Movatterモバイル変換


[0]ホーム

URL:


CN116015346A - Cascade inhibition-based unbalanced aliasing spread spectrum signal blind separation method - Google Patents

Cascade inhibition-based unbalanced aliasing spread spectrum signal blind separation method
Download PDF

Info

Publication number
CN116015346A
CN116015346ACN202211683795.1ACN202211683795ACN116015346ACN 116015346 ACN116015346 ACN 116015346ACN 202211683795 ACN202211683795 ACN 202211683795ACN 116015346 ACN116015346 ACN 116015346A
Authority
CN
China
Prior art keywords
signal
spread spectrum
data
detection information
frequency
Prior art date
Legal status (The legal status is an assumption and is not a legal conclusion. Google has not performed a legal analysis and makes no representation as to the accuracy of the status listed.)
Granted
Application number
CN202211683795.1A
Other languages
Chinese (zh)
Other versions
CN116015346B (en
Inventor
李晋徽
温志津
张清毅
赵岸
孙鹏
Current Assignee (The listed assignees may be inaccurate. Google has not performed a legal analysis and makes no representation or warranty as to the accuracy of the list.)
Institute of Systems Engineering of PLA Academy of Military Sciences
Original Assignee
Institute of Systems Engineering of PLA Academy of Military Sciences
Priority date (The priority date is an assumption and is not a legal conclusion. Google has not performed a legal analysis and makes no representation as to the accuracy of the date listed.)
Filing date
Publication date
Application filed by Institute of Systems Engineering of PLA Academy of Military SciencesfiledCriticalInstitute of Systems Engineering of PLA Academy of Military Sciences
Priority to CN202211683795.1ApriorityCriticalpatent/CN116015346B/en
Publication of CN116015346ApublicationCriticalpatent/CN116015346A/en
Application grantedgrantedCritical
Publication of CN116015346BpublicationCriticalpatent/CN116015346B/en
Activelegal-statusCriticalCurrent
Anticipated expirationlegal-statusCritical

Links

Images

Classifications

Landscapes

Abstract

The invention discloses a cascade suppression-based unbalanced aliasing spread spectrum signal blind separation method, which comprises the following steps: acquiring multi-beam same-frequency signals of a spread spectrum satellite mobile communication system; synchronous searching processing is carried out on multi-beam same-frequency signals of the spread spectrum satellite mobile communication system, and time slot synchronous detection information and frame synchronous detection information are obtained; dividing a multi-beam same-frequency signal of a spread spectrum satellite mobile communication system into two paths from a frame starting position according to time slot synchronous detection information to obtain a main channel signal and a reference channel signal; processing strong signal data in the main channel signal to obtain a frequency estimated value and an amplitude estimated value; demodulating strong signal data in the reference channel signal to obtain an amplitude phase compensation signal; performing adaptive filtering processing on the main channel signal by using the amplitude phase compensation signal to obtain separated weak signal data; and demodulating the separated weak signal data to obtain demodulation signal information, and realizing the blind separation of the multi-beam same-frequency signals.

Description

Cascade inhibition-based unbalanced aliasing spread spectrum signal blind separation method
Technical Field
The invention relates to the technical field of communication and information systems, in particular to a cascade suppression-based unbalanced aliasing spread spectrum signal blind separation method.
Background
The satellite communication has the advantages of wide coverage, long communication distance, no limitation of geographic conditions, flexible networking and the like, so that the satellite communication becomes an effective supplement of a ground network. In places where the ground network signal coverage is poor, the satellite communication network becomes the best choice for users to achieve interworking. With the rapid development of satellite communication technology, the need for effective supervision of satellite mobile communication is becoming urgent, wherein the first solution is non-cooperative satellite signal processing technology.
The new mobile communication satellite system adopts the advanced technologies of spot beam global cellular coverage, satellite processing, wideband code division multiple access and the like. In the non-cooperative receiving process of the satellite signals, the same-frequency aliasing signals are equivalent to high-power same-frequency broadband noise interference signals, so that the accurate blind separation, processing and analysis of all multi-beam same-frequency signals are very difficult, and a new effective method needs to be found.
Disclosure of Invention
The invention aims to solve the technical problem of providing a cascade suppression-based unbalanced aliasing spread spectrum signal blind separation method which can effectively suppress the same-frequency strong signal by utilizing a self-adaptive time domain interference cancellation technology so as to realize correct separation, processing and analysis of other signals.
In order to solve the technical problems, the embodiment of the invention discloses a cascade suppression-based unbalanced aliasing spread spectrum signal blind separation method, which comprises the following steps:
s1, acquiring multi-beam same-frequency signals of a spread spectrum satellite mobile communication system;
s2, synchronous searching processing is carried out on the multi-beam same-frequency signals of the spread spectrum satellite mobile communication system, and time slot synchronous detection information and frame synchronous detection information are obtained;
s3, dividing the multi-beam same-frequency signal of the spread spectrum satellite mobile communication system into two paths from a frame starting position according to the time slot synchronous detection information to obtain a main channel signal and a reference channel signal;
s4, processing the strong signal data in the main channel signal to obtain a frequency estimated value and an amplitude estimated value;
s5, demodulating strong signal data in the reference channel signal to obtain an amplitude phase compensation signal;
s6, performing adaptive filtering processing on the main channel signal by using the amplitude phase compensation signal to obtain separated weak signal data;
and S7, demodulating the separated weak signal data to obtain demodulation signal information, and realizing the blind separation of the multi-beam same-frequency signals.
In an embodiment of the present invention, the performing a synchronous search process on the multi-beam co-frequency signal of the spread spectrum satellite mobile communication system to obtain time slot synchronous detection information and frame synchronous detection information includes:
s21, framing the multi-beam same-frequency signal of the spread spectrum satellite mobile communication system to obtain a plurality of frame signals with frame length of 10 ms;
s22, uniformly dividing frame signals with each frame length of 10ms to obtain 15 time slots;
s23, sliding search is carried out by utilizing a preset main synchronous code sequence, and the starting position of each time slot is determined to obtain time slot synchronous detection information;
s24, according to the time slot synchronous detection information, sliding matching search is carried out by utilizing a preset auxiliary synchronous code sequence, and frame synchronous detection information is obtained.
As an optional implementation manner, in an embodiment of the present invention, the performing a sliding search by using a preset primary synchronization code sequence to determine a starting position of each time slot, to obtain time slot synchronization detection information, includes:
s231, intercepting a data segment S with length of l=5120 from the multi-beam co-channel signal of the spread spectrum satellite mobile communication system1
S232, pair S1 Intercepting to obtain intercepted data S1 (i:M),i=1;
S233, for intercepted data S1 (i: M) processing to obtain T1 (i) The expression is:
T1 (i)=abs(sum(S1 (i:M).*Cz ))
where abs () is the absolute value, sum () represents the sum, x represents the point-by-point multiplication of the vector, Cz As a preset primary synchronization code sequence, m=256 is the primary synchronization code sequence length;
s234, pair S1 Intercepting to obtain intercepted data S1 (i+1:M+1);
S235, for intercepted data S1 Processing (i+1:M+1) to obtain T1 (i+1) of the formula:
T1 (i+1)=abs(sum(S1 (i+1:M+1).*Cz ))
s236, i=i+1, repeating S232, S233, S334, S235 until sliding to S1 (L-M+ 1:L), T is calculated1 (L-M+1);
S237, calculating the vector T1 A maximum value of (1:L-M+1); and the maximum value corresponding data position is time slot synchronous detection information.
As an optional implementation manner, in an embodiment of the present invention, according to the time slot synchronization detection information, a sliding match search is performed by using a preset secondary synchronization code sequence to obtain frame synchronization detection information, which includes:
s241, obtain secondary synchronization code sequence Ck Secondary synchronization code sequence length n=3840, k=1, 2, …,512 represents the kth group of secondary synchronization code sequences;
s242, according to the time slot synchronous detection information, intercepting the data segment S with the length of P=76800 in the multi-beam same-frequency signal of the spread spectrum satellite mobile communication system2
S243 of S2 Intercepting to obtain intercepted data S2 (j:N),j=1,k=1S2 (j: N) and Secondary synchronization code sequence Ck Calculating to obtain T2,1 (j) The formula is:
T2,1 (j)=abs(sum(S2 (j:N).*Ck ))
where abs () represents absolute value, sum () represents sum, x represents vector point-by-point multiplication, k=1, 2, …,512;
s244, pair S2 Intercepting to obtain intercepted data S2 (j+1: N+1), and secondary synchronization code sequence Ck Calculating to obtain T2,1 (j+1) of the formula:
T2,1 (j+1)=abs(sum(S2 (j+1:N+1).*Ck ))
s245, j=j+1, repeating S243, S244 until sliding to S2 (P-N+ 1:P) calculation to obtain T2,1 (P-N+1);
S246, calculating vector T2,1 Maximum value T of (1:P-N+1)2,max (k);
S247, intercept data S2 (j: N) and Secondary synchronization code sequence Ck+1 Calculating to obtain T2,2 (j) The formula is:
T2,2 (j)=abs(sum(S2 (j+1:N).*Ck+1 ))
s248 until sliding to S2 (P-N+ 1:P), T is calculated2,2 (1:P-N+1)), vector T is calculated2,2 Maximum value T of (1:P-N+1)2,max (k+1);
S249, k=k+1, repeating S243, S244, S245, S246, S247, S248 until traversing to k=512, obtaining T2,max (1:512);
S250, calculating T2,max Maximum value T of (1:512)2,max (m),m∈(1,2,…,512),T2,max The signal data position corresponding to (m) is frame synchronization detection information.
In an embodiment of the present invention, the processing the strong signal data in the main channel signal to obtain a frequency estimation value and an amplitude estimation value includes:
s41, performing frequency estimation on strong signal data in the main channel signal by using a Fourier transform method to obtain a frequency estimation value;
s42, carrying out amplitude estimation on the strong signal data in the main channel signal by using an energy spectrum accumulation method to obtain an amplitude estimation value.
In an embodiment of the present invention, the demodulating the strong signal data in the reference channel signal to obtain an amplitude phase compensation signal includes:
s51, demodulating strong signal data in the reference channel signal to obtain baseband bit data information;
s52, spreading, scrambling and modulating the baseband bit data information to obtain reconstructed signal information;
and S53, performing amplitude phase compensation on the reconstructed signal information by using the frequency estimation value and the amplitude estimation value to obtain an amplitude phase compensation signal.
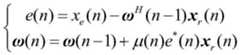
In an embodiment of the present invention, the adaptive filtering processing is performed on the main channel signal by using the amplitude phase compensation signal to obtain separated weak signal data, where the method includes:
processing by using an adaptive filtering formula to obtain separated weak signal data e (n);
the adaptive filtering formula is as follows:
Figure BDA0004019123800000041
wherein ω (n) is a 1×m order filter coefficient vector; n=1, 2..is the time variable, T is the transpose, H is the transpose of the conjugate, x represents the conjugatee (n) is the main channel signal, M is the filter order; the step size mu (n) is constant, and a typical value can be 0.8; x is xr (n)=[xr (n) xr (n-1) … xr (n-M+1)]T Is an amplitude phase compensation signal.
Compared with the prior art, the embodiment of the invention has the following beneficial effects:
(1) The invention provides a multi-beam same-frequency signal blind separation method of a spread spectrum satellite mobile communication system, which realizes the self-adaptive separation of multi-beam same-frequency aliasing signals of a novel mobile communication satellite;
(2) The invention provides technical support for signal receiving processing, data analysis, flow statistics, service monitoring and the like of the novel mobile communication satellite system, and has important significance for improving the supervision capability of the mobile communication satellite system.
Drawings
In order to more clearly illustrate the technical solutions of the embodiments of the present invention, the drawings required for the description of the embodiments will be briefly described below, and it is apparent that the drawings in the following description are only some embodiments of the present invention, and other drawings may be obtained according to these drawings without inventive effort for a person skilled in the art.
Fig. 1 is a schematic flow chart of a cascade suppression-based unbalanced aliasing spread spectrum signal blind separation method disclosed by the embodiment of the invention;
fig. 2 is a comparison of the results of processing multi-beam co-frequency signals using the method of the present invention with those without the method of the present invention.
Detailed Description
In order to make the present invention better understood by those skilled in the art, the following description will clearly and completely describe the technical solutions in the embodiments of the present invention with reference to the accompanying drawings, and it is apparent that the described embodiments are only some embodiments of the present invention, not all embodiments. All other embodiments, which can be made by those skilled in the art based on the embodiments of the invention without making any inventive effort, are intended to be within the scope of the invention.
The terms first, second and the like in the description and in the claims and in the above-described figures are used for distinguishing between different objects and not necessarily for describing a sequential or chronological order. Furthermore, the terms "comprise" and "have," as well as any variations thereof, are intended to cover a non-exclusive inclusion. For example, a process, method, apparatus, article, or device that comprises a list of steps or elements is not limited to the list of steps or elements but may, in the alternative, include other steps or elements not expressly listed or inherent to such process, method, article, or device.
Reference herein to "an embodiment" means that a particular feature, structure, or characteristic described in connection with the embodiment may be included in at least one embodiment of the invention. The appearances of such phrases in various places in the specification are not necessarily all referring to the same embodiment, nor are separate or alternative embodiments mutually exclusive of other embodiments. Those of skill in the art will explicitly and implicitly appreciate that the embodiments described herein may be combined with other embodiments.
The invention discloses a cascade suppression-based unbalanced aliasing spread spectrum signal blind separation method, which can obtain multi-beam same-frequency signals of a spread spectrum satellite mobile communication system; synchronous searching processing is carried out on multi-beam same-frequency signals of the spread spectrum satellite mobile communication system, and time slot synchronous detection information and frame synchronous detection information are obtained; dividing the multi-beam same-frequency signal of the spread spectrum satellite mobile communication system into two paths from a frame starting position according to the time slot synchronous detection information to obtain a main channel signal and a reference channel signal; processing strong signal data in the main channel signal to obtain a frequency estimated value and an amplitude estimated value; demodulating strong signal data in the reference channel signal to obtain an amplitude phase compensation signal; performing adaptive filtering processing on the main channel signal by using the amplitude phase compensation signal to obtain separated weak signal data; and demodulating the separated weak signal data to obtain demodulation signal information, and realizing the blind separation of the multi-beam same-frequency signals.
The meaning of blind separation is to recover an independent source signal from only the observed mixed signal (typically the output of multiple sensors), where blind means that the source signal is not observable or that the mixed system is not known a priori.
Example 1
Referring to fig. 1, fig. 1 is a schematic flow chart of a multi-cascade suppression-based unbalanced aliasing spread spectrum signal blind separation method according to an embodiment of the present invention. The unbalanced aliasing spread spectrum signal blind separation method based on cascade suppression described in fig. 1 can be applied to a satellite mobile communication system, and can also be applied to the field of communication countermeasure, and the embodiment of the invention is not limited. As shown in fig. 1, the cascade suppression-based unbalanced aliased spread spectrum signal blind separation method may include the following operations:
s1, acquiring multi-beam same-frequency signals of a spread spectrum satellite mobile communication system;
s2, synchronous searching processing is carried out on the multi-beam same-frequency signals of the spread spectrum satellite mobile communication system, and time slot synchronous detection information and frame synchronous detection information are obtained;
s3, dividing the multi-beam same-frequency signal of the spread spectrum satellite mobile communication system into two paths from a frame starting position according to the time slot synchronous detection information to obtain a main channel signal and a reference channel signal;
s4, processing the strong signal data in the main channel signal to obtain a frequency estimated value and an amplitude estimated value;
s5, demodulating strong signal data in the reference channel signal to obtain an amplitude phase compensation signal;
s6, performing adaptive filtering processing on the main channel signal by using the amplitude phase compensation signal to obtain separated weak signal data;
and S7, demodulating the separated weak signal data to obtain demodulation signal information, and realizing the blind separation of the multi-beam same-frequency signals.
Optionally, the performing synchronous search processing on the multi-beam same-frequency signal of the spread spectrum satellite mobile communication system to obtain time slot synchronous detection information and frame synchronous detection information includes:
s21, framing the multi-beam same-frequency signal of the spread spectrum satellite mobile communication system to obtain a plurality of frame signals with frame length of 10 ms;
s22, uniformly dividing frame signals with each frame length of 10ms to obtain 15 time slots;
s23, sliding search is carried out by utilizing a preset main synchronous code sequence, and the starting position of each time slot is determined to obtain time slot synchronous detection information;
s24, according to the time slot synchronous detection information, sliding matching search is carried out by utilizing a preset auxiliary synchronous code sequence, and frame synchronous detection information is obtained.
Optionally, the performing sliding search by using a preset primary synchronization code sequence, determining a starting position of each time slot, and obtaining time slot synchronization detection information includes:
s231, intercepting a data segment S with length of l=5120 from the multi-beam co-channel signal of the spread spectrum satellite mobile communication system1
S232, pair S1 Intercepting to obtain intercepted data S1 (i:M),i=1;
S233, for intercepted data S1 (i: M) processing to obtain T1 (i) The expression is:
T1 (i)=abs(sum(S1 (i:M).*Cz ))
where abs () is the absolute value, sum () represents the sum, x represents the point-by-point multiplication of the vector, Cz As a preset primary synchronization code sequence, m=256 is the primary synchronization code sequence length;
s234, pair S1 Intercepting to obtain intercepted data S1 (i+1:M+1);
S235, for intercepted data S1 Processing (i+1:M+1) to obtain T1 (i+1) of the formula:
T1 (i+1)=abs(sum(S1 (i+1:M+1).*Cz ))
s236, i=i+1, repeating S232, S233, S334, S235 until sliding to S1 (L-M+ 1:L), T is calculated1 (L-M+1);
S237, calculating the vector T1 A maximum value of (1:L-M+1); and the maximum value corresponding data position is time slot synchronous detection information.
Optionally, the performing sliding matching search by using a preset secondary synchronization code sequence according to the time slot synchronization detection information to obtain frame synchronization detection information includes:
s241, obtain secondary synchronization code sequence Ck Secondary synchronization code sequence lengths n=3840, k=1, 2, …,5 …,51212 represent the kth group of secondary synchronization code sequences;
s242, according to the time slot synchronous detection information, intercepting the data segment S with the length of P=76800 in the multi-beam same-frequency signal of the spread spectrum satellite mobile communication system2
S243 of S2 Intercepting to obtain intercepted data S2 (j:N),j=1,k=1S2 (j: N) and Secondary synchronization code sequence Ck Calculating to obtain T2,1 (j) The formula is:
T2,1 (j)=abs(sum(S2 (j:N).*Ck ))
where abs () represents absolute value, sum () represents sum, x represents vector point-by-point multiplication, k=1, 2, …,512;
s244, pair S2 Intercepting to obtain intercepted data S2 (j+1: N+1), and secondary synchronization code sequence Ck Calculating to obtain T2,1 (j+1) of the formula:
T2,1 (j+1)=abs(sum(S2 (j+1:N+1).*Ck ))
s245, j=j+1, repeating S243, S244 until sliding to S2 (P-N+ 1:P) calculation to obtain T2,1 (P-N+1);
S246, calculating vector T2,1 Maximum value T of (1:P-N+1)2,max (k);
S247, intercept data S2 (j: N) and Secondary synchronization code sequence Ck+1 Calculating to obtain T2,2 (j) The formula is:
T2,2 (j)=abs(sum(S2 (j+1:N).*Ck+1 ))
s248 until sliding to S2 (P-N+ 1:P), T is calculated2,2 (1:P-N+1)), vector T is calculated2,2 Maximum value T of (1:P-N+1)2,max (k+1);
S249, k=k+1, repeating S243, S244, S245, S246, S247, S248 until traversing to k=512, obtaining T2,max (1:512);
S250, calculating T2,max Maximum value T of (1:512)2,max (m),m∈(1,2,…,512),T2,max The signal data position corresponding to (m) is frame synchronization detection information.
Optionally, the processing the strong signal data in the main channel signal to obtain a frequency estimated value and an amplitude estimated value includes:
s41, performing frequency estimation on strong signal data in the main channel signal by using a Fourier transform method to obtain a frequency estimation value;
optionally, strong signal data in the main channel signal is estimated, f=max (abs (fft (x)0 ) Where f is the estimated frequency value, max () represents the maximum calculation, abs () represents the absolute value, and fft () represents the classical fourier transform calculation.
Optionally, processing the frequency value to obtain an instantaneous phase value; from the obtained frequency, d_ang (n) =angle (exp (i·f·n) is calculated, where f is the estimated frequency value, exp () represents the exponential calculation, angle () represents the obtained phase angle, i.e. the instantaneous phase value, n, i being a variable.
S42, carrying out amplitude estimation on the strong signal data in the main channel signal by using an energy spectrum accumulation method to obtain an amplitude estimation value.
The energy spectrum accumulating method is that the energy spectrum is accumulated by d_mean (n) =mean (abs (x)0 (n)) can calculate the amplitude value d_mean (n) of the strong signal data, where abs () represents the absolute value, mean () represents the average value, x0 (n) is the strong signal data in the main channel signal.
Optionally, the demodulating the strong signal data in the reference channel signal to obtain an amplitude phase compensation signal includes:
s51, demodulating strong signal data in the reference channel signal to obtain baseband bit data information;
the baseband bit data information is a baseband data sequence introduced in the communication principle, and refers to communication data under the condition of zero intermediate frequency, and is distinguished from intermediate frequency data and radio frequency data.
S52, spreading, scrambling and modulating the baseband bit data information to obtain reconstructed signal information;
the method comprises the following specific steps:
1) Generating a spread spectrum sequence by utilizing a sequence generation type according to known spread spectrum parameters, and performing spread spectrum processing on the baseband data obtained by demodulation;
2) Scrambling the spread data according to the scrambling sequence obtained in the step S24;
3) The scrambled data is modulated according to classical quadrature phase shift keying (Quadrature Phase Shift Keying, QPSK) modulation principle. The spreading, scrambling and modulation processes involved all employ classical principles and formulas in the communication principle.
And S53, performing amplitude phase compensation on the reconstructed signal information by using the frequency estimation value and the amplitude estimation value to obtain an amplitude phase compensation signal.
The command reconstruction signal is x_new (n), the compensation signal is x_res (n),
x_res(n)=x_new(n)·d_mea(n)·exp(i·d_ang(n)))
optionally, the adaptive filtering processing is performed on the main channel signal by using the amplitude phase compensation signal to obtain separated weak signal data, and the method comprises the following steps:
processing by using an adaptive filtering formula to obtain separated weak signal data e (n);
the adaptive filtering formula is as follows:
Figure BDA0004019123800000101
wherein ω (n) is a 1×m order filter coefficient vector; n=1, 2..is the time variable, T is the transpose, H is the transpose of the conjugate, x represents the conjugatee (n) is the main channel signal, M is the filter order; the step size mu (n) is constant, and a typical value can be 0.8; x is xr (n)=[xr (n) xr (n-1) … xr (n-M+1)]T Is an amplitude phase compensation signal.
Fig. 2 is a comparison of the results of processing multi-beam co-frequency signals using the method of the present invention with those without the method of the present invention. As can be seen from fig. 2 (a), the strong signal can be detected well before the multi-beam co-channel signal is processed by the method of the present invention, while the weak signal is completely submerged by the strong signal. Fig. 2 (b) shows a spectrum after being processed by the method of the present invention, and it can be seen that after the strong signal is suppressed to a greater extent by the adaptive processing, the weak signal can be better detected, so that the same-frequency signal separation can be achieved.
Therefore, by implementing the multi-beam same-frequency signal blind separation method described by the embodiment of the invention, the multi-beam same-frequency signal of the spread spectrum satellite mobile communication system can be obtained; synchronous searching processing is carried out on multi-beam same-frequency signals of the spread spectrum satellite mobile communication system, and time slot synchronous detection information and frame synchronous detection information are obtained; dividing the multi-beam same-frequency signal of the spread spectrum satellite mobile communication system into two paths from a frame starting position according to the time slot synchronous detection information to obtain a main channel signal and a reference channel signal; processing strong signal data in the main channel signal to obtain a frequency estimated value and an amplitude estimated value; demodulating strong signal data in the reference channel signal to obtain an amplitude phase compensation signal; performing adaptive filtering processing on the main channel signal by using the amplitude phase compensation signal to obtain separated weak signal data; and demodulating the separated weak signal data to obtain demodulation signal information, and realizing the blind separation of the multi-beam same-frequency signals. The invention provides technical support for signal receiving processing, data analysis, flow statistics, service monitoring and the like of the novel mobile communication satellite system, and has important significance for improving the supervision capability of the mobile communication satellite system.
From the above detailed description of the embodiments, it will be apparent to those skilled in the art that the embodiments may be implemented by means of software plus necessary general hardware platforms, or of course by means of hardware. Based on such understanding, the foregoing technical solutions may be embodied essentially or in part in the form of a software product that may be stored in a computer-readable storage medium including Read-Only Memory (ROM), random-access Memory (Random Access Memory, RAM), programmable Read-Only Memory (Programmable Read-Only Memory, PROM), erasable programmable Read-Only Memory (Erasable Programmable Read Only Memory, EPROM), one-time programmable Read-Only Memory (OTPROM), electrically erasable programmable Read-Only Memory (EEPROM), compact disc Read-Only Memory (Compact Disc Read-Only Memory, CD-ROM) or other optical disc Memory, magnetic disc Memory, tape Memory, or any other medium that can be used for computer-readable carrying or storing data.
Finally, it should be noted that: the embodiment of the invention discloses a cascade suppression-based unbalanced aliasing spread spectrum signal blind separation method, which is disclosed by the embodiment of the invention only as a preferred embodiment of the invention, and is only used for illustrating the technical scheme of the invention, but not limiting the technical scheme; although the invention has been described in detail with reference to the foregoing embodiments, those of ordinary skill in the art will understand that; the technical scheme recorded in the various embodiments can be modified or part of technical features in the technical scheme can be replaced equivalently; such modifications and substitutions do not depart from the spirit and scope of the corresponding technical solutions.

Claims (7)

1. A method for blind separation of unbalanced aliased spread spectrum signals based on cascade suppression, the method comprising:
s1, acquiring multi-beam same-frequency signals of a spread spectrum satellite mobile communication system;
s2, synchronous searching processing is carried out on the multi-beam same-frequency signals of the spread spectrum satellite mobile communication system, and time slot synchronous detection information and frame synchronous detection information are obtained;
s3, dividing the multi-beam same-frequency signal of the spread spectrum satellite mobile communication system into two paths from a frame starting position according to the time slot synchronous detection information to obtain a main channel signal and a reference channel signal;
s4, processing the strong signal data in the main channel signal to obtain a frequency estimated value and an amplitude estimated value;
s5, demodulating strong signal data in the reference channel signal to obtain an amplitude phase compensation signal;
s6, performing adaptive filtering processing on the main channel signal by using the amplitude phase compensation signal to obtain separated weak signal data;
and S7, demodulating the separated weak signal data to obtain demodulation signal information, and realizing the blind separation of the multi-beam same-frequency signals.
2. The method for blind separation of unbalanced aliasing spread spectrum signals based on cascade suppression according to claim 1, wherein the step of performing synchronous search processing on the multi-beam co-frequency signals of the spread spectrum satellite mobile communication system to obtain time slot synchronous detection information and frame synchronous detection information comprises the steps of:
s21, framing the multi-beam same-frequency signal of the spread spectrum satellite mobile communication system to obtain a plurality of frame signals with frame length of 10 ms;
s22, uniformly dividing frame signals with each frame length of 10ms to obtain 15 time slots;
s23, sliding search is carried out by utilizing a preset main synchronous code sequence, and the starting position of each time slot is determined to obtain time slot synchronous detection information;
s24, according to the time slot synchronous detection information, sliding matching search is carried out by utilizing a preset auxiliary synchronous code sequence, and frame synchronous detection information is obtained.
3. The blind separation method of unbalanced aliasing spread spectrum signals based on cascade suppression according to claim 2, wherein the performing sliding search by using a preset primary synchronization code sequence to determine a starting position of each time slot and obtain time slot synchronization detection information includes:
s231, intercepting a number with length of l=5120 from the multi-beam same-frequency signal of the spread spectrum satellite mobile communication systemAccording to section S1
S232, pair S1 Intercepting to obtain intercepted data S1 (i:M),i=1;
S233, for intercepted data S1 (i: M) processing to obtain T1 (i) The expression is:
T1 (i)=abs(sum(S1 (i:M).*Cz ))
where abs () is the absolute value, sum () represents the sum, x represents the point-by-point multiplication of the vector, Cz As a preset primary synchronization code sequence, m=256 is the primary synchronization code sequence length;
s234, pair S1 Intercepting to obtain intercepted data S1 (i+1:M+1);
S235, for intercepted data S1 Processing (i+1:M+1) to obtain T1 (i+1) of the formula:
T1 (i+1)=abs(sum(S1 (i+1:M+1).*Cz ))
s236, i=i+1, repeating S232, S233, S334, S235 until sliding to S1 (L-M+ 1:L), T is calculated1 (L-M+1);
S237, calculating the vector T1 A maximum value of (1:L-M+1); and the maximum value corresponding data position is time slot synchronous detection information.
4. The method for blind separation of unbalanced aliasing and spread spectrum signals based on cascade suppression according to claim 2, wherein the performing sliding matching search by using a preset secondary synchronization code sequence according to the time slot synchronization detection information to obtain frame synchronization detection information comprises:
s241, obtain secondary synchronization code sequence Ck Secondary synchronization code sequence length n=3840, k=1, 2, …,512 represents the kth group of secondary synchronization code sequences;
s242, according to the time slot synchronous detection information, intercepting the data segment S with the length of P=76800 in the multi-beam same-frequency signal of the spread spectrum satellite mobile communication system2
S243 of S2 Intercepting to obtain intercepted data S2 (j:N),j=1,k=1S2 (j: N) and Secondary synchronization code sequence Ck Calculating to obtain T2,1 (j) The formula is:
T2,1 (j)=abs(sum(S2 (j:N).*Ck ))
where abs () represents absolute value, sum () represents sum, x represents vector point-by-point multiplication, k=1, 2, …,512;
s244, pair S2 Intercepting to obtain intercepted data S2 (j+1: N+1), and secondary synchronization code sequence Ck Calculating to obtain T2,1 (j+1) of the formula:
T2,1 (j+1)=abs(sum(S2 (j+1:N+1).*Ck ))
s245, j=j+1, repeating S243, S244 until sliding to S2 (P-N+ 1:P) calculation to obtain T2,1 (P-N+1);
S246, calculating vector T2,1 Maximum value T of (1:P-N+1)2,max (k);
S247, intercept data S2 (j: N) and Secondary synchronization code sequence Ck+1 Calculating to obtain T2,2 (j) The formula is:
T2,2 (j)=abs(sum(S2 (j+1:N).*Ck+1 ))
s248 until sliding to S2 (P-N+ 1:P), T is calculated2,2 (1:P-N+1)), vector T is calculated2,2 Maximum value T of (1:P-N+1)2,max (k+1);
S249, k=k+1, repeating S243, S244, S245, S246, S247, S248 until traversing to k=512, obtaining T2,max (1:512);
S250, calculating T2,max Maximum value T of (1:512)2,max (m),m∈(1,2,…,512),T2,max The signal data position corresponding to (m) is frame synchronization detection information.
5. The method for blind separation of unbalanced aliasing spread spectrum signals based on cascade suppression according to claim 1, wherein the processing of strong signal data in the main channel signal to obtain a frequency estimation value and an amplitude estimation value comprises:
s41, performing frequency estimation on strong signal data in the main channel signal by using a Fourier transform method to obtain a frequency estimation value;
s42, carrying out amplitude estimation on the strong signal data in the main channel signal by using an energy spectrum accumulation method to obtain an amplitude estimation value.
6. The cascade suppression-based unbalanced aliasing spread spectrum signal blind separation method of claim 1, wherein the demodulating the strong signal data in the reference channel signal to obtain an amplitude phase compensation signal comprises:
s51, demodulating strong signal data in the reference channel signal to obtain baseband bit data information;
s52, spreading, scrambling and modulating the baseband bit data information to obtain reconstructed signal information;
and S53, performing amplitude phase compensation on the reconstructed signal information by using the frequency estimation value and the amplitude estimation value to obtain an amplitude phase compensation signal.
7. The cascade suppression-based unbalanced aliasing spread spectrum signal blind separation method of claim 1, wherein the adaptive filtering processing is performed on the main channel signal by using the amplitude phase compensation signal to obtain separated weak signal data, and the method comprises the following steps:
processing by using an adaptive filtering formula to obtain separated weak signal data e (n);
the adaptive filtering formula is as follows:
Figure FDA0004019123790000041
wherein ω (n) is a 1×m order filter coefficient vector; n=1, 2..is the time variable, T is the transpose, H is the transpose of the conjugate, x represents the conjugatee (n) is the main channel signal, M is the filter order; step size μ (n) is constant, typicalThe value can be 0.8; x is xr (n)=[xr (n) xr (n-1)…xr (n-M+1)]T Is an amplitude phase compensation signal.
CN202211683795.1A2022-12-272022-12-27Cascade inhibition-based unbalanced aliasing spread spectrum signal blind separation methodActiveCN116015346B (en)

Priority Applications (1)

Application NumberPriority DateFiling DateTitle
CN202211683795.1ACN116015346B (en)2022-12-272022-12-27Cascade inhibition-based unbalanced aliasing spread spectrum signal blind separation method

Applications Claiming Priority (1)

Application NumberPriority DateFiling DateTitle
CN202211683795.1ACN116015346B (en)2022-12-272022-12-27Cascade inhibition-based unbalanced aliasing spread spectrum signal blind separation method

Publications (2)

Publication NumberPublication Date
CN116015346Atrue CN116015346A (en)2023-04-25
CN116015346B CN116015346B (en)2023-08-08

Family

ID=86026125

Family Applications (1)

Application NumberTitlePriority DateFiling Date
CN202211683795.1AActiveCN116015346B (en)2022-12-272022-12-27Cascade inhibition-based unbalanced aliasing spread spectrum signal blind separation method

Country Status (1)

CountryLink
CN (1)CN116015346B (en)

Citations (5)

* Cited by examiner, † Cited by third party
Publication numberPriority datePublication dateAssigneeTitle
US5898902A (en)*1994-03-171999-04-27Tuzov; Georgy IvanovichMethod and apparatus for multiple-station communication for low-orbit satelllite systems
CN101388677A (en)*2008-10-232009-03-18华南理工大学 Communication receiver anti-jamming method and system based on blind signal separation
CN105429673A (en)*2015-10-292016-03-23电子科技大学 Blind Separation of Long Code DS-CDMA Signals Based on Tensor Low Rank Decomposition
CN108288977A (en)*2018-01-262018-07-17重庆邮电大学A kind of WCDMA satellite communication systems are the same as frequency strong jamming counteracting and Weak Signal Extraction
CN109889218A (en)*2019-04-022019-06-14成都云溯新起点科技有限公司Single-channel co-channel interference identification and cancellation method

Patent Citations (5)

* Cited by examiner, † Cited by third party
Publication numberPriority datePublication dateAssigneeTitle
US5898902A (en)*1994-03-171999-04-27Tuzov; Georgy IvanovichMethod and apparatus for multiple-station communication for low-orbit satelllite systems
CN101388677A (en)*2008-10-232009-03-18华南理工大学 Communication receiver anti-jamming method and system based on blind signal separation
CN105429673A (en)*2015-10-292016-03-23电子科技大学 Blind Separation of Long Code DS-CDMA Signals Based on Tensor Low Rank Decomposition
CN108288977A (en)*2018-01-262018-07-17重庆邮电大学A kind of WCDMA satellite communication systems are the same as frequency strong jamming counteracting and Weak Signal Extraction
CN109889218A (en)*2019-04-022019-06-14成都云溯新起点科技有限公司Single-channel co-channel interference identification and cancellation method

Non-Patent Citations (2)

* Cited by examiner, † Cited by third party
Title
彭闯;杨晓静;姜丽;: "一种非对称PCMA信号盲分离算法", 宇航学报, no. 05*
杨宇翔;夏畅雄;熊瑾煜;陈鲸;: "干扰源双星定位中的邻星同频干扰解调对消方法", 电讯技术, no. 11*

Also Published As

Publication numberPublication date
CN116015346B (en)2023-08-08

Similar Documents

PublicationPublication DateTitle
US6005889A (en)Pseudo-random noise detector for signals having a carrier frequency offset
US5936961A (en)Signalling packet for communication system with reference modulated in accordance with a time-dependent law
US6993084B1 (en)Coarse frequency synchronisation in multicarrier systems
US6266361B1 (en)Method and architecture for correcting carrier frequency offset and spreading code timing offset in a direct sequence spread spectrum communication system
KR101432693B1 (en)Estimation of the frequency error of a tone signal with widened acquisition range
US11460541B2 (en)Method and system for detection of a target by a passive radar system exploiting multichannel-per-carrier illuminator sources
CN103926601B (en)Based on synthesis correlation function BOC(15,2.5) modulation system catching method
CN110417697B (en)Precise frequency measurement method for high-dynamic weak MPSK signal
US20180270091A1 (en)Synchronization for low-energy long-range communications
JP3266268B2 (en) Method and apparatus for estimating offset frequency of coherent receiver
CN114944974B (en)Frequency offset estimation method and device and electronic equipment
KR100907532B1 (en)Apparatus of Transmission, Method of Transmission, Apparatus for Phase Tracking and Method for Phase Tracking at the Ultra Wide Radio Frequency System using Pulse Method
CN115865127B (en)Parameter estimation and demodulation method for direct-spread signal
CN114172771A (en)Method and system for rapid frequency offset estimation and compensation based on burst communication
CN115941413B (en)High-power lead fusion navigation signal generation and receiving method
CN116015346B (en)Cascade inhibition-based unbalanced aliasing spread spectrum signal blind separation method
MXPA03008914A (en)System and method for radio transmitter acquisition.
He et al.Proposed OFDM modulation for future generations of GNSS signal system
US11362877B2 (en)Fast scan of NB-IoT signals in networks
CN113422748B (en)Method and device for estimating frequency offset in narrowband Internet of things and storage medium
CN109031361B (en)Frequency-locked loop + FFT (fast Fourier transform) large frequency offset capturing method
EP3352490B1 (en)Fast scan of nb-iot signals in networks
CrozierLow complexity frequency estimator with close-to-optimum performance
US20050254593A1 (en)Doppler aided detection, processing and demodulation of multiple signals
JP3639120B2 (en) Spread modulation signal receiver

Legal Events

DateCodeTitleDescription
PB01Publication
PB01Publication
SE01Entry into force of request for substantive examination
SE01Entry into force of request for substantive examination
GR01Patent grant
GR01Patent grant

[8]ページ先頭

©2009-2025 Movatter.jp