




技术领域technical field
本发明涉及通信技术领域,特别涉及一种辅助泊车方法、装置和云端设备。The present invention relates to the field of communication technology, in particular to a method, device and cloud device for assisting parking.
背景技术Background technique
随着中国汽车保有量的迅速增加,停车场停车难逐渐成为一个社会问题。考虑到单辆车在停车场内的行驶路线和车位的使用情况会影响其他车辆的行驶路线和车位利用,说明在停车场内车辆之间的车位分配和行驶路线是相互耦合关联的;同时,车辆在停车位是否规范停车也会影响相邻车位的利用,进一步影响整体的车位利用率。With the rapid increase in the number of cars in China, the difficulty of parking in parking lots has gradually become a social problem. Considering that the driving route and parking space usage of a single vehicle in the parking lot will affect the driving route and parking space utilization of other vehicles, it shows that the parking space allocation and driving route between vehicles in the parking lot are mutually coupled; at the same time, Whether the vehicle parks in a parking space in a standardized manner will also affect the utilization of adjacent parking spaces, further affecting the overall utilization rate of parking spaces.
现有的汽车导航产品无法涵盖停车场内的路线导航,车主经常面临的问题是不知道停车场的最佳目标停车位在哪里,难以快速地寻找到空闲停车位,而且停车场内也经常出现多辆车同时寻找停车位、停车场内部道路拥堵的现象;同时,停车场内部也存在部分车辆在停车位内不规范停车,导致相邻停车位过于狭窄,造成空闲车位无法优化利用的问题。The existing car navigation products cannot cover the route navigation in the parking lot. The problem that car owners often face is that they do not know where the best target parking space is, and it is difficult to quickly find a free parking space. Many vehicles are looking for parking spaces at the same time, and the roads inside the parking lot are congested. At the same time, there are also some vehicles in the parking lot that park irregularly in the parking spaces, resulting in the adjacent parking spaces being too narrow, resulting in the problem that the vacant parking spaces cannot be optimally utilized.
因此,需要一种辅助泊车方法,提高停车场内的车位利用率以及停车场内路网的通行效率。Therefore, there is a need for an auxiliary parking method to improve the utilization rate of parking spaces in the parking lot and the traffic efficiency of the road network in the parking lot.
发明内容Contents of the invention
本发明实施例提供一种辅助泊车方法、装置和云端设备,用以解决现有技术中,停车场内的车位利用率低以及停车场内路网的通行效率低的问题。Embodiments of the present invention provide an assisted parking method, device and cloud device to solve the problems of low utilization rate of parking spaces in a parking lot and low traffic efficiency of a road network in a parking lot in the prior art.
为了解决上述技术问题,本发明实施例提供如下技术方案:In order to solve the above technical problems, embodiments of the present invention provide the following technical solutions:
本发明实施例提供一种辅助泊车方法,应用于云端设备,所述方法包括:An embodiment of the present invention provides an assisted parking method, which is applied to a cloud device, and the method includes:
获取车位监控设备发送的车位数据信息以及道路监控设备发送的待泊车车辆数据信息;Obtain the parking space data information sent by the parking space monitoring equipment and the data information of the vehicle to be parked sent by the road monitoring equipment;
根据所述车位数据信息以及所述待泊车车辆数据信息,在所有待泊车车辆总行驶距离最短的情况下,分配各待泊车车辆的泊车车位;According to the data information of the parking spaces and the data information of the vehicles to be parked, when the total travel distance of all the vehicles to be parked is the shortest, allocate the parking spaces for each vehicle to be parked;
将所述待泊车车辆与对应的所述泊车车位之间的行驶路径发送至所述待泊车车辆。Sending the travel path between the vehicle to be parked and the corresponding parking space to the vehicle to be parked.
可选地,所述方法还包括:Optionally, the method also includes:
在所述待泊车车辆停入所述泊车车位后,接收所述车位监控设备发送的停车信息;receiving the parking information sent by the parking space monitoring device after the vehicle to be parked enters the parking space;
在根据所述停车信息确认所述待泊车车辆停车失败的情况下,向所述待泊车车辆发送第一泊车指令,指示所述待泊车车辆再次泊车,直至所述停车信息指示所述待泊车车辆停车成功。When it is confirmed according to the parking information that the parking failure of the vehicle to be parked is confirmed, a first parking instruction is sent to the vehicle to be parked, instructing the vehicle to be parked to park again until the parking information indicates The vehicle to be parked is parked successfully.
可选地,所述停车信息包括车辆边缘和车位边缘;Optionally, the parking information includes the edge of the vehicle and the edge of the parking space;
所述方法还包括:The method also includes:
在所述车辆边缘位于所述车位边缘之内,且所述车辆边缘与所述车位边缘之间的距离大于或等于第一预设距离的情况下,确定所述待泊车车辆停车成功。If the edge of the vehicle is located within the edge of the parking space, and the distance between the edge of the vehicle and the edge of the parking space is greater than or equal to a first preset distance, it is determined that the vehicle to be parked is successfully parked.
可选地,所述获取车位监控设备发送的车位数据信息之后,所述方法还包括:Optionally, after the acquisition of the parking space data information sent by the parking space monitoring device, the method further includes:
基于所述车位数据信息,在第一车位上未停车辆,且与所述第一车位相邻的第二车位和第三车位上均未停车辆的情况下,确定所述第一车位为所述泊车车位;Based on the parking space data information, if no vehicle is parked in the first parking space, and no vehicle is parked in the second parking space and the third parking space adjacent to the first parking space, it is determined that the first parking space is the first parking space. the parking space;
或,or,
基于所述车位数据信息,在第一车位上未停车辆,与所述第一车位相邻的第二车位和/或第三车位上停有车辆,且所述第二车位和/或所述第三车位上的车辆边缘与所述第一车位的车辆边缘之间的距离大于或等于第二预设距离的情况下,确定所述第一车位为所述泊车车位。Based on the parking space data information, no vehicle is parked in the first parking space, vehicles are parked in the second parking space and/or the third parking space adjacent to the first parking space, and the second parking space and/or the If the distance between the edge of the vehicle on the third parking space and the edge of the vehicle on the first parking space is greater than or equal to a second preset distance, it is determined that the first parking space is the parking space.
可选地,所述方法还包括:Optionally, the method also includes:
根据停车场地图,获得所述泊车车位的车位位置和车位尺寸。According to the parking lot map, the parking space position and the parking space size of the parking space are obtained.
可选地,所述方法还包括:Optionally, the method also includes:
每隔第一预设时长,更新所述泊车车位。The parking spaces are updated every first preset time period.
可选地,获取道路监控设备发送的待泊车车辆数据信息之后,所述方法还包括:Optionally, after obtaining the data information of the vehicle to be parked sent by the road monitoring device, the method further includes:
根据所述待泊车车辆数据信息,确定待泊车车辆的车辆位置、车辆尺寸和车速。According to the data information of the vehicle to be parked, the vehicle position, vehicle size and vehicle speed of the vehicle to be parked are determined.
可选地,所述方法还包括:Optionally, the method also includes:
每隔第二预设时长,更新所述待泊车车辆的车辆位置、车辆尺寸和车速。The vehicle position, vehicle size and vehicle speed of the vehicle to be parked are updated every second preset period of time.
可选地,所述方法还包括:Optionally, the method also includes:
根据停车场地图、所述车辆位置和所述车速,获得停车场内每一路段的车流量和车流速。According to the map of the parking lot, the position of the vehicle and the speed of the vehicle, the traffic volume and speed of each road section in the parking lot are obtained.
可选地,所述方法还包括:Optionally, the method also includes:
每隔第三预设时长,更新停车场内所述每一路段的车流量和车流速。The traffic volume and the traffic speed of each section in the parking lot are updated every third preset time period.
可选地,所述根据所述车位数据信息以及所述待泊车车辆数据信息,在所有待泊车车辆总行驶距离最短的情况下,分配各待泊车车辆的泊车车位,包括:Optionally, according to the data information of the parking spaces and the data information of the vehicles to be parked, allocating the parking spaces of the vehicles to be parked under the condition that the total travel distance of all the vehicles to be parked is the shortest includes:
根据所述泊车车位的车位位置、车位尺寸,所述待泊车车辆的车辆位置、车辆尺寸,确定所述待泊车车辆与所述泊车车位的匹配组合;determining the matching combination of the vehicle to be parked and the parking space according to the position and size of the parking space of the parking space, and the position and size of the vehicle to be parked;
在每一种所述匹配组合下,确定所述待泊车车辆的总行驶距离;Under each of the matching combinations, determine the total travel distance of the vehicle to be parked;
在所述总行驶距离最短时,确定各所述待泊车车辆对应的所述泊车车位。When the total travel distance is the shortest, the parking spaces corresponding to the vehicles to be parked are determined.
可选地,所述根据所述泊车车位的车位位置、车位尺寸,所述待泊车车辆的车辆位置、车辆尺寸,确定所述待泊车车辆与所述泊车车位的匹配组合,包括:Optionally, the determining the matching combination of the vehicle to be parked and the parking space according to the parking space position and size of the parking space, the vehicle position and the vehicle size of the vehicle to be parked includes :
根据所述车位尺寸和所述车辆尺寸,确定所述待泊车车辆与所述泊车车位是否匹配;determining whether the vehicle to be parked matches the parking space according to the size of the parking space and the size of the vehicle;
在所述待泊车车辆与所述泊车车位匹配的情况下,根据所述车位位置和所述车辆位置,确定所述待泊车车辆与所述泊车车位的匹配组合。In the case that the vehicle to be parked matches the parking space, a matching combination of the vehicle to be parked and the parking space is determined according to the position of the parking space and the position of the vehicle.
可选地,所述在每一种所述匹配组合下,确定所述待泊车车辆与泊车车位之间的总行驶距离,包括:Optionally, under each of the matching combinations, determining the total travel distance between the vehicle to be parked and the parking space includes:
根据停车场内每一路段的车流量,确定路段的拥堵系数;According to the traffic flow of each road section in the parking lot, determine the congestion coefficient of the road section;
根据所述路段的拥堵系数、所述每一路段的实际长度、所述每一路段的道路限速和所述每一路段的车流速,对每一路段进行长度惩罚,得到每一路段的惩罚长度;According to the congestion coefficient of the road section, the actual length of each road section, the road speed limit of each road section and the vehicle flow speed of each road section, the length penalty is carried out for each road section to obtain the penalty for each road section length;
根据所述每一路段的惩罚长度,确定每一种所述匹配组合下,所述待泊车车辆的总行驶距离。According to the penalty length of each road section, the total travel distance of the vehicle to be parked is determined under each matching combination.
本发明实施例还提供一种辅助泊车装置,应用于云端设备,所述装置包括:An embodiment of the present invention also provides an auxiliary parking device, which is applied to a cloud device, and the device includes:
第一获取模块,用于获取车位监控设备发送的车位数据信息以及道路监控设备发送的待泊车车辆数据信息;The first acquiring module is used to acquire the parking space data information sent by the parking space monitoring equipment and the data information of the vehicle to be parked sent by the road monitoring equipment;
分配模块,用于根据所述车位数据信息以及所述待泊车车辆数据信息,在所有待泊车车辆总行驶距离最短的情况下,分配各待泊车车辆的泊车车位;An allocation module, configured to allocate a parking space for each vehicle to be parked under the condition that the total travel distance of all vehicles to be parked is the shortest according to the data information of the parking space and the data information of the vehicle to be parked;
第一发送模块,用于将所述待泊车车辆与对应的所述泊车车位之间的行驶路径发送至所述待泊车车辆。A first sending module, configured to send the driving path between the vehicle to be parked and the corresponding parking space to the vehicle to be parked.
可选地,所述装置还包括:Optionally, the device also includes:
接收模块,用于在所述待泊车车辆停入所述泊车车位后,接收所述车位监控设备发送的停车信息;a receiving module, configured to receive the parking information sent by the parking space monitoring device after the vehicle to be parked enters the parking space;
第二发送模块,用于在根据所述停车信息确认所述待泊车车辆停车失败的情况下,向所述待泊车车辆发送第一泊车指令,指示所述待泊车车辆再次泊车,直至所述停车信息指示所述待泊车车辆停车成功。The second sending module is configured to send a first parking instruction to the vehicle to be parked, instructing the vehicle to be parked to park again when it is confirmed that the vehicle to be parked fails to park according to the parking information until the parking information indicates that the vehicle to be parked is parked successfully.
可选地,所述停车信息包括车辆边缘和车位边缘;Optionally, the parking information includes the edge of the vehicle and the edge of the parking space;
所述装置还包括:The device also includes:
第一确定模块,用于在所述车辆边缘位于所述车位边缘之内,且所述车辆边缘与所述车位边缘之间的距离大于或等于第一预设距离的情况下,确定所述待泊车车辆停车成功。A first determination module, configured to determine the waiting position when the edge of the vehicle is located within the edge of the parking space, and the distance between the edge of the vehicle and the edge of the parking space is greater than or equal to a first preset distance The parked vehicle is parked successfully.
可选地,所述装置还包括:Optionally, the device also includes:
第二确定模块,用于基于所述车位数据信息,在第一车位上未停车辆,且与所述第一车位相邻的第二车位和第三车位上均未停车辆的情况下,确定所述第一车位为所述泊车车位;The second determining module is configured to determine, based on the parking space data information, when no vehicle is parked in the first parking space and no vehicle is parked in the second parking space and the third parking space adjacent to the first parking space. The first parking space is the parking space;
或,or,
基于所述车位数据信息,在第一车位上未停车辆,与所述第一车位相邻的第二车位和/或第三车位上停有车辆,且所述第二车位和/或所述第三车位上的车辆边缘与所述第一车位的车辆边缘之间的距离大于或等于第二预设距离的情况下,确定所述第一车位为所述泊车车位。Based on the parking space data information, no vehicle is parked in the first parking space, vehicles are parked in the second parking space and/or the third parking space adjacent to the first parking space, and the second parking space and/or the If the distance between the edge of the vehicle on the third parking space and the edge of the vehicle on the first parking space is greater than or equal to a second preset distance, it is determined that the first parking space is the parking space.
可选地,所述装置还包括:Optionally, the device also includes:
第二获取模块,用于根据停车场地图,获得所述泊车车位的车位位置和车位尺寸。The second obtaining module is used to obtain the parking space position and the parking space size of the parking space according to the parking lot map.
可选地,所述装置还包括:Optionally, the device also includes:
第一更新模块,用于每隔第一预设时长,更新所述泊车车位。The first updating module is configured to update the parking space every first preset time period.
可选地,所述装置还包括:Optionally, the device also includes:
第三确定模块,用于根据所述待泊车车辆数据信息,确定待泊车车辆的车辆位置、车辆尺寸和车速。The third determination module is configured to determine the vehicle position, vehicle size and vehicle speed of the vehicle to be parked according to the data information of the vehicle to be parked.
可选地,所述装置还包括:Optionally, the device also includes:
第二更新模块,用于每隔第二预设时长,更新所述待泊车车辆的车辆位置、车辆尺寸和车速。The second updating module is configured to update the vehicle position, vehicle size and vehicle speed of the vehicle to be parked every second preset time period.
可选地,所述装置还包括:Optionally, the device also includes:
第三获取模块,用于根据停车场地图、所述车辆位置和所述车速,获得停车场内每一路段的车流量和车流速。The third obtaining module is used to obtain the traffic volume and speed of each road section in the parking lot according to the parking lot map, the vehicle position and the vehicle speed.
可选地,所述装置还包括:Optionally, the device also includes:
第三更新模块,用于每隔第三预设时长,更新停车场内所述每一路段的车流量和车流速。The third updating module is used for updating the traffic volume and the traffic speed of each section in the parking lot every third preset time period.
可选地,所述分配模块包括:Optionally, the allocation module includes:
第一确定单元,用于根据所述泊车车位的车位位置、车位尺寸,所述待泊车车辆的车辆位置、车辆尺寸,确定所述待泊车车辆与所述泊车车位的匹配组合;A first determining unit, configured to determine a matching combination of the vehicle to be parked and the parking space according to the position and size of the parking space of the parking space, and the position and size of the vehicle to be parked;
第二确定单元,用于在每一种所述匹配组合下,确定所述待泊车车辆的总行驶距离;A second determination unit, configured to determine the total travel distance of the vehicle to be parked under each of the matching combinations;
第三确定单元,用于在所述总行驶距离最短时,确定各所述待泊车车辆对应的所述泊车车位。A third determining unit, configured to determine the parking spaces corresponding to each of the vehicles to be parked when the total traveling distance is the shortest.
可选地,所述第一确定单元具体用于:Optionally, the first determining unit is specifically configured to:
根据所述车位尺寸和所述车辆尺寸,确定所述待泊车车辆与所述泊车车位是否匹配;determining whether the vehicle to be parked matches the parking space according to the size of the parking space and the size of the vehicle;
在所述待泊车车辆与所述泊车车位匹配的情况下,根据所述车位位置和所述车辆位置,确定所述待泊车车辆与所述泊车车位的匹配组合。In the case that the vehicle to be parked matches the parking space, a matching combination of the vehicle to be parked and the parking space is determined according to the position of the parking space and the position of the vehicle.
可选地,所述第二确定单元具体用于:Optionally, the second determining unit is specifically configured to:
根据停车场内每一路段的车流量,确定路段的拥堵系数;According to the traffic flow of each road section in the parking lot, determine the congestion coefficient of the road section;
根据所述路段的拥堵系数、所述每一路段的实际长度、所述每一路段的道路限速和所述每一路段的车流速,对每一路段进行长度惩罚,得到每一路段的惩罚长度;According to the congestion coefficient of the road section, the actual length of each road section, the road speed limit of each road section and the vehicle flow speed of each road section, the length penalty is carried out for each road section to obtain the penalty for each road section length;
根据所述每一路段的惩罚长度,确定每一种所述匹配组合下,所述待泊车车辆的总行驶距离。According to the penalty length of each road section, the total travel distance of the vehicle to be parked is determined under each matching combination.
本发明实施例还提供一种云端设备,包括:处理器、存储器及存储在所述存储器上并可在所述处理器上运行的程序,所述程序被所述处理器执行时实现如上任一项所述的辅助泊车方法。An embodiment of the present invention also provides a cloud device, including: a processor, a memory, and a program stored on the memory and operable on the processor. When the program is executed by the processor, any of the above The assisted parking method described in this item.
本发明实施例还提供一种可读存储介质,所述可读存储介质上存储有程序,所述程序被处理器执行时实现如上任一项所述的辅助泊车方法。An embodiment of the present invention also provides a readable storage medium, where a program is stored on the readable storage medium, and when the program is executed by a processor, the assisted parking method described in any one of the above items is implemented.
本发明的有益效果是:The beneficial effects of the present invention are:
本发明方案,通过获取车位监控设备发送的车位数据信息以及道路监控设备发送的待泊车车辆数据信息,根据所述车位数据信息以及所述待泊车车辆数据信息,在所有待泊车车辆总行驶距离最短的情况下,分配各待泊车车辆的泊车车位,将所述待泊车车辆与对应的所述泊车车位之间的行驶路径发送至所述待泊车车辆,可以实现对停车场内的多个车辆的协同调度,解决停车场内道路拥堵、泊车车位利用率低的问题,并引导车辆安全高效地进入泊车车位,提高用户的泊车体验。According to the solution of the present invention, by acquiring the parking space data information sent by the parking space monitoring equipment and the data information of the vehicles to be parked sent by the road monitoring equipment, according to the data information of the parking spaces and the data information of the vehicles to be parked, all vehicles to be parked In the case of the shortest driving distance, allocating parking spaces for each vehicle to be parked, and sending the travel path between the vehicle to be parked and the corresponding parking space to the vehicle to be parked, can realize the The coordinated scheduling of multiple vehicles in the parking lot solves the problems of road congestion and low utilization of parking spaces in the parking lot, and guides vehicles to enter the parking spaces safely and efficiently, improving the parking experience of users.
附图说明Description of drawings
图1表示本发明实施例提供的辅助泊车方法的流程图之一;Fig. 1 shows one of the flowcharts of the assisted parking method provided by the embodiment of the present invention;
图2表示本发明实施例提供的泊车车位的协同优化分配流程图;Fig. 2 represents the collaborative optimization allocation flowchart of the parking spaces provided by the embodiment of the present invention;
图3表示本发明实施例提供的辅助泊车方法的流程图之二;Fig. 3 shows the second flowchart of the assisted parking method provided by the embodiment of the present invention;
图4表示本发明实施例提供的辅助泊车装置的结构示意图;FIG. 4 shows a schematic structural view of an auxiliary parking device provided by an embodiment of the present invention;
图5表示本发明实施例提供的云端设备的结构示意图。FIG. 5 shows a schematic structural diagram of a cloud device provided by an embodiment of the present invention.
具体实施方式Detailed ways
为使本发明的目的、技术方案和优点更加清楚,下面将结合附图及具体实施例对本发明进行详细描述。In order to make the object, technical solution and advantages of the present invention clearer, the present invention will be described in detail below with reference to the accompanying drawings and specific embodiments.
本发明针对现有技术中,停车场内的车位利用率低以及停车场内路网的通行效率低的问题,提供一种辅助泊车方法、装置和云端设备。Aiming at the problems of low utilization rate of parking spaces in the parking lot and low traffic efficiency of the road network in the parking lot in the prior art, the present invention provides an auxiliary parking method, device and cloud equipment.
本发明实施例提供一种辅助泊车方法,应用于云端设备,所述方法包括:An embodiment of the present invention provides an assisted parking method, which is applied to a cloud device, and the method includes:
步骤101:获取车位监控设备发送的车位数据信息以及道路监控设备发送的待泊车车辆数据信息。Step 101: Obtain the parking space data information sent by the parking space monitoring device and the data information of the vehicle to be parked sent by the road monitoring device.
需要说明的是,本发明实施例提供的辅助泊车方法,应用于云端设备,云端设备分别与安装在停车场中停车位上的车位监控设备以及安装在停车场内道路上的道路监控设备连接,可选地,车位监控设备为场端感知相机,道路监控设备为道路感知相机。It should be noted that the assisted parking method provided by the embodiment of the present invention is applied to a cloud device, and the cloud device is respectively connected with the parking space monitoring device installed on the parking space in the parking lot and the road monitoring device installed on the road in the parking lot , optionally, the parking space monitoring device is a field end sensing camera, and the road monitoring device is a road sensing camera.
车位监控设备用于拍摄车位上的车位数据信息,包括车位上是否停有车辆,以及在车位上停放的车辆的信息,道路监控设备用于拍摄停车场内道路上的所有车辆的信息。The parking space monitoring equipment is used to capture the parking space data information on the parking space, including whether there are vehicles parked in the parking space, and the information of the vehicles parked in the parking space. The road monitoring equipment is used to capture the information of all vehicles on the road in the parking lot.
需要说明的是,车位监控设备和道路监控设备只用于将拍摄到的原始视频流数据上传至云端设备,有云端设备根据视频流进行识别和计算,而车位监控设备和道路监控设备不带算法和计算能力,因此,车位监控设备和道路监控设备的成本较低。It should be noted that the parking space monitoring equipment and road monitoring equipment are only used to upload the captured raw video stream data to the cloud device, and the cloud equipment can identify and calculate according to the video stream, while the parking space monitoring equipment and road monitoring equipment do not have algorithms and computing power, therefore, the cost of parking space monitoring equipment and road monitoring equipment is low.
步骤102:根据所述车位数据信息以及所述待泊车车辆数据信息,在所有待泊车车辆总行驶距离最短的情况下,分配各待泊车车辆的泊车车位。Step 102: According to the data information of the parking spaces and the data information of the vehicles to be parked, allocate the parking spaces of the vehicles to be parked under the condition that the total travel distance of all the vehicles to be parked is the shortest.
在本发明实施例中,云端设备接收到车位数据信息以及待泊车车辆数据信息后,启动内部算法,基于所有待泊车车辆的总行驶距离最短的优化目标,分配各待泊车车辆的泊车车位,并规划行驶路线,实现以整个停车场的车位利用率的最大化为目标,为进入停车场的所有车辆分配车位,并规划行驶路线,提高车位的利用率,解决停车场内道路拥堵的问题。In the embodiment of the present invention, after the cloud device receives the parking space data information and the data information of the vehicles to be parked, it starts an internal algorithm, and allocates the parking space of each vehicle to be parked based on the optimization goal that the total driving distance of all the vehicles to be parked is the shortest. Car parking spaces, and plan driving routes, to achieve the goal of maximizing the utilization of parking spaces in the entire parking lot, allocate parking spaces for all vehicles entering the parking lot, plan driving routes, improve the utilization rate of parking spaces, and solve road congestion in the parking lot The problem.
步骤103:将所述待泊车车辆与对应的所述泊车车位之间的行驶路径发送至所述待泊车车辆。Step 103: Sending the driving route between the vehicle to be parked and the corresponding parking space to the vehicle to be parked.
在本发明实施例中,云端设备与待泊车车辆连接,云端设备在确定所有待泊车车辆的总行驶距离最短的情况下,将行驶路径和车速信息等发送至待泊车车辆,待泊车车辆根据接收到的行驶路径行驶至泊车车位前方,待泊车车辆采用自动泊车的功能实现泊车。In the embodiment of the present invention, the cloud device is connected to the vehicle to be parked, and the cloud device sends the driving route and vehicle speed information to the vehicle to be parked when it is determined that the total driving distance of all vehicles to be parked is the shortest. The vehicle drives to the front of the parking space according to the received driving path, and the vehicle to be parked adopts the function of automatic parking to realize parking.
需要说明的是,由于规划的行驶路径与车速信息需要服务于车辆的辅助或自动泊车,对时延具有较高的要求,因此本发明实施例采用5G实现毫秒级时延的信息传输,辅助车辆泊车。It should be noted that, since the planned driving route and vehicle speed information need to serve the assistance or automatic parking of the vehicle, there is a high requirement on the time delay. Therefore, the embodiment of the present invention uses 5G to realize the information transmission with millisecond delay, and the auxiliary Vehicle parking.
本发明实施例,通过获取车位监控设备发送的车位数据信息以及道路监控设备发送的待泊车车辆数据信息,根据所述车位数据信息以及所述待泊车车辆数据信息,在所有待泊车车辆总行驶距离最短的情况下,分配各待泊车车辆的泊车车位,将所述待泊车车辆与对应的所述泊车车位之间的行驶路径发送至所述待泊车车辆,可以实现对停车场内的多个车辆的协同调度,解决停车场内道路拥堵、泊车车位利用率低的问题,并引导车辆安全高效地进入泊车车位,提高用户的泊车体验。In the embodiment of the present invention, by acquiring the parking space data information sent by the parking space monitoring equipment and the data information of the vehicles to be parked sent by the road monitoring equipment, according to the data information of the parking spaces and the data information of the vehicles to be parked, all vehicles to be parked When the total driving distance is the shortest, allocating parking spaces for each vehicle to be parked, and sending the travel path between the vehicle to be parked and the corresponding parking space to the vehicle to be parked, can realize The coordinated scheduling of multiple vehicles in the parking lot solves the problems of road congestion and low utilization of parking spaces in the parking lot, and guides vehicles to enter the parking spaces safely and efficiently, improving the parking experience of users.
可选地,所述方法还包括:Optionally, the method also includes:
在所述待泊车车辆停入所述泊车车位后,接收所述车位监控设备发送的停车信息;receiving the parking information sent by the parking space monitoring device after the vehicle to be parked enters the parking space;
在根据所述停车信息确认所述待泊车车辆停车失败的情况下,向所述待泊车车辆发送第一泊车指令,指示所述待泊车车辆再次泊车,直至所述停车信息指示所述待泊车车辆停车成功。When it is confirmed according to the parking information that the parking failure of the vehicle to be parked is confirmed, a first parking instruction is sent to the vehicle to be parked, instructing the vehicle to be parked to park again until the parking information indicates The vehicle to be parked is parked successfully.
在本发明实施例中,在待泊车车辆泊车入位后,云端设备通过车位监控设备的拍摄的停车信息,确定待泊车车辆是否准确泊车,若认为泊车失败,则向待泊车车辆发送指示重新泊车的第一泊车指令,车辆根据第一泊车指令再次泊车,直至泊车复合要求。In the embodiment of the present invention, after the vehicle to be parked is parked, the cloud device determines whether the vehicle to be parked is accurately parked through the parking information captured by the parking space monitoring device. The vehicle sends a first parking instruction indicating re-parking, and the vehicle parks again according to the first parking instruction until the compound parking requirement is reached.
可选地,所述停车信息包括车辆边缘和车位边缘;Optionally, the parking information includes the edge of the vehicle and the edge of the parking space;
所述方法还包括:The method also includes:
在所述车辆边缘位于所述车位边缘之内,且所述车辆边缘与所述车位边缘之间的距离大于或等于第一预设距离的情况下,确定所述待泊车车辆停车成功。If the edge of the vehicle is located within the edge of the parking space, and the distance between the edge of the vehicle and the edge of the parking space is greater than or equal to a first preset distance, it is determined that the vehicle to be parked is successfully parked.
对应的,在所述车辆边缘超出所述车位边缘的情况下,或在所述车辆边缘位于所述车位边缘之内,且所述车辆边缘与所述车位边缘之间的距离小于第一预设距离的情况下,确定所述待泊车车辆停车失败。Correspondingly, when the edge of the vehicle exceeds the edge of the parking space, or when the edge of the vehicle is located within the edge of the parking space, and the distance between the edge of the vehicle and the edge of the parking space is smaller than the first preset In the case of the distance, it is determined that the vehicle to be parked fails to park.
在本发明实施例中,云端设备基于车位监控设备拍摄的停车信息来识别车辆是否准准确泊车。车辆泊车入位后,通过车位监控设备的感知结果,计算车辆边缘与车位边缘的相对位置与距离。对于车辆存在超出车位边缘线,或者车辆在车位的边缘线内,但车辆的边缘线与车位的边缘线之间的最短距离小于第一预设距离的情况下,均认为车辆的泊车状态为失败,云端设备需要下发第一泊车指令给自动驾驶车辆或有人驾驶车辆,要求重新泊车,直至符合泊车成功状态的要求,也就是,车辆位于车位的边缘线内,且车辆的边缘线与车位的边缘线之间的距离大于或等于第一预设距离。In the embodiment of the present invention, the cloud device identifies whether the vehicle is parked correctly or not based on the parking information captured by the parking space monitoring device. After the vehicle is parked, the relative position and distance between the edge of the vehicle and the edge of the parking space is calculated based on the perception results of the parking space monitoring equipment. When the vehicle exceeds the edge line of the parking space, or the vehicle is within the edge line of the parking space, but the shortest distance between the edge line of the vehicle and the edge line of the parking space is less than the first preset distance, the parking state of the vehicle is considered to be If it fails, the cloud device needs to issue the first parking command to the self-driving vehicle or manned vehicle, requiring re-parking until it meets the requirements of the parking success state, that is, the vehicle is located within the edge line of the parking space, and the edge of the vehicle The distance between the line and the edge line of the parking space is greater than or equal to the first preset distance.
可选地,所述获取车位监控设备发送的车位数据信息之后,所述方法还包括:Optionally, after the acquisition of the parking space data information sent by the parking space monitoring device, the method further includes:
基于所述车位数据信息,在第一车位上未停车辆,且与所述第一车位相邻的第二车位和第三车位上均未停车辆的情况下,确定所述第一车位为所述泊车车位;Based on the parking space data information, if no vehicle is parked in the first parking space, and no vehicle is parked in the second parking space and the third parking space adjacent to the first parking space, it is determined that the first parking space is the first parking space. the parking space;
或,or,
基于所述车位数据信息,在第一车位上未停车辆,与所述第一车位相邻的第二车位和/或第三车位上停有车辆,且所述第二车位和/或所述第三车位上的车辆边缘与所述第一车位的车辆边缘之间的距离大于或等于第二预设距离的情况下,确定所述第一车位为所述泊车车位。Based on the parking space data information, no vehicle is parked in the first parking space, vehicles are parked in the second parking space and/or the third parking space adjacent to the first parking space, and the second parking space and/or the If the distance between the edge of the vehicle on the third parking space and the edge of the vehicle on the first parking space is greater than or equal to a second preset distance, it is determined that the first parking space is the parking space.
在本发明实施例中,车位监控设备将拍摄到的原始视频数据上传到云端设备之后,云端设备运行部署的算法,检测车位上是否停有车辆。若第一车位(A车位)的车位线内不存在车辆且与第一车位(A车位)相邻的第二车位(B车位)和第三车位(C车位)上不存在车辆;或者第一车位(A车位)的车位线内不存在车辆且与第一车位(A车位)相邻的第二车位(B车位)和第三车位(C车位)上存在车辆,但是存在的车辆距离A车位的车位线的最小距离大于或者等于第二预设距离,则A车位被判定为泊车车位,并上传泊车车位的身份标识号(Identity document,ID)。In the embodiment of the present invention, after the parking space monitoring device uploads the captured original video data to the cloud device, the cloud device runs the deployed algorithm to detect whether there is a vehicle parked in the parking space. If there is no vehicle in the parking space line of the first parking space (A parking space) and there is no vehicle on the second parking space (B parking space) and the third parking space (C parking space) adjacent to the first parking space (A parking space); or There is no vehicle in the parking space line of the parking space (A parking space), and there are vehicles in the second parking space (B parking space) and the third parking space (C parking space) adjacent to the first parking space (A parking space), but the existing vehicles are far from the A parking space If the minimum distance of the parking space line is greater than or equal to the second preset distance, the parking space A is determined to be a parking space, and the identity document (ID) of the parking space is uploaded.
可选地,所述方法还包括:Optionally, the method also includes:
根据停车场地图,获得所述泊车车位的车位位置和车位尺寸。According to the parking lot map, the parking space position and the parking space size of the parking space are obtained.
在本发明实施例中,根据车位监控设备获得的泊车车位ID,结合停车场的高精度地图,通过查找泊车车位ID,可以获得泊车车位的车位位置和车位的长宽尺寸信息。In the embodiment of the present invention, according to the parking space ID obtained by the parking space monitoring device, combined with the high-precision map of the parking lot, by searching the parking space ID, the parking space position and the length and width of the parking space can be obtained.
可选地,所述方法还包括:Optionally, the method also includes:
每隔第一预设时长,更新所述泊车车位。The parking spaces are updated every first preset time period.
在本发明实施例中,获得的泊车车位,包括泊车车位ID、车位位置和车位尺寸按照一定的频率更新,建立泊车车位的车位动态数据库,为进入停车场的车辆提供车位分配依据。In the embodiment of the present invention, the obtained parking spaces, including the parking space ID, the position of the parking spaces and the size of the parking spaces, are updated according to a certain frequency, and a dynamic parking space database of the parking spaces is established to provide a parking space allocation basis for vehicles entering the parking lot.
可选地,获取道路监控设备发送的待泊车车辆数据信息之后,所述方法还包括:Optionally, after obtaining the data information of the vehicle to be parked sent by the road monitoring device, the method further includes:
根据所述待泊车车辆数据信息,确定待泊车车辆的车辆位置、车辆尺寸和车速。According to the data information of the vehicle to be parked, the vehicle position, vehicle size and vehicle speed of the vehicle to be parked are determined.
在本发明实施例中,通过停车场内道路上布置的道路监控设备对进入停车场的车辆进行实时监控,并进行定位和跟踪。所用到的定位和跟踪技术是基于道路监控设备的感知信息,采用感知算法对车辆进行识别、确定其位置、车速和尺寸等信息,并对车辆进行跟踪。In the embodiment of the present invention, the vehicles entering the parking lot are monitored in real time through the road monitoring equipment arranged on the road in the parking lot, and the positioning and tracking are performed. The positioning and tracking technology used is based on the perception information of road monitoring equipment, and the perception algorithm is used to identify the vehicle, determine its position, speed and size, and track the vehicle.
在停车场内道路上的待泊车车辆的识别时,道路监控设备将原始视频流数据上传至云端设备,由云端设备的感知算法对待泊车车辆进行识别。When identifying a vehicle to be parked on the road in the parking lot, the road monitoring device uploads the original video stream data to the cloud device, and the perception algorithm of the cloud device recognizes the vehicle to be parked.
对在停车场内的待泊车车辆进行定位和状态检测的过程为:道路监控设备(道路感知相机)具有确定的在大地坐标系下的位置,根据道路监控设备获得车辆图像的深度信息可获取待泊车车辆在相机坐标系下的定位,再通过相机坐标系与大地坐标系的转换,获得待泊车车辆在大地坐标系下的绝对定位。在获得待泊车车辆定位数据的基础上,可进一步基于采样时刻计算得到待泊车车辆的车速。而待泊车车辆的尺寸参数(长宽)等可通过提取待泊车车辆的特征点位置计算得到。The process of locating and detecting the state of the vehicle to be parked in the parking lot is: the road monitoring device (road perception camera) has a definite position in the earth coordinate system, and the depth information of the vehicle image obtained by the road monitoring device can be obtained The positioning of the vehicle to be parked in the camera coordinate system, and then through the conversion between the camera coordinate system and the earth coordinate system, the absolute positioning of the vehicle to be parked in the earth coordinate system is obtained. On the basis of obtaining the positioning data of the vehicle to be parked, the speed of the vehicle to be parked can be further calculated based on the sampling time. The size parameters (length and width) of the vehicle to be parked can be calculated by extracting the position of the feature points of the vehicle to be parked.
停车场内的车辆连续跟踪技术需要解决不同相机识别车辆ID不统一的问题。在本发明实施例中,车辆的标识ID不依赖于单个相机识别得到的ID,而是根据各个相机获取的车辆图像数据提取车辆特征,通过匹配各个相机获取的车辆特征参数,确定车辆在停车场内统一的ID,实现车辆的跟踪。The vehicle continuous tracking technology in the parking lot needs to solve the problem of inconsistent vehicle IDs identified by different cameras. In the embodiment of the present invention, the identification ID of the vehicle does not depend on the ID identified by a single camera, but extracts vehicle features from the vehicle image data acquired by each camera, and determines whether the vehicle is in the parking lot by matching the vehicle feature parameters acquired by each camera. The unified ID in the vehicle can realize the tracking of the vehicle.
可选地,所述方法还包括:Optionally, the method also includes:
每隔第二预设时长,更新所述待泊车车辆的车辆位置、车辆尺寸和车速。The vehicle position, vehicle size and vehicle speed of the vehicle to be parked are updated every second preset period of time.
在本发明实施例中,通过对停车场内车辆监控、定位及跟踪,获得进入停车场内待泊车车辆的车辆信息,包括车辆位置、车辆尺寸和车速等信息,记录待泊车车辆的位置,将待泊车车辆的数据存入车辆动态数据库,按照一定频率进行更新。In the embodiment of the present invention, by monitoring, locating and tracking the vehicles in the parking lot, the vehicle information of the vehicle to be parked in the parking lot is obtained, including information such as the vehicle position, vehicle size and speed, and the position of the vehicle to be parked is recorded , store the data of the vehicle to be parked in the vehicle dynamic database, and update it according to a certain frequency.
可选地,所述方法还包括:Optionally, the method also includes:
根据停车场地图、所述车辆位置和所述车速,获得停车场内每一路段的车流量和车流速。According to the map of the parking lot, the position of the vehicle and the speed of the vehicle, the traffic volume and speed of each road section in the parking lot are obtained.
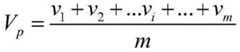
在本发明实施例中,通过对停车场内车辆监控、定位及跟踪,结合停车场道路高精地图,统计停车场路网各个路段的车流量(单位距离内的车辆数量)及车流速。具体方法为:对停车场的高精度地图的地图结构进行分段描述,通过如下公式描述各段道路的车流量和车流速。In the embodiment of the present invention, through the monitoring, positioning and tracking of vehicles in the parking lot, combined with the high-precision road map of the parking lot, the traffic flow (the number of vehicles within a unit distance) and the vehicle flow speed of each section of the parking lot road network are counted. The specific method is: describe the map structure of the high-precision map of the parking lot in segments, and describe the traffic flow and speed of each road segment by the following formula.
其中,p为停车场内路段的编号;Np为第p段道路的车流量;m为第p段道路的车辆总数;Lp为第p段道路的长度;Vp为第p段道路的车流速;vi为第p段道路上第i辆车的车速。Among them, p is the number of the road section in the parking lot; Np is the traffic flow of the p-th road; m is the total number of vehicles on the p-th road;Lp is the length of the p-th road; Vehicle flow speed; vi is the speed of the i-th vehicle on the p-th road.
可选地,所述方法还包括:Optionally, the method also includes:
每隔第三预设时长,更新停车场内所述每一路段的车流量和车流速。The traffic volume and the traffic speed of each section in the parking lot are updated every third preset time period.
在本发明实施例中,停车场内各个路段的车流量和车流速按照一定频率进行更新,停车场路网车流量、流速实时监控统计为车辆的车位分配与行驶路径和车速规划提供依据。In the embodiment of the present invention, the traffic flow and speed of each road section in the parking lot are updated according to a certain frequency, and the real-time monitoring and statistics of the traffic flow and flow speed of the road network in the parking lot provide the basis for the allocation of parking spaces, driving paths and speed planning of vehicles.
可选地,所述根据所述车位数据信息以及所述待泊车车辆数据信息,在所有待泊车车辆总行驶距离最短的情况下,分配各待泊车车辆的泊车车位,包括:Optionally, according to the data information of the parking spaces and the data information of the vehicles to be parked, allocating the parking spaces of the vehicles to be parked under the condition that the total travel distance of all the vehicles to be parked is the shortest includes:
根据所述泊车车位的车位位置、车位尺寸,所述待泊车车辆的车辆位置、车辆尺寸,确定所述待泊车车辆与所述泊车车位的匹配组合;determining the matching combination of the vehicle to be parked and the parking space according to the position and size of the parking space of the parking space, and the position and size of the vehicle to be parked;
在每一种所述匹配组合下,确定所述待泊车车辆的总行驶距离;Under each of the matching combinations, determine the total travel distance of the vehicle to be parked;
在所述总行驶距离最短时,确定各所述待泊车车辆对应的所述泊车车位。When the total travel distance is the shortest, the parking spaces corresponding to the vehicles to be parked are determined.
在本发明实施例中,根据车位动态数据库、停车场的车辆动态数据库,以及停车场内路网的车流量、车流速的实时监控统计,基于所有待泊车车辆总行驶距离最短的优化目标,分配各待泊车车辆的泊车车位。In the embodiment of the present invention, according to the parking space dynamic database, the vehicle dynamic database of the parking lot, and the real-time monitoring and statistics of the traffic flow and vehicle flow speed of the road network in the parking lot, based on the optimization target of the shortest total driving distance of all vehicles to be parked, Allocate parking spaces for each vehicle to be parked.
本发明实施例提供的泊车车位的协同优化分配流程如图2所示,其中的车位分配优化模型指的是根据车位动态数据库以及车辆动态数据库,建立的待泊车车辆与泊车车位的映射关系。根据待泊车车辆和泊车车位尺寸的匹配,通过穷举法,确定待泊车车辆与泊车车位共有X个匹配组合。The collaborative optimization allocation process of the parking spaces provided by the embodiment of the present invention is shown in Figure 2, wherein the parking space allocation optimization model refers to the mapping between the vehicle to be parked and the parking space established according to the parking space dynamic database and the vehicle dynamic database relation. According to the matching of the size of the vehicle to be parked and the parking space, through the exhaustive method, it is determined that there are X matching combinations of the vehicle to be parked and the parking space.
对于任何一种匹配组合,确定每个待泊车车辆从当前位置到泊车车位的总行驶距离,在总行驶距离最短的待泊车车辆与泊车车位的分配关系,从而实现为各待泊车车辆分配泊车车位。For any matching combination, determine the total travel distance of each vehicle to be parked from the current position to the parking space, and the allocation relationship between the vehicle to be parked and the parking space with the shortest total travel distance, so as to realize the Allotted parking spaces for vehicles.
可选地,所述根据所述泊车车位的车位位置、车位尺寸,所述待泊车车辆的车辆位置、车辆尺寸,确定所述待泊车车辆与所述泊车车位的匹配组合,包括:Optionally, the determining the matching combination of the vehicle to be parked and the parking space according to the parking space position and size of the parking space, the vehicle position and the vehicle size of the vehicle to be parked includes :
根据所述车位尺寸和所述车辆尺寸,确定所述待泊车车辆与所述泊车车位是否匹配;determining whether the vehicle to be parked matches the parking space according to the size of the parking space and the size of the vehicle;
在所述待泊车车辆与所述泊车车位匹配的情况下,根据所述车位位置和所述车辆位置,确定所述待泊车车辆与所述泊车车位的匹配组合。In the case that the vehicle to be parked matches the parking space, a matching combination of the vehicle to be parked and the parking space is determined according to the position of the parking space and the position of the vehicle.
在本发明实施例中,请继续参阅图2,通过泊车车位的车位尺寸和待泊车车辆的车辆尺寸的匹配,即车位的长宽均需要大于车辆的长宽一定阈值,才能确保待泊车车辆可以成功进入泊车车位。进一步地,通过穷举法,可获得待泊车车辆与泊车车位共有X个匹配组合。In the embodiment of the present invention, please continue to refer to Fig. 2, through the matching of the parking space size of the parking space and the vehicle size of the vehicle to be parked, that is, the length and width of the parking space need to be greater than a certain threshold value of the length and width of the vehicle, in order to ensure the parking space The vehicle can successfully enter the parking space. Further, through the exhaustive method, a total of X matching combinations of the vehicle to be parked and the parking space can be obtained.
可选地,所述在每一种所述匹配组合下,确定所述待泊车车辆与泊车车位之间的总行驶距离,包括:Optionally, under each of the matching combinations, determining the total travel distance between the vehicle to be parked and the parking space includes:
根据停车场内每一路段的车流量,确定路段的拥堵系数;According to the traffic flow of each road section in the parking lot, determine the congestion coefficient of the road section;
根据所述路段的拥堵系数、所述每一路段的实际长度、所述每一路段的道路限速和所述每一路段的车流速,对每一路段进行长度惩罚,得到每一路段的惩罚长度;According to the congestion coefficient of the road section, the actual length of each road section, the road speed limit of each road section and the vehicle flow speed of each road section, the length penalty is carried out for each road section to obtain the penalty for each road section length;
根据所述每一路段的惩罚长度,确定每一种所述匹配组合下,所述待泊车车辆的总行驶距离。According to the penalty length of each road section, the total travel distance of the vehicle to be parked is determined under each matching combination.
在本发明实施例中,请继续参阅图2,按照各路段的车流量和车流速,对该路段的距离进行惩罚(车流量大、拥堵的路段对应的车辆行驶距离惩罚增长),具体惩罚方法为根据车流量Np划分拥堵等级,每个拥堵等级对应不同的拥堵系数α1、α2、α3、α4,分别取值1、1.1、1.2、1.3。再根据车流速Vp确定车流速系数,如下式所示。In the embodiment of the present invention, please continue to refer to Fig. 2, according to the traffic volume and the traffic speed of each road section, the distance of the road section is punished (the vehicle driving distance penalty increases corresponding to the road section with large traffic volume and congestion), and the specific punishment method In order to divide the congestion levels according to the traffic flow Np , each congestion level corresponds to different congestion coefficients α1 , α2 , α3 , and α4 , which are 1, 1.1, 1.2, and 1.3 respectively. Then determine the vehicle flow speed coefficient according to the vehicle flow speed Vp , as shown in the following formula.
其中,βp为第p段道路的车流速系数;vlim,p为第p段道路的道路限速;Dp为惩罚后的第p段道路的长度;Dact,p为第p段道路的实际长度。Among them, βp is the traffic flow coefficient of the p-th road; vlim,p is the road speed limit of the p-th road; Dp is the length of the p-th road after penalty; Dact,p is the p-th road actual length.
对应的,各路段按照车流量和流速惩罚后的长度如下式所示。Correspondingly, the length of each road segment after being punished according to the traffic volume and flow speed is shown in the following formula.
Dp=Dact,p×α1,2,3,4×βpDp =Dact,p ×α1,2,3,4 ×βp
其中,βp为第p段道路的车流速系数,Dp为惩罚后的第p段道路的长度;Dact,p为第p段道路的实际长度,α1、α2、α3、α4为拥堵系数。Among them, βp is the traffic flow coefficient of the p-th road, Dp is the length of the p-th road after punishment; Dact,p is the actual length of the p-th road, α1 , α2 , α3 , α4 is the congestion factor.
由此可以实现道路越拥堵,对应惩罚行驶距离越长的目的。In this way, the more congested the road is, the longer the corresponding penalty driving distance can be achieved.
之后,对于上述的X个匹配组合中的任何一种组合,对于每辆待泊车车辆从当前位置到泊车车位的总行驶距离为待泊车车辆从当前位置到泊车车位的所有行驶路线中惩罚距离最短的路径,如下式所示。Afterwards, for any one of the above X matching combinations, the total travel distance of each vehicle to be parked from the current position to the parking space is all the travel routes of the vehicle to be parked from the current position to the parking space The path with the shortest distance is penalized, as shown in the following formula.
di=min∑Dpdi = min∑Dp
其中,di为待泊车车辆从当前位置到泊车车位的所有行驶路线中惩罚距离最短的路径,Dp为惩罚后的第p段道路的长度。Among them, di is the path with the shortest penalty distance among all the driving routes of the vehicle to be parked from the current position to the parking space, and Dp is the length of the pth section road after penalty.
最短距离的计算方案采用经典的A*算法,对应地,所有待泊车车辆的总行驶距离如下式所示。The calculation scheme of the shortest distance adopts the classic A* algorithm. Correspondingly, the total driving distance of all vehicles to be parked is shown in the following formula.
其中,dall为所有待泊车车辆的总行驶距离,di为待泊车车辆从当前位置到泊车车位的所有行驶路线中惩罚距离最短的路径。Among them, dall is the total driving distance of all the vehicles to be parked, and di is the path with the shortest penalty distance among all the driving routes of the vehicle to be parked from the current position to the parking space.
通过上式可计算任何一种待泊车车辆与泊车车位组合下的总行驶距离,采用遗传算法可从X种待泊车车辆与泊车车位匹配组合中寻优得到总行驶距离最短的待泊车车辆与泊车车位的分配关系,从而为所有待泊车车辆确定分配泊车车位。The total driving distance of any combination of vehicles to be parked and parking spaces can be calculated through the above formula, and the waiting distance with the shortest total driving distance can be obtained from X kinds of matching combinations of vehicles to be parked and parking spaces by using the genetic algorithm. The allocation relationship between parked vehicles and parking spaces, so as to determine the allocation of parking spaces for all vehicles waiting to be parked.
本发明实施例,根据泊车车位的协同优化分配方法,获得待泊车车辆与泊车车位的分配关系,根据路段惩罚距离,可采用A*算法计算得到待泊车车辆从当前位置到泊车车位的最短距离,对应的,可确定待泊车车辆与分配到的泊车车位的行驶路径。而待泊车车辆在各个路段上的车速按照该路段的车流速进行规划。According to the embodiment of the present invention, according to the collaborative optimization allocation method of parking spaces, the allocation relationship between the vehicle to be parked and the parking space is obtained, and according to the penalty distance of the road section, the A* algorithm can be used to calculate the distance from the current position to the parking space of the vehicle to be parked. The shortest distance of the parking space, correspondingly, can determine the driving path of the vehicle to be parked and the allocated parking space. And the speed of the vehicle to be parked on each road section is planned according to the traffic flow speed of the road section.
之后,将每辆待泊车车辆分配的泊车车位及规划的行驶路径、车速信息从云端设备传输至车辆终端。由于规划的路径与车速信息需要服务于待泊车车辆的辅助或自动泊车,对时延具有较高的要求,故本发明实施例采用5G实现毫秒级时延的信息传输,辅助车辆泊车。本发明实施例提出的停车场内辅助泊车方法基于云化部署,可通过与导航应用软件对接,实现导航应用在公共道路外向停车场的扩展,可向驾驶员推送停车场内的导航信息,提示驾驶员目标车位位置和行驶至目标车位的路径和车速。因此本发明实施例可包装成停车场内的室内导航应用软件,提供给驾驶员辅助其驾驶。Afterwards, the allocated parking space, planned driving route, and vehicle speed information of each vehicle to be parked are transmitted from the cloud device to the vehicle terminal. Since the planned route and vehicle speed information need to serve the auxiliary or automatic parking of the vehicle to be parked, there is a high requirement on the delay, so the embodiment of the present invention uses 5G to realize the information transmission with a millisecond delay to assist the vehicle to park . The assisted parking method in the parking lot proposed by the embodiment of the present invention is based on cloud-based deployment. By connecting with the navigation application software, the expansion of the navigation application to the parking lot outside the public road can be realized, and the navigation information in the parking lot can be pushed to the driver. Prompt the driver the location of the target parking space and the route and speed to the target parking space. Therefore, the embodiment of the present invention can be packaged as indoor navigation application software in the parking lot, and provided to the driver to assist his driving.
之后,车辆按照规划的行驶路径行驶至泊车车位的前方,采用自动泊车或手动泊车入位的功能实现泊车。Afterwards, the vehicle drives to the front of the parking space according to the planned driving path, and uses the function of automatic parking or manual parking to realize parking.
下面结合图3,具体说明本发明实施例提供的辅助泊车方法。The assisted parking method provided by the embodiment of the present invention will be described in detail below with reference to FIG. 3 .
车位的监控相机将原始的相机视频流数据上传至云端设备,在云端部署运行感知算法,检测车位是否为泊车车位,并上传泊车车位ID,通过车位的监控相机得到的泊车车位ID,结合停车场内的高精地图,通过查找泊车车位的ID,可获取泊车车位的位置和长宽尺寸信息,对泊车车位按照一定频率实时更新,建立车位动态数据库,为进入停车场的车辆提供车位分配的依据。通过停车场内路端布置的监控相机对进入停车场内的车辆进行实时监控、并进行定位和跟踪。获得进入停车场内待泊车的车辆信息,包括待泊车车辆ID、车辆位置、车速,记录车辆的位置,将待泊车车辆的数据存入车辆动态数据库,按照一定频率进行更新。通过停车场内车辆监控、定位及跟踪,结合停车场道路高精地图,统计路网各个路段的车流量及车流速。基于所有待泊车车辆的泊车总行驶距离最短的目标协同优化分配泊车车位,规划待泊车车辆的行驶路径与车速,将泊车路径和车速信息传输至车辆终端,车辆泊车入位,基于车位监控设备感知的车辆泊车状态检测。The monitoring camera of the parking space uploads the original camera video stream data to the cloud device, deploys the running perception algorithm in the cloud, detects whether the parking space is a parking space, and uploads the parking space ID. The parking space ID obtained by the monitoring camera of the parking space, Combined with the high-precision map in the parking lot, by searching the ID of the parking space, the location and length and width of the parking space can be obtained, and the parking space is updated in real time at a certain frequency to establish a dynamic database of parking spaces. The vehicle provides the basis for the allocation of parking spaces. Real-time monitoring, positioning and tracking of vehicles entering the parking lot through surveillance cameras arranged at the roadside in the parking lot. Obtain the information of the vehicle to be parked in the parking lot, including the ID of the vehicle to be parked, the position of the vehicle, and the speed of the vehicle, record the position of the vehicle, store the data of the vehicle to be parked in the vehicle dynamic database, and update it according to a certain frequency. Through the monitoring, positioning and tracking of vehicles in the parking lot, combined with the high-precision road map of the parking lot, the traffic flow and speed of each section of the road network are counted. Based on the goal of the shortest total parking distance of all vehicles to be parked, collaboratively optimize the allocation of parking spaces, plan the driving path and speed of the vehicles to be parked, transmit the parking path and speed information to the vehicle terminal, and park the vehicle in place , Vehicle parking status detection based on parking space monitoring equipment perception.
本发明实施例提供的方法,包括:基于场端感知相机的车位监控、泊车车位动态数据库管理、停车场内待泊车车辆监控、定位及跟踪、待泊车车辆动态数据库管理、停车场路网车流量实时监控统计、协同优化分配车位、车辆行驶路径与车速规划、信息传输、车辆泊车入位。停车场内的安装有停车位的车位监控设备,根据车位监控设备的感知数据对车位是否空闲进行监控,进而建立泊车车位的动态数据库。此外,停车场内安装有道路感知相机,可识别停车场内道路上的所有车辆,并对车辆进行全程的监控、定位和跟踪,对待泊车车辆建立动态数据库,记录各辆车的实时位置、车速和尺寸等。同时,基于道路感知设备的感知信息可分析得到停车场内道路的实时车流量和流速。根据泊车车位数据、待泊车车辆数据、以及路网车流量流速信息,对进入停车场内的所有待泊车车辆协同优化分配停车位,并规划每辆车的泊车行驶路径和车速,通过5G或其它通信方式将目标车位、规划路径和车速信息传输给车端,引导车辆行驶至目标车位。最后车辆泊车入位,并检查车辆是否成功泊车状态,完成整个泊车流程。通过多车协同优化,实现整个停车场的车位利用率的最大化,缓解道路拥堵,提升用户泊车体验。The method provided by the embodiment of the present invention includes: parking space monitoring based on the field-side sensing camera, dynamic database management of parking spaces, monitoring, positioning and tracking of vehicles to be parked in the parking lot, dynamic database management of vehicles to be parked, parking lot road Real-time monitoring and statistics of network vehicle traffic, collaborative optimization of parking space allocation, vehicle driving path and speed planning, information transmission, and vehicle parking in place. The parking space monitoring equipment installed in the parking lot monitors whether the parking space is free according to the perception data of the parking space monitoring equipment, and then establishes a dynamic database of parking spaces. In addition, road perception cameras are installed in the parking lot, which can identify all vehicles on the road in the parking lot, monitor, locate and track the vehicles throughout the process, establish a dynamic database for the vehicles to be parked, and record the real-time position and location of each vehicle. speed and size etc. At the same time, based on the perception information of the road sensing device, the real-time traffic flow and flow speed of the road in the parking lot can be analyzed. According to the data of parking spaces, the data of vehicles to be parked, and the information of the traffic flow rate of the road network, the parking spaces are collaboratively and optimally allocated to all the vehicles to be parked in the parking lot, and the parking path and speed of each vehicle are planned. The target parking space, planned route and vehicle speed information are transmitted to the vehicle end through 5G or other communication methods, and the vehicle is guided to the target parking space. Finally, the vehicle is parked and checked whether the vehicle is successfully parked, and the entire parking process is completed. Through multi-vehicle collaborative optimization, the utilization rate of parking spaces in the entire parking lot can be maximized, road congestion can be alleviated, and the parking experience of users can be improved.
本发明实施例在为所有待泊车辆计算停车最佳路径时,同时计算空闲车位的可用尺寸,并在停车后对车辆泊车状态进行检查和要求重新规范停车。通过对停车场内的多车辆进行协同规划调度,解决了停车场内道路交通拥堵,停车场车位利用率不高、以及停车场内部分车辆在停车位内停车不规范的核心痛点问题。通过本发明实施例可缓解停车场内路网拥堵,并可智能引导车辆安全、高效地行驶至目标停车位,可为车主带来更佳的泊车体验,由此为停车场业主吸引更多的客流,创造更大的潜在商业价值。In the embodiment of the present invention, when calculating the optimal parking route for all vehicles to be parked, the available size of the free parking space is calculated at the same time, and the parking state of the vehicle is checked after parking, and parking is required to be re-regulated. Through collaborative planning and scheduling of multiple vehicles in the parking lot, the core pain points of road traffic congestion in the parking lot, low utilization rate of parking spaces in the parking lot, and irregular parking of some vehicles in the parking lot are solved. Through the embodiments of the present invention, the road network congestion in the parking lot can be alleviated, and the vehicle can be intelligently guided to the target parking space safely and efficiently, which can bring a better parking experience to the car owner, thereby attracting more parking lot owners. Passenger flow, creating greater potential business value.
本发明实施例提出了总行驶距离最短的目标,为进入停车场的所有车辆提供车位分配和行驶路径规划的协同优化方法。基于建立的动态泊车车位数据库、待泊车车辆数据库、停车场高精地图,计算各个车辆至各个停车位的行驶距离,基于路端相机感知获取的路网车流量和车流速对各路段行驶距离进行惩罚,采用优化算法寻优得到总行驶距离最短的车辆与车位匹配关系,为进入停车场内的所有待泊车车辆分配车位,规划相应的行驶路径和车速。同时,本发明实施例还提供了车辆泊车状态检测方法,防止车辆由于不规范停车影响相邻车位的利用情况。由此,本发明实施例提供了进入停车场内的所有车辆的车位分配与路径、车速规划的协同优化方法,全面提升停车场的车位利用率,并缓解停车场路网交通拥堵情况,提升用户的泊车体验。The embodiment of the present invention proposes the goal of the shortest total driving distance, and provides a collaborative optimization method of parking space allocation and driving path planning for all vehicles entering the parking lot. Based on the established database of dynamic parking spaces, databases of vehicles to be parked, and high-precision maps of the parking lot, the driving distance from each vehicle to each parking space is calculated, and the traffic flow and speed of the road network based on the perception of roadside cameras are used to drive on each road section. The distance is punished, and the optimization algorithm is used to find the matching relationship between the vehicle and the parking space with the shortest total driving distance, and the parking space is allocated to all the vehicles waiting to be parked in the parking lot, and the corresponding driving path and vehicle speed are planned. At the same time, the embodiment of the present invention also provides a vehicle parking state detection method to prevent vehicles from affecting the utilization of adjacent parking spaces due to irregular parking. Therefore, the embodiment of the present invention provides a collaborative optimization method for all vehicles entering the parking lot for the allocation of parking spaces, routes, and vehicle speed planning, which can comprehensively improve the utilization rate of parking spaces in the parking lot, alleviate traffic congestion in the parking lot network, and improve the user experience. parking experience.
本发明提实施例出的辅助泊车方法基于云端进行部署,可通过与导航应用软件对接,通过5G传输至车辆,实现停车场室内导航应用,具有很强的实用性和商业价值。The assisted parking method proposed by the present invention is deployed based on the cloud, and can be connected to navigation application software and transmitted to the vehicle through 5G to realize the indoor navigation application of the parking lot, which has strong practicality and commercial value.
如图4所示,本发明实施例还提供一种辅助泊车装置,应用于云端设备,所述装置包括:As shown in Figure 4, the embodiment of the present invention also provides an auxiliary parking device, which is applied to cloud equipment, and the device includes:
第一获取模块401,用于获取车位监控设备发送的车位数据信息以及道路监控设备发送的待泊车车辆数据信息;The first acquiring
分配模块402,用于根据所述车位数据信息以及所述待泊车车辆数据信息,在所有待泊车车辆总行驶距离最短的情况下,分配各待泊车车辆的泊车车位;An
第一发送模块403,用于将所述待泊车车辆与对应的所述泊车车位之间的行驶路径发送至所述待泊车车辆。The
本发明实施例提供的辅助泊车装置,通过获取车位监控设备发送的车位数据信息以及道路监控设备发送的待泊车车辆数据信息,根据所述车位数据信息以及所述待泊车车辆数据信息,在所有待泊车车辆总行驶距离最短的情况下,分配各待泊车车辆的泊车车位,将所述待泊车车辆与对应的所述泊车车位之间的行驶路径发送至所述待泊车车辆,可以实现对停车场内的多个车辆的协同调度,解决停车场内道路拥堵、泊车车位利用率低的问题,并引导车辆安全高效地进入泊车车位,提高用户的泊车体验。The auxiliary parking device provided by the embodiment of the present invention obtains the parking space data information sent by the parking space monitoring equipment and the parking vehicle data information sent by the road monitoring equipment, and according to the parking space data information and the parking vehicle data information, In the case that the total travel distance of all vehicles to be parked is the shortest, allocate the parking spaces of each vehicle to be parked, and send the travel path between the vehicle to be parked and the corresponding parking space to the vehicle to be parked. Parking vehicles can realize the coordinated scheduling of multiple vehicles in the parking lot, solve the problems of road congestion in the parking lot and low utilization rate of parking spaces, and guide vehicles to enter the parking spaces safely and efficiently, improving the user's parking experience experience.
可选地,所述装置还包括:Optionally, the device also includes:
接收模块,用于在所述待泊车车辆停入所述泊车车位后,接收所述车位监控设备发送的停车信息;a receiving module, configured to receive the parking information sent by the parking space monitoring device after the vehicle to be parked enters the parking space;
第二发送模块,用于在根据所述停车信息确认所述待泊车车辆停车失败的情况下,向所述待泊车车辆发送第一泊车指令,指示所述待泊车车辆再次泊车,直至所述停车信息指示所述待泊车车辆停车成功。The second sending module is configured to send a first parking instruction to the vehicle to be parked, instructing the vehicle to be parked to park again when it is confirmed that the vehicle to be parked fails to park according to the parking information until the parking information indicates that the vehicle to be parked is parked successfully.
可选地,所述停车信息包括车辆边缘和车位边缘;Optionally, the parking information includes the edge of the vehicle and the edge of the parking space;
所述装置还包括:The device also includes:
第一确定模块,用于在所述车辆边缘位于所述车位边缘之内,且所述车辆边缘与所述车位边缘之间的距离大于或等于第一预设距离的情况下,确定所述待泊车车辆停车成功。A first determination module, configured to determine the waiting position when the edge of the vehicle is located within the edge of the parking space, and the distance between the edge of the vehicle and the edge of the parking space is greater than or equal to a first preset distance The parked vehicle is parked successfully.
可选地,所述装置还包括:Optionally, the device also includes:
第二确定模块,用于基于所述车位数据信息,在第一车位上未停车辆,且与所述第一车位相邻的第二车位和第三车位上均未停车辆的情况下,确定所述第一车位为所述泊车车位;The second determining module is configured to determine, based on the parking space data information, when no vehicle is parked in the first parking space and no vehicle is parked in the second parking space and the third parking space adjacent to the first parking space. The first parking space is the parking space;
或,or,
基于所述车位数据信息,在第一车位上未停车辆,与所述第一车位相邻的第二车位和/或第三车位上停有车辆,且所述第二车位和/或所述第三车位上的车辆边缘与所述第一车位的车辆边缘之间的距离大于或等于第二预设距离的情况下,确定所述第一车位为所述泊车车位。Based on the parking space data information, no vehicle is parked in the first parking space, vehicles are parked in the second parking space and/or the third parking space adjacent to the first parking space, and the second parking space and/or the If the distance between the edge of the vehicle on the third parking space and the edge of the vehicle on the first parking space is greater than or equal to a second preset distance, it is determined that the first parking space is the parking space.
可选地,所述装置还包括:Optionally, the device also includes:
第二获取模块,用于根据停车场地图,获得所述泊车车位的车位位置和车位尺寸。The second obtaining module is used to obtain the parking space position and the parking space size of the parking space according to the parking lot map.
可选地,所述装置还包括:Optionally, the device also includes:
第一更新模块,用于每隔第一预设时长,更新所述泊车车位。The first updating module is configured to update the parking space every first preset time period.
可选地,所述装置还包括:Optionally, the device also includes:
第三确定模块,用于根据所述待泊车车辆数据信息,确定待泊车车辆的车辆位置、车辆尺寸和车速。The third determination module is configured to determine the vehicle position, vehicle size and vehicle speed of the vehicle to be parked according to the data information of the vehicle to be parked.
可选地,所述装置还包括:Optionally, the device also includes:
第二更新模块,用于每隔第二预设时长,更新所述待泊车车辆的车辆位置、车辆尺寸和车速。The second updating module is configured to update the vehicle position, vehicle size and vehicle speed of the vehicle to be parked every second preset time period.
可选地,所述装置还包括:Optionally, the device also includes:
第三获取模块,用于根据停车场地图、所述车辆位置和所述车速,获得停车场内每一路段的车流量和车流速。The third obtaining module is used to obtain the traffic volume and speed of each road section in the parking lot according to the parking lot map, the vehicle position and the vehicle speed.
可选地,所述装置还包括:Optionally, the device also includes:
第三更新模块,用于每隔第三预设时长,更新停车场内所述每一路段的车流量和车流速。The third updating module is used for updating the traffic volume and the traffic speed of each section in the parking lot every third preset time period.
可选地,所述分配模块402包括:Optionally, the
第一确定单元,用于根据所述泊车车位的车位位置、车位尺寸,所述待泊车车辆的车辆位置、车辆尺寸,确定所述待泊车车辆与所述泊车车位的匹配组合;A first determining unit, configured to determine a matching combination of the vehicle to be parked and the parking space according to the position and size of the parking space of the parking space, and the position and size of the vehicle to be parked;
第二确定单元,用于在每一种所述匹配组合下,确定所述待泊车车辆的总行驶距离;A second determination unit, configured to determine the total travel distance of the vehicle to be parked under each of the matching combinations;
第三确定单元,用于在所述总行驶距离最短时,确定各所述待泊车车辆对应的所述泊车车位。A third determining unit, configured to determine the parking spaces corresponding to each of the vehicles to be parked when the total traveling distance is the shortest.
可选地,所述第一确定单元具体用于:Optionally, the first determining unit is specifically configured to:
根据所述车位尺寸和所述车辆尺寸,确定所述待泊车车辆与所述泊车车位是否匹配;determining whether the vehicle to be parked matches the parking space according to the size of the parking space and the size of the vehicle;
在所述待泊车车辆与所述泊车车位匹配的情况下,根据所述车位位置和所述车辆位置,确定所述待泊车车辆与所述泊车车位的匹配组合。In the case that the vehicle to be parked matches the parking space, a matching combination of the vehicle to be parked and the parking space is determined according to the position of the parking space and the position of the vehicle.
可选地,所述第二确定单元具体用于:Optionally, the second determining unit is specifically configured to:
根据停车场内每一路段的车流量,确定路段的拥堵系数;According to the traffic flow of each road section in the parking lot, determine the congestion coefficient of the road section;
根据所述路段的拥堵系数、所述每一路段的实际长度、所述每一路段的道路限速和所述每一路段的车流速,对每一路段进行长度惩罚,得到每一路段的惩罚长度;According to the congestion coefficient of the road section, the actual length of each road section, the road speed limit of each road section and the vehicle flow speed of each road section, the length penalty is carried out for each road section to obtain the penalty for each road section length;
根据所述每一路段的惩罚长度,确定每一种所述匹配组合下,所述待泊车车辆的总行驶距离。According to the penalty length of each road section, the total travel distance of the vehicle to be parked is determined under each matching combination.
本发明实施例提供的辅助泊车装置,是能够执行上述的辅助泊车方法的装置,则上述的辅助泊车方法的所有实施例均适用于该装置,且能够达到相同或者相似的技术效果。The parking assistance device provided by the embodiment of the present invention is a device capable of performing the above-mentioned parking assistance method, and all embodiments of the above-mentioned parking assistance method are applicable to the device, and can achieve the same or similar technical effects.
如图5所示,本发明实施例还提供一种云端设备,包括:处理器500;以及通过总线接口与所述处理器500相连接的存储器510,所述存储器510用于存储所述处理器500在执行操作时所使用的程序和数据,处理器500调用并执行所述存储器510中所存储的程序和数据。As shown in Figure 5, the embodiment of the present invention also provides a cloud device, including: a
其中,所述物联网接入管理系统还包括收发机520,收发机520与总线接口连接,用于在处理器500的控制下接收和发送数据;处理器500用于读取存储器510中的程序。Wherein, the Internet of Things access management system also includes a
其中,所述云端设备还包括收发机520,收发机520与总线接口连接,用于在处理器500的控制下接收和发送数据;处理器500用于读取存储器510中的程序。Wherein, the cloud device further includes a
具体地,所述收发机520用于,获取车位监控设备发送的车位数据信息以及道路监控设备发送的待泊车车辆数据信息。Specifically, the
所述处理器500用于,根据所述车位数据信息以及所述待泊车车辆数据信息,在所有待泊车车辆总行驶距离最短的情况下,分配各待泊车车辆的泊车车位。The
所述收发机520还用于,将所述待泊车车辆与对应的所述泊车车位之间的行驶路径发送至所述待泊车车辆。The
可选地,所述收发机520还用于,在所述待泊车车辆停入所述泊车车位后,接收所述车位监控设备发送的停车信息;以及,在根据所述停车信息确认所述待泊车车辆停车失败的情况下,向所述待泊车车辆发送第一泊车指令,指示所述待泊车车辆再次泊车,直至所述停车信息指示所述待泊车车辆停车成功。Optionally, the
可选地,所述停车信息包括车辆边缘和车位边缘;Optionally, the parking information includes the edge of the vehicle and the edge of the parking space;
所述处理器500还用于,在所述车辆边缘位于所述车位边缘之内,且所述车辆边缘与所述车位边缘之间的距离大于或等于第一预设距离的情况下,确定所述待泊车车辆停车成功。The
可选地,所述处理器500还用于,基于所述车位数据信息,在第一车位上未停车辆,且与所述第一车位相邻的第二车位和第三车位上均未停车辆的情况下,确定所述第一车位为所述泊车车位;Optionally, the
或,or,
基于所述车位数据信息,在第一车位上未停车辆,与所述第一车位相邻的第二车位和/或第三车位上停有车辆,且所述第二车位和/或所述第三车位上的车辆边缘与所述第一车位的车辆边缘之间的距离大于或等于第二预设距离的情况下,确定所述第一车位为所述泊车车位。Based on the parking space data information, no vehicle is parked in the first parking space, vehicles are parked in the second parking space and/or the third parking space adjacent to the first parking space, and the second parking space and/or the If the distance between the edge of the vehicle on the third parking space and the edge of the vehicle on the first parking space is greater than or equal to a second preset distance, it is determined that the first parking space is the parking space.
可选地,所述处理器500还用于,根据停车场地图,获得所述泊车车位的车位位置和车位尺寸。Optionally, the
可选地,所述处理器500还用于,每隔第一预设时长,更新所述泊车车位。Optionally, the
可选地,所述处理器500还用于,根据所述待泊车车辆数据信息,确定待泊车车辆的车辆位置、车辆尺寸和车速。Optionally, the
可选地,所述处理器500还用于,每隔第二预设时长,更新所述待泊车车辆的车辆位置、车辆尺寸和车速。Optionally, the
可选地,所述处理器500还用于,根据停车场地图、所述车辆位置和所述车速,获得停车场内每一路段的车流量和车流速。Optionally, the
可选地,所述处理器500还用于,每隔第三预设时长,更新停车场内所述每一路段的车流量和车流速。Optionally, the
可选地,所述处理器500具体用于,根据所述泊车车位的车位位置、车位尺寸,所述待泊车车辆的车辆位置、车辆尺寸,确定所述待泊车车辆与所述泊车车位的匹配组合;以及,在每一种所述匹配组合下,确定所述待泊车车辆的总行驶距离;以及,在所述总行驶距离最短时,确定各所述待泊车车辆对应的所述泊车车位。Optionally, the
可选地,所述处理器500具体用于,根据所述车位尺寸和所述车辆尺寸,确定所述待泊车车辆与所述泊车车位是否匹配;以及,在所述待泊车车辆与所述泊车车位匹配的情况下,根据所述车位位置和所述车辆位置,确定所述待泊车车辆与所述泊车车位的匹配组合。Optionally, the
可选地,所述处理器500具体用于,根据停车场内每一路段的车流量,确定路段的拥堵系数;以及,根据所述路段的拥堵系数、所述每一路段的实际长度、所述每一路段的道路限速和所述每一路段的车流速,对每一路段进行长度惩罚,得到每一路段的惩罚长度;以及,根据所述每一路段的惩罚长度,确定每一种所述匹配组合下,所述待泊车车辆的总行驶距离。Optionally, the
其中,在图5中,总线架构可以包括任意数量的互联的总线和桥,具体由处理器500代表的一个或多个处理器和存储器510代表的存储器的各种电路链接在一起。总线架构还可以将诸如外围设备、稳压器和功率管理电路等之类的各种其他电路链接在一起,这些都是本领域所公知的,因此,本文不再对其进行进一步描述。总线接口提供接口。收发机520可以是多个元件,即包括发送机和收发机,提供用于在传输介质上与各种其他装置通信的单元。针对不同的终端,用户接口530还可以是能够外接内接需要设备的接口,连接的设备包括但不限于小键盘、显示器、扬声器、麦克风、操纵杆等。处理器500负责管理总线架构和通常的处理,存储器510可以存储处理器500在执行操作时所使用的数据。Wherein, in FIG. 5 , the bus architecture may include any number of interconnected buses and bridges, specifically one or more processors represented by the
本发明实施例还提供一种可读存储介质,所述可读存储介质上存储有程序,所述程序被处理器执行时实现如上任一项所述的辅助泊车方法。An embodiment of the present invention also provides a readable storage medium, where a program is stored on the readable storage medium, and when the program is executed by a processor, the assisted parking method described in any one of the above items is implemented.
此外,需要指出的是,在本发明的装置和方法中,显然,各部件或各步骤是可以分解和/或重新组合的。这些分解和/或重新组合应视为本发明的等效方案。并且,执行上述系列处理的步骤可以自然地按照说明的顺序按时间顺序执行,但是并不需要一定按照时间顺序执行,某些步骤可以并行或彼此独立地执行。对本领域的普通技术人员而言,能够理解本发明的方法和装置的全部或者任何步骤或者部件,可以在任何计算装置(包括处理器、存储介质等)或者计算装置的网络中,以硬件、固件、软件或者它们的组合加以实现,这是本领域普通技术人员在阅读了本发明的说明的情况下运用他们的基本编程技能就能实现的。In addition, it should be pointed out that in the device and method of the present invention, obviously, each component or each step can be decomposed and/or reassembled. These decompositions and/or recombinations should be considered equivalents of the present invention. Also, the steps for executing the above series of processes can naturally be executed in chronological order according to the illustrated order, but they are not necessarily executed in chronological order, and some steps can be executed in parallel or independently of each other. For those of ordinary skill in the art, it can be understood that all or any steps or components of the method and device of the present invention can be implemented in any computing device (including a processor, storage medium, etc.) or a network of computing devices in the form of hardware or firmware , software or a combination thereof, which can be realized by those of ordinary skill in the art using their basic programming skills after reading the description of the present invention.
因此,本发明的目的还可以通过在任何计算装置上运行一个程序或者一组程序来实现。所述计算装置可以是公知的通用装置。因此,本发明的目的也可以仅仅通过提供包含实现所述方法或者装置的程序代码的程序产品来实现。也就是说,这样的程序产品也构成本发明,并且存储有这样的程序产品的存储介质也构成本发明。显然,所述存储介质可以是任何公知的存储介质或者将来所开发出来的任何存储介质。还需要指出的是,在本发明的装置和方法中,显然,各部件或各步骤是可以分解和/或重新组合的。这些分解和/或重新组合应视为本发明的等效方案。并且,执行上述系列处理的步骤可以自然地按照说明的顺序按时间顺序执行,但是并不需要一定按照时间顺序执行。某些步骤可以并行或彼此独立地执行。Therefore, the object of the present invention can also be achieved by running a program or a group of programs on any computing device. The computing device may be a known general-purpose device. Therefore, the object of the present invention can also be achieved only by providing a program product including program codes for realizing the method or device. That is, such a program product also constitutes the present invention, and a storage medium storing such a program product also constitutes the present invention. Obviously, the storage medium may be any known storage medium or any storage medium developed in the future. It should also be pointed out that in the device and method of the present invention, obviously, each component or each step can be decomposed and/or reassembled. These decompositions and/or recombinations should be considered equivalents of the present invention. Also, the steps for performing the above series of processes may naturally be performed in chronological order in the order described, but need not necessarily be performed in chronological order. Certain steps may be performed in parallel or independently of each other.
以上所述的是本发明的优选实施方式,应当指出对于本技术领域的普通人员来说,在不脱离本发明所述的原理前提下还可以作出若干改进和润饰,这些改进和润饰也在本发明的保护范围内。What has been described above is a preferred embodiment of the present invention. It should be pointed out that for those skilled in the art, some improvements and modifications can also be made without departing from the principles described in the present invention. within the scope of protection of the invention.
| Application Number | Priority Date | Filing Date | Title |
|---|---|---|---|
| CN202110968616.8ACN115909801B (en) | 2021-08-23 | 2021-08-23 | Assisted parking method, device and cloud device |
| Application Number | Priority Date | Filing Date | Title |
|---|---|---|---|
| CN202110968616.8ACN115909801B (en) | 2021-08-23 | 2021-08-23 | Assisted parking method, device and cloud device |
| Publication Number | Publication Date |
|---|---|
| CN115909801Atrue CN115909801A (en) | 2023-04-04 |
| CN115909801B CN115909801B (en) | 2025-09-23 |
| Application Number | Title | Priority Date | Filing Date |
|---|---|---|---|
| CN202110968616.8AActiveCN115909801B (en) | 2021-08-23 | 2021-08-23 | Assisted parking method, device and cloud device |
| Country | Link |
|---|---|
| CN (1) | CN115909801B (en) |
| Publication number | Priority date | Publication date | Assignee | Title |
|---|---|---|---|---|
| CN116461504A (en)* | 2023-05-22 | 2023-07-21 | 重庆赛力斯新能源汽车设计院有限公司 | A kind of automatic parking method and related equipment |
| Publication number | Priority date | Publication date | Assignee | Title |
|---|---|---|---|---|
| US20100039292A1 (en)* | 2005-06-13 | 2010-02-18 | Michael Scherl | Method and Device for Outputting Parking Instructions |
| CN104742881A (en)* | 2015-04-15 | 2015-07-01 | 百度在线网络技术(北京)有限公司 | Automatic parking system and method |
| CN107564328A (en)* | 2017-09-11 | 2018-01-09 | 百度在线网络技术(北京)有限公司 | Parking stall for vehicle determines method and apparatus |
| DE102017204174A1 (en)* | 2017-03-14 | 2018-09-20 | Robert Bosch Gmbh | Method for the optimized use of a parking area |
| CN108615396A (en)* | 2018-04-26 | 2018-10-02 | 中设设计集团股份有限公司 | Stopping guide, reverse vehicle searching system and method based on bluetooth positioning |
| CN108847037A (en)* | 2018-06-27 | 2018-11-20 | 华中师范大学 | A kind of city road network paths planning method towards non-global information |
| CN109598972A (en)* | 2018-11-23 | 2019-04-09 | 中汽研(天津)汽车工程研究院有限公司 | A kind of detection of automatic parking parking stall and range-measurement system of view-based access control model |
| KR20190097510A (en)* | 2018-02-12 | 2019-08-21 | 동의대학교 산학협력단 | System and Method for Guiding Shortest Path in Parking Lots using Adjacent Node Pairing |
| CN110239522A (en)* | 2019-05-17 | 2019-09-17 | 浙江吉利控股集团有限公司 | A kind of automatic parking method, device and equipment |
| CN110450776A (en)* | 2019-08-07 | 2019-11-15 | 禾多科技(北京)有限公司 | Multiple target overall situation dynamic path planning method based on field end |
| CN112465180A (en)* | 2019-09-09 | 2021-03-09 | 北京京东振世信息技术有限公司 | Vehicle path planning method and device |
| CN113147743A (en)* | 2021-04-27 | 2021-07-23 | 东风汽车集团股份有限公司 | Automatic parking method, system and storage medium |
| Publication number | Priority date | Publication date | Assignee | Title |
|---|---|---|---|---|
| US20100039292A1 (en)* | 2005-06-13 | 2010-02-18 | Michael Scherl | Method and Device for Outputting Parking Instructions |
| CN104742881A (en)* | 2015-04-15 | 2015-07-01 | 百度在线网络技术(北京)有限公司 | Automatic parking system and method |
| DE102017204174A1 (en)* | 2017-03-14 | 2018-09-20 | Robert Bosch Gmbh | Method for the optimized use of a parking area |
| CN107564328A (en)* | 2017-09-11 | 2018-01-09 | 百度在线网络技术(北京)有限公司 | Parking stall for vehicle determines method and apparatus |
| KR20190097510A (en)* | 2018-02-12 | 2019-08-21 | 동의대학교 산학협력단 | System and Method for Guiding Shortest Path in Parking Lots using Adjacent Node Pairing |
| CN108615396A (en)* | 2018-04-26 | 2018-10-02 | 中设设计集团股份有限公司 | Stopping guide, reverse vehicle searching system and method based on bluetooth positioning |
| CN108847037A (en)* | 2018-06-27 | 2018-11-20 | 华中师范大学 | A kind of city road network paths planning method towards non-global information |
| CN109598972A (en)* | 2018-11-23 | 2019-04-09 | 中汽研(天津)汽车工程研究院有限公司 | A kind of detection of automatic parking parking stall and range-measurement system of view-based access control model |
| CN110239522A (en)* | 2019-05-17 | 2019-09-17 | 浙江吉利控股集团有限公司 | A kind of automatic parking method, device and equipment |
| CN110450776A (en)* | 2019-08-07 | 2019-11-15 | 禾多科技(北京)有限公司 | Multiple target overall situation dynamic path planning method based on field end |
| CN112465180A (en)* | 2019-09-09 | 2021-03-09 | 北京京东振世信息技术有限公司 | Vehicle path planning method and device |
| CN113147743A (en)* | 2021-04-27 | 2021-07-23 | 东风汽车集团股份有限公司 | Automatic parking method, system and storage medium |
| Title |
|---|
| 杨晓芳 等: "基于系统总耗时最小的双目标泊位分配模型", 上海理工大学学报, vol. 43, no. 2, 30 April 2021 (2021-04-30), pages 179 - 185* |
| Publication number | Priority date | Publication date | Assignee | Title |
|---|---|---|---|---|
| CN116461504A (en)* | 2023-05-22 | 2023-07-21 | 重庆赛力斯新能源汽车设计院有限公司 | A kind of automatic parking method and related equipment |
| Publication number | Publication date |
|---|---|
| CN115909801B (en) | 2025-09-23 |
| Publication | Publication Date | Title |
|---|---|---|
| CN114822008B (en) | Dispatching and maintaining coordination of fleets of autonomous vehicles | |
| CN105303883B (en) | A kind of Roadside Parking management system and method | |
| CN110562248B (en) | Automatic parking system and automatic parking method based on unmanned aerial vehicle | |
| EP3698299A1 (en) | Autonomous vehicle routing | |
| CN110766975A (en) | Intelligent vehicle searching management method and system for parking lot | |
| WO2021253454A1 (en) | Parking management method and parking management system based on intelligent transportation system | |
| CN106469518A (en) | The method of the intelligent parking guiding based on video tracking identification, server and system | |
| CN106228848B (en) | A kind of parking navigation method and apparatus | |
| US20210319697A1 (en) | Systems and methods for identifying available parking spaces using connected vehicles | |
| CN110880234B (en) | Unmanned vehicle parking method and device and unmanned vehicle | |
| CN113650604A (en) | Automatic parking control method and device, electronic equipment and storage medium | |
| CN109243194A (en) | A kind of parking position dispatch boot method and system | |
| CN115909801A (en) | A kind of auxiliary parking method, device and cloud equipment | |
| CN116013081A (en) | Movable intelligent berthing and navigation integrated service system and method | |
| CN110853394A (en) | AI technology-based underground parking lot parking and vehicle searching method and system | |
| US11145204B2 (en) | Snow removal apparatus operating system and snow removal apparatus operating method | |
| CN113330384A (en) | Autonomous vehicle fleet | |
| CN115588306A (en) | Parking space pushing method and device, computer readable storage medium and terminal | |
| CN110046535B (en) | Intelligent travel time prediction system, method and storage medium based on machine learning | |
| CN114743382B (en) | Vehicle violation behavior identification method and device based on intelligent lamp pole system | |
| CN117152990A (en) | Automatic intelligent garage system and method based on artificial intelligence | |
| CN113570857A (en) | Roadside parking berth reservation method and system based on high-level video | |
| CN111326001A (en) | Method and device for automatic driving | |
| CN113763704A (en) | Vehicle control method, device, computer readable storage medium and processor | |
| CN114333415B (en) | Boundary construction method, vehicle control method, device, equipment, vehicle and medium |
| Date | Code | Title | Description |
|---|---|---|---|
| PB01 | Publication | ||
| PB01 | Publication | ||
| SE01 | Entry into force of request for substantive examination | ||
| SE01 | Entry into force of request for substantive examination | ||
| GR01 | Patent grant | ||
| GR01 | Patent grant |