

技术领域Technical Field
本发明涉及一种基于图论的线索推理与情报预测方法,属于社交网络分析技术领域。The invention relates to a clue reasoning and intelligence prediction method based on graph theory, belonging to the technical field of social network analysis.
背景技术Background Art
随着社会的发展,犯罪手段和技术也在不断地演进,呈现出团伙作案的趋势。在团伙作案的过程中,会出现有组织、有分工地进行作案。犯罪团伙往往分工明确,在办案过程中会出现相关线索与个别成员形成密切联系的情况,但在办案过程中根据已知线索只能打掉其中一个环节或者几个环节,团伙核心作案团体不会受到根本上的打击,犯罪团伙仍然可能重新组织人手继续犯罪。因而,从产生原因、发生过程及危害等方面来看,犯罪首先是一种社会现象,社会性是犯罪行为的根本属性。一个犯罪网络首先也是一个社会网络,在网络中个体与他人通过亲属关系、朋友关系与同事关系等各种关系联系在一起。研究有组织犯罪预防与打击对策,不仅要探究犯罪人的特征与行为,还要分析团伙与整个网络的组织、结构与运作模式。社交关系网络分析为推进疑难案件的侦破带来了希望。With the development of society, criminal means and techniques are constantly evolving, showing a trend of gang crimes. In the process of gang crimes, there will be organized and divided areas for crime. Criminal gangs often have clear division of labor. In the process of handling cases, relevant clues will form close links with individual members. However, in the process of handling cases, only one or several links can be eliminated based on known clues. The core criminal group of the gang will not be fundamentally hit, and the criminal gang may still reorganize its manpower to continue committing crimes. Therefore, from the perspective of causes, occurrence process and harm, crime is first of all a social phenomenon, and sociality is the fundamental attribute of criminal behavior. A criminal network is first of all a social network, in which individuals and others are connected through various relationships such as kinship, friendship and colleague relationships. To study the prevention and combat measures of organized crime, it is necessary not only to explore the characteristics and behaviors of criminals, but also to analyze the organization, structure and operation mode of the gang and the entire network. Social relationship network analysis has brought hope for the detection of difficult cases.
犯罪网络除具有社会网络的一些特点外,还具有以下特征:其一,网络中的节点代表犯罪分子,节点间的边表示犯罪分子之间的联系,如消息传递,共同参与某项活动。其二,各节点在网络中的作用或者“位置”基本不同,核心成员往往掌握犯罪团伙重要信息,属于网络的少数。其三,大的犯罪网络往往由几个子团伙组成,在整个团伙中各子团伙起着不同的功能作用。其四,犯罪团伙并不是孤立存在的,团伙间存在一些联系和交互,因此,对犯罪团伙进行信息挖掘、分析团伙内的交互信息并挖掘团伙间的隐性关系显得尤为重要。In addition to some characteristics of social networks, criminal networks also have the following features: First, the nodes in the network represent criminals, and the edges between nodes represent the connections between criminals, such as message transmission and joint participation in an activity. Second, the role or "position" of each node in the network is basically different. The core members often have important information about the criminal gang and belong to the minority of the network. Third, large criminal networks are often composed of several sub-gangs, and each sub-gang plays a different functional role in the entire gang. Fourth, criminal gangs do not exist in isolation. There are some connections and interactions between gangs. Therefore, it is particularly important to mine information about criminal gangs, analyze the interactive information within the gangs, and mine the implicit relationships between gangs.
目前,多数方法在犯罪团伙社交网络中未能实现从海量信息中发现团伙犯罪线索和推理的情报预警,对于团伙挖掘的效率相对较低,未能有效地推断团伙成员与海量信息间的隐性联系。同时,目前方法未能有效利用已侦破案件辅助侦破疑难案件,因此,如何对海量信息进行建模,辅助侦破疑难案件,同时根据已知信息推理案件中犯罪成员与相关线索之间的隐性关系,是目前亟待解决的技术问题。At present, most methods fail to achieve intelligence warnings of gang crime clues and inferences from massive information in criminal gang social networks. The efficiency of gang mining is relatively low, and the implicit connection between gang members and massive information cannot be effectively inferred. At the same time, current methods fail to effectively use solved cases to assist in solving difficult cases. Therefore, how to model massive information, assist in solving difficult cases, and at the same time infer the implicit relationship between criminal members and related clues in the case based on known information is a technical problem that needs to be solved urgently.
发明内容Summary of the invention
本发明要解决的技术问题是提出了一种基于图论的线索推理与情报预测方法,用以解决传统方法未能充分挖掘团伙与其他线索、案件等信息的相关性;未能有效预测其他团伙的犯罪趋势的问题。The technical problem to be solved by the present invention is to propose a clue reasoning and intelligence prediction method based on graph theory to solve the problem that traditional methods fail to fully explore the correlation between gangs and other clues, cases and other information; and fail to effectively predict the crime trends of other gangs.
本发明的技术方案是:一种基于图论的线索推理与情报预测方法,其特征在于:获取团伙的社交关系,根据已知线索、案件、情报与成员相关信息构建社交关系网络图;预测团伙中的成员与其他线索、案件等信息的相关性,更新社交关系网络图;构建已知团伙集合,生成待预测犯罪趋势团伙的已知信息社交关系网络图;比较待预测犯罪趋势团伙与已知团伙的相关性,预测团伙的犯罪趋势;The technical solution of the present invention is: a clue reasoning and intelligence prediction method based on graph theory, characterized by: obtaining the social relationship of the gang, building a social relationship network diagram based on known clues, cases, intelligence and member-related information; predicting the correlation between members in the gang and other clues, cases and other information, and updating the social relationship network diagram; building a known gang set, generating a known information social relationship network diagram of the gang with the crime trend to be predicted; comparing the correlation between the gang with the crime trend to be predicted and the known gangs, and predicting the crime trend of the gang;
具体步骤为:The specific steps are:
Step1:获取待预测团伙的社交关系及已知情报信息,根据已知线索、案件、情报与成员关系相关信息构建团伙-情报网络图。Step 1: Obtain the social relationships and known intelligence information of the gang to be predicted, and build a gang-intelligence network diagram based on known clues, cases, intelligence and member relationship related information.
Step2:预测团伙中的成员与其他线索、案件信息的相关性,更新犯罪团伙的团伙-情报网络图。Step 2: Predict the correlation between gang members and other clues and case information, and update the gang-intelligence network diagram of the criminal gang.
Step3:构建已破获的犯罪团伙的团伙-情报网络图。Step 3: Construct a gang-intelligence network diagram of the uncovered criminal gangs.
Step4:比较待预测犯罪趋势团伙与已破获团伙的相关性,预测团伙的犯罪趋势。Step 4: Compare the correlation between the gangs whose criminal trends are to be predicted and the gangs that have been cracked, and predict the criminal trends of the gangs.
所述Step1中,通过图论建模犯罪团伙的团伙-情报网络图,将其定义为G=(V, E),其中V表示图中节点集合,具体包含团伙中已知线索、案件、情报与成员关系相关信息节点,E表示节点间关系。In
特别地,基于图论的犯罪团伙团伙-情报网络图G中,节点V的特征以四元数形式表示,即,其中H表示特征空间,M为节点维度,N为特征维度,d为对偶四元空间。In particular, in the criminal gang-intelligence network graphG based on graph theory, the characteristics of the nodeV are expressed in the form of quaternions, that is, , where H represents the feature space,M is the node dimension,N is the feature dimension,and d is the dual quaternion space.
Step2.1:构建四元空间空域图卷积运算,将表示团伙中的成员、相关线索节点的V建模为四元空间中的节点特征向量集,在四元空间中进行图卷积,即采用空域图卷积算子构建四元空间空域图卷积:其中,上标DQ表示对偶四元空间d,k表示卷积迭代次数;表示非线性激活函数;v和u表示实体或者关系节点,表示所有节点的集合,是拉普拉斯算子归一化的邻接矩阵中的节点v和u之间的边常数,其中,是的对角线节点度矩阵,表示输入的加权邻接矩阵;W(k),DQ表示对偶四元数权重矩阵;表示对偶四元数乘法;表示在对偶四元空间中第k代实体或关系节点。Step 2.1: Construct a quaternary spatial domain graph convolution operation, modelV representing the members of the gang and related clue nodes as a set of node feature vectors in the quaternary space, and perform graph convolution in the quaternary space, that is, use the spatial domain graph convolution operator to construct the quaternary spatial domain graph convolution: Wherein, the superscriptDQ represents the dual quaternion spaced , and k represents the number of convolution iterations; represents a nonlinear activation function;v andu represent entity or relationship nodes, represents the set of all nodes, is the Laplacian-normalized adjacency matrix The edge constant between nodesv andu in , yes The diagonal node degree matrix of represents the input weighted adjacency matrix;W(k ),DQ represents the dual quaternion weight matrix; Represents dual quaternion multiplication; Represents the k-th generation entity or relationship node in the dual quaternion space.
Step2.2:根据四元空间空域图卷积计算团伙节点成员四元空间特征和其相关关系节点四元空间特征,将其连接起来产生新的四元空间特征,将待预测的团伙-情报网络图建模为待预测犯罪团伙的情报-网络知识图谱,将知识图谱头节点表示为vhQ,将知识图谱关系节点表示为vrQ,将知识图谱尾节点表示为vtQ;其中,h表示知识图谱中的头,r表示知识图谱中的关系,t表示知识图谱中的尾,上标Q表示对偶四元空间d。Step 2.2: Calculate the quaternary space features of gang node members and the quaternary space features of their related relationship nodes according to the quaternary space spatial domain graph convolution, connect them to generate new quaternary space features, model the gang-intelligence network graph to be predicted as the intelligence-network knowledge graph of the criminal gang to be predicted, represent the head node of the knowledge graph asvhQ , represent the relationship node of the knowledge graph asvrQ , and represent the tail node of the knowledge graph asvtQ ; whereh represents the head in the knowledge graph,r represents the relationship in the knowledge graph,t represents the tail in the knowledge graph, and the superscriptQ represents the dual quaternary space d.
Step2.3:为待预测犯罪团伙的情报-网络知识图谱构建新的关系,根据四元分数评价公式计算新建关系的得分:Step 2.3: Build a new relationship for the intelligence-network knowledge graph of the criminal gang to be predicted, and calculate the score of the newly created relationship according to the four-element score evaluation formula:
其中,h表示知识图谱中的头,r表示知识图谱中的关系,t表示知识图谱中的尾,上标Q表示对偶四元空间d,表示Hamilton乘法,表示归一化的四元数,·表示四元数内积;表示对偶四元空间头节点,表示归一化的对偶四元空间关系节点,表示对偶四元空间尾节点。Among them,h represents the head in the knowledge graph,r represents the relationship in the knowledge graph,t represents the tail in the knowledge graph, and the superscriptQ represents the dual quaternion space d. represents Hamilton multiplication, represents the normalized quaternion, · represents the inner product of the quaternion; represents the dual quaternion space head node, represents the normalized dual quaternion space relationship node, Represents the tail node of the dual quaternion space.
Step2.4:选取评分前2名的新建关系作为挖掘出的有效关系,保留有效关系,对应犯罪团伙的团伙-情报网络图中的边,更新犯罪团伙的团伙-情报网络图。Step 2.4: Select the top two newly created relationships as the mined valid relationships, retain the valid relationships, correspond to the edges in the gang-intelligence network graph of the criminal gang, and update the gang-intelligence network graph of the criminal gang.
将Step3得到的已知团伙的团伙-情报网络图记为;将待预测团伙的团伙-情报网络图记为;其中,解释为已知团伙n犯罪类别i对应倾向的特征值,解释为待预测团伙犯罪类别i对应倾向的特征值,上标表示待预测;根据犯罪倾向预测公式计算待预测团伙的团伙-情报网络图与已知犯罪团伙犯罪类别倾向度:The gang-intelligence network graph of the known gang obtained in
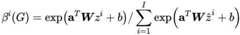
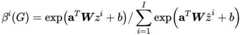
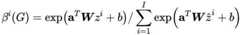
其中,表示犯罪类别i倾向度,表示任意已知团伙犯罪类别i对应倾向的特征值,表示待预测团伙犯罪类别i对应倾向的特征值,上标表示待预测,G表示输入的关系网络图,W与表示可学习权重,b表示标量偏置,exp指以自然常数e为底的指数函数,I表示犯罪类别数量;根据犯罪类别倾向度评分,比较得出待预测团伙的犯罪趋势的预测结果。in, represents the tendency of crime categoryi , represents the characteristic value of the corresponding tendency of any known gang crime categoryi , Indicates the characteristic value of the corresponding tendency of the gang crime categoryi to be predicted, with superscript represents the prediction to be made, G represents the input relationship network diagram,W and represents the learnable weight,b represents the scalar bias, exp refers to the exponential function with the natural constant e as the base, and I represents the number of crime categories. According to the crime category tendency score, the prediction result of the crime trend of the gang to be predicted is obtained by comparison.
和现有技术相比,本发明的有益效果为:本发明能够充分挖掘团伙与其他线索、案件等信息的相关性,预测其他团伙的犯罪趋势,能够加快案件侦破;通过已知的团伙社交关系预测、推理团伙中成员与其他线索和案件的关系、通过对已知的团伙定义犯罪属性,预测其他未知团伙的犯罪趋势;能够对犯罪团伙进行信息挖掘、分析团伙内的交互信息并挖掘团伙间的隐性关系。Compared with the prior art, the beneficial effects of the present invention are as follows: the present invention can fully explore the correlation between gangs and other clues, cases and other information, predict the crime trends of other gangs, and speed up case detection; predict the crime trends of other unknown gangs by predicting known gang social relationships, inferring the relationship between gang members and other clues and cases, and defining criminal attributes for known gangs; and can conduct information mining on criminal gangs, analyze interactive information within gangs and mine implicit relationships between gangs.
附图说明BRIEF DESCRIPTION OF THE DRAWINGS
图1是本发明的步骤流程图。FIG. 1 is a flow chart of the steps of the present invention.
图2为本发明的实施例1社交关系及情报信息示意图。FIG. 2 is a schematic diagram of social relationships and intelligence information according to Example 1 of the present invention.
实施方式Implementation
下面结合附图和具体实施例对本发明作进一步详细说明,但本发明的保护范围并不限于所述内容。The present invention is further described in detail below in conjunction with the accompanying drawings and specific embodiments, but the protection scope of the present invention is not limited to the contents described above.
实施例1Example 1
Step1:获取待预测团伙的社交关系及已知情报信息,将团伙中的已知线索、案件、情报与成员关系相关信息建模为节点,如图2中所示,现有群体含有4个相关信息节点:[信息1,信息2,信息3,信息4],通过图论建模团伙-情报网络图,将其定义为:,其中V表示团伙-情报网络图中的相关信息节点,E表示节点间已知关系,如:图2中(a)图的信息1与信息4之间有已知关系,信息2与信息3有已知关系,用实线表示;定义不同的数值用以表示关系的强度,已知关系的关系强度可以人为定义。Step 1: Obtain the social relationships and known intelligence information of the gang to be predicted, and model the known clues, cases, intelligence and member relationship information in the gang as nodes. As shown in Figure 2, the existing group contains 4 related information nodes: [
Step2:为了获取团伙-情报网络图中未知的关系,根据四元空间空域图卷积计算团伙信息节点四元空间特征,如下公式所示:其中,上标DQ表示对偶四元空间d,k表示卷积迭代次数;表示非线性激活函数;v和u表示实体或者关系节点,表示所有节点的集合,是拉普拉斯算子归一化的邻接矩阵中的节点v和u之间的边常数,其中,是的对角线节点度矩阵,表示输入的加权邻接矩阵;W(k),DQ表示对偶四元数权重矩阵;表示对偶四元数乘法;表示在对偶四元空间中第k代实体或关系节点。Step 2: In order to obtain the unknown relationships in the gang-intelligence network graph, the four-dimensional space features of the gang information nodes are calculated according to the four-dimensional space domain graph convolution, as shown in the following formula: Wherein, the superscriptDQ represents the dual quaternion spaced , and k represents the number of convolution iterations; represents a nonlinear activation function;v andu represent entity or relationship nodes, represents the set of all nodes, is the Laplacian-normalized adjacency matrix The edge constant between nodesv andu in , yes The diagonal node degree matrix of represents the input weighted adjacency matrix;W(k ),DQ represents the dual quaternion weight matrix; Represents dual quaternion multiplication; Represents the k-th generation entity or relationship node in the dual quaternion space.
根据更新后的信息节点四元空间特征,将待预测的团伙-情报网络图建模为待预测犯罪团伙的情报-网络知识图谱,将知识图谱头节点表示为vhQ,将知识图谱关系节点表示为vrQ,将知识图谱尾节点表示为vtQ;其中,h表示知识图谱中的头,r表示知识图谱中的关系,t表示知识图谱中的尾,上标Q表示对偶四元空间d;According to the updated information node quaternary space features , the gang-intelligence network graph to be predicted is modeled as the intelligence-network knowledge graph of the criminal gang to be predicted, the head node of the knowledge graph is represented asvhQ , the relationship node of the knowledge graph is represented asvrQ , and the tail node of the knowledge graph is represented asvtQ ; whereh represents the head in the knowledge graph,r represents the relationship in the knowledge graph,t represents the tail in the knowledge graph, and the superscriptQ represents the dual quaternion space d;
根据四元分数评价公式计算新建关系的得分:其中,h表示知识图谱中的头,r表示知识图谱中的关系,t表示知识图谱中的尾,上标Q表示对偶四元空间d,表示Hamilton乘法,表示归一化的四元数,·表示四元数内积;表示对偶四元空间头节点,表示归一化的对偶四元空间关系节点,表示对偶四元空间尾节点;结合图1,新建关系的得分计算结果示意如表1所示,其中“-”表示已知的无关系或确定关系。The score of the newly created relationship is calculated according to the four-element score evaluation formula: Among them,h represents the head in the knowledge graph,r represents the relationship in the knowledge graph,t represents the tail in the knowledge graph, and the superscriptQ represents the dual quaternion space d. represents Hamilton multiplication, represents the normalized quaternion, · represents the inner product of the quaternion; represents the dual quaternion space head node, represents the normalized dual quaternion space relationship node, Represents the tail node of the dual quaternion space; combined with Figure 1, the score calculation results of the newly created relationship are shown in Table 1, where "-" represents a known no relationship or a definite relationship.
表1 新建关系的得分计算结果示意Table 1 Schematic diagram of the score calculation results of the newly created relationship
选取评分前2名的新建关联作为挖掘出的新建有效关系,保留已知有效关系与新建有效关系,对应犯罪团伙的团伙-情报网络图中的边,更新犯罪团伙的团伙-情报网络图,如图2(a)中所示,实线表示已知的有效关系,虚线表示新添加的有效关系。The newly created associations with the top two scores are selected as the newly mined valid relationships, and the known valid relationships and the newly created valid relationships are retained, corresponding to the edges in the gang-intelligence network diagram of the criminal gang. The gang-intelligence network diagram of the criminal gang is updated, as shown in Figure 2 (a). The solid line represents the known valid relationship, and the dotted line represents the newly added valid relationship.
Step3:构建已破获的犯罪团伙的团伙-情报网络图,如图2中的(b)(c)所示;Step 3: Construct the gang-intelligence network diagram of the cracked criminal gang, as shown in (b) and (c) in Figure 2;
Step4:根据犯罪倾向预测公式计算待预测团伙的团伙-情报网络图与已知犯罪团伙犯罪类别倾向度:其中,表示犯罪类别i倾向度,表示任意已知团伙犯罪类别i对应倾向的特征值,表示待预测团伙犯罪类别i对应倾向的特征值,上标表示待预测,G表示输入的关系网络图,W与表示可学习权重,b表示标量偏置,exp指以自然常数e为底的指数函数,I表示犯罪类别数量。Step 4: Calculate the gang-intelligence network diagram of the gang to be predicted based on the criminal tendency prediction formula Propensity to crime categories with known criminal gangs: in, represents the tendency of crime categoryi , represents the characteristic value of the corresponding tendency of any known gang crime categoryi , Indicates the characteristic value of the corresponding tendency of the gang crime categoryi to be predicted, with superscript represents the prediction to be made, G represents the input relationship network diagram,W and represents the learnable weight,b represents the scalar bias, exp refers to the exponential function with the natural constant e as the base, and I represents the number of crime categories.
例如,假定已知团伙1[犯罪类别1,犯罪类别2]的具体特征值为,已知团伙2[犯罪类别1,犯罪类别2]的具体特征值为,待预测团伙[犯罪类别1,犯罪类别2]的具体特征值为;假定犯罪倾向预测公式中,可学习权重的值为,,偏置;那么,通过犯罪倾向预测公式可以计算得到;显然,通过比较可以得到结果,表明待预测团伙更加倾向于与已知犯罪团伙1进行犯罪类别1活动,第二倾向于与犯罪团伙2进行犯罪类别2活动,以此类推,得到预测的所有犯罪倾向。For example, suppose the specific feature values of gang 1 [
以上结合附图对本发明的具体实施方式作了详细说明,但是本发明并不限于上述实施方式,在本领域普通技术人员所具备的知识范围内,还可以在不脱离本发明宗旨的前提下作出各种变化。The specific implementation modes of the present invention are described in detail above in conjunction with the accompanying drawings, but the present invention is not limited to the above implementation modes, and various changes can be made within the knowledge scope of ordinary technicians in this field without departing from the purpose of the present invention.
| Application Number | Priority Date | Filing Date | Title |
|---|---|---|---|
| CN202310151256.1ACN115858946A (en) | 2023-02-22 | 2023-02-22 | Graph theory-based clue reasoning and intelligence prediction method |
| CN202310544005.XACN116578719A (en) | 2023-02-22 | 2023-05-15 | Clue reasoning and information analysis method based on graph theory |
| Application Number | Priority Date | Filing Date | Title |
|---|---|---|---|
| CN202310151256.1ACN115858946A (en) | 2023-02-22 | 2023-02-22 | Graph theory-based clue reasoning and intelligence prediction method |
| Publication Number | Publication Date |
|---|---|
| CN115858946Atrue CN115858946A (en) | 2023-03-28 |
| Application Number | Title | Priority Date | Filing Date |
|---|---|---|---|
| CN202310151256.1APendingCN115858946A (en) | 2023-02-22 | 2023-02-22 | Graph theory-based clue reasoning and intelligence prediction method |
| CN202310544005.XAPendingCN116578719A (en) | 2023-02-22 | 2023-05-15 | Clue reasoning and information analysis method based on graph theory |
| Application Number | Title | Priority Date | Filing Date |
|---|---|---|---|
| CN202310544005.XAPendingCN116578719A (en) | 2023-02-22 | 2023-05-15 | Clue reasoning and information analysis method based on graph theory |
| Country | Link |
|---|---|
| CN (2) | CN115858946A (en) |
| Publication number | Priority date | Publication date | Assignee | Title |
|---|---|---|---|---|
| US20070067211A1 (en)* | 2005-09-22 | 2007-03-22 | Kaplan Craig A | Graphical forecasting interface |
| CN110458373A (en)* | 2019-08-22 | 2019-11-15 | 电子科技大学成都学院 | A kind of method of crime prediction and system of the fusion of knowledge based map |
| CN110609903A (en)* | 2019-08-01 | 2019-12-24 | 华为技术有限公司 | Information presentation method and device |
| US20200096998A1 (en)* | 2016-05-09 | 2020-03-26 | Strong Force Iot Portfolio 2016, Llc | Methods and systems for detection in an industrial internet of things data collection environment with distributed data processing in a marginal network |
| CN112328801A (en)* | 2020-09-28 | 2021-02-05 | 西南电子技术研究所(中国电子科技集团公司第十研究所) | Method for predicting group events by event knowledge graph |
| CN112365171A (en)* | 2020-11-16 | 2021-02-12 | 广州杰赛科技股份有限公司 | Risk prediction method, device and equipment based on knowledge graph and storage medium |
| CN112463983A (en)* | 2020-12-01 | 2021-03-09 | 天翼电子商务有限公司 | Anti-money laundering criminal identification method based on community division and graph convolution |
| CN113051440A (en)* | 2021-04-12 | 2021-06-29 | 北京理工大学 | Link prediction method and system based on hypergraph structure |
| CN114860854A (en)* | 2022-05-05 | 2022-08-05 | 中国人民解放军国防科技大学 | Time-series knowledge graph reasoning method, device and device based on attention mechanism |
| CN114915468A (en)* | 2022-05-10 | 2022-08-16 | 广州数智网络科技有限公司 | Intelligent analysis and detection method for network crime based on knowledge graph |
| CN115221432A (en)* | 2022-08-02 | 2022-10-21 | 武汉烽火技术服务有限公司 | A method and device for predicting crime hotspots based on spatiotemporal features |
| CN115243268A (en)* | 2022-07-20 | 2022-10-25 | 中国联合网络通信集团有限公司 | Method, system and readable storage medium for identifying group fraud relationship |
| Publication number | Priority date | Publication date | Assignee | Title |
|---|---|---|---|---|
| US20070067211A1 (en)* | 2005-09-22 | 2007-03-22 | Kaplan Craig A | Graphical forecasting interface |
| US20200096998A1 (en)* | 2016-05-09 | 2020-03-26 | Strong Force Iot Portfolio 2016, Llc | Methods and systems for detection in an industrial internet of things data collection environment with distributed data processing in a marginal network |
| CN110609903A (en)* | 2019-08-01 | 2019-12-24 | 华为技术有限公司 | Information presentation method and device |
| CN110458373A (en)* | 2019-08-22 | 2019-11-15 | 电子科技大学成都学院 | A kind of method of crime prediction and system of the fusion of knowledge based map |
| CN112328801A (en)* | 2020-09-28 | 2021-02-05 | 西南电子技术研究所(中国电子科技集团公司第十研究所) | Method for predicting group events by event knowledge graph |
| CN112365171A (en)* | 2020-11-16 | 2021-02-12 | 广州杰赛科技股份有限公司 | Risk prediction method, device and equipment based on knowledge graph and storage medium |
| CN112463983A (en)* | 2020-12-01 | 2021-03-09 | 天翼电子商务有限公司 | Anti-money laundering criminal identification method based on community division and graph convolution |
| CN113051440A (en)* | 2021-04-12 | 2021-06-29 | 北京理工大学 | Link prediction method and system based on hypergraph structure |
| CN114860854A (en)* | 2022-05-05 | 2022-08-05 | 中国人民解放军国防科技大学 | Time-series knowledge graph reasoning method, device and device based on attention mechanism |
| CN114915468A (en)* | 2022-05-10 | 2022-08-16 | 广州数智网络科技有限公司 | Intelligent analysis and detection method for network crime based on knowledge graph |
| CN115243268A (en)* | 2022-07-20 | 2022-10-25 | 中国联合网络通信集团有限公司 | Method, system and readable storage medium for identifying group fraud relationship |
| CN115221432A (en)* | 2022-08-02 | 2022-10-21 | 武汉烽火技术服务有限公司 | A method and device for predicting crime hotspots based on spatiotemporal features |
| Title |
|---|
| ANDREW J. COLLINS 等: "Agent-based model of criminal gang formation"* |
| 孙权 等: "金融交易数据驱动的图谱网络智能化欺诈侦测"* |
| Publication number | Publication date |
|---|---|
| CN116578719A (en) | 2023-08-11 |
| Publication | Publication Date | Title |
|---|---|---|
| CN113792937B (en) | Social network influence prediction method and device based on graph neural network | |
| CN110334742B (en) | A Reinforcement Learning-Based Graph Adversarial Example Generation Method by Adding Fake Nodes for Document Classification | |
| CN111475838B (en) | Deep neural network-based graph data anonymizing method, device and storage medium | |
| CN110390017B (en) | Target emotion analysis method and system based on attention gating convolutional network | |
| CN109697512B (en) | Personal data analysis method and computer storage media based on Bayesian network | |
| CN113220866A (en) | Recommendation method based on user social network and product similarity | |
| CN117056970B (en) | Privacy feature protection method and system based on graph neural network | |
| CN111814066A (en) | Dynamic social user alignment method and system based on heuristic algorithm | |
| CN113395172B (en) | Important user discovery and behavior prediction method based on communication network | |
| CN115225373A (en) | Network space security situation expression method and device under incomplete information condition | |
| CN115858946A (en) | Graph theory-based clue reasoning and intelligence prediction method | |
| CN117194687B (en) | Multimedia recommendation method, device, equipment and storage medium | |
| CN116361759B (en) | An intelligent compliance control method based on quantitative authority guidance | |
| CN112163170A (en) | A method and system for improving social network alignment based on virtual nodes and meta-learning | |
| CN115904464B (en) | Core developer identification method, device and equipment based on developer collaboration network | |
| CN118171184A (en) | A graph node classification method, device and medium based on security policy | |
| CN111090781A (en) | A Link Prediction Method in Dynamic Social Networks | |
| CN116702231A (en) | A frequent itemsets mining method for Byzantine untrustworthy multi-party cooperative differential privacy data | |
| CN113065073B (en) | An effective path set search method for cities | |
| CN115269867A (en) | A Knowledge Graph Node Attribute Completion Method Based on Higher-Order Neighbor Attribute Propagation | |
| CN113886715A (en) | A friend recommendation method and system | |
| CN107018027A (en) | Link prediction method based on Bayesian estimation and common neighbor node degree | |
| CN111859164A (en) | Local structure based microblog network important node discovery method, device and medium | |
| Li et al. | Critical Nodes Identification Algorithm Based on ResNet-CBAM | |
| CN117150321B (en) | Equipment trust evaluation method and device, service equipment and storage medium |
| Date | Code | Title | Description |
|---|---|---|---|
| PB01 | Publication | ||
| PB01 | Publication | ||
| SE01 | Entry into force of request for substantive examination | ||
| SE01 | Entry into force of request for substantive examination | ||
| WD01 | Invention patent application deemed withdrawn after publication | ||
| WD01 | Invention patent application deemed withdrawn after publication | Application publication date:20230328 |