



技术领域technical field
本申请涉及机器人领域,尤其涉及一种机器人及其碰撞保护方法、装置及存储介质。The present application relates to the field of robots, in particular to a robot and its collision protection method, device and storage medium.
背景技术Background technique
随着智能技术的发展,对机器人的智能性、安全性也提出了新的要求。比如,在机器人使用过程中,机器人可能与外界环境中的对象发生碰撞,需要采取碰撞保护,以使得机器人和外界环境中的对象的损害程度最小,最大限度的保障外界环境中的对象和机器人的安全。With the development of intelligent technology, new requirements are put forward for the intelligence and safety of robots. For example, during the use of the robot, the robot may collide with objects in the external environment, and collision protection is required to minimize the damage between the robot and the objects in the external environment, and to ensure the maximum protection of the objects in the external environment and the robot. Safety.
目前的碰撞保护方法中,通常先对外力进行估计,然后基于所估计的外力进行碰撞检测。当估计可能会发生碰撞时,通过柔顺控制以避免发生碰撞。这种方法需要提前获得机构的精准的物理参数,随着机构体量的增大,获取机构的准确的物理参数越来越难,通过估计外力进行碰撞检测实现的难度也越来越大,不便于有效的减小机器人和外界环境中的对象的损害程度,以及不利于保证机器人和外界环境中的对象的安全。In current collision protection methods, the external force is usually estimated first, and then collision detection is performed based on the estimated external force. When a collision is estimated to be likely, the collision is avoided through compliance control. This method needs to obtain the precise physical parameters of the mechanism in advance. With the increase of the size of the mechanism, it becomes more and more difficult to obtain the accurate physical parameters of the mechanism. It is also more and more difficult to realize the collision detection by estimating the external force. It is convenient to effectively reduce the damage degree of the robot and the objects in the external environment, and is not conducive to ensuring the safety of the robot and the objects in the external environment.
发明内容Contents of the invention
有鉴于此,本申请实施例提供了一种机器人及其碰撞保护方法、装置及存储介质,以解决现有技术中进行碰撞保护时,不利于减小机器人和外界环境中的对象的损害程度,以及不利于保证机器人和外界环境中的对象的安全的问题。In view of this, the embodiment of the present application provides a robot and its collision protection method, device, and storage medium to solve the problem of reducing the degree of damage to the robot and objects in the external environment when performing collision protection in the prior art. As well as problems that are not conducive to ensuring the safety of the robot and objects in the external environment.
本申请实施例的第一方面提供了一种机器人的碰撞保护方法,所述方法包括:The first aspect of the embodiments of the present application provides a collision protection method for a robot, the method comprising:
获取所述机器人的机械臂的碰撞幅度;Acquiring the collision amplitude of the mechanical arm of the robot;
当所述碰撞幅度小于预定的幅度阈值,则根据所述机械臂的关节的前馈力矩、反馈力矩和预定的反馈力矩幅值常数控制所述机械臂的运动;When the collision amplitude is less than a predetermined amplitude threshold, the movement of the mechanical arm is controlled according to the feedforward torque, the feedback torque and the predetermined feedback torque amplitude constant of the joint of the mechanical arm;
当所述碰撞幅度大于或等于所述预定的幅度阈值,则通过为零力控制模式控制所述机械臂的运动。When the collision amplitude is greater than or equal to the predetermined amplitude threshold, the movement of the mechanical arm is controlled in a zero-force control mode.
结合第一方面,在第一方面的第一种可能实现方式中,当所述碰撞幅度小于预定的幅度阈值,则根据所述机械臂的关节的前馈力矩、反馈力矩和预定的反馈力矩幅值常数控制所述机械臂的运动,包括:With reference to the first aspect, in the first possible implementation manner of the first aspect, when the collision amplitude is smaller than a predetermined amplitude threshold, according to the feedforward torque, feedback torque and predetermined feedback torque amplitude of the joints of the mechanical arm Value constants control the movement of the robotic arm, including:
当所述反馈力矩的绝对值小于预设的反馈力矩幅值常数时,根据所述前馈力矩和所述反馈力矩控制所述机械臂的运动;When the absolute value of the feedback torque is less than a preset feedback torque amplitude constant, controlling the movement of the mechanical arm according to the feedforward torque and the feedback torque;
当所述反馈力矩的绝对值大于或等于预设的反馈力矩幅值常数时,根据所述前馈力矩和所述反馈力矩幅值常数控制所述机械臂的运动。When the absolute value of the feedback torque is greater than or equal to a preset feedback torque amplitude constant, the movement of the mechanical arm is controlled according to the feedforward torque and the feedback torque amplitude constant.
结合第一方面的第一种可能实现方式,在第一方面的第二种可能实现方式中,当所述反馈力矩的绝对值大于或等于预设的反馈力矩幅值常数时,根据所述前馈力矩和所述反馈力矩幅值常数控制所述机械臂的运动,包括:With reference to the first possible implementation of the first aspect, in the second possible implementation of the first aspect, when the absolute value of the feedback torque is greater than or equal to a preset feedback torque amplitude constant, according to the preceding The feed torque and the feedback torque amplitude constant control the motion of the mechanical arm, including:
当所述反馈力矩大于或等于预设的反馈力矩幅值常数时,根据所述前馈力矩和所述反馈力矩幅值常数的和值控制所述机械臂的运动;When the feedback torque is greater than or equal to a preset feedback torque amplitude constant, the movement of the mechanical arm is controlled according to the sum of the feedforward torque and the feedback torque amplitude constant;
当所述反馈力矩小于或等于预设的反馈力矩幅值常数的负值时,根据所述前馈力矩和所述反馈力矩幅值常数的差值控制所述机械臂的运动。When the feedback torque is less than or equal to the negative value of the preset feedback torque amplitude constant, the movement of the mechanical arm is controlled according to the difference between the feedforward torque and the feedback torque amplitude constant.
结合第一方面,在第一方面的第三种可能实现方式中,通过为零力控制模式控制所述机械臂的运动,包括:With reference to the first aspect, in a third possible implementation manner of the first aspect, controlling the movement of the mechanical arm in a zero-force control mode includes:
根据所述关节的重力补偿力矩和所述关节的阻尼力矩控制所述机械臂的运动。The movement of the mechanical arm is controlled according to the gravity compensation moment of the joint and the damping moment of the joint.
结合第一方面的第三种可能实现方式,在第一方面的第四种可能实现方式中,根据所述关节的重力补偿力矩和所述关节的阻尼力矩控制所述机械臂的运动,包括:With reference to the third possible implementation manner of the first aspect, in a fourth possible implementation manner of the first aspect, controlling the movement of the mechanical arm according to the gravity compensation moment of the joint and the damping moment of the joint includes:
根据所述关节的重力补偿力矩和所述阻尼力阻的和值控制所述机械臂的运动。The movement of the mechanical arm is controlled according to the sum of the gravity compensation moment of the joint and the damping resistance.
结合第一方面的第三种可能实现方式,在第一方面的第五种可能实现方式中,所述阻尼力矩根据所述关节速度和所述关节的阻尼系数确定,所述重力补偿力矩根据所述关节的逆动力模型计算得到。With reference to the third possible implementation manner of the first aspect, in a fifth possible implementation manner of the first aspect, the damping torque is determined according to the joint velocity and the damping coefficient of the joint, and the gravity compensation torque is determined according to the The inverse dynamic model of the joint is calculated.
结合第一方面,在第一方面的第六种可能实现方式中,获取所述机器人的机械臂的碰撞幅度,包括:With reference to the first aspect, in a sixth possible implementation manner of the first aspect, obtaining the collision magnitude of the mechanical arm of the robot includes:
获取所述关节的实际位置,以及获取所述关节的期望位置;obtaining the actual position of the joint, and obtaining the expected position of the joint;
根据所述关节的实际位置和所述关节的期望位置确定所述机械臂的碰撞幅度。A collision magnitude of the robotic arm is determined based on the actual position of the joint and the expected position of the joint.
本申请实施例的第二方面提供了一种机器人的碰撞保护装置,所述装置包括:The second aspect of the embodiments of the present application provides a collision protection device for a robot, the device comprising:
碰撞幅度获取单元,用于获取所述机器人的机械臂的碰撞幅度;a collision magnitude acquisition unit, configured to obtain the collision magnitude of the mechanical arm of the robot;
第一控制单元,用于当所述碰撞幅度小于预定的幅度阈值,则根据所述机械臂的关节的前馈力矩、反馈力矩和预定的反馈力矩幅值常数控制所述机械臂的运动;A first control unit, configured to control the movement of the mechanical arm according to the feedforward torque, feedback torque and predetermined feedback torque amplitude constant of the joint of the mechanical arm when the collision amplitude is less than a predetermined amplitude threshold;
第二控制单元,用于当所述碰撞幅度大于或等于所述预定的幅度阈值,则通过为零力控制模式控制所述机械臂的运动。The second control unit is configured to control the movement of the mechanical arm in a zero-force control mode when the collision amplitude is greater than or equal to the predetermined amplitude threshold.
本申请实施例的第三方面提供了机器人,包括存储器、处理器以及存储在所述存储器中并可在所述处理器上运行的计算机程序,所述处理器执行所述计算机程序时实现如第一方面任一项所述方法的步骤。The third aspect of the embodiments of the present application provides a robot, including a memory, a processor, and a computer program stored in the memory and operable on the processor. When the processor executes the computer program, the following steps are implemented: The steps of any one of the methods in one aspect.
本申请实施例的第四方面提供了一种计算机可读存储介质,所述计算机可读存储介质存储有计算机程序,所述计算机程序被处理器执行时实现如第一方面任一项所述方法的步骤。The fourth aspect of the embodiments of the present application provides a computer-readable storage medium, the computer-readable storage medium stores a computer program, and when the computer program is executed by a processor, the method according to any one of the first aspect is implemented A step of.
本申请实施例与现有技术相比存在的有益效果是:本申请在对机器人进行碰撞保护时,将机器人的机械臂的碰撞幅度与预定的幅度阈值进行比较,在机器人的机械臂的碰撞幅度小于幅度阈值时,通过前馈力矩、反馈力矩和预定的反馈力矩幅值常数控制机械臂的运动,从而使机械臂在遇到较小幅度的碰撞时,能够实现柔顺响应;在机械臂的碰撞幅度大于或等于预定的幅度阈值时,则通过零力控制模式,最大程度的减小碰撞,从而有效的减小刚性碰撞对机器人或外界环境对象的损害,提高机器人和外界环境对象的安全性。Compared with the prior art, the embodiment of the present application has the beneficial effects that: when the present application performs collision protection on the robot, the collision amplitude of the robot's mechanical arm is compared with a predetermined amplitude threshold, and the collision amplitude of the robot's mechanical arm When it is less than the amplitude threshold, the movement of the mechanical arm is controlled by the feedforward torque, the feedback torque and the predetermined feedback torque amplitude constant, so that the mechanical arm can achieve a compliant response when it encounters a small collision; When the amplitude is greater than or equal to the predetermined amplitude threshold, the zero-force control mode is used to minimize the collision, thereby effectively reducing the damage to the robot or external environmental objects caused by rigid collisions, and improving the safety of the robot and external environmental objects.
附图说明Description of drawings
为了更清楚地说明本申请实施例中的技术方案,下面将对实施例或现有技术描述中所需要使用的附图作简单地介绍,显而易见地,下面描述中的附图仅仅是本申请的一些实施例,对于本领域普通技术人员来讲,在不付出创造性劳动性的前提下,还可以根据这些附图获得其他的附图。In order to more clearly illustrate the technical solutions in the embodiments of the present application, the accompanying drawings that need to be used in the descriptions of the embodiments or the prior art will be briefly introduced below. Obviously, the accompanying drawings in the following description are only for the present application For some embodiments, those of ordinary skill in the art can also obtain other drawings based on these drawings without paying creative efforts.
图1是本申请实施例提供的一种机械人的碰撞保护方法的实现流程示意图;Fig. 1 is a schematic diagram of the implementation flow of a collision protection method for a robot provided in an embodiment of the present application;
图2是本申请实施例提供的又一机械人的碰撞保护方法的实现流程示意图;Fig. 2 is a schematic diagram of the implementation flow of another robot collision protection method provided by the embodiment of the present application;
图3是本申请实施例提供的一种机械人的碰撞保护装置的示意图;Fig. 3 is a schematic diagram of a collision protection device for a robot provided in an embodiment of the present application;
图4是本申请实施例提供的机器人的示意图。Fig. 4 is a schematic diagram of a robot provided by an embodiment of the present application.
具体实施方式Detailed ways
以下描述中,为了说明而不是为了限定,提出了诸如特定系统结构、技术之类的具体细节,以便透彻理解本申请实施例。然而,本领域的技术人员应当清楚,在没有这些具体细节的其它实施例中也可以实现本申请。在其它情况中,省略对众所周知的系统、装置、电路以及方法的详细说明,以免不必要的细节妨碍本申请的描述。In the following description, specific details such as specific system structures and technologies are presented for the purpose of illustration rather than limitation, so as to thoroughly understand the embodiments of the present application. It will be apparent, however, to one skilled in the art that the present application may be practiced in other embodiments without these specific details. In other instances, detailed descriptions of well-known systems, devices, circuits, and methods are omitted so as not to obscure the description of the present application with unnecessary detail.
在机器人的机械臂的碰撞保护方法中,如果采用外力估计的方式进行碰撞检测,则需要提前获得机械臂的精准的机构参数,包括如机械臂的位姿、尺寸等信息。随着机构体量的增大,获取机构的准确的物理参数越来越难,通过估计外力进行碰撞检测实现的难度也越来越大,不便于有效的减小机器人和外界环境中的对象的损害程度,以及不利于保证机器人和外界环境中的对象的安全。In the collision protection method of the mechanical arm of the robot, if the collision detection is performed by means of external force estimation, it is necessary to obtain the precise mechanical parameters of the mechanical arm in advance, including information such as the pose and size of the mechanical arm. With the increase of the size of the mechanism, it becomes more and more difficult to obtain the accurate physical parameters of the mechanism, and it becomes more and more difficult to realize the collision detection by estimating the external force, which is not convenient to effectively reduce the distance between the robot and the objects in the external environment. The degree of damage, and detrimental to the safety of the robot and objects in the external environment.
基于上述问题,本申请实施例提出了一种机器人的碰撞保护方法,如图1所示,该方法包括:Based on the above problems, the embodiment of the present application proposes a collision protection method for a robot, as shown in Figure 1, the method includes:
在S101中,获取机器人的机械臂的碰撞幅度。In S101, the collision amplitude of the mechanical arm of the robot is acquired.
其中,机器人的机械臂的碰撞幅度,可以在机器人运动过程中动态的获取。比如图2所示的碰撞保护流程图所示,可以根据机器人的机械臂的实际位置与期望位置确定碰撞幅度,基于该碰撞幅度确定关节是否超出期望的运动空间。Wherein, the collision amplitude of the mechanical arm of the robot can be acquired dynamically during the movement of the robot. For example, as shown in the collision protection flow chart shown in FIG. 2 , the collision magnitude can be determined according to the actual position and the expected position of the robotic arm of the robot, and based on the collision magnitude, it can be determined whether the joint exceeds the expected motion space.
其中,可以根据机器人的运动的控制参数,获取机器人的机械臂的各个关节的期望位置xe。根据所设置的传感器,包括如位移传感器、图像传感器和/或深度传感器等,获取机器人的机械臂的各个关节的实际位置xcur。基于所获取到的关节的期望位置xe和实际位置xcur,确定所述机器人的机械臂的碰撞幅度。比如,可以将期望位置xe和实际位置xcur之间的距离偏差的大小,确定为机械臂的碰撞幅度。Wherein, the expected position xe of each joint of the mechanical arm of the robot can be obtained according to the control parameters of the robot's motion. According to the set sensors, including displacement sensors, image sensors and/or depth sensors, etc., the actual position xcur of each joint of the mechanical arm of the robot is obtained. Based on the obtained expected position xe and actual position xcur of the joint, the collision magnitude of the mechanical arm of the robot is determined. For example, the magnitude of the distance deviation between the expected position xe and the actual position xcur may be determined as the collision magnitude of the mechanical arm.
在可能的实现方式中,也可以基于当前的运动状态和控制指令估计未来预定时长内的关节的实际位置xcur,根据估计的实际位置xcur与期望位置之间的差异,估计机器人的机械臂的碰撞幅度。In a possible implementation, it is also possible to estimate the actual position xcur of the joint within a predetermined period of time in the future based on the current motion state and control instructions, and estimate the robot's mechanical arm according to the difference between the estimated actual position xcur and the expected position the magnitude of the collision.
在同一机器人的机械臂包括多个关节时,可以分别获取各个关节的碰撞幅度。基于所获取的碰撞幅度,判断关节是否处于期望运动空间。When the mechanical arm of the same robot includes multiple joints, the collision magnitude of each joint can be obtained separately. Based on the obtained collision amplitude, it is judged whether the joint is in the desired motion space.
在S102中,当碰撞幅度小于预定的幅度阈值,则根据机械臂的关节的前馈力矩、反馈力矩和预定的反馈力矩幅值常数控制所述机械臂的运动。In S102, when the collision amplitude is less than a predetermined amplitude threshold, the movement of the mechanical arm is controlled according to the feedforward torque, the feedback torque and the predetermined feedback torque amplitude constant of the joint of the mechanical arm.
在获取到机器人的机械臂的关节的碰撞幅度后,将该碰撞幅度与预先设定的幅度阈值进行比较。如果该碰撞幅度小于预定的幅度阈值,则表明当前位置与期望位置的偏差小于预定的偏差,机械臂的关节未超过预定的期望运动空间,此时,可以根据机械臂的关节的前馈力矩、反馈力矩和预定的反馈力矩幅值常数控制所述机械臂的运动,便于机械臂遇到较小碰撞,比如碰撞程度小于预定的程度阈值的碰撞时,能够及时的产生柔顺响应。After the collision magnitude of the joint of the mechanical arm of the robot is acquired, the collision magnitude is compared with a preset magnitude threshold. If the collision amplitude is less than the predetermined amplitude threshold value, it indicates that the deviation between the current position and the expected position is less than the predetermined deviation, and the joint of the mechanical arm does not exceed the predetermined expected movement space. At this time, according to the feedforward torque of the joint of the mechanical arm, The feedback torque and the predetermined feedback torque amplitude constant control the movement of the mechanical arm, so that the mechanical arm can generate a compliant response in time when it encounters a small collision, such as a collision with a collision degree less than a predetermined degree threshold.
例如,可以计算关节的期望位置xe和实际位置xcur之间的距离偏差。如果该距离偏差小于预定的偏差阈值,则可以认为关节的碰撞幅度小于预设的幅度阈值,机械臂的位置没有超出期望的运动空间,可以根据所述机械臂的关节的前馈力矩τff、反馈力矩τfb和预定的反馈力矩幅值常数τa控制所述机械臂的运动,根据关节的前馈力矩的大小进行限幅后,使得机械臂在遇到较小碰撞时能够及时产生柔顺响应。For example, the distance deviation between the desired position xe of the joint and the actual position xcur can be calculated. If the distance deviation is less than the predetermined deviation threshold, it can be considered that the collision amplitude of the joint is less than the preset amplitude threshold, and the position of the mechanical arm does not exceed the expected movement space. According to the feedforward torque τff of the joint of the mechanical arm, The feedback torque τfb and the predetermined feedback torque amplitude constant τa control the movement of the mechanical arm, and after limiting according to the magnitude of the feedforward torque of the joint, the mechanical arm can produce a compliant response in time when it encounters a small collision .
其中,机械臂的关节的前馈力矩τff可以根据关节期望变量qe(包括如期望角度和/或期望位移)、期望速度ve和期望加速度ae进行逆动力学解析得到。机械臂的关节的反馈力矩τfb可以关节期望变量qe(包括如期望角度和/或期望位移)、期望速度ve,结合机械臂当前的关节变量qcur(包括如当前角度和/或当前位移)和当前的关节速度vcur进行比例微分计算得到。Wherein, the feedforward moment τff of the joint of the manipulator can be obtained by inverse dynamics analysis according to the joint expected variable qe (including, for example, expected angle and/or expected displacement), expected velocityve and expected acceleration ae . The feedback torqueτfb of the jointsof the manipulator can be combined with the current joint variable qcur of the manipulator (including such as the current angle and/or current Displacement) and the current joint velocity vcur are calculated by proportional differentiation.
在确定了机械臂关节的前馈力矩τff、反馈力矩τfb后,结合预先设定的反馈力矩幅值常数τa,即可确定用于向各个关节的电机所发送的控制力矩τe。其中,反馈力矩幅值常数τa可以调节柔顺响应的级别,可以根据实验数据统计确定反馈力矩幅值常数τa的数值。After determining the feedforward torque τff and the feedback torque τfb of the manipulator joints, combined with the preset feedback torque amplitude constant τa , the control torque τe for sending to the motors of each joint can be determined. Among them, the feedback torque amplitude constant τa can adjust the level of compliance response, and the value of the feedback torque amplitude constant τa can be determined statistically according to the experimental data.
在碰撞幅度小于预定的幅度阈值时,确定向各个关节的电机所发送的控制力矩τe前,可以先比较反馈力矩的绝对值与预设的反馈力矩幅值常数的大小,如果反馈力矩的绝对值小于预设的反馈力矩幅值常数,则可以根据前馈力矩τff和所述反馈力矩τfb确定关节的控制力矩τe,用于控制所述机械臂的运动。比如图2所示,可以将前馈力矩τff和所述反馈力矩τfb的和值作为关节的控制力矩τe,控制所述机械臂的运动。When the collision amplitude is less than the predetermined amplitude threshold, before determining the control torque τe sent to the motors of each joint, the absolute value of the feedback torque can be compared with the preset feedback torque amplitude constant. If the absolute value of the feedback torque If the value is smaller than the preset feedback torque amplitude constant, the control torque τe of the joint can be determined according to the feedforward torque τff and the feedback torque τfb for controlling the movement of the mechanical arm. For example, as shown in FIG. 2 , the sum of the feedforward torque τff and the feedback torque τfb can be used as the joint control torque τe to control the movement of the mechanical arm.
如果反馈力矩的绝对值大于或等于预设的反馈力矩幅值常数,则可以根据前馈力矩τff和反馈力矩幅值常数τa确定关节的控制力矩τe。If the absolute value of the feedback torque is greater than or equal to the preset feedback torque amplitude constant, the control torque τe of the joint can be determined according to the feedforward torque τff and the feedback torque amplitude constant τa .
比如,当反馈力矩τfb大于或等于预设的反馈力矩幅值常数τa时,可以将前馈力矩τff和反馈力矩幅值常数τa的和值作为关节的控制力矩τe,控制所述机械臂的舵机的运动。For example, when the feedback torque τfb is greater than or equal to the preset feedback torque amplitude constant τa , the sum of the feedforward torque τff and the feedback torque amplitude constant τa can be used as the control torque τe of the joint to control the Describe the movement of the steering gear of the robotic arm.
当反馈力矩τfb小于或等于预设的反馈力矩幅值常数τa的负值时,将前馈力矩τff和反馈力矩幅值常数τa的差值作为关节的控制力矩τe,控制所述机械臂的舵机的运动。When the feedback torque τfb is less than or equal to the negative value of the preset feedback torque amplitude constant τa , the difference between the feedforward torque τff and the feedback torque amplitude constant τa is used as the joint control torque τe , and the control Describe the movement of the steering gear of the robotic arm.
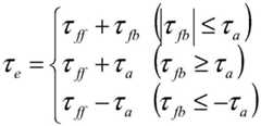
如图2所示,在述碰撞幅度小于预定的幅度阈值时,各个关节的控制力矩τe可以表示为:As shown in Figure 2, when the collision amplitude is smaller than the predetermined amplitude threshold, the control torque τe of each joint can be expressed as:
其中,τfb为关节的反馈力矩,τff为关节的前馈力矩,τe为关节的控制力矩,τa为关节的反馈力矩幅值常数。基于该计算公式,可以得到各个关节的控制力矩τe。Among them, τfb is the feedback torque of the joint, τff is the feedforward torque of the joint, τe is the control torque of the joint, and τa is the amplitude constant of the feedback torque of the joint. Based on this calculation formula, the control torque τe of each joint can be obtained.
即在前馈力矩的绝对值|τfb|较小时,计算前馈力矩τff与反馈力矩τfb的和值确定关节的控制力矩τe。在前馈力矩的绝对值|τfb|较大时,如果前馈力矩τff大于反馈力矩幅值常数τa,则根据前馈力矩τff和反馈力矩幅值常数τa的和值定关节的控制力矩τe。如果前馈力矩τff小于反馈力矩幅值常数的负值-τa,则根据前馈力矩τff和反馈力矩幅值常数的τa的差值定关节的控制力矩τe。That is, when the absolute value of the feed-forward torque |τfb | is small, the sum of the feed-forward torque τff and the feedback torque τfb is calculated to determine the control torque τe of the joint. When the absolute value of the feed-forward torque |τfb | is large, if the feed-forward torque τff is greater than the feedback torque amplitude constant τa , the joint is determined according to the sum of the feed-forward torque τff and the feedback torque amplitude constant τa The control torque τe . If the feed-forward torque τff is less than the negative value of the feedback torque amplitude constant -τa , then the control torque τe of the joint is determined according to the difference between the feed-forward torque τff and the feedback torque amplitude constant τa .
在S103中,当所述碰撞幅度大于或等于所述预定的幅度阈值,则通过为零力控制模式控制所述机械臂的运动。In S103, when the collision amplitude is greater than or equal to the predetermined amplitude threshold, the movement of the mechanical arm is controlled in a zero-force control mode.
当所述碰撞幅度大于或等于所述预定的幅度阈值,可以理解为机械臂的关节的碰撞程度大于或等于预定的程度阈值,或者机械臂的关节的实际位置与期望位置之间的位移偏差超过预定的偏差阈值,或者机械臂的关节的位置处于期望运动空间以外,此时的机械臂可能发生了较大幅度的碰撞,可以通过零力控制模式控制机械臂的运动。When the collision amplitude is greater than or equal to the predetermined amplitude threshold, it can be understood that the collision degree of the joint of the mechanical arm is greater than or equal to the predetermined degree threshold, or the displacement deviation between the actual position and the expected position of the joint of the mechanical arm exceeds The predetermined deviation threshold, or the position of the joints of the robotic arm is outside the expected movement space. At this time, the robotic arm may have a relatively large collision, and the movement of the robotic arm can be controlled through the zero-force control mode.
其中,零力控制模式控制机械臂的运动时,可以包括根据关节的重力补偿力矩τg和关节的阻尼力矩τv控制所述机械臂的运动。Wherein, when controlling the motion of the mechanical arm in the zero-force control mode, it may include controlling the motion of the mechanical arm according to the gravity compensation torque τg of the joint and the damping torque τv of the joint.
其中,关节的重力补偿力矩τg可以根据当前的关节变量(关节的角度和/或关节的位移),且在关节速度为0、关节加速度为0的状态下,通过逆动力学解析,得到关节对应的重力补偿力矩τg,用于补偿关节所受的重力产生的重力力矩。Among them, the gravity compensation moment τg of the joint can be obtained through inverse dynamics analysis based on the current joint variable (joint angle and/or joint displacement), and in the state of joint velocity and joint acceleration of 0, through inverse dynamics analysis The corresponding gravity compensation moment τg is used to compensate the gravity moment generated by the gravity on the joint.
其中,关节的阻尼力矩τv可以根据关节的当前速度,以及关节的阻尼系数确定,比如阻尼力矩可以为当前速度乘以阻尼系数。通过阻尼力矩可以用于补偿关节的运动速度所产生的作用力。Wherein, the damping torque τv of the joint can be determined according to the current speed of the joint and the damping coefficient of the joint, for example, the damping torque can be the current speed multiplied by the damping coefficient. The damping torque can be used to compensate the force generated by the movement speed of the joint.
将所确定的阻尼力矩τv和重力补偿力矩τg求和得到关节的控制力矩τe,根据该控制力矩即可用于补偿关节的重力和运动作用力,使关节处于零力平衡的零力控制模式,可尽可能的减小机械臂产生的刚性碰撞,降低碰撞损害程度,提高使用安全性。Sum the determined damping torque τv and gravity compensation torque τg to obtain the control torque τe of the joint. According to the control torque, it can be used to compensate the gravity and motion force of the joint, so that the joint is in zero-force balance zero-force control Mode, which can minimize the rigid collision generated by the robotic arm, reduce the degree of collision damage, and improve the safety of use.
应理解,上述实施例中各步骤的序号的大小并不意味着执行顺序的先后,各过程的执行顺序应以其功能和内在逻辑确定,而不应对本申请实施例的实施过程构成任何限定。It should be understood that the sequence numbers of the steps in the above embodiments do not mean the order of execution, and the execution order of each process should be determined by its function and internal logic, and should not constitute any limitation to the implementation process of the embodiment of the present application.
图3为本申请实施例提供的一种机器人的碰撞保护装置的示意图,如图3所示,该装置包括:Fig. 3 is a schematic diagram of a collision protection device for a robot provided in an embodiment of the present application. As shown in Fig. 3, the device includes:
碰撞幅度获取单元301,用于获取所述机器人的机械臂的碰撞幅度。The collision
第一控制单元302,用于当所述碰撞幅度小于预定的幅度阈值,则根据所述机械臂的关节的前馈力矩、反馈力矩和预定的反馈力矩幅值常数控制所述机械臂的运动303。The
第二控制单元,用于当所述碰撞幅度大于或等于所述预定的幅度阈值,则通过为零力控制模式控制所述机械臂的运动。The second control unit is configured to control the movement of the mechanical arm in a zero-force control mode when the collision amplitude is greater than or equal to the predetermined amplitude threshold.
图3所示的机器人的碰撞保护装置,与图1所示的机器人碰撞保护方法对应。The robot collision protection device shown in FIG. 3 corresponds to the robot collision protection method shown in FIG. 1 .
图4是本申请一实施例提供的机器人的示意图。如图4所示,该实施例的机器人4包括:处理器40、存储器41以及存储在所述存储器41中并可在所述处理器40上运行的计算机程序42,例如机器人的碰撞保护程序。所述处理器40执行所述计算机程序42时实现上述各个机器人的碰撞保护方法实施例中的步骤。或者,所述处理器40执行所述计算机程序42时实现上述各装置实施例中各模块/单元的功能。Fig. 4 is a schematic diagram of a robot provided by an embodiment of the present application. As shown in FIG. 4 , the robot 4 of this embodiment includes: a
示例性的,所述计算机程序42可以被分割成一个或多个模块/单元,所述一个或者多个模块/单元被存储在所述存储器41中,并由所述处理器40执行,以完成本申请。所述一个或多个模块/单元可以是能够完成特定功能的一系列计算机程序指令段,该指令段用于描述所述计算机程序42在所述机器人4中的执行过程。Exemplarily, the
所述机器人可包括,但不仅限于,处理器40、存储器41。本领域技术人员可以理解,图4仅仅是机器人4的示例,并不构成对机器人4的限定,可以包括比图示更多或更少的部件,或者组合某些部件,或者不同的部件,例如所述机器人还可以包括输入输出设备、网络接入设备、总线等。The robot may include, but not limited to, a
所称处理器40可以是中央处理单元(Central Processing Unit,CPU),还可以是其他通用处理器、数字信号处理器(Digital Signal Processor,DSP)、专用集成电路(Application Specific Integrated Circuit,ASIC)、现场可编程门阵列(Field-Programmable Gate Array,FPGA)或者其他可编程逻辑器件、分立门或者晶体管逻辑器件、分立硬件组件等。通用处理器可以是微处理器或者该处理器也可以是任何常规的处理器等。The so-called
所述存储器41可以是所述机器人4的内部存储单元,例如机器人4的硬盘或内存。所述存储器41也可以是所述机器人4的外部存储设备,例如所述机器人4上配备的插接式硬盘,智能存储卡(Smart Media Card,SMC),安全数字(Secure Digital,SD)卡,闪存卡(Flash Card)等。进一步地,所述存储器41还可以既包括所述机器人4的内部存储单元也包括外部存储设备。所述存储器41用于存储所述计算机程序以及所述机器人所需的其他程序和数据。所述存储器41还可以用于暂时地存储已经输出或者将要输出的数据。The
所属领域的技术人员可以清楚地了解到,为了描述的方便和简洁,仅以上述各功能单元、模块的划分进行举例说明,实际应用中,可以根据需要而将上述功能分配由不同的功能单元、模块完成,即将所述装置的内部结构划分成不同的功能单元或模块,以完成以上描述的全部或者部分功能。实施例中的各功能单元、模块可以集成在一个处理单元中,也可以是各个单元单独物理存在,也可以两个或两个以上单元集成在一个单元中,上述集成的单元既可以采用硬件的形式实现,也可以采用软件功能单元的形式实现。另外,各功能单元、模块的具体名称也只是为了便于相互区分,并不用于限制本申请的保护范围。上述系统中单元、模块的具体工作过程,可以参考前述方法实施例中的对应过程,在此不再赘述。Those skilled in the art can clearly understand that for the convenience and brevity of description, only the division of the above-mentioned functional units and modules is used for illustration. In practical applications, the above-mentioned functions can be assigned to different functional units, Completion of modules means that the internal structure of the device is divided into different functional units or modules to complete all or part of the functions described above. Each functional unit and module in the embodiment may be integrated into one processing unit, or each unit may exist separately physically, or two or more units may be integrated into one unit, and the above-mentioned integrated units may adopt hardware It can also be implemented in the form of software functional units. In addition, the specific names of the functional units and modules are only for the convenience of distinguishing each other, and are not used to limit the protection scope of the present application. For the specific working processes of the units and modules in the above system, reference may be made to the corresponding processes in the aforementioned method embodiments, and details will not be repeated here.
在上述实施例中,对各个实施例的描述都各有侧重,某个实施例中没有详述或记载的部分,可以参见其它实施例的相关描述。In the above-mentioned embodiments, the descriptions of each embodiment have their own emphases, and for parts that are not detailed or recorded in a certain embodiment, refer to the relevant descriptions of other embodiments.
本领域普通技术人员可以意识到,结合本文中所公开的实施例描述的各示例的单元及算法步骤,能够以电子硬件、或者计算机软件和电子硬件的结合来实现。这些功能究竟以硬件还是软件方式来执行,取决于技术方案的特定应用和设计约束条件。专业技术人员可以对每个特定的应用来使用不同方法来实现所描述的功能,但是这种实现不应认为超出本申请的范围。Those skilled in the art can appreciate that the units and algorithm steps of the examples described in conjunction with the embodiments disclosed herein can be implemented by electronic hardware, or a combination of computer software and electronic hardware. Whether these functions are executed by hardware or software depends on the specific application and design constraints of the technical solution. Those skilled in the art may use different methods to implement the described functions for each specific application, but such implementation should not be regarded as exceeding the scope of the present application.
在本申请所提供的实施例中,应该理解到,所揭露的装置/终端设备和方法,可以通过其它的方式实现。例如,以上所描述的装置/终端设备实施例仅仅是示意性的,例如,所述模块或单元的划分,仅仅为一种逻辑功能划分,实际实现时可以有另外的划分方式,例如多个单元或组件可以结合或者可以集成到另一个系统,或一些特征可以忽略,或不执行。另一点,所显示或讨论的相互之间的耦合或直接耦合或通讯连接可以是通过一些接口,装置或单元的间接耦合或通讯连接,可以是电性,机械或其它的形式。In the embodiments provided in this application, it should be understood that the disclosed apparatus/terminal device and method may be implemented in other ways. For example, the device/terminal device embodiments described above are only illustrative. For example, the division of the modules or units is only a logical function division. In actual implementation, there may be other division methods, such as multiple units Or components may be combined or may be integrated into another system, or some features may be omitted, or not implemented. In another point, the mutual coupling or direct coupling or communication connection shown or discussed may be through some interfaces, and the indirect coupling or communication connection of devices or units may be in electrical, mechanical or other forms.
所述作为分离部件说明的单元可以是或者也可以不是物理上分开的,作为单元显示的部件可以是或者也可以不是物理单元,即可以位于一个地方,或者也可以分布到多个网络单元上。可以根据实际的需要选择其中的部分或者全部单元来实现本实施例方案的目的。The units described as separate components may or may not be physically separated, and the components shown as units may or may not be physical units, that is, they may be located in one place, or may be distributed to multiple network units. Part or all of the units can be selected according to actual needs to achieve the purpose of the solution of this embodiment.
另外,在本申请各个实施例中的各功能单元可以集成在一个处理单元中,也可以是各个单元单独物理存在,也可以两个或两个以上单元集成在一个单元中。上述集成的单元既可以采用硬件的形式实现,也可以采用软件功能单元的形式实现。In addition, each functional unit in each embodiment of the present application may be integrated into one processing unit, each unit may exist separately physically, or two or more units may be integrated into one unit. The above-mentioned integrated units can be implemented in the form of hardware or in the form of software functional units.
所述集成的模块/单元如果以软件功能单元的形式实现并作为独立的产品销售或使用时,可以存储在一个计算机可读取存储介质中。基于这样的理解,本申请实现上述实施例方法中的全部或部分流程,也可以通过计算机程序指令相关的硬件来完成,所述的计算机程序可存储于一计算机可读存储介质中,该计算机程序在被处理器执行时,可实现上述各个方法实施例的步骤。其中,所述计算机程序包括计算机程序代码,所述计算机程序代码可以为源代码形式、对象代码形式、可执行文件或某些中间形式等。所述计算机可读介质可以包括:能够携带所述计算机程序代码的任何实体或装置、记录介质、U盘、移动硬盘、磁碟、光盘、计算机存储器、只读存储器(ROM,Read-Only Memory)、随机存取存储器(RAM,RandomAccess Memory)、电载波信号、电信信号以及软件分发介质等。需要说明的是,所述计算机可读介质包含的内容可以根据司法管辖区内立法和专利实践的要求进行适当的增减,例如在某些司法管辖区,根据立法和专利实践,计算机可读介质不包括是电载波信号和电信信号。If the integrated module/unit is realized in the form of a software function unit and sold or used as an independent product, it can be stored in a computer-readable storage medium. Based on this understanding, all or part of the processes in the methods of the above embodiments in this application can also be completed by hardware related to computer program instructions. The computer program can be stored in a computer-readable storage medium. The computer program When executed by a processor, the steps in the above-mentioned various method embodiments can be realized. Wherein, the computer program includes computer program code, and the computer program code may be in the form of source code, object code, executable file or some intermediate form. The computer-readable medium may include: any entity or device capable of carrying the computer program code, a recording medium, a USB flash drive, a removable hard disk, a magnetic disk, an optical disk, a computer memory, and a read-only memory (ROM, Read-Only Memory) , random access memory (RAM, RandomAccess Memory), electric carrier signal, telecommunication signal and software distribution medium, etc. It should be noted that the content contained in the computer-readable medium may be appropriately increased or decreased according to the requirements of legislation and patent practice in the jurisdiction. For example, in some jurisdictions, according to legislation and patent practice, computer-readable Excluding electrical carrier signals and telecommunication signals.
以上所述实施例仅用以说明本申请的技术方案,而非对其限制;尽管参照前述实施例对本申请进行了详细的说明,本领域的普通技术人员应当理解:其依然可以对前述各实施例所记载的技术方案进行修改,或者对其中部分技术特征进行等同替换;而这些修改或者替换,并不使相应技术方案的本质脱离本申请各实施例技术方案的精神和范围,均应包含在本申请的保护范围之内。The above-described embodiments are only used to illustrate the technical solutions of the present application, rather than to limit them; although the present application has been described in detail with reference to the foregoing embodiments, those of ordinary skill in the art should understand that: it can still implement the foregoing embodiments Modifications to the technical solutions described in the examples, or equivalent replacements for some of the technical features; and these modifications or replacements do not make the essence of the corresponding technical solutions deviate from the spirit and scope of the technical solutions of the various embodiments of the application, and should be included in the Within the protection scope of this application.
| Application Number | Priority Date | Filing Date | Title |
|---|---|---|---|
| CN202211443665.0ACN115890666B (en) | 2022-11-18 | 2022-11-18 | Robot and collision protection method and device thereof and storage medium |
| Application Number | Priority Date | Filing Date | Title |
|---|---|---|---|
| CN202211443665.0ACN115890666B (en) | 2022-11-18 | 2022-11-18 | Robot and collision protection method and device thereof and storage medium |
| Publication Number | Publication Date |
|---|---|
| CN115890666Atrue CN115890666A (en) | 2023-04-04 |
| CN115890666B CN115890666B (en) | 2025-07-08 |
| Application Number | Title | Priority Date | Filing Date |
|---|---|---|---|
| CN202211443665.0AActiveCN115890666B (en) | 2022-11-18 | 2022-11-18 | Robot and collision protection method and device thereof and storage medium |
| Country | Link |
|---|---|
| CN (1) | CN115890666B (en) |
| Publication number | Priority date | Publication date | Assignee | Title |
|---|---|---|---|---|
| CN116442240A (en)* | 2023-05-26 | 2023-07-18 | 中山大学 | Robot zero-force control method and device based on high-pass filtering decoupling |
| Publication number | Priority date | Publication date | Assignee | Title |
|---|---|---|---|---|
| US20070013336A1 (en)* | 2005-05-19 | 2007-01-18 | Intuitive Surgical Inc. | Software center and highly configurable robotic systems for surgery and other uses |
| CN103144104A (en)* | 2013-03-04 | 2013-06-12 | 北京邮电大学 | 7-DOF (degree of freedom) space manipulator ground microgravity hybrid simulation method |
| CN103425100A (en)* | 2013-07-23 | 2013-12-04 | 南京航空航天大学 | Robot direct teaching control method based on moment balance |
| CN104057467A (en)* | 2014-06-13 | 2014-09-24 | 哈尔滨工业大学 | Air bearing type mechanical arm gravity compensation device based on annular air floating platform |
| CN107253196A (en)* | 2017-08-01 | 2017-10-17 | 中科新松有限公司 | A kind of mechanical arm collision checking method, device, equipment and storage medium |
| CN108972626A (en)* | 2018-08-22 | 2018-12-11 | 珠海格力电器股份有限公司 | Gravity compensation method and device, storage medium and robot |
| CN109079800A (en)* | 2018-10-29 | 2018-12-25 | 珠海格力智能装备有限公司 | Robot collision detection method and device, storage medium, processor and robot |
| CN110340885A (en)* | 2019-05-21 | 2019-10-18 | 南京航空航天大学 | A Collision Detection Method for Industrial Robots Based on Energy Deviation Observer |
| CN111098299A (en)* | 2019-12-06 | 2020-05-05 | 上海航天控制技术研究所 | Method for compensating disturbance of space robot |
| CN112372638A (en)* | 2020-10-28 | 2021-02-19 | 深圳市优必选科技股份有限公司 | Robot anti-collision method and device, storage medium and robot |
| CN113021340A (en)* | 2021-03-17 | 2021-06-25 | 华中科技大学鄂州工业技术研究院 | Robot control method, device, equipment and computer readable storage medium |
| CN113524190A (en)* | 2021-07-26 | 2021-10-22 | 深圳市优必选科技股份有限公司 | Robot foot end collision stability control method and device and foot type robot |
| US20220144358A1 (en)* | 2019-02-25 | 2022-05-12 | Agility Robotics, Inc. | Method and System for Improving Locomotion in a Robot |
| CN115042178A (en)* | 2022-06-27 | 2022-09-13 | 清华大学 | Robot reinforcement learning method, device, equipment and medium for ensuring contact safety |
| WO2022193639A1 (en)* | 2021-03-18 | 2022-09-22 | 深圳市优必选科技股份有限公司 | Mechanical arm, and trajectory planning method and apparatus therefor |
| Publication number | Priority date | Publication date | Assignee | Title |
|---|---|---|---|---|
| CN101227870A (en)* | 2005-05-19 | 2008-07-23 | 直观外科手术公司 | Software centric and highly configurable robotic system for surgical and other applications |
| US20070013336A1 (en)* | 2005-05-19 | 2007-01-18 | Intuitive Surgical Inc. | Software center and highly configurable robotic systems for surgery and other uses |
| CN103144104A (en)* | 2013-03-04 | 2013-06-12 | 北京邮电大学 | 7-DOF (degree of freedom) space manipulator ground microgravity hybrid simulation method |
| CN103425100A (en)* | 2013-07-23 | 2013-12-04 | 南京航空航天大学 | Robot direct teaching control method based on moment balance |
| CN104057467A (en)* | 2014-06-13 | 2014-09-24 | 哈尔滨工业大学 | Air bearing type mechanical arm gravity compensation device based on annular air floating platform |
| CN107253196A (en)* | 2017-08-01 | 2017-10-17 | 中科新松有限公司 | A kind of mechanical arm collision checking method, device, equipment and storage medium |
| CN108972626A (en)* | 2018-08-22 | 2018-12-11 | 珠海格力电器股份有限公司 | Gravity compensation method and device, storage medium and robot |
| CN109079800A (en)* | 2018-10-29 | 2018-12-25 | 珠海格力智能装备有限公司 | Robot collision detection method and device, storage medium, processor and robot |
| US20220144358A1 (en)* | 2019-02-25 | 2022-05-12 | Agility Robotics, Inc. | Method and System for Improving Locomotion in a Robot |
| CN110340885A (en)* | 2019-05-21 | 2019-10-18 | 南京航空航天大学 | A Collision Detection Method for Industrial Robots Based on Energy Deviation Observer |
| CN111098299A (en)* | 2019-12-06 | 2020-05-05 | 上海航天控制技术研究所 | Method for compensating disturbance of space robot |
| CN112372638A (en)* | 2020-10-28 | 2021-02-19 | 深圳市优必选科技股份有限公司 | Robot anti-collision method and device, storage medium and robot |
| CN113021340A (en)* | 2021-03-17 | 2021-06-25 | 华中科技大学鄂州工业技术研究院 | Robot control method, device, equipment and computer readable storage medium |
| WO2022193639A1 (en)* | 2021-03-18 | 2022-09-22 | 深圳市优必选科技股份有限公司 | Mechanical arm, and trajectory planning method and apparatus therefor |
| CN113524190A (en)* | 2021-07-26 | 2021-10-22 | 深圳市优必选科技股份有限公司 | Robot foot end collision stability control method and device and foot type robot |
| CN115042178A (en)* | 2022-06-27 | 2022-09-13 | 清华大学 | Robot reinforcement learning method, device, equipment and medium for ensuring contact safety |
| Title |
|---|
| 徐建明;赵智鹏;董建伟;: "连杆侧无传感器下机器人柔性关节系统的零力控制", 浙江大学学报(工学版), no. 07, 31 December 2020 (2020-12-31), pages 12 - 20* |
| 李艳杰, 赵铁军, 谈大龙, 吴镇炜, 钟华: "仿人机器人发展现状及其腰部机构研究", 机械科学与技术, no. 04, 30 April 2005 (2005-04-30), pages 25 - 28* |
| 陈鹏;李洪谊;: "FS-SEA柔性臂改进的反馈计算力矩控制方法", 载人航天, no. 02, 31 December 2016 (2016-12-31), pages 95 - 106* |
| Publication number | Priority date | Publication date | Assignee | Title |
|---|---|---|---|---|
| CN116442240A (en)* | 2023-05-26 | 2023-07-18 | 中山大学 | Robot zero-force control method and device based on high-pass filtering decoupling |
| CN116442240B (en)* | 2023-05-26 | 2023-11-14 | 中山大学 | A zero-force control method and device for robots based on high-pass filter decoupling |
| Publication number | Publication date |
|---|---|
| CN115890666B (en) | 2025-07-08 |
| Publication | Publication Date | Title |
|---|---|---|
| CN113119111A (en) | Mechanical arm and track planning method and device thereof | |
| US20210325894A1 (en) | Deep reinforcement learning-based techniques for end to end robot navigation | |
| US12240119B2 (en) | Motion control method, robot, and computer-readable storage medium | |
| CN111421543B (en) | Control method, device and system of mechanical arm and storage medium | |
| US12233550B2 (en) | Robot control method, robot, and computer-readable storage medium | |
| CN113814978B (en) | Robot control method, robot control device, robot, and storage medium | |
| CN108098776B (en) | An automatic grabbing method, device, manipulator and storage medium | |
| CN115890666A (en) | Robot, collision protection method and device thereof, and storage medium | |
| WO2022135408A1 (en) | Rotation angle control method and apparatus for steering wheel of vehicle, and vehicle | |
| CN114800532B (en) | Manipulator control parameter determination method, device, equipment, medium and robot | |
| CN112528434A (en) | Information identification method and device, electronic equipment and storage medium | |
| CN115042178A (en) | Robot reinforcement learning method, device, equipment and medium for ensuring contact safety | |
| CN109709807B (en) | Self-adaptive neural network control method and device based on friction compensation | |
| CN112613149B (en) | Determination method and device of reduction ratio and electronic equipment | |
| CN112199833B (en) | Joint dynamics model optimization method, system, terminal equipment and storage medium | |
| CN118514081A (en) | Robot satellite assembly method and system based on multi-mode reinforcement learning | |
| CN116643501B (en) | Variable impedance control method and system for aerial working robot under stability constraint | |
| CN117532623B (en) | A method for estimating the external torque of a robotic arm | |
| US12186909B2 (en) | Robot control method, robot, and computer-readable storage medium | |
| CN112152520A (en) | Closed-loop network multi-motor cooperative motion control method and system | |
| CN110888319A (en) | Longitudinal control system and longitudinal control method for autonomous vehicle | |
| CN114260890B (en) | Method and device for determining state of robot, robot and storage medium | |
| CN117733867B (en) | A method, device, equipment and medium for safe human-computer interaction compliance control | |
| US20250244769A1 (en) | Robot control method, and computer-readable storage medium and wheel-legged biped robot using the same | |
| CN116512225B (en) | Robot dragging teaching method, device, electronic device and readable storage medium |
| Date | Code | Title | Description |
|---|---|---|---|
| PB01 | Publication | ||
| PB01 | Publication | ||
| SE01 | Entry into force of request for substantive examination | ||
| SE01 | Entry into force of request for substantive examination | ||
| GR01 | Patent grant | ||
| GR01 | Patent grant |