Movatterモバイル変換


[0]ホーム

URL:


CN115913339B - Low-orbit satellite high-dynamic frequency acquisition tracking method, server and storage medium - Google Patents

Low-orbit satellite high-dynamic frequency acquisition tracking method, server and storage medium
Download PDF

Info

Publication number
CN115913339B
CN115913339BCN202310009530.1ACN202310009530ACN115913339BCN 115913339 BCN115913339 BCN 115913339BCN 202310009530 ACN202310009530 ACN 202310009530ACN 115913339 BCN115913339 BCN 115913339B
Authority
CN
China
Prior art keywords
signal
frequency
input signal
deviation
doppler
Prior art date
Legal status (The legal status is an assumption and is not a legal conclusion. Google has not performed a legal analysis and makes no representation as to the accuracy of the status listed.)
Active
Application number
CN202310009530.1A
Other languages
Chinese (zh)
Other versions
CN115913339A (en
Inventor
敬军
杨辉
周长军
隋超
徐明阳
Current Assignee (The listed assignees may be inaccurate. Google has not performed a legal analysis and makes no representation or warranty as to the accuracy of the list.)
Beijing Jiangtai Technology Co ltd
Original Assignee
Beijing Taiji Jiangtai Technology Development Co ltd
Priority date (The priority date is an assumption and is not a legal conclusion. Google has not performed a legal analysis and makes no representation as to the accuracy of the date listed.)
Filing date
Publication date
Application filed by Beijing Taiji Jiangtai Technology Development Co ltdfiledCriticalBeijing Taiji Jiangtai Technology Development Co ltd
Priority to CN202310009530.1ApriorityCriticalpatent/CN115913339B/en
Publication of CN115913339ApublicationCriticalpatent/CN115913339A/en
Application grantedgrantedCritical
Publication of CN115913339BpublicationCriticalpatent/CN115913339B/en
Activelegal-statusCriticalCurrent
Anticipated expirationlegal-statusCritical

Links

Images

Classifications

Landscapes

Abstract

The application discloses a low orbit satellite high dynamic frequency capturing and tracking method, a server and a storage medium, belonging to the satellite communication field, comprising the following steps: step 1: pre-compensating the input signal received by the receiving end; step 2: performing mediation calculation on the compensated input signal and a local chirp signal and performing fast Fourier transform calculation; step 3: calculating integer frequency offset according to the peak value of the fast Fourier transform, and calculating decimal frequency offset by using an interpolation method; step 4: calculating frequency deviation and timing deviation according to the integer frequency deviation and the decimal frequency deviation; step 5: calculating frequency deviation and timing deviation to obtain frequency deviation and frequency change rate, and feeding the frequency deviation and the frequency change rate back to an input signal for compensation; the compensated input signal continues to step 2 to continue the capturing and tracking of the signal with high dynamics. The chirp signal can be tracked, and frequency deviation caused by Doppler frequency change rate can be dynamically compensated.

Description

Low-orbit satellite high-dynamic frequency acquisition tracking method, server and storage medium
Technical Field
The application belongs to the field of satellite communication, and particularly relates to a low-orbit satellite high-dynamic frequency acquisition tracking method, a server and a storage medium.
Background
In some places without a ground network, a satellite communication network needs to be constructed, for a communication mode between a satellite and a ground terminal, low-power consumption, long-distance and high-dynamic technical indexes need to be met, loRa is one of relatively popular LPWAN technologies, the theoretical communication distance can reach thousands of kilometers, a LoRa physical layer adopts linear frequency modulation spread spectrum modulation, and the difference from FSM is that the linear frequency modulation spread spectrum does not increase signal bandwidth, can realize very high receiving sensitivity, the highest receiving sensitivity of LoRa can reach-148 dBm, and can be improved by more than 20dB compared with the traditional FSM and PSK technologies.
The prior art mainly considers the use in the ground long-distance communication process, and because the Doppler frequency change rate under the high dynamic state of the low-orbit satellite is not considered, the problem that the frequency deviation exceeds the system tolerance easily occurs in the communication process, so that the communication error rate is too high.
Therefore, a technical solution for high dynamic frequency acquisition tracking of low-orbit satellites is needed to solve the above problems.
Disclosure of Invention
In order to solve the defects in the prior art, the application provides a high dynamic frequency acquisition tracking method of a low-orbit satellite, which adopts a chirp modulation mode, accurately determines the frequency deviation and timing deviation of a current chirp signal by processing the chirp signal, tracks the chirp signal and dynamically compensates the frequency deviation caused by the Doppler frequency change rate.
The technical effect to be achieved by the application is realized through the following scheme:
according to a first aspect of the present invention, there is provided a method for capturing and tracking a high dynamic frequency of a low-orbit satellite, comprising the steps of:
step 1: pre-compensating the input signal received by the receiving end;
step 2: performing mediation calculation on the compensated input signal and a local chirp signal and performing fast Fourier transform calculation;
step 3: calculating integer frequency offset according to the peak value of the fast Fourier transform, and calculating decimal frequency offset by using an interpolation method;
step 4: calculating frequency deviation and timing deviation according to the integer frequency deviation and the decimal frequency deviation;
step 5: calculating Doppler frequency deviation and Doppler change rate by utilizing the frequency deviation and the timing deviation, and feeding the Doppler frequency deviation and the Doppler change rate back to an input signal for compensation; the compensated input signal continues to step 2 to continue the capturing and tracking of the signal with high dynamics.
Preferably, in step 1, the mode of precompensation is: and calibrating the temperature compensation crystal oscillator or the external crystal oscillator according to the accurate clock to obtain the initial frequency offset of the crystal oscillator of the receiving end, and pre-compensating the input signal according to the initial frequency offset.
Preferably, in step 2, a local chirp signal is generated from the frame structure of the input signal, with a local up chirp signal or a local down chirp signal corresponding to the input signal.
Preferably, in the frame structure of the local chirp signal:
defining a local upchirp signal:
Figure DEST_PATH_IMAGE001
Figure DEST_PATH_IMAGE002
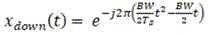
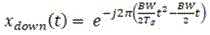
defining a local downchirp signal:
Figure DEST_PATH_IMAGE003
,
Figure 230648DEST_PATH_IMAGE002
where BW is the bandwidth of the signal, Ts Is the time of one symbol, e is the euler number, j is the imaginary unit.
Preferably, the manner of mediating calculation and performing the fast fourier transform calculation in step 2 is:
multiplying the received upchirp signal with a local downchirp signal to obtain a direct current signal, and setting the position of the maximum value after N points of fast Fourier transformation at the position of the 1 st point;
according to the formula
Figure DEST_PATH_IMAGE004
To obtain the received signal r0 (t);
Wherein s is0 (t) is the original signal of the system,
Figure DEST_PATH_IMAGE005
e is Euler number, j is imaginary number unit;
the sampled and demodulated signal is:
Figure DEST_PATH_IMAGE006
wherein: b is the signal sampling bandwidth;
after fast fourier transformation, it is obtained that:
Figure DEST_PATH_IMAGE007
preferably, in step 3, the formula after the fast fourier transform is obtained:
the integer frequency offset is:
Figure DEST_PATH_IMAGE008
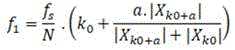
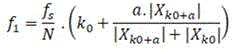
fractional frequency offset is calculated by using a spectral line difference method according to the formula:
Figure DEST_PATH_IMAGE009
for the position where the maximum value is in the N-point fast Fourier transform is k0 Corresponding amplitude is Xk0 Taking k0 The position on the right side is k0+1 Amplitude is Xk0+1 Taking k0 The position on the left side is k0-1 Amplitude is Xk0-1 Due to |Xk0 | >| Xk0+a I, therefore->
Figure DEST_PATH_IMAGE010
Between->
Figure DEST_PATH_IMAGE011
And
Figure DEST_PATH_IMAGE012
wherein a= ±1 represents a direction; demodulating the downchirp signal to obtain +.>
Figure DEST_PATH_IMAGE013
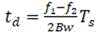
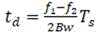
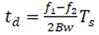
ThenFrequency deviation->
Figure DEST_PATH_IMAGE014
Timing deviation->
Figure DEST_PATH_IMAGE015
Preferably, in step 5, when the signal is affected by the doppler rate of change, the input signal is expressed according to the following formula:
Figure DEST_PATH_IMAGE016
Figure DEST_PATH_IMAGE017
wherein:
Figure DEST_PATH_IMAGE018
for Doppler frequency offset +.>
Figure DEST_PATH_IMAGE019
For Doppler rate of change, +.>
Figure DEST_PATH_IMAGE020
The sampling period of the signal is represented by θ, and the phase is represented by θ;
multiplication of the input signal with the local chirp signal yields:
Figure DEST_PATH_IMAGE021
wherein the method comprises the steps of
Figure DEST_PATH_IMAGE022
For noise Gaussian random signal, the maximum likelihood criterion is used to estimate +.>
Figure DEST_PATH_IMAGE024
Of 4 typical phases; after estimating the minimum mean square error, the solution of the equation can be much more based on the minimum mean square error criterionThe rate of change of the puler.
Preferably, the 4 typical phases are:
Figure DEST_PATH_IMAGE025
Figure DEST_PATH_IMAGE026
Figure DEST_PATH_IMAGE027
Figure DEST_PATH_IMAGE028
the estimated minimum mean square error is:
Figure DEST_PATH_IMAGE029
wherein:
Figure DEST_PATH_IMAGE030
is ni The values are N/8, 3N/8, 5N/8 and the phases of the chirp signals corresponding to the positions of 7N/8;
the estimated value of the Doppler change rate is:
the estimated value of the Doppler change rate is:
Figure DEST_PATH_IMAGE031
according to a second aspect of the present invention, there is provided a server comprising: a memory and at least one processor;
the memory stores a computer program, and the at least one processor executes the computer program stored by the memory to implement the low-orbit satellite high-dynamic frequency acquisition tracking method described in any one of the above.
According to a third aspect of the present invention, there is provided a computer readable storage medium having stored therein a computer program which when executed implements the low orbit satellite high dynamic frequency acquisition tracking method of any of the above.
According to one embodiment of the invention, the beneficial effects of the invention are: the method provides a channel framing method, which is used for frequency synchronization of burst channels; the method for estimating and tracking the frequency offset can be used for carrying out accurate frequency offset calculation on the signals in a high dynamic scene; in the communication process, firstly, a pre-calibration mode is used for estimating the frequency offset brought by a terminal due to a transmitting channel, a receiving channel and a crystal oscillator, and then the frequency offset introduced by the terminal is calibrated; in the signal receiving process, the information carried in the signal frame synchronizing signal is facilitated, and the initial frequency offset and the frequency change rate are estimated and compensated. The frequency change rate in the communication frame is tracked by the pilot signal to compensate for the frequency error due to the Doppler change rate. The method and the device fundamentally solve the influence of Doppler frequency offset and Doppler change rate on the reception in low-orbit satellite communication, greatly improve the communication length limit of burst signals, and can transmit more information in one communication process.
Drawings
In order to more clearly illustrate the embodiments or prior art solutions of the present application, the drawings that are required for the description of the embodiments or prior art will be briefly described below, it being apparent that the drawings in the following description are only some of the embodiments described in the present application, and that other drawings may be obtained according to these drawings without inventive faculty for a person skilled in the art.
FIG. 1 is a flow chart of a method for high dynamic frequency acquisition tracking of a low-orbit satellite according to an embodiment of the present application;
FIG. 2 is a schematic diagram of a frequency synchronization frame structure according to an embodiment of the present application;
FIG. 3 is a schematic diagram illustrating the effect of estimating the frequency change rate according to an embodiment of the present application;
fig. 4 is a schematic structural diagram of a server according to an embodiment of the present application.
Detailed Description
For the purposes, technical solutions and advantages of the present application, the technical solutions of the present application will be clearly and completely described below with reference to specific embodiments and corresponding drawings. It will be apparent that the described embodiments are only some, but not all, of the embodiments of the present application. All other embodiments, which can be made by one of ordinary skill in the art without undue burden from the present disclosure, are within the scope of the present disclosure.
In an embodiment of the present application, a method for capturing and tracking a high dynamic frequency of a low-orbit satellite as shown in fig. 1 includes the following steps:
step 1: pre-compensating the input signal received by the receiving end;
in this step, the mode of precompensation is: and (3) calibrating the temperature compensation crystal oscillator or the external crystal oscillator according to the accurate clock to obtain the initial frequency offset of the crystal oscillator of the receiving end, and pre-compensating the input signal according to the initial frequency offset to prevent the influence caused by the time drift of the crystal oscillator.
Step 2: performing mediation calculation on the compensated input signal and a local chirp signal and performing fast Fourier transform calculation;
the local chirp signal in this step is generated according to the frame structure of the input signal, and the frequency synchronization frame is as shown in fig. 2, and has a local up chirp signal or a local down chirp signal corresponding to the input signal; the frame head comprises 99 upchirp signals and 1 downchirp signal, the synchronization head comprises 1 upchirp signal and 1 downchirp signal, and the intervals between the frame head and the synchronization head and between the synchronization heads are 10ms.
In the frame structure of the local chirp signal:
defining a local upchirp signal:
Figure 635872DEST_PATH_IMAGE001
Figure 586248DEST_PATH_IMAGE002
defining a local downchirp signal:
Figure DEST_PATH_IMAGE032
,
Figure 60086DEST_PATH_IMAGE002
where BW is the bandwidth of the signal,
Figure DEST_PATH_IMAGE033
is the time of one symbol, e is the euler number, j is the imaginary unit.
The mode of mediating calculation and performing fast Fourier transform calculation is as follows:
multiplying the received upchirp signal with a local downchirp signal to obtain a direct current signal, and setting the position of the maximum value after N points of fast Fourier transformation at the position of the 1 st point;
according to the formula
Figure 197761DEST_PATH_IMAGE004
To obtain the received signal r0 (t);
Wherein s is0 (t) is the original signal of the system,
Figure 394125DEST_PATH_IMAGE005
for frequency offset, e is the Euler number and j is the imaginary unit.
The sampled and demodulated signal is:
Figure 67683DEST_PATH_IMAGE006
wherein: b is the signal sampling bandwidth;
after fast fourier transformation, it is obtained that:
Figure DEST_PATH_IMAGE034
。/>
step 3: calculating integer frequency offset according to the peak value of the fast Fourier transform, and calculating decimal frequency offset by using an interpolation method;
specifically, the method is obtained according to the formula after the fast Fourier transform:
the maximum point occurs at:
Figure 843747DEST_PATH_IMAGE008
representing taking the nearest integer as the integer frequency offset;
the resolution due to the N-point FFT (fast fourier transform) is:
Figure DEST_PATH_IMAGE035
for more accurate determination of frequency offset, for N-point FFT, the position where the maximum value is located is k0 Corresponding FFT amplitude is Xk0 Taking k0 The position on the right side is k0+1 Amplitude is Xk0+1 Taking k0 The position on the left side is k0-1 Amplitude is Xk0-1 Calculation by adopting spectral line interpolation method
Figure DEST_PATH_IMAGE036
Wherein->
Figure DEST_PATH_IMAGE037
= ±1, indicating direction, if |xk0+1 | >| Xk0-1 I, then->
Figure 542319DEST_PATH_IMAGE037
=1, otherwise, ++>
Figure 411049DEST_PATH_IMAGE037
= -1 due to |xk0 | >| Xk0+a I, therefore->
Figure DEST_PATH_IMAGE038
Between->
Figure DEST_PATH_IMAGE039
And->
Figure DEST_PATH_IMAGE040
Between them; and the estimation of the integer frequency offset and the decimal frequency offset is completed.
Step 4: calculating frequency deviation and timing deviation according to the integer frequency deviation and the decimal frequency deviation;
according to the upper partThe integer frequency offset and the decimal frequency offset in the steps are used for demodulating the downlink chirp signal, and the same way is adopted to obtain
Figure DEST_PATH_IMAGE041
Frequency deviation->
Figure 522968DEST_PATH_IMAGE014
Timing deviation->
Figure 197663DEST_PATH_IMAGE015
The timing deviation parameter represents the deviation between the sampling time of the receiving end and the sending end, and the calculation compensation can be performed through the deviation so as to ensure the accuracy of the subsequent input signal compensation.
Step 5: calculating frequency deviation and timing deviation to obtain frequency deviation and frequency change rate, and feeding the frequency deviation and the frequency change rate back to an input signal for compensation;
when the signal is affected by the doppler rate of change, the input signal is expressed according to the following formula:
Figure DEST_PATH_IMAGE042
Figure DEST_PATH_IMAGE043
wherein:
Figure DEST_PATH_IMAGE044
for Doppler frequency offset +.>
Figure DEST_PATH_IMAGE045
For Doppler rate of change, +.>
Figure DEST_PATH_IMAGE046
The sampling period of the signal is represented by θ, and the phase is represented by θ;
multiplication of the input signal with the local chirp signal yields:
Figure DEST_PATH_IMAGE047
wherein the method comprises the steps of
Figure 434565DEST_PATH_IMAGE022
For noise Gaussian random signal, the maximum likelihood criterion is used to estimate +.>
Figure DEST_PATH_IMAGE049
The 4 typical phases of (2) are:
Figure DEST_PATH_IMAGE050
Figure DEST_PATH_IMAGE051
Figure DEST_PATH_IMAGE052
Figure DEST_PATH_IMAGE053
the estimated minimum mean square error is:
Figure 205687DEST_PATH_IMAGE029
wherein:
Figure DEST_PATH_IMAGE054
is ni The values are N/8, 3N/8, 5N/8 and the phases of the chirp signals corresponding to the positions of 7N/8;
according to the minimum mean square error criterion, solving the equation to obtain the estimated value of the Doppler change rate is as follows:
Figure 493318DEST_PATH_IMAGE031
and (3) locally making corresponding compensation signals for the estimated Doppler frequency offset and Doppler change rate, and feeding the compensation signals back to the input signals for compensation.
The compensated input signal continues to step 2 to continue the capturing and tracking of the input signal, so that the capturing and tracking process of the signal under high dynamic state can be completed, as shown in fig. 3.
According to a second aspect of the present invention, as shown in fig. 4, there is provided a server comprising: amemory 401 and at least oneprocessor 402;
thememory 401 stores a computer program, and the at least oneprocessor 402 executes the computer program stored in thememory 401 to implement the low-orbit satellite high dynamic frequency acquisition tracking method described above.
According to a third aspect of the present invention, there is provided a computer readable storage medium having stored therein a computer program which when executed implements the low-orbit satellite high dynamic frequency acquisition tracking method described above.
According to one embodiment of the invention, the beneficial effects of the invention are: the method provides a channel framing method, which is used for frequency synchronization of burst channels; the method for estimating and tracking the frequency offset can be used for carrying out accurate frequency offset calculation on the signals in a high dynamic scene; in the communication process, firstly, a pre-calibration mode is used for estimating the frequency offset brought by a terminal due to a transmitting channel, a receiving channel and a crystal oscillator, and then the frequency offset introduced by the terminal is calibrated; in the signal receiving process, the information carried in the signal frame synchronizing signal is facilitated, and the initial frequency offset and the frequency change rate are estimated and compensated. The frequency change rate in the communication frame is tracked by the pilot signal to compensate for the frequency error due to the Doppler change rate. The method and the device fundamentally solve the influence of Doppler frequency offset and Doppler change rate on the reception in low-orbit satellite communication, greatly improve the communication length limit of burst signals, and can transmit more information in one communication process.
It should be noted that the foregoing detailed description is exemplary and is intended to provide further explanation of the invention. Unless defined otherwise, all technical and scientific terms used herein have the same meaning as commonly understood by one of ordinary skill in the art to which this application belongs.
It is noted that the terminology used herein is for the purpose of describing particular embodiments only and is not intended to be limiting of example embodiments in accordance with the present application. As used herein, the singular is intended to include the plural unless the context clearly indicates otherwise. Furthermore, it will be further understood that the terms "comprises" and/or "comprising," when used in this specification, specify the presence of stated features, steps, operations, devices, components, and/or groups thereof.
It should be noted that the terms "first," "second," and the like in the description and claims of the present application and the above figures are used for distinguishing between similar objects and not necessarily for describing a particular sequential or chronological order. It is to be understood that the terms so used are interchangeable under appropriate circumstances such that the embodiments of the application described herein are capable of operation in sequences other than those illustrated or otherwise described herein.
Furthermore, the terms "comprise" and "have," as well as any variations thereof, are intended to cover a non-exclusive inclusion. For example, a process, method, system, article, or apparatus that comprises a list of steps or elements is not necessarily limited to those elements but may include other steps or elements not expressly listed or inherent to such process, method, article, or apparatus.
Spatially relative terms, such as "above … …," "above … …," "upper surface at … …," "above," and the like, may be used herein for ease of description to describe one device or feature's spatial location relative to another device or feature as illustrated in the figures. It will be understood that the spatially relative terms are intended to encompass different orientations in use or operation in addition to the orientation depicted in the figures. For example, if the device in the figures is turned over, elements described as "above" or "over" other devices or structures would then be oriented "below" or "beneath" the other devices or structures. Thus, the exemplary term "above … …" may include both orientations of "above … …" and "below … …". The device may also be positioned in other different ways, such as rotated 90 degrees or at other orientations, and the spatially relative descriptors used herein interpreted accordingly.
In the above detailed description, reference is made to the accompanying drawings, which form a part hereof. In the drawings, like numerals typically identify like components unless context indicates otherwise. The illustrated embodiments described in the detailed description, drawings, and claims are not meant to be limiting. Other embodiments may be utilized, and other changes may be made, without departing from the spirit or scope of the subject matter presented herein.
The above is only a preferred embodiment of the present invention, and is not intended to limit the present invention, but various modifications and variations can be made to the present invention by those skilled in the art. Any modification, equivalent replacement, improvement, etc. made within the spirit and principle of the present invention should be included in the protection scope of the present invention.

Claims (5)

1. The high dynamic frequency acquisition tracking method for the low orbit satellite is characterized by comprising the following steps of:
step 1: pre-compensating the input signal received by the receiving end;
step 2: performing mediation calculation on the compensated input signal and a local chirp signal and performing fast Fourier transform calculation; the local chirp signal is generated according to a frame structure of the input signal, and has a local up chirp signal or a local down chirp signal corresponding to the input signal; in the frame structure of the local chirp signal:
defining a local upchirp signal:
Figure QLYQS_1
Figure QLYQS_2
definition of local downcThe hirp signal:
Figure QLYQS_3
,
Figure QLYQS_4
where BW is the bandwidth of the signal, Ts Is the time of one symbol, e is the Euler number, j is the imaginary unit;
the mode of mediating calculation and performing fast Fourier transform calculation is as follows:
multiplying the received upchirp signal with a local downchirp signal to obtain a direct current signal, and setting the position of the maximum value after N points of fast Fourier transformation at the position of the 1 st point;
according to the formula
Figure QLYQS_5
To obtain the received signal r0 (t);
Wherein s is0 (t) is the original signal of the system,
Figure QLYQS_6
e is Euler number, j is imaginary number unit;
the sampled and demodulated signal is:
Figure QLYQS_7
wherein: b is the signal sampling bandwidth;
after fast fourier transformation, it is obtained that:
Figure QLYQS_8
the method comprises the steps of carrying out a first treatment on the surface of the Step 3: calculating integer frequency offset according to the peak value of the fast Fourier transform, and calculating decimal frequency offset by using an interpolation method; the method comprises the following steps: the fast Fourier transform is obtained according to the formula:
the integer frequency offset is:
Figure QLYQS_9
fractional frequency offset is calculated by using a spectral line difference method according to the formula:
Figure QLYQS_10
for the position where the maximum value is in the N-point fast Fourier transform is k0 Corresponding amplitude is Xk0 Taking k0 The position on the right side is k0+1 Amplitude is Xk0+1 Taking k0 The position on the left side is k0-1 Amplitude is Xk0-1 Due to |Xk0 | >| Xk0+a I, therefore->
Figure QLYQS_11
Between->
Figure QLYQS_12
And
Figure QLYQS_13
wherein a= ±1 represents a direction;
demodulating the downlink signal in the same way to obtain
Figure QLYQS_14
Frequency deviation->
Figure QLYQS_15
Timing deviation->
Figure QLYQS_16
Step 4: calculating frequency deviation and timing deviation according to the integer frequency deviation and the decimal frequency deviation;
step 5: calculating Doppler frequency deviation and Doppler change rate by utilizing the frequency deviation and the timing deviation, and feeding the Doppler frequency deviation and the Doppler change rate back to an input signal for compensation; the compensated input signal continues to step 2 to continuously capture and track the signal under high dynamic state;
when the signal is affected by the doppler rate of change, the input signal is expressed according to the following formula:
Figure QLYQS_17
Figure QLYQS_18
wherein:
Figure QLYQS_19
for Doppler frequency offset +.>
Figure QLYQS_20
For Doppler rate of change, +.>
Figure QLYQS_21
The sampling period of the signal is represented by θ, and the phase is represented by θ;
multiplication of the input signal with the local chirp signal yields:
Figure QLYQS_22
wherein the method comprises the steps of
Figure QLYQS_23
For noise Gaussian random signal, the maximum likelihood criterion is used to estimate +.>
Figure QLYQS_24
Of 4 typical phases; after estimating the minimum mean square error, solving the equation according to the minimum mean square error criterion to obtain the Doppler change rate.
2. The method of claim 1, wherein in step 1, the pre-compensation is as follows: and calibrating the temperature compensation crystal oscillator or the external crystal oscillator according to the accurate clock to obtain the initial frequency offset of the crystal oscillator of the receiving end, and pre-compensating the input signal according to the initial frequency offset.
3. The method of claim 1, wherein the 4 typical phases are:
Figure QLYQS_25
Figure QLYQS_26
Figure QLYQS_27
Figure QLYQS_28
the estimated minimum mean square error is:
Figure QLYQS_29
wherein:
Figure QLYQS_30
is ni The values are N/8, 3N/8, 5N/8 and the phases of the chirp signals corresponding to the positions of 7N/8;
the estimated value of the Doppler change rate is:
Figure QLYQS_31
4. a server, comprising: a memory and at least one processor;
the memory stores a computer program, and the at least one processor executes the computer program stored by the memory to implement the low-orbit satellite high-dynamic frequency acquisition tracking method of any one of claims 1 to 3.
5. A computer readable storage medium, characterized in that the computer readable storage medium has stored therein a computer program which, when executed, implements the low-orbit satellite high dynamic frequency acquisition tracking method according to any one of claims 1 to 3.
CN202310009530.1A2023-01-052023-01-05Low-orbit satellite high-dynamic frequency acquisition tracking method, server and storage mediumActiveCN115913339B (en)

Priority Applications (1)

Application NumberPriority DateFiling DateTitle
CN202310009530.1ACN115913339B (en)2023-01-052023-01-05Low-orbit satellite high-dynamic frequency acquisition tracking method, server and storage medium

Applications Claiming Priority (1)

Application NumberPriority DateFiling DateTitle
CN202310009530.1ACN115913339B (en)2023-01-052023-01-05Low-orbit satellite high-dynamic frequency acquisition tracking method, server and storage medium

Publications (2)

Publication NumberPublication Date
CN115913339A CN115913339A (en)2023-04-04
CN115913339Btrue CN115913339B (en)2023-05-30

Family

ID=85750126

Family Applications (1)

Application NumberTitlePriority DateFiling Date
CN202310009530.1AActiveCN115913339B (en)2023-01-052023-01-05Low-orbit satellite high-dynamic frequency acquisition tracking method, server and storage medium

Country Status (1)

CountryLink
CN (1)CN115913339B (en)

Families Citing this family (1)

* Cited by examiner, † Cited by third party
Publication numberPriority datePublication dateAssigneeTitle
CN119382737B (en)*2024-12-302025-04-18中国人民解放军63921部队Quick capturing and tracking method for large frequency offset signal

Citations (10)

* Cited by examiner, † Cited by third party
Publication numberPriority datePublication dateAssigneeTitle
CN107769841A (en)*2017-10-192018-03-06中国人民解放军陆军工程大学Iterative demodulation method for satellite communication Turbo code under high dynamic and extremely low signal-to-noise ratio
CN111147123A (en)*2019-12-232020-05-12东方红卫星移动通信有限公司Carrier synchronization method of low-orbit satellite broadband OFDM communication system
CN112422168A (en)*2020-10-272021-02-26清华大学 Signal modulation and demodulation method and system in high mobility satellite communication
CN112769468A (en)*2021-01-212021-05-07西安星通通信科技有限公司Pre-compensation method for offset frequency of low-earth-orbit satellite mobile terminal
CN113132281A (en)*2021-06-112021-07-16北京国科天迅科技有限公司Linear frequency modulation signal tracking method, device, wireless communication equipment and storage medium
CN113541766A (en)*2021-07-022021-10-22东方红卫星移动通信有限公司Method, system and terminal for rapidly capturing frequency of low-earth-orbit satellite communication system
CN114070703A (en)*2021-11-182022-02-18成都中科微信息技术研究院有限公司Low-orbit satellite DVB-RCS2 system-based general method and system for frequency offset estimation tracking and compensation under low signal-to-noise ratio
CN114244420A (en)*2021-11-302022-03-25中国电子科技集团公司第五十四研究所 A satellite communication Chirp signal tracking receiver
CN114301500A (en)*2021-11-222022-04-08北京智芯微电子科技有限公司 Synchronization method, device, receiving and transmitting device for multi-user spread spectrum communication system
CN114826846A (en)*2021-01-282022-07-29宸芯科技有限公司Method, device, equipment and medium for generating frequency offset cancellation sequence

Family Cites Families (1)

* Cited by examiner, † Cited by third party
Publication numberPriority datePublication dateAssigneeTitle
US7333548B2 (en)*2003-11-102008-02-19Mediatek Inc.Phase and frequency drift compensation in Orthogonal Frequency Division Multiplexing systems

Patent Citations (10)

* Cited by examiner, † Cited by third party
Publication numberPriority datePublication dateAssigneeTitle
CN107769841A (en)*2017-10-192018-03-06中国人民解放军陆军工程大学Iterative demodulation method for satellite communication Turbo code under high dynamic and extremely low signal-to-noise ratio
CN111147123A (en)*2019-12-232020-05-12东方红卫星移动通信有限公司Carrier synchronization method of low-orbit satellite broadband OFDM communication system
CN112422168A (en)*2020-10-272021-02-26清华大学 Signal modulation and demodulation method and system in high mobility satellite communication
CN112769468A (en)*2021-01-212021-05-07西安星通通信科技有限公司Pre-compensation method for offset frequency of low-earth-orbit satellite mobile terminal
CN114826846A (en)*2021-01-282022-07-29宸芯科技有限公司Method, device, equipment and medium for generating frequency offset cancellation sequence
CN113132281A (en)*2021-06-112021-07-16北京国科天迅科技有限公司Linear frequency modulation signal tracking method, device, wireless communication equipment and storage medium
CN113541766A (en)*2021-07-022021-10-22东方红卫星移动通信有限公司Method, system and terminal for rapidly capturing frequency of low-earth-orbit satellite communication system
CN114070703A (en)*2021-11-182022-02-18成都中科微信息技术研究院有限公司Low-orbit satellite DVB-RCS2 system-based general method and system for frequency offset estimation tracking and compensation under low signal-to-noise ratio
CN114301500A (en)*2021-11-222022-04-08北京智芯微电子科技有限公司 Synchronization method, device, receiving and transmitting device for multi-user spread spectrum communication system
CN114244420A (en)*2021-11-302022-03-25中国电子科技集团公司第五十四研究所 A satellite communication Chirp signal tracking receiver

Also Published As

Publication numberPublication date
CN115913339A (en)2023-04-04

Similar Documents

PublicationPublication DateTitle
CN111095883B (en)Synchronization in orthogonal time-frequency space signal receivers
US6671334B1 (en)Measurement receiver demodulator
US6366629B1 (en)Method of estimating timing phase and rate offsets in digital data
US7860014B2 (en)Ranging system, transmitting terminal, receiving terminal, ranging method, and computer program
US7843806B2 (en)Apparatus and methods for estimating and compensating sampling clock offset
CN111147123A (en)Carrier synchronization method of low-orbit satellite broadband OFDM communication system
CN107864107B (en) A Frequency Offset Estimation Method for Terahertz Communication
CN112953593B (en)LoRa advanced receiver
CN115913339B (en)Low-orbit satellite high-dynamic frequency acquisition tracking method, server and storage medium
CN114285713B (en)Low-orbit broadband satellite time frequency offset estimation method and system
CN107623647B (en) A Carrier Synchronization Method Based on Discrete Pilot Assisted
CN113890591B (en)Carrier synchronization method and carrier synchronization demodulation device for low-orbit constellation system terminal
US8675744B1 (en)Channel tracking in an orthogonal frequency-division multiplexing system
EP1402698B1 (en)Frequency correction for a multicarrier system
CN110943949A (en)Broadband angle tracking method based on SC-FDE transmission system
JP2000354077A (en) Frequency error estimating apparatus and method
CN114285709B (en)Method and device for tracking phase of received signal and signal processing system
KR100633743B1 (en)Methods for tracking Residual frequency, phase, timing offset and signal amplitude variation in OFDM systems, and methods thereof
KR100568069B1 (en) Apparatus and Method for Estimating Carrier and Doppler Frequency Error in TMD Communication System
JP3558879B2 (en) Digital communication device
KR20010076760A (en)A Method and Apparatus for Multi-channel Calibration
JP3946893B2 (en) Digital communication device
EP1716683A1 (en)Frequency compensated communications reception
Song et al.A frequency offset estimation algorithm based on under-sampling for THz communication
Han et al.Doppler Effect Compensation Method Based on Multi-Symbol Multi-Pilot Joint Sequence Frequency Offset Estimation and FPGA Implementation

Legal Events

DateCodeTitleDescription
PB01Publication
PB01Publication
SE01Entry into force of request for substantive examination
SE01Entry into force of request for substantive examination
GR01Patent grant
GR01Patent grant
CP03Change of name, title or address

Address after:No. 703, 7th Floor, Building B, Huabei Institute Science and Technology Building, No. 211 North Fourth Ring Middle Road, Haidian District, Beijing

Patentee after:Beijing Jiangtai Technology Co.,Ltd.

Country or region after:China

Address before:7th Floor, Building B, Huabei Institute Science and Technology Building, No. 211 North Fourth Ring Middle Road, Haidian District, Beijing

Patentee before:Beijing Taiji Jiangtai Technology Development Co.,Ltd.

Country or region before:China

CP03Change of name, title or address

[8]ページ先頭

©2009-2025 Movatter.jp