeline arrangement;
s403: if the corresponding scheme identifier cannot be retrieved in the identifier dataset according to the actual quantitative data parameter, two scheme identifiers corresponding to two quantitative data parameters adjacent to the actual quantitative data parameter are called, two pipeline arrangement schemes corresponding to the two scheme identifiers are called, and one pipeline arrangement scheme with larger simulation degree is selected for pipeline arrangement.
The working principle of the technical scheme is as follows: s4 comprises the following steps:
s401: acquiring actual quantitative data parameters in an actual production plan;
s402: according to the actual quantitative data parameters, searching corresponding scheme identifiers in the identifier data set, and according to the scheme identifiers, calling corresponding pipeline arrangement schemes to realize pipeline arrangement;
s403: if the corresponding scheme identifier cannot be retrieved in the identifier dataset according to the actual quantitative data parameter, two scheme identifiers corresponding to two quantitative data parameters adjacent to the actual quantitative data parameter are called, two pipeline arrangement schemes corresponding to the two scheme identifiers are called, and one pipeline arrangement scheme with larger simulation degree is selected for pipeline arrangement.
The beneficial effects of the technical scheme are as follows: by adopting the scheme provided by the embodiment, the scheme for arranging the pipeline is selected according to the actual quantitative data parameters in the actual production plan, so that the accuracy of arranging the pipeline can be improved.
In one embodiment, S4 further comprises:
acquiring an actual result of pipeline arrangement, and comparing the actual result with a simulation result of a simulation arrangement scheme; if the two results are consistent, marking the corresponding simulation layout scheme as a first marking;
if the two results are inconsistent, checking the pipeline inspection result data, and if a point inspection unqualified data list or fault data exists, performing result correction on the pipeline arrangement actual result; if the point detection unqualified data list or the fault data does not exist, correcting the simulation degree of the pipeline arrangement scheme, and marking the corrected pipeline arrangement scheme as a second mark;
summarizing simulation layout schemes corresponding to the first labels and the second labels, and generating a simulation layout scheme update library.
The working principle of the technical scheme is as follows: s4 further comprises:
acquiring an actual result of pipeline arrangement, and comparing the actual result with a simulation result of a simulation arrangement scheme; if the two results are consistent, marking the corresponding simulation layout scheme as a first marking;
if the two results are inconsistent, checking the pipeline inspection result data, and if a point inspection unqualified data list or fault data exists, performing result correction on the pipeline arrangement actual result; if the point detection unqualified data list or the fault data does not exist, correcting the simulation degree of the pipeline arrangement scheme, and marking the corrected pipeline arrangement scheme as a second mark;
summarizing simulation layout schemes corresponding to the first labels and the second labels, and generating a simulation layout scheme update library.
The beneficial effects of the technical scheme are as follows: by adopting the scheme provided by the embodiment, the simulation layout scheme with high simulation degree can be further screened out by generating the simulation layout scheme update library, so that the later use is facilitated.
In one embodiment, the method further comprises S5, wherein the simulation model with the largest screening simulation degree is fixedly used for pipeline arrangement, and the specific steps are as follows:
s501: dividing the working process of the assembly line into a plurality of time periods, obtaining data deviation values of simulation results and actual results of each time period, and summarizing to obtain a first data deviation total value H1
S502: obtaining bottleneck data deviation value H of simulation result and actual result of pipeline bottleneck2
S503: the first data deviation total value H1 Bottleneck data offset value H2 Respectively weighting and summing to obtain a total deviation value of the simulation analog data; if the deviation total value of the simulation data is smaller than a preset deviation threshold value, reserving a corresponding first simulation arrangement scheme;
s504: and carrying out a plurality of pipeline arrangement tests by using the first simulation arrangement scheme, and fixing the simulation arrangement scheme for pipeline arrangement if the probability value of the arrangement simulation degree being the preset maximum value is larger than the preset probability threshold value.
The working principle of the technical scheme is as follows: s5, the simulation model with the largest screening simulation degree is fixedly used for arranging a production line, and the specific steps are as follows:
s501: dividing the working process of the assembly line into a plurality of time periods, obtaining data deviation values of simulation results and actual results of each time period, and summarizing to obtain a first data deviation total value H1
S502: obtaining bottleneck data deviation value H of simulation result and actual result of pipeline bottleneck2
S503: the first data deviation total value H1 Bottleneck data offset value H2 Respectively weighting and summing to obtain a total deviation value of the simulation analog data; if the deviation total value of the simulation data is smaller than a preset deviation threshold value, reserving a corresponding first simulation arrangement scheme;
s504: and carrying out a plurality of pipeline arrangement tests by using the first simulation arrangement scheme, and fixing the simulation arrangement scheme for pipeline arrangement if the probability value of the arrangement simulation degree being the preset maximum value is larger than the preset probability threshold value.
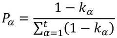
In the process of determining the weight, a modified entropy weight method is adopted to determine a first data deviation total value H1 Weights of data deviation values of simulation results and actual results of the included time periods, and bottleneck data deviation value H2 The weight of (2) is calculated as:
Figure BDA0003947290190000131
in the above, Pα The weight value corresponding to the alpha-th data deviation value is represented, and t is the total number of the data deviation values; 1-kα And the utility value corresponding to the alpha-th data deviation value is represented, wherein the utility value is used for representing the influence degree of the data deviation value on the weight value, and the larger the utility value is, the larger the influence degree of the data deviation value on the weight value is represented.
The beneficial effects of the technical scheme are as follows: by adopting the scheme provided by the embodiment, the fixability of the simulation layout scheme can be improved by selecting the simulation layout scheme fixedly used for the assembly line layout, so that the simulation efficiency is improved; the accuracy of the weight value determination can be ensured by adopting an improved entropy weight method to determine the weight value and introducing a utility value.
In one embodiment, the method further comprises S6, wherein the method comprises the following specific steps of:
s601: storing simulation result data into a blank SQL database;
s602: selecting a plurality of attribute features to form a metadata data set based on the attribute features of the simulation result data statistics table;
s603: setting SQL query sentences based on metadata in the metadata data set;
s604: and carrying out statistical analysis on simulation result data according to the pipeline arrangement requirement by utilizing SQL query sentences, and outputting the simulation result data in a statistical table or a statistical graph.
The working principle of the technical scheme is as follows: s6, storing and displaying simulation result data, wherein the method comprises the following specific steps:
s601: storing simulation result data into a blank SQL database;
s602: selecting a plurality of attribute features to form a metadata data set based on the attribute features of the simulation result data statistics table;
s603: setting SQL query sentences based on metadata in the metadata data set;
s604: and carrying out statistical analysis on simulation result data according to the pipeline arrangement requirement by utilizing SQL query sentences, and outputting the simulation result data in a statistical table or a statistical graph.
The beneficial effects of the technical scheme are as follows: by adopting the scheme provided by the embodiment, the screening of the simulation scheme is facilitated through the statistical analysis and the storage and display of the simulation result data.
It will be apparent to those skilled in the art that various modifications and variations can be made to the present invention without departing from the spirit or scope of the invention. Thus, it is intended that the present invention also include such modifications and alterations insofar as they come within the scope of the appended claims or the equivalents thereof.

Claims (10)

1. A pipeline arrangement method based on a simulation technology, comprising the steps of:
s1: acquiring a simulation model for pipeline arrangement based on a simulation model large database;
s2: based on big data, extracting to obtain pipeline historical data, wherein the pipeline historical data comprises a pipeline fixed variable data parameter list and a pipeline inspection result data list;
s3: carrying out pipeline arrangement based on the simulation model and the pipeline fixed variable data parameter list, carrying out pipeline arrangement correction by combining the pipeline inspection result data list, generating a pipeline arrangement scheme and a scheme identification data set, and storing the scheme and the scheme identification data set into a pipeline arrangement scheme library;
s4: and matching the actual production plan data with the scheme identification data, and calling a pipeline arrangement scheme in the pipeline arrangement scheme library according to the matching result to realize pipeline arrangement.
2. The pipelining method based on simulation technique according to claim 1, wherein S1 comprises:
s101: acquiring a plurality of simulation models for pipeline arrangement, and generating a first simulation model set;
s102: obtaining a plurality of simulation models with the usage amount larger than a preset usage amount threshold value from the first simulation model set to obtain a second simulation model set;
s103: obtaining a plurality of simulation models with evaluation values larger than a preset evaluation value threshold value from the second simulation model set to obtain a third simulation model set;
s104: and acquiring a plurality of simulation models with the simulation degree of the simulation model larger than a preset simulation degree threshold value from the third simulation model set to obtain the simulation model.
3. The pipelining method based on the simulation technique according to claim 1, wherein S2 comprises:
s201: acquiring a production line production data statistical table and a production line spot inspection result statistical table;
s202: based on a preset first data extraction template, quantitative data parameters and variable data parameters are extracted from a production data statistics table, and a pipeline quantitative variable data parameter list is obtained; the pipeline constant variable data parameter list comprises a quantitative data parameter list and a variable data parameter list;
s203: based on a preset second data extraction template, extracting point inspection unqualified data and fault data from a pipeline point inspection result statistical table to obtain a pipeline inspection result data list; the pipeline inspection result data list comprises a spot inspection disqualified data list and a fault data list.
4. A pipeline orchestration method based on simulation techniques according to claim 3, wherein S3 comprises:
s301: based on the quantitative data parameter list and the variable data parameter list, simulating pipeline arrangement by using a simulation model to generate a plurality of pipeline arrangement schemes;
s302: obtaining a production efficiency value of a pipeline arrangement scheme, reserving the production efficiency value which accords with a preset threshold range of the production efficiency value, and generating a first production efficiency value array;
s303: acquiring a negative influence value of pipeline inspection result data on the generation efficiency, and correcting the production efficiency value in the first production efficiency value array based on the negative influence value to obtain a corrected production efficiency value array;
s304: and summarizing and correcting the pipeline arrangement scheme corresponding to the production efficiency value array to generate a pipeline arrangement scheme library.
5. The pipeline arrangement method based on a simulation technique according to claim 4, wherein S303 comprises:
s3031: based on the spot inspection unqualified data list and the fault data list, analyzing and acquiring a class item influence value and a class item influence weight value thereof which negatively influence the generation efficiency;
s3032: performing product operation on the class item influence values and the class item influence weight values, and accumulating to generate negative influence values;
s3033: screening negative influence values with the negative influence value larger than a negative influence value threshold, correcting and matching calculation standards based on the preset negative influence value and the production efficiency value, and correcting the production efficiency value to obtain a first corrected production efficiency value;
s3034: reserving the first corrected production efficiency value which accords with the preset second production efficiency value threshold range, and generating a corrected production efficiency value array.
6. The pipeline arrangement method based on the simulation modeling technique according to claim 1, wherein S3 further comprises:
s305: creating a pipeline arrangement scheme identifier by adopting a combination naming mode, wherein the identifier name comprises at least one quantitative data parameter and one fixed variable data parameter;
s306: establishing a matching relation between a pipeline arrangement scheme identifier and a pipeline arrangement scheme;
s307: based on the matching relationship, the identifier data set corresponding to the pipeline arrangement scheme is followed.
7. The pipelining method based on the simulation technique according to claim 1, wherein S4 comprises:
s401: acquiring actual quantitative data parameters in an actual production plan;
s402: according to the actual quantitative data parameters, searching corresponding scheme identifiers in the identifier data set, and according to the scheme identifiers, calling corresponding pipeline arrangement schemes to realize pipeline arrangement;
s403: if the corresponding scheme identifier cannot be retrieved in the identifier dataset according to the actual quantitative data parameter, two scheme identifiers corresponding to two quantitative data parameters adjacent to the actual quantitative data parameter are called, two pipeline arrangement schemes corresponding to the two scheme identifiers are called, and one pipeline arrangement scheme with larger simulation degree is selected for pipeline arrangement.
8. The pipeline arrangement method based on the simulation modeling technique according to claim 1, wherein S4 further comprises:
acquiring an actual result of pipeline arrangement, and comparing the actual result with a simulation result of a simulation arrangement scheme; if the two results are consistent, marking the corresponding simulation layout scheme as a first marking;
if the two results are inconsistent, checking the pipeline inspection result data, and if a point inspection unqualified data list or fault data exists, performing result correction on the pipeline arrangement actual result; if the point detection unqualified data list or the fault data does not exist, correcting the simulation degree of the pipeline arrangement scheme, and marking the corrected pipeline arrangement scheme as a second mark;
summarizing simulation layout schemes corresponding to the first labels and the second labels, and generating a simulation layout scheme update library.
9. The pipeline arranging method based on the simulation technology according to claim 8, further comprising the steps of S5, screening a simulation model with the largest simulation degree for pipeline arranging, wherein the simulation model is fixedly used for pipeline arranging, and the specific steps are as follows:
s501: dividing the working process of the assembly line into a plurality of time periods, obtaining data deviation values of simulation results and actual results of each time period, and summarizing to obtain a first data deviation total value H1
S502: obtaining bottleneck data deviation value H of simulation result and actual result of pipeline bottleneck2
S503: the first data deviation total value H1 Bottleneck data offset value H2 Respectively weighting and summing to obtain a total deviation value of the simulation analog data; if the deviation total value of the simulation data is smaller than a preset deviation threshold value, reserving a corresponding first simulation arrangement scheme;
s504: and carrying out a plurality of pipeline arrangement tests by using the first simulation arrangement scheme, and fixing the simulation arrangement scheme for pipeline arrangement if the probability value of the arrangement simulation degree being the preset maximum value is larger than the preset probability threshold value.
10. The pipeline arrangement method based on the simulation technology according to claim 1, further comprising S6, storing and displaying simulation result data, wherein the specific steps are as follows:
s601: storing simulation result data into a blank SQL database;
s602: selecting a plurality of attribute features to form a metadata data set based on the attribute features of the simulation result data statistics table;
s603: setting SQL query sentences based on metadata in the metadata data set;
s604: and carrying out statistical analysis on simulation result data according to the pipeline arrangement requirement by utilizing SQL query sentences, and outputting the simulation result data in a statistical table or a statistical graph.
CN202211442852.7A2022-11-172022-11-17Pipeline arrangement method based on simulation technologyActiveCN116150946B (en)

Priority Applications (1)

Application NumberPriority DateFiling DateTitle
CN202211442852.7ACN116150946B (en)2022-11-172022-11-17Pipeline arrangement method based on simulation technology

Applications Claiming Priority (1)

Application NumberPriority DateFiling DateTitle
CN202211442852.7ACN116150946B (en)2022-11-172022-11-17Pipeline arrangement method based on simulation technology

Publications (2)

Publication NumberPublication Date
CN116150946Atrue CN116150946A (en)2023-05-23
CN116150946B CN116150946B (en)2023-09-22

Family

ID=86357198

Family Applications (1)

Application NumberTitlePriority DateFiling Date
CN202211442852.7AActiveCN116150946B (en)2022-11-172022-11-17Pipeline arrangement method based on simulation technology

Country Status (1)

CountryLink
CN (1)CN116150946B (en)

Citations (7)

* Cited by examiner, † Cited by third party
Publication numberPriority datePublication dateAssigneeTitle
US20030125915A1 (en)*2001-11-302003-07-03International Business Machines CorporationCount data access in a distributed simulation environment
CN104020676A (en)*2014-05-232014-09-03中原工学院Garment production line arrangement method based on analogue simulation technology
CN104615810A (en)*2015-01-202015-05-13北京航空航天大学Simulation model verification method based on functional data analysis
CN109375601A (en)*2018-11-132019-02-22华中科技大学 Pipeline planning method and equipment based on data-driven modeling and simulation optimization
CN111625919A (en)*2019-02-282020-09-04顺丰科技有限公司Design method and device of logistics simulation system
US20220014555A1 (en)*2015-10-282022-01-13Qomplx, Inc.Distributed automated planning and execution platform for designing and running complex processes
CN114997584A (en)*2022-04-292022-09-02天津大学BIM visualization-based high arch dam construction full life cycle dynamic simulation analysis method

Patent Citations (7)

* Cited by examiner, † Cited by third party
Publication numberPriority datePublication dateAssigneeTitle
US20030125915A1 (en)*2001-11-302003-07-03International Business Machines CorporationCount data access in a distributed simulation environment
CN104020676A (en)*2014-05-232014-09-03中原工学院Garment production line arrangement method based on analogue simulation technology
CN104615810A (en)*2015-01-202015-05-13北京航空航天大学Simulation model verification method based on functional data analysis
US20220014555A1 (en)*2015-10-282022-01-13Qomplx, Inc.Distributed automated planning and execution platform for designing and running complex processes
CN109375601A (en)*2018-11-132019-02-22华中科技大学 Pipeline planning method and equipment based on data-driven modeling and simulation optimization
CN111625919A (en)*2019-02-282020-09-04顺丰科技有限公司Design method and device of logistics simulation system
CN114997584A (en)*2022-04-292022-09-02天津大学BIM visualization-based high arch dam construction full life cycle dynamic simulation analysis method

Also Published As

Publication numberPublication date
CN116150946B (en)2023-09-22

Similar Documents

PublicationPublication DateTitle
Tan et al.Combining multi-criteria decision making (MCDM) methods with building information modelling (BIM): A review
CN100568237C (en)Report template generation method and system in multidimensional enterprise software system
Mathew et al.Finding trends in software research
Abai et al.User requirement analysis in data warehouse design: a review
US20220327398A1 (en)Technology maturity judgment method and system based on science and technology data
CN101111835A (en) Automatic Default Dimension Selection in Multidimensional Enterprise Software Systems
CN105574788A (en)Competency label-based training providing method
CN108564198A (en)A kind of construction speed prediction technique and system based on Building Information Model
Blecic et al.How much past to see the future: a computational study in calibrating urban cellular automata
CN111078766A (en)Data warehouse model construction system and method based on multidimensional theory
CN104915897A (en)Computer implementation method for power grid planning evaluation service
CN112256681A (en)Air traffic control digital index application system and method
CN116485220A (en)Staff performance assessment method and device, electronic equipment and storage medium
CN117172549A (en)Construction budget generation method, construction budget generation system, terminal equipment and storage medium
CN119127856A (en) Data quality management method, system, storage medium and electronic device
CN116150946B (en)Pipeline arrangement method based on simulation technology
CN118586763B (en)Big data-based learning evaluation system and method
CN118964388A (en) A method and device for industry data query based on large model
CN112700146A (en)BIM model-based dynamic cost association method and system
CN118333439A (en)Intelligent evaluation method, system and equipment for government affair, work and supervision examination
CN106257506A (en)Three layers of associating of big data quantity prediction dynamically select optimal models method
Kumargazhanova et al.Analytical monitoring model of educational system
Oukil et al.A novel stakeholder-driven approach for objective hotel quality rating
LU600013B1 (en)Credit recognition and conversion management system for special tasks
YajuanFuzzy Evaluation of Teaching Quality in" Smart Classroom" with Application of Entropy Weight Coupled TOPSIS.

Legal Events

DateCodeTitleDescription
PB01Publication
PB01Publication
SE01Entry into force of request for substantive examination
SE01Entry into force of request for substantive examination
GR01Patent grant
GR01Patent grant

[8]ページ先頭

©2009-2025 Movatter.jp