










技术领域Technical Field
本发明涉及拱桥施工领域,具体涉及一种基于参数映射学习算法的钢管混凝土拱桥线形预测方法。The invention relates to the field of arch bridge construction, and in particular to a method for predicting the linear shape of a steel tube concrete arch bridge based on a parameter mapping learning algorithm.
背景技术Background Art
钢管混凝土拱桥是一种优良的钢混组合桥梁,主要结构中钢管因混凝土的填充提高了局部稳定性,混凝土因钢管的套箍作用增大了韧性和强度。目前国内的大跨钢管混凝土(CFST)拱桥一般采用斜拉扣挂悬臂拼装施工方法修建。斜拉扣挂悬臂拼装法属于无支架施工方法,是由郑皆连院士发明的施工方法,其基本思路是在加工厂制作拱桁块段,按照从拱脚到拱顶的顺序对称吊运拼装拱桁拱肋,采用斜拉索结构承载拱桁自重、控制拱桁线形,最终完成拱桁合龙,其中拱桁施工阶段的线形监测与控制是关键。随着钢管混凝土拱桥跨径的发展和拼装节段的增大,拼装过程中的各种因素(节段质量误差等)对拱桁线形的影响也越来越大,拱桁线形的控制成了一个难点。The steel tube concrete arch bridge is an excellent steel-concrete composite bridge. The steel tube in the main structure has improved local stability due to the filling of concrete, and the concrete has increased toughness and strength due to the hooping effect of the steel tube. At present, large-span steel tube concrete (CFST) arch bridges in China are generally built by the inclined-stayed buckle-hang cantilever assembly construction method. The inclined-stayed buckle-hang cantilever assembly method is a non-bracket construction method invented by Academician Zheng Jilian. Its basic idea is to make arch truss blocks in the processing plant, symmetrically lift and assemble the arch truss and arch ribs in the order from the arch foot to the arch top, use the inclined cable structure to bear the deadweight of the arch truss, control the arch truss line shape, and finally complete the arch truss joint. Among them, the line shape monitoring and control of the arch truss during the construction stage is the key. With the development of the span of steel tube concrete arch bridges and the increase of the assembled segments, the influence of various factors (such as segment quality error) in the assembly process on the arch truss line shape is also increasing, and the control of the arch truss line shape has become a difficult point.
目前应用于拱桥线形控制的主要方法,大部分是通过建立钢管混凝土拱桥的有限元模型或计算模型,聚焦于拱桥施工节段内部结构的优化计算,优化索力或者其他指标对拱桥线形进行控制,主要实现了厘米级精度线形控制(大部分精度为30mm-60mm)。现有的大跨钢管混凝土拱桥施工控制研究表明计算模型和实际结构状态有所出入,拱桁线形精度仍有提升空间。而本发明则运用机器学习算法对拱桥施工线形进行回归分析预测,建立大跨钢管混凝土拱桥施工过程拱桁线形预测的优化预测模型,提出遗传算法(GeneticAlgorithm,GA)及序列最小最优化算法(Sequential Minimal Optimization,SMO)优化支持向量机(Support Vector Machine,SVM)的拱桁线形预测模型及计算方法(本发明命名为参数映射学习算法),对拱桥施工过程中拱桁线形进行更高精度预测,以实现拱桥设计理想状态。由于本发明着重关注拱桥施工过程中的线形宏观数据,使用数据驱动线形预测的方法,避免了直接对拱桥施工节段结构复杂的内在演化机制进行优化计算,从机器学习算法入手,给钢管混凝土拱桥的线形控制提供了新的思路。At present, the main methods used for arch bridge linear control are mostly to establish finite element models or calculation models of steel tube concrete arch bridges, focus on the optimization calculation of the internal structure of the arch bridge construction segment, optimize the cable force or other indicators to control the arch bridge linear shape, and mainly achieve centimeter-level precision linear control (most of the precision is 30mm-60mm). Existing large-span steel tube concrete arch bridge construction control research shows that the calculation model and the actual structural state are different, and the arch truss linear accuracy still has room for improvement. The present invention uses a machine learning algorithm to perform regression analysis and prediction on the arch bridge construction linear shape, establishes an optimized prediction model for the arch truss linear shape prediction during the construction process of a large-span steel tube concrete arch bridge, and proposes a genetic algorithm (GA) and a sequential minimum optimization algorithm (SMO) to optimize the arch truss linear shape prediction model and calculation method (named as parameter mapping learning algorithm in the present invention) of the support vector machine (SVM), and a higher precision prediction of the arch truss linear shape during the arch bridge construction process is performed to achieve the ideal state of arch bridge design. Since the present invention focuses on the linear macro data during the arch bridge construction process and uses a data-driven linear prediction method, it avoids directly optimizing the calculation of the complex intrinsic evolution mechanism of the arch bridge construction segment structure. Starting from the machine learning algorithm, it provides a new idea for the linear control of steel tube concrete arch bridges.
本发明基于参数映射学习算法,通过机器学习算法预测的方式得到拼装过程拱桁竖向坐标预测值,线形误差控制在毫米级,提高了预测精度,验证了该方法在大跨CFST拱桥施工过程中拱桁竖向位移预测的可行性与有效性。本研究可为拱桁斜拉扣挂拼装线形的调整提供数据支撑,为放样坐标的确定提供参考,并为大跨CFST拱桥施工监控拱肋线形精度的提高提供一种方向。Based on the parameter mapping learning algorithm, the invention obtains the predicted value of the vertical coordinate of the arch truss during the assembly process by means of machine learning algorithm prediction. The linear error is controlled at the millimeter level, which improves the prediction accuracy and verifies the feasibility and effectiveness of the method in predicting the vertical displacement of the arch truss during the construction of the large-span CFST arch bridge. This study can provide data support for the adjustment of the linear shape of the arch truss inclined buckle hanging assembly, provide a reference for the determination of the lofting coordinates, and provide a direction for improving the linear accuracy of the arch rib in the construction monitoring of the large-span CFST arch bridge.
发明内容Summary of the invention
为了解决上述现有技术存在的问题,本发明针对现有钢管混凝土拱桥施工线形控制技术主要聚焦于复杂的内在演化机制的优化计算、拱桥线形精度有待提升等问题,提出一种基于参数映射学习算法的钢管混凝土拱桥线形预测方法,旨在通过机器学习方法提升拱桥施工线形预测的精度,具体方案如下:In order to solve the problems existing in the above-mentioned prior art, the present invention focuses on the optimization calculation of the complex internal evolution mechanism and the need to improve the linear accuracy of the arch bridge. A linear prediction method for a steel tube concrete arch bridge based on a parameter mapping learning algorithm is proposed, aiming to improve the accuracy of the linear prediction of the arch bridge construction through a machine learning method. The specific scheme is as follows:
基于参数映射学习算法的钢管混凝土拱桥线形预测方法,包括步骤如下:The linear prediction method of the steel tube concrete arch bridge based on the parameter mapping learning algorithm includes the following steps:
S1.数据收集与划分:收集不同工况下拱肋吊装阶段的钢管混凝土拱桥线形的样本数据,将样本数据分别划分为拼装节段重量G、拼装节段水平长度L、扣点到拱座铰支座水平距离D、扣索张拉力T、扣索水平角α以及吊装节段本阶段位移sj,最终得到预测样本集合S{(xi,yi)|xi∈Rn,yi∈R,i=1,2,…,l},Rn为n维向量空间,R为实数集,l为样本数量,xi代表输入参数G、L、D、T、α,yi代表输出参数sj;S1. Data collection and division: Collect sample data of the linear shape of the steel tube concrete arch bridge in the arch rib hoisting stage under different working conditions, and divide the sample data into the weight of the assembled segment G, the horizontal length of the assembled segment L, the horizontal distance D from the buckle point to the arch seat hinge support, the tension of the buckle cable T, the horizontal angle of the buckle cable α and the displacementsj of the hoisting segment in this stage, and finally obtain the prediction sample set S{(xi ,yi )|xi∈Rn ,yi∈R ,i=1,2,…,l},Rn is an n-dimensional vector space, R is a real number set, l is the number of samples,xi represents the input parameters G,L,D,T,α,yi represents the output parametersj ;
S2.数据预处理:对步骤S1收集的钢管混凝土拱桥线形的样本数据进行归一化处理,按式f:xi→f(xi)=(xi-xmin)/(xmax-xmin),将不同特征向量映射到(0,1)区间;S2. Data preprocessing: normalize the sample data of the steel tube concrete arch bridge linear shape collected in step S1, and map different feature vectors to the (0,1) interval according to the formula f:xi →f(xi ) = (xi -xmin )/(xmax -xmin );
式中:xi为样本集合中输入参数,xmin=min(xi)表示样本集合中xi所在列的最小值,xmax=max(xi)表示样本集合中xi所在列的最大值,f(xi)表示输入参数xi经过归一化后得到的函数值。Wherein:xi is the input parameter in the sample set,xmin = min(xi ) represents the minimum value of the column wherexi is located in the sample set,xmax = max(xi ) represents the maximum value of the column wherexi is located in the sample set, and f(xi ) represents the function value obtained after the input parameterxi is normalized.
S3.核函数选择:选择径向基函数建立参数映射学习钢管混凝土拱桁线形预测模型,径向基函数的函数表达式为k(xi,xj)=exp(-γ||xi-xj||2),记为kij,其中γ为待优化的核函数参数,xi,xj∈Rn代表输入参数G、L、D、T、α,exp指以自然常数e为底的指数函数。S3. Kernel function selection: The radial basis function is selected to establish a parameter mapping learning steel tube concrete arch truss linear predictionmodel . The function expression of the radial basis function is k(xi ,xj ) = exp(-γ||xi -xj ||2 ), denoted askij , where γ is the kernel function parameter to be optimized,xi ,xj∈Rn represent the input parameters G, L, D, T, α, and exp refers to the exponential function with the natural constant e as the base.
S4.确定步骤S3的参数映射学习钢管混凝土拱桁线形预测模型的待优化的惩罚参数C、核函数参数γ和不敏感参数ε的最佳组合;S4. Determine the best combination of the penalty parameter C to be optimized, the kernel function parameter γ and the insensitive parameter ε of the parameter mapping learning steel tube concrete arch truss linear prediction model in step S3;
S5.参数映射学习模型训练:以拼装完毕节段的拼装节段重量G、拼装节段水平长度L、扣点到拱座铰支座水平距离D、扣索张拉力T、扣索水平角α和吊装节段本阶段位移sj作为训练样本,并在SMO-SVM算法中输入步骤S4得到惩罚参数C、核函数参数γ和不敏感参数ε的最佳参数组合,求解SMO算法优化后的支持向量回归问题,得到参数映射学习钢管混凝土拱桁线形训练模型的决策函数f(x)′;S5. Training of parameter mapping learning model: The weight G of the assembled segment, the horizontal length L of the assembled segment, the horizontal distance D from the buckle point to the hinge support of the arch seat, the tension force T of the buckle cable, the horizontal angle α of the buckle cable and the displacementsj of the hoisting segment at this stage are used as training samples, and the optimal parameter combination of penalty parameter C, kernel function parameter γ and insensitive parameter ε is obtained by inputting step S4 into the SMO-SVM algorithm, and the support vector regression problem after SMO algorithm optimization is solved to obtain the decision function f(x)′ of the parameter mapping learning steel tube concrete arch truss linear training model;
S6.参数映射学习模型测试:以将要施工的节段的拼装节段重量G、拼装节段水平长度L、扣点到拱座铰支座水平距离D、扣索张拉力T和扣索水平角α作为测试样本,应用步骤S5已训练好的决策函数f(x)′对剩余拱肋节段数据进行回归预测,节段逐一预测直至完成,得到参数映射学习钢管混凝土拱桁测试模型,以及拱桁竖向位移测试值组成的测试集,并用误差指标MSE、MAE、R2评测预测性能,至此完成大跨CFST拱桥斜拉扣挂拼装过程中拱桁竖向位移预测。S6. Parameter mapping learning model test: The weight G of the assembled segment, the horizontal length L of the assembled segment, the horizontal distance D from the buckle point to the arch seat hinge support, the tension force T of the buckle cable and the horizontal angle α of the buckle cable of the segment to be constructed are used as test samples. The decision function f(x)′ trained in step S5 is used to perform regression prediction on the remaining arch rib segment data. The segments are predicted one by one until completion, and the parameter mapping learning steel tube concrete arch truss test model and the test set composed of the arch truss vertical displacement test values are obtained. The error indicators MSE, MAE, andR2 are used to evaluate the prediction performance. At this point, the vertical displacement prediction of the arch truss during the cable-stayed buckle-hanging assembly of the large-span CFST arch bridge is completed.
进一步地,步骤S4所述参数映射学习钢管混凝土拱桁线形预测模型待优化的惩罚参数C、核函数参数γ和不敏感参数ε的最佳组合采用遗传算法参数寻优方法,该方法包括如下步骤:Furthermore, the parameter mapping learning in step S4 adopts a genetic algorithm parameter optimization method to optimize the penalty parameter C, kernel function parameter γ and insensitive parameter ε of the steel tube concrete arch truss linear prediction model to be optimized, and the method includes the following steps:
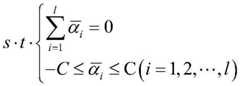
S401.编码与初始化设置,对步骤S3的参数映射学习钢管混凝土拱桁线形预测模型的惩罚参数C、核函数参数γ、不敏感参数ε以及步骤S2已预处理完成的样本数据集合采用二进制编码方式进行编码,初始化种群规模为T1,进化代数为T2,交叉概率为变异概率为惩罚参数C寻优空间范围为[a,b],核函数参数γ和不敏感参数ε寻优空间范围分别为[c,d]和[e,f];S401. Encoding and initialization settings: the penalty parameter C, kernel function parameter γ, insensitive parameter ε of the parameter mapping learning steel tube concrete arch truss linear prediction model in step S3 and the sample data set preprocessed in step S2 are encoded in binary encoding, the initial population size is T1 , the evolutionary generation is T2 , and the crossover probability is The mutation probability is The optimization space range of penalty parameter C is [a, b], and the optimization space ranges of kernel function parameter γ and insensitive parameter ε are [c, d] and [e, f] respectively;
S402.解码计算模型竖向位移预测值,在步骤S401的惩罚参数C寻优空间范围,核函数参数γ和不敏感参数ε寻优空间范围取值范围内随机生成N个个体,形成初始种群,每个个体代表一个支持向量机模型,将种群中的个体解码得到解空间中的实际参数C,γ,ε,赋予序列最小最优化支持向量机,以归一化后的钢管混凝土拱桥线形样本数据G、L、D、T、α为输入参数,求解支持向量机回归问题得到竖向位移预测值f(xn);S402. Decode the predicted value of vertical displacement of the calculation model. Randomly generate N individuals within the optimization space range of the penalty parameter C, the optimization space range of the kernel function parameter γ and the insensitive parameter ε in step S401 to form an initial population. Each individual represents a support vector machine model. Decode the individuals in the population to obtain the actual parameters C, γ, ε in the solution space. Assign the minimum sequence optimization support vector machine, use the normalized steel tube concrete arch bridge linear sample data G, L, D, T, α as input parameters, solve the support vector machine regression problem to obtain the predicted value of vertical displacement f(xn );
S403.计算适应度函数,利用已解码计算得到的竖向位移预测值f(xn)与该子代样本输入参数数据对应的该吊装节段竖向位移实测值sj计算适应度函数;S403. Calculate the fitness function by using the decoded vertical displacement prediction value f(xn ) and the measured vertical displacement value sj of the hoisting segment corresponding to the input parameter data of the child sample;
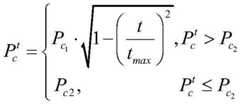
S404.遗传操作,按下式计算自适应交叉概率Pc与变异概率Pm:S404. Genetic operation, calculate the adaptive crossover probabilityPc and mutation probabilityPm according to the following formula:
式中:Pc2、为0到1之间的待定常数,fmax为群体中最大的适应度值;favg为每代群体的平均适应度;f′为要交叉的两个个体中较大的适应度值;f为要变异个体的适应度值;Where: Pc2 、 is an undetermined constant between 0 and 1, fmax is the maximum fitness value in the population; favg is the average fitness of each generation; f′ is the larger fitness value of the two individuals to be crossed; f is the fitness value of the individual to be mutated;
并且交叉和变异概率随进化代数按下式进行自适应变化:And the crossover and mutation probabilities change adaptively with the evolutionary generations according to the following formula:
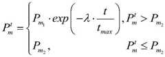
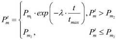
式中:t为遗传代数,为第t代的交叉概率,为第t代的变异概率,tmax为最大遗传代数,λ为常数,这里取10;Where: t is the genetic generation, is the crossover probability of the tth generation, is the mutation probability of the tth generation, tmax is the maximum genetic generation, λ is a constant, which is 10 here;
应用下式的选择、交叉和变异操作当前一代种群进行遗传操作处理,形成下一代群体:Apply the following selection, crossover and mutation operations to perform genetic operations on the current generation population to form the next generation population:
Pi=a(1-a)i-1Pi = a(1-a)i-1
X1=Pc'X1+(1-Pc')X2X1 =Pc'X1 +(1 -Pc ')X2
X2=Pc'X2+(1-Pc')X1X2 =Pc'X2 + (1-Pc ')X1
X=X+Pm'(Xmax-Xmin),X=X+Pm ′(Xmax −Xmin ),
式中:i为个体排序序号,Pi为第i个个体被选择的概率,a为排序第一的个体选择概率;X1、X2为将要进行交叉操作的两个个体;X为将要进行变异操作的个体,Xmax为待优化参数搜索空间的最大值,Xmin为待优化参数搜索空间的最小值;Where: i is the individual ranking number,Pi is the probability of the i-th individual being selected, a is the probability of selecting the first ranked individual;X1 andX2 are the two individuals to be crossover operated; X is the individual to be mutated,Xmax is the maximum value of the parameter search space to be optimized, andXmin is the minimum value of the parameter search space to be optimized;
S405.终止条件判断,重复以上遗传算法操作步骤S402-S404,当连续若干代子代最佳适应度之间的差异小于设定的极小阈值或达到设定的最大进化代数时,极小阈值取为0.001,终止进化,将当前代最大适应度个体所对应的惩罚参数C,核函数参数γ和不敏感参数ε的参数组合作为遗传算法优化模型的最佳参数组合输出。S405. Determine the termination condition, repeat the above genetic algorithm operation steps S402-S404, when the difference between the best fitness of several consecutive generations of offspring is less than the set minimum threshold or reaches the set maximum evolutionary generation, the minimum threshold is taken as 0.001, the evolution is terminated, and the parameter combination of the penalty parameter C, kernel function parameter γ and insensitive parameter ε corresponding to the individual with the maximum fitness of the current generation is output as the optimal parameter combination of the genetic algorithm optimization model.
进一步地,所述适应度函数的计算公式如下:Furthermore, the calculation formula of the fitness function is as follows:
式中:fi(C,γ,ε)为个体i的适应度,yn和f(xn)分别为第n个样本的实测值和预测值,l为样本数量。Where:fi (C,γ,ε) is the fitness of individual i,yn and f(xn ) are the measured value and predicted value of the nth sample respectively, and l is the number of samples.
进一步地,步骤S5所述的SMO算法优化后的支持向量回归问题的计算公式如下:Furthermore, the calculation formula of the support vector regression problem after the SMO algorithm optimization described in step S5 is as follows:
式中:和为SMO算法待优化的乘子,kij为核函数简化表达式,yi代表输出参数sj,C为惩罚参数,ε为不敏感参数。Where: and is the multiplier to be optimized by the SMO algorithm, kij is the simplified expression of the kernel function,yi represents the output parameter sj , C is the penalty parameter, and ε is the insensitive parameter.
进一步地,步骤S5所述的参数映射学习钢管混凝土拱桁线形训练模型的决策函数f(x)′的计算公式如下:Furthermore, the calculation formula of the decision function f(x)′ of the parameter mapping learning steel tube concrete arch truss linear training model described in step S5 is as follows:
式中,为最优化的拉格朗日乘子,b为阈值,γ为核函数参数,xi和x代表不同的输入参数G、L、D、T、α,exp指以自然常数e为底的指数函数。In the formula, is the optimized Lagrange multiplier, b is the threshold, γ is the kernel function parameter,xi and x represent different input parameters G, L, D, T, α, and exp refers to the exponential function with the natural constant e as the base.
本发明的优点Advantages of the present invention
(1)本发明提出基于参数映射学习算法的钢管混凝土拱桁线形预测模型及计算方法,采用机器学习智能算法作为提高钢管混凝土拱桥施工线形控制精度的新切入点,着重关注拱桥施工过程中的线形宏观数据,并使用数据驱动线形预测的方法,避免了直接对拱桥施工节段结构复杂的内在演化机制进行优化计算,实现对拱桥施工过程中拱桁线形进行更高精度预测以实现拱桥设计理想状态。(1) The present invention proposes a steel tube concrete arch girder linear shape prediction model and calculation method based on a parameter mapping learning algorithm, adopts a machine learning intelligent algorithm as a new entry point to improve the linear shape control accuracy of steel tube concrete arch bridge construction, focuses on the linear macro data during the arch bridge construction process, and uses a data-driven linear shape prediction method to avoid directly optimizing the calculation of the complex internal evolution mechanism of the arch bridge construction segment structure, thereby achieving a higher-precision prediction of the arch girder linear shape during the arch bridge construction process to achieve the ideal state of arch bridge design.
(2)针对桥梁线形预测的非线性问题,本发明采用的支持向量机(SVM)回归预测能通过非线性变换将输入向量映射到高维特征空间,并构造最优决策函数,应用有限样本的学习训练,最终求解得到全局最优解,实现以结构风险最小化为原则的非线性回归预测;并且为了提高支持向量机求解非线性问题的能力和效率,本发明引入的序列最小最优化(SMO)算法将SVM求解问题分解为每次优化两个样本的拉格朗日乘子,避免了求解二次规划问题,大幅提高了支持向量机的预测效率与精度。(2) In view of the nonlinear problem of bridge linear prediction, the support vector machine (SVM) regression prediction adopted in the present invention can map the input vector to a high-dimensional feature space through nonlinear transformation, construct the optimal decision function, apply finite sample learning and training, and finally solve the global optimal solution to achieve nonlinear regression prediction based on the principle of minimizing structural risk. In order to improve the ability and efficiency of the support vector machine in solving nonlinear problems, the sequential minimum optimization (SMO) algorithm introduced in the present invention decomposes the SVM solution problem into optimizing the Lagrange multipliers of two samples each time, avoiding the solution of the quadratic programming problem and greatly improving the prediction efficiency and accuracy of the support vector machine.
(3)同时,本发明为了避免人为选择支持向量机模型参数的盲目性,利用遗传算法(GA)强大的全局搜索能力对SVM模型参数进行优化选择,确定最佳参数组合,有效地提高了钢管混凝土拱桥线形预测模型的运行效率与精度。(3) At the same time, in order to avoid the blindness of artificially selecting support vector machine model parameters, the present invention uses the powerful global search capability of genetic algorithm (GA) to optimize the selection of SVM model parameters and determine the optimal parameter combination, thereby effectively improving the operating efficiency and accuracy of the steel tube concrete arch bridge linear prediction model.
附图说明BRIEF DESCRIPTION OF THE DRAWINGS
图1为本发明的钢管混凝土拱桥线形预测算法流程图。FIG1 is a flow chart of a linear prediction algorithm for a steel tube concrete arch bridge according to the present invention.
图2为本发明的钢管混凝土拱桥线形预测模型参数说明图。FIG. 2 is a diagram illustrating parameters of the linear prediction model of a steel tube concrete arch bridge according to the present invention.
图3为本发明的遗传算法寻优的适应度变化曲线图。FIG. 3 is a curve diagram showing the fitness variation of the genetic algorithm optimization of the present invention.
图4为本发明的GA-SMO-SVM训练模型的训练效果图。FIG4 is a diagram showing the training effect of the GA-SMO-SVM training model of the present invention.
图5为本发明的GridSearch-SMO-SVM训练模型的训练效果图。FIG5 is a diagram showing the training effect of the GridSearch-SMO-SVM training model of the present invention.
图6为本发明的XGBOOST训练模型的训练效果图。FIG6 is a diagram showing the training effect of the XGBOOST training model of the present invention.
图7为本发明的RF训练模型的训练效果图。FIG. 7 is a diagram showing the training effect of the RF training model of the present invention.
图8为本发明的GA-SMO-SVM测试模型的测试效果图。FIG8 is a test effect diagram of the GA-SMO-SVM test model of the present invention.
图9为本发明的GridSearch-SMO-SVM测试模型的测试效果图。FIG. 9 is a test effect diagram of the GridSearch-SMO-SVM test model of the present invention.
图10为本发明的XGBOOST测试模型的测试效果图。FIG. 10 is a test effect diagram of the XGBOOST test model of the present invention.
图11为本发明的RF测试模型的测试效果图。FIG. 11 is a test effect diagram of the RF test model of the present invention.
图2中:In Figure 2:
1、扣地锚;2、缆索;3、索塔;4、拱座铰支座;5、拱桁;T、扣索力;D、水平距离;L、节段水平长度;G、节段重量;α、扣索角度。1. Ground anchor; 2. Cable; 3. Tower; 4. Arch seat hinge support; 5. Arch girder; T, cable force; D, horizontal distance; L, horizontal length of segment; G, segment weight; α, cable angle.
具体实施方式DETAILED DESCRIPTION
下面结合附图和具体实施方式对本发明作进一步地解释说明,需要注意的是,本具体实施例不用于限定本发明的权利范围。The present invention is further explained below in conjunction with the accompanying drawings and specific implementation methods. It should be noted that this specific embodiment is not intended to limit the scope of rights of the present invention.
如图1至图11所示,本发明提供的基于参数映射学习算法的钢管混凝土拱桥线形预测方法,具体包括如下步骤:As shown in FIGS. 1 to 11 , the linear prediction method of a steel tube concrete arch bridge based on a parameter mapping learning algorithm provided by the present invention specifically comprises the following steps:
S1、钢管混凝土拱桥施工数据收集与划分S1. Collection and division of construction data of steel tube concrete arch bridge
由于大跨CFST拱桥的斜拉扣挂施工过程拼装节段多、悬臂较长、施工环境复杂,施工控制的影响因素较多,结合线形控制理论,确定影响钢管混凝土拱桥斜拉扣挂施工线形误差的主要因素,并将其量化后便于计算,最终确定为:拼装节段重量G、拼装节段水平长度L、扣点到拱座铰支座水平距离D、扣索张拉力T、扣索水平角α以及吊装节段本阶段位移sj,最终得到预测样本集合S{(xi,yi)|xi∈Rn,yi∈R,i=1,2,…,l},Rn为n维向量空间,R为实数集,l为样本数量,xi代表输入参数G、L、D、T、α,yi代表输出参数sj。其中采用徕卡公司的TS60型号全站仪对平南三桥的不同工况下拱桥吊装阶段的钢管混凝土拱桥线形(即位移sj)进行测量,其他样本数据由拱桥设计图纸中获取,具体参数说明如图2所示。Due to the large-span CFST arch bridge's cable-stayed buckle-hanging construction process with many assembled segments, long cantilevers and complex construction environment, there are many factors affecting construction control. Combined with the linear control theory, the main factors affecting the linear error of the cable-stayed buckle-hanging construction of steel tube concrete arch bridges are determined and quantified for easy calculation. They are finally determined as: the weight of the assembled segment G, the horizontal length of the assembled segment L, the horizontal distance D from the buckle point to the hinge support of the arch seat, the tension of the buckle cable T, the horizontal angle of the buckle cable α and the displacement sj of the hoisting segment at this stage. Finally, the prediction sample setS {(xi ,yi )|xi∈Rn ,yi∈R ,i=1,2,…,l} is obtained, whereRn is an n-dimensional vector space, R is a real number set, l is the number of samples,xi represents the input parameters G,L,D,T,α,andyi represents the output parameter sj . The TS60 total station of Leica Corporation was used to measure the linear shape (i.e., displacement sj ) of the CFST arch bridge of Pingnan Third Bridge during the arch bridge hoisting stage under different working conditions. Other sample data were obtained from the arch bridge design drawings. The specific parameter description is shown in Figure 2.
平南三桥是目前世界最大跨径钢管混凝土拱桥,本发明以平南三桥的施工线形预测为实例进行预测算法说明,同时为了提高线形预测精度,加入了同类型大跨钢管混凝土拱桥,即大小井大桥施工线形数据A1-A14节段作为数据库训练样本,与平南三桥施工线形数据1-11节段为实例,相关数据如表1所示。Pingnan Third Bridge is the world's largest span steel tube concrete arch bridge. The present invention uses the construction alignment prediction of Pingnan Third Bridge as an example to illustrate the prediction algorithm. At the same time, in order to improve the accuracy of alignment prediction, the same type of large-span steel tube concrete arch bridge, namely, the construction alignment data A1-A14 segments of the Daxiaojing Bridge are added as database training samples, and the construction alignment data 1-11 segments of the Pingnan Third Bridge are used as examples. The relevant data are shown in Table 1.
表1训练样本及测试样本参数Table 1 Parameters of training samples and test samples
S2、数据预处理S2. Data preprocessing
由于不同评价指标往往具有不同的量纲和量纲单位,这样的情况会影响到数据分析的结果,为了消除指标之间的量纲影响,需要进行数据归一化处理,以实现数据指标之间的可比性。由表1可知模型的样本数据数量级相差较大,采取归一化可使模型运行时收敛加快、预测精度更高。对步骤S1的样本数据进行数据归一化至(0,1)区间,即通过归一化函数变换将数值映射到(0,1)区间:Since different evaluation indicators often have different dimensions and dimensional units, this situation will affect the results of data analysis. In order to eliminate the dimensional impact between indicators, data normalization is required to achieve comparability between data indicators. As can be seen from Table 1, the order of magnitude of the sample data of the model varies greatly. Normalization can accelerate the convergence of the model and increase the prediction accuracy. The sample data of step S1 is normalized to the interval (0,1), that is, the values are mapped to the interval (0,1) through the normalization function transformation:
式中:xi为样本集合中输入参数,xmin=min(xi)表示样本集合中xi所在列的最小值,xmax=max(xi)表示样本集合中xi所在列的最大值,f(xi)表示输入参数xi经过归一化后得到的函数值。Wherein:xi is the input parameter in the sample set,xmin = min(xi ) represents the minimum value of the column wherexi is located in the sample set,xmax = max(xi ) represents the maximum value of the column wherexi is located in the sample set, and f(xi ) represents the function value obtained after the input parameterxi is normalized.
为了更好的量化预测模型的精度,本发明选择了三个广泛使用的误差指标,即均方误差(Mean Square Error,MSE)、平均绝对误差(Mean Absolute Error,MAE)和判断系数(coefficient of determination,R2)。其中误差指标MSE、MAE越接近于0,R2越接近于1,代表算法的预测效果越好。误差指标具体表达式如下:In order to better quantify the accuracy of the prediction model, the present invention selects three widely used error indicators, namely, mean square error (MSE), mean absolute error (MAE) and coefficient of determination (R2 ). The closer the error indicators MSE and MAE are to 0, and the closer R2 is to 1, the better the prediction effect of the algorithm. The specific expression of the error indicator is as follows:
式中:l为样本个数,yi为实测值,为实测值的平均数,pi为模型预测值。Where: l is the number of samples,yi is the measured value, is the average of the measured values, andpi is the model predicted value.
S3、核函数选取S3. Kernel function selection
支持向量机常用的核函数有线性核函数、多项式核函数、Sigmoid核函数以及径向基核函数。对于非线性回归预测问题,在SVM中应用最为广泛的核函数类型是径向基核函数(RBF),即k(xi,xj)=exp(-γ||xi-xj||2),其中γ为待优化的核函数参数,xi,xj∈Rn代表样本集合中的输入参数G、L、D、T、α,exp指以自然常数e为底的指数函数。本发明采用应用广泛、预测效果好的径向基核函数(RBF)建立参数映射学习钢管混凝土拱桁线形预测模型。Common kernel functions of support vector machines include linear kernel function, polynomial kernel function, Sigmoid kernel function and radial basis kernel function. For nonlinear regression prediction problems, the most widely used kernel function type in SVM is radial basis kernel function (RBF), that is, k(xi ,xj ) = exp(-γ||xi-xj ||2 ), where γ is the kernel function parameter to be optimized,xi ,xj∈Rn represents the input parameters G, L, D, T,α in the sample set, and exp refers to an exponential function with the natural constant e as the base. The present invention adopts the radial basis kernel function (RBF) which is widely used and has good prediction effect to establish a parameter mapping learning steel tube concrete arch truss linear prediction model.
S4、遗传算法寻优:对步骤S3建立的参数映射学习钢管混凝土拱桁线形预测模型进行遗传算法参数寻优,确定惩罚参数C、核函数参数γ和不敏感参数ε的最佳组合。S4, genetic algorithm optimization: genetic algorithm parameter optimization is performed on the parameter mapping learning steel tube concrete arch truss linear prediction model established in step S3 to determine the best combination of penalty parameter C, kernel function parameter γ and insensitive parameter ε.
S401.编码与初始化设置,对步骤S3建立的参数映射学习钢管混凝土拱桁线形预测模型的惩罚参数C、径向基核函数γ、不敏感参数ε以及步骤S2已预处理完成的样本数据集合采用二进制编码方式进行编码,初始化种群规模为T1,进化代数为T2,交叉概率为P1,变异概率为P2,惩罚参数C寻优空间范围为[a,b],径向基核函数γ和不敏感参数ε寻优空间范围分别为[c,d]和[e,f]。S401. Coding and initialization settings. The penalty parameter C, radial basis kernel function γ, insensitive parameter ε of the parameter mapping learning steel tube concrete arch truss linear prediction model established in step S3 and the sample data set preprocessed in step S2 are encoded using binary coding. The initial population size is T1 , the evolutionary generation is T2 , the crossover probability is P1 , the mutation probability is P2 , the optimization space range of the penalty parameter C is [a, b], and the optimization space ranges of the radial basis kernel function γ and the insensitive parameter ε are [c, d] and [e, f] respectively.
S402.解码计算模型竖向位移预测值,在步骤S401的惩罚参数C寻优空间范围为[a,b],径向基核函数γ寻优空间范围为[c,d]和不敏感参数ε寻优空间范围为[e,f]的取值范围内随机生成N个个体,形成初始种群,每个个体代表一个支持向量机模型,将种群中的个体解码能得到解空间中的实际参数C,γ,ε,赋予序列最小最优化支持向量机,以归一化后的样本数据G、L、D、T、α为输入参数,求解支持向量机回归问题得到竖向位移预测值f(xn)。S402. Decode the vertical displacement prediction value of the calculation model. In step S401, N individuals are randomly generated within the value range of [a, b] for the penalty parameter C optimization space, [c, d] for the radial basis kernel function γ optimization space, and [e, f] for the insensitive parameter ε optimization space to form an initial population. Each individual represents a support vector machine model. The individuals in the population are decoded to obtain the actual parameters C, γ, ε in the solution space. The parameters are assigned to the minimum optimization support vector machine of the sequence. The normalized sample data G, L, D, T, α are used as input parameters to solve the support vector machine regression problem and obtain the vertical displacement prediction value f(xn ).
S403.计算适应度函数。利用已解码计算得到的竖向位移预测值f(xn)与该子代样本输入参数数据对应的该吊装节段竖向位移实测值sj,按下式计算适应度函数:S403. Calculate the fitness function. Using the decoded vertical displacement prediction value f(xn ) and the measured vertical displacement value sj of the lifting segment corresponding to the sub-generation sample input parameter data, calculate the fitness function as follows:
式中:fi(C,γ,ε)为个体i的适应度,yn和f(xn)分别为第n个样本的实测值和预测值,l为样本数量。Where:fi (C,γ,ε) is the fitness of individual i,yn and f(xn ) are the measured value and predicted value of the nth sample respectively, and l is the number of samples.
S404.遗传操作。按下式计算自适应交叉概率Pc与变异概率Pm:S404. Genetic operation. Calculate the adaptive crossover probabilityPc and mutation probabilityPm according to the following formula:
式中:取Pc2=0.9,fmax为群体中最大的适应度值;favg为每代群体的平均适应度;f′为要交叉的两个个体中较大的适应度值;f为要变异个体的适应度值。In the formula: Pc2 = 0.9, fmax is the maximum fitness value in the population; favg is the average fitness of the population in each generation; f′ is the larger fitness value of the two individuals to be crossed; and f is the fitness value of the individual to be mutated.
并且交叉和变异概率随进化代数按下式进行自适应变化:And the crossover and mutation probabilities change adaptively with the evolutionary generations according to the following formula:
式中:t为遗传代数,为第t代的交叉概率,为第t代的变异概率,tmax为最大遗传代数,λ为常数,这里取10;Where: t is the genetic generation, is the crossover probability of the tth generation, is the mutation probability of the tth generation, tmax is the maximum genetic generation, λ is a constant, which is 10 here;
应用下式的选择、交叉和变异操作当前一代种群进行遗传操作处理,形成下一代群体:Apply the following selection, crossover and mutation operations to perform genetic operations on the current generation population to form the next generation population:
Pi=a(1-a)i-1Pi = a(1-a)i-1
X1=Pc'X1+(1-Pc')X2X1 =Pc'X1 +(1 -Pc ')X2
X2=Pc'X2+(1-Pc')X1X2 =Pc'X2 + (1-Pc ')X1
X=X+Pm'(Xmax-Xmin)X=X+Pm '(Xmax -Xmin )
式中:i为个体排序序号,Pi为第i个个体被选择的概率,a为排序第一的个体选择概率;X1、X2为将要进行交叉操作的两个个体;X为将要进行变异操作的个体,Xmax为待优化参数搜索空间的最大值,Xmin为待优化参数搜索空间的最小值。Where: i is the individual ranking number,Pi is the probability of the i-th individual being selected, a is the probability of selecting the first ranked individual;X1 andX2 are the two individuals to be crossover operated; X is the individual to be mutated,Xmax is the maximum value of the parameter search space to be optimized, andXmin is the minimum value of the parameter search space to be optimized.
S405.终止条件判断,重复以上遗传算法操作步骤S402-S404,当连续若干代子代最佳适应度之间的差异小于设定的极小阈值或达到设定的最大进化代数时,极小阈值取为0.001,终止进化,将当前代最大适应度个体所对应的参数组合C,γ,ε作为遗传算法优化模型的最佳参数组合输出。S405. Determine the termination condition and repeat the above genetic algorithm operation steps S402-S404. When the difference between the best fitness of several consecutive generations of offspring is less than the set minimum threshold or reaches the set maximum number of evolutionary generations, the minimum threshold is taken as 0.001, the evolution is terminated, and the parameter combination C, γ, ε corresponding to the individual with the maximum fitness of the current generation is output as the best parameter combination of the genetic algorithm optimization model.
将表1中的样本数据进行遗传算法参数寻优,确定遗传算法参数为:初始化种群规模为T1=100,进化代数为T2=200,交叉概率Pc2=0.9,变异概率惩罚参数C寻优空间范围为[0,500],核函数参数γ寻优空间范围为[0,50],以及不敏感参数ε寻优空间范围为[0,1],最终得到在给定寻优范围内最佳适应度函数所对应的最佳参数C,γ,ε组合,遗传算法参数寻优过程中GA适应度变化曲线如附图3所示。由图3可知,遗传算法的适应度随着遗传代数增加而逐渐增大,遗传代数为第七十四代时最佳适应度收敛至稳定值30.1205,此时最佳适应度fi(C,γ,ε)=30.1205,所对应的参数组合为惩罚参数C=138.2075,核函数参数γ=8.0042,不敏感参数ε=9.3460×10-5。The sample data in Table 1 were used to optimize the genetic algorithm parameters, and the genetic algorithm parameters were determined as follows: the initial population size was T1 = 100, the evolutionary generation number was T2 = 200, and the crossover probability was Pc2 = 0.9, mutation probability The optimization space range of penalty parameter C is [0,500], the optimization space range of kernel function parameter γ is [0,50], and the optimization space range of insensitive parameter ε is [0,1]. Finally, the optimal parameter C, γ, ε combination corresponding to the optimal fitness function within the given optimization range is obtained. The GA fitness change curve during the genetic algorithm parameter optimization process is shown in Figure 3. As shown in Figure 3, the fitness of the genetic algorithm gradually increases with the increase of genetic generations. When the genetic generation is the 74th generation, the optimal fitness converges to a stable value of 30.1205. At this time, the optimal fitnessfi (C, γ, ε) = 30.1205, and the corresponding parameter combination is penalty parameter C = 138.2075, kernel function parameter γ = 8.0042, and insensitive parameter ε = 9.3460×10-5 .
S5、参数映射学习模型训练S5. Parameter mapping learning model training
根据选取的径向基核函数与最佳参数C,γ,ε组合,选取表1中样本数据数据库节段A1至A14与平南三桥拼装节段1至6组参数作为训练样本,并求解SMO算法优化后的支持向量回归问题:According to the selected radial basis kernel function and the optimal combination of parameters C, γ, ε, the sample data database segments A1 to A14 and the Pingnan Third
式中:式中:和为SMO算法待优化的乘子,kij为核函数简化表达式,yi代表输出参数sj,C为惩罚参数,ε为不敏感参数。In the formula: In the formula: and is the multiplier to be optimized by the SMO algorithm, kij is the simplified expression of the kernel function,yi represents the output parameter sj , C is the penalty parameter, and ε is the insensitive parameter.
求解上述问题即可得到决策函数f(x)′:Solving the above problem can obtain the decision function f(x)′:
式中,为最优化的拉格朗日乘子,b为阈值,γ为核函数参数,xi和x代表不同的输入参数G、L、D、T、α,exp指以自然常数e为底的指数函数。In the formula, is the optimized Lagrange multiplier, b is the threshold, γ is the kernel function parameter,xi and x represent different input parameters G, L, D, T, α, and exp refers to the exponential function with the natural constant e as the base.
即成功建立参数映射学习钢管混凝土拱桁线形训练模型,并与拱桁的实测竖向位移值进行对比。同时为了更好展示本发明的优势所在,下面采用三种预测模型与本发明进行对比,这三种方法分别是:网格搜索法参数寻优的序列最小最优化算法优化支持向量机(GridSearch-SMO-SVM)、极限梯度提升树算法模型(Extreme Gradient Boosting,XGBoost)以及随机森林算法模型(Random Forest,RF)。具体模型训练结果如表2和附图4、5、6、7所示:That is, a parameter mapping learning steel tube concrete arch truss linear training model was successfully established and compared with the measured vertical displacement value of the arch truss. At the same time, in order to better demonstrate the advantages of the present invention, three prediction models are used to compare with the present invention. These three methods are: grid search parameter optimization sequence minimum optimization algorithm optimization support vector machine (GridSearch-SMO-SVM), extreme gradient boosting tree algorithm model (Extreme Gradient Boosting, XGBoost) and random forest algorithm model (Random Forest, RF). The specific model training results are shown in Table 2 and Figures 4, 5, 6, and 7:
表2模型训练结果Table 2 Model training results
由表2及附图4、5、6、7可知:通过选取表1中样本数据数据库节段A1至A14与平南三桥拼装节段1至6组参数作为训练样本进行参数映射学习钢管混凝土拱桁线形预测模型建立,参数映射学习钢管混凝土拱桁线形训练模型均方误差MSE值为0.0001103,平均绝对误差MAE值为0.0090,判断系数R2为0.999998,最大绝对误差值为0.020mm,模型训练精度较高,训练精度排序为第二;GridSearch-SMO-SVM训练模型均方误差MSE值为0.0000631,平均绝对误差MAE值为0.0066,判断系数为0.999999,最大绝对误差值为0.015mm,训练模型预测精度在四个模型最高;XGBoost训练模型均方误差MSE值为0.0115041,平均绝对误差MAE值为0.0856,判断系数为0.999824,最大绝对误差值为0.205mm,训练精度排序为第三;RF训练模型均方误差MSE值为7.0669370,平均绝对误差MAE值为1.6836,判断系数为0.892293,最大绝对误差值为7.337mm,训练精度在四个模型中最低。It can be seen from Table 2 and Figures 4, 5, 6, and 7 that by selecting the sample data database segments A1 to A14 in Table 1 and the parameters of the assembled
S5、参数映射学习模型测试S5. Parameter mapping learning model test
以将要施工的拼装节段7至11的参数G、L、D、T、α作为测试样本,应用已训练好的模型决策函数对剩余拱肋控制点竖向位移进行预测,节段逐一预测直至完成,得到参数映射学习拱桁竖向位移模型测试值组成的测试集,并对比GridSearch-SMO-SVM、XGBoost以及RF预测模型的拱桁竖向位移模型测试值组成的测试集,并用误差指标MSE、MAE、R2评测预测性能。具体模型测试结果如表3和附图8、9、10、11所示。The parameters G, L, D, T, and α of the assembled
表3模型测试结果Table 3 Model test results
由表3及附图8、9、10、11可知:通过选取表1中样本数据数据库节段A1至A14与平南三桥拼装节段1至6组参数作为训练样本进行参数映射学习钢管混凝土拱桁线形训练模型建立,对拼装节段7至11组的拱桁位移进行预测,得到参数映射学习钢管混凝土拱桁线形测试模型均方误差MSE值为7.1992,平均绝对误差MAE值为2.0984,判断系数R2为0.7978,最大绝对误差值为4.296mm,模型测试精度在四个模型中最高;GridSearch-SMO-SVM测试模型均方误差MSE值为14.9024,平均绝对误差MAE值为3.6777,判断系数R2为0.5814,最大绝对误差值为5.285mm,测试精度排序为第二;XGBoost测试模型均方误差MSE值为31.8374,平均绝对误差MAE值为5.3189,判断系数为0.1057,最大绝对误差值为7.996mm,测试精度排序为第三;RF测试模型均方误差MSE值为47.3844,平均绝对误差MAE值为5.8247,判断系数R2为-0.3310,最大绝对误差值为11.957mm,测试精度在四个模型中最低。It can be seen from Table 3 and Figures 8, 9, 10, and 11 that by selecting the sample data database segments A1 to A14 in Table 1 and the parameters of the assembled
通过对比训练模型可知,GridSearch-SMO-SVM模型在训练时预测精度为四个模型中最高,但测试模型的预测精度反而低于本发明的参数映射学习模型,表明GridSearch-SMO-SVM模型的拟合能力过于强大,泛化能力较小,出现过学习现象,导致模型的测试精度较低;而本发明参数映射学习模型虽然在训练时精度并不是最高,但其测试精度表现在四个模型中最优异,这表明参数映射学习钢管混凝土拱桁线形预测模型训练时拟合程度比模型测试时更高,其模型拟合能力大于泛化能力,但其过学习现象得到较好控制,整体预测平均误差仅为2.0984mm,最大绝对误差为4.296mm,预测精度较高,可以满足工程实际预测应用。By comparing the training models, it can be seen that the prediction accuracy of the GridSearch-SMO-SVM model during training is the highest among the four models, but the prediction accuracy of the test model is lower than that of the parameter mapping learning model of the present invention, indicating that the fitting ability of the GridSearch-SMO-SVM model is too strong, the generalization ability is relatively small, and the over-learning phenomenon occurs, resulting in low test accuracy of the model; and although the parameter mapping learning model of the present invention does not have the highest accuracy during training, its test accuracy is the best among the four models, which shows that the parameter mapping learning steel tube concrete arch truss linear prediction model has a higher degree of fitting during training than during model testing, and its model fitting ability is greater than its generalization ability, but its over-learning phenomenon is better controlled, the overall prediction average error is only 2.0984mm, and the maximum absolute error is 4.296mm. The prediction accuracy is high and can meet the actual engineering prediction application.
此外,集成算法XGBoost模型与RF模型都表现出拟合能力过于强大,泛化能力较小的现象,过学习现象显著。其中XGBoost模型训练模型精度较高,精度仅次于两种SVM模型,但其测试模型MSE值较大、R2值较小,预测精度大幅度下降;而RF模型对于数据量较小的钢管混凝土拱桥施工数据的预测效果整体较差,训练模型与测试模型精度均为四个模型中最低,甚至测试模型出现R2为负,即测试模型负相关,预测效果最差。In addition, the integrated algorithm XGBoost model and RF model both showed the phenomenon of over-fitting ability and low generalization ability, and the over-learning phenomenon was significant. Among them, the XGBoost model training model had a higher accuracy, second only to the two SVM models, but its test model had a larger MSE value and a smallerR2 value, and the prediction accuracy dropped significantly; while the RF model had a poor overall prediction effect on the steel tube concrete arch bridge construction data with a small amount of data. The training model and test model accuracy were the lowest among the four models, and even the test model had a negativeR2 , that is, the test model was negatively correlated, and the prediction effect was the worst.
综上所述,本发明的参数映射学习钢管混凝土拱桁线形预测模型在训练与测试阶段表现总体上最优,平均预测误差仅为2.0984mm,最大绝对误差为4.296mm,线形误差控制在毫米级;本发明主要采用机器学习智能算法作为提高钢管混凝土拱桥施工线形控制精度的新切入点,使用数据驱动线形预测的方法,避免了直接对拱桥施工节段结构复杂的内在演化机制进行优化计算,相比于目前已有技术的精度,大幅提高了拱桥线形预测精度,验证了该方法在大跨CFST拱桥施工过程拱桁竖向位移预测中的可行性与有效性。In summary, the parameter mapping learning steel tube concrete arch truss linear prediction model of the present invention performs best in the training and testing stages, with an average prediction error of only 2.0984 mm, a maximum absolute error of 4.296 mm, and a linear error controlled at the millimeter level; the present invention mainly adopts machine learning intelligent algorithm as a new entry point to improve the linear control accuracy of steel tube concrete arch bridge construction, and uses a data-driven linear prediction method to avoid directly optimizing the calculation of the complex intrinsic evolution mechanism of the arch bridge construction segment structure. Compared with the accuracy of the existing technology, the accuracy of arch bridge linear prediction is greatly improved, verifying the feasibility and effectiveness of this method in the prediction of the vertical displacement of the arch truss during the construction process of the large-span CFST arch bridge.
| Application Number | Priority Date | Filing Date | Title |
|---|---|---|---|
| CN202211390489.9ACN115952575A (en) | 2022-11-08 | 2022-11-08 | Alignment Prediction Method of Concrete-filled Steel Tube Arch Bridge Based on Parameter Mapping Learning Algorithm |
| Application Number | Priority Date | Filing Date | Title |
|---|---|---|---|
| CN202211390489.9ACN115952575A (en) | 2022-11-08 | 2022-11-08 | Alignment Prediction Method of Concrete-filled Steel Tube Arch Bridge Based on Parameter Mapping Learning Algorithm |
| Publication Number | Publication Date |
|---|---|
| CN115952575Atrue CN115952575A (en) | 2023-04-11 |
| Application Number | Title | Priority Date | Filing Date |
|---|---|---|---|
| CN202211390489.9APendingCN115952575A (en) | 2022-11-08 | 2022-11-08 | Alignment Prediction Method of Concrete-filled Steel Tube Arch Bridge Based on Parameter Mapping Learning Algorithm |
| Country | Link |
|---|---|
| CN (1) | CN115952575A (en) |
| Publication number | Priority date | Publication date | Assignee | Title |
|---|---|---|---|---|
| CN117252114A (en)* | 2023-11-17 | 2023-12-19 | 湖南华菱线缆股份有限公司 | Cable torsion resistance experiment method based on genetic algorithm |
| CN117763701A (en)* | 2024-02-22 | 2024-03-26 | 四川省交通勘察设计研究院有限公司 | method for predicting strength of steel-concrete connection transition surface of steel arch bridge and related products |
| CN118886319A (en)* | 2024-07-15 | 2024-11-01 | 金陵科技学院 | A safety prediction method for bridge cables based on gradient lifting machine |
| Publication number | Priority date | Publication date | Assignee | Title |
|---|---|---|---|---|
| CN106503867A (en)* | 2016-11-14 | 2017-03-15 | 吉林大学 | A kind of genetic algorithm least square wind power forecasting method |
| CN107657287A (en)* | 2017-10-26 | 2018-02-02 | 贵州电网有限责任公司电力科学研究院 | A kind of acid value of transformer oil multi-frequency ultrasonic tests regression prediction method |
| CN109816204A (en)* | 2018-12-25 | 2019-05-28 | 南京理工大学 | A security situation prediction method for subway operation based on GA-SVM |
| AU2020101854A4 (en)* | 2020-08-17 | 2020-09-24 | China Communications Construction Co., Ltd. | A method for predicting concrete durability based on data mining and artificial intelligence algorithm |
| Publication number | Priority date | Publication date | Assignee | Title |
|---|---|---|---|---|
| CN106503867A (en)* | 2016-11-14 | 2017-03-15 | 吉林大学 | A kind of genetic algorithm least square wind power forecasting method |
| CN107657287A (en)* | 2017-10-26 | 2018-02-02 | 贵州电网有限责任公司电力科学研究院 | A kind of acid value of transformer oil multi-frequency ultrasonic tests regression prediction method |
| CN109816204A (en)* | 2018-12-25 | 2019-05-28 | 南京理工大学 | A security situation prediction method for subway operation based on GA-SVM |
| AU2020101854A4 (en)* | 2020-08-17 | 2020-09-24 | China Communications Construction Co., Ltd. | A method for predicting concrete durability based on data mining and artificial intelligence algorithm |
| Title |
|---|
| 张浩然等: "《回归支持向量机的改进序列最小优化学习算法》", 《软件学报》, vol. 14, no. 12, 31 December 2003 (2003-12-31), pages 2006 - 2013* |
| Publication number | Priority date | Publication date | Assignee | Title |
|---|---|---|---|---|
| CN117252114A (en)* | 2023-11-17 | 2023-12-19 | 湖南华菱线缆股份有限公司 | Cable torsion resistance experiment method based on genetic algorithm |
| CN117252114B (en)* | 2023-11-17 | 2024-02-13 | 湖南华菱线缆股份有限公司 | A cable torsion resistance experimental method based on genetic algorithm |
| CN117763701A (en)* | 2024-02-22 | 2024-03-26 | 四川省交通勘察设计研究院有限公司 | method for predicting strength of steel-concrete connection transition surface of steel arch bridge and related products |
| CN117763701B (en)* | 2024-02-22 | 2024-05-07 | 四川省交通勘察设计研究院有限公司 | Method for predicting strength of steel-concrete connection transition surface of steel arch bridge and related products |
| CN118886319A (en)* | 2024-07-15 | 2024-11-01 | 金陵科技学院 | A safety prediction method for bridge cables based on gradient lifting machine |
| CN118886319B (en)* | 2024-07-15 | 2025-01-21 | 金陵科技学院 | A safety prediction method for bridge cables based on gradient lifting machine |
| Publication | Publication Date | Title |
|---|---|---|
| CN115952575A (en) | Alignment Prediction Method of Concrete-filled Steel Tube Arch Bridge Based on Parameter Mapping Learning Algorithm | |
| CN111950180B (en) | A method and system for reliability analysis of cable-bearing bridge structure system | |
| CN110222387B (en) | Multi-element drilling time sequence prediction method based on mixed leaky integration CRJ network | |
| CN116451556A (en) | Construction method of concrete dam deformation observed quantity statistical model | |
| CN114298377A (en) | A photovoltaic power generation prediction method based on improved extreme learning machine | |
| CN112015719A (en) | Regularization and adaptive genetic algorithm-based hydrological prediction model construction method | |
| CN112766548A (en) | Order completion time prediction method based on GASA-BP neural network | |
| CN115935488A (en) | A Stress Prediction Model Construction Method for High Arch Dam Based on Monitoring Data | |
| CN114580762A (en) | An error correction method for hydrological forecast based on XGBoost | |
| CN116741315B (en) | A method for predicting the strength of geopolymer concrete | |
| CN116562331B (en) | Method for optimizing SVM by improving reptile search algorithm and application thereof | |
| CN115481727A (en) | Intention recognition neural network generation and optimization method based on evolutionary computation | |
| CN104732067A (en) | Industrial process modeling forecasting method oriented at flow object | |
| CN117252114A (en) | Cable torsion resistance experiment method based on genetic algorithm | |
| CN113689227A (en) | A day-ahead electricity price forecast method based on crisscross algorithm and deep learning model | |
| Kookalani et al. | Form-finding of lifting self-forming GFRP elastic gridshells based on machine learning interpretability methods | |
| CN117759269A (en) | A shield machine excavation optimization control method and device | |
| CN117235833A (en) | Cable-stayed bridge optimization method based on system reliability | |
| Luat et al. | Ultimate axial capacity prediction of CCFST columns using hybrid intelligence models-a new approach | |
| CN114239330B (en) | Form creation method of large-span reticulated shell structure based on deep learning | |
| CN118133468B (en) | Layout optimization method for steel structure support and related products | |
| Xie et al. | Deformation prediction during the construction of segmental bridges based on GA-SMO-SVM algorithm: an example of CFST arch bridge | |
| CN119442440A (en) | A method, device and equipment for optimizing the structural design of a cylindrical heat absorbing tower | |
| CN115620046A (en) | Multi-target neural architecture searching method based on semi-supervised performance predictor | |
| CN119312629A (en) | Method, device, system and storage medium for optimizing cable force of low-tower cable-stayed bridge |
| Date | Code | Title | Description |
|---|---|---|---|
| PB01 | Publication | ||
| PB01 | Publication | ||
| SE01 | Entry into force of request for substantive examination | ||
| SE01 | Entry into force of request for substantive examination |