Movatterモバイル変換


[0]ホーム

URL:


CN115933427A - Home security linkage handling method, device, equipment and storage medium - Google Patents

Home security linkage handling method, device, equipment and storage medium
Download PDF

Info

Publication number
CN115933427A
CN115933427ACN202310174624.4ACN202310174624ACN115933427ACN 115933427 ACN115933427 ACN 115933427ACN 202310174624 ACN202310174624 ACN 202310174624ACN 115933427 ACN115933427 ACN 115933427A
Authority
CN
China
Prior art keywords
abnormal
equipment
determining
adjusted
information
Prior art date
Legal status (The legal status is an assumption and is not a legal conclusion. Google has not performed a legal analysis and makes no representation as to the accuracy of the status listed.)
Pending
Application number
CN202310174624.4A
Other languages
Chinese (zh)
Inventor
余瑞濂
吴润江
黄玉洪
Current Assignee (The listed assignees may be inaccurate. Google has not performed a legal analysis and makes no representation or warranty as to the accuracy of the list.)
Collaborative Security Technology Shenzhen Co ltd
Original Assignee
Collaborative Security Technology Shenzhen Co ltd
Priority date (The priority date is an assumption and is not a legal conclusion. Google has not performed a legal analysis and makes no representation as to the accuracy of the date listed.)
Filing date
Publication date
Application filed by Collaborative Security Technology Shenzhen Co ltdfiledCriticalCollaborative Security Technology Shenzhen Co ltd
Priority to CN202310174624.4ApriorityCriticalpatent/CN115933427A/en
Publication of CN115933427ApublicationCriticalpatent/CN115933427A/en
Pendinglegal-statusCriticalCurrent

Links

Images

Classifications

Landscapes

Abstract

The invention belongs to the technical field of Internet of things and discloses a method, a device, equipment and a storage medium for handling home security linkage. The method comprises the following steps: family monitoring information of a family to be monitored is obtained through a safety master control system; determining abnormal information according to the family monitoring information; determining an abnormal influence area range according to the abnormal information, wherein the abnormal influence area range is determined according to the abnormal danger index value; determining equipment to be adjusted from household equipment according to the abnormal influence area range, wherein the household equipment comprises at least one of electric equipment, hydraulic equipment, gas equipment, fire-proof equipment and door and window equipment; generating a linkage disposal strategy for controlling each device to be adjusted to carry out state adjustment according to the device to be adjusted and the abnormal information; and adjusting the running state of each device to be adjusted to a target adjustment state according to the linkage handling strategy so as to cooperate with each device to be adjusted to finish automatic handling of accidents. By the mode, linkage protection is realized, and the safety factor of family life is improved.

Description

Home security linkage handling method, device, equipment and storage medium
Technical Field
The invention relates to the technical field of Internet of things, in particular to a method, a device, equipment and a storage medium for handling home security linkage.
Background
Electricity, water and gas are indispensable, most frequently used and most scarce energy sources in daily life of people, and the danger of electric leakage, overload and overhigh line temperature in household electricity also often threatens the safety of family members; the joint of the household gas pipeline is loosened, the gas stove is forgotten to be closed, the water heater is easy to leak when being on fire, and the like, so that the resource waste and the casualties are caused when the water heater is not handled in time; when the tap water is used by a family, the tap water cannot be closed in time due to the fact that a water pipe is broken, the water pipe joint leaks or no person is in the family, resource waste is caused, and family decoration is damaged.
The existing monitoring system can only realize the independent monitoring of electric power, water pipes and gas valves, can find out abnormal states, but cannot automatically ensure safety and perform linkage treatment according to the abnormal states.
The above is only for the purpose of assisting understanding of the technical solution of the present invention, and does not represent an admission that the above is the prior art.
Disclosure of Invention
The invention mainly aims to provide a method, a device, equipment and a storage medium for handling household safety linkage, and aims to solve the technical problem that in the prior art, the danger handling of the household house with abnormality cannot be automatically controlled in linkage.
In order to achieve the purpose, the invention provides a family safety linkage disposal method, which comprises the following steps:
acquiring family monitoring information of a family to be monitored through a safety master control system;
determining abnormal information according to the family monitoring information;
determining an abnormal influence area range according to the abnormal information, wherein the abnormal influence area range is determined according to an abnormal risk index value;
determining equipment to be adjusted from household equipment according to the abnormal influence area range, wherein the household equipment comprises at least one of electric equipment, hydraulic equipment, gas equipment, fire-proof equipment and door and window equipment;
generating a linkage disposal strategy for controlling each device to be adjusted to carry out state adjustment according to the device to be adjusted and the abnormal information;
and adjusting the running state of each device to be adjusted to a target adjustment state according to the linkage disposal strategy so as to cooperate with each device to be adjusted to finish automatic disposal of accidents.
Optionally, the determining the range of the abnormal influence area according to the abnormal information includes:
determining abnormal equipment and abnormal types according to the abnormal information;
acquiring position information corresponding to the abnormal equipment;
and determining the range of the abnormal influence area according to the abnormal equipment, the abnormal type and the position information.
Optionally, the determining an abnormal influence area range according to the abnormal device, the abnormal type, and the location information includes:
determining the current position of the abnormal equipment according to the position information;
acquiring family plan information;
determining an abnormal place according to the family plan information and the current position;
and determining the range of the abnormal influence area according to the abnormal place and the abnormal type.
Optionally, the determining an abnormal area of influence according to the abnormal location and the abnormal type includes:
determining the type of abnormal equipment according to the abnormal type;
calculating an abnormal danger index value according to the abnormal equipment type and the abnormal place;
and determining the range of the abnormal influence area according to the abnormal risk index value.
Optionally, the calculating an abnormal risk index value according to the abnormal device type and the abnormal location includes:
calculating a location weighting parameter according to the abnormal location;
determining the number of the family staying according to the family monitoring information;
determining population weighting parameters according to the number of the family stays;
determining the current time according to the abnormal information;
determining a time weighting parameter according to the current time;
and calculating an abnormal risk index value according to the location weighting parameter, the population weighting parameter and the time weighting parameter.
Optionally, the determining the range of the abnormal influence region according to the abnormal risk index value includes:
determining a danger level according to the abnormal danger index value;
determining an influence radius according to the danger level;
determining an abnormal influence circular area according to the influence radius and the abnormal place;
and determining the range of the abnormal influence area according to the abnormal influence circular area.
Optionally, the adjusting the operation state of each device to be adjusted to a target adjustment state according to the linkage handling policy includes:
determining the type of the abnormal accident according to the linkage disposal strategy;
determining a target adjustment state of each device to be adjusted according to the abnormal accident type;
and adjusting the running state of each device to be adjusted to the target adjustment state so as to cooperate with each device to be adjusted to finish automatic handling of accidents.
In order to achieve the above object, the present invention further provides a home safety interlock handling apparatus, including:
the information acquisition module is used for acquiring the family monitoring information of the family to be monitored through the safety master control system;
the abnormal extraction module is used for determining abnormal information according to the family monitoring information;
the area determining module is used for determining an abnormal influence area range according to the abnormal information, wherein the abnormal influence area range is determined according to an abnormal danger index value;
the equipment locking module is used for determining equipment to be adjusted from household equipment according to the abnormal influence area range, wherein the household equipment comprises at least one of electric equipment, hydraulic equipment, gas equipment, fire prevention equipment and door and window equipment;
the strategy generation module is used for generating a linkage disposal strategy for controlling each device to be adjusted to carry out state adjustment according to the device to be adjusted and the abnormal information;
and the equipment linkage module is used for adjusting the running state of each equipment to be adjusted to a target adjustment state according to the linkage disposal strategy so as to cooperate with each equipment to be adjusted to finish automatic disposal of accidents.
In order to achieve the above object, the present invention further provides a home security linkage handling device, including: a memory, a processor and a home security linkage handler stored on the memory and executable on the processor, the home security linkage handler being configured to implement the steps of the home security linkage handling method as described above.
In order to achieve the above object, the present invention further provides a storage medium having a home security linkage processing program stored thereon, wherein the home security linkage processing program, when executed by a processor, implements the steps of the home security linkage processing method as described above.
The invention obtains the family monitoring information of the family to be monitored through the safety master control system; determining abnormal information according to the family monitoring information; determining an abnormal influence area range according to the abnormal information, wherein the abnormal influence area range is determined according to an abnormal danger index value; determining equipment to be adjusted from household equipment according to the abnormal influence area range, wherein the household equipment comprises at least one of electric equipment, hydraulic equipment, gas equipment, fire-proof equipment and door and window equipment; generating a linkage disposal strategy for controlling each device to be adjusted to carry out state adjustment according to the device to be adjusted and the abnormal information; and adjusting the running state of each device to be adjusted to a target adjustment state according to the linkage handling strategy so as to cooperate with each device to be adjusted to finish automatic handling of accidents. Through the mode, the resource use condition in a home house is monitored in real time based on the safety master control system pre-equipped by the home, the abnormal influence area range with abnormality is determined based on the home monitoring information, the equipment to be adjusted is determined, so that a linkage disposal strategy can be generated to realize automatic state adjustment of the equipment to be adjusted, the running state of each equipment in the home can be automatically and continuously monitored, other equipment can be correspondingly adjusted when some part is abnormal, automatic linkage safety protection is realized, and the safety factor of home life is improved.
Drawings
Fig. 1 is a schematic structural diagram of a home security linkage handling device of a hardware operating environment according to an embodiment of the present invention;
FIG. 2 is a flowchart illustrating a first embodiment of a home security linkage handling method according to the present invention;
fig. 3 is a logic structure diagram of a safety master control system in an embodiment of the home safety linkage handling method of the present invention;
FIG. 4 is a flowchart illustrating a second embodiment of a home security linkage handling method according to the present invention;
fig. 5 is a block diagram illustrating a first embodiment of a home security linkage handling device according to the present invention.
The implementation, functional features and advantages of the objects of the present invention will be further explained with reference to the accompanying drawings.
Detailed Description
It should be understood that the specific embodiments described herein are merely illustrative of the invention and are not intended to limit the invention.
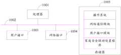
Referring to fig. 1, fig. 1 is a schematic structural diagram of a home security linkage handling device in a hardware operating environment according to an embodiment of the present invention.
As shown in fig. 1, the home security linkage handling device may include: aprocessor 1001, such as a Central Processing Unit (CPU), acommunication bus 1002, auser interface 1003, anetwork interface 1004, and amemory 1005. Wherein acommunication bus 1002 is used to enable connective communication between these components. Theuser interface 1003 may include a Display screen (Display), an input unit such as a Keyboard (Keyboard), and theoptional user interface 1003 may also include a standard wired interface, a wireless interface. Thenetwork interface 1004 may optionally include a standard wired interface, a Wireless interface (e.g., a Wireless-Fidelity (Wi-Fi) interface). TheMemory 1005 may be a Random Access Memory (RAM) Memory, or may be a Non-Volatile Memory (NVM), such as a disk Memory. Thememory 1005 may alternatively be a storage device separate from theprocessor 1001.
Those skilled in the art will appreciate that the configuration shown in fig. 1 does not constitute a limitation of a home safety interlock disposal device and may include more or fewer components than shown, or some components in combination, or a different arrangement of components.
As shown in fig. 1, amemory 1005, which is a storage medium, may include therein an operating system, a network communication module, a user interface module, and a home security linkage handling program.
In the home security linkage treatment device shown in fig. 1, thenetwork interface 1004 is mainly used for data communication with a network server; theuser interface 1003 is mainly used for data interaction with a user; theprocessor 1001 and thememory 1005 of the home security linkage handling device may be provided in the home security linkage handling device, and the home security linkage handling device calls the home security linkage handling program stored in thememory 1005 through theprocessor 1001 and executes the home security linkage handling method provided by the embodiment of the present invention.
An embodiment of the present invention provides a home security linkage handling method, and referring to fig. 2, fig. 2 is a schematic flow diagram of a first embodiment of a home security linkage handling method according to the present invention.
In this embodiment, the home security linkage handling method includes the following steps:
step S10: and acquiring the family monitoring information of the family to be monitored through the safety master control system.
It should be noted that, the execution main body of the embodiment is a controller, mainly a controller of an internet of things inside a home, and may be control software installed in an intelligent terminal or other devices capable of implementing the function, which is not limited in this embodiment.
It should be understood that the existing monitoring system can only realize the independent monitoring of the electric power, the water pipe and the gas valve, can find out the abnormal state, but cannot carry out automatic safety guarantee and linkage handling according to the abnormal state, so that no person or personnel in a room can actively find out and handle many potential safety hazards when the accident situation exists. According to the scheme of the embodiment, the resource use condition in a home house is monitored in real time based on the safety master control system pre-equipped by a home, the abnormal influence area range with abnormality is determined based on home monitoring information, and the equipment to be adjusted is determined, so that a linkage disposal strategy can be generated to realize automatic state adjustment of the equipment to be adjusted, the running state of each equipment in the home can be automatically and continuously monitored, other equipment can be correspondingly adjusted when some part is abnormal, automatic linkage safety protection is realized, and the safety factor of home life is improved.
In specific implementation, the safety master control system refers to a system which is pre-installed in a room through the internet of things and is used for monitoring various switch valves and use conditions, specifically, fig. 3 shows a logic structure diagram of the safety master control system, so that safety monitoring of real-time monitoring of power utilization, water utilization, gas utilization, burglary prevention and fire prevention can be realized, and display and information processing are performed on an intelligent terminal.
It should be noted that the home to be monitored may be any home house equipped with the safety master control system, which is not limited in this embodiment. The family monitoring information is the relevant information of the states and the collected data of various devices of the family to be monitored under the monitoring of the safety master control system.
Step S20: and determining abnormal information according to the family monitoring information.
It should be understood that the abnormality information refers to information on devices having an abnormality in the home monitoring information and collected abnormality data. Specifically, in the abnormal information, the abnormal equipment and the abnormal type with the abnormality are determined, the real-time data collected by the safety master control system are relied on, and the real-time data are compared with historical data, so that the data and the data type with the abnormality can be determined, and the abnormal equipment and the abnormal type can be determined. For example: when the current of one electric socket is detected to be abnormal, the electric socket is judged to be abnormal equipment, and the abnormal type can be electric leakage and the like.
Step S30: and determining an abnormal influence area range according to the abnormal information, wherein the abnormal influence area range is determined according to an abnormal danger index value.
In specific implementation, after the abnormal information is determined, the abnormal equipment and the abnormal type are determined according to the abnormal information, so that the position information corresponding to the abnormal equipment is determined, and finally, the abnormal danger index value is determined according to the abnormal equipment, the abnormal type and the position information, so that the range of the abnormal influence area is determined.
Step S40: and determining equipment to be adjusted from household equipment according to the abnormal influence area range, wherein the household equipment comprises at least one of electric equipment, hydraulic equipment, gas equipment, fire-proof equipment and door and window equipment.
It should be noted that, the home appliances refer to all appliances in the home, to which the internet of things and the safety master control system are connected, and include at least one of electric appliances, hydraulic appliances, gas appliances, fire protection appliances, and door and window appliances, and the number of the specific appliances in each category is not limited. Specifically, power equipment can include each with electric socket, power supply port etc. hydraulic equipment includes each tap and delivery port etc. and gas equipment includes the discrepancy pipeline position of gas such as gas-cooker, natural gas water heater, the entry of warm up natural gas, export, and fire prevention equipment has included equipment such as the smoke alarm of installing everywhere in the house, and door and window equipment refers to room door everywhere in the house, gate, window etc. can automatic control's equipment.
It should be understood that the devices to be adjusted refer to all home devices within the abnormal influence area, and the number of the devices to be adjusted may be any number, depending on whether the devices exist within the abnormal influence area, which is not limited in this embodiment.
Step S50: and generating a linkage disposal strategy for controlling each device to be adjusted to carry out state adjustment according to the device to be adjusted and the abnormal information.
It should be understood that the linkage handling strategy refers to adjusting the on-off state of each device to be adjusted to be off, so as to prevent power utilization, water utilization, gas, fire and theft accidents. For example: when one gas leaks from the house, the linkage disposal strategy is set to close all equipment in the range of the abnormal influence area, open the window of the room where the leakage point is located, close the door, evacuate the gas outwards through the window, and prevent the leaked gas from endangering people in the room.
Step S60: and adjusting the running state of each device to be adjusted to a target adjustment state according to the linkage handling strategy so as to cooperate with each device to be adjusted to finish automatic handling of accidents.
In specific implementation, after the linkage handling strategy is determined, the equipment state of each equipment to be adjusted is determined, the dangerous equipment is set based on the equipment state, and all the dangerous equipment is closed.
Further, in order to perform the safe linkage processing quickly and accurately, step S60 includes: determining the type of the abnormal accident according to the linkage disposal strategy; determining a target adjustment state of each device to be adjusted according to the abnormal accident type; and adjusting the running state of each device to be adjusted to the target adjustment state so as to cooperate with each device to be adjusted to finish automatic handling of accidents.
It should be noted that, firstly, the type of the abnormal accident of the current abnormality is determined according to the generated linkage handling strategy, which may include an electric power accident, a water conservancy accident, a gas accident, a fire accident, and an anti-theft accident.
It should be understood that, after the abnormal accident type is determined, the target state to which each device to be adjusted needs to be adjusted is determined according to the abnormal accident type, that is, the final operating state of each device to be adjusted to solve the accident is correspondingly adjusted.
In specific implementation, when the abnormal accident type is an electric accident, the target adjustment states of the electric equipment, the water conservancy equipment and the gas equipment in the equipment to be adjusted are adjusted to be in a closed state, the target adjustment states of the fire-proof equipment in the equipment to be adjusted are adjusted to be in a standby state, and the safety master control system is used for continuously acquiring image information inside a house, so that fire can be extinguished in the first time when a fire occurs, and then the target adjustment states of the door and window equipment in the equipment to be adjusted are adjusted to open doors and windows, so that people inside the house can escape when a safety accident occurs.
It should be noted that, when the abnormal accident type is a hydraulic accident (for example, water leakage or water pipe blockage), the target adjustment states of the electric power equipment, the hydraulic equipment, the fire protection equipment and the gas equipment in the equipment to be adjusted are adjusted to be closed states, and then the target adjustment states of the door and window equipment in the equipment to be adjusted are adjusted to be opened and closed doors, so as to prevent the accumulated water from affecting multiple areas.
It should be understood that, when the abnormal accident type is a gas accident, the target adjustment states of the electric equipment, the water conservancy equipment and the gas equipment in the equipment to be adjusted are adjusted to be a closed state, the target adjustment state of the fire protection equipment in the equipment to be adjusted is adjusted to be a standby state, and the safety master control system is used for continuously acquiring image information inside a house, so that fire can be extinguished in the first time when a fire occurs, and then the target adjustment state of the door and window equipment in the equipment to be adjusted is adjusted to be opened for opening doors and windows to evacuate leaked gas.
In a specific implementation, when the abnormal accident type is a fire accident, a target room with personnel activities is determined according to the family monitoring information. And adjusting the target adjustment states of the electric power equipment, the hydraulic power equipment and the gas equipment in the equipment to be adjusted into the closed state. When the target room is not in the range of the abnormal influence area, the target adjustment state of the fireproof equipment is adjusted to be opened and water is sprayed to extinguish fire, and the target adjustment state of the door and window equipment is adjusted to be closed to prevent the fire from spreading; when the target room is in the abnormal influence area range, the target adjustment state of the door and window equipment is adjusted to be as follows: the door and window is opened firstly, then the escape condition of the personnel is monitored in real time, and the door and window are closed after the personnel are evacuated.
By the mode, the corresponding state adjustment of each device to be adjusted is realized according to different linkage disposal strategies and abnormal accident types, so that the automatic disposal of the accident is completed in an automatic matching manner, and the linkage and the intellectualization of the household internal devices are improved.
The embodiment acquires the family monitoring information of the family to be monitored through the safety master control system; determining abnormal information according to the family monitoring information; determining an abnormal influence area range according to the abnormal information, wherein the abnormal influence area range is determined according to an abnormal danger index value; determining equipment to be adjusted from household equipment according to the abnormal influence area range, wherein the household equipment comprises at least one of electric equipment, hydraulic equipment, gas equipment, fire prevention equipment and door and window equipment; generating a linkage disposal strategy for controlling each device to be adjusted to carry out state adjustment according to the device to be adjusted and the abnormal information; and adjusting the running state of each device to be adjusted to a target adjustment state according to the linkage handling strategy so as to cooperate with each device to be adjusted to finish automatic handling of accidents. By the method, the resource use condition in a house of the family is monitored in real time based on the safety master control system pre-equipped by the family, the abnormal influence area range with abnormality is determined based on the family monitoring information, the equipment to be adjusted is determined, and therefore the linkage disposal strategy can be generated to realize automatic state adjustment of the equipment to be adjusted, the running state of each equipment in the family can be automatically and continuously monitored, other equipment can be correspondingly adjusted when some part is abnormal, automatic linkage safety protection is realized, and the safety factor of family life is improved.
Referring to fig. 3, fig. 3 is a flowchart illustrating a second embodiment of a home security linkage handling method according to the present invention.
Based on the first embodiment, the method for handling home security linkage according to this embodiment includes, in step S30:
step S301: and determining abnormal equipment and abnormal types according to the abnormal information.
It should be noted that, after the abnormality information is determined, the abnormal device and the abnormality type are determined according to the abnormality information. The abnormal device refers to a home device with abnormal real-time data acquired, and may be a home device in which a difference value or a fluctuation interval between the real-time data and standard data stored in advance for comparison and judgment exceeds a threshold value, or the real-time data is lost and is not received. The exception type refers to the type of the specific cause of the exception device failure and exception, for example: socket leakage, faucet leakage, pipe leakage, smoke alarm triggering, etc., which are not limited in this embodiment.
Step S302: and acquiring the position information corresponding to the abnormal equipment.
It should be understood that the location information refers to descriptive information of the location where the abnormal device is located. Specifically, the method can be as follows: a socket on a water table in a kitchen, or a pre-numbered device, such as: no. 3 tap of toilet, etc.
Step S303: and determining the range of the abnormal influence area according to the abnormal equipment, the abnormal type and the position information.
In a specific implementation, determining an abnormal influence area range according to the abnormal device, the abnormal type and the position information refers to: and determining the current position of the abnormal equipment according to the position information, and then determining the range of the abnormal influence area by combining the family plan information.
Further, in order to accurately determine the position of the abnormal influence area range in the home, step S303 includes: determining the current position of the abnormal equipment according to the position information; acquiring family plan information; determining an abnormal place according to the family plan information and the current position; and determining the range of the abnormal influence area according to the abnormal place and the abnormal type.
It should be noted that the current location of the abnormal device is a location expression statement for accurately describing the abnormal device, for example: a socket on a water table in a kitchen, or a pre-numbered device, such as: no. 3 tap of toilet, etc.
It should be understood that the home plan information includes, but is not limited to, the house configuration diagram of the home, the device distribution diagram inside each room, and other related information, and the present embodiment is not limited thereto.
In a specific implementation, determining an abnormal location according to the home plan information and the current location refers to: and the current position is brought into the home plane map information, so that the specific position of the abnormal equipment in the home is determined to be the abnormal place.
It should be noted that, after the abnormal location is determined, the abnormal influence area range is determined according to the abnormal location and the abnormal type, specifically, the abnormal equipment type is determined according to the abnormal type, so as to calculate the abnormal risk index value and determine the abnormal influence area range.
By the method, the abnormal place is determined based on the family plan information, and then the abnormal influence area range is determined based on the abnormal place and the abnormal type together, so that the abnormal influence area range is accurately defined.
Further, in order to accurately define the area range where the abnormality should be present, the step of determining the area range affected by the abnormality according to the abnormality location and the abnormality type includes: determining the type of abnormal equipment according to the abnormal type; calculating an abnormal danger index value according to the abnormal equipment type and the abnormal place; and determining the range of the abnormal influence area according to the abnormal risk index value.
It should be understood that the abnormal device type refers to the determined device type of the abnormal device, and may be: electrical outlets, faucets, doors, windows, or other household devices in a room.
In a specific implementation, calculating an abnormal risk index value according to the abnormal equipment type and the abnormal place refers to: and respectively calculating a location weighting parameter, a population weighting parameter and a time weighting parameter according to the type of the abnormal equipment and the abnormal location, and calculating according to the location weighting parameter, the population weighting parameter and the time weighting parameter to obtain an abnormal risk index value.
The determining the range of the abnormal influence region based on the abnormal risk index value may include: and determining a danger grade and an influence radius according to the abnormal danger index value, thereby determining an abnormal influence circular area and further determining an abnormal influence area range.
By the method, the abnormal influence area range can be accurately marked in the house of the family, so that the corresponding family equipment can be accurately controlled to be adjusted, and the safety of family life can be guaranteed.
Further, in order to accurately calculate the abnormal risk index value, the step of calculating the abnormal risk index value according to the abnormal equipment type and the abnormal place comprises the following steps: calculating a location weighting parameter according to the abnormal location; determining the number of the family staying according to the family monitoring information; determining population weighting parameters according to the number of the family stays; determining the current time according to the abnormal information; determining a time weighting parameter according to the current time; and calculating an abnormal risk index value according to the location weighting parameter, the population weighting parameter and the time weighting parameter.
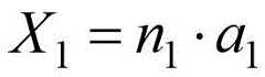
It should be understood that the location weighting parameter is calculated based on abnormal locations, the abnormal locations are classified according to importance levels, the specific location levels are from low to high, such as balcony, toilet, bedroom, living room, kitchen, and are sequentially from 1, 2, 3, 4, and 5, so the calculation formula of the location weighting parameter is as follows:
Figure SMS_1
wherein n is1 The location weighting factor is a predetermined constant factor, which is not limited in this embodiment. a is1 The higher the location weighting parameter, the higher the abnormal risk index value.
In a specific implementation, the number of family stays refers to the number of people staying in the family to be monitored currently.
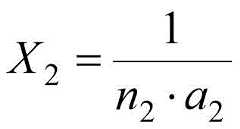
The population weighting parameter refers to a parameter calculated based on the number of people staying in the home, and is used for determining the size of the abnormal risk index value according to the number of people in the home. Specifically, the specific calculation method of the population weighting parameter is as follows:
Figure SMS_2
wherein n is2 The population weighting factor is a predetermined constant factor, which is not limited in this embodiment. a is2 The number of people staying at home.
In the specific implementation, the calculation method of the time weighting parameter is as follows:
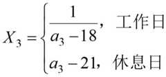
Figure SMS_3
wherein, a3 The current time is expressed in a 24-hour system, firstly, whether the current time is a working day or a rest day is judged according to the current time, then corresponding calculation formulas are respectively adopted, and when the current time is in the working day, 18 points are used as the time of going home from work, so that the current time is in the working time and is more dangerous as the time is farther away from the time of going home from work, and X is X3 The larger. When the person is on the day of rest, the danger potential hazard is larger after the person in the house enters the sleeping time, so that after 21 hours, the later the time is, the larger the danger potential hazard is, and X3 The larger.
The abnormal risk index value is calculated by the following method:
Figure SMS_4
therefore, X1 、X2 、X3 The larger the value of (b), the larger the abnormality risk index value.
By the method, the abnormal danger index value is determined based on three indexes of the place, the time and the number of people in the room, so that the current abnormal danger degree can be evaluated in multiple dimensions, and a more appropriate abnormal influence area range is defined.
Further, in order to calculate the abnormal influence area range according to the abnormal risk index, the step of determining the abnormal influence area range according to the abnormal risk index includes: determining a danger level according to the abnormal danger index value; determining an influence radius according to the danger level; determining an abnormal influence circular area according to the influence radius and the abnormal place; and determining the range of the abnormal influence area according to the abnormal influence circular area.
It should be understood that, after the abnormal risk index value is determined, the risk level comparison table is queried according to the abnormal risk index value, so as to determine the risk level corresponding to the abnormal risk index value. Specifically, the risk level comparison table is a pre-stored comparison table for comparing risk levels with abnormal risk index values, and each risk level corresponds to a different value range of the abnormal risk index value.
In specific implementation, after the risk level is determined, the influence radius corresponding to the risk level is acquired. Different risk classes correspond to different influence radii.
It should be noted that, the determining the abnormal influence circular area according to the influence radius and the abnormal place refers to: and (4) making a circle on the household plane graph by taking the abnormal place as the center of the circle and the influence radius as the radius, wherein the obtained area is the abnormal influence circular area.
It should be understood that determining the abnormality affecting area range from the abnormality affecting circular area means: an abnormal influence area range inside the home is determined from the abnormal influence circular area, specifically, the abnormal influence circular area is brought inside the home house, and the abnormal influence area range is set to include all home appliances intersecting the boundary of the abnormal influence circular area.
By the method, the abnormal influence area range is determined based on the abnormal danger index value calculation, so that the finally defined abnormal influence area range can guarantee the family safety on the premise of ensuring the least influence on the number of the devices.
The embodiment determines the abnormal equipment and the abnormal type according to the abnormal information; acquiring position information corresponding to the abnormal equipment; and determining the range of the abnormal influence area according to the abnormal equipment, the abnormal type and the position information. Through the mode, the abnormal equipment and the abnormal type are determined according to the abnormal information, so that the specific abnormal influence area range can be determined based on the position information of the abnormal equipment, the subsequent determination of the equipment to be adjusted and the establishment of the linkage disposal strategy are more accurate, the family safety can be ensured more quickly and most efficiently, and safety accidents are prevented.
In addition, an embodiment of the present invention further provides a storage medium, where a home security linkage handling program is stored, and when executed by a processor, the storage medium implements the steps of the home security linkage handling method as described above.
Since the storage medium adopts all technical solutions of all the embodiments described above, at least all the beneficial effects brought by the technical solutions of the embodiments described above are achieved, and are not described in detail herein.
Referring to fig. 4, fig. 4 is a block diagram illustrating a first embodiment of the home safety linkage handling device according to the present invention.
As shown in fig. 4, a home security linkage handling device according to an embodiment of the present invention includes:
and theinformation acquisition module 10 is used for acquiring the family monitoring information of the family to be monitored through the safety master control system.
And theanomaly extraction module 20 is used for determining anomaly information according to the family monitoring information.
And anarea determining module 30, configured to determine an abnormal influence area range according to the abnormal information, where the abnormal influence area range is determined according to an abnormal risk index value.
And theequipment locking module 40 is used for determining equipment to be adjusted from household equipment according to the abnormal influence area range, wherein the household equipment comprises at least one of electric equipment, hydraulic equipment, gas equipment, fire-proof equipment and door and window equipment.
And apolicy generating module 50, configured to generate a linkage handling policy for controlling each device to be adjusted to perform state adjustment according to the device to be adjusted and the abnormal information.
And theequipment linkage module 60 is configured to adjust the operation state of each equipment to be adjusted to a target adjustment state according to the linkage handling policy, so as to complete automatic handling of an accident in cooperation with each equipment to be adjusted.
In the embodiment, the family monitoring information of a family to be monitored is acquired through the safety master control system; determining abnormal information according to the family monitoring information; determining an abnormal influence area range according to the abnormal information, wherein the abnormal influence area range is determined according to an abnormal risk index value; determining equipment to be adjusted from household equipment according to the abnormal influence area range, wherein the household equipment comprises at least one of electric equipment, hydraulic equipment, gas equipment, fire prevention equipment and door and window equipment; generating a linkage disposal strategy for controlling each device to be adjusted to carry out state adjustment according to the device to be adjusted and the abnormal information; and adjusting the state of the equipment to be adjusted according to the linkage disposal strategy so as to realize the cooperative accident disposal of the household equipment. Through the mode, the resource use condition in a home house is monitored in real time based on the safety master control system pre-equipped by the home, the abnormal influence area range with abnormality is determined based on the home monitoring information, the equipment to be adjusted is determined, so that a linkage disposal strategy can be generated to realize automatic state adjustment of the equipment to be adjusted, the running state of each equipment in the home can be automatically and continuously monitored, other equipment can be correspondingly adjusted when some part is abnormal, automatic linkage safety protection is realized, and the safety factor of home life is improved.
It should be understood that the above is only an example, and the technical solution of the present invention is not limited in any way, and in a specific application, a person skilled in the art may set the technical solution as needed, and the present invention is not limited in this respect.
In an embodiment, thearea determining module 30 is further configured to determine an abnormal device and an abnormal type according to the abnormal information; acquiring position information corresponding to the abnormal equipment; and determining the range of the abnormal influence area according to the abnormal equipment, the abnormal type and the position information.
In an embodiment, thearea determining module 30 is further configured to determine a current location of the abnormal device according to the location information; acquiring family plan information; determining an abnormal place according to the family plan information and the current position; and determining the range of the abnormal influence area according to the abnormal place and the abnormal type.
In an embodiment, thearea determining module 30 is further configured to determine an abnormal device type according to the abnormal type; calculating an abnormal danger index value according to the abnormal equipment type and the abnormal place; and determining the range of the abnormal influence area according to the abnormal risk index value.
In an embodiment, thearea determination module 30 is further configured to calculate a location weighting parameter according to the abnormal location; determining the number of the family staying according to the family monitoring information; determining population weighting parameters according to the number of the family stays; determining the current time according to the abnormal information; determining a time weighting parameter according to the current time; and calculating an abnormal risk index value according to the location weighting parameter, the population weighting parameter and the time weighting parameter.
In an embodiment, theregion determining module 30 is further configured to determine a risk level according to the abnormal risk index value; determining an influence radius according to the danger level; determining an abnormal influence circular area according to the influence radius and the abnormal place; and determining the range of the abnormal influence area according to the abnormal influence circular area.
In an embodiment, thedevice linkage module 60 is further configured to determine an abnormal accident type according to the linkage handling policy; determining a target adjustment state of each device to be adjusted according to the abnormal accident type; and adjusting the running state of each device to be adjusted to the target adjustment state so as to cooperate with each device to be adjusted to finish automatic handling of accidents.
It should be noted that the above-described work flows are only exemplary, and do not limit the scope of the present invention, and in practical applications, a person skilled in the art may select some or all of them to achieve the purpose of the solution of the embodiment according to actual needs, and the present invention is not limited herein.
In addition, the technical details that are not described in detail in this embodiment can be referred to the home security linkage handling method provided in any embodiment of the present invention, and are not described herein again.
Furthermore, it should be noted that, in this document, the terms "comprises," "comprising," or any other variation thereof, are intended to cover a non-exclusive inclusion, such that a process, method, article, or system that comprises a list of elements does not include only those elements but may include other elements not expressly listed or inherent to such process, method, article, or system. Without further limitation, an element defined by the phrases "comprising a," "8230," "8230," or "comprising" does not exclude the presence of other like elements in a process, method, article, or system comprising the element.
The above-mentioned serial numbers of the embodiments of the present invention are merely for description and do not represent the merits of the embodiments.
Through the above description of the embodiments, those skilled in the art will clearly understand that the method of the above embodiments can be implemented by software plus a necessary general hardware platform, and certainly can also be implemented by hardware, but in many cases, the former is a better embodiment. Based on such understanding, the technical solution of the present invention may be embodied in the form of a software product, which is stored in a storage medium (e.g. Read Only Memory (ROM)/RAM, magnetic disk, optical disk), and includes several instructions for enabling a terminal device (e.g. a mobile phone, a computer, a server, or a network device) to execute the method according to the embodiments of the present invention.
The above description is only a preferred embodiment of the present invention, and not intended to limit the scope of the present invention, and all modifications of equivalent structures and equivalent processes, which are made by using the contents of the present specification and the accompanying drawings, or directly or indirectly applied to other related technical fields, are included in the scope of the present invention.

Claims (10)

1. A home security linkage handling method is characterized by comprising the following steps:
acquiring family monitoring information of a family to be monitored through a safety master control system;
determining abnormal information according to the family monitoring information;
determining an abnormal influence area range according to the abnormal information, wherein the abnormal influence area range is determined according to an abnormal risk index value;
determining equipment to be adjusted from household equipment according to the abnormal influence area range, wherein the household equipment comprises at least one of electric equipment, hydraulic equipment, gas equipment, fire-proof equipment and door and window equipment;
generating a linkage disposal strategy for controlling each device to be adjusted to carry out state adjustment according to the device to be adjusted and the abnormal information;
and adjusting the running state of each device to be adjusted to a target adjustment state according to the linkage handling strategy so as to cooperate with each device to be adjusted to finish automatic handling of accidents.
2. The method of claim 1, wherein said determining an abnormal area of influence range from said abnormality information comprises:
determining abnormal equipment and abnormal types according to the abnormal information;
acquiring position information corresponding to the abnormal equipment;
and determining the range of the abnormal influence area according to the abnormal equipment, the abnormal type and the position information.
3. The method of claim 2, wherein said determining an anomaly area of influence based on said anomaly device, said anomaly type, and said location information comprises:
determining the current position of the abnormal equipment according to the position information;
acquiring family plan information;
determining an abnormal place according to the family plan information and the current position;
and determining the range of the abnormal influence area according to the abnormal place and the abnormal type.
4. The method of claim 3, wherein said determining an anomaly area of influence based on said anomaly location and said anomaly type comprises:
determining the type of abnormal equipment according to the abnormal type;
calculating an abnormal danger index value according to the abnormal equipment type and the abnormal place;
and determining the range of the abnormal influence area according to the abnormal risk index value.
5. The method of claim 4, wherein said calculating an abnormal risk indicator value based on said abnormal equipment type and said abnormal location comprises:
calculating a location weighting parameter according to the abnormal location;
determining the number of the family staying according to the family monitoring information;
determining population weighting parameters according to the number of the family stays;
determining the current time according to the abnormal information;
determining a time weighting parameter according to the current time;
and calculating an abnormal risk index value according to the location weighting parameter, the population weighting parameter and the time weighting parameter.
6. The method of claim 4, wherein said determining an abnormal impact area range from said abnormal risk indicator value comprises:
determining a danger level according to the abnormal danger index value;
determining an influence radius according to the danger level;
determining an abnormal influence circular area according to the influence radius and the abnormal place;
and determining the range of the abnormal influence area according to the abnormal influence circular area.
7. The method according to any one of claims 1 to 6, wherein the adjusting the operation state of each device to be adjusted to a target adjustment state according to the linkage handling policy to complete automatic handling of accidents in cooperation with each device to be adjusted comprises:
determining the type of the abnormal accident according to the linkage disposal strategy;
determining a target adjustment state of each device to be adjusted according to the abnormal accident type;
and adjusting the running state of each device to be adjusted to the target adjustment state so as to cooperate with each device to be adjusted to finish automatic handling of accidents.
8. A home safety linked disposal device, comprising:
the information acquisition module is used for acquiring the family monitoring information of the family to be monitored through the safety master control system;
the abnormal extraction module is used for determining abnormal information according to the family monitoring information;
the area determining module is used for determining an abnormal influence area range according to the abnormal information, wherein the abnormal influence area range is determined according to an abnormal risk index value;
the equipment locking module is used for determining equipment to be adjusted from household equipment according to the abnormal influence area range, wherein the household equipment comprises at least one of electric equipment, hydraulic equipment, gas equipment, fire prevention equipment and door and window equipment;
the strategy generation module is used for generating a linkage disposal strategy for controlling each device to be adjusted to carry out state adjustment according to the device to be adjusted and the abnormal information;
and the equipment linkage module is used for adjusting the running state of each equipment to be adjusted to a target adjustment state according to the linkage disposal strategy so as to cooperate with each equipment to be adjusted to finish automatic disposal of accidents.
9. A home security linkage disposal device, the device comprising: a memory, a processor, and a home security linkage handling program stored on the memory and executable on the processor, the home security linkage handling program configured to implement the home security linkage handling method of any of claims 1 to 7.
10. A storage medium having stored thereon a home security linkage handling program which, when executed by a processor, implements the home security linkage handling method according to any one of claims 1 to 7.
CN202310174624.4A2023-02-282023-02-28Home security linkage handling method, device, equipment and storage mediumPendingCN115933427A (en)

Priority Applications (1)

Application NumberPriority DateFiling DateTitle
CN202310174624.4ACN115933427A (en)2023-02-282023-02-28Home security linkage handling method, device, equipment and storage medium

Applications Claiming Priority (1)

Application NumberPriority DateFiling DateTitle
CN202310174624.4ACN115933427A (en)2023-02-282023-02-28Home security linkage handling method, device, equipment and storage medium

Publications (1)

Publication NumberPublication Date
CN115933427Atrue CN115933427A (en)2023-04-07

Family

ID=86557938

Family Applications (1)

Application NumberTitlePriority DateFiling Date
CN202310174624.4APendingCN115933427A (en)2023-02-282023-02-28Home security linkage handling method, device, equipment and storage medium

Country Status (1)

CountryLink
CN (1)CN115933427A (en)

Citations (19)

* Cited by examiner, † Cited by third party
Publication numberPriority datePublication dateAssigneeTitle
CN1564216A (en)*2004-03-252005-01-12浙江工业大学Intelligent security device
US20070219645A1 (en)*2006-03-172007-09-20Honeywell International Inc.Building management system
US20150127164A1 (en)*2013-11-072015-05-07Institute For Information IndustryPerformance management system, method and non-transitory computer readable storage medium thereof
CN105681144A (en)*2016-03-212016-06-15美的集团股份有限公司Smart home system, and smart home safety control device and method
JP2016181161A (en)*2015-03-242016-10-13新コスモス電機株式会社Alarm, and interlocking system for alarm and gas stove
CN106549833A (en)*2015-09-212017-03-29阿里巴巴集团控股有限公司A kind of control method and device of intelligent home device
CN107154135A (en)*2017-06-292017-09-12合肥步瑞吉智能家居有限公司The leak supervision of combustible gas and household safe guard method in a kind of family
US20170307243A1 (en)*2016-04-262017-10-26buildpulse, Inc.Using estimated schedules and analysis of zone temperature to control airflow
CN107464199A (en)*2017-07-272017-12-12深圳市盛路物联通讯技术有限公司The integrated management approach and system of a kind of smart city
US20180299844A1 (en)*2017-04-132018-10-18Johnson Controls Technology CompanyBuilding management system with unified sensor network
CN111123715A (en)*2019-05-252020-05-08深圳市艾佩特科技有限公司Intelligent home security monitoring method
CN111882814A (en)*2020-07-232020-11-03昆山安盾网络科技有限公司Intelligent city fire control monitored control system based on artificial intelligence
CN111899480A (en)*2020-08-112020-11-06安徽泽众安全科技有限公司 A dynamic warning and classification method and system for monitoring combustible gas in underground space
CN212060966U (en)*2020-06-182020-12-01协同安全科技(深圳)有限公司Safety master control system
CN112735104A (en)*2020-12-162021-04-30青岛海尔科技有限公司Abnormal alarm processing method and device
CN113470302A (en)*2021-07-032021-10-01深圳市上源艺术设计有限公司Intelligent security management method and system based on Internet of things and storage medium
CN113920670A (en)*2021-09-142022-01-11烟台艾睿光电科技有限公司Fire safety monitoring method, device and system, fire monitoring equipment and medium
CN114114952A (en)*2022-01-282022-03-01江苏锁安科技有限公司Intelligent home management control system and method for intelligent door lock control
CN114326422A (en)*2021-12-142022-04-12深圳市时誉高精科技有限公司ZigBee remote controller for smart home

Patent Citations (19)

* Cited by examiner, † Cited by third party
Publication numberPriority datePublication dateAssigneeTitle
CN1564216A (en)*2004-03-252005-01-12浙江工业大学Intelligent security device
US20070219645A1 (en)*2006-03-172007-09-20Honeywell International Inc.Building management system
US20150127164A1 (en)*2013-11-072015-05-07Institute For Information IndustryPerformance management system, method and non-transitory computer readable storage medium thereof
JP2016181161A (en)*2015-03-242016-10-13新コスモス電機株式会社Alarm, and interlocking system for alarm and gas stove
CN106549833A (en)*2015-09-212017-03-29阿里巴巴集团控股有限公司A kind of control method and device of intelligent home device
CN105681144A (en)*2016-03-212016-06-15美的集团股份有限公司Smart home system, and smart home safety control device and method
US20170307243A1 (en)*2016-04-262017-10-26buildpulse, Inc.Using estimated schedules and analysis of zone temperature to control airflow
US20180299844A1 (en)*2017-04-132018-10-18Johnson Controls Technology CompanyBuilding management system with unified sensor network
CN107154135A (en)*2017-06-292017-09-12合肥步瑞吉智能家居有限公司The leak supervision of combustible gas and household safe guard method in a kind of family
CN107464199A (en)*2017-07-272017-12-12深圳市盛路物联通讯技术有限公司The integrated management approach and system of a kind of smart city
CN111123715A (en)*2019-05-252020-05-08深圳市艾佩特科技有限公司Intelligent home security monitoring method
CN212060966U (en)*2020-06-182020-12-01协同安全科技(深圳)有限公司Safety master control system
CN111882814A (en)*2020-07-232020-11-03昆山安盾网络科技有限公司Intelligent city fire control monitored control system based on artificial intelligence
CN111899480A (en)*2020-08-112020-11-06安徽泽众安全科技有限公司 A dynamic warning and classification method and system for monitoring combustible gas in underground space
CN112735104A (en)*2020-12-162021-04-30青岛海尔科技有限公司Abnormal alarm processing method and device
CN113470302A (en)*2021-07-032021-10-01深圳市上源艺术设计有限公司Intelligent security management method and system based on Internet of things and storage medium
CN113920670A (en)*2021-09-142022-01-11烟台艾睿光电科技有限公司Fire safety monitoring method, device and system, fire monitoring equipment and medium
CN114326422A (en)*2021-12-142022-04-12深圳市时誉高精科技有限公司ZigBee remote controller for smart home
CN114114952A (en)*2022-01-282022-03-01江苏锁安科技有限公司Intelligent home management control system and method for intelligent door lock control

Similar Documents

PublicationPublication DateTitle
CN109869633B (en)Gas supply system with safety protection function
Sahrab et al.Design and fabrication of a low-cost system for smart home applications
JPH08506228A (en) Remote control of control system
CN105931419B (en)A kind of house intelligent safety protection system
CN112311088B (en)Electric power and household information monitoring system, method, equipment and medium
US20170133844A1 (en)Fire detection, automated shutoff and alerts using distributed energy resources and monitoring system
CN112330934A (en)Artificial intelligence identification and study-judgment algorithm for fire alarm information
CN116545795A (en)Data processing system of cloud computing data center
CN115933427A (en)Home security linkage handling method, device, equipment and storage medium
CN112311087A (en) A kind of intelligent monitoring unit, method and electric energy meter box with multi-information band communication
CN204856815U (en)Multi -functional alarm and system
CN218645282U (en)Gas user monitoring concentration and flow control device
CN104808497A (en)Information processing method and first electronic device
CN107975677B (en)Safety limit metering device and use method thereof
CN104376694A (en)Monitoring method, electronic device and system
CN103398788A (en)Closed cable temperature information processing method
CN107390520B (en)A kind of fire fighting supply pumping station controlling system and its design method
EP3324251B1 (en)Method for managing electrical supply of a device and system for implementing said method
CN112367358B (en)Equipment monitoring method, storage medium, electronic equipment and door lock device
CN205862208U (en)Indoor security guard system
CN110632953A (en)Intelligent sewage discharge monitoring system
CN115826422A (en)Household equipment control method and device based on artificial intelligence
CN112945333A (en)Method for realizing safe gas utilization of Internet of things gas meter by limiting gas utilization at high flow rate
CN106130182A (en)Switch local operation safety device
TWM503620U (en)Intelligent energy automatic monitoring management system with HR integration

Legal Events

DateCodeTitleDescription
PB01Publication
PB01Publication
SE01Entry into force of request for substantive examination
SE01Entry into force of request for substantive examination
RJ01Rejection of invention patent application after publication

Application publication date:20230407

RJ01Rejection of invention patent application after publication

[8]ページ先頭

©2009-2025 Movatter.jp