










技术领域Technical Field
本发明属于雷达技术领域,具体涉及一种基于快速SBL算法的周期性分段观测ISAR高分辨成像方法。The invention belongs to the technical field of radar, and in particular relates to a periodic segmented observation ISAR high-resolution imaging method based on a fast SBL algorithm.
背景技术Background Art
逆合成孔径雷达(ISAR)能够获得全天时、全天候环境下运动目标的高分辨率雷达图像,已被应用于各种领域,如空间监视、雷达天文等。在对空中目标的高分辨率雷达成像中,图像的方位分辨率由相干积累角决定。为了获得更好的方位分辨率,需要更大的相干积累角,即更长的观察时间。在此期间,当不可能进行连续测量或在某些时段的测量无效时,观测数据就会出现阶段性缺失的问题。例如,干扰和系统不稳定性将导致此时的回波数据损坏或丢失。此外,从多个视角收集的数据是不连续的,这导致阶段性缺失数据,即孔径稀疏。对于某些监视雷达,天线固定在旋转的转台上,实现对整个空域的方位扫描。因为目标只存在于一个固定的监视区域,因此收集的回波是不连续的,可用样本之间存在很大的间隙。如果直接用补零填充缺失数据,然后进行方位压缩,得到的图像会出现高旁瓣和重影。距离分辨率与雷达的带宽成反比,因此提高距离分辨率的一种直接的方法是增加带宽和中心频率,但这种方法对硬件的成本要求较高。Inverse synthetic aperture radar (ISAR) can obtain high-resolution radar images of moving targets in all-day and all-weather environments, and has been applied to various fields such as space surveillance and radar astronomy. In high-resolution radar imaging of aerial targets, the azimuth resolution of the image is determined by the coherent accumulation angle. In order to obtain better azimuth resolution, a larger coherent accumulation angle is required, that is, a longer observation time. During this period, when continuous measurement is impossible or the measurement is invalid during certain periods, the observation data will be missing in stages. For example, interference and system instability will cause the echo data at this time to be damaged or lost. In addition, the data collected from multiple perspectives is discontinuous, which leads to staged missing data, that is, aperture sparseness. For some surveillance radars, the antenna is fixed on a rotating turntable to achieve azimuth scanning of the entire airspace. Because the target only exists in a fixed surveillance area, the collected echoes are discontinuous, and there are large gaps between the available samples. If the missing data is directly filled with zero padding and then azimuth compression is performed, the resulting image will have high side lobes and ghosting. The range resolution is inversely proportional to the radar bandwidth, so a direct way to improve the range resolution is to increase the bandwidth and center frequency, but this method has high hardware cost requirements.
为了在不增加大量硬件成本的情况下获得更高的分辨率,众多学者已经提出了一种利用现有成像雷达固有的稀疏子带进行宽带合成的方法。但这种方法的关键因素在于利用阶段性子带数据实现精确的散射中心估计。因此,从方位维或距离维上阶段性缺失的ISAR原始数据(或者称分段观测的ISAR原始数据)中,获取高分辨图像已经成为研究人员面临的一个挑战。分段观测ISAR高分辨成像已经在雷达成像界受到越来越多的关注。In order to obtain higher resolution without increasing the hardware cost, many scholars have proposed a method of broadband synthesis using the inherent sparse subbands of existing imaging radars. However, the key factor of this method is to use the staged subband data to achieve accurate scattering center estimation. Therefore, it has become a challenge for researchers to obtain high-resolution images from ISAR raw data (or segmented ISAR raw data) that are missing in the azimuth or range dimension. Segmented ISAR high-resolution imaging has received increasing attention in the radar imaging community.
在雷达成像中,理论和实验计算表明,当雷达回波中存在强散射点时,雷达目标的回波信号在高频段可以看作是少数几个散射中心回波信号叠加的结果,目标信号是稀疏的。为获得高分辨的雷达图像,高分辨雷达通常工作在高频区域,由此发展出了基于稀疏表示理论的雷达成像技术。这种技术是针对雷达目标回波信号的稀疏特性,将雷达成像模型转化为稀疏表示模型,并采用稀疏重构方法来对雷达目标参数进行优化求解。稀疏表示理论发展至今已开发出众多的稀疏重构算法,在众多算法中,稀疏贝叶斯学习(SBL,SparseBayesian Learning)算法具有更强的鲁棒性和更高的估计精度,故在理论和应用方面都引起了研究者的研究兴趣。SBL算法是一种非常重要的贝叶斯统计优化算法,它是在贝叶斯理论的基础上发展起来的,从统计的角度来实现信号重构。即在SBL框架下,待恢复信号满足一定的先验分布,然后通过贝叶斯分析得到信号的后验分布信息,再通过不断地迭代实现信号重构。In radar imaging, theoretical and experimental calculations show that when there are strong scattering points in the radar echo, the echo signal of the radar target can be regarded as the result of the superposition of a few scattering center echo signals in the high frequency band, and the target signal is sparse. In order to obtain high-resolution radar images, high-resolution radars usually work in the high-frequency region, and radar imaging technology based on sparse representation theory has been developed. This technology is aimed at the sparse characteristics of radar target echo signals, converts the radar imaging model into a sparse representation model, and uses sparse reconstruction methods to optimize and solve radar target parameters. Since the development of sparse representation theory, many sparse reconstruction algorithms have been developed. Among the many algorithms, the sparse Bayesian learning (SBL) algorithm has stronger robustness and higher estimation accuracy, so it has attracted the research interest of researchers in both theory and application. The SBL algorithm is a very important Bayesian statistical optimization algorithm. It is developed on the basis of Bayesian theory and realizes signal reconstruction from a statistical perspective. That is, under the SBL framework, the signal to be restored satisfies a certain prior distribution, and then the posterior distribution information of the signal is obtained through Bayesian analysis, and then the signal is reconstructed through continuous iteration.
然而,SBL算法每次迭代中需要求解一个逆矩阵,该矩阵维度与观测数据长度一样。若用传统的直接求逆方法求解,其计算复杂度与观测数据长度的立方成正比。当观测数据样本数较多时,计算时间往往很长。为解决这一问题,众多学者已经提出了一些快速SBL算法,但这些快速算法都采用了一些近似,会影响成像结果的准确性。若用于分段观测ISAR成像,成像结果将会更差。However, the SBL algorithm needs to solve an inverse matrix in each iteration, and the dimension of the matrix is the same as the length of the observation data. If the traditional direct inversion method is used to solve it, its computational complexity is proportional to the cube of the length of the observation data. When the number of observation data samples is large, the calculation time is often very long. To solve this problem, many scholars have proposed some fast SBL algorithms, but these fast algorithms all use some approximations, which will affect the accuracy of the imaging results. If used for segmented observation ISAR imaging, the imaging results will be worse.
分段观测包含非周期性分段以及周期性分段两种。这两种情况都是很常见的。针对非周期性分段观测数据的ISAR高分辨成像已有一定的研究,但针对周期性分段的研究较少。因此,研究周期性分段观测ISAR高分辨成像很有必要。Segmented observation includes non-periodic segmentation and periodic segmentation. Both situations are very common. There have been some studies on ISAR high-resolution imaging of non-periodic segmented observation data, but there are fewer studies on periodic segmentation. Therefore, it is necessary to study ISAR high-resolution imaging of periodic segmented observation.
发明内容Summary of the invention
为了解决现有技术中存在的上述问题,本发明提供了一种基于快速SBL算法的周期性分段观测ISAR高分辨成像方法。本发明要解决的技术问题通过以下技术方案实现:In order to solve the above problems existing in the prior art, the present invention provides a periodic segmented observation ISAR high-resolution imaging method based on a fast SBL algorithm. The technical problem to be solved by the present invention is achieved through the following technical solutions:
本发明提供了一种基于快速SBL算法的周期性分段观测ISAR高分辨成像方法,包括:The present invention provides a periodic segmented observation ISAR high-resolution imaging method based on a fast SBL algorithm, comprising:
S1:利用获取的周期性分段观测数据进行建模,获得原始待重构信号的重构模型,所述重构模型为:S1: Modeling is performed using the acquired periodic segmented observation data to obtain a reconstruction model of the original signal to be reconstructed, wherein the reconstruction model is:
其中,字典矩阵x表示原始待重构信号,表示观测噪声,表示观测数据中的有效数据,D表示过完备字典矩阵,表示有效矩阵对应的选择矩阵;Among them, the dictionary matrix x represents the original signal to be reconstructed, represents the observation noise, represents the valid data in the observed data, D represents the overcomplete dictionary matrix, Represents the selection matrix corresponding to the effective matrix;
S2:构建原始待重构信号的分层贝叶斯先验模型并获得原始待重构信号的分层先验分布;S2: constructing a hierarchical Bayesian prior model of the original signal to be reconstructed and obtaining a hierarchical prior distribution of the original signal to be reconstructed;
S3:根据所述分层先验分布和所述周期性分段观测数据获得原始待重构信号的后验分布;S3: Obtaining a posterior distribution of the original signal to be reconstructed according to the hierarchical prior distribution and the periodic segmented observation data;
S4:利用所述后验分布构造SBL算法的迭代公式;S4: constructing an iterative formula of the SBL algorithm using the posterior distribution;
S5:利用基于傅里叶字典的快速SBL算法计算SBL算法单次迭代中的后验分布均值和后验分布协方差矩阵的对角线元素;S5: Use the fast SBL algorithm based on Fourier dictionary to calculate the mean of the posterior distribution and the diagonal elements of the posterior distribution covariance matrix in a single iteration of the SBL algorithm;
S6:将所述后验分布均值和后验分布协方差矩阵的对角线元素带入所述迭代公式进行迭代计算,以获得最终的ISAR成像结果。S6: Substituting the posterior distribution mean and the diagonal elements of the posterior distribution covariance matrix into the iterative formula for iterative calculation to obtain the final ISAR imaging result.
在本发明的一个实施例中,所述S2包括:In one embodiment of the present invention, the S2 includes:
构建分层贝叶斯先验模型,其中,所述分层贝叶斯先验模型的第一层为原始待重构信号x和噪声e的建模,获得原始待重构信号x和噪声e的概率密度函数:A hierarchical Bayesian prior model is constructed, wherein the first layer of the hierarchical Bayesian prior model is the modeling of the original signal to be reconstructed x and the noise e, and the probability density function of the original signal to be reconstructed x and the noise e is obtained:
其中,表示服从复高斯分布,xk表示原始待重构信号向量x的第(k+1)个元素,γk表示xk的逆方差,Λ为由1/γk按顺序构成的对角矩阵,en表示噪声数据向量e的第(n+1)个元素,β表示en的逆方差;in, represents that it obeys the complex Gaussian distribution,xk represents the (k+1)th element of the original signal vector x to be reconstructed,γk represents the inverse variance ofxk , Λ is a diagonal matrix composed of 1/γk in sequence,en represents the (n+1)th element of the noise data vector e, and β represents the inverse variance ofen ;
设定所述分层贝叶斯先验模型的第二层为γk和β的建模,概率密度函数分别为:The second layer of the hierarchical Bayesian prior model is set to model γk and β, and the probability density functions are:
其中,gamma(·)表示伽马分布,a和b分别表示γk的形状和尺度参数,c和d分别表示β的形状和尺度参数,Γ(a)表示伽马函数。Where gamma(·) represents the gamma distribution, a and b represent the shape and scale parameters of γk , c and d represent the shape and scale parameters of β, and Γ(a) represents the gamma function.
在本发明的一个实施例中,所述S3包括:In one embodiment of the present invention, S3 includes:
基于所述稀疏信号x的先验分布和观测数据,通过使用贝叶斯公式和期望最大化算法得到原始待重构信号x的后验分布,并得到后验分布的协方差Σ和均值μ分别为:Based on the prior distribution and observed data of the sparse signal x, the posterior distribution of the original signal to be reconstructed x is obtained by using the Bayesian formula and the expectation maximization algorithm, and the covariance Σ and mean μ of the posterior distribution are obtained as follows:
其中,in,
在本发明的一个实施例中,所述迭代公式包括:In one embodiment of the present invention, the iterative formula includes:
ε(j)=diag(Σ(j))ε( j ) = diag ( Σ( j ) )
其中,上标(j)表示迭代次数,Σ表示信号后验分布的协方差,ε=diag(Σ)表示ε是一个由矩阵Σ对角线上元素构成的向量,μ表示信号后验分布的均值,β表示噪声的精度,表示字典矩阵,Λ是一个由1/γk按顺序构成的一个对角阵,γk表示信号向量x中第(k+1)个值的精度。The superscript (j) indicates the number of iterations. Σ represents the covariance of the signal posterior distribution, ε=diag(Σ) means that ε is a vector consisting of the elements on the diagonal of the matrix Σ, μ represents the mean of the signal posterior distribution, β represents the accuracy of the noise, represents the dictionary matrix, Λ is a diagonal matrix composed of 1/γk in sequence, and γk represents the accuracy of the (k+1)th value in the signal vector x.
在本发明的一个实施例中,所述S5包括:In one embodiment of the present invention, the S5 includes:
S51:构造周期性分段观测数据的傅里叶字典矩阵,并利用所述傅里叶字典矩阵计算求得S51: constructing a Fourier dictionary matrix of periodic segmented observation data, and using the Fourier dictionary matrix to calculate and obtain
S52:利用求所述快速SBL算法单次迭代中的参数ε和μ。S52: Exploitation Find the parameters ε and μ in a single iteration of the fast SBL algorithm.
在本发明的一个实施例中,所述S51包括:In one embodiment of the present invention, the S51 includes:
S511:构造周期性分段观测数据的傅里叶字典矩阵:S511: Construct the Fourier dictionary matrix of periodic segmented observation data:
其中,ωk=2πk/K,k=0,...,K-1,表示与第i段有效数据相对应的傅里叶基;Where, ωk = 2πk/K, k = 0, ..., K-1, represents the Fourier basis corresponding to the i-th segment of valid data;
S512:利用所构造的字典矩阵获取参数的表达式:S512: Obtain parameters using the constructed dictionary matrix The expression is:
S513:设定置换矩阵并利用所述置换矩阵和参数构造参数获取参数的逆矩阵以及所述逆矩阵的移位表达式;S513: Setting the permutation matrix And using the permutation matrix and parameters Construction parameters Get Parameters The inverse matrix And the inverse matrix Shift expression of ;
S514:基于所述逆矩阵的移位表达式获取所述逆矩阵的G-S分解式以及G-S分解因子;S514: Based on the inverse matrix The shift expression obtains the inverse matrix GS decomposition formula and GS decomposition factors;
S515:求解的G-S分解因子;S515: Solution GS decomposition factor;
S516:利用的G-S分解因子获得的计算结果。S516: Utilization The GS decomposition factor is obtained The calculation result of .
在本发明的一个实施例中,所述S6包括:In one embodiment of the present invention, the S6 includes:
设置收敛门槛δ,判断每次迭代得到的μ值是否满足收敛条件Set the convergence threshold δ to determine whether the μ value obtained in each iteration meets the convergence condition
若不满足收敛条件,则重复步骤S51和S52继续进行迭代;若满足收敛条件,则得到的最优均值即为重构出的稀疏信号。If the convergence condition is not met, steps S51 and S52 are repeated to continue iteration; if the convergence condition is met, the obtained optimal mean value is the reconstructed sparse signal.
本发明的另一方面提供了一种存储介质,所述存储介质中存储有计算机程序,所述计算机程序用于执行上述实施例中任一项所述基于快速SBL算法的周期性分段观测ISAR高分辨成像方法的步骤。Another aspect of the present invention provides a storage medium storing a computer program for executing the steps of the periodic segmented observation ISAR high-resolution imaging method based on the fast SBL algorithm described in any one of the above embodiments.
本发明的另一方面提供了一种电子设备,包括存储器和处理器,所述存储器中存储有计算机程序,所述处理器调用所述存储器中的计算机程序时实现如上述实施例中任一项所述基于快速SBL算法的周期性分段观测ISAR高分辨成像方法的步骤。Another aspect of the present invention provides an electronic device, including a memory and a processor, wherein a computer program is stored in the memory, and when the processor calls the computer program in the memory, the steps of the periodic segmented observation ISAR high-resolution imaging method based on the fast SBL algorithm as described in any of the above embodiments are implemented.
与现有技术相比,本发明的有益效果在于:Compared with the prior art, the present invention has the following beneficial effects:
1、本发明针对周期性分段观测数据的情况,提出了一种基于快速SBL算法的高分辨成像方法,能够很好地抑制旁瓣、缩小主瓣宽度,提高分辨率。该快速SBL算法是使用G-S分解和FFT(快速傅里叶变换)分别求解逆矩阵和涉及该逆矩阵的相乘运算,不采用任何近似,因此可以在保证结果准确性的同时将计算量降低几个数量级。相比已提出的非周期性分段的快速SBL算法,本发明的方法具有更低的计算复杂度。1. Aiming at the situation of periodic segmented observation data, the present invention proposes a high-resolution imaging method based on a fast SBL algorithm, which can well suppress side lobes, reduce the main lobe width, and improve resolution. The fast SBL algorithm uses G-S decomposition and FFT (fast Fourier transform) to solve the inverse matrix and the multiplication operation involving the inverse matrix respectively, without using any approximation, so the amount of calculation can be reduced by several orders of magnitude while ensuring the accuracy of the result. Compared with the proposed non-periodic segmented fast SBL algorithm, the method of the present invention has lower computational complexity.
2、本发明基于快速SBL算法的成像方法在不牺牲准确性的同时提高了计算速度。该快速SBL算法的核心是利用傅里叶字典,在SBL每次迭代中待求逆矩阵是一个托普利兹-块-托普利兹矩阵,基于该矩阵可构造出另一个托普利兹-块-托普利兹矩阵,并且可通过FFT快速求解。逆矩阵则可通过G-S分解被表达出,避免了直接求解逆矩阵导致的计算复杂度高的问题。值得注意的是,本发明所提的快速SBL算法是基于傅里叶字典的。虽然SBL对字典的类型没有要求,但在很多领域,信号都是在傅里叶基构成的字典中稀疏的。2. The imaging method based on the fast SBL algorithm of the present invention improves the calculation speed without sacrificing accuracy. The core of the fast SBL algorithm is to use the Fourier dictionary. In each iteration of SBL, the inverse matrix to be calculated is a Toeplitz-block-Toeplitz matrix. Based on this matrix, another Toeplitz-block-Toeplitz matrix can be constructed and can be quickly solved by FFT. The inverse matrix can be expressed by G-S decomposition, avoiding the problem of high computational complexity caused by directly solving the inverse matrix. It is worth noting that the fast SBL algorithm proposed in the present invention is based on the Fourier dictionary. Although SBL has no requirements on the type of dictionary, in many fields, the signal is sparse in the dictionary composed of the Fourier basis.
3、本发明所提的快速算法还利用了位移秩的性质,导致算法的计算复杂度与周期性分段观测数据中所分的段数有关,分的段数越少,成像的时间越短。3. The fast algorithm proposed in the present invention also utilizes the property of displacement rank, resulting in that the computational complexity of the algorithm is related to the number of segments in the periodic segmented observation data. The fewer the number of segments, the shorter the imaging time.
以下将结合附图及实施例对本发明做进一步详细说明。The present invention will be further described in detail below with reference to the accompanying drawings and embodiments.
附图说明BRIEF DESCRIPTION OF THE DRAWINGS
图1是本发明实施例提供的一种基于快速SBL算法的周期性分段观测ISAR高分辨成像方法的流程图;FIG1 is a flow chart of a method for periodic segmented observation ISAR high-resolution imaging based on a fast SBL algorithm provided by an embodiment of the present invention;
图2是本发明实施例提供的一种周期性分段观测数据的模型图;FIG2 is a model diagram of periodic segmented observation data provided by an embodiment of the present invention;
图3是各种方法的周期性分段数据成像结果图;FIG3 is a diagram of periodic segmented data imaging results of various methods;
图4是各种方法随观测数据长度变化的周期性分段数据成像性能图;FIG4 is a graph showing the periodic segmented data imaging performance of various methods as the length of the observed data changes;
图5是各种方法随观测数据缺失率变化的周期性分段数据成像性能图;FIG5 is a graph showing the periodic segmented data imaging performance of various methods as the observed data missing rate changes;
图6是各种方法随观测数据所分段的段数变化的周期性分段数据成像性能图;FIG6 is a graph showing the performance of various methods for periodic segmented data imaging as the number of segments into which the observed data is segmented changes;
图7是完整实测数据的高分辨距离像以及传统距离多普勒算法和SBL方法的成像结果图;FIG7 is a high-resolution range image of the complete measured data and an imaging result diagram of the traditional range Doppler algorithm and the SBL method;
图8是周期性分段实测数据的高分辨距离像以及传统距离多普勒算法和FD-GPSBL算法的成像结果图。FIG8 is a high-resolution range image of periodic segmented measured data and the imaging results of the traditional range Doppler algorithm and the FD-GPSBL algorithm.
具体实施方式DETAILED DESCRIPTION
为了进一步阐述本发明为达成预定发明目的所采取的技术手段及功效,以下结合附图及具体实施方式,对依据本发明提出的一种基于快速SBL算法的周期性分段观测ISAR高分辨成像方法进行详细说明。In order to further explain the technical means and effects adopted by the present invention to achieve the predetermined purpose of the invention, a periodic segmented observation ISAR high-resolution imaging method based on a fast SBL algorithm proposed in the present invention is described in detail below in conjunction with the accompanying drawings and specific implementation methods.
有关本发明的前述及其他技术内容、特点及功效,在以下配合附图的具体实施方式详细说明中即可清楚地呈现。通过具体实施方式的说明,可对本发明为达成预定目的所采取的技术手段及功效进行更加深入且具体地了解,然而所附附图仅是提供参考与说明之用,并非用来对本发明的技术方案加以限制。The above and other technical contents, features and effects of the present invention are clearly presented in the following detailed description of the specific implementation modes in conjunction with the accompanying drawings. Through the description of the specific implementation modes, the technical means and effects adopted by the present invention to achieve the predetermined purpose can be more deeply and specifically understood. However, the attached drawings are only for reference and explanation purposes and are not used to limit the technical solutions of the present invention.
应当说明的是,在本文中,诸如第一和第二等之类的关系术语仅仅用来将一个实体或者操作与另一个实体或操作区分开来,而不一定要求或者暗示这些实体或操作之间存在任何这种实际的关系或者顺序。而且,术语“包括”、“包含”或者任何其他变体意在涵盖非排他性的包含,从而使得包括一系列要素的物品或者设备不仅包括那些要素,而且还包括没有明确列出的其他要素。在没有更多限制的情况下,由语句“包括一个……”限定的要素,并不排除在包括所述要素的物品或者设备中还存在另外的相同要素。It should be noted that, in this article, relational terms such as first and second, etc. are only used to distinguish one entity or operation from another entity or operation, and do not necessarily require or imply any such actual relationship or order between these entities or operations. Moreover, the terms "include", "comprise" or any other variants are intended to cover non-exclusive inclusion, so that an article or device including a series of elements includes not only those elements, but also other elements that are not explicitly listed. In the absence of more restrictions, the elements defined by the statement "including one..." do not exclude the existence of other identical elements in the article or device including the elements.
实施例一
请参见图1,图1是本发明实施例提供的一种基于快速SBL算法的周期性分段观测ISAR高分辨成像方法的流程图。该成像方法包括:Please refer to FIG1 , which is a flow chart of a periodic segmented observation ISAR high-resolution imaging method based on a fast SBL algorithm provided by an embodiment of the present invention. The imaging method comprises:
S1:利用获取的周期性分段观测数据进行建模,获得原始待重构信号的重构模型。S1: Modeling is performed using the acquired periodic segmented observation data to obtain a reconstruction model of the original signal to be reconstructed.
原始待重构信号为稀疏信号,稀疏信号的重构是指在原始待重构信号x具有一定稀疏性的前提下,根据观测数据y求解原始待重构信号x的过程。观测数据y的模型可以用一个带噪声的欠定线性系统来描述,如:The original signal to be reconstructed is a sparse signal. The reconstruction of a sparse signal refers to the process of solving the original signal to be reconstructed x based on the observed data y under the premise that the original signal to be reconstructed x has a certain sparsity. The model of the observed data y can be described by an underdetermined linear system with noise, such as:
y=Dx+ey=Dx+e
其中,是观测数据;是过完备字典矩阵且K>>N;x表示待重构的原始稀疏信号,即向量x中的大多数元素是零;表示观测噪声,N表示观测数据长度,K/N是超分辨倍数。in, is the observational data; is an overcomplete dictionary matrix and K>>N; x represents the original sparse signal to be reconstructed, that is, most elements in the vector x are zero; represents the observation noise, N represents the observation data length, and K/N is the super-resolution multiple.
对于分段观测数据,其信号重构的示意图如图2所示。灰色框表示有效的采样样本,白框表示缺失的采样样本。可根据缺失样本的位置将全部观测数据yNs分为q段,每段数据的长度为Nsp,每段数据包含的有效数据的长度为Ngp,缺失数据的长度为Nmp。全部观测数据的长度为Ns,总的有效数据的长度为Ng,总的缺失数据的长度为Nm。它们的关系是:qNgp=Ng,qNmp=Nm,qNsp=Ns=Ng+Nm。可见,总的有效数据和总的缺失的数据分别是每段有效数据和缺失数据的集合,它们有下列关系:For segmented observation data, the schematic diagram of signal reconstruction is shown in Figure 2. The gray box represents the valid sampling samples, and the white box represents the missing sampling samples. The total observation data yNs can be divided into q segments according to the position of the missing samples. The length of each segment is Nsp , the length of the valid data contained in each segment is Ngp , and the length of the missing data is Nmp . The length of all observation data is Ns , the length of the total valid data is Ng , and the length of the total missing data is Nm . Their relationship is: qNgp =Ng , qNmp =Nm , qNsp =Ns =Ng +Nm . It can be seen that the total valid data and the total missing data are the sets of valid data and missing data for each segment, and they have the following relationship:
其中,表示观测数据,和分别表示与有效数据和缺失数据相对应的选择矩阵。该原始观测数据的缺失率为in, represents the observed data, and Respectively represent and effective data and missing data The corresponding selection matrix. The missing rate of the original observation data is
所述重构模型为:The reconstructed model is:
其中,字典矩阵x表示原始待重构信号,表示观测噪声,表示观测数据中的有效数据。Among them, the dictionary matrix x represents the original signal to be reconstructed, represents the observation noise, Represents the valid data in the observation data.
S2:构建原始待重构信号的分层贝叶斯先验模型并获得原始待重构信号的分层先验分布。S2: Construct a hierarchical Bayesian prior model of the original signal to be reconstructed and obtain the hierarchical prior distribution of the original signal to be reconstructed.
首先,对SBL(Sparse Bayesian Learning,稀疏贝叶斯学习)算法进行简单介绍。SBL是基于贝叶斯框架,原始待重构信号被假设为一个重尾密度分布,如拉普拉斯或Student’s T分布。为了便于推导,通常采用基于分层贝叶斯模型的尺度混合分布来替代原有的重尾分布。SBL中常用高斯尺度混合物(GSMs)和拉普拉斯尺度混合物(LSMs)。然后,SBL根据观测数据估计这些分布模型的参数进而重构信号。First, the SBL (Sparse Bayesian Learning) algorithm is briefly introduced. SBL is based on the Bayesian framework, and the original signal to be reconstructed is assumed to be a heavy-tailed density distribution, such as Laplace or Student’s T distribution. In order to facilitate derivation, a scale mixture distribution based on a hierarchical Bayesian model is usually used to replace the original heavy-tailed distribution. Gaussian scale mixtures (GSMs) and Laplace scale mixtures (LSMs) are commonly used in SBL. Then, SBL estimates the parameters of these distribution models based on the observed data and reconstructs the signal.
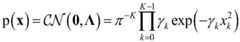
为了有效提高信号的稀疏性,通常使用分层贝叶斯先验模型来描述SBL中的信号。该分层贝叶斯先验模型的第一层是原始待重构信号x和噪声e的建模。假设原始待重构稀疏信号x服从零均值协方差复高斯分布Λ,并且噪声e服从零均值协方差复高斯分布β-1I,则原始待重构信号x和噪声e的概率密度函数(PDF)分别为:In order to effectively improve the sparsity of the signal, a hierarchical Bayesian prior model is usually used to describe the signal in the SBL. The first layer of the hierarchical Bayesian prior model is the modeling of the original signal to be reconstructed x and the noise e. Assuming that the original sparse signal to be reconstructed x obeys the zero mean covariance complex Gaussian distribution Λ, and the noise e obeys the zero mean covariance complex Gaussian distribution β-1 I, the probability density functions (PDFs) of the original signal to be reconstructed x and the noise e are respectively:
其中,表示服从复高斯分布,xk表示原始稀疏信号向量x的第(k+1)个元素并且原始稀疏信号向量x中的每个元素彼此是独立的,γk表示xk的精度(逆方差),Λ是一个由1/γk按顺序构成的对角矩阵。en表示噪声数据向量e的第(n+1)个元素,β表示en的精度(逆方差)。in, represents that it obeys the complex Gaussian distribution,xk represents the (k+1)th element of the original sparse signal vector x and each element in the original sparse signal vector x is independent of each other,γk represents the accuracy (inverse variance) ofxk , and Λ is a diagonal matrix composed of 1/γk in sequence.en represents the (n+1)th element of the noise data vector e, and β represents the accuracy (inverse variance) ofen .
该分层贝叶斯先验模型的第二层是γk和β的建模,均符合伽马分布,其概率密度函数分别为:The second layer of the hierarchical Bayesian prior model is the modeling of γk and β, both of which conform to the gamma distribution, and their probability density functions are:
其中,gamma(·)表示伽马分布,a和b分别表示γk的形状和尺度参数,c和d分别表示β的形状和尺度参数,它们被称为超参数。为获得广泛的超先验,a、b、c、d通常被设置为很小的正常数。Γ(a)表示伽马函数。Where gamma(·) represents the gamma distribution, a and b represent the shape and scale parameters of γk , respectively, and c and d represent the shape and scale parameters of β, respectively, which are called hyperparameters. To obtain a wide range of hyperpriors, a, b, c, and d are usually set to small positive constants. Γ(a) represents the gamma function.
S3:根据所述分层先验分布和所述周期性分段观测数据获得原始待重构信号的后验分布。S3: Obtaining the posterior distribution of the original signal to be reconstructed according to the hierarchical prior distribution and the periodic segmented observation data.
具体地,基于步骤S21中获得的分层先验分布和观测数据y,通过使用贝叶斯公式和期望最大化(EM)算法得到待重构原始信号x的后验分布,其后验分布可解析地表示为一个复高斯分布:Specifically, based on the hierarchical prior distribution obtained in step S21 and the observed data y, the posterior distribution of the original signal x to be reconstructed is obtained by using the Bayesian formula and the expectation maximization (EM) algorithm, and the posterior distribution can be analytically expressed as a complex Gaussian distribution:
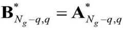
其中,该复高斯分布的协方差Σ=(βDHD+Λ-1)-1,均值μ=βΣDHy。The covariance of the complex Gaussian distribution is Σ=(βDH D+Λ-1 )-1 , and the mean is μ=βΣDH y.
根据伍德伯里矩阵的恒等式,Σ和μ又可表示为:According to the Woodbury matrix identity, Σ and μ can be expressed as:
μ=βΛDHQ-1yμ=βΛDH Q-1 y
其中,Q=I+βDΛDH。Wherein, Q = I + βDΛDH .
在分段观测模型中,将有效测量数据和字典矩阵代入上式,Σ和μ可表示为:In the segmented observation model, the effective measurement data and dictionary matrix Substituting into the above formula, Σ and μ can be expressed as:
其中,in,
S4:利用所述后验分布构造SBL算法的迭代公式;S4: constructing an iterative formula of the SBL algorithm using the posterior distribution;
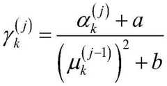
在SBL算法中,信号重构是通过迭代实现的。步骤S3中构造的后验分布的最优均值即为重构出的信号。以下是SBL算法的迭代步骤,这里称为直接求逆的SBL(DI-SBL):In the SBL algorithm, signal reconstruction is achieved through iteration. The optimal mean of the posterior distribution constructed in step S3 is the reconstructed signal. The following are the iterative steps of the SBL algorithm, which is called direct inversion SBL (DI-SBL):
ε(j)=diag(Σ(j))ε( j ) = diag ( Σ( j ) )
其中,ε=diag(Σ)表示ε是一个由矩阵Σ对角线上元素构成的向量,εk表示ε的第(k+1)个元素,表示第j次迭代后得到的γk,μ和∑分别表示原始待重构信号x后验概率的均值和协方差。μ的未知参数γk和β被称为超参数,可通过最大期望算法求解。||·||2代表范数。Among them, ε=diag(Σ) means that ε is a vector composed of the elements on the diagonal of the matrix Σ, εk represents the (k+1)th element of ε, represents the γk obtained after the jth iteration, μ and ∑ represent the mean and covariance of the posterior probability of the original signal x to be reconstructed. The unknown parameters γk and β of μ are called hyperparameters and can be solved by the maximum expectation algorithm. ||·||2 represents Norm.
从上述DI-SBL的迭代过程可以看出,SBL单次迭代过程的关键步骤是计算ε和μ,但计算过程需要求解传统的直接求逆方法的计算复杂度与矩阵维度的立方成正比,而矩阵的维度与观测向量的维度一样。若观测数据较多,计算时间往往很长,实际工程上是难以实现的。From the above DI-SBL iterative process, it can be seen that the key step of the SBL single iteration process is to calculate ε and μ, but the calculation process requires solving The computational complexity of the traditional direct inversion method is proportional to the cube of the matrix dimension, while the matrix The dimension and observation vector If there are a lot of observation data, the calculation time is often very long, which is difficult to achieve in actual engineering.
S5:利用基于傅里叶字典的快速SBL算法计算SBL算法单次迭代中的后验分布均值和后验分布协方差矩阵的对角线元素。S5: Use the fast SBL algorithm based on Fourier dictionary to calculate the posterior distribution mean and the diagonal elements of the posterior distribution covariance matrix in a single iteration of the SBL algorithm.
为了解决上述难题,本发明实施例提出了一种基于傅里叶字典的快速SBL算法去实现周期性分段观测ISAR高分辨成像。该算法的创新在于:在基于傅里叶字典的SBL算法中,是一个托普利兹-块-托普利兹矩阵,利用置换矩阵可构造另一个托普利兹-块-托普利兹矩阵通过采用Gohberg-Semencul(G-S)分解求解进而求解出避免了直接求逆导致的较大计算复杂度。此外,基于G-S分解因子,ε和μ可通过FFT/IFFT求解,极大地缩短了计算时间。In order to solve the above problems, the embodiment of the present invention proposes a fast SBL algorithm based on Fourier dictionary to realize periodic segmented observation ISAR high-resolution imaging. The innovation of the algorithm lies in: in the SBL algorithm based on Fourier dictionary, is a Toeplitz-block-Toeplitz matrix. Using the permutation matrix, another Toeplitz-block-Toeplitz matrix can be constructed. Solved by using Gohberg-Semencul (GS) decomposition Then solve The large computational complexity caused by direct inversion is avoided. In addition, based on the GS decomposition factor, ε and μ can be solved by FFT/IFFT, which greatly shortens the calculation time.
具体地,本实施例的步骤S5包括:Specifically, step S5 of this embodiment includes:
S51:构造周期性分段观测数据的傅里叶字典矩阵,并利用所述傅里叶字典矩阵计算获得S51: constructing a Fourier dictionary matrix of periodic segmented observation data, and using the Fourier dictionary matrix to calculate and obtain
在本实施例中,步骤S51包括:In this embodiment, step S51 includes:
S511:构造周期性分段观测数据的傅里叶字典矩阵。S511: Construct a Fourier dictionary matrix of periodic segmented observation data.
由于本发明实施例使用的是傅里叶基构成的字典,当数据存在缺失时,该字典矩阵并不是一个完整的傅里叶字典,这里用表示,中第(k+1)列的傅里叶基表示为:Since the embodiment of the present invention uses a dictionary composed of Fourier bases, when there is a missing data, the dictionary matrix is not a complete Fourier dictionary. express, The Fourier basis of the (k+1)th column in is expressed as:
其中,ωk=2πk/K,k=0,...,K-1,表示与第i段有效数据相对应的傅里叶基,可被表示为:Where, ωk = 2πk/K, k = 0, ..., K-1, The Fourier basis corresponding to the i-th segment of valid data can be expressed as:
其中,表示长度为Ngp的一个完整傅里叶基,即in, represents a complete Fourier basis of length Ngp , that is,
S512:利用所构造的字典矩阵获取参数的表达式。S512: Obtain parameters using the constructed dictionary matrix expression.
基于所获得的字典矩阵可表示为:Based on the obtained dictionary matrix It can be expressed as:
其中,是一个托普利兹-块-托普利兹矩阵,即:in, is a Toeplitz-block-Toeplitz matrix, that is:
进一步地,的其中一个子矩阵Ri为:Further, One of the sub-matricesRi of is:
Ri的元素表达式为:The element expression of Ri is:
从上式可知,rm可通过对由1/γk组成的向量做K点FFT快速计算。然后,可以得到以及可见,SBL算法每次迭代中待求逆矩阵可通过FFT快速计算。并且,也是一个托普利兹-块-托普利兹矩阵,的结构与是一样。From the above formula, we can see that rm can be quickly calculated by performing a K-point FFT on the vector composed of 1/γk . Then, we can get as well as It can be seen that the inverse matrix to be calculated in each iteration of the SBL algorithm is It can be quickly calculated by FFT. And, is also a Toeplitz-block-Toeplitz matrix, The structure and Yes.
S513:设定置换矩阵并利用所述置换矩阵和参数构造参数获取参数的逆矩阵以及所述逆矩阵的移位表达式。S513: Setting the permutation matrix And using the permutation matrix and parameters Construction parameters Get Parameters The inverse matrix And the inverse matrix The shift expression of .
具体得,通过设定一个置换矩阵参数可表示为:Specifically, by setting a permutation matrix parameter It can be expressed as:
其中,是一个托普利兹-块-托普利兹矩阵,其形式为:in, is a Toeplitz-block-Toeplitz matrix of the form:
其中,这里的上标<·>表示中对应子矩阵中的元素,例如代表Q0中的qi。因此,也可通过FFT快速计算。in, Here the superscript <·> means The elements in the corresponding submatrix are, for example represents qi in Q0. Therefore, It can also be calculated quickly through FFT.
鉴于是一个托普利兹-块-托普利兹矩阵,可被写成下列两种不同形式:Given that is a Toeplitz-block-Toeplitz matrix and can be written in two different forms:
其中,是中一个(Ng-q)×(Ng-q)的子矩阵,并且也是一个托普利兹-块-托普利兹矩阵。它们的关系为其中,是一个副对角线上所有的元素为1,其余的元素为0的矩阵,即in, yes is a (Ng -q)×(Ng -q) submatrix in , and is also a Toeplitz-block-Toeplitz matrix. Their relationship is in, is a matrix where all elements on the secondary diagonal are 1 and the rest are 0, that is,
对上述的两种形式分别使用矩阵求逆公式得:For the above The two forms of are obtained by using the matrix inversion formula:
其中,in,
将和代入上述得:Will and Substitute the above have to:
随后基于得到的求的位移表示式。Then based on the obtained beg The displacement expression of .
定义一个矩阵:Define a matrix:
其中,Iq是一个维度为q×q的单位矩阵。很显然,和in, Iq is a unit matrix of dimension q×q. Obviously, and
然后,的位移表示可表示为:Then, The displacement representation It can be expressed as:
令make
可进一步表示为: It can be further expressed as:
S514:基于所述逆矩阵的移位表达式获取所述逆矩阵的G-S分解式以及G-S分解因子。S514: Based on the inverse matrix The shift expression obtains the inverse matrix GS decomposition formula and GS decomposition factor.
基于的表达式,可求得的G-S分解式,即:based on The expression of can be obtained The GS decomposition formula is:
其中,是一个托普利兹-块矩阵。和被称为的G-S分解因子。而且,的位移秩为2q。in, is a Toeplitz-block matrix. and Known as GS decomposition factor. Moreover, The displacement rank is 2q.
S515:求解的G-S分解因子。S515: Solution GS decomposition factor.
本实施例利用迭代方式快速计算的G-S分解因子,具体地,受Levinson-Durbin(L-D)算法的影响,本发明实施例提出了一种迭代方法计算的G-S分解因子。迭代过程如下:This embodiment uses an iterative method to quickly calculate Specifically, influenced by the Levinson-Durbin (LD) algorithm, an iterative method is proposed in the embodiment of the present invention to calculate The GS decomposition factor of . The iterative process is as follows:
输入:G0和G1Input:G0 andG1
计算初始值:Calculate the initial value:
迭代过程:Iteration process:
其中,α=1,…,Ngp-2。Wherein, α=1,…,Ngp -2.
输出:Output:
S513中Wq的计算式可进一步写为将已知的G0,和计算得到的代入则可得到Wq。将和Wq代入的表达式进而可得到和即的G-S分解因子。The calculation formula of Wq in S513 can be further written as The known G0 , and the calculated Substituting into the equation, we can get Wq . Substitute Wq into The expression of and Right now GS decomposition factor.
S516:基于所述逆矩阵的G-S分解式获得逆矩阵的G-S分解式。S516: Based on the inverse matrix The inverse matrix is obtained by GS decomposition GS decomposition formula.
具体地,基于的G-S分解式,的G-S分解式为:Specifically, based on The GS decomposition of The GS decomposition formula is:
其中,是一个块-托普利兹矩阵。这样,的求解就转换成一些块-托普利兹矩阵运算。而且,此时的位移秩为2q,因此FD-GPSBL算法的计算复杂度与q有关,q的值越大,计算时间越长。in, is a block-Toeplitz matrix. Thus, The solution of is converted into some block-Toeplitz matrix operations. Moreover, at this time The displacement rank is 2q, so the computational complexity of the FD-GPSBL algorithm is related to q. The larger the value of q, the longer the calculation time.
S52:利用S516中求得的求所述快速SBL算法单次迭代中的ε和μ,具体过程为:S52: Using the value obtained in S516 To find ε and μ in a single iteration of the fast SBL algorithm, the specific process is:
基于所获得的字典矩阵ε和μ表示为:Based on the obtained dictionary matrix ε and μ are expressed as:
ε=diag(Σ)ε=diag(Σ)
具体地,ε的快速计算过程如下:Specifically, the fast calculation process of ε is as follows:
由于Λ是一个对角阵,ε的计算可分为两步,具体步骤如下:Since Λ is a diagonal matrix, the calculation of ε can be divided into two steps, as follows:
其中,εk和δk分别表示ε和δ的第(k+1)个值。又因为γk和β可通过(S22)中的SBL算法的迭代公式计算得到,因此只需要快速计算δ。将步骤S511中的和S516中的代入上述δ的表达式,可得到δk的表达式为:Wherein, εk and δk represent the (k+1)th value of ε and δ, respectively. And because γk and β can be calculated by the iterative formula of the SBL algorithm in (S22), only δ needs to be calculated quickly. and S516 Substituting the above expression for δ, we can get the expression for δk as:
其中,是一个块矩阵,其子矩阵的维度均为Ngp×Ngp。以矩阵块为单位,Ul,m表示一个由该块矩阵第m条对角线上所有的子矩阵的和构成的矩阵,维度为Ngp×Ngp。被称为多项式系数,是Ul,m的第n条对角线上所有元素的和,它们可通过FFT/IFFT快速求解,具体求解过程为:in, is a block matrix whose submatrices are all of dimension Ngp ×Ngp . Taking the matrix block as the unit, Ul,m represents a matrix consisting of the sum of all submatrices on the mth diagonal of the block matrix, with dimension Ngp ×Ngp . It is called the polynomial coefficient, which is the sum of all elements on the nth diagonal of Ul,m . They can be quickly solved by FFT/IFFT. The specific solution process is:
令其中表示中的第i个子向量,中每个子向量的维度为q,共有Ngp个。则其中表示由每个子向量中的第i个元素构成的向量。令其维度为Ngp。令表达式为:make in express The i-th subvector in , The dimension of each subvector in is q, and there are Ngp in total. Then in Indicated by The vector consisting of the i-th element in each subvector. Its dimension is Ngp . Let The expression is:
其中,是一个维度为Ngp×Ngp的托普利兹矩阵。可见,可通过一些托普利兹矩阵与向量乘积的和求解。而托普利兹矩阵与向量乘积可转换成FFT/IFFT。因此,cl,m可通过FFT/IFFT快速求解。同理,可用同样的方法求解,并且有in, is a Toeplitz matrix with dimension Ngp ×Ngp . It can be seen that It can be solved by the sum of some Toeplitz matrix and vector products. The Toeplitz matrix and vector product can be converted into FFT/IFFT. Therefore, cl,m can be quickly solved by FFT/IFFT. Similarly, The same method can be used to solve it, and we have
然后,可通过FFT快速计算δ:Then, δ can be quickly calculated by FFT:
其中,表示对括号中的向量做K点FFT,以及in, means to do K-point FFT on the vector in brackets, and
最后,通过δ,β和1/γk的点乘计算ε。Finally, ε is calculated by the dot product of δ, β and 1/γk .
进一步地,μ的快速计算过程如下:Furthermore, the fast calculation process of μ is as follows:
从步骤S4中μ的表达式看,μ的计算可分成三步:From the expression of μ in step S4, the calculation of μ can be divided into three steps:
将S516中获得的代入的表达式,可见的右侧是一些托普利兹矩阵与向量的乘积,因此可通过FFT/IFFT快速计算。接下来,将分成q段,每段的长度为Ngp且表示中的第i个子向量。令其中,的计算式为:The obtained Substitution The expression of The right side of is the product of some Toeplitz matrix and a vector, so It can be quickly calculated by FFT/IFFT. Next, Divided into q segments, each segment is of length Ngp and express The i-th subvector in . Let in, The calculation formula is:
其中,表示对括号中的向量进行K点IFFT。in, It means to perform K-point IFFT on the vector in brackets.
最后,通过β和1/γk的点乘计算μ。Finally, through The dot product of β and 1/γk calculates μ.
S6:将所述后验分布均值和后验分布协方差带入所述迭代公式进行迭代计算,以获得最终的ISAR高分辨成像。S6: Bringing the posterior distribution mean and the posterior distribution covariance into the iterative formula for iterative calculation to obtain the final ISAR high-resolution imaging.
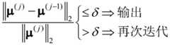
具体的,重复S51(S512-S516)和S52所述步骤直至满足收敛条件停止迭代,完成高分辨成像。在本实施例中,设置收敛门槛δ,根据下式判断每次迭代得到的μ值是否满足收敛条件Specifically, the steps S51 (S512-S516) and S52 are repeated until the convergence condition is met and the iteration is stopped to complete the high-resolution imaging. In this embodiment, a convergence threshold δ is set, and the μ value obtained in each iteration is judged according to the following formula whether it meets the convergence condition:
若不满足收敛条件,则继续重复S512-S516和S52所述步骤进行迭代;若满足收敛条件,则可得到最优均值即为重构出的稀疏信号,实现高分辨成像。If the convergence condition is not met, the steps S512-S516 and S52 are repeated for iteration; if the convergence condition is met, the optimal mean value can be obtained, which is the reconstructed sparse signal, to achieve high-resolution imaging.
下面通过仿真实验对本发明实施例周期性分段观测ISAR高分辨成像方法进行进一步说明。The following is a simulation experiment to further illustrate the periodic segmented observation ISAR high-resolution imaging method according to an embodiment of the present invention.
(1.1)实验条件:(1.1) Experimental conditions:
SBL算法参数设置:初始值超参数a=b=c=d=10-6;收敛门限δ=10-3;频率采样因子K/Ns=4。为了较明显地看出本发明基于快速SBL算法的成像方法的性能,在本实施例中加入现有的一些典型的稀疏信号重构方法与之进行对比,包括快速迭代自适应迭代算法(FIAA)、正交匹配追踪(OMP)、S-ESBL和DI-SBL算法。这里,S-ESBL算法是已提出的一种近似快速SBL算法,DI-SBL是指直接计算SBL算法。SBL algorithm parameter settings: initial value Hyperparameters a=b=c=d=10-6 ; convergence threshold δ=10-3 ; frequency sampling factor K/Ns =4. In order to clearly see the performance of the imaging method based on the fast SBL algorithm of the present invention, some existing typical sparse signal reconstruction methods are added in this embodiment for comparison, including fast iterative adaptive iterative algorithm (FIAA), orthogonal matching pursuit (OMP), S-ESBL and DI-SBL algorithms. Here, the S-ESBL algorithm is a proposed approximate fast SBL algorithm, and DI-SBL refers to a direct calculation SBL algorithm.
模拟仿真实验:模拟观测数据来自一个有25个随机频点的模拟信号。信噪比10dB。Simulation experiment: The simulated observation data comes from a simulated signal with 25 random frequency points. The signal-to-noise ratio is 10dB.
实测数据实验:实测观测数据来自雅克-42飞机。用于采集ISAR数据的雷达工作在c波段,频带为400mhz,脉冲重复频率为300hz。距离窗口有256个采样点,成像时间包含256个脉冲。Measured data experiment: The measured observation data comes from the Yak-42 aircraft. The radar used to collect ISAR data operates in the C-band, the frequency band is 400 MHz, and the pulse repetition frequency is 300 Hz. The range window has 256 sampling points, and the imaging time contains 256 pulses.
为了表明各种方法的信号重构性能,定义信号重构的归一化均方根误差(nRMSE)为:In order to show the signal reconstruction performance of various methods, the normalized root mean square error (nRMSE) of signal reconstruction is defined as:
其中,表示重构出的信号值,x表示真实信号值。in, represents the reconstructed signal value, and x represents the real signal value.
(1.2)实验内容及结果(1.2) Experimental content and results
步骤一:利用软件MATLAB R2020b对模拟观测数据进行信号重构。该模拟数据长度为512,分为8段,每段数据长度为64。缺失率为50%,即每段数据中有效数据长度为32。各种算法的重构结果如图3所示。其中,图3(a)是基于FIAA算法的成像方法的重构结果图;图3(b)是基于OMP算法的成像方法的重构结果图;图3(c)是基于S-ESBL算法的成像方法的重构结果图;图3(d)是基于DI-SBL算法的成像方法的重构结果图;图3(e)是基于FD-GPSBL算法的成像方法,即本发明实施例所提成像方法的重构结果图。Step 1: Use the software MATLAB R2020b to reconstruct the signal of the simulated observation data. The length of the simulated data is 512, which is divided into 8 segments, and the length of each segment is 64. The missing rate is 50%, that is, the effective data length in each segment is 32. The reconstruction results of various algorithms are shown in Figure 3. Among them, Figure 3 (a) is a reconstruction result diagram of the imaging method based on the FIAA algorithm; Figure 3 (b) is a reconstruction result diagram of the imaging method based on the OMP algorithm; Figure 3 (c) is a reconstruction result diagram of the imaging method based on the S-ESBL algorithm; Figure 3 (d) is a reconstruction result diagram of the imaging method based on the DI-SBL algorithm; Figure 3 (e) is an imaging method based on the FD-GPSBL algorithm, that is, a reconstruction result diagram of the imaging method proposed in an embodiment of the present invention.
表1给出了上述各种方法信号重构的时间及归一化均方根误差。Table 1 shows the signal reconstruction time and normalized root mean square error of the above methods.
表1各种算法信号重构的时间及归一化均方根误差对比Table 1 Comparison of signal reconstruction time and normalized root mean square error of various algorithms
步骤二:进行蒙特卡洛实验,比较不同参数下各种方法的性能图。结果如图4、图5和图6所示。图4是观测数据长度不同时各种方法的性能曲线图,其中,图4(a)图是重构的计算时间,注意曲线图上的时间值是取对数之后的;图4(b)是重构的归一化均方根误差;图4(c)是归一化均方根误差的方差。图5是观测数据缺失率不同时各种方法的性能曲线图,其中,图5(a)、图5(b)和图5(c)图分别代表计算时间、归一化均方根误差和方差。图6是周期性分段观测数据所分段数不同时各种算法的性能曲线图,其中,图6(a)、图6(b)和图(c)分别代表计算时间、归一化均方根误差和方差。Step 2: Conduct Monte Carlo experiments to compare the performance graphs of various methods under different parameters. The results are shown in Figures 4, 5 and 6. Figure 4 is a performance curve of various methods when the length of the observation data is different, where Figure 4(a) is the calculation time of reconstruction. Note that the time value on the curve is logarithmic; Figure 4(b) is the normalized root mean square error of reconstruction; Figure 4(c) is the variance of the normalized root mean square error. Figure 5 is a performance curve of various methods when the missing rate of observation data is different, where Figures 5(a), 5(b) and 5(c) represent the calculation time, normalized root mean square error and variance respectively. Figure 6 is a performance curve of various algorithms when the number of segments of the periodic segmented observation data is different, where Figures 6(a), 6(b) and (c) represent the calculation time, normalized root mean square error and variance respectively.
步骤三:利用软件MATLAB R2020b对实测数据进行成像。为了体现出周期性分段观测数据的成像效果,首先在图7中给出了完整“雅克-42”飞机数据的成像结果图进行对比,其中,图7(a)是高分辨率距离像(HRRP),该图横坐标代表快时间维,纵坐标代表距离维;图7(b)是传统距离-多普勒算法的成像结果;图7(c)是DI-SBL算法的成像结果。图7(b)和图7(c)的横坐标均代表方位维,纵坐标均代表距离维。对于分段观测数据,假设“雅克-42”飞机数据在方位维度上发生周期性缺失,MR为50%,q为4。周期性分段“雅克-42”数据的HRRP以及使用传统距离-多普勒算法和FD-GPSBL算法的成像结果分别如图8(a)、图8(b)和图8(c)所示。完整数据及缺失数据成像的距离维过采样因子为4。所有成像图的动态显示范围为40dB。Step 3: Use the software MATLAB R2020b to image the measured data. In order to reflect the imaging effect of the periodic segmented observation data, the imaging result diagram of the complete "Yak-42" aircraft data is first given in Figure 7 for comparison, where Figure 7(a) is a high-resolution range image (HRRP), the horizontal axis of which represents the fast time dimension and the vertical axis represents the distance dimension; Figure 7(b) is the imaging result of the traditional range-Doppler algorithm; Figure 7(c) is the imaging result of the DI-SBL algorithm. The horizontal axes of Figure 7(b) and Figure 7(c) both represent the azimuth dimension, and the vertical axes both represent the distance dimension. For the segmented observation data, it is assumed that the "Yak-42" aircraft data has periodic missing in the azimuth dimension, MR is 50%, and q is 4. The HRRP of the periodic segmented "Yak-42" data and the imaging results using the traditional range-Doppler algorithm and the FD-GPSBL algorithm are shown in Figures 8(a), 8(b), and 8(c), respectively. The range dimension oversampling factor for complete data and missing data imaging is 4. The dynamic display range of all imaging images is 40dB.
表2给出了上述周期性分段观测实测数据成像实验中DI-SBL和本发明实施例提出的FD-GPSBL算法实现方式的平均运行时间。Table 2 shows the average running time of the DI-SBL and FD-GPSBL algorithm implementations proposed in the above periodic segmented observation measured data imaging experiment.
表2实验中DI-SBL和FD-GPSBL算法的平均运行时间对比Table 2 Comparison of average running time of DI-SBL and FD-GPSBL algorithms in the experiment
(1.3)结果分析(1.3) Result analysis
从图3可以看出,当信号的两个频率值相差一个最小频率分辨率单元时,基于FIAA、DI-SBL和FD-GPSBL算法的信号重构结果非常好,说明它们具有更高的分辨率。DI-SBL和本发明实施例提出的FD-GPSBL算法的信号重构结果相同。此外,在表1列出的各种方法的nRMSE也证明了上述结论,即FIAA、DI-SBL和FD-GPSBL算法的nRMSE相对较小,DI-SBL和FD-GPSBL算法的nRMSE相同。通过比较表1中的计算时间,我们注意到OMP算法的计算时间最短。FD-GPSBL比DI-SBL快19倍以上。As can be seen from Figure 3, when the two frequency values of the signal differ by one minimum frequency resolution unit, the signal reconstruction results based on the FIAA, DI-SBL and FD-GPSBL algorithms are very good, indicating that they have higher resolution. The signal reconstruction results of the DI-SBL and FD-GPSBL algorithms proposed in the embodiment of the present invention are the same. In addition, the nRMSE of the various methods listed in Table 1 also proves the above conclusion, that is, the nRMSE of the FIAA, DI-SBL and FD-GPSBL algorithms are relatively small, and the nRMSE of the DI-SBL and FD-GPSBL algorithms are the same. By comparing the calculation time in Table 1, we notice that the calculation time of the OMP algorithm is the shortest. FD-GPSBL is more than 19 times faster than DI-SBL.
图4、图5和图6展示了一些变量对算法性能的影响。从图4(a)和图4(b)可以看出,随着观测数据总长度的增加,算法的计算时间变长,nRMSE逐渐减小;对于不同的MR,数据的MR越大,有效数据越少。SBL类的算法单次迭代的时间减少,但当达到收敛阈值时,总迭代次数却增加。如图5(a)和图5(b)所示,随着MR的增加,算法的计算时间在一定范围内减小,而nRMSE增加。FD-GPSBL算法的计算时间比DI-SBL算法短好几倍。此外,当MR大于40%时,S-ESBL算法的nRMSE变大,并随着MR的增加而迅速增加。这是由于S-ESBL采用了某种近似,当缺失样本越多,重构效果越差;当MR大于70%时,FIAA的nRMSE变大;DI-SBL和FD-GPSBL算法的nRMSE也有所增加,但增幅很小,即使在MR为80%时,误差值也是可以接受的。从图6(a)和(b)可知,q值只影响FIAA和FD-GPSBL算法的计算复杂度,对它们的重构误差没有影响。而且,随着q值的增加,本发明实施例提出的FD-GPSBL算法的计算时间变长,FIAA算法的计算时间变短。这是因为FD-GPSBL算法中逆矩阵的位移秩为2q,FIAA算法的逆协方差矩阵的位移秩为2Ngp。这里由于当q值高于16时FD-GPSBL算法的计算时间较大,因此在图6中只给出了q值较小时的计算时间、归一化均方根误差及方差。此外,为比较算法的稳定性,算法的nRMSE的方差图也在图4(c)、图5(c)和图6(c)中给出。很显然,这些算法的方差值均小于0.03,说明各种算法均具有良好的稳定性。Figures 4, 5, and 6 show the impact of some variables on the performance of the algorithms. As can be seen from Figures 4(a) and 4(b), as the total length of the observed data increases, the algorithm's calculation time becomes longer and nRMSE gradually decreases; for different MRs, the larger the MR of the data, the less valid data. The single iteration time of the SBL-type algorithm decreases, but when the convergence threshold is reached, the total number of iterations increases. As shown in Figures 5(a) and 5(b), as MR increases, the algorithm's calculation time decreases within a certain range, while nRMSE increases. The calculation time of the FD-GPSBL algorithm is several times shorter than that of the DI-SBL algorithm. In addition, when MR is greater than 40%, the nRMSE of the S-ESBL algorithm becomes larger and increases rapidly with the increase of MR. This is because S-ESBL uses a certain approximation. When the number of missing samples increases, the reconstruction effect becomes worse. When MR is greater than 70%, the nRMSE of FIAA increases. The nRMSE of DI-SBL and FD-GPSBL algorithms also increases, but the increase is very small. Even when MR is 80%, the error value is acceptable. As can be seen from Figures 6 (a) and (b), the q value only affects the computational complexity of the FIAA and FD-GPSBL algorithms, and has no effect on their reconstruction errors. Moreover, as the q value increases, the calculation time of the FD-GPSBL algorithm proposed in the embodiment of the present invention becomes longer, and the calculation time of the FIAA algorithm becomes shorter. This is because the shift rank of the inverse matrix in the FD-GPSBL algorithm is 2q, and the shift rank of the inverse covariance matrix of the FIAA algorithm is 2Ngp . Here, since the calculation time of the FD-GPSBL algorithm is large when the q value is higher than 16, only the calculation time, normalized root mean square error and variance when the q value is smaller are given in Figure 6. In addition, to compare the stability of the algorithms, the variance plots of the nRMSE of the algorithms are also given in Figure 4(c), Figure 5(c), and Figure 6(c). Obviously, the variance values of these algorithms are all less than 0.03, indicating that various algorithms have good stability.
为验证本发明所提快速算法的有效性,用传统距离-多普勒算法和SBL/FD-GPSBL算法分别对“雅克-42”飞机实测数据进行成像。完整测量数据的高分辨距离像及成像结果如图7所示,周期性分段测量数据的高分辨距离像及成像结果如图8所示。从图7可以看出,距离-多普勒算法算法的成像结果旁瓣水平较高,SBL算法的成像结果较好。从图8可以看出,与完整数据的成像结果相比,距离-多普勒算法算法对分段数据的成像结果具有更高的旁瓣电平,而本发明提出FD-GPSBL算法的成像结果更好,说明FD-GPSBL算法具有较高的成像分辨率。In order to verify the effectiveness of the fast algorithm proposed in the present invention, the measured data of the "Yak-42" aircraft were imaged using the traditional range-Doppler algorithm and the SBL/FD-GPSBL algorithm. The high-resolution range image and imaging results of the complete measurement data are shown in Figure 7, and the high-resolution range image and imaging results of the periodic segmented measurement data are shown in Figure 8. As can be seen from Figure 7, the imaging results of the range-Doppler algorithm have a higher sidelobe level, and the imaging results of the SBL algorithm are better. As can be seen from Figure 8, compared with the imaging results of the complete data, the imaging results of the range-Doppler algorithm for the segmented data have a higher sidelobe level, and the imaging results of the FD-GPSBL algorithm proposed in the present invention are better, indicating that the FD-GPSBL algorithm has a higher imaging resolution.
表2给出了实测实验中周期性分段观测时DI-SBL和FD-GPSBL算法的计算时间。很明显,与DI-SBL相比,FD-GPSBL算法的计算时间很短。因为实验中使用的实测数据长度只有128,MR为50%,有效数据量小,所以FD-GPSBL算法的加速效果不明显。总之,可看出即使在MR较大的情况下,FD-GPSBL算法也能获得较好的成像结果,并且计算时间较短。Table 2 shows the calculation time of DI-SBL and FD-GPSBL algorithms for periodic segmented observation in the measured experiment. It is obvious that the calculation time of FD-GPSBL algorithm is very short compared with DI-SBL. Because the measured data length used in the experiment is only 128, MR is 50%, and the amount of effective data is small, the acceleration effect of FD-GPSBL algorithm is not obvious. In short, it can be seen that even when MR is large, FD-GPSBL algorithm can obtain better imaging results and the calculation time is short.
综上,本发明实施例针对周期性分段观测数据的情况,提出了一种基于快速SBL算法的高分辨成像方法,能够很好地抑制旁瓣、缩小主瓣宽度,提高分辨率。该快速SBL算法是使用GS分解和FFT(快速傅里叶变换)分别求解逆矩阵和涉及该逆矩阵的相乘运算,不采用任何近似,因此可以在保证结果准确性的同时将计算量降低几个数量级。相比已提出的非周期性分段的快速SBL算法,本发明的方法具有更低的计算复杂度。本发明实施例基于快速SBL算法的成像方法在不牺牲准确性的同时提高了计算速度。该快速SBL算法的核心是利用傅里叶字典,在SBL每次迭代中待求逆矩阵是一个托普利兹-块-托普利兹矩阵,基于该矩阵可构造出另一个托普利兹-块-托普利兹矩阵,并且可通过FFT快速求解。逆矩阵则可通过G-S分解被表达出,避免了直接求解逆矩阵导致的计算复杂度高的问题。值得注意的是,本发明所提的快速SBL算法是基于傅里叶字典的。虽然SBL对字典的类型没有要求,但在很多领域,信号都是在傅里叶基构成的字典中稀疏的。In summary, the embodiment of the present invention proposes a high-resolution imaging method based on the fast SBL algorithm for the case of periodic segmented observation data, which can well suppress side lobes, reduce the main lobe width, and improve resolution. The fast SBL algorithm uses GS decomposition and FFT (fast Fourier transform) to solve the inverse matrix and the multiplication operation involving the inverse matrix respectively, without using any approximation, so the amount of calculation can be reduced by several orders of magnitude while ensuring the accuracy of the result. Compared with the proposed non-periodic segmented fast SBL algorithm, the method of the present invention has lower computational complexity. The imaging method based on the fast SBL algorithm of the embodiment of the present invention improves the calculation speed without sacrificing accuracy. The core of the fast SBL algorithm is to use the Fourier dictionary. In each iteration of SBL, the inverse matrix to be calculated is a Toeplitz-block-Toeplitz matrix. Based on the matrix, another Toeplitz-block-Toeplitz matrix can be constructed and can be quickly solved by FFT. The inverse matrix can be expressed by G-S decomposition, avoiding the problem of high computational complexity caused by directly solving the inverse matrix. It is worth noting that the fast SBL algorithm proposed in the present invention is based on the Fourier dictionary. Although SBL has no requirements on the type of dictionary, in many fields, the signal is sparse in the dictionary constructed by the Fourier basis.
本发明的又一实施例提供了一种存储介质,所述存储介质中存储有计算机程序,所述计算机程序用于执行上述实施例中所述周期性分段观测ISAR高分辨成像方法的步骤。本发明的再一方面提供了一种电子设备,包括存储器和处理器,所述存储器中存储有计算机程序,所述处理器调用所述存储器中的计算机程序时实现如上述实施例所述周期性分段观测ISAR高分辨成像方法的步骤。具体地,上述以软件功能模块的形式实现的集成的模块,可以存储在一个计算机可读取存储介质中。上述软件功能模块存储在一个存储介质中,包括若干指令用以使得一台电子设备(可以是个人计算机,服务器,或者网络设备等)或处理器(processor)执行本发明各个实施例所述方法的部分步骤。而前述的存储介质包括:U盘、移动硬盘、只读存储器(Read-Only Memory,ROM)、随机存取存储器(Random AccessMemory,RAM)、磁碟或者光盘等各种可以存储程序代码的介质。Another embodiment of the present invention provides a storage medium, wherein a computer program is stored in the storage medium, and the computer program is used to execute the steps of the periodic segmented observation ISAR high-resolution imaging method described in the above embodiment. Another aspect of the present invention provides an electronic device, including a memory and a processor, wherein a computer program is stored in the memory, and when the processor calls the computer program in the memory, the steps of the periodic segmented observation ISAR high-resolution imaging method described in the above embodiment are implemented. Specifically, the above-mentioned integrated module implemented in the form of a software function module can be stored in a computer-readable storage medium. The above-mentioned software function module is stored in a storage medium, including several instructions for enabling an electronic device (which can be a personal computer, a server, or a network device, etc.) or a processor (processor) to execute some steps of the method described in each embodiment of the present invention. The aforementioned storage medium includes: various media that can store program codes, such as a U disk, a mobile hard disk, a read-only memory (ROM), a random access memory (RAM), a disk or an optical disk.
以上内容是结合具体的优选实施方式对本发明所作的进一步详细说明,不能认定本发明的具体实施只局限于这些说明。对于本发明所属技术领域的普通技术人员来说,在不脱离本发明构思的前提下,还可以做出若干简单推演或替换,都应当视为属于本发明的保护范围。The above contents are further detailed descriptions of the present invention in combination with specific preferred embodiments, and it cannot be determined that the specific implementation of the present invention is limited to these descriptions. For ordinary technicians in the technical field to which the present invention belongs, several simple deductions or substitutions can be made without departing from the concept of the present invention, which should be regarded as falling within the protection scope of the present invention.
| Application Number | Priority Date | Filing Date | Title |
|---|---|---|---|
| CN202210922247.3ACN115963494B (en) | 2022-08-02 | 2022-08-02 | Periodic segmented observation ISAR high-resolution imaging method based on rapid SBL algorithm |
| Application Number | Priority Date | Filing Date | Title |
|---|---|---|---|
| CN202210922247.3ACN115963494B (en) | 2022-08-02 | 2022-08-02 | Periodic segmented observation ISAR high-resolution imaging method based on rapid SBL algorithm |
| Publication Number | Publication Date |
|---|---|
| CN115963494Atrue CN115963494A (en) | 2023-04-14 |
| CN115963494B CN115963494B (en) | 2025-07-29 |
| Application Number | Title | Priority Date | Filing Date |
|---|---|---|---|
| CN202210922247.3AActiveCN115963494B (en) | 2022-08-02 | 2022-08-02 | Periodic segmented observation ISAR high-resolution imaging method based on rapid SBL algorithm |
| Country | Link |
|---|---|
| CN (1) | CN115963494B (en) |
| Publication number | Priority date | Publication date | Assignee | Title |
|---|---|---|---|---|
| CN115453527A (en)* | 2022-08-02 | 2022-12-09 | 西安电子科技大学 | Periodic sectional observation ISAR high-resolution imaging method |
| CN116679301A (en)* | 2023-07-28 | 2023-09-01 | 西安电子科技大学 | A Method for Fast Super-resolution Reconstruction of Broadband Radar Target Range Image |
| CN118191756A (en)* | 2024-05-20 | 2024-06-14 | 中国空气动力研究与发展中心计算空气动力研究所 | Radar signal detection method and system |
| Publication number | Priority date | Publication date | Assignee | Title |
|---|---|---|---|---|
| CN102184408A (en)* | 2011-04-11 | 2011-09-14 | 西安电子科技大学 | Autoregressive-model-based high range resolution profile radar target recognition method |
| CN109190693A (en)* | 2018-08-27 | 2019-01-11 | 西安电子科技大学 | Variant target high Resolution Range Profile Identification method based on block management loading |
| US20190129026A1 (en)* | 2015-06-04 | 2019-05-02 | Chikayoshi Sumi | Measurement and imaging instruments and beamforming method |
| CN109932717A (en)* | 2019-03-07 | 2019-06-25 | 西安电子科技大学 | ISAR high-resolution imaging method based on environmental statistical modeling |
| CN112946644A (en)* | 2021-01-28 | 2021-06-11 | 中国人民解放军国防科技大学 | Based on minimizing the convolution weight l1Norm sparse aperture ISAR imaging method |
| CN115453527A (en)* | 2022-08-02 | 2022-12-09 | 西安电子科技大学 | Periodic sectional observation ISAR high-resolution imaging method |
| Publication number | Priority date | Publication date | Assignee | Title |
|---|---|---|---|---|
| CN102184408A (en)* | 2011-04-11 | 2011-09-14 | 西安电子科技大学 | Autoregressive-model-based high range resolution profile radar target recognition method |
| US20190129026A1 (en)* | 2015-06-04 | 2019-05-02 | Chikayoshi Sumi | Measurement and imaging instruments and beamforming method |
| CN109190693A (en)* | 2018-08-27 | 2019-01-11 | 西安电子科技大学 | Variant target high Resolution Range Profile Identification method based on block management loading |
| CN109932717A (en)* | 2019-03-07 | 2019-06-25 | 西安电子科技大学 | ISAR high-resolution imaging method based on environmental statistical modeling |
| CN112946644A (en)* | 2021-01-28 | 2021-06-11 | 中国人民解放军国防科技大学 | Based on minimizing the convolution weight l1Norm sparse aperture ISAR imaging method |
| CN115453527A (en)* | 2022-08-02 | 2022-12-09 | 西安电子科技大学 | Periodic sectional observation ISAR high-resolution imaging method |
| Title |
|---|
| HUIPING DUAN ET AL.: "Pattern-Coupled Sparse Bayesian Learning for Inverse Synthetic Aperture Radar Imaging", 《IEEE SIGNAL PROCESSING LETTERS》, vol. 22, no. 11, 30 November 2015 (2015-11-30), pages 1995 - 1999, XP011663036, DOI: 10.1109/LSP.2015.2452412* |
| 朱晓秀 等: "基于快速SBL的双基地ISAR成像", 《雷达科学与技术》, vol. 17, no. 3, 30 June 2019 (2019-06-30), pages 289 - 298* |
| Publication number | Priority date | Publication date | Assignee | Title |
|---|---|---|---|---|
| CN115453527A (en)* | 2022-08-02 | 2022-12-09 | 西安电子科技大学 | Periodic sectional observation ISAR high-resolution imaging method |
| CN115453527B (en)* | 2022-08-02 | 2024-10-25 | 西安电子科技大学 | A method of periodic segmented observation ISAR high-resolution imaging |
| CN116679301A (en)* | 2023-07-28 | 2023-09-01 | 西安电子科技大学 | A Method for Fast Super-resolution Reconstruction of Broadband Radar Target Range Image |
| CN116679301B (en)* | 2023-07-28 | 2023-10-20 | 西安电子科技大学 | Method for rapidly reconstructing target range profile of broadband radar in super-resolution mode |
| CN118191756A (en)* | 2024-05-20 | 2024-06-14 | 中国空气动力研究与发展中心计算空气动力研究所 | Radar signal detection method and system |
| Publication number | Publication date |
|---|---|
| CN115963494B (en) | 2025-07-29 |
| Publication | Publication Date | Title |
|---|---|---|
| CN115963494A (en) | Periodic segmented observation ISAR high-resolution imaging method based on rapid SBL algorithm | |
| CN108008385B (en) | Interference environment ISAR high-resolution imaging method based on management loading | |
| CN103713288B (en) | Sparse Bayesian reconstruct linear array SAR formation method is minimized based on iteration | |
| CN115453527B (en) | A method of periodic segmented observation ISAR high-resolution imaging | |
| CN115453528B (en) | Method and device for realizing segmented observation ISAR high-resolution imaging based on rapid SBL algorithm | |
| CN111538007B (en) | Sparse super-resolution imaging method based on two-step acceleration | |
| CN110865344B (en) | A Fast Sidelobe Suppression Method in Pulse Doppler Radar System | |
| CN110068805A (en) | High-speed target HRRP reconstruction method based on variational Bayesian inference | |
| CN104950305A (en) | Real beam scanning radar angle super-resolution imaging method based on sparse constraint | |
| CN108931766B (en) | Non-uniform STAP interference target filtering method based on sparse reconstruction | |
| CN114609594B (en) | Knowledge-aided broadband radar target detector and design method in non-uniform clutter | |
| CN110726992A (en) | SA-ISAR self-focusing method based on structural sparsity and entropy joint constraints | |
| CN108896990A (en) | A kind of building masonry wall imaging method and device using coupled mode dictionary learning | |
| CN112147608A (en) | A fast Gaussian gridded non-uniform FFT through-wall imaging radar BP method | |
| CN113433526A (en) | Air traffic control radar wind field clutter suppression method based on K singular value decomposition | |
| CN116593982A (en) | A MUSIC-AP-based method for high-resolution radar target estimation and range ambiguity suppression | |
| CN113466864B (en) | Rapid combined inverse-free sparse Bayes learning super-resolution ISAR imaging algorithm | |
| CN114549687B (en) | Method and device for constructing deconvolution complex-valued beam map based on Bayesian compressed sensing | |
| CN118731890B (en) | Time-frequency modulation rate characterization enhancement method based on short-time sparse representation | |
| CN115097410A (en) | An accelerated deconvolution imaging method for scanning radar | |
| CN110850421A (en) | Underwater target detection method based on space-time adaptive processing of reverberation symmetric spectrum | |
| CN116990817B (en) | Radar forward-looking gridless reconstruction SAR imaging method and device | |
| CN113589265A (en) | Method and system for forming learning beam by using block near-end gradient double sparse dictionaries | |
| Nazari et al. | High‐dimensional sparse recovery using modified generalised sl0 and its application in 3d ISAR imaging | |
| CN118393502A (en) | Radar sparse imaging method, system and storage medium for impulse noise environment |
| Date | Code | Title | Description |
|---|---|---|---|
| PB01 | Publication | ||
| PB01 | Publication | ||
| SE01 | Entry into force of request for substantive examination | ||
| SE01 | Entry into force of request for substantive examination | ||
| GR01 | Patent grant | ||
| GR01 | Patent grant |