Movatterモバイル変換


[0]ホーム

URL:


CN116150636B - Fault monitoring method and system for transmission module - Google Patents

Fault monitoring method and system for transmission module
Download PDF

Info

Publication number
CN116150636B
CN116150636BCN202310410291.0ACN202310410291ACN116150636BCN 116150636 BCN116150636 BCN 116150636BCN 202310410291 ACN202310410291 ACN 202310410291ACN 116150636 BCN116150636 BCN 116150636B
Authority
CN
China
Prior art keywords
transmission module
fault
sequence
state
module
Prior art date
Legal status (The legal status is an assumption and is not a legal conclusion. Google has not performed a legal analysis and makes no representation as to the accuracy of the status listed.)
Active
Application number
CN202310410291.0A
Other languages
Chinese (zh)
Other versions
CN116150636A (en
Inventor
许理浩
Current Assignee (The listed assignees may be inaccurate. Google has not performed a legal analysis and makes no representation or warranty as to the accuracy of the list.)
Suzhou Shangshun Technology Co ltd
Original Assignee
Smooth Machine Systems Co ltd
Priority date (The priority date is an assumption and is not a legal conclusion. Google has not performed a legal analysis and makes no representation as to the accuracy of the date listed.)
Filing date
Publication date
Application filed by Smooth Machine Systems Co ltdfiledCriticalSmooth Machine Systems Co ltd
Priority to CN202310410291.0ApriorityCriticalpatent/CN116150636B/en
Publication of CN116150636ApublicationCriticalpatent/CN116150636A/en
Application grantedgrantedCritical
Publication of CN116150636BpublicationCriticalpatent/CN116150636B/en
Activelegal-statusCriticalCurrent
Anticipated expirationlegal-statusCritical

Links

Images

Classifications

Landscapes

Abstract

The invention provides a fault monitoring method and system of a transmission module, which relate to the technical field of intelligent monitoring, and the method comprises the following steps: according to the fault type record data in the fault record data of the transmission module, clustering analysis is carried out on the working parameter state sequence of the transmission module, strict frequent sequence mining is carried out after the working parameter state sequence set of the transmission module is obtained, a fault real-time monitoring module is constructed, and according to the fault state baseline sequence of the transmission module and the trained working parameter state prediction model, a fault prediction module is constructed and is used for carrying out fault monitoring with the fault real-time monitoring module.

Description

Fault monitoring method and system for transmission module
Technical Field
The invention relates to the technical field of intelligent monitoring, in particular to a fault monitoring method and system of a transmission module.
Background
The transmission module refers to transmission systems in various motion systems, such as an automobile transmission system and a crane transmission system. Various faults of the transmission module can seriously affect the operation stability of the transmission system, so that fault monitoring of the transmission module is an important premise for ensuring stable operation of the transmission system.
At present, the main means for fault monitoring of a transmission system is to preset abnormal state values, monitor working state values in real time, and alarm and remove the faults when the abnormal state values are triggered so as to ensure timely monitoring and removal of the faults.
In summary, in the prior art, the failure monitoring of the transmission module is not enough in advance, so that the technical problem of untimely failure diagnosis of the transmission module is solved, the failure monitoring of the transmission module is performed, and the failure diagnosis efficiency of the transmission module is improved.
Disclosure of Invention
The application provides a fault monitoring method and system for a transmission module, which are used for solving the technical problems that in the prior art, the fault monitoring of the transmission module is insufficient in advance, so that the fault diagnosis of the transmission module is not timely.
In view of the above problems, the present application provides a fault monitoring method and system for a transmission module.
In a first aspect, the present application provides a fault monitoring method for a transmission module, the method including: acquiring transmission module fault record data, wherein the transmission module fault record data comprises a transmission module working parameter state sequence and fault type record data; performing cluster analysis on the working parameter state sequence of the transmission module according to the fault type record data to obtain a working parameter state sequence set of the transmission module; carrying out strict frequent sequence mining on the working parameter state sequence set of the transmission module to obtain a fault state baseline sequence of the transmission module; constructing a fault real-time monitoring module according to the transmission module fault state baseline sequence; training a working parameter state prediction model; constructing a fault prediction module according to the transmission module fault state baseline sequence and the working parameter state prediction model; and carrying out fault monitoring according to the fault real-time monitoring module and the fault prediction module.
In a second aspect, the present application provides a fault monitoring system for a transmission module, the system comprising: the system comprises a record data acquisition module, a transmission module fault detection module and a fault type detection module, wherein the record data acquisition module is used for acquiring transmission module fault record data, and the transmission module fault record data comprises a transmission module working parameter state sequence and fault type record data; the cluster analysis module is used for carrying out cluster analysis on the working parameter state sequence of the transmission module according to the fault type record data to obtain a working parameter state sequence set of the transmission module; the frequent sequence mining module is used for carrying out strict frequent sequence mining on the transmission module working parameter state sequence set to obtain a transmission module fault state baseline sequence; the first construction module is used for constructing a fault real-time monitoring module according to the transmission module fault state baseline sequence; the training module is used for training the working parameter state prediction model; the second construction module is used for constructing a fault prediction module according to the transmission module fault state baseline sequence and the working parameter state prediction model; the fault monitoring module is used for monitoring faults according to the fault real-time monitoring module and the fault prediction module.
One or more technical solutions provided in the present application have at least the following technical effects or advantages:
the utility model provides a fault monitoring method and system of transmission module relates to intelligent monitoring technical field, has solved among the prior art and has carried out fault monitoring's of transmission module the advance not enough for transmission module fault diagnosis untimely technical problem, has realized carrying out the prediction when transmission module fault monitoring, improves the diagnostic efficiency of transmission module's fault.
Drawings
Fig. 1 is a schematic flow chart of a fault monitoring method of a transmission module;
FIG. 2 is a schematic flow chart of a method for monitoring faults of a transmission module according to the present application;
FIG. 3 is a schematic flow chart of generating a baseline sequence of failure states of a transmission module in a failure monitoring method of the transmission module;
FIG. 4 is a schematic flow chart of optimizing the working parameter state prediction model in the fault monitoring method of the transmission module;
fig. 5 is a schematic structural diagram of a fault monitoring system of a transmission module.
Reference numerals illustrate: the system comprises a recorddata acquisition module 1, acluster analysis module 2, a frequentsequence mining module 3, a first construction module 4, atraining module 5, asecond construction module 6 and afault monitoring module 7.
Detailed Description
The utility model provides a fault monitoring method and system of transmission module for solve among the prior art fault monitoring's of transmission module advance not enough for transmission module fault diagnosis untimely technical problem.
Example 1.
As shown in fig. 1, an embodiment of the present application provides a fault monitoring method for a transmission module, where the method includes:
step S100: acquiring transmission module fault record data, wherein the transmission module fault record data comprises a transmission module working parameter state sequence and fault type record data;
specifically, the fault monitoring method of the transmission module is applied to a fault monitoring system of the transmission module, so that fault record data contained in the transmission module are required to be extracted in order to avoid the accuracy of fault monitoring of the transmission module in the later stage, the fault record data of the transmission module comprise a transmission module working parameter state sequence and fault type record data, the transmission module working state sequence refers to the change sequence of each parameter state of the transmission module in the operation process, the working parameters of the transmission module can comprise power parameters such as rotation speed, power and torque of each shaft in the transmission module, and the fault type record data can comprise fault data such as clutch faults, transmission faults, universal transmission device faults and drive axle faults in the transmission module, so that fault monitoring of the transmission module is realized in the later stage as an important reference basis.
Step S200: performing cluster analysis on the working parameter state sequence of the transmission module according to the fault type record data to obtain a working parameter state sequence set of the transmission module;
specifically, based on the obtained fault type record data, each parameter in the transmission module working parameter state sequence is subjected to cluster analysis, namely, fault level division is performed on any fault type in the fault type record data, the higher the fault level is, the higher the fault severity is, further, different fault types contained in the fault type record data are used as different types, cluster analysis is performed on the transmission module working parameter state sequence, the transmission module working parameters belonging to the same fault type are summarized, so that the parameters in the transmission module working parameter state sequence are subjected to cluster division, finally, the data subjected to fault level matching is performed on the clustered data according to the divided fault levels, and the transmission module working parameter state sequence corresponding to the fault type after all fault level matching is completed is summarized and integrated, so that the transmission module working parameter state sequence set is acquired, and further, fault monitoring is guaranteed for the transmission module.
Step S300: carrying out strict frequent sequence mining on the working parameter state sequence set of the transmission module to obtain a fault state baseline sequence of the transmission module;
specifically, when fault monitoring is performed on the transmission module, a reference line exists for fault comparison and extraction, so that strict frequent sequence mining is required to be performed on the obtained transmission module working parameter state sequence set, namely, frequent item analysis is performed on any one parameter in the transmission module working parameter state sequence set, the frequent item analysis refers to extracting and recording frequently occurring elements in the transmission module working parameter state sequence set as frequent items on the basis of any one transmission module working parameter in the transmission module working parameter state sequence set, then frequent item analysis is performed on any one parameter in the transmission module working parameter state sequence set, the parameters extracted randomly for the second time are different from the parameters extracted at other times, and finally all obtained frequent items are fused through iteration, so that the transmission module fault state reference line sequence is generated, and the basis for fault monitoring and tamping of the transmission module is realized later.
Step S400: constructing a fault real-time monitoring module according to the transmission module fault state baseline sequence;
Specifically, based on the transmission module fault state baseline sequence, a plurality of transmission module fault state baselines contained in the transmission module fault state baseline sequence are extracted, the different transmission module fault state baselines correspond to judging benchmarks of different fault states, if the similarity of the two transmission module fault state baselines exceeds 60%, the transmission module is considered to possibly fail, so that transmission module fault monitoring nodes are required to be arranged at corresponding positions of the transmission modules, further, all the transmission module fault monitoring nodes are collected, and the collected collection of all the nodes is recorded as a fault real-time monitoring module so as to serve as reference data when the transmission module is subjected to fault monitoring in the later period.
Step S500: training a working parameter state prediction model;
specifically, because the transmission module has the possibility of faults in different working stages, the faults are monitored more accurately, the working state of the transmission module is required to be predicted, firstly, the current working parameter state sequence of the transmission module is cut according to time nodes of time sequence, meanwhile, the time required by different working states of the transmission module is predicted and set, further, the set predicted time and the working state of the transmission module after cutting are used as construction data based on a cyclic neural network, the working parameter state prediction model is subjected to supervision training, verification and test, the construction of the working parameter state prediction model is completed, and the fault monitoring of the transmission module is realized.
Step S600: constructing a fault prediction module according to the transmission module fault state baseline sequence and the working parameter state prediction model;
specifically, the transmission module fault state baseline sequence obtained by carrying out strict frequent sequence mining on the transmission module working parameter state sequence set is taken as a basis, the transmission module fault prediction module is constructed on the basis of the trained working parameter state prediction model, the working state of the current transmission module is firstly input into the working parameter state prediction model, so that the working parameter of the current transmission module is predicted, the working prediction parameter of the transmission module is obtained, further, the obtained working prediction parameter is subjected to data matching with the transmission module fault state baseline sequence, if the working prediction parameter is successfully matched with the data in the transmission module fault state baseline sequence, the transmission module in a prediction period is regarded as a normal state, if the working prediction parameter is unsuccessfully matched with the data in the transmission module fault state baseline sequence, the transmission module in a prediction period is regarded as an abnormal state, namely, the transmission module possibly breaks down when working continuously, and the construction of the fault prediction module of the transmission module is completed, and the effect of predicting the fault of the transmission module according to the working prediction parameter of the transmission module is achieved.
Step S700: and carrying out fault monitoring according to the fault real-time monitoring module and the fault prediction module.
Specifically, in order to improve the accuracy of fault detection of the transmission module, on the basis of a fault real-time monitoring module constructed according to a transmission module fault state baseline sequence and a fault prediction module constructed according to a transmission module fault state baseline sequence and an operating parameter state prediction model, fault monitoring is performed on the transmission module, and the current operating state of the transmission module is also monitored in real time while the fault prediction is performed on the operating state of the transmission module, so that the probability of faults occurring in a prediction period and the timeliness of monitoring when the current transmission module breaks down are reduced, real-time monitoring and prediction of faults of the transmission module are realized, and further the operating efficiency of the transmission module is improved.
Further, as shown in fig. 2, step S200 of the present application further includes:
step S210: performing fault level division on any fault type according to the fault type record data, and obtaining a fault level division result;
step S220: performing cluster analysis on the working parameter state sequence of the transmission module according to the fault type to obtain a primary clustering result of the working parameter state sequence of the transmission module;
Step S230: and carrying out cluster analysis on the primary clustering result of the working parameter state sequence of the transmission module based on the fault level dividing result to obtain the working parameter state sequence set of the transmission module of any fault level of any fault type.
Specifically, on the basis of fault type record data in the fault record data of the transmission module, the fault type is extracted, which can include different fault types such as clutch fault type, transmission fault type, universal transmission fault type, drive axle fault type and the like, further, one fault type is extracted from the fault types included in the fault type record data, in the fault type, the fault level is divided according to the influence on the transmission module, the higher the fault level is, the greater the influence on the transmission module is, the higher the fault severity is, thereby obtaining a fault level division result, further, cluster analysis is carried out on the working parameter state sequence of the transmission module based on the divided fault types, the working parameters of the transmission module belonging to the same fault type are summarized, thereby carrying out cluster division on the parameters in the working parameter state sequence of the transmission module, further, a primary cluster result of the working parameter state sequence of the transmission module is obtained, the fault type correspondingly divided in the primary cluster result of the working parameter state sequence of the transmission module is divided according to the fault level, finally, the fault level is obtained, the working parameter of the transmission module is integrated with the working parameter of the transmission module after the fault level is divided into any important state sequence, and the working parameter of the transmission module is integrated, and the important state is integrated, and the transmission module is integrated.
Further, as shown in fig. 3, step S300 of the present application further includes:
step S310: acquiring a state sequence set of working parameters of the transmission module at any fault level of any fault type;
step S320: carrying out frequent item analysis on the state sequence set of the working parameters of the transmission module to obtain a frequent item set;
step S330: carrying out k frequent item analysis on the state sequence set of the working parameters of the transmission module to obtain k frequent sequence sets;
step S340: and fusing the one frequent item set and the two frequent sequence sets until the k frequent sequence sets to generate the transmission module fault state baseline sequence.
Specifically, firstly, based on the transmission module working parameter state sequence set of any fault level of any fault type obtained, carrying out a frequent item analysis on one transmission module working parameter in the transmission module working parameter state sequence set, namely setting a frequency threshold according to the number of sequences contained in the transmission module working parameter state sequence set, recording the frequency minimum value of the transmission module working parameter state as a frequency threshold, further carrying out a frequent item analysis on the transmission module working parameter state sequence set within the range of the frequency threshold, extracting the working parameter state frequently appearing therein and recording the working parameter state as a frequent item, thereby obtaining a frequent item set, carrying out k frequent item analysis on the transmission module working parameter state sequence set on the basis, carrying out k frequent item sequence set, wherein k is a positive integer larger than 2, iterating the steps, and after each one of the transmission module working parameter state sequence sets is subjected to the frequent item analysis, carrying out a frequent item set and a two-item sequence until the k frequent item sequence is subjected to the frequent item analysis, and the two-item sequence is subjected to the frequent item sequence fusion, and the data sequence is fused, and the frequent item sequence is fused. And then, putting the data in the first frequent item set and the second frequent sequence set until the k frequent sequence sets into a fusion sequence according to the sequence, and recording the fusion sequence as a transmission module fault state baseline sequence for outputting, so as to ensure that the fault of the transmission module is better predicted in the later stage.
Further, step S320 of the present application includes:
step S321: setting a frequency threshold according to the sequence number of the state sequence set of the working parameters of the transmission module, wherein the frequency threshold represents the minimum value of the sequence number when the single state characteristic value is regarded as frequent;
step S322: and carrying out a frequent item analysis on the state sequence set of the working parameters of the transmission module according to the one frequent item threshold value to obtain the one frequent item set.
Specifically, after counting the number of sequences included in the working parameter state sequence set of the driving module, setting a frequency threshold on the basis of the number of sequences, wherein the frequency threshold represents the minimum number of sequences appearing when the single state characteristic value is regarded as frequent, if any one working parameter state appears in one sequence, the minimum number of frequency appearing in any one working parameter state is recorded as one time, and when the working parameter state is larger than or equal to the minimum number of times of the working parameter state appearing in the corresponding number of sequences, the current working parameter state is regarded as frequent, further, carrying out a frequent item analysis on the working parameter state sequence set of the driving module within the range of the set frequency threshold, extracting all frequent items conforming to the frequency threshold, summarizing and integrating the frequent items, and recording as a frequent item set to achieve more accurate prediction on faults of the driving module based on the one frequent item set.
Further, step S340 of the present application includes:
step S341: acquiring a transmission module unified state sequence, wherein the transmission module unified state sequence is a state sequence which is necessary for the transmission module to work;
step S342: traversing the one frequent item set and the two frequent sequence sets according to the transmission module unified state sequence until the k frequent sequence sets are deleted, and obtaining one frequent item set cleaning result and two frequent sequence set cleaning results until the k frequent sequence sets are cleaned;
step S343: constructing a transmission module fault state sequence matrix according to the one frequent item set cleaning result and the two frequent sequence set cleaning results until the k frequent sequence set cleaning result, wherein the response relation of elements in the transmission module fault state sequence matrix to the transmission module fault state is OR;
step S344: and setting the transmission module fault state sequence matrix as the transmission module fault state baseline sequence.
Specifically, in order to obtain the transmission module fault state baseline sequence, firstly, the unified state sequence of the current transmission module is required to be extracted, the transmission module unified state sequence refers to a state sequence which is necessarily generated in the process of working of the transmission module, namely, the normal state of the transmission module in the working process, further, on the basis of the transmission module unified state sequence, one frequent item set and two frequent item set are traversed and deleted until k frequent item set are reached, namely, one frequent item set and two frequent item set are traversed and deleted until each node in the k frequent item set is reached, and meanwhile, the transmission module unified state contained in each node is deleted, the data of the transmission module in the normal working state of each node in the frequent item set is removed, the abnormal data in the one frequent item set and the two frequent item set are reserved until the k frequent item set are recorded, so that the deleted data is recorded as one frequent item set cleaning result, the two frequent item set cleaning result until the k frequent item set cleaning result, and a transmission fault state matrix is established through functions, for example, the transmission module is a fault matrix is established, the transmission module can be in response to the fault matrix, and the transmission module can be in the transmission module fault state is in the random state, and the transmission module can be in the transmission module fault matrix is in the transmission module fault state, and the transmission module fault matrix is fault state-responding to the transmission module, and the transmission module is fault state fault matrix has the fault state, so as to ensure the high efficiency in predicting the failure of the transmission module.
Further, step S400 of the present application further includes:
step S410: extracting a plurality of transmission module fault state baselines according to the transmission module fault state baseline sequence;
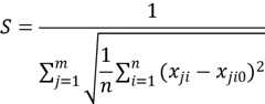
step S420: setting a similarity evaluation function:
Figure SMS_1
wherein S represents the similarity between any state to be monitored and any transmission module fault state base line,
Figure SMS_2
characteristic value of the state i index representing the j-th time sequence of any one of the states to be monitored,/->
Figure SMS_3
Characterizing the characteristic value of the state ith index corresponding to the j-th time sequence of the state to be monitored in the fault state base line of any transmission module, and (I)>
Figure SMS_4
Representing the total number of state indexes of the j-th time sequence in the fault state base line of any one transmission module, wherein m represents the total number of time sequences of the fault state base line of any one transmission module;
step S430: inputting the fault state baselines of the plurality of transmission modules into the similarity evaluation function for assignment, setting a similarity early warning threshold value, and constructing a plurality of transmission module fault monitoring nodes;
step S440: and merging the input layers of the fault monitoring nodes of the plurality of transmission modules to obtain the fault real-time monitoring module.
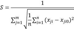
Specifically, extracting a group of fault state baselines of the transmission module, wherein a is a positive integer greater than 1, included in the fault state baselines of the transmission module, obtaining a plurality of fault state baselines of the transmission module, and further inputting the extracted fault state baselines of the transmission module into a similarity evaluation function to perform assignment, wherein the similarity evaluation function has the following formula:
Figure SMS_5
Wherein,,s represents the similarity between any state to be monitored and any fault state base line of the transmission module,
Figure SMS_6
characteristic value of the state i index representing the j-th time sequence of any one of the states to be monitored,/->
Figure SMS_7
Characterizing the characteristic value of the state ith index corresponding to the j-th time sequence of the state to be monitored in the fault state base line of any transmission module, and (I)>
Figure SMS_8
Representing the total number of state indexes of the j-th time sequence in the fault state base line of any one transmission module, wherein m represents the total number of time sequences of the fault state base line of any one transmission module;
firstly, setting a similarity early warning threshold value, substituting a transmission module fault state base lines into a similarity evaluation function to evaluate the similarity, and if the similarity of the a transmission module fault state base lines exceeds 60%, considering that the current transmission module is likely to fail, so that transmission module fault monitoring nodes are required to be arranged at corresponding positions of the transmission modules, and constructing a plurality of transmission module fault monitoring nodes is completed.
Furthermore, the input layers in the constructed multiple transmission module fault monitoring nodes are combined in a level mode, all data enter the combined input layers again and then pass through all the constructed transmission module fault monitoring nodes, and on the basis, all the transmission module fault monitoring nodes after the input layers are combined are recorded as fault real-time monitoring modules, so that the technical effect of accurately predicting faults of the transmission modules is achieved.
Further, as shown in fig. 4, step S500 of the present application further includes:
step S510: performing time sequence cutting on the transmission module working parameter state sequence to obtain a to-be-processed transmission module working parameter state sample sequence and an to-be-output transmission module working parameter state sample sequence;
step S520: acquiring a plurality of set prediction time lengths, and performing time sequence cutting on the working parameter state sample sequence of the transmission module to be output to acquire a cutting result of the working parameter state sample sequence of the transmission module to be output;
step S530: training the working parameter state prediction model based on a cyclic neural network according to the working parameter state sample sequence of the transmission module to be processed and the set prediction time lengths;
step S540: and optimizing the working parameter state prediction model according to the cutting result of the working parameter state sample sequence of the transmission module to be output.
Specifically, the current transmission module working parameter state sequence is subjected to time sequence cutting according to time nodes of time sequence, the transmission module working parameter state sample sequence to be processed and the transmission module working parameter state sample sequence to be output are obtained according to the cutting sequence, the transmission module working parameter state sample sequence to be processed refers to a sequence of all working parameter states when unprocessed projects exist in the working process of the transmission module according to the time sequence, the transmission module working parameter state sample sequence to be output refers to a sequence of all working parameter states when unprocessed projects exist in the working process of the transmission module according to the time sequence, simultaneously, the time lengths required by different working states of the transmission module are predicted and set, then the transmission module working parameter state sample sequence to be output is subjected to time sequence cutting, namely, the sequence of all working parameter states contained in the processed projects is subjected to time sequence cutting according to the set predicted time length, and the sequence is recorded as a cutting result of the transmission module working parameter state sample sequence to be output.
Further, based on the cyclic neural network, the working parameter state sample sequence of the transmission module to be processed and a plurality of set prediction durations are used as construction data, the working parameter state prediction model is subjected to supervision training, verification and test, the working parameter state prediction model is obtained through training of a training data set and a supervision data set, each group of training data in the training data set comprises the working parameter state sample sequence of the transmission module to be processed and the plurality of set prediction durations, and the supervision data set is one-to-one supervision data corresponding to the training data set. And inputting each group of training data in the training data set into the working parameter state prediction model, outputting and supervising the working parameter state prediction model through the supervising data corresponding to the group of training data, finishing the current group of training when the output result of the working parameter state prediction model is consistent with the supervising data, finishing all training data in the training data set, and finishing the training of the working parameter state prediction model.
In order to ensure the accuracy of the working parameter state prediction model, the working parameter state prediction model may be tested by the test data set, for example, the test accuracy may be set to 85%, and when the test accuracy of the test data set satisfies 85%, the working parameter state prediction model is constructed.
Finally, on the basis of a cutting result of a working parameter state sample sequence of the transmission module to be output, the constructed working parameter state prediction model is adjusted and optimized, the cutting sequence in the cutting result of the working parameter state sample sequence of the transmission module to be output is used as reference data, and the working parameter state sample sequence of the transmission module to be processed is subjected to time length adjustment on the basis of a plurality of preset prediction time lengths, so that the transmission module can better plan unprocessed projects in the working process, and the effect of avoiding faults of the transmission module in the working process of the projects is achieved.
Example 2.
Based on the same inventive concept as the fault monitoring method of a transmission module in the foregoing embodiment, as shown in fig. 5, the present application provides a fault monitoring system of a transmission module, where the system includes:
the system comprises a recorddata acquisition module 1, a transmission module and a transmission module, wherein the recorddata acquisition module 1 is used for acquiring transmission module fault record data, and the transmission module fault record data comprises a transmission module working parameter state sequence and fault type record data;
thecluster analysis module 2 is used for carrying out cluster analysis on the working parameter state sequence of the transmission module according to the fault type record data to obtain a working parameter state sequence set of the transmission module;
The frequentsequence mining module 3 is used for carrying out strict frequent sequence mining on the transmission module working parameter state sequence set to obtain a transmission module fault state baseline sequence;
the first construction module 4 is used for constructing a fault real-time monitoring module according to the transmission module fault state baseline sequence;
thetraining module 5 is used for training the working parameter state prediction model;
thesecond construction module 6 is used for constructing a fault prediction module according to the transmission module fault state baseline sequence and the working parameter state prediction model;
thefault monitoring module 7 is used for monitoring faults according to the fault real-time monitoring module and the fault prediction module.
Further, the system further comprises:
the fault level dividing module is used for dividing the fault level of any fault type according to the fault type record data and obtaining a fault level dividing result;
the first cluster analysis module is used for carrying out cluster analysis on the working parameter state sequence of the transmission module according to the fault type to obtain a primary cluster result of the working parameter state sequence of the transmission module;
And the second cluster analysis module is used for carrying out cluster analysis on the primary clustering result of the working parameter state sequences of the transmission module based on the fault level division result to obtain the working parameter state sequence set of the transmission module of any fault level of any fault type.
Further, the system further comprises:
the first set acquisition module is used for acquiring the state sequence set of the working parameters of the transmission module at any fault level of any fault type;
the second set acquisition module is used for carrying out frequent item analysis on the state sequence set of the working parameters of the transmission module to acquire a frequent item set;
the first frequent item analysis module is used for carrying out k frequent item analyses on the transmission module working parameter state sequence set to obtain k frequent sequence sets;
and the fusion module is used for fusing the one frequent item set and the two frequent sequence sets until the k frequent sequence sets to generate the transmission module fault state baseline sequence.
Further, the system further comprises:
the frequency threshold setting module is used for setting a frequency threshold according to the sequence number of the transmission module working parameter state sequence set, wherein the frequency threshold represents the minimum sequence number when the single state characteristic value is regarded as frequent;
and the second frequent item analysis module is used for carrying out one-item frequent item analysis on the transmission module working parameter state sequence set according to the one-item frequent item threshold value to acquire the one-item frequent item set.
Further, the system further comprises:
the sequence acquisition module is used for acquiring a transmission module unified state sequence, wherein the transmission module unified state sequence is a state sequence which is necessary for the transmission module to work;
the cleaning result acquisition module is used for traversing the one frequent item set and the two frequent sequence sets according to the transmission module unified state sequence until the k frequent sequence sets are deleted, and acquiring one frequent item set cleaning result and two frequent sequence set cleaning results until the k frequent sequence sets are cleaned;
The matrix construction module is used for constructing a transmission module fault state sequence matrix according to the one frequent item set cleaning result and the two frequent sequence set cleaning results until the k frequent sequence set cleaning result, wherein the response relation of elements in the transmission module fault state sequence matrix to the transmission module fault state is OR;
and the sequence setting module is used for setting the transmission module fault state sequence matrix as the transmission module fault state baseline sequence.
Further, the system further comprises:
the baseline extraction module is used for extracting a plurality of transmission module fault state baselines according to the transmission module fault state baseline sequence;
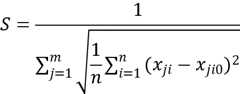
and the evaluation function module is used for setting a similarity evaluation function:
Figure SMS_9
wherein S represents the similarity between any state to be monitored and any transmission module fault state base line,
Figure SMS_10
characteristic value of the state i index representing the j-th time sequence of any one of the states to be monitored,/->
Figure SMS_11
Characterizing the characteristic value of the state ith index corresponding to the j-th time sequence of the state to be monitored in the fault state base line of any transmission module, and (I) >
Figure SMS_12
Representing the total number of state indexes of the j-th time sequence in the fault state base line of any one transmission module, wherein m represents the total number of time sequences of the fault state base line of any one transmission module;
the assignment module is used for inputting the fault state baselines of the plurality of transmission modules into the similarity evaluation function to carry out assignment, setting a similarity early warning threshold value and constructing a plurality of transmission module fault monitoring nodes;
and the input module is used for merging the input layers of the plurality of transmission module fault monitoring nodes to obtain the fault real-time monitoring module.
Further, the system further comprises:
the first time sequence cutting module is used for time sequence cutting of the working parameter state sequence of the transmission module, and obtaining a working parameter state sample sequence of the transmission module to be processed and a working parameter state sample sequence of the transmission module to be output;
the second time sequence cutting module is used for obtaining a plurality of set prediction time lengths, performing time sequence cutting on the working parameter state sample sequence of the transmission module to be output, and obtaining a cutting result of the working parameter state sample sequence of the transmission module to be output;
The model training module is used for training the working parameter state prediction model based on a cyclic neural network according to the working parameter state sample sequence of the transmission module to be processed and the plurality of set prediction duration;
and the tuning module is used for tuning the working parameter state prediction model according to the cutting result of the working parameter state sample sequence of the transmission module to be output.
The foregoing detailed description of a fault monitoring method for a transmission module will be clear to those skilled in the art, and the device disclosed in this embodiment is relatively simple to describe, and the relevant places refer to the method part for description.
The previous description of the disclosed embodiments is provided to enable any person skilled in the art to make or use the present application. Various modifications to these embodiments will be readily apparent to those skilled in the art, and the generic principles defined herein may be applied to other embodiments without departing from the spirit or scope of the application. Thus, the present application is not intended to be limited to the embodiments shown herein but is to be accorded the widest scope consistent with the principles and novel features disclosed herein.

Claims (7)

1. A method for fault monitoring of a transmission module, comprising:
acquiring transmission module fault record data, wherein the transmission module fault record data comprises a transmission module working parameter state sequence and fault type record data;
performing cluster analysis on the working parameter state sequence of the transmission module according to the fault type record data to obtain a working parameter state sequence set of the transmission module;
carrying out strict frequent sequence mining on the working parameter state sequence set of the transmission module to obtain a fault state baseline sequence of the transmission module;
constructing a fault real-time monitoring module according to the transmission module fault state baseline sequence;
training a working parameter state prediction model;
constructing a fault prediction module according to the transmission module fault state baseline sequence and the working parameter state prediction model;
performing fault monitoring according to the fault real-time monitoring module and the fault prediction module;
wherein, according to transmission module fault state baseline sequence, constitute trouble real-time supervision module, include:
extracting a plurality of transmission module fault state baselines according to the transmission module fault state baseline sequence;
Setting a similarity evaluation function:
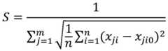
Figure FDA0004266107720000011
wherein S represents the similarity between any state to be monitored and any transmission module fault state base line, and xji Characteristic value, x of state ith index representing jth time sequence of any state to be monitoredji0 Representing the characteristic value of a state ith index corresponding to a jth time sequence of a state to be monitored in a fault state base line of any one transmission module, wherein n represents the total number of state indexes of the jth time sequence in the fault state base line of any one transmission module, and m represents the total number of time sequences of the fault state base line of any one transmission module;
inputting the fault state baselines of the plurality of transmission modules into the similarity evaluation function for assignment, setting a similarity early warning threshold value, and constructing a plurality of transmission module fault monitoring nodes;
and merging the input layers of the fault monitoring nodes of the plurality of transmission modules to obtain the fault real-time monitoring module.
2. The method for monitoring faults of a transmission module according to claim 1, wherein the step of performing cluster analysis on the transmission module operating parameter state sequence according to the fault type record data to obtain a transmission module operating parameter state sequence set comprises the steps of:
performing fault level division on any fault type according to the fault type record data, and obtaining a fault level division result;
Performing cluster analysis on the working parameter state sequence of the transmission module according to the fault type to obtain a primary clustering result of the working parameter state sequence of the transmission module;
and carrying out cluster analysis on the primary clustering result of the working parameter state sequence of the transmission module based on the fault level dividing result to obtain the working parameter state sequence set of the transmission module of any fault level of any fault type.
3. The method for monitoring faults of a transmission module according to claim 1, wherein the step of performing strict frequent sequence mining on the set of transmission module operating parameter state sequences to obtain a transmission module fault state baseline sequence comprises the steps of:
acquiring a state sequence set of working parameters of the transmission module at any fault level of any fault type;
carrying out frequent item analysis on the state sequence set of the working parameters of the transmission module to obtain a frequent item set;
carrying out k frequent item analysis on the state sequence set of the working parameters of the transmission module to obtain k frequent sequence sets;
and fusing the one frequent item set and the two frequent sequence sets until the k frequent sequence sets to generate the transmission module fault state baseline sequence.
4. A method for fault monitoring of a transmission module as claimed in claim 3, wherein the step of performing a frequent item analysis on the set of transmission module operating parameter state sequences to obtain a set of frequent items comprises:
setting a frequency threshold according to the sequence number of the state sequence set of the working parameters of the transmission module, wherein the frequency threshold represents the minimum value of the sequence number when the single state characteristic value is regarded as frequent;
and carrying out a frequent item analysis on the state sequence set of the working parameters of the transmission module according to the one frequent item threshold value to obtain the one frequent item set.
5. The method for monitoring faults of a transmission module according to claim 3, wherein the step of fusing the one frequent item set and the two frequent sequence sets until the k frequent sequence sets to generate the transmission module fault state baseline sequence comprises the following steps:
acquiring a transmission module unified state sequence, wherein the transmission module unified state sequence is a state sequence which is necessary for the transmission module to work;
traversing the one frequent item set and the two frequent sequence sets according to the transmission module unified state sequence until the k frequent sequence sets are deleted, and obtaining one frequent item set cleaning result and two frequent sequence set cleaning results until the k frequent sequence sets are cleaned;
Constructing a transmission module fault state sequence matrix according to the one frequent item set cleaning result and the two frequent sequence set cleaning results until the k frequent sequence set cleaning result, wherein the response relation of elements in the transmission module fault state sequence matrix to the transmission module fault state is OR;
and setting the transmission module fault state sequence matrix as the transmission module fault state baseline sequence.
6. The method of claim 1, wherein training the operational parameter state prediction model comprises:
performing time sequence cutting on the transmission module working parameter state sequence to obtain a to-be-processed transmission module working parameter state sample sequence and an to-be-output transmission module working parameter state sample sequence;
acquiring a plurality of set prediction time lengths, and performing time sequence cutting on the working parameter state sample sequence of the transmission module to be output to acquire a cutting result of the working parameter state sample sequence of the transmission module to be output;
training the working parameter state prediction model based on a cyclic neural network according to the working parameter state sample sequence of the transmission module to be processed and the set prediction time lengths;
And optimizing the working parameter state prediction model according to the cutting result of the working parameter state sample sequence of the transmission module to be output.
7. A fault monitoring system for a transmission module, comprising:
the system comprises a record data acquisition module, a transmission module fault detection module and a fault type detection module, wherein the record data acquisition module is used for acquiring transmission module fault record data, and the transmission module fault record data comprises a transmission module working parameter state sequence and fault type record data;
the cluster analysis module is used for carrying out cluster analysis on the working parameter state sequence of the transmission module according to the fault type record data to obtain a working parameter state sequence set of the transmission module;
the frequent sequence mining module is used for carrying out strict frequent sequence mining on the transmission module working parameter state sequence set to obtain a transmission module fault state baseline sequence;
the first construction module is used for constructing a fault real-time monitoring module according to the transmission module fault state baseline sequence;
the training module is used for training the working parameter state prediction model;
The second construction module is used for constructing a fault prediction module according to the transmission module fault state baseline sequence and the working parameter state prediction model;
the fault monitoring module is used for carrying out fault monitoring according to the fault real-time monitoring module and the fault prediction module;
the baseline extraction module is used for extracting a plurality of transmission module fault state baselines according to the transmission module fault state baseline sequence;
and the evaluation function module is used for setting a similarity evaluation function:
Figure FDA0004266107720000051
wherein S represents the similarity between any state to be monitored and any transmission module fault state base line, and xji Characteristic value, x of state ith index representing jth time sequence of any state to be monitoredji0 Representing the characteristic value of a state ith index corresponding to a jth time sequence of a state to be monitored in a fault state base line of any one transmission module, wherein n represents the total number of state indexes of the jth time sequence in the fault state base line of any one transmission module, and m represents the total number of time sequences of the fault state base line of any one transmission module;
the assignment module is used for inputting the fault state baselines of the plurality of transmission modules into the similarity evaluation function to carry out assignment, setting a similarity early warning threshold value and constructing a plurality of transmission module fault monitoring nodes;
And the input module is used for merging the input layers of the plurality of transmission module fault monitoring nodes to obtain the fault real-time monitoring module.
CN202310410291.0A2023-04-182023-04-18Fault monitoring method and system for transmission moduleActiveCN116150636B (en)

Priority Applications (1)

Application NumberPriority DateFiling DateTitle
CN202310410291.0ACN116150636B (en)2023-04-182023-04-18Fault monitoring method and system for transmission module

Applications Claiming Priority (1)

Application NumberPriority DateFiling DateTitle
CN202310410291.0ACN116150636B (en)2023-04-182023-04-18Fault monitoring method and system for transmission module

Publications (2)

Publication NumberPublication Date
CN116150636A CN116150636A (en)2023-05-23
CN116150636Btrue CN116150636B (en)2023-07-07

Family

ID=86354576

Family Applications (1)

Application NumberTitlePriority DateFiling Date
CN202310410291.0AActiveCN116150636B (en)2023-04-182023-04-18Fault monitoring method and system for transmission module

Country Status (1)

CountryLink
CN (1)CN116150636B (en)

Citations (2)

* Cited by examiner, † Cited by third party
Publication numberPriority datePublication dateAssigneeTitle
CN110297178A (en)*2018-05-112019-10-01宫文峰Diesel generating set fault diagnosis and detection device and method based on deep learning
CN114057053A (en)*2022-01-182022-02-18杭州浅水数字技术有限公司Method for monitoring fatigue degree of component of special machine

Family Cites Families (4)

* Cited by examiner, † Cited by third party
Publication numberPriority datePublication dateAssigneeTitle
CN108600000A (en)*2018-04-122018-09-28咪咕文化科技有限公司Fault prediction method, server and computer storage medium
CN114327964A (en)*2020-10-102022-04-12腾讯科技(深圳)有限公司Method, device, equipment and storage medium for processing fault reasons of service system
CN112800686A (en)*2021-03-292021-05-14国网江西省电力有限公司电力科学研究院Transformer DGA online monitoring data abnormal mode judgment method
CN113342597B (en)*2021-05-312022-04-29武汉大学System fault prediction method based on Gaussian mixture hidden Markov model

Patent Citations (2)

* Cited by examiner, † Cited by third party
Publication numberPriority datePublication dateAssigneeTitle
CN110297178A (en)*2018-05-112019-10-01宫文峰Diesel generating set fault diagnosis and detection device and method based on deep learning
CN114057053A (en)*2022-01-182022-02-18杭州浅水数字技术有限公司Method for monitoring fatigue degree of component of special machine

Also Published As

Publication numberPublication date
CN116150636A (en)2023-05-23

Similar Documents

PublicationPublication DateTitle
CN117235649B (en)Industrial equipment state intelligent monitoring system and method based on big data
CN109586239B (en) Real-time diagnosis and fault early warning method of intelligent substation
CN109948808A (en) Database construction method, fault diagnosis method and system for substation equipment fault case database
KR20180108446A (en)System and method for management of ict infra
CN110991668A (en) An analysis method of electric vehicle power battery monitoring data based on association rules
CN104363106A (en)Electric power information communication fault early warning analysis method based on big-data technique
CN118334563A (en) A method and system for detecting and analyzing abnormality of power equipment under monitoring environment
CN118376936B (en)Intelligent diagnosis method and system for lithium battery state
CN119249274A (en) An industrial equipment health monitoring and fault warning system based on edge computing
CN119863234A (en)Machine room equipment remote operation and maintenance management method and system based on Internet of things technology
CN116502043A (en)Finish rolling motor state analysis method based on isolated forest algorithm
CN116150636B (en)Fault monitoring method and system for transmission module
CN119026815A (en) System and method for constructing a large power data model for low-carbon power grid
CN114444616A (en)Sample library construction method, fault diagnosis method and device
CN117521084B (en)Active safety early warning method for complex system
CN118504426A (en)Electricity consumption management device of energy storage equipment
CN112147974A (en) An alarm root cause diagnosis method based on chemical process knowledge automation
CN116720983A (en)Power supply equipment abnormality detection method and system based on big data analysis
CN106487592A (en)A kind of Faults in Distributed Systems diagnostic method based on data cube
CN117648446B (en) A knowledge graph-based method for anomaly recognition and diagnosis of hydropower station monitoring events
CN118296565B (en)Power battery accident tracing management and control system based on data mining
CN116016146B (en) An industrial Internet fault diagnosis method based on digital twin and edge computing
CN120597135B (en) Reliability testing system for three-phase motors
CN118114884B (en) An automated equipment lean management system
Sun et al.Accurate anomaly interval recognition and fault classification by pattern mining and clustering

Legal Events

DateCodeTitleDescription
PB01Publication
PB01Publication
SE01Entry into force of request for substantive examination
SE01Entry into force of request for substantive examination
GR01Patent grant
GR01Patent grant
CP03Change of name, title or address
CP03Change of name, title or address

Address after:No. 199, Beihuan Road, Tangqiao town, Zhangjiagang City, Suzhou City, Jiangsu Province

Patentee after:Suzhou Shangshun Technology Co.,Ltd.

Country or region after:China

Address before:No. 199, Beihuan Road, Tangqiao town, Zhangjiagang City, Suzhou City, Jiangsu Province

Patentee before:SMOOTH MACHINE SYSTEMS Co.,Ltd.

Country or region before:China


[8]ページ先頭

©2009-2025 Movatter.jp