

技术领域Technical Field
本发明属于温度预警技术领域,具体涉及基于机器学习的风力发电机机舱温度监测预警方法及系统。The present invention belongs to the technical field of temperature early warning, and in particular relates to a method and system for monitoring and early warning the temperature of a wind turbine cabin based on machine learning.
背景技术Background Art
近年来,我国风电行业发展迅速,随着风电装机容量的增加和精细化运维要求的提升,风机故障成为业主越来越关注的问题。发电机作为核心部件,其温度过热往往是发电机故障的综合表现。In recent years, my country's wind power industry has developed rapidly. With the increase in wind power installed capacity and the improvement of refined operation and maintenance requirements, wind turbine failure has become an issue that owners are increasingly concerned about. As a core component, the overheating of the generator is often a comprehensive manifestation of generator failure.
经过相关调查统计,风力发电机异常停机原因中很大一部分是因为发电机设备的温度发生异常。传统风力发电机机舱温度预警往往采用固定限值的方法,或在筛选智能算法的自变量时,尚未交代自变量筛选的原则;同时,工程中正常的风机scada样本数据本身存在着数据缺失、数据异常等各情况,这些异常数据会对机器学习算法精度产生很大的影响。如何在充分利用风力发电机大量运行数据的基础上,搭建风力发电机机舱温度的预测模型,准确识别风力发电机设备温度的变化趋势、异常情形,提供超前预警,保障风力发电机的正常运行,是当前急需解决的问题。According to relevant investigations and statistics, a large part of the reasons for abnormal shutdown of wind turbines is due to abnormal temperature of the generator equipment. Traditional wind turbine cabin temperature warnings often use fixed limit methods, or when screening the independent variables of intelligent algorithms, the principles of independent variable screening have not been explained; at the same time, the normal wind turbine SCADA sample data in the project itself has data missing, data anomalies and other situations, these abnormal data will have a great impact on the accuracy of machine learning algorithms. How to build a prediction model for wind turbine cabin temperature based on the full use of a large amount of wind turbine operation data, accurately identify the temperature change trend and abnormal conditions of wind turbine equipment, provide advance warnings, and ensure the normal operation of wind turbines is an urgent problem to be solved.
发明内容Summary of the invention
本发明的目的在于提供基于机器学习的风力发电机机舱温度监测预警方法及系统,对风力发电机机舱温度进行预测,并提前发出相关预警,避免风力发电机因温度超限发生严重故障,提高风力发电机的运行可靠性。The purpose of the present invention is to provide a wind turbine cabin temperature monitoring and early warning method and system based on machine learning, to predict the wind turbine cabin temperature and issue relevant early warnings in advance, to avoid serious failures of the wind turbine due to excessive temperature and to improve the operating reliability of the wind turbine.
为达到上述目的,本发明所采用的技术方案是:In order to achieve the above object, the technical solution adopted by the present invention is:
本发明第一方面提供了基于机器学习的风力发电机机舱温度监测预警方法,包括:The first aspect of the present invention provides a wind turbine nacelle temperature monitoring and early warning method based on machine learning, comprising:
获得风力发电机机舱及工作环境的实时监测数据;Obtain real-time monitoring data of the wind turbine nacelle and working environment;
将实时监测数据输入至预先训练的基于机器学习的风力发电机机舱温度预测模型,获得发电机机舱的温度预测值;The real-time monitoring data is input into a pre-trained wind turbine nacelle temperature prediction model based on machine learning to obtain a predicted value of the temperature of the generator nacelle;
根据温度预测值判断预警等级。Determine the warning level based on the temperature forecast value.
优选的,所述基于机器学习的风力发电机机舱温度预测模型的筛选过程包括:Preferably, the screening process of the wind turbine nacelle temperature prediction model based on machine learning includes:
获得风力发电机机舱及工作环境的多组历史监测数据;按照时间序列将每组历史监测数据中k时刻前的数据视为自变量X,将每组历史监测数据中k时刻以后的数据视为因变量Y,形成有监督学习样本数据集;Obtain multiple groups of historical monitoring data of the wind turbine nacelle and working environment; regard the data before time k in each group of historical monitoring data as the independent variable X, and regard the data after time k in each group of historical monitoring data as the dependent variable Y, so as to form a supervised learning sample data set;
经spearman相关系数算法对有监督学习样本数据集计算得到自变量X与因变量Y之间的相关性;利用随机森林算法计算自变量X与因变量Y之间相关性的特征权,根据特征权对有监督学习样本数据集进行特征筛选得到模型数据集;The Spearman correlation coefficient algorithm is used to calculate the correlation between the independent variable X and the dependent variable Y for the supervised learning sample data set; the random forest algorithm is used to calculate the feature weight of the correlation between the independent variable X and the dependent variable Y, and the supervised learning sample data set is feature screened according to the feature weight to obtain the model data set;
根据二阶多项式ridge回归、多层感知机回归、XGBoost回归和LSTM算法分别进行模型构建获得多种预测模型;通过模型数据集对多种预测模型进行训练,根据训练结果筛选出符合预设指标的预测模型作为发电机机舱温度预测模型。According to the second-order polynomial ridge regression, multi-layer perceptron regression, XGBoost regression and LSTM algorithm, models were constructed respectively to obtain multiple prediction models; multiple prediction models were trained through model data sets, and the prediction model that met the preset indicators was selected according to the training results as the generator cabin temperature prediction model.
优选的,所述实时监测数据和历史监测数据包括发电机前轴承温度、发电机前轴承温度、风速、发电机转速、变桨柜温度、变桨电机温度、变桨电容温度、变桨逆变器温度、环境温度和机舱温度。Preferably, the real-time monitoring data and historical monitoring data include generator front bearing temperature, generator front bearing temperature, wind speed, generator speed, pitch cabinet temperature, pitch motor temperature, pitch capacitor temperature, pitch inverter temperature, ambient temperature and cabin temperature.
优选的,通过模型数据集对多种预测模型进行训练的方法包括:Preferably, the method for training multiple prediction models using model data sets includes:
将模型数据集中75%作为训练数据集,将模型数据集中25%作为验证数据集;通过训练数据集对各建预测模型进行训练,通过验证数据集对训练后的各预测模型进行检验获得训练结果。75% of the model data is used as the training data set, and 25% of the model data is used as the verification data set; each prediction model is trained with the training data set, and each prediction model after training is tested with the verification data set to obtain the training results.
优选的,根据训练结果筛选出符合预设指标的预测模型作为发电机机舱温度预测模型的方法包括:Preferably, the method of selecting a prediction model that meets preset indicators as a generator room temperature prediction model according to the training results includes:
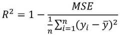
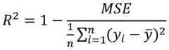
在同一组验证数据对训练后的各预测模型进行检验时进行横向对比,以均方误差、解释方差和评价指标R2 score做为衡量预测模型的预测精度指标,选出符合预设指标的预测模型作为发电机机舱温度预测模型。When testing the trained prediction models on the same set of validation data, a horizontal comparison is performed, and the mean square error, explained variance and evaluation indexR2 score are used as indicators to measure the prediction accuracy of the prediction model. The prediction model that meets the preset indicators is selected as the generator room temperature prediction model.
优选的,评价指标R2 score的计算公式为:Preferably, the calculation formula of the evaluation index R2 score is:
公式中,R2表示为评价指标R2 score;MSE表示为均方误差;yi表示为验证数据集中第i个样本实际值;表示为验证数据集中样本实际值的平均值;表示为第i个样本预测值;n表示为验证数据集中样本数量。In the formula, R2 represents the evaluation index R2 score; MSE represents the mean square error;yi represents the actual value of the i-th sample in the validation data set; It is expressed as the average value of the actual values of the samples in the validation data set; It represents the predicted value of the i-th sample; n represents the number of samples in the validation data set.
优选的,解释方差的计算公式为:Preferably, the calculation formula for explained variance is:
公式中,Evar表示为样本实际值与样本预测值的解释方差;E(·)表示为求均值函数。In the formula, Evar is the explained variance between the actual sample value and the predicted sample value; E(·) is the mean function.
本发明第二方面提供了基于机器学习的风力发电机机舱温度监测预警系统,包括:The second aspect of the present invention provides a wind turbine nacelle temperature monitoring and early warning system based on machine learning, comprising:
数据获取模块,用于获得风力发电机机舱及工作环境的实时监测数据;A data acquisition module is used to obtain real-time monitoring data of the wind turbine cabin and working environment;
温度预测模块,将实时监测数据输入至预先训练的基于机器学习的风力发电机机舱温度预测模型,获得发电机机舱的温度预测值;The temperature prediction module inputs the real-time monitoring data into a pre-trained wind turbine nacelle temperature prediction model based on machine learning to obtain the predicted temperature value of the generator nacelle;
预警模块,用于根据温度预测值判断预警等级。The early warning module is used to determine the early warning level according to the temperature prediction value.
本发明第三方面提供了一种用于风力发电机机舱温度监测预警的电子设备,配置有所述的基于机器学习的风力发电机机舱温度监测预警系统。A third aspect of the present invention provides an electronic device for wind turbine cabin temperature monitoring and early warning, which is equipped with the wind turbine cabin temperature monitoring and early warning system based on machine learning.
与现有技术相比,本发明的有益效果:Compared with the prior art, the present invention has the following beneficial effects:
本发明获得风力发电机机舱及工作环境的实时监测数据;将实时监测数据输入至预先训练的发电机机舱温度预测模型获得发电机机舱的温度预测值;根据温度预测值判断预警等级;对风力发电机机舱温度进行预测,并提前发出相关预警,避免风力发电机因温度超限发生严重故障,提高风力发电机的运行可靠性。The present invention obtains real-time monitoring data of a wind turbine cabin and a working environment; inputs the real-time monitoring data into a pre-trained generator cabin temperature prediction model to obtain a temperature prediction value of the generator cabin; determines a warning level according to the temperature prediction value; predicts the temperature of the wind turbine cabin, and issues relevant warnings in advance, thereby avoiding serious failures of the wind turbine due to excessive temperature and improving the operating reliability of the wind turbine.
本发明经spearman相关系数算法对有监督学习样本数据集计算得到自变量X与因变量Y之间的相关性;利用随机森林算法计算自变量X与因变量Y之间相关性的特征权,根据特征权对有监督学习样本数据集进行特征筛选得到模型数据集;通过对有监督学习样本数据集进行异常记录筛选,避免了异常数据对训练结果的影响,提高了发电机机舱温度预测模型的训练效率和预测精度。The present invention calculates the correlation between the independent variable X and the dependent variable Y for a supervised learning sample data set by using a spearman correlation coefficient algorithm; calculates the feature weight of the correlation between the independent variable X and the dependent variable Y by using a random forest algorithm, and performs feature screening on the supervised learning sample data set according to the feature weight to obtain a model data set; and avoids the influence of abnormal data on training results by screening abnormal records of the supervised learning sample data set, thereby improving the training efficiency and prediction accuracy of the generator cabin temperature prediction model.
附图说明BRIEF DESCRIPTION OF THE DRAWINGS
图1是本发明实施例一提供的基于机器学习的风力发电机机舱温度监测预警方法的流程图;FIG1 is a flow chart of a method for monitoring and early warning of a wind turbine cabin temperature based on machine learning provided in Embodiment 1 of the present invention;
图2是本发明提供的发电机机舱温度预测模型的训练流程图。FIG2 is a training flow chart of the generator cabin temperature prediction model provided by the present invention.
具体实施方式DETAILED DESCRIPTION
下面结合附图对本发明作进一步描述。以下实施例仅用于更加清楚地说明本发明的技术方案,而不能以此来限制本发明的保护范围。The present invention will be further described below in conjunction with the accompanying drawings. The following embodiments are only used to more clearly illustrate the technical solution of the present invention, and cannot be used to limit the protection scope of the present invention.
实施例一Embodiment 1
如图1和图2所示,本实施例提供了基于机器学习的风力发电机机舱温度监测预警方法,包括:As shown in FIG. 1 and FIG. 2 , this embodiment provides a wind turbine nacelle temperature monitoring and early warning method based on machine learning, including:
获得风力发电机机舱及工作环境的多组历史监测数据;按照时间序列将每组历史监测数据中k时刻前的数据视为自变量X,将每组历史监测数据中k时刻以后的数据视为因变量Y,形成有监督学习样本数据集;Obtain multiple groups of historical monitoring data of the wind turbine nacelle and working environment; regard the data before time k in each group of historical monitoring data as the independent variable X, and regard the data after time k in each group of historical monitoring data as the dependent variable Y, so as to form a supervised learning sample data set;
经spearman相关系数算法对有监督学习样本数据集计算得到自变量X与因变量Y之间的相关性;利用随机森林算法计算自变量X与因变量Y之间相关性的特征权,根据特征权对有监督学习样本数据集进行特征筛选得到模型数据集;The Spearman correlation coefficient algorithm is used to calculate the correlation between the independent variable X and the dependent variable Y for the supervised learning sample data set; the random forest algorithm is used to calculate the feature weight of the correlation between the independent variable X and the dependent variable Y, and the supervised learning sample data set is feature screened according to the feature weight to obtain the model data set;
根据二阶多项式ridge回归、多层感知机回归、XGBoost回归和LSTM算法分别进行模型构建获得多种预测模型;According to the second-order polynomial ridge regression, multi-layer perceptron regression, XGBoost regression and LSTM algorithm, the models are constructed to obtain various prediction models;
通过模型数据集对多种预测模型进行训练的方法包括:Methods for training multiple prediction models using model datasets include:
将模型数据集中75%作为训练数据集,将模型数据集中25%作为验证数据集;通过训练数据集对各建预测模型进行训练,通过验证数据集对训练后的各预测模型进行检验获得训练结果。75% of the model data is used as the training data set, and 25% of the model data is used as the verification data set; each prediction model is trained with the training data set, and each prediction model after training is tested with the verification data set to obtain the training results.
根据训练结果筛选出符合预设指标的预测模型作为发电机机舱温度预测模型的方法包括:The method of selecting a prediction model that meets the preset indicators according to the training results as a generator room temperature prediction model includes:
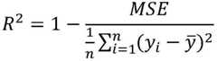
在同一组验证数据对训练后的各预测模型进行检验时进行横向对比,以均方误差、解释方差和评价指标R2 score做为衡量预测模型的预测精度指标,选出符合预设指标的预测模型作为发电机机舱温度预测模型。When testing the trained prediction models on the same set of validation data, a horizontal comparison is performed, and the mean square error, explained variance and evaluation indexR2 score are used as indicators to measure the prediction accuracy of the prediction model. The prediction model that meets the preset indicators is selected as the generator room temperature prediction model.
均方误差的计算公式为:The formula for calculating the mean square error is:
公式中,MSE表示为均方误差;yi表示为验证数据集中第i个样本实际值;表示为第i个样本预测值;n表示为验证数据集中样本数量。In the formula, MSE represents mean square error;yi represents the actual value of the i-th sample in the validation data set; It represents the predicted value of the i-th sample; n represents the number of samples in the validation data set.
评价指标R2 score的计算公式为:The calculation formula of the evaluation index R2 score is:
公式中,R2表示为评价指标R2 score;表示为验证数据集中样本实际值的平均值。In the formula, R2 is expressed as the evaluation index R2 score; It is expressed as the average of the actual values of the samples in the validation dataset.
解释方差的计算公式为:The calculation formula for explained variance is:
公式中,Evar表示为样本实际值与样本预测值的解释方差;E(·)表示为求均值函数。In the formula, Evar is the explained variance between the actual sample value and the predicted sample value; E(·) is the mean function.
获得风力发电机机舱及工作环境的实时监测数据;所述实时监测数据和历史监测数据包括发电机前轴承温度、发电机前轴承温度、风速、发电机转速、变桨柜温度、变桨电机温度、变桨电容温度、变桨逆变器温度、环境温度和机舱温度。将实时监测数据输入至预先训练的发电机机舱温度预测模型获得发电机机舱的温度预测值;根据温度预测值判断预警等级;对风力发电机机舱温度进行预测,并提前发出相关预警,避免风力发电机因温度超限发生严重故障,提高风力发电机的运行可靠性。Obtain real-time monitoring data of the wind turbine cabin and working environment; the real-time monitoring data and historical monitoring data include the temperature of the front bearing of the generator, the temperature of the front bearing of the generator, the wind speed, the speed of the generator, the temperature of the variable pitch cabinet, the temperature of the variable pitch motor, the temperature of the variable pitch capacitor, the temperature of the variable pitch inverter, the ambient temperature and the cabin temperature. Input the real-time monitoring data into the pre-trained generator cabin temperature prediction model to obtain the temperature prediction value of the generator cabin; determine the warning level according to the temperature prediction value; predict the temperature of the wind turbine cabin and issue relevant warnings in advance to avoid serious failures of the wind turbine due to excessive temperature and improve the operational reliability of the wind turbine.
实施例二Embodiment 2
本实施例提供了基于机器学习的风力发电机机舱温度监测预警系统,本系统可以应用于实施例一所述的风力发电机机舱温度监测预警方法,风力发电机机舱温度监测预警系统包括:This embodiment provides a wind turbine nacelle temperature monitoring and early warning system based on machine learning. This system can be applied to the wind turbine nacelle temperature monitoring and early warning method described in Embodiment 1. The wind turbine nacelle temperature monitoring and early warning system includes:
数据获取模块,用于获得风力发电机机舱及工作环境的实时监测数据;A data acquisition module is used to obtain real-time monitoring data of the wind turbine cabin and working environment;
温度预测模块,将实时监测数据输入至预先训练的基于机器学习的风力发电机机舱温度预测模型,获得发电机机舱的温度预测值;The temperature prediction module inputs the real-time monitoring data into a pre-trained wind turbine nacelle temperature prediction model based on machine learning to obtain the predicted temperature value of the generator nacelle;
预警模块,用于根据温度预测值判断预警等级。The early warning module is used to determine the early warning level according to the temperature prediction value.
实施例三Embodiment 3
一种用于风力发电机机舱温度监测预警的电子设备,配置有实施例二所述的基于机器学习的风力发电机机舱温度监测预警系统。An electronic device for wind turbine cabin temperature monitoring and early warning is provided with the wind turbine cabin temperature monitoring and early warning system based on machine learning described in Example 2.
本领域内的技术人员应明白,本申请的实施例可提供为方法、系统、或计算机程序产品。因此,本申请可采用完全硬件实施例、完全软件实施例、或结合软件和硬件方面的实施例的形式。而且,本申请可采用在一个或多个其中包含有计算机可用程序代码的计算机可用存储介质(包括但不限于磁盘存储器、CD-ROM、光学存储器等)上实施的计算机程序产品的形式。Those skilled in the art will appreciate that the embodiments of the present application may be provided as methods, systems, or computer program products. Therefore, the present application may adopt the form of a complete hardware embodiment, a complete software embodiment, or an embodiment in combination with software and hardware. Moreover, the present application may adopt the form of a computer program product implemented in one or more computer-usable storage media (including but not limited to disk storage, CD-ROM, optical storage, etc.) that contain computer-usable program code.
本申请是参照根据本申请实施例的方法、设备(系统)、和计算机程序产品的流程图和/或方框图来描述的。应理解可由计算机程序指令实现流程图和/或方框图中的每一流程和/或方框、以及流程图和/或方框图中的流程和/或方框的结合。可提供这些计算机程序指令到通用计算机、专用计算机、嵌入式处理机或其他可编程数据处理设备的处理器以产生一个机器,使得通过计算机或其他可编程数据处理设备的处理器执行的指令产生用于实现在流程图一个流程或多个流程和/或方框图一个方框或多个方框中指定的功能的装置。The present application is described with reference to the flowchart and/or block diagram of the method, device (system) and computer program product according to the embodiment of the present application. It should be understood that each process and/or box in the flowchart and/or block diagram, and the combination of the process and/or box in the flowchart and/or block diagram can be realized by computer program instructions. These computer program instructions can be provided to a processor of a general-purpose computer, a special-purpose computer, an embedded processor or other programmable data processing device to produce a machine, so that the instructions executed by the processor of the computer or other programmable data processing device produce a device for realizing the function specified in one process or multiple processes in the flowchart and/or one box or multiple boxes in the block diagram.
这些计算机程序指令也可存储在能引导计算机或其他可编程数据处理设备以特定方式工作的计算机可读存储器中,使得存储在该计算机可读存储器中的指令产生包括指令装置的制造品,该指令装置实现在流程图一个流程或多个流程和/或方框图一个方框或多个方框中指定的功能。These computer program instructions may also be stored in a computer-readable memory that can direct a computer or other programmable data processing device to work in a specific manner, so that the instructions stored in the computer-readable memory produce a manufactured product including an instruction device that implements the functions specified in one or more processes in the flowchart and/or one or more boxes in the block diagram.
这些计算机程序指令也可装载到计算机或其他可编程数据处理设备上,使得在计算机或其他可编程设备上执行一系列操作步骤以产生计算机实现的处理,从而在计算机或其他可编程设备上执行的指令提供用于实现在流程图一个流程或多个流程和/或方框图一个方框或多个方框中指定的功能的步骤。These computer program instructions may also be loaded onto a computer or other programmable data processing device so that a series of operational steps are executed on the computer or other programmable device to produce a computer-implemented process, whereby the instructions executed on the computer or other programmable device provide steps for implementing the functions specified in one or more processes in the flowchart and/or one or more boxes in the block diagram.
以上所述仅是本发明的优选实施方式,应当指出,对于本技术领域的普通技术人员来说,在不脱离本发明技术原理的前提下,还可以做出若干改进和变形,这些改进和变形也应视为本发明的保护范围。The above is only a preferred embodiment of the present invention. It should be pointed out that for ordinary technicians in this technical field, several improvements and modifications can be made without departing from the technical principles of the present invention. These improvements and modifications should also be regarded as the scope of protection of the present invention.
| Application Number | Priority Date | Filing Date | Title |
|---|---|---|---|
| CN202211682804.5ACN115985072A (en) | 2022-12-27 | 2022-12-27 | Wind turbine cabin temperature monitoring and early warning method and system based on machine learning |
| Application Number | Priority Date | Filing Date | Title |
|---|---|---|---|
| CN202211682804.5ACN115985072A (en) | 2022-12-27 | 2022-12-27 | Wind turbine cabin temperature monitoring and early warning method and system based on machine learning |
| Publication Number | Publication Date |
|---|---|
| CN115985072Atrue CN115985072A (en) | 2023-04-18 |
| Application Number | Title | Priority Date | Filing Date |
|---|---|---|---|
| CN202211682804.5APendingCN115985072A (en) | 2022-12-27 | 2022-12-27 | Wind turbine cabin temperature monitoring and early warning method and system based on machine learning |
| Country | Link |
|---|---|
| CN (1) | CN115985072A (en) |
| Publication number | Priority date | Publication date | Assignee | Title |
|---|---|---|---|---|
| CN119106606A (en)* | 2024-08-13 | 2024-12-10 | 华电电力科学研究院有限公司 | A method, system, device and medium for early warning temperature of generator stator winding |
| CN120315357A (en)* | 2025-06-13 | 2025-07-15 | 安徽中医药大学 | Method and system for controlling storage environment of household intelligent traditional Chinese medicine box |
| Publication number | Priority date | Publication date | Assignee | Title |
|---|---|---|---|---|
| CN111237134A (en)* | 2020-01-14 | 2020-06-05 | 上海电力大学 | Offshore double-fed wind driven generator fault diagnosis method based on GRA-LSTM-stacking model |
| CN112035716A (en)* | 2020-08-21 | 2020-12-04 | 华风数据(深圳)有限公司 | XGboost algorithm-based fan generator fault monitoring and diagnosis method |
| CN113283484A (en)* | 2021-05-14 | 2021-08-20 | 中国邮政储蓄银行股份有限公司 | Improved feature selection method, device and storage medium |
| WO2022012137A1 (en)* | 2020-07-15 | 2022-01-20 | 上海电气风电集团股份有限公司 | Method and system for monitoring wind turbine generator set, and computer-readable storage medium |
| CN114280696A (en)* | 2021-12-23 | 2022-04-05 | 无锡九方科技有限公司 | Intelligent sea fog level forecasting method and system |
| CN114444382A (en)* | 2021-12-09 | 2022-05-06 | 中广核(北京)新能源科技有限公司 | Wind turbine generator gearbox fault diagnosis and analysis method based on machine learning algorithm |
| Publication number | Priority date | Publication date | Assignee | Title |
|---|---|---|---|---|
| CN111237134A (en)* | 2020-01-14 | 2020-06-05 | 上海电力大学 | Offshore double-fed wind driven generator fault diagnosis method based on GRA-LSTM-stacking model |
| WO2022012137A1 (en)* | 2020-07-15 | 2022-01-20 | 上海电气风电集团股份有限公司 | Method and system for monitoring wind turbine generator set, and computer-readable storage medium |
| CN112035716A (en)* | 2020-08-21 | 2020-12-04 | 华风数据(深圳)有限公司 | XGboost algorithm-based fan generator fault monitoring and diagnosis method |
| CN113283484A (en)* | 2021-05-14 | 2021-08-20 | 中国邮政储蓄银行股份有限公司 | Improved feature selection method, device and storage medium |
| CN114444382A (en)* | 2021-12-09 | 2022-05-06 | 中广核(北京)新能源科技有限公司 | Wind turbine generator gearbox fault diagnosis and analysis method based on machine learning algorithm |
| CN114280696A (en)* | 2021-12-23 | 2022-04-05 | 无锡九方科技有限公司 | Intelligent sea fog level forecasting method and system |
| Publication number | Priority date | Publication date | Assignee | Title |
|---|---|---|---|---|
| CN119106606A (en)* | 2024-08-13 | 2024-12-10 | 华电电力科学研究院有限公司 | A method, system, device and medium for early warning temperature of generator stator winding |
| CN120315357A (en)* | 2025-06-13 | 2025-07-15 | 安徽中医药大学 | Method and system for controlling storage environment of household intelligent traditional Chinese medicine box |
| Publication | Publication Date | Title |
|---|---|---|
| CN110991666B (en) | Fault detection method, training device, training equipment and training equipment for model, and storage medium | |
| CN111597651B (en) | A method for evaluating performance degradation of rolling bearings based on HWPSO-SVDD model | |
| CN108051211B (en) | A method for early warning and diagnosis of wind turbine main bearing temperature | |
| CN105205569B (en) | State of fan gear box online evaluation method for establishing model and online evaluation method | |
| CN107609574A (en) | Wind turbines fault early warning method based on data mining | |
| CN107291991B (en) | An early warning method for wind turbines based on dynamic network flags | |
| CN108072524B (en) | Wind turbine generator gearbox bearing fault early warning method | |
| CN118897956A (en) | A method for intelligently monitoring the operating status of hydropower plant equipment | |
| CN105760617A (en) | Calculation method applied to multi-parameter fault prediction and judgment indexes of wind generating set | |
| CN104915747A (en) | Electricity generation performance evaluation method of generator set and equipment thereof | |
| CN115985072A (en) | Wind turbine cabin temperature monitoring and early warning method and system based on machine learning | |
| KR102212022B1 (en) | Method of automatically determining condition of hydro turbine in hydroelectric power plant and system for the same | |
| KR102108975B1 (en) | Apparatus and method for condition based maintenance support of naval ship equipment | |
| CN115578084A (en) | Wind Turbine Frequency Converter Fault Early Warning Method Based on Deep Convolutional Autoencoder | |
| CN118154152A (en) | Equipment full life cycle management method and system based on cloud service platform | |
| CN116025529A (en) | Autonomous health assessment method and self-healing regulation and control method and system for wind turbine generator | |
| CN118501692A (en) | Servo motor fault diagnosis method and system | |
| CN115238573A (en) | Method and system for predicting performance degradation trend of hydroelectric unit considering working parameters | |
| CN110794683A (en) | Wind power gear box state evaluation method based on deep neural network and kurtosis characteristics | |
| CN114282338A (en) | Method for identifying operating state of wind turbine and wind turbine | |
| CN113313365A (en) | Degradation early warning method and device for primary air fan | |
| CN113503232A (en) | Early warning method and system for running health state of fan | |
| CN116771610A (en) | Method for adjusting fault evaluation value of variable pitch system of wind turbine | |
| CN114778116A (en) | Method and system for early warning of wind turbine pitch bearing fault | |
| CN119313221A (en) | Method and device for identifying degradation trend of hydraulic station of wind turbine generator set |
| Date | Code | Title | Description |
|---|---|---|---|
| PB01 | Publication | ||
| PB01 | Publication | ||
| SE01 | Entry into force of request for substantive examination | ||
| SE01 | Entry into force of request for substantive examination |