








技术领域Technical Field
本发明涉及交通控制技术领域,尤其涉及一种车辆的通行控制方法、装置、设备及存储介质。The present invention relates to the technical field of traffic control, and in particular to a vehicle traffic control method, device, equipment and storage medium.
背景技术Background Art
自动驾驶技术具有控制精度高、反应速度快以及信息接收与传输能力强等优势,为缓解当下的城市交通问题、构建安全高效的道路环境带来了新的可能性。借助车路协同技术,能够实现车间信息通讯与车-基础设施信息通讯,获得交叉口一定区域内的车辆动态信息,从而将自动驾驶车辆的控制与交叉口的通行策略的控制进行联合决策,以提高车辆通行效率与安全性。Autonomous driving technology has the advantages of high control accuracy, fast response speed, and strong information reception and transmission capabilities, bringing new possibilities for alleviating current urban traffic problems and building a safe and efficient road environment. With the help of vehicle-road collaborative technology, vehicle-to-infrastructure information communication and vehicle-to-infrastructure information communication can be realized, and vehicle dynamic information within a certain area of the intersection can be obtained, so as to make joint decisions on the control of the autonomous driving vehicle and the control of the intersection's traffic strategy to improve vehicle traffic efficiency and safety.
目前,为了降低通行成本,交叉口通行控制策略通常需要较宽的车道布局以扩展通行容量,以达到更小的车辆延误时间。因此,现有技术难以实现对车道的高效利用,容易造成交叉口通行控制效率低下。At present, in order to reduce the cost of traffic, the traffic control strategy at the intersection usually requires a wider lane layout to expand the traffic capacity and achieve a smaller vehicle delay time. Therefore, it is difficult for the existing technology to achieve efficient use of lanes, which easily leads to low efficiency of traffic control at the intersection.
发明内容Summary of the invention
本发明提供了一种车辆的通行控制方法、装置、设备及存储介质,以解决交叉口通行效率低的问题,可以在提高交叉口通行效率的同时,提高车道利用率。The present invention provides a vehicle traffic control method, device, equipment and storage medium to solve the problem of low traffic efficiency at an intersection, and can improve the traffic efficiency at the intersection while improving the lane utilization rate.
根据本发明的一方面,提供了一种车辆的通行控制方法,所述方法包括:According to one aspect of the present invention, a vehicle traffic control method is provided, the method comprising:
若检测到目标车辆进入交叉口关联区域,则获取目标车辆的位置数据和速度数据;If the target vehicle is detected to enter the intersection-related area, the position data and speed data of the target vehicle are obtained;
根据目标车辆的位置数据和速度数据,按照预先确定的通行规则,确定目标车辆的控制策略,以控制目标车辆在交叉口内的通行轨迹;According to the position data and speed data of the target vehicle and in accordance with the predetermined traffic rules, a control strategy for the target vehicle is determined to control the traffic trajectory of the target vehicle in the intersection;
其中,所述通行规则是将交叉口的几何布局以及车辆的通行控制策略进行联合设计得到的。The traffic rules are obtained by jointly designing the geometric layout of the intersection and the traffic control strategy of the vehicle.
根据本发明的另一方面,提供了一种车辆的通行控制装置,该装置包括:According to another aspect of the present invention, there is provided a vehicle traffic control device, the device comprising:
数据获取模块,用于若检测到目标车辆进入交叉口关联区域,则获取目标车辆的位置数据和速度数据;A data acquisition module is used to acquire the position data and speed data of the target vehicle if it is detected that the target vehicle enters the intersection-related area;
控制策略确定模块,用于根据目标车辆的位置数据和速度数据,按照预先确定的通行规则,确定目标车辆的控制策略,以控制目标车辆在交叉口内的通行轨迹;A control strategy determination module is used to determine the control strategy of the target vehicle according to the position data and speed data of the target vehicle and the predetermined traffic rules, so as to control the traffic trajectory of the target vehicle in the intersection;
其中,所述通行规则是将交叉口的几何布局以及车辆的通行控制策略进行联合设计得到的。The traffic rules are obtained by jointly designing the geometric layout of the intersection and the traffic control strategy of the vehicle.
根据本发明的另一方面,提供了一种电子设备,所述电子设备包括:According to another aspect of the present invention, an electronic device is provided, the electronic device comprising:
至少一个处理器;以及at least one processor; and
与所述至少一个处理器通信连接的存储器;其中,a memory communicatively connected to the at least one processor; wherein,
所述存储器存储有可被所述至少一个处理器执行的计算机程序,所述计算机程序被所述至少一个处理器执行,以使所述至少一个处理器能够执行本发明任一实施例所述的车辆的通行控制方法。The memory stores a computer program that can be executed by the at least one processor, and the computer program is executed by the at least one processor so that the at least one processor can execute the vehicle traffic control method described in any embodiment of the present invention.
根据本发明的另一方面,提供了一种计算机可读存储介质,所述计算机可读存储介质存储有计算机指令,所述计算机指令用于使处理器执行时实现本发明任一实施例所述的车辆的通行控制方法。According to another aspect of the present invention, a computer-readable storage medium is provided, wherein the computer-readable storage medium stores computer instructions, and the computer instructions are used to implement the vehicle traffic control method described in any embodiment of the present invention when executed by a processor.
本发明实施例的技术方案,通过在检测到目标车辆进入交叉口关联区域之后,获取目标车辆的位置数据和速度数据,并根据目标车辆的位置数据和速度数据,按照预先根据交叉口的几何布局以及车辆的通行控制策略联合设计确定的通行规则,确定目标车辆的控制策略,以控制目标车辆在交叉口内的通行轨迹。该技术方案解决了交叉口通行效率低的问题,可以在提高交叉口通行效率的同时,提高车道利用率。The technical solution of the embodiment of the present invention obtains the position data and speed data of the target vehicle after detecting that the target vehicle enters the intersection-related area, and determines the control strategy of the target vehicle according to the position data and speed data of the target vehicle and the traffic rules pre-designed and determined according to the geometric layout of the intersection and the traffic control strategy of the vehicle, so as to control the traffic trajectory of the target vehicle in the intersection. This technical solution solves the problem of low traffic efficiency at the intersection, and can improve the lane utilization rate while improving the traffic efficiency at the intersection.
应当理解,本部分所描述的内容并非旨在标识本发明的实施例的关键或重要特征,也不用于限制本发明的范围。本发明的其它特征将通过以下的说明书而变得容易理解。It should be understood that the contents described in this section are not intended to identify the key or important features of the embodiments of the present invention, nor are they intended to limit the scope of the present invention. Other features of the present invention will become easily understood through the following description.
附图说明BRIEF DESCRIPTION OF THE DRAWINGS
为了更清楚地说明本发明实施例中的技术方案,下面将对实施例描述中所需要使用的附图作简单地介绍,显而易见地,下面描述中的附图仅仅是本发明的一些实施例,对于本领域普通技术人员来讲,在不付出创造性劳动的前提下,还可以根据这些附图获得其他的附图。In order to more clearly illustrate the technical solutions in the embodiments of the present invention, the drawings required for use in the description of the embodiments will be briefly introduced below. Obviously, the drawings described below are only some embodiments of the present invention. For ordinary technicians in this field, other drawings can be obtained based on these drawings without creative work.
图1A是根据本发明实施例一提供的一种车辆的通行控制方法的流程图;FIG1A is a flow chart of a vehicle traffic control method provided according to
图1B是根据本发明实施例提供的四车道交叉口示意图;FIG1B is a schematic diagram of a four-lane intersection provided according to an embodiment of the present invention;
图2A是根据本发明实施例二提供的一种车辆的通行控制方法的流程图;FIG2A is a flow chart of a vehicle traffic control method provided according to
图2B是根据本发明实施例提供的左转路段与直行路段的长度关系示意图;2B is a schematic diagram showing the relationship between the lengths of a left-turn section and a straight section provided according to an embodiment of the present invention;
图2C是根据本发明实施例提供的冲突区域第一角度关系示意图;FIG2C is a schematic diagram of a first angle relationship of conflict areas provided according to an embodiment of the present invention;
图2D是根据本发明实施例提供的冲突区域第二角度关系示意图;FIG2D is a schematic diagram of a second angle relationship of conflicting areas provided according to an embodiment of the present invention;
图2E是根据本发明实施例提供的冲突区域长度关系示意图;FIG2E is a schematic diagram of the relationship between the lengths of conflicting regions provided according to an embodiment of the present invention;
图3是根据本发明实施例三提供的一种车辆的通行控制装置的结构示意图;3 is a schematic diagram of the structure of a vehicle traffic control device provided according to Embodiment 3 of the present invention;
图4是实现本发明实施例的车辆的通行控制方法的电子设备的结构示意图。FIG. 4 is a schematic diagram of the structure of an electronic device for implementing the vehicle traffic control method according to an embodiment of the present invention.
具体实施方式DETAILED DESCRIPTION
为了使本技术领域的人员更好地理解本发明方案,下面将结合本发明实施例中的附图,对本发明实施例中的技术方案进行清楚、完整地描述,显然,所描述的实施例仅仅是本发明一部分的实施例,而不是全部的实施例。基于本发明中的实施例,本领域普通技术人员在没有做出创造性劳动前提下所获得的所有其他实施例,都应当属于本发明保护的范围。In order to enable those skilled in the art to better understand the scheme of the present invention, the technical scheme in the embodiments of the present invention will be clearly and completely described below in conjunction with the drawings in the embodiments of the present invention. Obviously, the described embodiments are only embodiments of a part of the present invention, not all embodiments. Based on the embodiments of the present invention, all other embodiments obtained by ordinary technicians in this field without creative work should fall within the scope of protection of the present invention.
需要说明的是,本发明的说明书和权利要求书及上述附图中的术语“第一”、“第二”等是用于区别类似的对象,而不必用于描述特定的顺序或先后次序。应该理解这样使用的数据在适当情况下可以互换,以便这里描述的本发明的实施例能够以除了在这里图示或描述的那些以外的顺序实施。此外,术语“包括”和“具有”以及他们的任何变形,意图在于覆盖不排他的包含,例如,包含了一系列步骤或单元的过程、方法、系统、产品或设备不必限于清楚地列出的那些步骤或单元,而是可包括没有清楚地列出的或对于这些过程、方法、产品或设备固有的其它步骤或单元。本申请技术方案中对数据的获取、存储、使用、处理等均符合国家法律法规的相关规定。It should be noted that the terms "first", "second", etc. in the specification and claims of the present invention and the above-mentioned drawings are used to distinguish similar objects, and are not necessarily used to describe a specific order or sequence. It should be understood that the data used in this way can be interchangeable where appropriate, so that the embodiments of the present invention described herein can be implemented in an order other than those illustrated or described herein. In addition, the terms "including" and "having" and any of their variations are intended to cover non-exclusive inclusions, for example, a process, method, system, product or device that includes a series of steps or units is not necessarily limited to those steps or units clearly listed, but may include other steps or units that are not clearly listed or inherent to these processes, methods, products or devices. The acquisition, storage, use, processing, etc. of data in the technical solution of this application comply with the relevant provisions of national laws and regulations.
实施例一
图1A为本发明实施例一提供了一种车辆的通行控制方法的流程图,本实施例可适用于自动驾驶场景中交叉口车辆的通行控制的情况,该方法可以由车辆的通行控制装置来执行,该装置可以采用硬件和/或软件的形式实现,该装置可配置于电子设备中。如图1A所示,该方法包括:FIG1A is a flow chart of a vehicle traffic control method according to a first embodiment of the present invention. This embodiment is applicable to the traffic control of vehicles at intersections in an autonomous driving scenario. The method can be executed by a vehicle traffic control device, which can be implemented in the form of hardware and/or software, and can be configured in an electronic device. As shown in FIG1A , the method includes:
S110、若检测到目标车辆进入交叉口关联区域,则获取目标车辆的位置数据和速度数据。S110: If it is detected that the target vehicle enters the intersection-related area, the position data and speed data of the target vehicle are obtained.
本方案可以由交通控制平台执行,交通控制平台可以与自动驾驶车辆进行通信,实时获取管理范围内自动驾驶车辆的位置数据和速度数据。自动驾驶车辆可以通过雷达、摄像头等感知设备确定本车的位置数据和速度数据。其中,所述位置数据可以包括自动驾驶车辆所在方位、位置坐标以及所属车道等信息,所述速度数据可以包括速度大小、速度方向以及加速度大小等信息。自动驾驶车辆可以周期性向交通控制平台上报本车的位置数据和速度数据,也可以在自动驾驶车辆检测到触发事件时上报本车的位置数据和速度数据。所述触发事件可以是自动驾驶车辆到达交叉口关联区域,也可以是驾驶环境存在的运动目标超过预设数量,还可以是自动驾驶车辆检测到本车异常。This solution can be executed by the traffic control platform, and the traffic control platform can communicate with the autonomous driving vehicle to obtain the position data and speed data of the autonomous driving vehicle within the management scope in real time. The autonomous driving vehicle can determine the position data and speed data of the vehicle through sensing devices such as radar and camera. Among them, the position data may include information such as the position, position coordinates and lane of the autonomous driving vehicle, and the speed data may include information such as speed magnitude, speed direction and acceleration magnitude. The autonomous driving vehicle can periodically report the position data and speed data of the vehicle to the traffic control platform, or report the position data and speed data of the vehicle when the autonomous driving vehicle detects a triggering event. The triggering event may be the autonomous driving vehicle arriving at the intersection-related area, or the number of moving targets in the driving environment exceeding the preset number, or the autonomous driving vehicle detecting an abnormality of the vehicle.
根据目标车辆的位置数据,交通控制平台可以确定目标车辆是否到达交叉口关联区域。所述目标车辆可以是一个也可以是多个,同一行驶方向的多个目标车辆可以组成一个车队。所述交叉口关联区域可以是交叉口附近区域,例如距离交叉口100米至150米的区域。若检测到目标车辆进入交叉口关联区域,交通控制平台可以获取目标车辆当前的位置数据和速度数据。According to the position data of the target vehicle, the traffic control platform can determine whether the target vehicle has reached the intersection-related area. The target vehicle can be one or more, and multiple target vehicles in the same driving direction can form a fleet. The intersection-related area can be an area near the intersection, such as an area 100 to 150 meters away from the intersection. If the target vehicle is detected to enter the intersection-related area, the traffic control platform can obtain the current position data and speed data of the target vehicle.
S120、根据目标车辆的位置数据和速度数据,按照预先确定的通行规则,确定目标车辆的控制策略,以控制目标车辆在交叉口内的通行轨迹。S120: Determine a control strategy for the target vehicle based on the position data and speed data of the target vehicle and in accordance with predetermined traffic rules to control the traffic trajectory of the target vehicle in the intersection.
其中,所述通行规则是将交叉口的几何布局以及车辆的通行控制策略进行联合设计得到的。所述交叉口的几何布局可以包括交叉口中各类型路段的长度设计,所述车辆的通行控制策略可以包括目标车辆进入交叉口时间、通过交叉口时长以及通过交叉口速度等设计。图1B是根据本发明实施例提供的四车道交叉口示意图,如图1B所示,交叉口边界上的点为边界点,可以是基于各方向车道设置的,交叉口内的点为冲突点,表示车辆行驶至该位置可能存在通行冲突的点。交叉口中路段类型可以包括第一类型、第二类型、第三类型以及第四类型,所述第一类型路段为交叉口边界端点涉及路段,所述第二类型路段为交叉口边界中间点涉及路段,所述第三类型路段为交叉口内冲突点与边界点之间的路段,所述第四类型路段为交叉口内各冲突点之间的路段。图1B所示为四车道交叉口,本方案同样适用于六车道、八车道等其它车道数量的交叉口。Wherein, the traffic rules are obtained by jointly designing the geometric layout of the intersection and the traffic control strategy of the vehicle. The geometric layout of the intersection may include the length design of each type of road section in the intersection, and the traffic control strategy of the vehicle may include the design of the time when the target vehicle enters the intersection, the time to pass the intersection, and the speed of passing the intersection. Figure 1B is a schematic diagram of a four-lane intersection provided according to an embodiment of the present invention. As shown in Figure 1B, the points on the boundary of the intersection are boundary points, which can be set based on lanes in each direction, and the points in the intersection are conflict points, indicating that there may be traffic conflicts when the vehicle travels to this position. The road section types in the intersection may include the first type, the second type, the third type and the fourth type. The first type of road section is the road section involving the intersection boundary endpoint, the second type of road section is the road section involving the intersection boundary middle point, the third type of road section is the road section between the conflict point and the boundary point in the intersection, and the fourth type of road section is the road section between the conflict points in the intersection. Figure 1B shows a four-lane intersection, and this scheme is also applicable to intersections with other lane numbers such as six lanes and eight lanes.
所述通行规则可以包括通行速度、通行时间以及通行轨迹等规则。交通控制平台可以根据目标车辆的位置数据和速度数据,确定目标车辆在交叉口内的预测通行轨迹。根据预测通行轨迹,交通控制平台可以判断目标车辆是否符合通行规则,若不符合,则确定目标车辆的目标位置和目标速度,并控制目标车辆移动到目标位置,并在达到交叉口前调整至目标速度,以使目标车辆按照特定的通行轨迹通过交叉口。The traffic rules may include rules such as traffic speed, traffic time, and traffic trajectory. The traffic control platform may determine the predicted traffic trajectory of the target vehicle in the intersection based on the position data and speed data of the target vehicle. Based on the predicted traffic trajectory, the traffic control platform may determine whether the target vehicle complies with the traffic rules. If not, the target position and target speed of the target vehicle are determined, and the target vehicle is controlled to move to the target position and adjusted to the target speed before reaching the intersection, so that the target vehicle passes through the intersection according to a specific traffic trajectory.
本技术方案通过在检测到目标车辆进入交叉口关联区域之后,获取目标车辆的位置数据和速度数据,并根据目标车辆的位置数据和速度数据,按照预先根据交叉口的几何布局以及车辆的通行控制策略联合设计确定的通行规则,确定目标车辆的控制策略,以控制目标车辆在交叉口内的通行轨迹。该技术方案解决了交叉口通行效率低的问题,可以在提高交叉口通行效率的同时,提高车道利用率。This technical solution obtains the position data and speed data of the target vehicle after detecting that the target vehicle enters the intersection-related area, and determines the control strategy of the target vehicle according to the position data and speed data of the target vehicle and the traffic rules pre-designed and determined based on the geometric layout of the intersection and the traffic control strategy of the vehicle, so as to control the traffic trajectory of the target vehicle in the intersection. This technical solution solves the problem of low traffic efficiency at intersections, and can improve the traffic efficiency of intersections while improving the utilization rate of lanes.
实施例二
图2A为本发明实施例二提供的一种车辆的通行控制方法的流程图,本实施例以上述实施例为基础进行细化。如图2A所示,该方法包括:FIG2A is a flow chart of a vehicle traffic control method provided in
S210、根据信号控制周期、预先设置的通行速度以及车道宽度,确定目标关系式。S210: Determine a target relationship according to a signal control cycle, a preset travel speed, and a lane width.
在本方案中,所述目标关系式为sTv,其中,s表示调整系数,T表示信号控制周期,v表示通行速度。所述通行速度v可以是预先设置的交叉口的安全通行速度,所述信号控制周期T可以是交叉口信号灯的信号控制周期,所述调整系数s可以是待确定的,目标关系式可以表示交叉口规划宽度。In this solution, the target relationship is sTv, where s represents the adjustment coefficient, T represents the signal control cycle, and v represents the travel speed. The travel speed v can be a preset safe travel speed at the intersection, the signal control cycle T can be the signal control cycle of the intersection signal light, the adjustment coefficient s can be to be determined, and the target relationship can represent the planned width of the intersection.
S220、根据各车道的车队规模、各车道的通行周期比例以及各车道的通行速度,在目标关系式满足预设联合设计条件时,确定通行规则。S220: Determine traffic rules according to the fleet size of each lane, the traffic cycle ratio of each lane, and the traffic speed of each lane when the target relationship meets the preset joint design conditions.
其中,所述车队规模、通行周期比例以及通行速度为预先设置的;所述车队规模可以包括车队行数、列数以及车辆之间的间隔距离等信息;所述通行周期比例可以是不同方向车道的通行周期之比,例如直行方向车道与左转方向车道的通行周期之比。信号控制周期可以是各通行周期的最小公倍数。各车道的通行速度可以相同,也可以不同,交通控制平台可以根据通行方向设置各车道的通行速度。The fleet size, traffic cycle ratio and traffic speed are preset; the fleet size may include information such as the number of fleet rows, the number of columns and the interval distance between vehicles; the traffic cycle ratio may be the ratio of traffic cycles of lanes in different directions, such as the ratio of traffic cycles of straight lanes to left turn lanes. The signal control cycle may be the least common multiple of each traffic cycle. The traffic speeds of each lane may be the same or different, and the traffic control platform may set the traffic speed of each lane according to the traffic direction.
根据预先设置的各车道的车队规模、各车道的通行周期比例以及各车道的通行速度,交通控制平台可以在目标关系式满足联合设计条件时,确定交叉口规划宽度最小值。根据交叉口规划宽度最小值,交通控制平台可以确定交叉口各类型路段长度以及车队在信号控制周期内的相对进入时间,进而确定通行规则。所述联合设计条件可以包括进入时间约束、避撞约束、车道几何约束以及目标关系式取值约束。According to the pre-set fleet size of each lane, the traffic cycle ratio of each lane, and the traffic speed of each lane, the traffic control platform can determine the minimum planned intersection width when the target relationship meets the joint design conditions. According to the minimum planned intersection width, the traffic control platform can determine the length of each type of intersection section and the relative entry time of the fleet within the signal control cycle, and then determine the traffic rules. The joint design conditions may include entry time constraints, collision avoidance constraints, lane geometry constraints, and target relationship value constraints.
其中,所述进入时间约束可以包括:The entry time constraint may include:
其中,i表示车队索引,表示车队集合,ei表示车队i在交叉口的相对进入时间,T表示信号控制周期,κ表示时间调节参数,l表示车道索引,Pi,l表示车道l上的第i个车队,表示车道l上的车队集合,表示车道集合,j表示冲突点索引,表示车队i涉及的冲突点集合,表示车队i在冲突点j的相对到达时间,表示车队i在冲突点j的相对于信号控制周期的到达时间,k表示路段索引,Lk表示路段k的长度,表示车队i进入点Ni至冲突点j之间的路段集合,sk为路段k的缩放系数,表示转化参数,用于将转化至Where i represents the fleet index, represents the fleet set, ei represents the relative entry time of fleet i at the intersection, T represents the signal control period, κ represents the time adjustment parameter, l represents the lane index, Pi,l represents the i-th fleet on lane l, represents the set of convoys on lane l, represents the lane set, j represents the conflict point index, represents the set of conflict points involved in convoy i, represents the relative arrival time of convoy i at conflict point j, represents the arrival time of convoy i at conflict point j relative to the signal control cycle, k represents the section index,Lk represents the length of section k, represents the set of road sections between the entry pointNi of team i and the conflict point j,sk is the scaling factor of road section k, Represents the conversion parameter, which is used to Convert to
需要说明的是,0≤ei≤T-κ表示车队i在交叉口的相对进入时间应该在一个信号控制周期以内,κ可以是一个足够小的常数,例如0.00001。表示车队的相对进入时间顺序与车队到达交叉口顺序一致。表示车队到达冲突点的时间与相对进入时间以及在各路段的旅行时间一致。和表示相对于信号控制周期的到达时间与相对到达时间的关系。It should be noted that 0≤ei ≤T-κ means that the relative entry time of fleet i at the intersection should be within one signal control cycle, and κ can be a sufficiently small constant, such as 0.00001. It means that the relative entry time sequence of the convoy is consistent with the sequence in which the convoy arrives at the intersection. It means that the time when the convoy arrives at the conflict point is consistent with the relative entry time and the travel time on each road segment. and Indicates the relationship between the arrival time relative to the signal control period and the relative arrival time.
本方案对车队进入交叉口的时间进行约束,有利于实现高效的时间规划,节约交叉口通行的时间成本。This solution constrains the time for the convoy to enter the intersection, which is conducive to efficient time planning and saves the time cost of passing through the intersection.
可选的,所述避撞约束可以包括:Optionally, the collision avoidance constraint may include:
其中,(l,l′)表示冲突车道对索引,(il,il′)表示冲突点对索引,表示冲突车道对集合,表示车道l与车道l′的冲突点对集合,M表示关系调节参数,p、q表示车队索引,lp表示车道l上的车队p,l′q表示车道l′上的车队q,表示车道l上的车队p在冲突点il的相对于信号控制周期的到达时间,表示车道l′上的车队q在冲突点il′相对于信号控制周期的到达时间,表示大小关系描述参数,用于表示与的大小关系,表示周期性描述参数,tl表示车道l上的车队的通行时间,tl′表示车道l′上的车队的通行时间。Where (l,l′) represents the index of the conflicting lane pair, (il ,il′ ) represents the index of the conflicting point pair, represents the set of conflicting lane pairs, represents the set of conflict point pairs between lane l and lane l′, M represents the relationship adjustment parameter, p and q represent the fleet indexes, lp represents the fleet p on lane l, l′q represents the fleet q on lane l′, represents the arrival time of the convoy p on lane l at the conflict point il relative to the signal control cycle, represents the arrival time of the convoy q on lane l′ at the conflict point il′ relative to the signal control cycle, Indicates the size relationship description parameter, used to indicate and The size relationship, represents the periodic description parameter, tl represents the travel time of the convoy on lane l, and tl′ represents the travel time of the convoy on lane l′.
该方案中,避撞约束可以表示通过任意一个冲突点上的两个车队需要满足最短安全距离,有利于保证车队在交叉口通行的安全性。In this scheme, the collision avoidance constraint can indicate that two convoys passing through any conflict point need to meet the shortest safe distance, which is conducive to ensuring the safety of the convoys passing through the intersection.
在一个优选的方案中,所述车道几何约束可以包括:In a preferred solution, the lane geometry constraints may include:
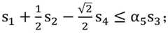
s=2s1+s2;s=2s1 +s2 ;
α1(s1+s2)≤2s3+s4≤α2(s1+s2);α1 (s1 +s2 )≤2s3 +s4 ≤α2 (s1 +s2 );
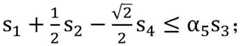
s2+κ≤α3s3;s2 +κ≤α3 s3 ;
s3≤α4s2;s3 ≤α4 s2 ;
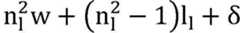
s1+κ≥α6s4;s1 +κ≥α6 s4 ;
s2,s3≥α7;s2 ,s3 ≥α7 ;
其中,s表示缩放系数,s1表示第一类型路段的缩放系数,s2表示第二类型路段的缩放系数,s3表示第三类型路段的缩放系数,s4表示第四类型路段的缩放系数,所述第一类型路段为交叉口边界端点涉及路段,所述第二类型路段为交叉口边界中间点涉及路段,所述第三类型路段为交叉口内冲突点与边界点之间的路段,所述第四类型路段为交叉口内各冲突点之间的路段;α1、α2、α3、α4、α5、α6以及α7表示预设经验参数,为直行车道上车队的横向车辆数,为左转车道上车队的横向车辆数,wl为车道宽度,w为车辆的宽度,δ表示车辆之间的安全距离,ll表示车队内车辆的横向车间距,表示交叉口最小宽度,表示交叉口最大宽度。Wherein, s represents a scaling factor,s1 represents a scaling factor of a first type of road section,s2 represents a scaling factor of a second type of road section,s3 represents a scaling factor of a third type of road section,s4 represents a scaling factor of a fourth type of road section, the first type of road section is a road section involving an intersection boundary endpoint, the second type of road section is a road section involving an intersection boundary midpoint, the third type of road section is a road section between a conflict point and a boundary point in an intersection, and the fourth type of road section is a road section between conflict points in an intersection;α1 ,α2 ,α3 ,α4 ,α5 ,α6 andα7 represent preset empirical parameters, is the number of lateral vehicles in the convoy on the straight lane, is the number of lateral vehicles in the convoy on the left-turn lane, wl is the lane width, w is the width of the vehicle, δ represents the safe distance between vehicles, ll represents the lateral distance between vehicles in the convoy, Indicates the minimum width of the intersection. Indicates the maximum width of the intersection.
如图1B所示,在一个四车道交叉路口中,两个第一类型路段宽度与一个第二类型路段宽度之和等于交叉口规划宽度。在通行速度和信号控制周期一致的条件下,存在缩放系数满足s=2s1+s2。图2B是根据本发明实施例提供的左转路段与直行路段的长度关系示意图。如图2B所示,α1(s1+s2)≤2s3+s4≤α2(s1+s2)可以表示左转路段与直行路段的长度关系,其中,经验系数α1与α2可分别取值为1.45与经验系数α3和α4可以分别取值和1.5。图2C是根据本发明实施例提供的冲突区域第一角度关系示意图。如图2C所示,s2和s3可以满足s2+κ≤α3s3,s3≤α4s2。经验系数α5可取值为0.95,经验系数α6可取值为图2D是根据本发明实施例提供的冲突区域第二角度关系示意图。如图2D所示,s1、s2、s3以及s4可以满足图2E是根据本发明实施例提供的冲突区域长度关系示意图,如图2E所示,s1和s4可以满足s1+κ≥α6s4。经验系数α7可取值为s2和s3满足s2,s3≥α7。As shown in FIG1B , in a four-lane intersection, the sum of the widths of two first-type sections and one second-type section is equal to the planned width of the intersection. Under the condition that the traffic speed and the signal control cycle are consistent, there is a scaling factor that satisfies s=2s1 +s2 . FIG2B is a schematic diagram of the length relationship between a left-turn section and a straight section provided according to an embodiment of the present invention. As shown in FIG2B , α1 (s1 +s2 )≤2s3 +s4 ≤α2 (s1 +s2 ) can represent the length relationship between the left-turn section and the straight section, wherein the empirical coefficients α1 and α2 can be taken as 1.45 and 2.5, respectively. The empirical coefficients α3 and α4 can be respectively and 1.5. FIG2C is a schematic diagram of the first angle relationship of the conflict area provided according to an embodiment of the present invention. As shown in FIG2C,s2 ands3 cansatisfys2 +κ≤α3s3 ,s3≤α4s2 . The empirical coefficientα5 can be0.95 , andthe empirical coefficientα6 can be FIG2D is a schematic diagram of a second angle relationship of the conflict area provided according to an embodiment of the present invention. As shown in FIG2D,s1 ,s2 ,s3 ands4 can satisfy FIG2E is a schematic diagram of the relationship between the lengths of the conflicting regions provided according to an embodiment of the present invention. As shown in FIG2E , s1 and s4 can satisfy s1 +κ≥α6 s4 . The empirical coefficient α7 can be taken as s2 and s3 satisfy s2 ,s3 ≥α7 .
容易理解的,表示车队间具有安全距离的左转车队、直行车队的平均宽度,表示具有安全间隔的左转车队的宽度,wl表示道路宽度,表示第一类型路段的宽度大于或等于车队的宽度,并且大于等于道路宽度。表示第四类型路段的宽度大于或等于车队的宽度,并且大于等于道路宽度。Easy to understand, Indicates the average width of left-turning convoys and straight-moving convoys with a safe distance between convoys. represents the width of the left-turning convoy with a safe interval, wl represents the road width, Indicates that the width of the first type of road segment is greater than or equal to the width of the vehicle convoy and greater than or equal to the road width. Indicates that the width of the fourth type of road section is greater than or equal to the width of the convoy and greater than or equal to the road width.
上述方案可以将各类型路段的缩放系数进行约束,有利于实现车道的合理规划,节约通行成本,提高车道利用率。The above scheme can constrain the scaling coefficients of various types of road sections, which is conducive to the reasonable planning of lanes, saving travel costs and improving lane utilization.
在本方案中,可选的,所述目标关系式取值约束是根据目标关系式的各计算结果的排序结果确定的;其中,目标关系式的各计算结果满足进入时间约束、避撞约束以及车道几何约束。In this solution, optionally, the target relationship expression value constraint is determined based on the sorting result of each calculation result of the target relationship expression; wherein each calculation result of the target relationship expression satisfies the entry time constraint, the collision avoidance constraint and the lane geometry constraint.
所述目标关系式取值约束可以是目标关系式在满足进入时间约束、避撞约束以及车道几何约束的同时,取到的最小值。交通控制平台可以将满足进入时间约束、避撞约束以及车道几何约束的目标关系式计算结果进行排序。交通控制平台可以在各计算结果的排序结果中确定最小计算结果,并根据最小计算结果对应的交叉口规划宽度、交叉口内各类型路段长度、各车道的信号控制周期以及各车队在信号控制周期内的相对进入时间,确定通行规则。The target relational expression value constraint may be the minimum value that the target relational expression can obtain while satisfying the entry time constraint, the collision avoidance constraint, and the lane geometry constraint. The traffic control platform may sort the target relational expression calculation results that satisfy the entry time constraint, the collision avoidance constraint, and the lane geometry constraint. The traffic control platform may determine the minimum calculation result from the sorted results of each calculation result, and determine the traffic rules according to the intersection planning width corresponding to the minimum calculation result, the length of each type of road section in the intersection, the signal control cycle of each lane, and the relative entry time of each convoy within the signal control cycle.
本方案可以将交叉口的几何布局以及车辆的通行控制策略进行联合设计,有利于在提高交叉口通行效率的同时,提高车道利用率。This solution can jointly design the geometric layout of the intersection and the vehicle traffic control strategy, which is conducive to improving the lane utilization while improving the traffic efficiency of the intersection.
在一个可行的方案中,所述根据各车道的车队规模、各车道的通行周期比例以及各车道的通行速度,在目标关系式满足预设联合设计条件时,确定通行规则,包括:In a feasible solution, according to the fleet size of each lane, the traffic cycle ratio of each lane and the traffic speed of each lane, when the target relationship meets the preset joint design conditions, the traffic rules are determined, including:
按照预设周期步长由小至大确定至少两个信号控制周期的候选值,并依次将信号控制周期的候选值代入目标关系式,得到至少两个候选目标关系式;Determine at least two candidate values of the signal control period according to the preset period step from small to large, and substitute the candidate values of the signal control period into the target relational expression in sequence to obtain at least two candidate target relational expressions;
根据各车道的车队规模、各车道的通行周期比例以及各车道的通行速度,在各候选目标关系式满足预设联合设计条件时,确定交叉口规划宽度、交叉口内各类型路段长度、各车道的信号控制周期以及各车队在信号控制周期内的相对进入时间;According to the fleet size of each lane, the traffic cycle ratio of each lane and the traffic speed of each lane, when each candidate target relationship meets the preset joint design conditions, the planned intersection width, the length of each type of road section in the intersection, the signal control cycle of each lane and the relative entry time of each fleet within the signal control cycle are determined;
根据各车道的通行速度、交叉口规划宽度、交叉口内各类型路段长度、各车道的信号控制周期以及各车队在信号控制周期内的相对进入时间的目标值,确定通行规则。The traffic rules are determined based on the target values of the traffic speed of each lane, the planned width of the intersection, the length of each type of road section in the intersection, the signal control cycle of each lane, and the relative entry time of each fleet within the signal control cycle.
针对预设的各车道的车队规模、各车道的通行周期比例以及各车道的通行速度,交通控制平台可以按照预设周期步长由小至大确定多个信号控制周期的候选值。例如周期步长为10s,限定信号控制周期最小值为20s,最大值为60s,信号控制周期的候选值可以包括20s、30s、40s、50s、60s。According to the preset fleet size of each lane, the traffic cycle ratio of each lane, and the traffic speed of each lane, the traffic control platform can determine multiple candidate values of the signal control cycle from small to large according to the preset cycle step. For example, if the cycle step is 10s, the minimum value of the signal control cycle is limited to 20s and the maximum value is 60s, and the candidate values of the signal control cycle may include 20s, 30s, 40s, 50s, and 60s.
交通控制平台可以依次将信号控制周期的候选值代入目标关系式,得到与各候选值匹配的候选目标关系式。交通控制平台可以将每个候选目标关系式以及匹配的联合设计条件作为一个混合整数规划问题进行求解。将各车道的车队规模、各车道的通行周期比例以及各车道的通行速度等已确定数据代入混合整数规划问题,确定交叉口规划宽度、交叉口内各类型路段长度、各车道的信号控制周期以及各车队在信号控制周期内的相对进入时间。The traffic control platform can sequentially substitute the candidate values of the signal control cycle into the target relational expression to obtain the candidate target relational expression that matches each candidate value. The traffic control platform can solve each candidate target relational expression and the matching joint design condition as a mixed integer programming problem. Substitute the determined data such as the fleet size of each lane, the travel cycle ratio of each lane, and the travel speed of each lane into the mixed integer programming problem to determine the planned width of the intersection, the length of each type of road section in the intersection, the signal control cycle of each lane, and the relative entry time of each fleet within the signal control cycle.
根据各车道的通行速度、交叉口规划宽度、交叉口内各类型路段长度、各车道的信号控制周期以及各车队在信号控制周期内的相对进入时间的目标值,交通控制平台可以确定各车辆在交叉口的通行速度、通行时间以及通行轨迹,从而得到通行规则。具体的,交通控制平台可以根据交叉口规划宽度以及预先获取的交叉口实际宽度,判断交叉口规划宽度是否合理。如果交叉口规划宽度小于或等于交叉口实际宽度,则交通控制平台可以根据交叉口内各类型路段长度,确定车辆在交叉口的通行路程,并根据通行路程和通行速度,交通控制平台可以计算车辆的通行时长。根据各车道的信号控制周期以及各车队在信号控制周期内的相对进入时间的目标值,交通控制平台可以确定车辆在交叉口的通行时间。According to the speed of each lane, the planned width of the intersection, the length of each type of road section in the intersection, the signal control cycle of each lane, and the target value of the relative entry time of each fleet in the signal control cycle, the traffic control platform can determine the speed, travel time and travel trajectory of each vehicle at the intersection, thereby obtaining the traffic rules. Specifically, the traffic control platform can determine whether the planned width of the intersection is reasonable based on the planned width of the intersection and the actual width of the intersection obtained in advance. If the planned width of the intersection is less than or equal to the actual width of the intersection, the traffic control platform can determine the travel distance of the vehicle at the intersection based on the length of each type of road section in the intersection, and based on the travel distance and travel speed, the traffic control platform can calculate the travel time of the vehicle. According to the signal control cycle of each lane and the target value of the relative entry time of each fleet in the signal control cycle, the traffic control platform can determine the travel time of the vehicle at the intersection.
容易理解的,对于每个候选值,混合整数规划问题的求解结果可能有解,也可能无解。当无解时,交通控制平台可以当前候选值舍弃,继续对下一候选值进行计算,直到确定当前候选值有解。It is easy to understand that for each candidate value, the solution of the mixed integer programming problem may have a solution or no solution. When there is no solution, the traffic control platform can discard the current candidate value and continue to calculate the next candidate value until it is determined that the current candidate value has a solution.
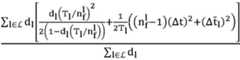
在一个具体的例子中,交通控制平台可以设置评估条件,用于对上述联合设计结果进行筛选。其中,所述联合设计结果可以包括各类型路段宽度、各车道上车队进入交叉口时间、各车道的通行周期以及各车道上车队队规模等。所述评估条件可以包括:l表示车道索引,表示车道集合,表示车道l的车队的行数,Tl表示车道l的通行周期,dl表示车道l的交通需求。In a specific example, the traffic control platform can set evaluation conditions to screen the above joint design results. The joint design results may include the width of each type of road section, the time for the convoy on each lane to enter the intersection, the traffic cycle of each lane, and the size of the convoy on each lane. The evaluation conditions may include: l represents the lane index, represents the lane set, represents the number of rows in the lane l, Tl represents the travel cycle of lane l, and dl represents the traffic demand of lane l.
如果各联合设计结果均不能满足评估条件,则交通控制平台可以以车道容量作为依据,确定满足需求的联合设计结果,具体的,交通控制平台可以将使取到最小值的联合设计结果作为满足需求的联合设计结果,式中,dl为车道l的交通需求,cl为车道l的容量,γ>1为惩罚系数,If all joint design results cannot meet the evaluation conditions, the traffic control platform can use lane capacity as a basis to determine the joint design results that meet the needs. Specifically, the traffic control platform can use The minimum joint design result is taken as the joint design result that meets the demand, where dl is the traffic demand of lane l, cl is the capacity of lane l, γ>1 is the penalty coefficient,
如果各联合设计结果中存在至少一个满足评估条件,则交通控制平台可以根据平均延误时间,确定满足需求的联合设计结果。具体的,交通控制平台可以将使取到最小值的联合设计结果作为满足需求的联合设计结果,式中,为车队间车辆的车头时距,为车道i上车队的最后一辆车与下一车队的第一辆车之间的车头时距。需要说明的是,上式中平均延误时间的计算是假设各车道的车辆到达服从相互独立的泊松分布。If at least one of the joint design results meets the evaluation condition, the traffic control platform can determine the joint design result that meets the requirements based on the average delay time. The minimum joint design result is taken as the joint design result that meets the requirements. In the formula, is the headway time between vehicles in the convoy, is the headway time between the last vehicle in the convoy on lane i and the first vehicle in the next convoy. It should be noted that the calculation of the average delay time in the above formula assumes that the arrival of vehicles in each lane follows a mutually independent Poisson distribution.
S230、若检测到目标车辆进入交叉口关联区域,则获取目标车辆的位置数据和速度数据。S230: If it is detected that the target vehicle enters the intersection-related area, the position data and speed data of the target vehicle are obtained.
S240、根据目标车辆的位置数据和速度数据,按照预先确定的通行规则,确定目标车辆的控制策略,以控制目标车辆在交叉口内的通行轨迹。S240: Determine a control strategy for the target vehicle based on the position data and speed data of the target vehicle and in accordance with predetermined traffic rules to control the traffic trajectory of the target vehicle in the intersection.
本技术方案通过在检测到目标车辆进入交叉口关联区域之后,获取目标车辆的位置数据和速度数据,并根据目标车辆的位置数据和速度数据,按照预先根据交叉口的几何布局以及车辆的通行控制策略联合设计确定的通行规则,确定目标车辆的控制策略,以控制目标车辆在交叉口内的通行轨迹。该技术方案解决了交叉口通行效率低的问题,可以在提高交叉口通行效率的同时,提高车道利用率。This technical solution obtains the position data and speed data of the target vehicle after detecting that the target vehicle enters the intersection-related area, and determines the control strategy of the target vehicle according to the position data and speed data of the target vehicle and the traffic rules pre-designed and determined based on the geometric layout of the intersection and the traffic control strategy of the vehicle, so as to control the traffic trajectory of the target vehicle in the intersection. This technical solution solves the problem of low traffic efficiency at intersections, and can improve the traffic efficiency of intersections while improving the utilization rate of lanes.
实施例三Embodiment 3
图3为本发明实施例三提供的一种车辆的通行控制装置的结构示意图。如图3所示,该装置包括:FIG3 is a schematic diagram of the structure of a vehicle traffic control device provided in Embodiment 3 of the present invention. As shown in FIG3 , the device includes:
数据获取模块310,用于若检测到目标车辆进入交叉口关联区域,则获取目标车辆的位置数据和速度数据;The
控制策略确定模块320,用于根据目标车辆的位置数据和速度数据,按照预先确定的通行规则,确定目标车辆的控制策略,以控制目标车辆在交叉口内的通行轨迹;A control
其中,所述通行规则是将交叉口的几何布局以及车辆的通行控制策略进行联合设计得到的。The traffic rules are obtained by jointly designing the geometric layout of the intersection and the traffic control strategy of the vehicle.
在本方案中,可选的,所述装置还包括通行规则确定模块,所述通行规则确定模块包括:In this solution, optionally, the device further includes a traffic rule determination module, and the traffic rule determination module includes:
关系式确定单元,用于根据信号控制周期、预先设置的通行速度以及车道宽度,确定目标关系式;A relationship determination unit, used to determine a target relationship according to a signal control cycle, a preset passing speed, and a lane width;
通行规则确定单元,用于根据各车道的车队规模、各车道的通行周期比例以及各车道的通行速度,在目标关系式满足预设联合设计条件时,确定通行规则;A traffic rule determination unit, used to determine the traffic rule according to the fleet size of each lane, the traffic cycle ratio of each lane and the traffic speed of each lane when the target relationship meets the preset joint design conditions;
其中,所述车队规模、通行周期比例以及通行速度为预先设置的;所述联合设计条件包括进入时间约束、避撞约束、车道几何约束以及目标关系式取值约束。Among them, the fleet size, traffic cycle ratio and traffic speed are pre-set; the joint design conditions include entry time constraints, collision avoidance constraints, lane geometry constraints and target relationship value constraints.
在上述方案的基础上,可选的,所述进入时间约束包括:Based on the above solution, optionally, the entry time constraint includes:
其中,i表示车队索引,表示车队集合,ei表示车队i在交叉口的相对进入时间,T表示信号控制周期,κ表示时间调节参数,l表示车道索引,Pi,l表示车道l上的第i个车队,表示车道l上的车队集合,表示车道集合,j表示冲突点索引,表示车队i涉及的冲突点集合,表示车队i在冲突点j的相对到达时间,表示车队i在冲突点j的相对于信号控制周期的到达时间,k表示路段索引,Lk表示路段k的长度,表示车队i进入点Ni至冲突点j之间的路段集合,sk为路段k的缩放系数,表示转化参数,用于将转化至Where i represents the fleet index, represents the fleet set, ei represents the relative entry time of fleet i at the intersection, T represents the signal control period, κ represents the time adjustment parameter, l represents the lane index, Pi,l represents the i-th fleet on lane l, represents the set of convoys on lane l, represents the lane set, j represents the conflict point index, represents the set of conflict points involved in convoy i, represents the relative arrival time of convoy i at conflict point j, represents the arrival time of convoy i at conflict point j relative to the signal control cycle, k represents the section index,Lk represents the length of section k, represents the set of road sections between the entry pointNi of team i and the conflict point j,sk is the scaling factor of road section k, Represents the conversion parameter, which is used to Convert to
在一个可行的方案中,所述避撞约束包括:In a feasible solution, the collision avoidance constraints include:
其中,(l,l′)表示冲突车道对索引,(il,il′)表示冲突点对索引,表示冲突车道对集合,表示车道l与车道l′的冲突点对集合,M表示关系调节参数,p、q表示车队索引,lp表示车道l上的车队p,l′q表示车道l′上的车队q,表示车道l上的车队p在冲突点il的相对于信号控制周期的到达时间,表示车道l′上的车队q在冲突点il′相对于信号控制周期的到达时间,表示大小关系描述参数,用于表示与的大小关系,表示周期性描述参数,tl表示车道l上的车队的通行时间,tl′表示车道l′上的车队的通行时间。Where (l,l′) represents the index of the conflicting lane pair, (il ,il′ ) represents the index of the conflicting point pair, represents the set of conflicting lane pairs, represents the set of conflict point pairs between lane l and lane l′, M represents the relationship adjustment parameter, p and q represent the fleet indexes, lp represents the fleet p on lane l, l′q represents the fleet q on lane l′, represents the arrival time of the convoy p on lane l at the conflict point il relative to the signal control cycle, represents the arrival time of the convoy q on lane l′ at the conflict point il′ relative to the signal control cycle, Indicates the size relationship description parameter, used to indicate and The size relationship, represents the periodic description parameter, tl represents the travel time of the convoy on lane l, and tl′ represents the travel time of the convoy on lane l′ .
在另一个可行的方案中,所述车道几何约束包括:In another feasible solution, the lane geometry constraint includes:
s=2s1+s2;s=2s1 +s2 ;
α1(s1+s2)≤2s3+s4≤α2(s1+s2);α1 (s1 +s2 )≤2s3 +s4 ≤α2 (s1 +s2 );
s2+κ≤α3s3;s2 +κ≤α3 s3 ;
s3≤α4s2;s3 ≤α4 s2 ;
s1+κ≥α6s4;s1 +κ≥α6 s4 ;
s2,s3≥α7;s2 ,s3 ≥α7 ;
其中,s表示缩放系数,s1表示第一类型路段的缩放系数,s2表示第二类型路段的缩放系数,s3表示第三类型路段的缩放系数,s4表示第四类型路段的缩放系数,所述第一类型路段为交叉口边界端点涉及路段,所述第二类型路段为交叉口边界中间点涉及路段,所述第三类型路段为交叉口内冲突点与边界点之间的路段,所述第四类型路段为交叉口内各冲突点之间的路段;α1、α2、α3、α4、α5、α6以及α7表示预设经验参数,为直行车道上车队的横向车辆数,为左转车道上车队的横向车辆数,wl为车道宽度,w为车辆的宽度,ll表示车队内车辆的横向车间距,δ表示车辆之间的安全距离,表示交叉口最小宽度,表示交叉口最大宽度。Wherein, s represents a scaling factor,s1 represents a scaling factor of a first type of road section,s2 represents a scaling factor of a second type of road section,s3 represents a scaling factor of a third type of road section,s4 represents a scaling factor of a fourth type of road section, the first type of road section is a road section involving an intersection boundary endpoint, the second type of road section is a road section involving an intersection boundary midpoint, the third type of road section is a road section between a conflict point and a boundary point in an intersection, and the fourth type of road section is a road section between conflict points in an intersection;α1 ,α2 ,α3 ,α4 ,α5 ,α6 andα7 represent preset empirical parameters, is the number of lateral vehicles in the convoy on the straight lane, is the number of lateral vehicles in the convoy on the left-turn lane, wl is the lane width, w is the width of the vehicle, ll represents the lateral distance between vehicles in the convoy, δ represents the safe distance between vehicles, Indicates the minimum width of the intersection. Indicates the maximum width of the intersection.
在一个优选的方案中,所述目标关系式为sTv,其中,s表示缩放系数,T表示信号控制周期,v表示通行速度;In a preferred solution, the target relationship is sTv, where s represents the scaling factor, T represents the signal control period, and v represents the passing speed;
所述目标关系式取值约束是根据目标关系式的各计算结果的排序结果确定的;The target relational expression value constraint is determined according to the sorting result of each calculation result of the target relational expression;
其中,目标关系式的各计算结果满足进入时间约束、避撞约束以及车道几何约束。Among them, each calculation result of the target relationship formula satisfies the entry time constraint, the collision avoidance constraint and the lane geometry constraint.
在上述方案的基础上,可选的,所述通行规则确定单元,具体用于:Based on the above solution, optionally, the traffic rule determination unit is specifically used to:
按照预设周期步长由小至大确定至少两个信号控制周期的候选值,并依次将信号控制周期的候选值代入目标关系式,得到至少两个候选目标关系式;Determine at least two candidate values of the signal control period according to the preset period step from small to large, and substitute the candidate values of the signal control period into the target relational expression in sequence to obtain at least two candidate target relational expressions;
根据各车道的车队规模、各车道的通行周期比例以及各车道的通行速度,在各候选目标关系式满足预设联合设计条件时,确定交叉口规划宽度、交叉口内各类型路段长度、各车道的信号控制周期以及各车队在信号控制周期内的相对进入时间;According to the fleet size of each lane, the traffic cycle ratio of each lane and the traffic speed of each lane, when each candidate target relationship meets the preset joint design conditions, the planned intersection width, the length of each type of road section in the intersection, the signal control cycle of each lane and the relative entry time of each fleet within the signal control cycle are determined;
根据各车道的通行速度、交叉口规划宽度、交叉口内各类型路段长度、各车道的信号控制周期以及各车队在信号控制周期内的相对进入时间的目标值,确定通行规则。The traffic rules are determined based on the target values of the traffic speed of each lane, the planned width of the intersection, the length of each type of road section in the intersection, the signal control cycle of each lane, and the relative entry time of each fleet within the signal control cycle.
本发明实施例所提供的车辆的通行控制装置可执行本发明任意实施例所提供的车辆的通行控制方法,具备执行方法相应的功能模块和有益效果。The vehicle traffic control device provided in the embodiment of the present invention can execute the vehicle traffic control method provided in any embodiment of the present invention, and has the corresponding functional modules and beneficial effects of the execution method.
实施例四Embodiment 4
图4示出了可以用来实施本发明的实施例的电子设备410的结构示意图。电子设备旨在表示各种形式的数字计算机,诸如,膝上型计算机、台式计算机、工作台、个人数字助理、服务器、刀片式服务器、大型计算机、和其它适合的计算机。电子设备还可以表示各种形式的移动装置,诸如,个人数字处理、蜂窝电话、智能电话、可穿戴设备(如头盔、眼镜、手表等)和其它类似的计算装置。本文所示的部件、它们的连接和关系、以及它们的功能仅仅作为示例,并且不意在限制本文中描述的和/或者要求的本发明的实现。FIG4 shows a block diagram of an
如图4所示,电子设备410包括至少一个处理器411,以及与至少一个处理器411通信连接的存储器,如只读存储器(ROM)412、随机访问存储器(RAM)413等,其中,存储器存储有可被至少一个处理器执行的计算机程序,处理器411可以根据存储在只读存储器(ROM)412中的计算机程序或者从存储单元418加载到随机访问存储器(RAM)413中的计算机程序,来执行各种适当的动作和处理。在RAM 413中,还可存储电子设备410操作所需的各种程序和数据。处理器411、ROM 412以及RAM 413通过总线414彼此相连。输入/输出(I/O)接口415也连接至总线414。As shown in FIG4 , the
电子设备410中的多个部件连接至I/O接口415,包括:输入单元416,例如键盘、鼠标等;输出单元417,例如各种类型的显示器、扬声器等;存储单元418,例如磁盘、光盘等;以及通信单元419,例如网卡、调制解调器、无线通信收发机等。通信单元419允许电子设备410通过诸如因特网的计算机网络和/或各种电信网络与其他设备交换信息/数据。A number of components in the
处理器411可以是各种具有处理和计算能力的通用和/或专用处理组件。处理器411的一些示例包括但不限于中央处理单元(CPU)、图形处理单元(GPU)、各种专用的人工智能(AI)计算芯片、各种运行机器学习模型算法的处理器、数字信号处理器(DSP)、以及任何适当的处理器、控制器、微控制器等。处理器411执行上文所描述的各个方法和处理,例如车辆的通行控制方法。The
在一些实施例中,车辆的通行控制方法可被实现为计算机程序,其被有形地包含于计算机可读存储介质,例如存储单元418。在一些实施例中,计算机程序的部分或者全部可以经由ROM 412和/或通信单元419而被载入和/或安装到电子设备410上。当计算机程序加载到RAM 413并由处理器411执行时,可以执行上文描述的车辆的通行控制方法的一个或多个步骤。备选地,在其他实施例中,处理器411可以通过其他任何适当的方式(例如,借助于固件)而被配置为执行车辆的通行控制方法。In some embodiments, the vehicle traffic control method may be implemented as a computer program, which is tangibly contained in a computer-readable storage medium, such as a
本文中以上描述的系统和技术的各种实施方式可以在数字电子电路系统、集成电路系统、场可编程门阵列(FPGA)、专用集成电路(ASIC)、专用标准产品(ASSP)、芯片上系统的系统(SOC)、负载可编程逻辑设备(CPLD)、计算机硬件、固件、软件、和/或它们的组合中实现。这些各种实施方式可以包括:实施在一个或者多个计算机程序中,该一个或者多个计算机程序可在包括至少一个可编程处理器的可编程系统上执行和/或解释,该可编程处理器可以是专用或者通用可编程处理器,可以从存储系统、至少一个输入装置、和至少一个输出装置接收数据和指令,并且将数据和指令传输至该存储系统、该至少一个输入装置、和该至少一个输出装置。Various implementations of the systems and techniques described above herein can be implemented in digital electronic circuit systems, integrated circuit systems, field programmable gate arrays (FPGAs), application specific integrated circuits (ASICs), application specific standard products (ASSPs), systems on chips (SOCs), load programmable logic devices (CPLDs), computer hardware, firmware, software, and/or combinations thereof. These various implementations may include: being implemented in one or more computer programs that can be executed and/or interpreted on a programmable system including at least one programmable processor, which can be a special purpose or general purpose programmable processor that can receive data and instructions from a storage system, at least one input device, and at least one output device, and transmit data and instructions to the storage system, the at least one input device, and the at least one output device.
用于实施本发明的方法的计算机程序可以采用一个或多个编程语言的任何组合来编写。这些计算机程序可以提供给通用计算机、专用计算机或其他可编程数据处理装置的处理器,使得计算机程序当由处理器执行时使流程图和/或框图中所规定的功能/操作被实施。计算机程序可以完全在机器上执行、部分地在机器上执行,作为独立软件包部分地在机器上执行且部分地在远程机器上执行或完全在远程机器或服务器上执行。Computer programs for implementing the methods of the present invention may be written in any combination of one or more programming languages. These computer programs may be provided to a processor of a general-purpose computer, a special-purpose computer, or other programmable data processing device, so that when the computer program is executed by the processor, the functions/operations specified in the flow chart and/or block diagram are implemented. The computer program may be executed entirely on the machine, partially on the machine, partially on the machine and partially on a remote machine as a stand-alone software package, or entirely on a remote machine or server.
在本发明的上下文中,计算机可读存储介质可以是有形的介质,其可以包含或存储以供指令执行系统、装置或设备使用或与指令执行系统、装置或设备结合地使用的计算机程序。计算机可读存储介质可以包括但不限于电子的、磁性的、光学的、电磁的、红外的、或半导体系统、装置或设备,或者上述内容的任何合适组合。备选地,计算机可读存储介质可以是机器可读信号介质。机器可读存储介质的更具体示例会包括基于一个或多个线的电气连接、便携式计算机盘、硬盘、随机存取存储器(RAM)、只读存储器(ROM)、可擦除可编程只读存储器(EPROM或快闪存储器)、光纤、便捷式紧凑盘只读存储器(CD-ROM)、光学储存设备、磁储存设备、或上述内容的任何合适组合。In the context of the present invention, a computer-readable storage medium may be a tangible medium that may contain or store a computer program for use by or in conjunction with an instruction execution system, device, or equipment. A computer-readable storage medium may include, but is not limited to, electronic, magnetic, optical, electromagnetic, infrared, or semiconductor systems, devices, or equipment, or any suitable combination of the foregoing. Alternatively, a computer-readable storage medium may be a machine-readable signal medium. A more specific example of a machine-readable storage medium may include an electrical connection based on one or more lines, a portable computer disk, a hard disk, a random access memory (RAM), a read-only memory (ROM), an erasable programmable read-only memory (EPROM or flash memory), an optical fiber, a portable compact disk read-only memory (CD-ROM), an optical storage device, a magnetic storage device, or any suitable combination of the foregoing.
为了提供与用户的交互,可以在电子设备上实施此处描述的系统和技术,该电子设备具有:用于向用户显示信息的显示装置(例如,CRT(阴极射线管)或者LCD(液晶显示器)监视器);以及键盘和指向装置(例如,鼠标或者轨迹球),用户可以通过该键盘和该指向装置来将输入提供给电子设备。其它种类的装置还可以用于提供与用户的交互;例如,提供给用户的反馈可以是任何形式的传感反馈(例如,视觉反馈、听觉反馈、或者触觉反馈);并且可以用任何形式(包括声输入、语音输入或者、触觉输入)来接收来自用户的输入。To provide interaction with a user, the systems and techniques described herein may be implemented on an electronic device having: a display device (e.g., a CRT (cathode ray tube) or LCD (liquid crystal display) monitor) for displaying information to the user; and a keyboard and a pointing device (e.g., a mouse or trackball) through which the user can provide input to the electronic device. Other types of devices may also be used to provide interaction with the user; for example, the feedback provided to the user may be any form of sensory feedback (e.g., visual feedback, auditory feedback, or tactile feedback); and input from the user may be received in any form (including acoustic input, voice input, or tactile input).
可以将此处描述的系统和技术实施在包括后台部件的计算系统(例如,作为数据服务器)、或者包括中间件部件的计算系统(例如,应用服务器)、或者包括前端部件的计算系统(例如,具有图形用户界面或者网络浏览器的用户计算机,用户可以通过该图形用户界面或者该网络浏览器来与此处描述的系统和技术的实施方式交互)、或者包括这种后台部件、中间件部件、或者前端部件的任何组合的计算系统中。可以通过任何形式或者介质的数字数据通信(例如,通信网络)来将系统的部件相互连接。通信网络的示例包括:局域网(LAN)、广域网(WAN)、区块链网络和互联网。The systems and techniques described herein may be implemented in a computing system that includes backend components (e.g., as a data server), or a computing system that includes middleware components (e.g., an application server), or a computing system that includes frontend components (e.g., a user computer with a graphical user interface or a web browser through which a user can interact with implementations of the systems and techniques described herein), or a computing system that includes any combination of such backend components, middleware components, or frontend components. The components of the system may be interconnected by any form or medium of digital data communication (e.g., a communication network). Examples of communication networks include: a local area network (LAN), a wide area network (WAN), a blockchain network, and the Internet.
计算系统可以包括客户端和服务器。客户端和服务器一般远离彼此并且通常通过通信网络进行交互。通过在相应的计算机上运行并且彼此具有客户端-服务器关系的计算机程序来产生客户端和服务器的关系。服务器可以是云服务器,又称为云计算服务器或云主机,是云计算服务体系中的一项主机产品,以解决了传统物理主机与VPS服务中,存在的管理难度大,业务扩展性弱的缺陷。A computing system may include a client and a server. The client and the server are generally remote from each other and usually interact through a communication network. The client and server relationship is generated by computer programs running on the corresponding computers and having a client-server relationship with each other. The server may be a cloud server, also known as a cloud computing server or cloud host, which is a host product in the cloud computing service system to solve the defects of difficult management and weak business scalability in traditional physical hosts and VPS services.
应该理解,可以使用上面所示的各种形式的流程,重新排序、增加或删除步骤。例如,本发明中记载的各步骤可以并行地执行也可以顺序地执行也可以不同的次序执行,只要能够实现本发明的技术方案所期望的结果,本文在此不进行限制。It should be understood that the various forms of processes shown above can be used to reorder, add or delete steps. For example, the steps described in the present invention can be executed in parallel, sequentially or in different orders, as long as the desired results of the technical solution of the present invention can be achieved, and this document does not limit this.
上述具体实施方式,并不构成对本发明保护范围的限制。本领域技术人员应该明白的是,根据设计要求和其他因素,可以进行各种修改、组合、子组合和替代。任何在本发明的精神和原则之内所作的修改、等同替换和改进等,均应包含在本发明保护范围之内。The above specific implementations do not constitute a limitation on the protection scope of the present invention. It should be understood by those skilled in the art that various modifications, combinations, sub-combinations and substitutions can be made according to design requirements and other factors. Any modification, equivalent substitution and improvement made within the spirit and principle of the present invention should be included in the protection scope of the present invention.
| Application Number | Priority Date | Filing Date | Title |
|---|---|---|---|
| CN202211698597.2ACN115985116B (en) | 2022-12-28 | 2022-12-28 | Vehicle traffic control method, device, equipment and storage medium |
| Application Number | Priority Date | Filing Date | Title |
|---|---|---|---|
| CN202211698597.2ACN115985116B (en) | 2022-12-28 | 2022-12-28 | Vehicle traffic control method, device, equipment and storage medium |
| Publication Number | Publication Date |
|---|---|
| CN115985116Atrue CN115985116A (en) | 2023-04-18 |
| CN115985116B CN115985116B (en) | 2025-02-25 |
| Application Number | Title | Priority Date | Filing Date |
|---|---|---|---|
| CN202211698597.2AActiveCN115985116B (en) | 2022-12-28 | 2022-12-28 | Vehicle traffic control method, device, equipment and storage medium |
| Country | Link |
|---|---|
| CN (1) | CN115985116B (en) |
| Publication number | Priority date | Publication date | Assignee | Title |
|---|---|---|---|---|
| US20190391580A1 (en)* | 2018-06-25 | 2019-12-26 | Mitsubishi Electric Research Laboratories, Inc. | Systems and Methods for Safe Decision Making of Autonomous Vehicles |
| US20200294394A1 (en)* | 2019-03-13 | 2020-09-17 | Mitsubishi Electric Research Laboratories, Inc. | Joint Control of Vehicles Traveling on Different Intersecting Roads |
| CN112373472A (en)* | 2021-01-14 | 2021-02-19 | 长沙理工大学 | Method for controlling vehicle entering time and running track at automatic driving intersection |
| CN112489457A (en)* | 2020-12-23 | 2021-03-12 | 东南大学 | Intersection vehicle passing guiding method in automatic driving environment |
| CN113312732A (en)* | 2021-04-28 | 2021-08-27 | 东南大学 | Non-signal control intersection simulation control method and device combining decision advance and dynamic adjustment |
| CN113306575A (en)* | 2021-07-06 | 2021-08-27 | 北京经纬恒润科技股份有限公司 | Vehicle running control method and device |
| CN114495547A (en)* | 2022-02-22 | 2022-05-13 | 北京航空航天大学 | A coordinated traffic strategy at signalized intersections for autonomous vehicles |
| Publication number | Priority date | Publication date | Assignee | Title |
|---|---|---|---|---|
| US20190391580A1 (en)* | 2018-06-25 | 2019-12-26 | Mitsubishi Electric Research Laboratories, Inc. | Systems and Methods for Safe Decision Making of Autonomous Vehicles |
| US20200294394A1 (en)* | 2019-03-13 | 2020-09-17 | Mitsubishi Electric Research Laboratories, Inc. | Joint Control of Vehicles Traveling on Different Intersecting Roads |
| CN112489457A (en)* | 2020-12-23 | 2021-03-12 | 东南大学 | Intersection vehicle passing guiding method in automatic driving environment |
| CN112373472A (en)* | 2021-01-14 | 2021-02-19 | 长沙理工大学 | Method for controlling vehicle entering time and running track at automatic driving intersection |
| CN113312732A (en)* | 2021-04-28 | 2021-08-27 | 东南大学 | Non-signal control intersection simulation control method and device combining decision advance and dynamic adjustment |
| CN113306575A (en)* | 2021-07-06 | 2021-08-27 | 北京经纬恒润科技股份有限公司 | Vehicle running control method and device |
| CN114495547A (en)* | 2022-02-22 | 2022-05-13 | 北京航空航天大学 | A coordinated traffic strategy at signalized intersections for autonomous vehicles |
| Title |
|---|
| 宗芳: "信号交叉口行车风险场建立及车辆通行行为优化", 中国公路学报, vol. 35, no. 10, 31 October 2022 (2022-10-31), pages 244 - 253* |
| Publication number | Publication date |
|---|---|
| CN115985116B (en) | 2025-02-25 |
| Publication | Publication Date | Title |
|---|---|---|
| US20230103040A1 (en) | Vehicle travel control method and apparatus | |
| CN113792061B (en) | Map data update method, device and electronic equipment | |
| KR102864116B1 (en) | Methods, devices, storage media and program products for handling traffic congestion incidents | |
| CN111369814B (en) | Bus road and bus cooperative control method and device and terminal equipment | |
| CN112634612B (en) | Intersection flow analysis method, device, electronic device and storage medium | |
| EP4012344A2 (en) | Method and apparatus for generating route information, device, medium and product | |
| CN117842097A (en) | Vehicle control method, device, equipment and storage medium based on automatic driving | |
| CN113175940B (en) | Data processing method, device, equipment and storage medium | |
| CN114676178A (en) | Accident detection method and device and electronic equipment | |
| CN115985116A (en) | Vehicle passing control method, device, equipment and storage medium | |
| CN117146797A (en) | Adjustment method, device, equipment and media for virtual lane lines at high-precision map intersections | |
| CN112541135A (en) | Information sharing method, information sharing apparatus, electronic device, storage medium, and program product | |
| CN114970949B (en) | Method and device for predicting running speed, electronic device, and storage medium | |
| CN117854038A (en) | Construction area acquisition method and device, electronic equipment and automatic driving vehicle | |
| US11821746B2 (en) | Method and apparatus of processing traffic data, device and medium | |
| CN116311897A (en) | Traffic guidance method, device, electronic equipment and medium | |
| CN116311975A (en) | Method, device, equipment and storage medium for controlling mixed traffic flow | |
| CN114199228B (en) | Map data generation method, map data generation device, electronic equipment and storage medium | |
| CN115507866B (en) | Map data processing method and device, electronic equipment and medium | |
| CN118753289A (en) | Vehicle behavior pattern determination method, device, equipment, storage medium and product | |
| CN119872535B (en) | Conflict handling method, device, equipment and storage medium | |
| CN118471002A (en) | Speed determination method, model training method, device, equipment, medium and product | |
| CN116311974A (en) | Method, device, equipment and storage medium for controlling mixed traffic flow | |
| CN118269965A (en) | Collision cost determination method, device, equipment and medium | |
| CN114792476A (en) | Navigation broadcasting method and device, electronic equipment and storage medium |
| Date | Code | Title | Description |
|---|---|---|---|
| PB01 | Publication | ||
| PB01 | Publication | ||
| SE01 | Entry into force of request for substantive examination | ||
| SE01 | Entry into force of request for substantive examination | ||
| GR01 | Patent grant | ||
| GR01 | Patent grant |