Movatterモバイル変換


[0]ホーム

URL:


CN115880745B - Data processing system for acquiring facial image characteristics - Google Patents

Data processing system for acquiring facial image characteristics
Download PDF

Info

Publication number
CN115880745B
CN115880745BCN202211089095.XACN202211089095ACN115880745BCN 115880745 BCN115880745 BCN 115880745BCN 202211089095 ACN202211089095 ACN 202211089095ACN 115880745 BCN115880745 BCN 115880745B
Authority
CN
China
Prior art keywords
image
data processing
preset
target
list
Prior art date
Legal status (The legal status is an assumption and is not a legal conclusion. Google has not performed a legal analysis and makes no representation as to the accuracy of the status listed.)
Active
Application number
CN202211089095.XA
Other languages
Chinese (zh)
Other versions
CN115880745A (en
Inventor
刘晓文
李凡平
石柱国
Current Assignee (The listed assignees may be inaccurate. Google has not performed a legal analysis and makes no representation or warranty as to the accuracy of the list.)
ISSA Technology Co Ltd
Original Assignee
ISSA Technology Co Ltd
Priority date (The priority date is an assumption and is not a legal conclusion. Google has not performed a legal analysis and makes no representation as to the accuracy of the date listed.)
Filing date
Publication date
Application filed by ISSA Technology Co LtdfiledCriticalISSA Technology Co Ltd
Priority to CN202211089095.XApriorityCriticalpatent/CN115880745B/en
Publication of CN115880745ApublicationCriticalpatent/CN115880745A/en
Application grantedgrantedCritical
Publication of CN115880745BpublicationCriticalpatent/CN115880745B/en
Activelegal-statusCriticalCurrent
Anticipated expirationlegal-statusCritical

Links

Images

Classifications

Landscapes

Abstract

The invention relates to a data processing system for acquiring facial image characteristics, which comprises: the system comprises a database, a processor, a memory storing a computer program, a first image data processing platform and N second image data processing platforms, wherein the database comprises a first face image list and a preset image information set, and when the computer program is executed by the processor, the following steps are realized: inputting preset image information into a second image data processing platform, carrying out clustering processing, comparing the first face image with the preset image information to obtain a first target image feature set, and obtaining a second target image feature set according to the first target image feature set and the first image data processing platform and returning the second target image feature set to the first target user. The invention provides a novel method for acquiring the characteristics of the face image, which processes the face image by correlating a plurality of data query platforms, so that the acquired characteristics of the face image have higher accuracy.

Description

Data processing system for acquiring facial image characteristics
Technical Field
The invention relates to the technical field of image processing, in particular to a data processing system for acquiring facial image characteristics.
Background
Along with the rapid development of the face image recognition technology, the face recognition expands diversified industry application in the fields of station airport ticket checking systems, residential entrance and exit management, accurate business marketing, examination room identity verification and the like, and at present, the face image recognition method is diversified and how to process the face image, so that the recognition efficiency and accuracy of the face image are effectively improved, the current mainstream research direction is already achieved, the face image recognition speed and accuracy are continuously enhanced, and accurate service can be provided for each industry.
A method for acquiring facial image features in the prior art is known as follows: extracting the characteristics of the face image, calculating the similarity between the face image to be searched and the face image vector in the target database by using the Euclidean distance or the cosine distance, and obtaining the face image characteristics of which the similarity with the face image to be searched meets the preset condition, wherein the method for obtaining the face image characteristics has the following problems:
on one hand, the number of face images of the database is large, and the search and recognition range of the face images is enlarged by one-to-one comparison with the feature vector of each face image, so that the real-time performance of face recognition is reduced;
on the other hand, the data information is stored in the same platform, and the data storage space is too large, so that the information in the database is lost, and the accuracy of the obtained face image features is lower.
Disclosure of Invention
Aiming at the technical problems, the invention adopts the following technical scheme: a data processing system for acquiring facial image features, the system comprising: the system comprises a database, a processor, a memory storing a computer program, a first image data processing platform and N second image data processing platforms, wherein the database comprises a first face image list and a preset image information set, and when the computer program is executed by the processor, the following steps are realized:
s100, acquiring a first face image list A= { A from a database1 ,……,Ai ,……,Aλ },Ai For the first face image corresponding to the ith first target user, i= … … λ, where λ is the number of first target users.
S200, acquiring a preset image information set M= { M from a database1 ,……,Ms ,……,Mv },Ms For the s-th preset image information in the database, s= … … v, v is the number of preset image information.
S300, inputting M into N second image data processing platforms, and obtaining a target image vector list C corresponding to each second image data processing platformh ={Ch0 ,……,Chk ,……,C }, wherein Chk For the kth target image vector corresponding to the (h) th second image data processing platform, h= … … N, Chk =Mh+k*N ,Mh+k*N For the (h+k x N) th preset image information in M, k=0 … … μ,
Figure SMS_1
s400, pair Chk Processing to obtain Ch Corresponding set of target image vector types C'h ={C'h1 ,……,C' ,……,C'ha },C' ={C'1 ,……,C'u ,……,C'w(β) },C'u For the nth target image vector in the nth class in the nth second image data processing platform, u= … … w (β), w (β) is the number of target image vectors in the nth class, β= … … a, a is C'h The number of target image vector types.
S500, according to A and C'u Acquiring a first target image feature set AC= { AC corresponding to A1 ,……,ACi ,……,ACλ },ACi Is Ai A corresponding first list of target image features.
S600 according to ACi The first image data processing platform acquires a second target image feature set AD= { AD corresponding to the A1 ,……,ADi ,……,ADλ },ADi Is Ai And a corresponding second target image feature list.
S700, ADi And sending the message to the ith first target user.
Compared with the prior art, the data processing system for acquiring the facial image features has obvious beneficial effects, can achieve quite technical progress and practicality, has wide industrial utilization value, and has at least the following beneficial effects:
the invention provides a data processing system for acquiring facial image characteristics, which comprises: the system comprises a database, a processor, a memory storing a computer program, a first image data processing platform and N second image data processing platforms, wherein the database comprises a first face image list and a preset image information set, and when the computer program is executed by the processor, the following steps are realized: acquiring a first face image list and a preset image information set from a database, inputting the preset image information set into N second image data processing platforms to acquire a target image vector list corresponding to each second image data processing platform, carrying out clustering processing on target image vectors in each second image data processing platform to acquire a target image vector type set corresponding to each second image data processing platform, acquiring a first target image feature set corresponding to a first face image according to the first face image list and the target image vectors, acquiring a second target image feature set corresponding to the first face image according to the first target image feature and the first image data processing platform, and sending the second target image feature set corresponding to the first face image to a first target user. As can be seen, in one aspect of the invention, the face images in the database are not subjected to one-to-one comparison, the preset image information in the database is subjected to clustering treatment, the comparison is firstly performed with the preset image information type, and then the comparison is performed with the preset image information meeting the preset type, so that the face image searching and identifying range is reduced, and the real-time performance of face identification is improved; on the other hand, the plurality of data query platforms are associated, face images are processed at the same time, the clustering quantity of data in the data query platforms is dynamically adjusted, the data storage space is improved, and the accuracy of the obtained face image features is higher under the condition that information in a database is not lost.
The foregoing description is only an overview of the present invention, and is intended to be implemented in accordance with the teachings of the present invention, as well as the preferred embodiments thereof, together with the following detailed description of the invention, given by way of illustration only, together with the accompanying drawings.
Drawings
In order to more clearly illustrate the technical solutions of the embodiments of the present invention, the drawings required for the description of the embodiments will be briefly described below, and it is apparent that the drawings in the following description are only some embodiments of the present invention, and other drawings may be obtained according to these drawings without inventive effort for a person skilled in the art.
Fig. 1 is a flowchart of an execution computer program of a data processing system for acquiring facial image features according to an embodiment of the present invention.
Detailed Description
The following description of the embodiments of the present invention will be made clearly and completely with reference to the accompanying drawings, in which it is apparent that the embodiments described are only some embodiments of the present invention, but not all embodiments. All other embodiments, which can be made by those skilled in the art based on the embodiments of the invention without making any inventive effort, are intended to fall within the scope of the invention.
It should be noted that the terms "first," "second," and the like in the description and the claims of the present invention and the above figures are used for distinguishing between similar objects and not necessarily for describing a particular sequential or chronological order. It is to be understood that the data so used may be interchanged where appropriate such that the embodiments of the invention described herein may be implemented in sequences other than those illustrated or otherwise described herein. Furthermore, the terms "comprises," "comprising," and "having," and any variations thereof, are intended to cover a non-exclusive inclusion, such that a process, method, system, article, or server that comprises a list of steps or elements is not necessarily limited to those steps or elements expressly listed or inherent to such process, method, article, or apparatus, but may include other steps or elements not expressly listed or inherent to such process, method, article, or apparatus.
A data processing system for acquiring facial image features, the system comprising: the image processing system comprises a database, a processor, a memory storing a computer program, a first image data processing platform and N second image data processing platforms, wherein the database comprises a first face image list and a preset image information set, and when the computer program is executed by the processor, the following steps are realized, as shown in fig. 1:
s100, acquiring a first face image list A= { A from a database1 ,……,Ai ,……,Aλ },Ai For the first face image corresponding to the ith first target user, i= … … λ, where λ is the number of first target users.
Specifically, the database further includes an initial face image set of the target user, and when the computer program is executed by the processor, the first face image list is obtained through the following steps:
s110, acquiring a first face image list A and a second face image list B according to the initial face image set of the target user.
Specifically, in S110, the following steps are further included:
s111, acquiring an initial face image set Q= { Q of a target user from a database1 ,……,Qg ,……,Qn },Qg For the g-th face image of the target user, g= … … n, n is the number of target users.
S112, according to Q, obtaining an initial time list T= { T corresponding to Q1 ,……,Tg ,……,Tn },Tg Is Qg Corresponding initial time nodes.
S113, when T0 -Tg When T 'is less than or equal to T', T is taken asg Corresponding Qg Inserting a first initial face image list A '= { A'1 ,……,A'q ,……,A'b },A'q For the first initial face image corresponding to the q-th first initial target user, q= … … b, where b is the number of first initial target users, where T0 And T' is a preset first time threshold value for the current time node corresponding to the Q.
Specifically, the value range of T 'is 90 to 180 days, and those skilled in the art know that T' is selected according to actual requirements, which is not described herein.
S114, when T0 -Tg At > T', T is takeng Corresponding Qg Inserting a second initial face image list B '= { B'1 ,……,B'L ,……,B't },B'L For the second initial face image corresponding to the L-th second initial target user, l= … … t, where t is the number of second initial target users.
S115, when b > lambda0 When a=a 'and b=b' are acquired.
S116, when b is less than or equal to lambda0 When T 'is replaced by T'1 Wherein lambda is0 For a preset image quantity threshold value, T'1 Is a preset second time threshold.
Specifically, λ is performed according to the data amount storable by the second image data processing platform0 Is known to those skilled in the art, and is not described in detail herein.
Specifically, T'1 >T'。
By expanding the time range, more initial face images are distributed in the first initial face image set, the comparison quantity of the initial face images with preset image information in the database can be reduced, the face image searching and identifying range is reduced, and the real-time performance of face identification is improved.
S107, when T0 -TL ≤T'1 When B 'is to be used'L Inserted into a 'to obtain a=a', wherein TL Is B'L Corresponding time nodes.
S108, when T0 -TL >T'1 When B 'is to be used'j Deleted in B 'to obtain b=b'.
According to the method, the initial face images of the target users are divided and classified according to different times, the time is dynamically adjusted according to the data quantity which can be stored by the second image data processing platform, more face images are input into the second data platform, the face image searching and identifying range can be shortened, and the real-time performance of face identification is improved.
S200, acquiring a preset image information set M= { M from a database1 ,……,Ms ,……,Mv },Ms For the s-th preset image information in the database, s= … … v, v is the number of preset image information.
S300, inputting M into N second image data processing platforms, and obtaining a target image vector list C corresponding to each second image data processing platformh ={Ch0 ,……,Chk ,……,C }, wherein Chk For the kth target image vector corresponding to the (h) th second image data processing platform, h= … … N, Chk =Mh+k*N ,Mh+k*N For the (h+k x N) th preset image information in M, k=0 … … μ,
Figure SMS_2
according to the method, the preset image information is input to the N second image data processing platforms, a certain amount of preset image information is stored in each second image data processing platform, and the association relation is established by storing the data information in different platforms, so that the data storage space is reduced, and the accuracy of the obtained face image features is higher under the condition that the database information is not lost.
S400, pair Chk Processing to obtain Ch Corresponding set of target image vector types C'h ={C'h1 ,……,C' ,……,C'ha },C' ={C'1 ,……,C'u ,……,C'w(β) },C'u For the nth target image vector in the nth class in the nth second image data processing platform, u= … … w (β), w (β) is the number of target image vectors in the nth class, β= … … a, a is C'h The number of target image vector types.
Specifically, in S400, the following steps are further included:
s401, from Ch Mid-image vector type set Hh ={Hh1 ,……,H ,……,Hha Sum Hh Corresponding initial center point set H1h ={H1h1 ,……,H1 ,……,H1ha },H For the intermediate image vector of the beta type in the H second image data processing platform, H1 From C when initially unblusteredh The vector of the beta sample obtained in (1), wherein, the initial H =Null。
S402, according to Ch And H1h Obtaining Chk Corresponding target similarity list HChk ={HC1hk ,……,HCβhk ,……,HCahk },HCβhk Is Chk And H is1 The target similarity between the two can be calculated according to any model by a person skilled in the art, and will not be described here.
S403, when HCβhk Is HC (HC)hk At the minimum of (C)hk Inserted into H In order to obtain C' =H
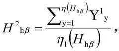
S404, according to H Obtaining Hh Corresponding intermediate center point set H2h ={H2h1 ,……,H2 ,……,H2ha }, wherein H2 Meets the following conditions:
Figure SMS_3
wherein Y is1y To H after 1 st clustering The y-th preset image information, eta1 (H ) To H after 1 st clustering The number of image information is preset.
S405, repeatedly executing S402-S404 to obtain Hh Corresponding target center point set HEh ={HEh1 ,……,HE ,……,HEha }, wherein HE Is the beta target center point obtained after the clustering of the (E-1) th time.
Specifically, the HE Acquisition mode and H of (2)2 The acquisition modes of the obtained images are consistent.
S406, when HE =HE-1 At the time, C' =H
According to the method, the preset image information in each second image data processing platform is clustered, similar images are gathered into one type, and when the first face image is compared with the preset image information in the second image data processing platform, the face image recognition search range can be narrowed, so that the real-time performance of face recognition is improved.
Specifically, in S400, a meets the following condition:
a=r1 (μ+1)3 +r2 (μ+1)2 +r3 (μ+1)+r4 wherein r is1 For a preset first parameter, r2 For a preset second parameter, r3 R is a preset third parameter4 Is a preset fourth parameter.
Specifically, r1 The range of the value of (C) is-8 e-13 ~-5e-12 Wherein e is the euler constant.
Preferably, r1 The value of (2) is-4 e-12
Specifically, r2 The value range of (2) is 2e-8 ~3e-6
Preferably, r2 Has a value of 2e-7
Specifically, r3 The range of the value of (2) is-1 to 1.
Preferably, r3 Has a value of-0.0068.
Specifically, r4 The range of the value of (2) is 50-100.
Preferably, r4 Is 99.025.
Above-mentioned, carry out the adjustment of face image type quantity according to the size of face image data volume, the balance of performance and recall rate when can guaranteeing the data match for when obtaining initial face image feature, guarantee the efficiency of data operation and the comprehensiveness of data match, make the degree of accuracy of the face image feature who obtains higher.
S500, according to A and C'u Acquiring a first target image feature set AC= { AC corresponding to A1 ,……,ACi ,……,ACλ },ACi Is Ai A corresponding first list of target image features.
Specifically, in S500, the following steps are further included:
s501 according to Ai And C'h Obtaining Ai Corresponding first similarity list Fih ={Fih1 ,……,Fi ,……,Fiha },Fi Is Ai And C' Is a first similarity of (c).
Specifically, in S501, the following steps are further included:
s5011, according to A, obtaining a first face image vector list A corresponding to A0 ={A01 ,……,A0i ,……,A0λ },A0i Is Ai A corresponding first face image vector.
Specifically, the model for converting the first face image into the first face image vector is selected by a person skilled in the art according to actual requirements, and will not be described herein.
S5013, according to A0 Obtaining A0i =(A0i1 ,……,A0ix ,……,A0ip ) Wherein A is0ix Is A0i The bit value of the x-th bit in (1), x= … … p, p is the dimension of the first face image vector.
S5015, according to C'h Obtaining C'u =(C'u1 ,……,C'ux ,……,C'up ) Wherein C'ux Is C'u Bit value of the x-th bit in (b).
S5017 according to A0ix And C'ux Obtaining a first similarity Fi Wherein F isi Meets the following conditions:
Figure SMS_4
s503, when Fi ≥F0 At the time, obtain Ai Corresponding second similarity list Fi ={Fi1 ,……,Fiu ,……,Fiw(β) },Fiu Is Ai And C'u Is of the second similarity of F0 Is a preset first similarity threshold.
Specifically, Fiu Acquisition mode and F of (2)i The acquisition modes of the obtained images are consistent.
Specifically, F0 The value range of (2) is 0.85-0.9, and the preset similarity threshold is set by the person skilled in the art according to the actual requirement, and will not be described herein.
S505, when Fiu ≥F1 At the time, the AC is acquiredi Wherein F1 Is a preset second similarity threshold.
Specifically, F1 The value range of (2) is 0.85-0.9, and the preset similarity threshold is set by the person skilled in the art according to the actual requirement, and will not be described herein.
Specifically, F0 =F1
Specifically, the second image data processing platform further includes Ch Corresponding first image feature list FCh ={FCh0 ,……,FChk ,……,FC },FChk ={FC1hk ,……,FCθhk ,……,FCζhk },FCθhk Is Chk Corresponding to the first record included in the θ -th first field in the first image feature list, θ= … … ζ, where ζ is the number of first fields.
Specifically, in S505, the following steps are further included:
s501, when Fiu ≥F1 At the time, F is acquirediu Corresponding C'u
S503, when C'u =Chk At the time, the AC is acquiredi =FChk
The first face image is compared with the target image vector types in each second image data processing platform, the target image vector types meeting the conditions are selected according to the preset similarity threshold, and then the comparison is carried out with the target image vectors meeting the conditions, so that the face image searching range can be narrowed, the real-time performance of face recognition is improved, meanwhile, the data storage space is reduced, and the accuracy of the obtained face image features is higher under the condition that database information is not lost.
S600 according to ACi The first image data processing platform acquires a second target image feature set AD= { AD corresponding to the A1 ,……,ADi ,……,ADλ },ADi Is Ai And a corresponding second target image feature list.
Specifically, the first image data processing platform further includes a second image feature list M ' = { M ' corresponding to M '1 ,……,M's ,……,M'v },M's ={M's1 ,……,M' ,……,M' },M' Is Ms And the epsilon=1 … … eta, eta is the number of the second fields, of the second records contained in the epsilon second field in the corresponding second image feature list.
Specifically, the step S600 includes the following steps:
s601, when the theta first field is a preset field and the epsilon second field is a preset field, obtaining the FCθhk And M' Wherein the preset field is an ID.
S603, when s=h+k×n, acquiring ADi =M's
By associating the data in the first image data processing platform with the data in the second image data processing platform, the second image data processing platform with less stored data is subjected to the same ID matching with the first image data processing platform, so that all the information of the first face image is obtained, the searching range of the face image is reduced, the real-time performance of face recognition is improved, and meanwhile, the accuracy of the obtained face image features is higher under the condition that the database information is not lost.
S700, ADi And sending the message to the ith first target user.
Specifically, the method further comprises the following steps after S700:
s800, obtaining a second face image list B= { B from the database1 ,……,Bj ,……,Bγ },Bj For the second face image corresponding to the j-th second target user, j= … … γ, and γ is the number of second target users.
S900, B and M are input into the first image data processing platform, and a second target image feature set BD= { BD corresponding to B is obtained1 ,……,BDj ,……,BDγ },BDj Is Bj And a corresponding second target image feature list.
Specifically, in S900, the following steps are further included:
s901, according to B, obtaining a second face image vector list B corresponding to B0 ={B01 ,……,B0j ,……,B0γ },B0j And the j second face image vector is the j second face image vector in the B.
Specifically, the mode of acquiring the second face image vector is consistent with the mode of acquiring the first face image vector, and the fact that the acquired vector forms are inconsistent due to different modes can be avoided by ensuring the consistency of the acquisition modes, the accuracy of subsequent similarity calculation is affected, and therefore the accuracy of the acquired face image features is affected.
S903, obtaining B from B and Mj Corresponding third similarity list BMj ={BM1j ,……,BMsj ,……,BMvj },BMsj Is Bj And M is as followss Is a third similarity of (3).
Specifically, BMsj Acquisition mode of Fiu Acquisition mode and BM of (a)sj The acquisition modes of the obtained images are consistent.
S905, as BMsj ≥F2 At the time of acquiring BDj Wherein F is2 Is a preset third similarity threshold.
Specifically, F2 The value range of (2) is 0.85-0.9, and the preset similarity threshold is set by the person skilled in the art according to the actual requirement, and will not be described herein.
Specifically, F0 =F1 =F2
Specifically, in S905, the following steps are further included:
s9051, as BMsj ≥F2 At the time, obtain Bj Corresponding Ms
S9053 according to Ms And M's Obtaining BDj ={M's1 ,……,M' ,……,M' }。
S1000, BD is processedj And transmitting to the j second target user.
The invention provides a data processing system for acquiring facial image characteristics, which comprises: the system comprises a database, a processor, a memory storing a computer program, a first image data processing platform and N second image data processing platforms, wherein the database comprises a first face image list and a preset image information set, and when the computer program is executed by the processor, the following steps are realized: acquiring a first face image list and a preset image information set from a database, inputting the preset image information set into N second image data processing platforms to acquire a target image vector list corresponding to each second image data processing platform, carrying out clustering processing on target image vectors in each second image data processing platform to acquire a target image vector type set corresponding to each second image data processing platform, acquiring a first target image feature set corresponding to a first face image according to the first face image list and the target image vectors, acquiring a second target image feature set corresponding to the first face image according to the first target image feature and the first image data processing platform, and sending the second target image feature set corresponding to the first face image to a first target user. As can be seen, in one aspect of the invention, the face images in the database are not subjected to one-to-one comparison, the preset image information in the database is subjected to clustering treatment, the comparison is firstly performed with the preset image information type, and then the comparison is performed with the preset image information meeting the preset type, so that the face image searching and identifying range is reduced, and the real-time performance of face identification is improved; on the other hand, the plurality of data query platforms are associated, face images are processed at the same time, the clustering quantity of data in the data query platforms is dynamically adjusted, the data storage space is improved, and the accuracy of the obtained face image features is higher under the condition that information in a database is not lost.
While certain specific embodiments of the invention have been described in detail by way of example, it will be appreciated by those skilled in the art that the above examples are for illustration only and are not intended to limit the scope of the invention. Those skilled in the art will also appreciate that many modifications may be made to the embodiments without departing from the scope and spirit of the invention. The scope of the invention is defined by the appended claims.

Claims (7)

1. A data processing system for acquiring facial image features, the system comprising: the system comprises a database, a processor, a memory storing a computer program, a first image data processing platform and N second image data processing platforms, wherein the database comprises a first face image list and a preset image information set, and when the computer program is executed by the processor, the following steps are realized:
s100, acquiring a first face image list A= { A from a database1 ,……,Ai ,……,Aλ },Ai For the first face image corresponding to the ith first target user, i= … … λ, where λ is the number of first target users;
s200, acquiring a preset image information set M= { M from a database1 ,……,Ms ,……,Mv },Ms S= … … v for the s-th preset image information in the database, v being the number of preset image information;
s300, inputting M into N second image data processing platforms, and obtaining a target image corresponding to each second image data processing platformVector list Ch ={Ch0 ,……,Chk ,……,C }, wherein Chk For the kth target image vector corresponding to the (h) th second image data processing platform, h= … … N, Chk =Mh+k*N ,Mh+k*N For the (h+k x N) th preset image information in M, k=0 … … μ,
Figure FDA0004230318090000011
s400, pair Chk Processing to obtain Ch Corresponding set of target image vector types C'h ={C'h1 ,……,C' ,……,C'ha },C' ={C'1 ,……,C'u ,……,C'w(β) },C'u For the nth target image vector in the nth class in the nth second image data processing platform, u= … … w (β), w (β) is the number of target image vectors in the nth class, β= … … a, a is C'h The number of target image vector types; wherein, in S400, the following steps are further included:
s401, from Ch Mid-image vector type set Hh ={Hh1 ,……,H ,……,Hha Sum Hh Corresponding initial center point set H1h ={H1h1 ,……,H1 ,……,H1ha },H For the intermediate image vector of the beta type in the H second image data processing platform, H1 From C when initially unblusteredh The vector of the beta sample obtained in (1), wherein, the initial H =Null;
S402, according to Ch And H1h Obtaining Chk Corresponding target similarity list HChk ={HC1hk ,……,HCβhk ,……,HCahk },HCβhk Is Chk And H is1 Target similarity between the two;
s403, when HCβhk Is HC (HC)hk At the minimum of (C)hk Inserted into H In order to obtain C' =H
S404, according to H Obtaining Hh Corresponding intermediate center point set H2h ={H2h1 ,……,H2 ,……,H2ha }, wherein H2 Meets the following conditions:
Figure FDA0004230318090000012
wherein Y is1y To H after 1 st clustering The y-th preset image information, eta1 (H ) To H after 1 st clustering The number of the preset image information;
s405, repeatedly executing S402-S404 to obtain Hh Corresponding target center point set HEh ={HEh1 ,……,HE ,……,HEha }, wherein HE The beta target center point is obtained after clustering for the (E-1) th time;
s406, when HE =HE-1 At the time, C' =H
S500, according to A and C'u Acquiring a first target image feature set AC= { AC corresponding to A1 ,……,ACi ,……,ACλ },ACi Is Ai A corresponding first target image feature list; wherein, in S500, the method further comprises the following steps:
s501 according to Ai And C'h Obtaining Ai Corresponding first similarity list Fih ={Fih1 ,……,Fi ,……,Fiha },Fi Is Ai And C' Wherein in S501 the steps of:
s5011, according to A, obtaining a first face image vector list A corresponding to A0 ={A01 ,……,A0i ,……,A0λ },A0i Is Ai A corresponding first face image vector;
s5013, according to A0 Obtaining A0i =(A0i1 ,……,A0ix ,……,A0ip ) Wherein A is0ix Is A0i The bit value of the x-th bit in the table, x= … … p, p is the dimension of the first face image vector;
s5015, according to C'h Obtaining C'u =(C'u1 ,……,C'ux ,……,C'up ) Wherein C'ux Is C'u Bit value of the x-th bit of the middle;
s5017 according to A0ix And C'ux Obtaining a first similarity Fi Wherein F isi Meets the following conditions:
Figure FDA0004230318090000021
s503, when Fi ≥F0 At the time, obtain Ai Corresponding second similarity list Fi ={Fi1 ,……,Fiu ,……,Fiw(β) },Fiu Is Ai And C'u Is of the second similarity of F0 Is a preset first similarity threshold value, wherein Fiu Acquisition mode and F of (2)i The acquisition modes of the two are consistent;
s505, when Fiu ≥F0 At the time, the AC is acquiredi
S600 according to ACi The first image data processing platform acquires a second target image feature set AD= { AD corresponding to the A1 ,……,ADi ,……,ADλ },ADi Is Ai A corresponding second target image feature list;
s700, ADi And sending the message to the ith first target user.
2. The data processing system for acquiring facial image features according to claim 1, wherein in S400, a meets the following condition:
a=r1 (μ+1)3 +r2 (μ+1)2 +r3 (μ+1)+r4 wherein r is1 For a preset first parameter, r2 For a preset second parameter, r3 R is a preset third parameter4 Is a preset fourth parameter.
3. The data processing system for acquiring facial image features according to claim 1, wherein said second image data processing platform further comprises Ch Corresponding first image feature list FCh ={FCh0 ,……,FChk ,……,FC },FChk ={FC1hk ,……,FCθhk ,……,FCζhk },FCθhk Is Chk Corresponding to the first record included in the θ -th first field in the first image feature list, θ= … … ζ, where ζ is the number of first fields.
4. A data processing system for acquiring facial image features as in claim 3, comprising the steps of, in S505:
s5051, when Fiu ≥F0 At the time, F is acquirediu Corresponding C'u
S5053, when C'u =Chk At the time, the AC is acquiredi =FChk
5. A data processing system for acquiring facial image features according to claim 3, wherein the first image data processing platform further comprises a second image feature list M ' = { M ' corresponding to M '1 ,……,M's ,……,M'v },M's ={M's1 ,……,M' ,……,M' },M' Is Ms And the epsilon=1 … … eta, eta is the number of the second fields, of the second records contained in the epsilon second field in the corresponding second image feature list.
6. The data processing system for acquiring facial image features according to claim 5 wherein the fields contained in the first field belong to the fields in the second field.
7. The data processing system for acquiring facial image features according to claim 5, comprising the steps of, in S600:
s601, when the theta first field is a preset field and the epsilon second field is a preset field, obtaining the FCθhk And M' Wherein the preset field is an ID;
s603, when s=h+k×n, acquiring ADi =M's
CN202211089095.XA2022-09-072022-09-07Data processing system for acquiring facial image characteristicsActiveCN115880745B (en)

Priority Applications (1)

Application NumberPriority DateFiling DateTitle
CN202211089095.XACN115880745B (en)2022-09-072022-09-07Data processing system for acquiring facial image characteristics

Applications Claiming Priority (1)

Application NumberPriority DateFiling DateTitle
CN202211089095.XACN115880745B (en)2022-09-072022-09-07Data processing system for acquiring facial image characteristics

Publications (2)

Publication NumberPublication Date
CN115880745A CN115880745A (en)2023-03-31
CN115880745Btrue CN115880745B (en)2023-07-04

Family

ID=85769778

Family Applications (1)

Application NumberTitlePriority DateFiling Date
CN202211089095.XAActiveCN115880745B (en)2022-09-072022-09-07Data processing system for acquiring facial image characteristics

Country Status (1)

CountryLink
CN (1)CN115880745B (en)

Family Cites Families (10)

* Cited by examiner, † Cited by third party
Publication numberPriority datePublication dateAssigneeTitle
US20170132457A1 (en)*2014-06-272017-05-11Beijing Qihoo Technology Company LimitedHuman face similarity recognition method and system
CN105868695B (en)*2016-03-242019-04-02北京握奇数据系统有限公司A kind of face identification method and system
CN107679559B (en)*2017-09-152020-01-10Oppo广东移动通信有限公司Image processing method, image processing device, computer-readable storage medium and mobile terminal
CN108885698B (en)*2018-07-052022-12-09达闼机器人股份有限公司Face recognition method and device and server
CN109241852B (en)*2018-08-102021-01-12广州杰赛科技股份有限公司 Face recognition method, device and computer equipment with additional features
CN110825765B (en)*2019-10-232022-10-04中国建设银行股份有限公司Face recognition method and device
CN110889433B (en)*2019-10-292024-05-28平安科技(深圳)有限公司Face clustering method, device, computer equipment and storage medium
CN113377984B (en)*2021-06-082023-09-15中山大学 A database-based face search method
CN115019360A (en)*2022-04-292022-09-06以萨技术股份有限公司 Matching method, device, non-volatile storage medium and computer equipment
CN114937306B (en)*2022-06-212025-02-28合肥中科类脑智能技术有限公司 A target tracking method and system based on face clustering

Also Published As

Publication numberPublication date
CN115880745A (en)2023-03-31

Similar Documents

PublicationPublication DateTitle
CN109086394B (en)Search ranking method and device, computer equipment and storage medium
CN108897734B (en)User portrait generation method, device, computer equipment and storage medium
US9569499B2 (en)Method and apparatus for recommending content on the internet by evaluating users having similar preference tendencies
CN112732883A (en)Fuzzy matching method and device based on knowledge graph and computer equipment
CN111259952B (en)Abnormal user identification method, device, computer equipment and storage medium
US6778687B2 (en)Fingerprint matching system with ARG-based prescreener
CN111726765B (en) A WIFI indoor positioning method and system for large-scale complex scenes
CN103593425A (en)Intelligent retrieval method and system based on preference
CN110674144A (en)User portrait generation method and device, computer equipment and storage medium
CN113627542B (en) Event information processing method, server and storage medium
US12072921B2 (en)Resource selection determination using natural language processing based tiered clustering
CN111708942A (en)Multimedia resource pushing method, device, server and storage medium
CN114491205A (en)User portrait generation method and device, electronic equipment and readable medium
CN112418656A (en)Intelligent agent allocation method and device, computer equipment and storage medium
CN112784160A (en)Interest point recommendation method based on tensor decomposition and considering context semantic information
JPH11161670A (en)Method, device, and system for information filtering
CN110609952A (en)Data acquisition method and system and computer equipment
CN114547386A (en) Wi-Fi signal-based positioning method, device, and electronic device
CN112330387A (en)Virtual broker applied to house-watching software
CN115880745B (en)Data processing system for acquiring facial image characteristics
CN113743838B (en)Target user identification method, device, computer equipment and storage medium
CN108153818B (en)Big data based clustering method
CN115909434B (en)Data processing system for acquiring facial image characteristics
CN113987087A (en)Account processing method and device, electronic equipment and storage medium
CN118093930A (en)Audio resource retrieval method, device, equipment and storage medium

Legal Events

DateCodeTitleDescription
PB01Publication
PB01Publication
SE01Entry into force of request for substantive examination
SE01Entry into force of request for substantive examination
GR01Patent grant
GR01Patent grant

[8]ページ先頭

©2009-2025 Movatter.jp