Movatterモバイル変換


[0]ホーム

URL:


CN116029558A - Tailing pond safety risk early warning method and device and electronic equipment - Google Patents

Tailing pond safety risk early warning method and device and electronic equipment
Download PDF

Info

Publication number
CN116029558A
CN116029558ACN202310309253.6ACN202310309253ACN116029558ACN 116029558 ACN116029558 ACN 116029558ACN 202310309253 ACN202310309253 ACN 202310309253ACN 116029558 ACN116029558 ACN 116029558A
Authority
CN
China
Prior art keywords
early warning
water level
minimum
pond
tailing pond
Prior art date
Legal status (The legal status is an assumption and is not a legal conclusion. Google has not performed a legal analysis and makes no representation as to the accuracy of the status listed.)
Pending
Application number
CN202310309253.6A
Other languages
Chinese (zh)
Inventor
梅国栋
孙文杰
谢旭阳
李坤
王莎
崔益源
王雅莉
王利岗
苏军
王伟象
卢尧
楚一帆
杜振斐
李垚萱
袁子清
Current Assignee (The listed assignees may be inaccurate. Google has not performed a legal analysis and makes no representation or warranty as to the accuracy of the list.)
BGRIMM Technology Group Co Ltd
Original Assignee
BGRIMM Technology Group Co Ltd
Priority date (The priority date is an assumption and is not a legal conclusion. Google has not performed a legal analysis and makes no representation as to the accuracy of the date listed.)
Filing date
Publication date
Application filed by BGRIMM Technology Group Co LtdfiledCriticalBGRIMM Technology Group Co Ltd
Priority to CN202310309253.6ApriorityCriticalpatent/CN116029558A/en
Publication of CN116029558ApublicationCriticalpatent/CN116029558A/en
Pendinglegal-statusCriticalCurrent

Links

Images

Classifications

Landscapes

Abstract

The invention provides a tailing pond safety risk early warning method, a tailing pond safety risk early warning device and electronic equipment, wherein the method comprises the following steps: acquiring water level early warning basic data of a tailing pond; wherein the base data comprises: tailings pond and the like, current pond water level, dam top elevation and sediment beach gradient; determining a minimum safe ultra-high limit value, a minimum dry beach length limit value and a minimum infiltration buried line depth according to tailings reservoirs and the like; calculating a reservoir water level early warning value under the influence of flood control factors based on the minimum safe ultra-high limit value and the minimum dry beach length limit value; calculating to obtain a reservoir water level early warning value under the influence of dam stability based on the minimum infiltration buried line depth; and determining a final tailing pond safety risk early warning threshold based on flood control factors and dam stability factors. According to the embodiment of the invention, the early warning value is determined by analyzing and comparing the multiple risk factors of the tailing pond, a comprehensive early warning index system of the tailing pond is established, the early warning trigger mechanism of the tailing pond is optimized, and the safety risk of the tailing pond is reduced.

Description

Tailing pond safety risk early warning method and device and electronic equipment
Technical Field
The invention relates to the technical field of tailing pond risk early warning, in particular to a tailing pond safety risk early warning method, a tailing pond safety risk early warning device and electronic equipment.
Background
In order to effectively prevent and solve the safety risk of the tailing pond, the tailing pond is basically provided with a manual or on-line monitoring system, risk factors which possibly influence the safety of the tailing pond such as flood control, dam stability and the like are monitored regularly or in real time, and once monitoring data are found abnormal, effective measures can be taken to eliminate potential safety hazards and prevent safety accidents. Along with the increasing progress of technology, the monitoring types of the on-line safety monitoring facilities of the tailing pond are continuously increased, including pond water level, infiltration buried line depth, dam body displacement, dry beach length, dry beach gradient, beach top elevation, rainfall, pore water pressure, osmotic water quantity and the like, the acquisition frequency and precision of monitoring instruments or equipment are also obviously improved, and along with the continuous development of big data technology, the mass monitoring data of different monitoring projects are effectively stored and processed. The conventional single early warning index is still adopted in the prior art for risk assessment and risk early warning of the tailing pond monitoring system, the early warning threshold is set more randomly, the influence of personal factors such as experience and level of technicians is serious, the unified standard and perfect scientific theoretical basis is lacking, the risk possibility and the risk quantity of each risk factor which possibly cause overtopping, dam break and various hidden danger accidents of the tailing pond are not analyzed and compared, the early warning threshold of each risk grade cannot be accurately divided and calibrated, the standard limit of the early warning grade of each risk factor is fuzzy, the importance of different risk factors and the cross influence relation among the risk factors cannot be reflected, and the single index cannot reflect the global safety risk condition and the risk contradiction salient point of the tailing pond.
Disclosure of Invention
The invention aims to provide a tailing pond safety risk early warning method, a tailing pond safety risk early warning device and electronic equipment, which are used for determining early warning values by analyzing and comparing a plurality of risk factors of the tailing pond, establishing a comprehensive tailing pond early warning index system, optimizing a tailing pond early warning trigger mechanism and reducing the safety risk of the tailing pond.
In a first aspect, an embodiment of the present invention provides a method for early warning of security risk in a tailing pond, including:
acquiring water level early warning basic data of a tailing pond; wherein the base data comprises: tailings pond and the like, current pond water level, dam top elevation and sediment beach gradient;
determining a minimum safe ultra-high limit value, a minimum dry beach length limit value and a minimum infiltration depth according to tailings reservoirs and the like;
calculating a reservoir water level early warning value under the influence of flood control factors based on the minimum safety ultra-high limit value and the minimum dry beach length limit value;
calculating a reservoir water level early warning value under the influence of dam stability based on the minimum infiltration buried line depth;
and determining a final tailing pond safety risk early warning threshold based on the flood control factors and the dam stability factors.
Further, the reservoir water level early warning value includes: red, orange, yellow and blue pre-warning thresholds; wherein the orange early warning threshold, the yellow early warning threshold and the blue early warning threshold are obtained based on the red early warning threshold.
Further, the step of determining the reservoir water level early warning value under the influence of the flood control factor based on the minimum safe ultra-high limit value and the minimum dry beach length limit value comprises the following steps:
obtaining flood control index parameters through an iterative algorithm;
determining the minimum safe superelevation through the current water level and the water level increase;
and obtaining the reservoir water level early warning value under the influence of the flood control factors based on the minimum safety.
Further, the step of determining the reservoir water level early warning value under the influence of the dam stability based on the minimum infiltration buried line depth comprises the following steps:
obtaining the minimum safety coefficient under the influence of the dam stability factor by a rigid body limit balance method;
determining the elevation of the water level of the critical warehouse based on the minimum safety coefficient;
and calculating the critical reservoir water level elevation to obtain a reservoir water level early warning value under the influence of the dam stability.
Further, the tailing pond safety risk early warning method comprises the following steps:
and determining the reservoir water level early warning value under the coupling effect based on the reservoir water level early warning value under the influence of the flood control factors and the reservoir water level early warning value under the influence of the dam stability.
Further, the tailing pond safety risk early warning method further comprises the following steps:
monitoring the momentum of the full risk factor affecting the tailing pond water level;
and determining a risk grade according to a preset judging standard to determine a full-factor risk early warning value.
In a second aspect, an embodiment of the present invention further provides a tailing pond security risk early warning device, including:
the acquisition module is used for acquiring water level early warning basic data of the tailing pond; wherein the base data comprises: tailings pond and the like, current pond water level, dam top elevation and sediment beach gradient;
the first determining module is used for determining the minimum safe ultra-high limit value, the minimum dry beach length limit value and the minimum infiltration buried line depth according to the tailings pond and the like;
the flood control warehouse water level module is used for determining a warehouse water level early warning value under the influence of flood control factors based on the minimum safety ultra-high limit value and the minimum dry beach length limit value;
the dam body reservoir water level module is used for determining reservoir water level early warning values under the influence of dam body stability based on the minimum infiltration buried line depth;
and the second determining module is used for determining a final tailing pond safety risk early warning threshold value based on the flood control factors, the dam stability factors and other data in the pond water level early warning basic data.
In a third aspect, an embodiment of the present invention further provides an electronic device, including a memory, and a processor, where the memory stores a computer program that can be run on the processor, and the processor implements the method of the first aspect when executing the computer program.
In a fourth aspect, embodiments of the present invention also provide a computer readable storage medium having stored thereon a computer program which, when executed by a processor, performs the method of the first aspect.
The embodiment of the invention provides a tailing pond safety risk early warning method, a tailing pond safety risk early warning device and electronic equipment, wherein the method comprises the following steps: acquiring water level early warning basic data of a tailing pond; wherein the base data comprises: tailings pond and the like, current pond water level, dam top elevation and sediment beach gradient; determining a minimum safe ultra-high limit value, a minimum dry beach length limit value and a minimum infiltration buried line depth according to tailings reservoirs and the like; calculating a reservoir water level early warning value under the influence of flood control factors based on the minimum safe ultra-high limit value and the minimum dry beach length limit value; calculating to obtain a reservoir water level early warning value under the influence of dam stability based on the minimum infiltration buried line depth; and determining a final tailing pond safety risk early warning threshold based on flood control factors and dam stability factors. According to the embodiment of the invention, the early warning value is determined by analyzing and comparing the multiple risk factors of the tailing pond, a comprehensive early warning index system of the tailing pond is established, the early warning trigger mechanism of the tailing pond is optimized, and the safety risk of the tailing pond is reduced.
In order to make the above objects, features and advantages of the present invention more comprehensible, preferred embodiments accompanied with figures are described in detail below.
Drawings
In order to more clearly illustrate the technical solutions of the embodiments of the present invention, the drawings that are necessary for the embodiments to be used are briefly described below, the drawings being incorporated in and forming a part of the description, these drawings showing embodiments according to the present invention and together with the description serve to illustrate the technical solutions of the present invention. It is to be understood that the following drawings illustrate only certain embodiments of the invention and are therefore not to be considered limiting of its scope, for the person of ordinary skill in the art may admit to other equally relevant drawings without inventive effort.
Fig. 1 shows a flow chart of a tailing pond security risk early warning method provided by an embodiment of the invention;
fig. 2 shows a schematic diagram of another tailing pond security risk early warning method according to an embodiment of the present invention;
fig. 3 shows a schematic diagram of each index parameter of a tailings pond provided by an embodiment of the present invention;
fig. 4 shows a schematic diagram of a tailings pond security risk early warning device provided by an embodiment of the present invention;
fig. 5 shows a schematic diagram of an electronic device according to an embodiment of the present invention.
Detailed Description
For the purpose of making the objects, technical solutions and advantages of the embodiments of the present invention more apparent, the technical solutions of the embodiments of the present invention will be clearly and completely described below with reference to the accompanying drawings in the embodiments of the present invention, and it is apparent that the described embodiments are only some embodiments of the present invention, not all embodiments. The components of the embodiments of the present invention generally described and illustrated in the figures herein may be arranged and designed in a wide variety of different configurations. Thus, the following detailed description of the embodiments of the invention, as presented in the figures, is not intended to limit the scope of the invention, as claimed, but is merely representative of selected embodiments of the invention. All other embodiments, which can be made by a person skilled in the art without making any inventive effort, are intended to be within the scope of the present invention.
It should be noted that: like reference numerals and letters denote like items in the following figures, and thus once an item is defined in one figure, no further definition or explanation thereof is necessary in the following figures.
The term "and/or" is used herein to describe only one relationship, meaning that there may be three relationships, e.g., a and/or B, which may mean: a exists alone, A and B exist together, and B exists alone. In addition, the term "at least one" herein means any one of a plurality or any combination of at least two of a plurality, for example, including at least one of A, B, C, and may mean including any one or more elements selected from the group consisting of A, B and C.
According to research, the conventional single early warning index is still adopted in the risk assessment and risk early warning technology of the existing tailing pond monitoring system, the early warning threshold is set more randomly, the influence of personal factors such as experience and level of technicians is serious, the unified standard and perfect scientific theoretical basis are lacked, the risk possibility and the risk quantity of each risk factor which possibly cause overtopping, dam break and various hidden danger accidents of the tailing pond are not analyzed and compared, the early warning threshold of each risk grade cannot be accurately divided and calibrated, the standard limit of the early warning grade of each risk factor is fuzzy, the importance of different risk factors and the cross influence relation among the risk factors cannot be reflected, and the single index cannot reflect the global safety risk condition and the risk contradiction salient point of the tailing pond.
Based on the research, the invention provides a tailing pond safety risk early warning method, a tailing pond safety risk early warning device and electronic equipment, wherein the method comprises the following steps: acquiring water level early warning basic data of a tailing pond; wherein the base data comprises: tailings pond and the like, current pond water level, dam top elevation and sediment beach gradient; determining a minimum safe ultra-high limit value, a minimum dry beach length limit value and a minimum infiltration buried line depth according to tailings reservoirs and the like; calculating a reservoir water level early warning value under the influence of flood control factors based on the minimum safe ultra-high limit value and the minimum dry beach length limit value; calculating to obtain a reservoir water level early warning value under the influence of dam stability based on the minimum infiltration buried line depth; and determining a final tailing pond safety risk early warning threshold based on flood control factors and dam stability factors. According to the embodiment of the invention, the early warning value is determined by analyzing and comparing the multiple risk factors of the tailing pond, a comprehensive early warning index system of the tailing pond is established, the early warning trigger mechanism of the tailing pond is optimized, and the safety risk of the tailing pond is reduced.
For the convenience of understanding the present embodiment, first, a detailed description will be given of a tailing pond security risk early warning method disclosed in the present embodiment, where an execution main body of the tailing pond security risk early warning method provided in the present embodiment is generally a computer device with a certain computing capability, where the computer device includes, for example: the terminal device, or server or other processing device, may be a User Equipment (UE), mobile device, user terminal, cellular telephone, cordless telephone, personal digital assistant (Personal Digital Assistant, PDA), handheld device, computing device, vehicle mounted device, wearable device, etc. In some possible implementations, the tailings pond security risk early warning method may be implemented by a processor calling computer readable instructions stored in a memory.
Referring to fig. 1, a flowchart of a tailing pond security risk early warning method provided by an embodiment of the present invention is shown, where the method includes steps S101 to S105, where:
step S101, obtaining water level early warning basic data of a tailing pond; wherein the base data comprises: tailings pond and the like, current pond water level, dam top elevation and sediment beach gradient;
specifically, referring to the basic data to be measured according to actual conditions, referring to fig. 2 and 3, fig. 2 is a schematic diagram of another tailing pond security risk early warning method provided by the embodiment of the invention; fig. 3 is a schematic diagram of each index parameter of the tailings pond provided by the embodiment of the present invention, and specifically, the basic data includes: the current reservoir water level is
Figure SMS_1
The elevation of the dam top or beach top is
Figure SMS_2
The gradient of the sedimentary beach is +.>
Figure SMS_3
According to the line Hong Guocheng->
Figure SMS_4
Drainage curve of flood drainage structure>
Figure SMS_5
Dam height flood regulating reservoir capacity curve
Figure SMS_6
Step S102, determining a minimum safe ultra-high limit value, a minimum dry beach length limit value and a minimum infiltration buried line depth according to a tailing pond and the like;
firstly, obtaining flood control index parameters through iterative trial calculation; the parameters may vary depending on the particular situation and are preset by human beings.
The iterative trial calculation adopts a water balance method to carry out flood regulating calculation; wherein the calculation time period step length of the water balance method is taken as
Figure SMS_7
The method comprises the steps of carrying out a first treatment on the surface of the Wherein, the water level step length of the water balance method is +.>
Figure SMS_8
Can be calculated according to the calculation accuracy requirement, such as + -0.001m; wherein the water level of the water tank is +.>
Figure SMS_9
Figure SMS_10
) The method comprises the steps of carrying out a first treatment on the surface of the Calculating to obtain flood control index parameters;
wherein, flood control index parameters are: minimum safe ultra-high calculated value
Figure SMS_13
Minimum dry beach length calculation value +.>
Figure SMS_17
The method comprises the steps of carrying out a first treatment on the surface of the Minimum safe ultra-high calculation value->
Figure SMS_20
The number of iterative steps is +.>
Figure SMS_14
Step, step (2); first->
Figure SMS_18
The convergence criterion of the calculation is that the minimum safe super-high obtained by calculation is +.>
Figure SMS_21
The method comprises the steps of carrying out a first treatment on the surface of the First->
Figure SMS_23
The tolerance of iterative calculation in the step can be set according to the calculation precision requirement; wherein the minimum dry beach length is +.>
Figure SMS_11
The number of iterative steps is +.>
Figure SMS_15
Step, step (2); wherein->
Figure SMS_19
The convergence criterion of the calculation is that the minimum length of the dry beach is +.>
Figure SMS_22
And simultaneously calculating the minimum safe extra-high +.>
Figure SMS_12
Wherein the first
Figure SMS_16
The tolerance of the iterative calculation of the steps can be set according to the calculation accuracy requirement.
And step S103, calculating to obtain a reservoir water level early warning value under the influence of flood control factors based on the minimum safe ultra-high limit value and the minimum dry beach length limit value.
Optionally, the reservoir water level early warning value includes: red, orange, yellow and blue pre-warning thresholds; the orange early warning threshold value, the yellow early warning threshold value and the blue early warning threshold value are obtained based on the red early warning threshold value.
Optionally, the step of determining the pre-warning value of the reservoir water level under the influence of the flood control factor based on the minimum safe ultra-high limit value and the minimum dry beach length limit value comprises the following steps:
obtaining flood control index parameters through an iterative algorithm;
determining the minimum safe superelevation through the current water level and the water level increase;
and obtaining a reservoir water level early warning value under the influence of flood control factors based on the minimum safety.
Determining a reservoir water level early warning index according to the flood control safety risk; wherein, the early warning index of the reservoir water level is the red early warning threshold value of the reservoir water level
Figure SMS_26
The method comprises the steps of carrying out a first treatment on the surface of the Wherein, the red early warning threshold value of the reservoir water level is +.>
Figure SMS_30
Calculated from the following formula: if->
Figure SMS_33
Then calculate the minimum safe extra high +.>
Figure SMS_27
Red, redThe color early warning threshold value is->
Figure SMS_29
The method comprises the steps of carrying out a first treatment on the surface of the Wherein the override coefficient->
Figure SMS_32
The value range of (2) is +.>
Figure SMS_35
The method comprises the steps of carrying out a first treatment on the surface of the If->
Figure SMS_24
Then calculate the minimum safe extra high +.>
Figure SMS_28
Red early warning threshold->
Figure SMS_31
The method comprises the steps of carrying out a first treatment on the surface of the Wherein the override coefficient->
Figure SMS_34
The value range of (2) is +.>
Figure SMS_25
Step S104, calculating and obtaining a reservoir water level early warning value under the influence of dam stability based on the minimum infiltration buried line depth;
optionally, the step of determining the reservoir water level early warning value under the influence of the dam stability based on the minimum infiltration buried line depth includes:
obtaining the minimum safety coefficient under the influence of the dam stability factor by a rigid body limit balance method;
determining the elevation of the water level of the critical warehouse based on the minimum safety coefficient;
and calculating the reservoir water level early warning value under the influence of the dam stability through the critical reservoir water level elevation.
The iterative trial calculation of the dam slope stability comprises the following steps: the dam slope stability calculation adopts a rigid body limit balance equation method to perform dam stability trial calculation; the initial reservoir water level of the dam slope stability iterative trial calculation is the current reservoir water level
Figure SMS_37
The method comprises the steps of carrying out a first treatment on the surface of the Water level step length of dam slope stability iterative trial calculation>
Figure SMS_43
The value can be taken according to the calculation precision requirement, such as +/-0.001 m; iterative pool water level for iterative trial calculation of dam slope stability is +.>
Figure SMS_46
Figure SMS_39
) The method comprises the steps of carrying out a first treatment on the surface of the The minimum safety coefficient obtained by calculation
Figure SMS_41
The number of iterative steps is +.>
Figure SMS_44
Step, step (2); first->
Figure SMS_47
The convergence criterion of the step calculation is the minimum safety coefficient obtained by calculation
Figure SMS_36
Figure SMS_42
For the minimum safety factor prescribed by the specification according to the tailings pond and the like>
Figure SMS_45
The method comprises the steps of carrying out a first treatment on the surface of the First->
Figure SMS_48
The water level of the step is
Figure SMS_38
The method comprises the steps of carrying out a first treatment on the surface of the First->
Figure SMS_40
The tolerance of the iterative calculation of the steps can be set according to the calculation accuracy requirement.
Specifically, the dam stability factor controlled reservoir waterThe step of establishing the bit early warning index comprises the following steps: determining the critical reservoir water level elevation of dam stability control; wherein, the critical reservoir water level elevation is calculated by the following formula,
Figure SMS_49
the method comprises the steps of carrying out a first treatment on the surface of the A red early warning threshold of the reservoir water level is determined according to the dam stability risk; wherein, the red early warning threshold value of the reservoir water level is +.>
Figure SMS_50
Calculated from the following formula:
Figure SMS_51
The method comprises the steps of carrying out a first treatment on the surface of the Wherein the override coefficient->
Figure SMS_52
The range of the values is as follows
Figure SMS_53
And step S105, determining a final tailing pond safety risk early warning threshold based on flood control factors and dam stability factors.
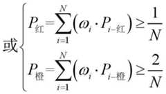
After flood control factor data and dam stability factor data are determined, analyzing and comparing a red early warning threshold value of the reservoir water level under the respective actions of the flood control factor and the dam stability factor; the reservoir water level red early warning threshold under the coupling effect takes the smaller value of the reservoir water level red early warning threshold controlled by the flood control factor and the reservoir water level red early warning threshold controlled by the dam stability factor; the red early warning threshold of the reservoir water level under the coupling effect is calculated by the following formula:
Figure SMS_54
the method comprises the steps of carrying out a first treatment on the surface of the The orange pre-warning threshold value of the reservoir water level under the coupling effect is calculated by the following formula:
Figure SMS_55
Figure SMS_56
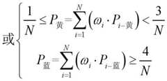
) The method comprises the steps of carrying out a first treatment on the surface of the The yellow color early warning threshold value of the reservoir water level under the coupling effect is calculated by the following formula:
Figure SMS_57
Figure SMS_58
) The method comprises the steps of carrying out a first treatment on the surface of the The blue pre-warning threshold of the reservoir water level under the coupling effect is calculated by the following formula:
Figure SMS_59
Figure SMS_60
)。
the steps of constructing the full-element risk factor set and setting the classification early warning threshold value specifically comprise the following steps of; identifying harmful risk factors of the tailing pond; establishing a risk factor and accident potential list set of various disasters or safety accidents which can cause the flood drainage facility damage and the like, such as overtopping of a tailing pond, dam break, tail sand leakage and the like; the risk factors and accident potential mainly include: reservoir water level [ ]
Figure SMS_63
) Infiltration line ()>
Figure SMS_66
) Length of dry beach (+)>
Figure SMS_69
) Slope of dry beach (+)>
Figure SMS_61
) Displacement of dam body (+)>
Figure SMS_65
) Rainfall (+)>
Figure SMS_68
) Elevation of dam top or beach top (+)>
Figure SMS_71
) Pore Water pressure (+)>
Figure SMS_64
) Osmotic Water quantity (+)>
Figure SMS_67
) Security check item (+)>
Figure SMS_70
) (including sub-items of reservoir area and periphery, dam body, flood drainage facility and monitoring facility, etc.); wherein the total number of the risk factors and accident potential categories is recorded as ++>
Figure SMS_72
Figure SMS_62
)。
The step of setting the total element risk factor set and the classification early warning threshold value further comprises the steps of; setting a pre-warning threshold of the reservoir water level according to the step of establishing a reservoir water level four-level pre-warning index under the coupling effect of the flood control factor and the dam stability factor; the four-level early warning threshold values of red, orange, yellow and blue of various risk factors except the water level of the tailing pond are set according to the actual conditions of the tailing pond and similar engineering experience, and each risk factor is subjected to qualitative and quantitative analysis and evaluation; the red early warning threshold of various risk factors except the water level of the warehouse should at least guarantee the minimum safety limit meeting the requirements of related specifications, and keep the safety enrichment factor greater than or equal to 1.0.
The step of setting the early warning level discrimination standard of the single risk factor comprises the following steps: determining a single risk factor by using the displacement of the dam body
Figure SMS_81
) For example, the four early warning thresholds of red, orange, yellow and blue are respectively marked as +.>
Figure SMS_74
Figure SMS_77
Figure SMS_75
Figure SMS_79
The method comprises the steps of carrying out a first treatment on the surface of the Counting dam body displacement of monitoring items of the tailing pond of the type (in the step of (a))>
Figure SMS_83
) The number of monitoring points of (2) is recorded as +.>
Figure SMS_87
The method comprises the steps of carrying out a first treatment on the surface of the Statistics of class->
Figure SMS_82
Monitoring data of the monitoring points; wherein the monitoring value of the risk factor of each monitoring point is +.>
Figure SMS_85
Figure SMS_73
) The method comprises the steps of carrying out a first treatment on the surface of the Wherein->
Figure SMS_78
The number of (2) is recorded as->
Figure SMS_86
The method comprises the steps of carrying out a first treatment on the surface of the Wherein->
Figure SMS_89
The number of (2) is recorded as->
Figure SMS_88
The method comprises the steps of carrying out a first treatment on the surface of the Wherein (1)>
Figure SMS_90
The number of (2) is recorded as->
Figure SMS_76
The method comprises the steps of carrying out a first treatment on the surface of the Wherein (1)>
Figure SMS_80
The number of (2) is recorded as
Figure SMS_84
Setting early warning level discrimination criteria of the single risk factors, namely setting four early warning discrimination criteria of red, orange, yellow and blue according to the following logic judgment and formula: if it is
Figure SMS_100
Or->
Figure SMS_94
Then the dam body is displaced (+)>
Figure SMS_96
) The early warning grade of (2) is red; if->
Figure SMS_91
And->
Figure SMS_95
Or->
Figure SMS_99
Then the dam body is displaced (+)>
Figure SMS_103
) The early warning grade of (2) is orange; if->
Figure SMS_102
And->
Figure SMS_106
And is also provided with
Figure SMS_92
Or->
Figure SMS_98
Then the dam body is displaced (+)>
Figure SMS_101
) The early warning grade of (2) is yellow; if->
Figure SMS_105
And->
Figure SMS_104
And->
Figure SMS_107
And is also provided with
Figure SMS_93
Then the dam body is displaced (+)>
Figure SMS_97
) The early warning level of (2) is blue.
The step of setting the early warning level discrimination standard of the single risk factor comprises the following steps: the same method and the discrimination criteria are adopted to sequentially determine the water level of the warehouse
Figure SMS_110
) Infiltration line ()>
Figure SMS_113
) Length of dry beach (+)>
Figure SMS_116
) Slope of dry beach (+)>
Figure SMS_109
) Rainfall amount
Figure SMS_111
) Beach top standard height (++>
Figure SMS_114
) Pore Water pressure (+)>
Figure SMS_117
) Osmotic Water quantity (+)>
Figure SMS_108
) Security check item (+)>
Figure SMS_112
) (including reservoir area and periphery, dam body, flood drainage facility and monitoring facility)>
Figure SMS_115
Figure SMS_118
) Single index early warning level of item risk factor.
The step of constructing the full-element risk factor risk assessment scale matrix and the weight vector comprises the following steps: for various risk factors
Figure SMS_119
Figure SMS_120
) Performing qualitative and quantitative risk analysis and evaluation; wherein, the risk analysis and evaluation content includes: and evaluating the influence of the monitoring value or the change value on the flood control safety, the permeability stability and the slope stability of the tailing pond, wherein the possibility of disasters such as overtopping, dam break, leakage, landslide and the like of the tailing pond can be caused, and the damage degree and the loss can be caused.
The step of constructing the full-element risk factor risk assessment scale matrix and the weight vector comprises the following steps: for various risk factors
Figure SMS_123
Figure SMS_126
) Comparing every two, and sequentially determining the comparison scale between every two according to the relative importance degree of the influence of the comparison scale on the safety of the tailing pond and the early warning grade classification; wherein the scale between every two is->
Figure SMS_129
Figure SMS_122
Figure SMS_125
Figure SMS_128
) Mark->
Figure SMS_131
Risk factors and->
Figure SMS_121
The relative importance of risk-like factors; wherein,,
Figure SMS_124
identify the corresponding->
Figure SMS_127
Risk factor pair->
Figure SMS_130
The relative importance of risk factors.
The step of constructing the full-element risk factor risk assessment scale matrix and the weight vector comprises the following steps: constructing a comparison judgment matrix; wherein the judgment matrix
Figure SMS_132
By comparison scale +.>
Figure SMS_133
The method is calculated by adopting the following formula:
Figure SMS_134
the step of constructing the full-element risk factor risk assessment scale matrix and the weight vector comprises the following steps: calculating a normalized judgment matrix; wherein the normalized judgment matrix
Figure SMS_135
From the judgment matrix->
Figure SMS_136
The method is calculated by adopting the following formula:
Figure SMS_137
the step of constructing the full-element risk factor risk assessment scale matrix and the weight vector comprises the following steps:
based on normalized judgment matrix
Figure SMS_138
The pseudo weight vector is calculated using the following formula>
Figure SMS_139
Figure SMS_140
The step of constructing the full-element risk factor risk assessment scale matrix and the weight vector comprises the following steps: calculating various risk factors
Figure SMS_141
Figure SMS_142
) Is +.>
Figure SMS_143
Wherein the normalized weight vector
Figure SMS_144
The calculation was performed using the following formula:
Figure SMS_145
The step of constructing the global early warning level discrimination criterion of the comprehensive all-element risk factors comprises the following steps: for various risk factors
Figure SMS_146
Figure SMS_147
) Performing binary marking on the early warning level of the (2); wherein, the water level is the water level of the reservoir (+)>
Figure SMS_148
) For example, its red warning->
Figure SMS_149
Orange early warning->
Figure SMS_150
Yellow early warning->
Figure SMS_151
Blue early warning->
Figure SMS_152
The four-stage early warning level is marked according to the following judgment logic and formula: />
Figure SMS_153
Figure SMS_154
Figure SMS_155
Figure SMS_156
The step of constructing the global early warning level discrimination criterion of the comprehensive all-element risk factors comprises the following steps: obtaining other various risk factors according to the method
Figure SMS_157
Four early warning grade marking values of red, orange, yellow and blue are respectively marked as +.>
Figure SMS_158
Figure SMS_159
Figure SMS_160
Figure SMS_161
,(
Figure SMS_162
)。
The step of constructing the global early warning level discrimination criterion of the comprehensive all-element risk factors comprises the following steps: the global red early warning grade discrimination criterion of the comprehensive full-factor risk factors is constructed, and discrimination is carried out by adopting the following discrimination logic and formula:
Figure SMS_163
the step of constructing the global early warning level discrimination criterion of the comprehensive all-element risk factors comprises the following steps: the global orange early warning grade discrimination criterion of the comprehensive all-element risk factors is constructed, and discrimination is carried out by adopting the following discrimination logic and formula:
Figure SMS_164
the step of constructing the global early warning level discrimination criterion of the comprehensive all-element risk factors comprises the following steps: the global yellow warning grade discrimination criterion of the comprehensive full-factor risk factors is constructed, and discrimination is carried out by adopting the following discrimination logic and formula:
Figure SMS_165
the step of constructing the global early warning level discrimination criterion of the comprehensive all-element risk factors comprises the following steps: the global blue early warning grade discrimination criterion of the comprehensive full-factor risk factors is constructed, and discrimination is carried out by adopting the following discrimination logic and formula:
Figure SMS_166
optionally, the reservoir water level early warning value under the coupling action is determined based on the reservoir water level early warning value under the influence of the flood control factors and the reservoir water level early warning value under the influence of the dam stability.
Optionally, monitoring the momentum of the full risk factor affecting the tailing pond water level;
and determining a risk grade according to a preset judging standard to determine a full-factor risk early warning value.
According to the tailing pond safety risk early warning method, the tailing pond safety risk early warning device and the electronic equipment, provided by the embodiment of the invention, the tailing pond water level early warning basic data are obtained; wherein the base data comprises: tailings pond and the like, current pond water level, dam top elevation and sediment beach gradient; determining a minimum safe ultra-high limit value, a minimum dry beach length limit value and a minimum infiltration buried line depth according to tailings reservoirs and the like; calculating a reservoir water level early warning value under the influence of flood control factors based on the minimum safe ultra-high limit value and the minimum dry beach length limit value; calculating to obtain a reservoir water level early warning value under the influence of dam stability based on the minimum infiltration buried line depth; and determining a final tailing pond safety risk early warning threshold based on flood control factors and dam stability factors. According to the embodiment of the invention, the early warning value is determined by analyzing and comparing the multiple risk factors of the tailing pond, a comprehensive early warning index system of the tailing pond is established, the early warning trigger mechanism of the tailing pond is optimized, and the safety risk of the tailing pond is reduced.
It will be appreciated by those skilled in the art that in the above-described method of the specific embodiments, the written order of steps is not meant to imply a strict order of execution but rather should be construed according to the function and possibly inherent logic of the steps.
Based on the same inventive concept, the embodiment of the invention also provides a tailing pond safety risk early warning device corresponding to the tailing pond safety risk early warning method, and because the principle of solving the problem by the device in the embodiment of the invention is similar to that of the tailing pond safety risk early warning method in the embodiment of the invention, the implementation of the device can be referred to the implementation of the method, and the repetition is omitted.
Referring to fig. 4, fig. 4 is a schematic diagram of a security risk early warning device for a tailing pond according to an embodiment of the present invention. As shown in fig. 4, a tailing pond security risk early warning device 400 provided by an embodiment of the present invention includes:
the acquisition module 401 is used for acquiring water level early warning basic data of the tailing pond; wherein the base data comprises: tailings pond and the like, current pond water level, dam top elevation and sediment beach gradient;
a first determining module 402, configured to determine a minimum safe ultra-high limit value, a minimum dry beach length limit value, and a minimum infiltration buried line depth according to a tailing pond and the like;
a flood control reservoir water level module 403, configured to determine a reservoir water level early warning value under the influence of a flood control factor based on a minimum safe ultra-high limit value and a minimum dry beach length limit value;
the dam body reservoir water level module 404 is configured to determine a reservoir water level early warning value under the influence of the stability of the dam body based on the minimum infiltration buried line depth;
the second determining module 405 is configured to determine a final tailing pond security risk early warning threshold based on the flood control factor, the dam stability factor, and other data in the pond water level early warning base data.
The process flow of each module in the apparatus and the interaction flow between the modules may be described with reference to the related descriptions in the above method embodiments, which are not described in detail herein.
According to the tailing pond safety risk early warning device provided by the embodiment of the invention, the tailing pond water level early warning basic data are obtained; wherein the base data comprises: tailings pond and the like, current pond water level, dam top elevation and sediment beach gradient; determining a minimum safe ultra-high limit value, a minimum dry beach length limit value and a minimum infiltration buried line depth according to tailings reservoirs and the like; calculating a reservoir water level early warning value under the influence of flood control factors based on the minimum safe ultra-high limit value and the minimum dry beach length limit value; calculating to obtain a reservoir water level early warning value under the influence of dam stability based on the minimum infiltration buried line depth; and determining a final tailing pond safety risk early warning threshold based on flood control factors and dam stability factors. According to the embodiment of the invention, the early warning value is determined by analyzing and comparing the multiple risk factors of the tailing pond, a comprehensive early warning index system of the tailing pond is established, the early warning trigger mechanism of the tailing pond is optimized, and the safety risk of the tailing pond is reduced.
Corresponding to the tailing pond security risk early warning method in fig. 1, the embodiment of the invention also provides an electronic device 500, referring to fig. 5, as shown in fig. 5, which is a schematic structural diagram of the electronic device 500 provided by the embodiment of the invention, including:
aprocessor 51, amemory 52, and a bus 53;memory 52 is used to store execution instructions, including memory 521 and external storage 522; the memory 521 is also referred to as an internal memory, and is used for temporarily storing operation data in theprocessor 51 and data exchanged with the external memory 522 such as a hard disk, and theprocessor 51 exchanges data with the external memory 522 through the memory 521, and when the electronic device 500 is operated, theprocessor 51 and thememory 52 communicate with each other through the bus 53, so that theprocessor 51 performs the steps of the positioning detection method in fig. 1 and 2.
The embodiment of the invention also provides a computer readable storage medium, and a computer program is stored on the computer readable storage medium, and when the computer program is run by a processor, the steps of the tailing pond safety risk early warning method in the embodiment of the method are executed. Wherein the storage medium may be a volatile or nonvolatile computer readable storage medium.
The embodiment of the invention also provides a computer program product, which comprises computer instructions, wherein the computer instructions can execute the steps of the tailing pond safety risk early warning method in the embodiment of the method when being executed by a processor, and the specific reference can be made to the embodiment of the method, and the details are not repeated.
Wherein the above-mentioned computer program product may be realized in particular by means of hardware, software or a combination thereof. In an alternative embodiment, the computer program product is embodied as a computer storage medium, and in another alternative embodiment, the computer program product is embodied as a software product, such as a software development kit (Software Development Kit, SDK), or the like.
It will be clear to those skilled in the art that, for convenience and brevity of description, specific working procedures of the above-described system and apparatus may refer to corresponding procedures in the foregoing method embodiments, which are not described herein again. In the several embodiments provided by the present invention, it should be understood that the disclosed systems, devices, and methods may be implemented in other manners. The above-described apparatus embodiments are merely illustrative, for example, the division of the units is merely a logical function division, and there may be other manners of division in actual implementation, and for example, multiple units or components may be combined or integrated into another system, or some features may be omitted, or not performed. Alternatively, the coupling or direct coupling or communication connection shown or discussed with each other may be through some communication interface, device or unit indirect coupling or communication connection, which may be in electrical, mechanical or other form.
The units described as separate units may or may not be physically separate, and units shown as units may or may not be physical units, may be located in one place, or may be distributed on a plurality of network units. Some or all of the units may be selected according to actual needs to achieve the purpose of the solution of this embodiment.
In addition, each functional unit in the embodiments of the present invention may be integrated in one processing unit, or each unit may exist alone physically, or two or more units may be integrated in one unit.
The functions, if implemented in the form of software functional units and sold or used as a stand-alone product, may be stored in a non-volatile computer readable storage medium executable by a processor. Based on this understanding, the technical solution of the present invention may be embodied essentially or in a part contributing to the prior art or in a part of the technical solution, in the form of a software product stored in a storage medium, comprising several instructions for causing a computer device (which may be a personal computer, a server, a network device, etc.) to perform all or part of the steps of the method according to the embodiments of the present invention. And the aforementioned storage medium includes: a U-disk, a removable hard disk, a Read-Only Memory (ROM), a random access Memory (Random Access Memory, RAM), a magnetic disk, or an optical disk, or other various media capable of storing program codes.
Finally, it should be noted that: the above examples are only specific embodiments of the present invention, and are not intended to limit the scope of the present invention, but it should be understood by those skilled in the art that the present invention is not limited thereto, and that the present invention is described in detail with reference to the foregoing examples: any person skilled in the art may modify or easily conceive of the technical solution described in the foregoing embodiments, or perform equivalent substitution of some of the technical features, while remaining within the technical scope of the present disclosure; such modifications, changes or substitutions do not depart from the spirit and scope of the technical solutions of the embodiments of the present invention, and are intended to be included in the scope of the present invention. Therefore, the protection scope of the present invention shall be subject to the protection scope of the claims.

Claims (10)

1. The tailing pond safety risk early warning method is characterized by comprising the following steps of:
acquiring water level early warning basic data of a tailing pond; wherein the base data comprises: tailings pond and the like, current pond water level, dam top elevation and sediment beach gradient;
determining a minimum safe ultra-high limit value, a minimum dry beach length limit value and a minimum infiltration buried line depth according to tailings reservoirs and the like;
calculating a reservoir water level early warning value under the influence of flood control factors based on the minimum safety ultra-high limit value and the minimum dry beach length limit value;
calculating a reservoir water level early warning value under the influence of dam stability based on the minimum infiltration buried line depth;
and determining a final tailing pond safety risk early warning threshold based on the flood control factors and the dam stability factors.
2. The method of claim 1, wherein the pool water level pre-warning value comprises: red, orange, yellow and blue pre-warning thresholds; wherein the orange early warning threshold, the yellow early warning threshold and the blue early warning threshold are obtained based on the red early warning threshold.
3. The method of claim 1, wherein determining the pool water level warning value under the influence of the flood control factor based on the minimum safe ultra-high limit and the minimum dry beach length limit comprises:
obtaining flood control index parameters through an iterative algorithm;
determining the minimum safe superelevation through the current water level and the water level increase;
and obtaining the reservoir water level early warning value under the influence of the flood control factors based on the minimum safety.
4. The method of claim 1, wherein determining a reservoir level warning value under the influence of dam stability based on the minimum immersion line depth comprises:
obtaining the minimum safety coefficient under the influence of the dam stability factor by a rigid body limit balance method;
determining the elevation of the water level of the critical warehouse based on the minimum safety coefficient;
and calculating the critical reservoir water level elevation to obtain a reservoir water level early warning value under the influence of the dam stability.
5. The method of claim 1, wherein the tailings pond security risk early warning method further comprises:
and determining the reservoir water level early warning value under the coupling effect based on the reservoir water level early warning value under the influence of the flood control factors and the reservoir water level early warning value under the influence of the dam stability.
6. The method of claim 1, wherein the tailings pond security risk early warning method further comprises:
monitoring the momentum of the full risk factor affecting the tailing pond water level;
and determining a risk grade according to a preset judging standard to determine a full-factor risk early warning value.
7. The utility model provides a tailing pond safety risk early warning device which characterized in that includes:
the acquisition module is used for acquiring water level early warning basic data of the tailing pond; wherein the base data comprises: tailings pond and the like, current pond water level, dam top elevation and sediment beach gradient;
the first determining module is used for determining the minimum safe ultra-high limit value, the minimum dry beach length limit value and the minimum infiltration buried line depth according to the tailings pond and the like;
the flood control warehouse water level module is used for determining a warehouse water level early warning value under the influence of flood control factors based on the minimum safety ultra-high limit value and the minimum dry beach length limit value;
the dam body reservoir water level module is used for determining reservoir water level early warning values under the influence of dam body stability based on the minimum infiltration buried line depth;
and the second determining module is used for determining a final tailing pond safety risk early warning threshold value based on the flood control factors, the dam stability factors and other data in the pond water level early warning basic data.
8. An electronic device, comprising: a processor, a memory and a bus, the memory storing machine readable instructions executable by the processor, the processor and the memory in communication over the bus when the electronic device is running, the machine readable instructions when executed by the processor performing the steps of the tailings pond security risk early warning method of any one of claims 1 to 6.
9. A computer readable storage medium having stored thereon a computer program which when executed by a processor performs the steps of the tailings pond security risk warning method of any one of claims 1 to 6.
10. A computer program product comprising computer instructions which, when executed by a processor, implement the steps of the tailings pond security risk warning method of any one of claims 1 to 6.
CN202310309253.6A2023-03-282023-03-28Tailing pond safety risk early warning method and device and electronic equipmentPendingCN116029558A (en)

Priority Applications (1)

Application NumberPriority DateFiling DateTitle
CN202310309253.6ACN116029558A (en)2023-03-282023-03-28Tailing pond safety risk early warning method and device and electronic equipment

Applications Claiming Priority (1)

Application NumberPriority DateFiling DateTitle
CN202310309253.6ACN116029558A (en)2023-03-282023-03-28Tailing pond safety risk early warning method and device and electronic equipment

Publications (1)

Publication NumberPublication Date
CN116029558Atrue CN116029558A (en)2023-04-28

Family

ID=86077916

Family Applications (1)

Application NumberTitlePriority DateFiling Date
CN202310309253.6APendingCN116029558A (en)2023-03-282023-03-28Tailing pond safety risk early warning method and device and electronic equipment

Country Status (1)

CountryLink
CN (1)CN116029558A (en)

Cited By (3)

* Cited by examiner, † Cited by third party
Publication numberPriority datePublication dateAssigneeTitle
CN117151309A (en)*2023-10-302023-12-01矿冶科技集团有限公司Method and device for predicting flood regulating reservoir capacity of tailing reservoir, electronic equipment and medium
CN118134112A (en)*2024-05-062024-06-04矿冶科技集团有限公司Flood regulating reservoir capacity estimating method, device, equipment and medium for tailing reservoir
CN118886569A (en)*2024-09-272024-11-01矿冶科技集团有限公司 Method, device, equipment and medium for estimating flood control storage capacity of dry-type tailings pond

Citations (3)

* Cited by examiner, † Cited by third party
Publication numberPriority datePublication dateAssigneeTitle
US20190156255A1 (en)*2017-11-212019-05-23The Climate CorporationDigital modeling of disease on crops on agronomic fields
CN112767655A (en)*2020-12-292021-05-07南昌大学Tailing pond online monitoring and comprehensive early warning method
CN113705127A (en)*2021-08-302021-11-26北京国信安科技术有限公司Dam break risk prediction and emergency response method and device for tailing pond and electronic equipment

Patent Citations (3)

* Cited by examiner, † Cited by third party
Publication numberPriority datePublication dateAssigneeTitle
US20190156255A1 (en)*2017-11-212019-05-23The Climate CorporationDigital modeling of disease on crops on agronomic fields
CN112767655A (en)*2020-12-292021-05-07南昌大学Tailing pond online monitoring and comprehensive early warning method
CN113705127A (en)*2021-08-302021-11-26北京国信安科技术有限公司Dam break risk prediction and emergency response method and device for tailing pond and electronic equipment

Cited By (5)

* Cited by examiner, † Cited by third party
Publication numberPriority datePublication dateAssigneeTitle
CN117151309A (en)*2023-10-302023-12-01矿冶科技集团有限公司Method and device for predicting flood regulating reservoir capacity of tailing reservoir, electronic equipment and medium
CN117151309B (en)*2023-10-302024-01-19矿冶科技集团有限公司Method and device for predicting flood regulating reservoir capacity of tailing reservoir, electronic equipment and medium
CN118134112A (en)*2024-05-062024-06-04矿冶科技集团有限公司Flood regulating reservoir capacity estimating method, device, equipment and medium for tailing reservoir
CN118134112B (en)*2024-05-062024-07-16矿冶科技集团有限公司Flood regulating reservoir capacity estimating method, device, equipment and medium for tailing reservoir
CN118886569A (en)*2024-09-272024-11-01矿冶科技集团有限公司 Method, device, equipment and medium for estimating flood control storage capacity of dry-type tailings pond

Similar Documents

PublicationPublication DateTitle
CN116029558A (en)Tailing pond safety risk early warning method and device and electronic equipment
Falter et al.Hydraulic model evaluation for large‐scale flood risk assessments
Wu et al.Calibration of a conceptual rainfall–runoff model using a genetic algorithm integrated with runoff estimation sensitivity to parameters
Schmittbuhl et al.Percolation through self-affine surfaces
CN109631997A (en)Engineering equipment health detecting method, device and electronic equipment
CN115600895A (en)Digital twin-based watershed flood beach disaster risk assessment method and device
Jafari et al.Derivation of a new model for prediction of wave overtopping at rubble mound structures
KR101191944B1 (en)Method for issuing notice of warning for rip currents
Ahmad et al.A three‐dimensional fuzzy methodology for flood risk analysis
CN110300127A (en)A kind of network inbreak detection method based on deep learning, device and equipment
CN104517052A (en)Invasion detection method and device
Ashraf et al.GIS‐evaluation of two slope‐calculation methods regarding their suitability in slope analysis using high‐precision LiDAR digital elevation models
CN103996006A (en) Method and device for information system security risk assessment
Albertini et al.Delineation of flood‐prone areas in cliffed coastal regions through a procedure based on the Geomorphic Flood Index
Pilotti et al.Dam-break modeling in alpine valleys
CN114428809A (en) A method, device and computer equipment for acquiring the accuracy of map data
CN117808215A (en)Method and system for judging limit scouring state of riverbed of downstream riverway of reservoir group
CN119647305B (en)Mangrove water level reduction evaluation method and system based on hydrodynamic force and factorial design
CN115329904B (en)Outlier detection method, system and storage medium for discriminating population data
CN116346638B (en)Data tampering inference method based on power grid power and alarm information interaction verification
CN105989284B (en)The recognition methods and equipment of homepage invasion script feature
CN117076862A (en)Electric power Internet of things network anomaly detection method and system based on attribute map
CN115687633A (en)Warning method based on knowledge graph, electronic device and readable storage medium
CN113743836A (en)Flood disaster risk distribution map drawing method and device based on real-time data
CN119228148B (en) Comprehensive hazard assessment method, system, equipment and storage medium based on multiple disaster-causing modes of mountain torrents and debris flows

Legal Events

DateCodeTitleDescription
PB01Publication
PB01Publication
SE01Entry into force of request for substantive examination
SE01Entry into force of request for substantive examination
RJ01Rejection of invention patent application after publication
RJ01Rejection of invention patent application after publication

Application publication date:20230428


[8]ページ先頭

©2009-2025 Movatter.jp