


技术领域technical field
本发明涉及智能交通控制技术领域,具体来说是一种快速路合流区主线车辆换道的动态控制方法。The invention relates to the technical field of intelligent traffic control, in particular to a dynamic control method for lane-changing main line vehicles in an expressway merge area.
背景技术Background technique
城市快速路承担着日益增加的机动车车流量,服务于市民远距离出行的需要,并在解决城市的交通拥堵方面起到了很重要的作用。在城市交通出行系统中,快速路互通式立交合流区是连接快速路与其它道路的主要节点。合流区域内机动车的行驶特性比较复杂,车辆之间容易产生相互影响;且构造形式不同,经常容易发生交通事故。在城市交通系统中,快速路互合流区是连接快速路与其它道路的主要节点。值得注意的是,分合流区域是判断交通流是否稳定的主要区域,而合流区作为交通流汇合的区域,对车流的影响程度最大。Urban expressways undertake the increasing traffic flow of motor vehicles, serve the needs of citizens for long-distance travel, and play an important role in solving urban traffic congestion. In the urban traffic travel system, the expressway interchange interchange area is the main node connecting the expressway and other roads. The driving characteristics of motor vehicles in the merging area are relatively complex, and the vehicles are likely to interact with each other; and the structural forms are different, and traffic accidents are often prone to occur. In the urban traffic system, the expressway merge area is the main node connecting the expressway with other roads. It is worth noting that the merging area is the main area to judge whether the traffic flow is stable, while the merging area, as the area where the traffic flow converges, has the greatest impact on the traffic flow.
在进入主线之前,匝道车辆都要经过加速车道,且速度要达到主线的规定速度,同时注意主线车辆运行情况。在合并进入主线时,由于车流的整体速度降低,车辆密度会变大,进而提高了交通冲突发生的概率。每个合流区都具有各自不同的几何构造与交通流量,交通安全也存在差异,因此混乱的交通秩序会导致交通拥堵,严重的甚至导致事故发生。Before entering the main line, ramp vehicles must pass through the acceleration lane, and the speed must reach the specified speed of the main line, and at the same time, pay attention to the running conditions of the main line vehicles. When merging into the main line, as the overall speed of the traffic flow decreases, the vehicle density will increase, thereby increasing the probability of traffic conflicts. Each merging area has its own different geometric structure and traffic flow, and there are differences in traffic safety. Therefore, chaotic traffic order will lead to traffic congestion, and even lead to accidents.
发明内容Contents of the invention
本发明为克服现有技术的不足之处,提出一种快速路合流区主线车辆换道的动态控制方法,以期能减少不必要的换道次数,并能平均车道上的车流量,从而能减少车辆的延误时间,并能提高车辆运行的效率,进而能降低合流区路段的事故发生率,并提高道路的安全水平。In order to overcome the deficiencies of the prior art, the present invention proposes a dynamic control method for lane-changing of mainline vehicles in the merge area of expressways, in order to reduce unnecessary times of lane-changing and to average the traffic flow on the lanes, thereby reducing The delay time of vehicles can be improved, and the efficiency of vehicle operation can be improved, which in turn can reduce the accident rate of the road section in the merge area and improve the safety level of the road.
本发明为达到上述发明目的,采用如下技术方案:The present invention adopts following technical scheme in order to achieve the above-mentioned purpose of the invention:
本发明一种快速路合流区主线车辆换道的动态控制方法的特点在于,包括以下步骤:The present invention is characterized in that a dynamic control method for lane changing of main line vehicles in the merge area of expressway comprises the following steps:
步骤1、将匝道处的快速路合流区划分为3个路段,并依次进行编号,其中任意一个路段编号定义为i,i=1、2、3,当i=1表示快速路合流区的上游路段,当i=2表示快速路合流区的中间路段,且与所述匝道连通,当i=3表示快速路合流区的下游路段,将第i个路段上的车道由外向内依次进行编号,其中,任意一个车道的编号定义为j,j=1、2、3;
在第2个路段的每条车道之间的道路交通标线两侧分别设置有智能发光道线;将第2个路段的第1条车道与第2条车道之间的道路交通标线的一侧智能发光道线记为L1,2,另一侧智能发光道线记为R1,2,将第2个路段的第2条车道与第3条车道之间的道路交通标线的一侧智能发光道线记为L2,3,另一侧智能发光道线记为R2,3;On both sides of the road traffic markings between each lane of the second road section, intelligent luminescent road lines are respectively set; one part of the road traffic markings between the first lane and the second lane of the second road section The intelligent light-emitting lane line on one side is marked as L1,2 , and the intelligent light-emitting lane line on the other side is marked as R1,2 . The intelligent luminous line on one side is marked as L2,3 , and the intelligent luminous line on the other side is marked as R2,3 ;
令任意一个时刻记为t,相邻两个时刻的间隔为Δt,将第i个路段的长度记为li;Let any moment be recorded as t, the interval between two adjacent moments is Δt, and the length of the i-th road section is recorded as li ;
步骤2、利用设置在每个路段和匝道上的智能路侧检测器获取时刻t的每个路段上各条车道和匝道上的车辆数,其中,令第i个路段上第j个条车道在时刻t的车辆数记为ni,j(t),匝道在时间t的车辆数记为nR(t),匝道的长度记为lR;Step 2. Use the intelligent roadside detectors installed on each road section and ramp to obtain the number of vehicles on each lane and ramp on each road section at time t, where the j-th lane on the i-th road section is set at The number of vehicles at time t is recorded as ni,j (t), the number of vehicles on the ramp at time t is recorded as nR (t), and the length of the ramp is recorded as lR ;
步骤3、计算快速路合流区的中间路段上每条车道的密度;Step 3, calculate the density of each lane on the middle road section of the expressway merge area;
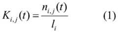
步骤3.1、根据式(1)计算第i个路段上第j个车道在时刻t的密度Ki,j(t);Step 3.1, calculate the density Ki,j (t) of the j-th lane on the i-th road section at time t according to formula (1);
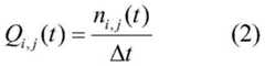
步骤3.2、根据式(2)计算第i个路段上第j个车道在时刻t的流量Qi,j(t);Step 3.2, calculate the flow Qi,j (t) of the j-th lane on the i-th road section at time t according to formula (2);
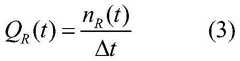
步骤3.3、根据式(3)计算匝道在时刻t的流量QR(t);Step 3.3, calculate the flow rate QR (t) of the ramp at time t according to formula (3);
步骤3.4、根据式(4)计算第i个路段上第j个车道在时刻t的拥堵波速ωi,j(t);Step 3.4, calculate the congestion wave velocity ωi,j (t) of the j-th lane on the i-th road section at time t according to formula (4);
式(4)中,Qi+1,j(t)表示第i+1个路段上第j个车道在时刻t的流量;Ki+1,j(t)表示第i+1个路段上第j个车道在时刻t的密度;In formula (4), Qi+1,j (t) represents the traffic flow of the jth lane on the i+1th road section at time t; Ki+1,j (t) represents the flow rate of the i+1th road section The density of the jth lane at time t;
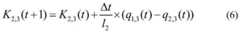
步骤3.5、根据式(5)计算第i个路段上第j个车道在时刻t向下游路段传输的车流量qi,j(t);Step 3.5. Calculate the traffic flow qi,j (t) of the jth lane on the i-th road section to the downstream road section at time t according to formula (5);
qi,j(t)=min{Vf×Ki,j(t),ωi,j(t)×(qi+1,jam(t)-Ki+1,j(t))}(5)qi,j (t)=min{Vf ×Ki,j (t),ωi,j (t)×(qi+1,jam (t)-Ki+1,j (t)) }(5)
式(5)中,Vf表示路段的自由流速度,qi+1,jam(t)表示第i+1个路段的阻塞密度,i≠3;In formula (5), Vf represents the free flow velocity of the road section, qi+1,jam (t) represents the blocking density of the i+1th road section, i≠3;
步骤3.6、根据式(6)计算第2个路段上第3个车道在时刻t+1的密度K2,3(t+1);Step 3.6, calculate the density K2,3 (t+1) of the third lane on the second road section at time t+1 according to formula (6);
式(6)中,K2,3(t)表示第2个路段上第3个车道在时刻t的密度,q1,3(t)表示第1个路段上第3个车道在时刻t向下游路段传输的车流量,q2,3(t)表示第2个路段上第3个车道在时刻t向下游路段传输的车流量,l2表示第i个路段的长度;In formula (6), K2,3 (t) represents the density of the third lane on the second road segment at time t, and q1,3 (t) represents the density of the third lane on the first road segment at time t The traffic flow of the downstream section, q2,3 (t) represents the traffic flow of the third lane on the second section to the downstream section at time t, and l2 indicates the length of the i-th section;
步骤3.7、根据式(7)计算第2个路段上第2个车道在时刻t+1的密度K2,2(t+1);Step 3.7, calculate the density K2,2 (t+1) of the second lane on the second road section at time t+1 according to formula (7);
式(6)中,K2,2(t)表示第2个路段上第2个车道在时刻t的密度,q2,2(t)表示第2个路段上第2个车道在时刻t向下游路段传输的车流量,q1,2(t)表示第1个路段上第2个车道在时刻t向下游路段传输的车流量;In formula (6), K2,2 (t) represents the density of the second lane on the second road segment at time t, and q2,2 (t) represents the density of the second lane on the second road segment at time t The traffic flow transmitted on the downstream section, q1,2 (t) represents the traffic flow transmitted from the second lane on the first section to the downstream section at time t;
步骤3.8、根据式(8)计算第2个路段上第1个车道在时刻t+1的密度K2,1(t+1);Step 3.8, calculate the density K2,1 (t+1) of the first lane on the second road section at time t+1 according to formula (8);
式(8)中,λ(t)表示时刻t匝道上的车辆汇入率,K2,1(t)表示第2个路段上第1个车道在时刻t的密度,q1,1(t)表示第1个路段上第1个车道在时刻t向下游路段传输的车流量,q2,1(t)表示第2个路段上第1个车道在时刻t向下游路段传输的车流量;In formula (8), λ(t) represents the vehicle merging rate on the ramp at time t, K2,1 (t) represents the density of the first lane on the second road segment at time t, q1,1 (t ) represents the traffic volume transmitted from the first lane on the first road segment to the downstream road segment at time t, and q2,1 (t) represents the traffic volume transmitted from the first lane on the second road segment to the downstream road segment at time t;
步骤4、动态确定主线车辆的换道方案;Step 4, dynamically determine the lane-changing scheme of the mainline vehicles;
判断第2个路段上第1个车道在时刻t+1的密度K2,1(t+1),第2个车道在时刻t+1的密度K2,2(t+1)和第3个车道在时刻t+1的密度K2,3(t+1)与道路的最佳密度Km之间的关系:Determine the density K2,1 (t+1) of the first lane on the second road segment at time t+1, the density K2,2 (t+1) of the second lane at time t+1 and the density of the third lane at time t+1 The relationship between the density K2,3 (t+1) of a lane at time t+1 and the optimal density Km of the road:
若K2,1(t+1)≤Km,K2,2(t+1)≤Km和K2,3(t+1)≤Km,则此时所有智能发光道线不发光;If K2,1 (t+1)≤Km , K2,2 (t+1)≤Km and K2,3 (t+1)≤Km , then all intelligent light-emitting lines will not emit light at this time ;
若K2,1(t+1)>Km,K2,2(t+1)≤Km和K2,3(t+1)≤Km,则此时控制智能发光道线L1,2和L2,3发光,用于提示第3车道上的车辆禁止换道到第2车道上,第2车道上的车辆禁止换道到第1车道上;If K2,1 (t+1)>Km , K2,2 (t+1)≤Km and K2,3 (t+1)≤Km , then control the intelligent light-emitting line L1 at this time,2 and L2,3 are illuminated to indicate that vehicles on the third lane are prohibited from changing lanes to the second lane, and vehicles on the second lane are prohibited from changing lanes to the first lane;
若K2,1(t+1)≤Km,K2,2(t+1)>Km和K2,3(t+1)≤Km,则此时控制智能发光道线R1,2和L2,3发光,用于提示第3车道上的车辆禁止换道到第2车道上,第1车道上的车辆禁止换道到第2车道上;If K2,1 (t+1)≤Km , K2,2 (t+1)>Km and K2,3 (t+1)≤Km , then control the intelligent light-emitting line R1 at this time, 2 and L2, 3 are illuminated to indicate that vehicles on the 3rd lane are prohibited from changing lanes to the 2nd lane, and vehicles on the 1st lane are prohibited from changing lanes to the 2nd lane;
若K2,1(t+1)≤Km,K2,2(t+1)≤Km和K2,3(t+1)>Km,则此时控制智能发光道线R1,2和R2,3发光,用于提示第1车道上的车辆禁止换道到第2车道上,第2车道上的车辆禁止换道到第3车道上;If K2,1 (t+1)≤Km , K2,2 (t+1)≤Km and K2,3 (t+1)>Km , then control the intelligent light-emitting line R1 at this time, 2 and R2, 3 are illuminated to indicate that vehicles on the 1st lane are prohibited from changing lanes to the 2nd lane, and vehicles on the 2nd lane are prohibited from changing lanes to the 3rd lane;
若K2,1(t+1)>Km,K2,2(t+1)>Km和K2,3(t+1)≤Km,则此时控制智能发光道线L1,2、L2,3和R1,2发光,用于提示第3车道上的车辆禁止换道到第2车道上,第2车道上的车辆禁止换道到第1车道上,第1车道上的车辆禁止换道到第2车道上;If K2,1 (t+1)>Km , K2,2 (t+1)>Km and K2,3 (t+1)≤Km , then control the intelligent lighting line L1 at this time,2 , L2,3 and R1,2 lights are used to indicate that vehicles on the 3rd lane are prohibited from changing lanes to the 2nd lane, and vehicles on the 2nd lane are prohibited from changing lanes to the 1st lane. Vehicles on board are prohibited from changing lanes to the second lane;
若K2,1(t+1)>Km,K2,2(t+1)≤Km和K2,3(t+1)>Km,则此时控制智能发光道线L1,2和R2,3发光,用于提示第2车道上的车辆禁止换道到第1车道上,第2车道上的车辆禁止换道到第3车道上;If K2,1 (t+1)>Km , K2,2 (t+1)≤Km and K2,3 (t+1)>Km , then control the intelligent light-emitting line L1 at this time, 2 and R2, 3 are illuminated to indicate that vehicles on the 2nd lane are prohibited from changing lanes to the 1st lane, and vehicles on the 2nd lane are prohibited from changing lanes to the 3rd lane;
若K2,1(t+1)≤Km,K2,2(t+1)>Km和K2,3(t+1)>Km,则此时控制智能发光道线R1,2、L2,3和R2,3发光,用于提示第1车道上的车辆禁止换道到第2车道上,第3车道上的车辆禁止换道到第2车道上,第2车道上的车辆禁止换道到第3车道上;If K2,1 (t+1)≤Km , K2,2 (t+1)>Km and K2,3 (t+1)>Km , then control the intelligent light-emitting line R1 at this time,2 , L2,3 and R2,3 are illuminated to indicate that vehicles on the first lane are prohibited from changing lanes to the second lane, and vehicles on the third lane are prohibited from changing lanes to the second lane. Vehicles on board are prohibited from changing lanes to the third lane;
若K2,1(t+1)>Km,K2,2(t+1)>Km和K2,3(t+1)>Km,则此时控制智能发光道线L1,2、L2,3、R1,2和R2,3发光,用于提示所有车道均禁止换道;If K2,1 (t+1)>Km , K2,2 (t+1)>Km and K2,3 (t+1)>Km , then control the intelligent lighting line L1 at this time,2 , L2,3 , R1,2 and R2,3 are illuminated to indicate that all lanes are prohibited from changing lanes;
步骤5、将t+1赋值给t,返回步骤2顺序执行,继续判断下一时刻合流区路段禁止换道的情况。Step 5. Assign t+1 to t, return to step 2 and execute sequentially, and continue to judge the prohibition of changing lanes on the road section of the merge area at the next moment.
本发明一种电子设备,包括存储器以及处理器的特点在于,所述存储器用于存储支持处理器执行所述动态控制方法的程序,所述处理器被配置为用于执行所述存储器中存储的程序。An electronic device according to the present invention, comprising a memory and a processor, is characterized in that the memory is used to store a program that supports the processor to execute the dynamic control method, and the processor is configured to execute the program stored in the memory program.
本发明一种计算机可读存储介质,计算机可读存储介质上存储有计算机程序的特点在于,所述计算机程序被处理器运行时执行所述动态控制方法的步骤。The present invention is a computer-readable storage medium, and the computer-readable storage medium stores a computer program, which is characterized in that the steps of the dynamic control method are executed when the computer program is run by a processor.
与已有技术相比,本发明的有益技术效果体现在:Compared with the prior art, the beneficial technical effects of the present invention are reflected in:
1、本发明通过智能路侧检测器获取数据,计算得出合流区路段的每条车道的密度,然后将每条车道上密度和最佳密度进行比较,确定了禁止换道的方案,减少了不必要的换道次数,,并平均了车道上的流量,从而减少了车辆的延误时间,并提高了车辆运行的效率,进而降低了合流区路段的事故发生率,并提高了道路的安全水平。1. The present invention acquires data through an intelligent roadside detector, calculates the density of each lane in the merge area, then compares the density on each lane with the optimal density, and determines the plan for prohibiting lane changing, reducing Unnecessary lane changes, and average the traffic on the lane, thereby reducing the delay time of vehicles and improving the efficiency of vehicle operation, thereby reducing the accident rate in the merge area and improving the safety level of the road .
2、本发明将路段分成三段而且考虑了每一条车道之间的差异,进一步考虑了可能发生的所有方案,使得提出的算法更加贴合实际,提高了快速路主线路段动态确定智能发光道线算法的适用性。2. The present invention divides the road section into three sections and considers the differences between each lane, and further considers all possible solutions, so that the proposed algorithm is more practical and improves the dynamic determination of the intelligent light-emitting road line of the main road section of the expressway. Applicability of the algorithm.
3、本发明通过智能发光道线的发光与否动态改变变道的规则,而且智能发光道线的动态变化考虑了方向的变化,避免了低密度车道上的车辆换道到高密度的车道上,为快速路合流区道路标线的设置提供一定的理论基础。3. The present invention dynamically changes the lane-changing rules through whether the intelligent light-emitting lanes are illuminated or not, and the dynamic change of the intelligent light-emitting lanes takes into account the change of direction, avoiding vehicles on low-density lanes changing lanes to high-density lanes , to provide a certain theoretical basis for the setting of road markings in the expressway merge area.
附图说明Description of drawings
图1为本发明的总体流程图;Fig. 1 is the general flowchart of the present invention;
图2为本发明控制循环图;Fig. 2 is a control loop diagram of the present invention;
图3为本发明控制道路示意图。Fig. 3 is a schematic diagram of the control road of the present invention.
具体实施方式Detailed ways
本实施例中,如图1所示,一种快速路合流区主线车辆换道的动态控制方法包括以下步骤:In this embodiment, as shown in FIG. 1 , a dynamic control method for lane changing of main line vehicles in an expressway merge area includes the following steps:
步骤1、将匝道处的快速路合流区划分为3个路段,并依次进行编号,其中任意一个路段编号定义为i,i=1、2、3,当i=1表示快速路合流区的上游路段,当i=2表示快速路合流区的中间路段,且与所述匝道连通,当i=3表示快速路合流区的下游路段,将第i个路段上的车道由外向内依次进行编号,其中,任意一个车道的编号定义为j,j=1、2、3;
在第2个路段的每条车道之间的道路交通标线两侧分别设置有智能发光道线;将第2个路段的第1条车道与第2条车道之间的道路交通标线的一侧智能发光道线记为L1,2,另一侧智能发光道线记为R1,2,将第2个路段的第2条车道与第3条车道之间的道路交通标线的一侧智能发光道线记为L2,3,另一侧智能发光道线记为R2,3;On both sides of the road traffic markings between each lane of the second road section, intelligent luminescent road lines are respectively set; one part of the road traffic markings between the first lane and the second lane of the second road section The intelligent light-emitting lane line on one side is marked as L1,2 , and the intelligent light-emitting lane line on the other side is marked as R1,2 . The intelligent luminous line on one side is marked as L2,3 , and the intelligent luminous line on the other side is marked as R2,3 ;
令任意一个时刻记为t,相邻两个时刻的间隔为Δt,将第i个路段的长度记为li;Let any moment be recorded as t, the interval between two adjacent moments is Δt, and the length of the i-th road section is recorded as li ;
步骤2、利用设置在每个路段和匝道上的智能路侧检测器获取时刻t的每个路段上各条车道和匝道上的车辆数,其中,令第i个路段上第j个条车道在时刻t的车辆数记为ni,j(t),匝道在时间t的车辆数记为nR(t),匝道的长度记为lR;Step 2. Use the intelligent roadside detectors installed on each road section and ramp to obtain the number of vehicles on each lane and ramp on each road section at time t, where the j-th lane on the i-th road section is set at The number of vehicles at time t is recorded as ni,j (t), the number of vehicles on the ramp at time t is recorded as nR (t), and the length of the ramp is recorded as lR ;
步骤3、计算快速路合流区的中间路段上每条车道的密度;Step 3, calculate the density of each lane on the middle road section of the expressway merge area;
步骤3.1、根据式(1)计算第i个路段上第j个车道在时刻t的密度Ki,j(t);Step 3.1, calculate the density Ki,j (t) of the j-th lane on the i-th road section at time t according to formula (1);
步骤3.2、根据式(2)计算第i个路段上第j个车道在时刻t的流量Qi,j(t);Step 3.2, calculate the flow Qi,j (t) of the j-th lane on the i-th road section at time t according to formula (2);
步骤3.3、根据式(3)计算匝道在时刻t的流量QR(t);Step 3.3, calculate the flow rate QR (t) of the ramp at time t according to formula (3);
步骤3.4、根据式(4)计算第i个路段上第j个车道在时刻t的拥堵波速ωi,j(t);Step 3.4, calculate the congestion wave velocity ωi,j (t) of the j-th lane on the i-th road section at time t according to formula (4);
式(4)中,Qi+1,j(t)表示第i+1个路段上第j个车道在时刻t的流量;Ki+1,j(t)表示第i+1个路段上第j个车道在时刻t的密度;In formula (4), Qi+1,j (t) represents the traffic flow of the jth lane on the i+1th road section at time t; Ki+1,j (t) represents the flow rate of the i+1th road section The density of the jth lane at time t;
步骤3.5、根据式(5)计算第i个路段上第j个车道在时刻t向下游路段传输的车流量qi,j(t);Step 3.5. Calculate the traffic flow qi,j (t) of the jth lane on the i-th road section to the downstream road section at time t according to formula (5);
qi,j(t)=min{Vf×Ki,j(t),ωi,j(t)×(qi+1,jam(t)-Ki+1,j(t))}(5)qi,j (t)=min{Vf ×Ki,j (t),ωi,j (t)×(qi+1,jam (t)-Ki+1,j (t)) }(5)
式(5)中,Vf表示路段的自由流速度,qi+1,jam(t)表示第i+1个路段的阻塞密度,i≠3;In formula (5), Vf represents the free flow velocity of the road section, qi+1,jam (t) represents the blocking density of the i+1th road section, i≠3;
步骤3.6、根据式(6)计算第2个路段上第3个车道在时刻t+1的密度K2,3(t+1);Step 3.6, calculate the density K2,3 (t+1) of the third lane on the second road section at time t+1 according to formula (6);
式(6)中,K2,3(t)表示第2个路段上第3个车道在时刻t的密度,q1,3(t)表示第1个路段上第3个车道在时刻t向下游路段传输的车流量,q2,3(t)表示第2个路段上第3个车道在时刻t向下游路段传输的车流量,l2表示第i个路段的长度;In formula (6), K2,3 (t) represents the density of the third lane on the second road segment at time t, and q1,3 (t) represents the density of the third lane on the first road segment at time t The traffic flow of the downstream section, q2,3 (t) represents the traffic flow of the third lane on the second section to the downstream section at time t, and l2 indicates the length of the i-th section;
步骤3.7、根据式(7)计算第2个路段上第2个车道在时刻t+1的密度K2,2(t+1);Step 3.7, calculate the density K2,2 (t+1) of the second lane on the second road section at time t+1 according to formula (7);
式(6)中,K2,2(t)表示第2个路段上第2个车道在时刻t的密度,q2,2(t)表示第2个路段上第2个车道在时刻t向下游路段传输的车流量,q1,2(t)表示第1个路段上第2个车道在时刻t向下游路段传输的车流量;In formula (6), K2,2 (t) represents the density of the second lane on the second road segment at time t, and q2,2 (t) represents the density of the second lane on the second road segment at time t The traffic flow transmitted on the downstream section, q1,2 (t) represents the traffic flow transmitted from the second lane on the first section to the downstream section at time t;
步骤3.8、根据式(8)计算第2个路段上第1个车道在时刻t+1的密度K2,1(t+1);Step 3.8, calculate the density K2,1 (t+1) of the first lane on the second road section at time t+1 according to formula (8);
式(8)中,λ(t)表示时刻t匝道上的车辆汇入率,K2,1(t)表示第2个路段上第1个车道在时刻t的密度,q1,1(t)表示第1个路段上第1个车道在时刻t向下游路段传输的车流量,q2,1(t)表示第2个路段上第1个车道在时刻t向下游路段传输的车流量;In formula (8), λ(t) represents the vehicle merging rate on the ramp at time t, K2,1 (t) represents the density of the first lane on the second road segment at time t, q1,1 (t ) represents the traffic volume transmitted from the first lane on the first road segment to the downstream road segment at time t, and q2,1 (t) represents the traffic volume transmitted from the first lane on the second road segment to the downstream road segment at time t;
步骤4、动态确定主线车辆的换道方案;Step 4, dynamically determine the lane-changing scheme of the mainline vehicles;
如图2所示,为控制的循环图,确定主线智能发光道线是否发光(这是智能发光道线发光表示车辆可以允许换道,智能发光道线不发光表示车辆不不允许换道)。As shown in Figure 2, it is a cycle diagram of control to determine whether the intelligent light-emitting lanes of the main line are illuminated (this is that the intelligent light-emitting lanes illuminate to indicate that the vehicle is allowed to change lanes, and the non-illuminated intelligent light-emitting lanes indicate that the vehicles are not allowed to change lanes).
判断第2个路段上第1个车道在时刻t+1的密度K2,1(t+1),第2个车道在时刻t+1的密度K2,2(t+1)和第3个车道在时刻t+1的密度K2,3(t+1)与道路的最佳密度Km之间的关系:Determine the density K2,1 (t+1) of the first lane on the second road segment at
若K2,1(t+1)≤Km,K2,2(t+1)≤Km和K2,3(t+1)≤Km,则此时所有智能发光道线不发光;用于所有车道均允许换道;If K2,1 (t+1)≤Km , K2,2 (t+1)≤Km and K2,3 (t+1)≤Km , then all intelligent light-emitting lines will not emit light at this time ;All lanes are allowed to change lanes;
若K2,1(t+1)>Km,K2,2(t+1)≤Km和K2,3(t+1)≤Km,则此时控制智能发光道线L1,2和L2,3发光,用于提示第3车道上的车辆禁止换道到第2车道上,第2车道上的车辆禁止换道到第1车道上;智能发光发道线R1,2和R2,3不发光,允许第1车道上的车辆换道到第2车道上,第2车道上的车辆换道到第3车道上;If K2,1 (t+1)>Km , K2,2 (t+1)≤Km and K2,3 (t+1)≤Km , then control the intelligent light-emitting line L1 at this time,2 and L2,3 are illuminated to indicate that vehicles on the third lane are prohibited from changing lanes to the second lane, and vehicles on the second lane are prohibited from changing lanes to the first lane; intelligent light emitting lanes R1, 2 and R2,3 are not illuminated, allowing vehicles on the 1st lane to change lanes to the 2nd lane, and vehicles on the 2nd lane to change lanes to the 3rd lane;
若K2,1(t+1)≤Km,K2,2(t+1)>Km和K2,3(t+1)≤Km,则此时控制智能发光道线R1,2和L2,3发光,用于提示第3车道上的车辆禁止换道到第2车道上,第1车道上的车辆禁止换道到第2车道上;智能发光发道线L1,2和R2,3不发光,允许第2车道上的车辆换道到第1车道上,第2车道上的车辆换道到第3车道上;If K2,1 (t+1)≤Km , K2,2 (t+1)>Km and K2,3 (t+1)≤Km , then control the intelligent light-emitting line R1 at this time,2 and L2,3 are illuminated to indicate that vehicles on the 3rd lane are prohibited from changing lanes to the 2nd lane, and vehicles on the 1st lane are prohibited from changing lanes to the 2nd lane; the intelligent light emitting lane line L1, 2 and R2,3 are not illuminated, allowing vehicles on the 2nd lane to change lanes to the 1st lane, and vehicles on the 2nd lane to change lanes to the 3rd lane;
若K2,1(t+1)≤Km,K2,2(t+1)≤Km和K2,3(t+1)>Km,则此时控制智能发光道线R1,2和R2,3发光,用于提示第1车道上的车辆禁止换道到第2车道上,第2车道上的车辆禁止换道到第3车道上;智能发光发道线L1,2和L2,3不发光,允许第2车道上的车辆换道到第1车道上,第3车道上的车辆换道到第2车道上;If K2,1 (t+1)≤Km , K2,2 (t+1)≤Km and K2,3 (t+1)>Km , then control the intelligent light-emitting line R1 at this time,2 and R2,3 are illuminated to indicate that vehicles on the first lane are prohibited from changing lanes to the second lane, and vehicles on the second lane are prohibited from changing lanes to the third lane; intelligent light emitting lanes L1, 2 and L2,3 are not illuminated, allowing vehicles on the 2nd lane to change lanes to the 1st lane, and vehicles on the 3rd lane to change lanes to the 2nd lane;
若K2,1(t+1)>Km,K2,2(t+1)>Km和K2,3(t+1)≤Km,则此时控制智能发光道线L1,2、L2,3和R1,2发光,用于提示第3车道上的车辆禁止换道到第2车道上,第2车道上的车辆禁止换道到第1车道上,第1车道上的车辆禁止换道到第2车道上;智能发光发道线R2,3不发光,允许第2车道上的车辆换道到第3车道上;If K2,1 (t+1)>Km , K2,2 (t+1)>Km and K2,3 (t+1)≤Km , then control the intelligent lighting line L1 at this time,2 , L2,3 and R1,2 lights are used to indicate that vehicles on the 3rd lane are prohibited from changing lanes to the 2nd lane, and vehicles on the 2nd lane are prohibited from changing lanes to the 1st lane. Vehicles on the road are prohibited from changing lanes to the second lane; the intelligent light-emitting lane line R2,3 is not illuminated, and vehicles on the second lane are allowed to change lanes to the third lane;
若K2,1(t+1)>Km,K2,2(t+1)≤Km和K2,3(t+1)>Km,则此时控制智能发光道线L1,2和R2,3发光,用于提示第2车道上的车辆禁止换道到第1车道上,第2车道上的车辆禁止换道到第3车道上;智能发光发道线R1,2和L2,3不发光,允许第1车道上的车辆换道到第2车道上,第3车道上的车辆换道到第2车道上;If K2,1 (t+1)>Km , K2,2 (t+1)≤Km and K2,3 (t+1)>Km , then control the intelligent light-emitting line L1 at this time,2 and R2,3 are illuminated to indicate that vehicles on the 2nd lane are prohibited from changing lanes to the 1st lane, and vehicles on the 2nd lane are prohibited from changing lanes to the 3rd lane; the intelligent light emitting lane line R1, 2 and L2,3 are not illuminated, allowing vehicles on the 1st lane to change lanes to the 2nd lane, and vehicles on the 3rd lane to change lanes to the 2nd lane;
若K2,1(t+1)≤Km,K2,2(t+1)>Km和K2,3(t+1)>Km,则此时控制智能发光道线R1,2、L2,3和R2,3发光,用于提示第1车道上的车辆禁止换道到第2车道上,第3车道上的车辆禁止换道到第2车道上,第2车道上的车辆禁止换道到第3车道上;智能发光发道线L1,2不发光,允许第2车道上的车辆换道到第1车道上;If K2,1 (t+1)≤Km , K2,2 (t+1)>Km and K2,3 (t+1)>Km , then control the intelligent light-emitting line R1 at this time,2 , L2,3 and R2,3 are illuminated, used to indicate that vehicles on the 1st lane are prohibited from changing lanes to the 2nd lane, and vehicles on the 3rd lane are prohibited from changing lanes to the 2nd lane. Vehicles on the road are prohibited from changing lanes to the third lane; the intelligent light-emitting lane line L1, 2 is not illuminated, and vehicles on the second lane are allowed to change lanes to the first lane;
若K2,1(t+1)>Km,K2,2(t+1)>Km和K2,3(t+1)>Km,则此时控制智能发光道线L1,2、L2,3、R1,2和R2,3发光,用于提示所有车道均禁止换道;If K2,1 (t+1)>Km , K2,2 (t+1)>Km and K2,3 (t+1)>Km , then control the intelligent lighting line L1 at this time,2 , L2,3 , R1,2 and R2,3 are illuminated to indicate that all lanes are prohibited from changing lanes;
步骤5、将t+1赋值给t,返回步骤2顺序执行,继续判断下一时刻合流区路段禁止换道的情况。Step 5. Assign t+1 to t, return to step 2 and execute sequentially, and continue to judge the prohibition of changing lanes on the road section of the merge area at the next moment.
本实施例中,一种电子设备,包括存储器以及处理器,该存储器用于存储支持处理器执行上述动态控制方法的程序,该处理器被配置为用于执行该存储器中存储的程序。In this embodiment, an electronic device includes a memory and a processor, the memory is used to store a program supporting the processor to execute the above dynamic control method, and the processor is configured to execute the program stored in the memory.
本实施例中,一种计算机可读存储介质,是在计算机可读存储介质上存储有计算机程序,该计算机程序被处理器运行时执行上述动态控制方法的步骤。In this embodiment, a computer-readable storage medium stores a computer program on the computer-readable storage medium, and when the computer program is run by a processor, the steps of the above dynamic control method are executed.
如图3所示,本实施例1:以Km=50辆/千米为例,通过上面的算法计算得出K2,1(t+1)=40辆/千米,K2,2(t+1)=60辆/千米和K2,3(t+1)=30辆/千米时。As shown in Figure 3, the present embodiment 1: taking Km =50 vehicles/km as an example, K2,1 (t+1)=40 vehicles/km is calculated by the above algorithm, K2,2 (t+1)=60 vehicles/km and K2,3 (t+1)=30 vehicles/km.
判断第2个路段上第1个车道在时刻t+1的密度K2,1(t+1),第2个车道在时刻t+1的密度K2,2(t+1)和第3个车道在时刻t+1的密度K2,3(t+1)与道路的最佳密度Km之间的关系:Determine the density K2,1 (t+1) of the first lane on the second road segment at
K2,1(t+1)=40<Km=50,K2,2(t+1)=60>Km=50和K2,3(t+1)=30<Km=50,则此时控制智能发光道线R1,2和L2,3发光,1车道上的车辆禁止换道到2车道,3车道上的车辆禁止换道到2车道,其他车道可以正常换道。K2,1 (t+1)=40<Km =50, K2,2 (t+1)=60>Km =50 and K2,3 (t+1)=30<Km =50 , then control the intelligent light-emitting lane lines R1, 2 and L2, 3 to illuminate at this time, vehicles in
本实施例2:This embodiment 2:
以Km=50辆/千米为例,通过上面的算法计算得出K2,1(t+1)=40辆/千米,K2,2(t+1)=20辆/千米和K2,3(t+1)=30辆/千米。Taking Km =50 vehicles/km as an example, K2,1 (t+1)=40 vehicles/km and K2,2 (t+1)=20 vehicles/km are calculated by the above algorithm and K2,3 (t+1)=30 vehicles/km.
判断第2个路段上第1个车道在时刻t+1的密度K2,1(t+1),第2个车道在时刻t+1的密度K2,2(t+1)和第3个车道在时刻t+1的密度K2,3(t+1)与道路的最佳密度Km之间的关系:Determine the density K2,1 (t+1) of the first lane on the second road segment at
K2,1(t+1)=40<Km=50,K2,2(t+1)=20<Km=50和K2,3(t+1)=30<Km=50,此时每条道路畅通,此时不进行控制。K2,1 (t+1)=40<Km =50, K2,2 (t+1)=20<Km =50 and K2,3 (t+1)=30<Km =50 , at this time each road is unblocked, and no control is performed at this time.
本实施例3:The present embodiment 3:
以Km=50辆/千米为例,通过上面的算法计算得出K2,1(t+1)=60辆/千米,K2,2(t+1)=70辆/千米和K2,3(t+1)=30辆/千米。Taking Km =50 vehicles/km as an example, K2,1 (t+1)=60 vehicles/km and K2,2 (t+1)=70 vehicles/km are calculated by the above algorithm and K2,3 (t+1)=30 vehicles/km.
判断第2个路段上第1个车道在时刻t+1的密度K2,1(t+1),第2个车道在时刻t+1的密度K2,2(t+1)和第3个车道在时刻t+1的密度K2,3(t+1)与道路的最佳密度Km之间的关系:Determine the density K2,1 (t+1) of the first lane on the second road segment at
K2,1(t+1)=60>Km=50,K2,2(t+1)=70>Km=50和K2,3(t+1)=30<Km=50,则此时控制智能发光道线L1,2、L2,3和R1,2发光,第2车道上的车辆禁止换道到第1车道,第3车道上的车辆禁止换道到第1车道和第1车道上的车辆禁止换道到第2车道,其他车道可以正常换道。K2,1 (t+1)=60>Km =50, K2,2 (t+1)=70>Km =50 and K2,3 (t+1)=30<Km =50 , then control the intelligent light-emitting lane lines L1,2 , L2,3 and R1,2 to illuminate at this time, vehicles on the second lane are prohibited from changing lanes to the first lane, and vehicles on the third lane are prohibited from changing lanes to the first lane Vehicles in
本实施例4:以Km=50辆/千米为例,通过上面的算法计算得出K2,1(t+1)=60辆/千米,K2,2(t+1)=70辆/千米和K2,3(t+1)=60辆/千米时。Embodiment 4: Taking Km =50 vehicles/km as an example, K2,1 (t+1)=60 vehicles/km is calculated by the above algorithm, and K2,2 (t+1)= 70 vehicles/km and K2,3 (t+1)=60 vehicles/km.
判断第2个路段上第1个车道在时刻t+1的密度K2,1(t+1),第2个车道在时刻t+1的密度K2,2(t+1)和第3个车道在时刻t+1的密度K2,3(t+1)与道路的最佳密度Km之间的关系:K2,1(t+1)=60>Km=50,K2,2(t+1)=70>Km=50和K2,3(t+1)=60>Km=50,则此时控制智能发光道线L1,2、L2,3、R1,2和R2,3发光,所有车道禁止换道。Determine the density K2,1 (t+1) of the first lane on the second road segment at
| Application Number | Priority Date | Filing Date | Title |
|---|---|---|---|
| CN202310017846.5ACN116013076B (en) | 2023-01-06 | 2023-01-06 | A dynamic control method for lane changing of main line vehicles in expressway merging areas |
| Application Number | Priority Date | Filing Date | Title |
|---|---|---|---|
| CN202310017846.5ACN116013076B (en) | 2023-01-06 | 2023-01-06 | A dynamic control method for lane changing of main line vehicles in expressway merging areas |
| Publication Number | Publication Date |
|---|---|
| CN116013076Atrue CN116013076A (en) | 2023-04-25 |
| CN116013076B CN116013076B (en) | 2023-11-03 |
| Application Number | Title | Priority Date | Filing Date |
|---|---|---|---|
| CN202310017846.5AActiveCN116013076B (en) | 2023-01-06 | 2023-01-06 | A dynamic control method for lane changing of main line vehicles in expressway merging areas |
| Country | Link |
|---|---|
| CN (1) | CN116013076B (en) |
| Publication number | Priority date | Publication date | Assignee | Title |
|---|---|---|---|---|
| JP2001101570A (en)* | 1999-09-30 | 2001-04-13 | Sumitomo Electric Ind Ltd | Required time calculation method and required time calculation device |
| CN111462491A (en)* | 2019-12-10 | 2020-07-28 | 北京航空航天大学 | A Traffic Conflict Early Warning Method Based on Ramp Control in Expressway Convergence Area |
| CN113450583A (en)* | 2021-09-01 | 2021-09-28 | 长沙理工大学 | Expressway variable speed limit and lane change cooperative control method under vehicle and road cooperation |
| CN113947900A (en)* | 2021-10-15 | 2022-01-18 | 苏州科技大学 | An intelligent network-connected expressway ramp cooperative control system |
| CN114664078A (en)* | 2022-03-18 | 2022-06-24 | 河北工业大学 | Road confluence area cooperation convergence control method based on automatic driving vehicle queue |
| Publication number | Priority date | Publication date | Assignee | Title |
|---|---|---|---|---|
| JP2001101570A (en)* | 1999-09-30 | 2001-04-13 | Sumitomo Electric Ind Ltd | Required time calculation method and required time calculation device |
| CN111462491A (en)* | 2019-12-10 | 2020-07-28 | 北京航空航天大学 | A Traffic Conflict Early Warning Method Based on Ramp Control in Expressway Convergence Area |
| CN113450583A (en)* | 2021-09-01 | 2021-09-28 | 长沙理工大学 | Expressway variable speed limit and lane change cooperative control method under vehicle and road cooperation |
| CN113947900A (en)* | 2021-10-15 | 2022-01-18 | 苏州科技大学 | An intelligent network-connected expressway ramp cooperative control system |
| CN114664078A (en)* | 2022-03-18 | 2022-06-24 | 河北工业大学 | Road confluence area cooperation convergence control method based on automatic driving vehicle queue |
| Title |
|---|
| XIMENA JAUREGUI 等: "Locations and Length of Entrances and Exits of an Automated Truck Lane on a U.S. Freeway", 《2021 SMART CITY SYMPOSIUM PRAGUE (SCSP)》* |
| 丁恒;蒋程镔;朱良元;郭放;: "基于地面路网MFD的快速路出口匝道流量分配模型", 交通运输系统工程与信息, no. 05* |
| Publication number | Publication date |
|---|---|
| CN116013076B (en) | 2023-11-03 |
| Publication | Publication Date | Title |
|---|---|---|
| CN112258849B (en) | Dynamic automatic driving special lane based on expressway and use method thereof | |
| CN104015730B (en) | The system for instructing driver | |
| CN102473347B (en) | Travel pattern generation device | |
| CN108842652B (en) | A variable merging marking line in the merging area of a highway ramp and its setting method | |
| CN110910646B (en) | Cooperative control method for unmanned buses at intersection | |
| JP6180928B2 (en) | How to find an elongate passage | |
| US20090254266A1 (en) | Apparatus of calculating a navigation route based on estimated energy consumption | |
| CN113257024B (en) | V2I-based rear-end collision prevention early warning method and system for expressway rain and fog environment | |
| CN107085951A (en) | A pre-signal control method for straight-left shared variable lanes at intersection entrances | |
| CN116013078B (en) | Dynamic control method for merging main line of ramp vehicles in rapid transit merging area | |
| CN113870601B (en) | A method and system for controlling a vehicle to pass through a green wave band | |
| CN112365714B (en) | A traffic signal control method at the intersection of main and branch roads for smart rail traffic | |
| CN111932910A (en) | Real-time dynamic variable lane safety control method under intelligent vehicle-road cooperative environment | |
| CN113470389B (en) | Intelligent traffic control method | |
| WO2020216384A1 (en) | Urban tunnel variable lane dividing line control method | |
| CN107622669A (en) | A method for identifying whether a right-turning motor vehicle yields to pedestrians | |
| CN108320535A (en) | A kind of passing control method of road merging area weaving vehicles | |
| CN111583629A (en) | Method for dividing traffic network | |
| CN116013076B (en) | A dynamic control method for lane changing of main line vehicles in expressway merging areas | |
| CN115123240A (en) | Ramp passing method and device for vehicle, vehicle and storage medium | |
| CN111367968B (en) | Driving data processing method, device, equipment and storage medium | |
| CN2687164Y (en) | Vehicle through-flow cross intersection | |
| CN118629215A (en) | Method, system and computer equipment for active control of slow vehicles in highway classification | |
| CN117746681A (en) | Unmanned multi-road right management and control method and system in working area | |
| CN115100883B (en) | Multi-stage variable speed-limiting control method based on reduction of highway traffic capacity |
| Date | Code | Title | Description |
|---|---|---|---|
| PB01 | Publication | ||
| PB01 | Publication | ||
| SE01 | Entry into force of request for substantive examination | ||
| SE01 | Entry into force of request for substantive examination | ||
| GR01 | Patent grant | ||
| GR01 | Patent grant |