






技术领域technical field
本发明涉及假人性能检测技术领域,尤其涉及一种汽车碰撞假人皮肤的性能测试方法、装置、设备和介质。The invention relates to the technical field of dummy performance testing, in particular to a performance testing method, device, equipment and medium for the skin of a car collision dummy.
背景技术Background technique
假人在汽车行业等领域有着广泛的应用和重要的作用。通常情况下,假人的各个尺寸以及各部位的性质都与真人相似,从而可以在汽车碰撞等实验中代替真人进行相关实验并得到可靠的数据,进而对汽车等的安全性能进行有效的评估。Dummy has a wide range of applications and an important role in the automotive industry and other fields. Usually, the size and properties of each part of the dummy are similar to that of a real person, so that it can replace a real person in experiments such as car crashes and obtain reliable data, and then effectively evaluate the safety performance of cars.
假人皮肤是制造假人过程中的一个关键的技术环节,假人的皮肤应与真人的皮肤有着相同的理化性质,并在同样的受试条件下能够反映真人皮肤的动态力学响应,目前对假人皮肤的测试大多停留在静态拉压的实验,主要测量其弹性模量、硬度等参数。与人体皮肤相似,假人皮肤也呈现出一定的粘弹性特性,测量其粘弹性对假人皮肤的性能评估具有重要作用。而目前对假人皮肤进行测试主要是通过单轴压缩试验、压缩松弛试验以及压缩蠕变试验进行测试,但是试验过程较为复杂,并且需控制的变量因素较多。The dummy skin is a key technical link in the process of making a dummy. The dummy skin should have the same physical and chemical properties as the skin of a real person, and can reflect the dynamic mechanical response of the skin of a real person under the same test conditions. Most of the tests on dummy skin stay in static tension and compression experiments, mainly measuring parameters such as elastic modulus and hardness. Similar to human skin, dummy skin also exhibits certain viscoelastic properties, and measuring its viscoelasticity plays an important role in evaluating the performance of dummy skin. At present, the test of dummy skin is mainly through uniaxial compression test, compression relaxation test and compression creep test, but the test process is more complicated and there are many variable factors to be controlled.
发明内容Contents of the invention
本发明的目的在于提供一种汽车碰撞假人皮肤的性能测试方法、装置、设备和介质,以改善上述问题。为了实现上述目的,本发明采取的技术方案如下。The object of the present invention is to provide a performance test method, device, equipment and medium for the skin of a car crash dummy, so as to improve the above problems. In order to achieve the above object, the technical solutions adopted by the present invention are as follows.
第一方面,本申请提供了一种汽车碰撞假人皮肤的性能测试方法,包括:利用超声探头对待检测样品发出超声波,所述超声探头至所述待检测样品之间的距离为所述超声探头的聚焦距离;接收所述超声波的第一超声回波信号,所述第一超声回波信号包括通过所述超声探头接收到两个时刻的所述待检测样品的超声回波;对所述第一超声回波信号进行分析,并提取所述待检测样品的剪切波信息;对所述剪切波信息进行处理,得到所述待检测样品的振动位移信息,并对所述振动位移信息进行计算,得到所述待检测样品的弹性模量;利用开尔文模型和拉普拉斯变换算法,对所述弹性模量进行叠加计算,得到松弛时间,对所述松弛时间进行分析,进而得到粘度信息。In the first aspect, the present application provides a method for testing the performance of the skin of a car collision dummy, including: using an ultrasonic probe to emit ultrasonic waves to the sample to be tested, and the distance between the ultrasonic probe and the sample to be tested is Focusing distance; receive the first ultrasonic echo signal of the ultrasonic wave, the first ultrasonic echo signal includes the ultrasonic echo of the sample to be tested at two moments received by the ultrasonic probe; An ultrasonic echo signal is analyzed, and the shear wave information of the sample to be detected is extracted; the shear wave information is processed to obtain the vibration displacement information of the sample to be detected, and the vibration displacement information is processed Calculate to obtain the elastic modulus of the sample to be tested; use the Kelvin model and the Laplace transform algorithm to superimpose and calculate the elastic modulus to obtain the relaxation time, analyze the relaxation time, and then obtain viscosity information .
优选地,所述接收所述超声波的第一超声回波信号之后,还包括:基于傅里叶变换,对所述第一超声回波信号进行数据处理,得到第一处理结果;对所述第一处理结果进行滤波处理,所述滤波处理包括采用低通滤波对所述第一处理结果进行处理,得到第二处理结果;剔除所述第二处理结果中的高频噪声,得到新的第一超声回波信号。Preferably, after receiving the first ultrasonic echo signal of the ultrasonic wave, further comprising: performing data processing on the first ultrasonic echo signal based on Fourier transform to obtain a first processing result; Perform filtering processing on a processing result, the filtering processing includes processing the first processing result by low-pass filtering to obtain a second processing result; removing high-frequency noise in the second processing result to obtain a new first processing result Ultrasound echo signal.
优选地,所述对所述第一超声回波信号进行分析,并提取所述待检测样品的剪切波信息之后,还包括:获取所述待检测样品的输出波形信息;将所述第一超声回波信号与所述输出波形信息进行比较,确定所述待检测样品的传播状态,所述传播状态是在不同介质的振幅信息的条件下声波传播的不同的波形信息;根据所述待检测样品的所述传播状态,得到所述待检测样品的波的幅相信息,所述幅相信息包括所述波的幅值、相位和时间信息。Preferably, after analyzing the first ultrasonic echo signal and extracting the shear wave information of the sample to be tested, it further includes: acquiring output waveform information of the sample to be tested; The ultrasonic echo signal is compared with the output waveform information to determine the propagation state of the sample to be detected, and the propagation state is different waveform information of sound wave propagation under the condition of amplitude information of different media; according to the The propagation state of the sample obtains the amplitude and phase information of the wave of the sample to be detected, and the amplitude and phase information includes the amplitude, phase and time information of the wave.
优选地,所述利用开尔文模型和拉普拉斯变换算法,对所述弹性模量进行叠加计算,得到松弛时间,对所述松弛时间进行分析,进而得到粘度信息包括:根据开尔文模型对所述弹性模量进行计算,得到应力信息;基于拉普拉斯变换算法对所述弹性模量进行计算,得到第一位移信息;根据所述第一位移信息,获取第二位移信息,所述第二位移信息为所述待检测样品在三个时刻的位移信息,所述位移信息为通过所述超声探头得到的超声回波信号的两次加载和卸载后的三个时刻的动态位移信息;根据叠加原理,对所述应力信息和所述第二位移信息进行计算得到松弛时间,对所述松弛时间进行分析从而得到粘度信息。Preferably, using the Kelvin model and the Laplace transform algorithm to superimpose and calculate the elastic modulus to obtain the relaxation time, and analyzing the relaxation time to obtain viscosity information includes: calculating the elastic modulus according to the Kelvin model Calculate the elastic modulus to obtain stress information; calculate the elastic modulus based on the Laplace transform algorithm to obtain first displacement information; obtain second displacement information according to the first displacement information, and the second The displacement information is the displacement information of the sample to be detected at three moments, and the displacement information is the dynamic displacement information at three moments after the ultrasonic echo signal obtained by the ultrasonic probe is loaded and unloaded twice; In principle, the relaxation time is obtained by calculating the stress information and the second displacement information, and the viscosity information is obtained by analyzing the relaxation time.
第二方面,本申请还提供了一种汽车碰撞假人皮肤的性能测试装置,包括:移动滑轨机构,所述移动滑轨机构移动设置在固定杆上,所述移动滑轨机构包括超声探头、电机和丝杠装置,所述电机与所述丝杠装置相连,所述丝杠装置与所述超声探头相连,通过所述电机带动所述丝杠装置进行转动,从而调整所述超声探头的位置;固定装置,所述固定装置设置在所述移动滑轨机构下方,且用于固定假人皮肤;微调装置,所述微调装置设置在所述固定装置的下方且通过连接件与固定装置相连,所述微调装置的底部设置有底板。In a second aspect, the present application also provides a performance test device for the skin of a car collision dummy, including: a moving slide rail mechanism, which is moved and arranged on a fixed rod, and the moving slide rail mechanism includes an ultrasonic probe , a motor and a screw device, the motor is connected to the screw device, the screw device is connected to the ultrasonic probe, and the screw device is driven by the motor to rotate, thereby adjusting the ultrasonic probe Position; the fixing device, the fixing device is arranged under the moving slide rail mechanism, and is used to fix the dummy skin; the fine-tuning device, the fine-tuning device is arranged under the fixing device and is connected with the fixing device through a connecting piece , the bottom of the trimming device is provided with a bottom plate.
本发明的有益效果为:弹性成像技术是目前主要的成像技术,其中超声弹性成像技术可以对组织内部的弹性信息进行提取并加以成像,通常可以定性的判断组织周围的弹性差异或者进一步定量的得到组织硬度的相关参数如弹性模量。其中剪切波弹性成像是超声弹性成像发展中的一种新型的成像技术,根据剪切波具有独特的物理性,本发明利用剪切波的传播速度与介质的弹性直接相关,从而巧妙的求得弹性模量,进而对样品进行粘度表征。The beneficial effects of the present invention are: elastography is the main imaging technology at present, wherein the ultrasonic elastography can extract and image the elastic information inside the tissue, and usually can qualitatively judge the elastic difference around the tissue or obtain further quantitative Parameters related to tissue stiffness such as modulus of elasticity. Among them, shear wave elastography is a new type of imaging technology in the development of ultrasonic elastography. According to the unique physical properties of shear wave, the present invention uses the direct relationship between the propagation speed of shear wave and the elasticity of the medium, so as to skillfully obtain The elastic modulus was obtained, and then the viscosity of the sample was characterized.
本发明可以通过调节固定不同大小的胸部皮肤并进行高度的微调,并设计了超声探头的加持装置,可以实现x-y-z平面的移动,并可以调节两个探头之间的距离大小;此外,通过采用超声弹性成像技术,测量样品组织中传播的波并对其进行分析,可以无损的对假人皮肤的弹性以及粘弹性进行测量,本发明测量粘弹性的方法可以减少很多对波信号的模式转换以及其它的计算,简化了测量方法;此外不仅可以对制造好的假人皮肤进行测量,不用对其进行切割后进行拉伸,也可以实现对假人碰撞后损坏程度的在体测量,对假人的循环使用具有一定的指导意义。The present invention can adjust and fix chest skins of different sizes and fine-tune the height, and designs the holding device of the ultrasonic probe, which can realize the movement of the x-y-z plane, and can adjust the distance between the two probes; The elastography technology measures and analyzes the wave propagating in the sample tissue, and can measure the elasticity and viscoelasticity of the dummy skin non-destructively. The method for measuring viscoelasticity in the present invention can reduce a lot of mode conversion of wave signals and other The calculation simplifies the measurement method; in addition, it is not only possible to measure the manufactured dummy skin without cutting it and then stretching it, but also to realize the in-body measurement of the damage degree of the dummy after collision, and the dummy’s damage Recycling has certain guiding significance.
本发明的其他特征和优点将在随后的说明书阐述,并且,部分地从说明书中变得显而易见,或者通过实施本发明实施例了解。本发明的目的和其他优点可通过在所写的说明书、权利要求书、以及附图中所特别指出的结构来实现和获得。Additional features and advantages of the invention will be set forth in the description which follows, and in part will be apparent from the description, or may be learned by practice of the invention. The objectives and other advantages of the invention may be realized and attained by the structure particularly pointed out in the written description and claims hereof as well as the appended drawings.
附图说明Description of drawings
为了更清楚地说明本发明实施例的技术方案,下面将对实施例中所需要使用的附图作简单地介绍,应当理解,以下附图仅示出了本发明的某些实施例,因此不应被看作是对范围的限定,对于本领域普通技术人员来讲,在不付出创造性劳动的前提下,还可以根据这些附图获得其他相关的附图。In order to illustrate the technical solutions of the embodiments of the present invention more clearly, the accompanying drawings used in the embodiments will be briefly introduced below. It should be understood that the following drawings only show some embodiments of the present invention, and thus It should be regarded as a limitation on the scope, and those skilled in the art can also obtain other related drawings based on these drawings without creative work.
图1为本发明实施例中所述的汽车碰撞假人皮肤的性能测试方法流程示意图。Fig. 1 is a schematic flow chart of the performance test method of the car crash dummy skin described in the embodiment of the present invention.
图2为本发明实施例中所述的假人皮肤的性能测试设备结构示意图。Fig. 2 is a schematic structural diagram of the performance testing equipment of the dummy skin described in the embodiment of the present invention.
图3为本发明实施例中所述的假人皮肤的性能测试装置部分示意图。Fig. 3 is a partial schematic diagram of the performance testing device of the dummy skin described in the embodiment of the present invention.
图4为本发明实施例中所述的电机、丝杆和夹紧装置结构示意图。Fig. 4 is a structural schematic diagram of the motor, the screw rod and the clamping device described in the embodiment of the present invention.
图5为本发明实施例中所述的移动滑轨机构结构示意图。Fig. 5 is a schematic structural diagram of the moving slide rail mechanism described in the embodiment of the present invention.
图6为本发明实施例中所述的固定装置结构示意图。Fig. 6 is a schematic structural diagram of the fixing device described in the embodiment of the present invention.
图7为本发明实施例中所述的信号加载时序图。FIG. 7 is a timing diagram of signal loading described in the embodiment of the present invention.
图中: 100、固定件;200、固定杆;201、移动滑轨机构;202、第一移动板;203、第二移动板;204、第三移动板;205、超声探头;206、固定装置;207、连接件;208、连接装置;210、底板;211、伸缩杆;212、微调装置;251、第一超声探头;252、第二超声探头;2001、梯形结构;2002、第三旋钮;2003、第一旋钮;2004、第二旋钮;2006、夹紧装置;2061、第一夹紧件;2062、第二夹紧件;2041、第一电机;2042、第二电机;2051、第一丝杠;2052、第二丝杠。Among the figure: 100, fixed part; 200, fixed rod; 201, mobile slide rail mechanism; 202, first moving plate; 203, second moving plate; 204, third moving plate; 205, ultrasonic probe; 206, fixing device ; 207, connector; 208, connecting device; 210, bottom plate; 211, telescopic rod; 212, fine-tuning device; 251, the first ultrasonic probe; 252, the second ultrasonic probe; 2001, trapezoidal structure; 2002, the third knob; 2003, the first knob; 2004, the second knob; 2006, the clamping device; 2061, the first clamping part; 2062, the second clamping part; 2041, the first motor; 2042, the second motor; 2051, the first Lead screw; 2052, the second lead screw.
具体实施方式Detailed ways
为使本发明实施例的目的、技术方案和优点更加清楚,下面将结合本发明实施例中的附图,对本发明实施例中的技术方案进行清楚、完整地描述,显然,所描述的实施例是本发明一部分实施例,而不是全部的实施例。通常在此处附图中描述和示出的本发明实施例的组件可以以各种不同的配置来布置和设计。因此,以下对在附图中提供的本发明的实施例的详细描述并非旨在限制要求保护的本发明的范围,而是仅仅表示本发明的选定实施例。基于本发明中的实施例,本领域普通技术人员在没有作出创造性劳动前提下所获得的所有其他实施例,都属于本发明保护的范围。In order to make the purpose, technical solutions and advantages of the embodiments of the present invention clearer, the technical solutions in the embodiments of the present invention will be clearly and completely described below in conjunction with the drawings in the embodiments of the present invention. Obviously, the described embodiments It is a part of embodiments of the present invention, but not all embodiments. The components of the embodiments of the invention generally described and illustrated in the figures herein may be arranged and designed in a variety of different configurations. Accordingly, the following detailed description of the embodiments of the invention provided in the accompanying drawings is not intended to limit the scope of the claimed invention, but merely represents selected embodiments of the invention. Based on the embodiments of the present invention, all other embodiments obtained by persons of ordinary skill in the art without creative efforts fall within the protection scope of the present invention.
应注意到:相似的标号和字母在下面的附图中表示类似项,因此,一旦某一项在一个附图中被定义,则在随后的附图中不需要对其进行进一步定义和解释。同时,在本发明的描述中,术语“第一”、“第二”等仅用于区分描述,而不能理解为指示或暗示相对重要性。It should be noted that like numerals and letters denote similar items in the following figures, therefore, once an item is defined in one figure, it does not require further definition and explanation in subsequent figures. Meanwhile, in the description of the present invention, the terms "first", "second", etc. are only used to distinguish descriptions, and cannot be understood as indicating or implying relative importance.
实施例1:本实施例提供了一种汽车碰撞假人皮肤的性能测试方法。参见图1,图中示出了本方法包括步骤S100、步骤S200、步骤S300、步骤S400和步骤S500。Embodiment 1: This embodiment provides a performance test method for the skin of a car crash dummy. Referring to FIG. 1 , it shows that the method includes step S100 , step S200 , step S300 , step S400 and step S500 .
S100、利用超声探头对待检测样品发出超声波,所述超声探头至所述待检测样品之间的距离为所述超声探头的聚焦距离。S100. Using an ultrasonic probe to emit ultrasonic waves to the sample to be tested, the distance between the ultrasonic probe and the sample to be tested is the focusing distance of the ultrasonic probe.
可以理解的是,在本步骤中首先需要在假人皮肤的感兴趣区域产生剪切波,根据加载方式的不同,可以选择接触式加载和非接触式加载,通常情况下,接触加载需要人为地将激励探头与被测样品进行接触,接触深度以及接触位置都有较大的主观性,因此会对实验的数据产生一定的影响;非接触加载不仅不会对待测样品的表面进行破坏,同时只需要控制激发探头与待测样品之间的间距,一般情况下距离为探头的聚焦距离,可以将声波聚焦到样品表面从而在样品组织内产生剪切波,通过跟踪剪切波的传播来对样品的弹性模量进行测量。It is understandable that in this step, shear waves first need to be generated in the region of interest of the dummy skin. According to different loading methods, contact loading and non-contact loading can be selected. Usually, contact loading requires artificial When the excitation probe is in contact with the sample to be tested, the contact depth and contact position are highly subjective, so it will have a certain impact on the experimental data; non-contact loading will not only damage the surface of the sample to be tested, but only It is necessary to control the distance between the excitation probe and the sample to be tested. Generally, the distance is the focusing distance of the probe. The acoustic wave can be focused on the surface of the sample to generate shear waves in the sample tissue, and the sample can be monitored by tracking the propagation of the shear wave. The modulus of elasticity was measured.
剪切波在样品组织内的传播情况与激励装置输出的加载波形有关,通过超声探头向待测样品感兴趣区域发射超声波,在待测样品中产生剪切波。The propagation of the shear wave in the sample tissue is related to the loading waveform output by the excitation device. Ultrasonic waves are emitted to the region of interest of the sample to be tested through the ultrasonic probe, and shear waves are generated in the sample to be tested.
S200、接收所述超声波的第一超声回波信号,所述第一超声回波信号包括通过所述超声探头接收到两个时刻的所述待检测样品的超声回波。S200. Receive a first ultrasonic echo signal of the ultrasonic wave, where the first ultrasonic echo signal includes ultrasonic echoes of the sample to be tested received at two time points by the ultrasonic probe.
可以理解的是,在本步骤中之后包括S201、S202和S203,其中S201、基于傅里叶变换,对所述第一超声回波信号进行数据处理,得到第一处理结果;S202、对所述第一处理结果进行滤波处理,所述滤波处理包括采用低通滤波对所述第一处理结果进行处理,得到第二处理结果;S203、剔除所述第二处理结果中的高频噪声,得到新的第一超声回波信号。It can be understood that S201, S202, and S203 are included after this step, wherein S201, based on Fourier transform, performs data processing on the first ultrasonic echo signal to obtain a first processing result; S202, on the Perform filtering processing on the first processing result, the filtering processing includes processing the first processing result by low-pass filtering to obtain a second processing result; S203, removing high-frequency noise in the second processing result to obtain a new processing result the first ultrasonic echo signal.
具体地,超声探头对回波进行接收,对同一位置的回波信号进行分析,可以得到剪切波的传播信息,其传播信息可以反映剪切波在样品内传播时样品的振动状态。这是由于剪切波在经过样品中的某一位置时,这一位置会随着剪切波的振动而发生振动,当剪切波离开这个位置后,此位置又恢复原样,没有振动信息。Specifically, the ultrasonic probe receives the echo and analyzes the echo signal at the same position to obtain the propagation information of the shear wave, which can reflect the vibration state of the sample when the shear wave propagates in the sample. This is because when the shear wave passes through a certain position in the sample, this position will vibrate with the vibration of the shear wave, and when the shear wave leaves this position, the position will return to its original state without vibration information.
通过对回波信号进行一系列的数据处理和转换,例如:傅里叶变换,滤波等操作。通过傅里叶变换,可以得到时域的信息。因为在整个实验过程中,实验仪器、实验环境等都会产生一定的噪音,因此为了使得的得到的信号更加理想,需要对其进行滤波。由于本发明采用的是低频正弦信号,可以采用简单的低通滤波对信号进行处理,除去信号中含有的高频噪声。在对数据进行处理之前,可以先通过多次的滤波尝试,找到最合适的滤波频率,使得信号的信噪比最大。By performing a series of data processing and conversion on the echo signal, such as: Fourier transform, filtering and other operations. Time domain information can be obtained through Fourier transform. Because in the whole experiment process, the experimental equipment, experimental environment, etc. will produce certain noise, so in order to make the obtained signal more ideal, it needs to be filtered. Since the present invention uses a low-frequency sinusoidal signal, a simple low-pass filter can be used to process the signal to remove high-frequency noise contained in the signal. Before the data is processed, the most suitable filtering frequency can be found through multiple filtering attempts to maximize the signal-to-noise ratio of the signal.
S300、对所述第一超声回波信号进行分析,并提取所述待检测样品的剪切波信息。S300. Analyze the first ultrasonic echo signal, and extract shear wave information of the sample to be detected.
可以理解的是,在S300步骤之后包括:S301、获取所述待检测样品的输出波形信息;S302、将所述第一超声回波信号与所述输出波形信息进行比较,确定所述待检测样品的传播状态,所述传播状态是在不同介质的振幅信息的条件下声波传播的不同的波形信息;S303、根据所述待检测样品的所述传播状态,得到所述待检测样品的波的幅相信息,所述幅相信息包括所述波的幅值、相位和时间信息。It can be understood that after step S300, it includes: S301, acquiring the output waveform information of the sample to be tested; S302, comparing the first ultrasonic echo signal with the output waveform information, and determining the sample to be tested Propagation state, the propagation state is different waveform information of sound wave propagation under the condition of amplitude information of different media; S303, according to the propagation state of the sample to be detected, obtain the amplitude of the wave of the sample to be detected Phase information, the amplitude and phase information includes the amplitude, phase and time information of the wave.
需要说明的是,同时通过另一超声探头接收感兴趣区域的超声回波,通过跟踪产生的剪切波信号可以对样品的组织振动位移信息进行提取,将对样品采集到的回波信号进行分析,与输出波形进行比较,可以动态的测量出剪切波在样品内的传播状态,在这里,也就是确定波的传播波形,可以通过波形得到波的幅值,相位以及时间信息。It should be noted that at the same time, another ultrasonic probe is used to receive the ultrasonic echo of the region of interest, and the tissue vibration displacement information of the sample can be extracted by tracking the shear wave signal generated, and the echo signal collected by the sample will be analyzed , compared with the output waveform, the propagation state of the shear wave in the sample can be dynamically measured. Here, the propagation waveform of the wave is determined, and the amplitude, phase and time information of the wave can be obtained through the waveform.
S400、对所述剪切波信息进行处理,得到所述待检测样品的振动位移信息,并对所述振动位移信息进行计算,得到所述待检测样品的弹性模量。S400. Process the shear wave information to obtain vibration displacement information of the sample to be detected, and calculate the vibration displacement information to obtain an elastic modulus of the sample to be detected.
其中,在通过剪切波对样品的弹性模量进行计算的时候采用了剪切波波速和弹性模量之间的关系,其计算公式为:。这里,/>为样品的弹性模量,/>为样品的密度,为剪切波波速。通过从公式可以看出,弹性模量/>和剪切波波速/>的平方呈线性关系。Among them, the relationship between the shear wave velocity and the elastic modulus is used when calculating the elastic modulus of the sample through the shear wave, and the calculation formula is: . here, /> is the elastic modulus of the sample, /> is the density of the sample, is the shear wave velocity. As can be seen from the formula, the modulus of elasticity /> and shear wave velocity /> The square of is linear.
对于样品密度的测量,可以通过公式进行计算,由于假人皮肤为发泡材料,因此在测量过程中采用排水法直接对其测量会因其变形等因素产生较大的误差,因此可以在一个已知体积/>的模具中对皮肤材料进行成型,而后对成型后的模型的质量/>进行测量,因此可以较为准确的得到样品的密度/>。For the measurement of sample density, the formula For calculation, since the dummy skin is a foaming material, direct measurement using the drainage method will cause large errors due to deformation and other factors during the measurement process, so it can be calculated in a known volume /> The skin material is molded in the mold, and then the quality of the molded model/> measurement, so the density of the sample can be obtained more accurately /> .
另外的,对于弹性模量的测量,本发明中使用两个超声探头,一个用于发射超声波另外一个用于接收超声波。步骤S100中超声探头发射的波形为连续激励的低频正弦波,并且这里超声探头的聚焦方式采用的是点聚焦,因此,超声探头到样品表面的距离为超声探头的聚焦焦距,这样能够让能量更多的聚焦到一个点上,从而引起剪切波在样品内的传播,并且让样品的感兴趣区域产生更强的振动幅度。In addition, for the measurement of the elastic modulus, two ultrasonic probes are used in the present invention, one for transmitting ultrasonic waves and the other for receiving ultrasonic waves. The waveform emitted by the ultrasonic probe in step S100 is a continuously excited low-frequency sine wave, and here the focusing mode of the ultrasonic probe adopts point focusing. Therefore, the distance from the ultrasonic probe to the sample surface is the focal length of the ultrasonic probe, which can make the energy more Focusing more on a single point causes shear waves to propagate within the sample and induces stronger vibration amplitudes in the region of interest in the sample.
可以理解的是,在本步骤中,需要说明的是,在本申请中假设在时刻从某一点O发射超声波,将超声波的波形通过函数发生器设置为一个周期正弦波的形式,首先在A点进行检测,O点发射超声波和A点进行超声波的回波检测是同步的,即,发射超声波的一瞬间,另外一换能器即开始在A点进行回波的检测,检测时间设置为2ms,由于波速较快,在组织中传播还伴随着衰减,因此A,B,O三点之间的距离不易过远,2ms的时间足够检测较短距离内波的传播信息。It can be understood that, in this step, it should be noted that, in this application, it is assumed that Ultrasonic waves are emitted from a certain point O at any time, and the waveform of the ultrasonic wave is set as a periodic sine wave through the function generator. First, the detection is performed at point A, and the emission of ultrasonic waves at point O and the echo detection of ultrasonic waves at point A are synchronous, that is , the moment the ultrasonic wave is emitted, another transducer starts to detect the echo at point A. The detection time is set to 2ms. Since the wave speed is fast, the propagation in the tissue is accompanied by attenuation, so A, B, O three The distance between points is not too far away, and the time of 2ms is enough to detect the propagation information of waves within a short distance.
在A点检测完后,同样的操作在B点进行检测,而后对AB两点的回波信号进行分析,可以发现,一个周期的正弦波形显示在A,B两点,选取A,B两点震动状态相同的两个时间点,这里选取峰峰值作为参考点,因为较为明显,A点处的峰峰值对应的时间为,B点处的峰峰值对应的时间为/>,通过公式/>进而得到剪切波的传播速度其中,/>是剪切波的波速,/>是A,B两点之间的距离,/>是波从A点传到B点的时间。带入公式/>即可以得到样品的弹性模量;其中,/>为弹性模量,/>为样品密度,/>为剪切波波速。由该公式可以得出,弹性模量与剪切波速存在一一对应的关系。而对于假人胸部皮肤,其厚度一般较真人皮肤的厚度厚并且可以假设为均质各向同性材料,因此本发明用剪切波理论对其弹性模量进行测量。After point A is detected, the same operation is carried out at point B, and then the echo signals at two points AB are analyzed. It can be found that a cycle of sinusoidal waveform is displayed at two points A and B, and two points A and B are selected. For two time points with the same vibration state, the peak-to-peak value is selected as the reference point here, because it is more obvious that the time corresponding to the peak-to-peak value at point A is , the time corresponding to the peak-to-peak value at point B is /> , by the formula /> Then the propagation speed of the shear wave is obtained, where, /> is the wave velocity of the shear wave, /> is the distance between two points A and B, /> is the time it takes for the wave to travel from point A to point B. into the formula /> That is, the elastic modulus of the sample can be obtained; where, /> is the modulus of elasticity, /> is the sample density, /> is the shear wave speed. It can be concluded from this formula that there is a one-to-one correspondence between the elastic modulus and the shear wave velocity. For dummy chest skin, its thickness is generally thicker than that of real human skin and can be assumed to be a homogeneous isotropic material, so the present invention uses shear wave theory to measure its elastic modulus.
S500、利用开尔文模型和拉普拉斯变换算法,对所述弹性模量进行叠加计算,得到松弛时间,对所述松弛时间进行分析,进而得到粘度信息。S500. Using the Kelvin model and the Laplace transform algorithm, perform superposition calculation on the elastic modulus to obtain a relaxation time, and analyze the relaxation time to obtain viscosity information.
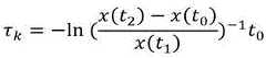
可以理解的是,在本步骤中包括:对于假人皮肤,和人体皮肤相似,都具有一定的粘性。对于粘性材料,都会具有蠕变和应力松弛的特性。应力松弛是具有粘性的材料特有的现象,指材料发生恒定应变的情况下,应力随时间而减小的现象,其中,应力经一段时间后到达某一稳定的值,这个时间就是松弛时间,用表示,松弛时间由材料的性质决定:粘度越小,松弛时间也就越短。这里,我们采用开尔文模型对样品的粘弹性进行计算,下面给出松弛时间,粘度以及弹性模量的关系:/>,其中/>是松弛时间,/>是粘度,/>是弹性模量,因此,测量出松弛时间以及弹性模量就可以对样品的粘度进行表征。It can be understood that this step includes: the skin of the dummy is similar to the skin of the human body and has a certain viscosity. For viscous materials, there will be characteristics of creep and stress relaxation. Stress relaxation is a phenomenon unique to viscous materials. It refers to the phenomenon that the stress decreases with time when the material undergoes constant strain. Among them, the stress reaches a certain stable value after a period of time. This time is the relaxation time. Indicates that the relaxation time is determined by the properties of the material: the viscosity The smaller the value, the shorter the relaxation time. Here, we use the Kelvin model to calculate the viscoelasticity of the sample, and the relationship between relaxation time, viscosity and elastic modulus is given below: /> , where /> is the relaxation time, /> is the viscosity, /> is the elastic modulus, therefore, the viscosity of the sample can be characterized by measuring the relaxation time and the elastic modulus.
根据开尔文模型对所述弹性模量进行计算,得到应力信息;其中开尔文模型的公式如下:,其中/>是应力,/>表示应变,/>表示应变率,/>是粘度,/>是弹性模量。According to the Kelvin model, the elastic modulus is calculated to obtain stress information; wherein the formula of the Kelvin model is as follows: , where /> is the stress, /> Indicates strain, /> Indicates the strain rate, /> is the viscosity, /> is the modulus of elasticity.
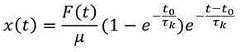
基于拉普拉斯变换算法对所述弹性模量进行计算,得到第一位移信息;其中拉普拉斯变换以及可得:/>,其中,/>是自然常数,/>为时间,/>是松弛时间,/>为施加外力,/>为松弛弹性模量,/>为位移。The elastic modulus is calculated based on the Laplace transform algorithm to obtain the first displacement information; wherein the Laplace transform and Available: /> , where /> is a natural constant, /> for time, /> is the relaxation time, /> To apply external force, /> is the relaxation modulus, /> for the displacement.
根据所述第一位移信息,获取第二位移信息,所述第二位移信息为所述待检测样品在三个时刻的位移信息,所述位移信息为通过所述超声探头得到的超声回波信号的两次加载和卸载后的三个时刻的动态位移信息。若在时卸载,样品的变形规律可以在样品上叠加大小相等、方向相反的力/>,并以/>代替t,即可的:,/>为施加外力,/>为松弛弹性模量,/>为位移,/>是某一卸载时刻,/>是松弛时间。Acquire second displacement information according to the first displacement information, the second displacement information is the displacement information of the sample to be detected at three moments, and the displacement information is the ultrasonic echo signal obtained by the ultrasonic probe Dynamic displacement information at three moments after two loadings and unloading. if in When unloading, the deformation law of the sample can superimpose the force of equal size and opposite direction on the sample /> , and end with /> Instead of t, you can: , /> To apply external force, /> is the relaxation modulus, /> is the displacement, /> is a certain unloading moment, /> It's slack time.
根据叠加原理,对所述应力信息和所述第二位移信息进行计算得到松弛时间,对所述松弛时间进行分析从而得到粘度信息。According to the principle of superposition, the stress information and the second displacement information are calculated to obtain relaxation time, and the relaxation time is analyzed to obtain viscosity information.
根据叠加原理可得:,/>为施加外力,/>为松弛弹性模量,/>为位移,/>是某一卸载时刻,/>是松弛时间。According to the principle of superposition, we can get: , /> To apply external force, /> is the relaxation modulus, /> is the displacement, /> is a certain unloading moment, /> It's slack time.
若在时卸载,根据以上原理并进行叠加整理可得:,/>是某一卸载时刻,/>是松弛时间,/>是/>卸载时刻的位移,/>是/>卸载时刻的位移,/>是/>加载时刻的位移。if in When uninstalling, according to the above principles and superimposed sorting can be obtained: , /> is a certain unloading moment, /> is relaxation time, /> yes /> Displacement at unloading moment, /> yes /> Displacement at unloading moment, /> yes /> The displacement at the moment of loading.
由公式可知,需要得到三个时间点的位移信息即可得到松弛时间,而后可以计算得到样品的粘度信息。It can be seen from the formula that the relaxation time can be obtained by obtaining the displacement information at three time points, and then the viscosity information of the sample can be calculated.
在时刻通过超声探头向假人胸部皮肤感兴趣区域O点发射超声波并在/>时刻卸载,并且在相近时刻1~2ms内进行二次加载,此时间记为/>,在与上述时间间隔相同的时间后再次进行卸载,此时间记为/>,在超声探头向待测样品发射超声波时另一超声探头开始同时在某位置A点接收回波信号。因此通过超声回波信号可以得到两次加载和卸载后的动态位移信息。根据以上公式即可得到样品的粘度。exist At all times, the ultrasonic probe is used to transmit ultrasonic waves to point O of the area of interest on the chest skin of the dummy and Unload at any time, and perform secondary loading within 1-2ms at a similar time, this time is recorded as /> , after the same time interval as above, uninstall again, this time is recorded as /> , when the ultrasonic probe emits ultrasonic waves to the sample to be tested, another ultrasonic probe starts to receive the echo signal at a certain position A at the same time. Therefore, the dynamic displacement information after two loading and unloading can be obtained through the ultrasonic echo signal. The viscosity of the sample can be obtained according to the above formula.
另外,本申请还提供对三个时间点的位移信息进行测量的方法包括以下步骤:S1.利用超声探头向待测样品发射超声波,从而在样品的感兴趣区域产生剪切波;S2.在时刻发射超声波,在/>时刻卸载,并用另一超声探头接收超声回波;S3.在/>时刻发射超声波,在时刻进行卸载;S4.在此期间用另一超声探头持续接收超声回波;S5.对超声回波信号的加载和卸载后的动态位移信息进行分析;S6.通过对三个时间点的位移信息进行分析,得到松弛时间,从而得到粘度信息。In addition, the present application also provides a method for measuring displacement information at three time points, including the following steps: S1. Utilize an ultrasonic probe to transmit ultrasonic waves to the sample to be tested, thereby generating shear waves in the region of interest of the sample; S2. Ultrasonic waves are emitted at all times, at /> Unload at all times, and use another ultrasonic probe to receive ultrasonic echoes; S3. Ultrasonic waves are emitted at all times, at Unloading at all times; S4. During this period, use another ultrasonic probe to continuously receive ultrasonic echoes; S5. Analyze the dynamic displacement information after the ultrasonic echo signal is loaded and unloaded; S6. By analyzing the displacement information at three time points Analysis is performed to obtain relaxation time and thus viscosity information.
在步骤S2-S4中,在时刻发射超声波后,另一超声探头就开始接收超声回波,直至时刻卸载后一段时间,如图7所示,为信号加载的时序图。因为剪切波的传播需要一定的时间,因此要想捕捉到卸载后某点的振动信息,需要在卸载后继续接收一段时间的回波信号。In steps S2-S4, in After the ultrasonic wave is emitted at any time, another ultrasonic probe begins to receive the ultrasonic echo until A period of time after time unloading, as shown in Figure 7, is a timing diagram of signal loading. Because the propagation of the shear wave takes a certain amount of time, in order to capture the vibration information at a certain point after unloading, it is necessary to continue to receive echo signals for a period of time after unloading.
需要注意的是,与弹性模量的测量不同,在测量粘性信息的时候,是对同一位置C点在不同时刻,/>,/>的位移信息进行分析。It should be noted that, unlike the measurement of the elastic modulus, when measuring the viscosity information, it is the point C at the same position at different times , /> , /> The displacement information is analyzed.
其中,加载和卸载之间的时间间隔不易过大,应控制在1~2ms,因为剪切波在样品内的传播速度通常情况下较大,如果时间间隔过大,C点可能已经经过了两个周期的正弦振动,恢复到原始状态,为了保证C点在卸载后仍然在振动状态下接收到下一次的振动信号,需要控制加载和卸载之间的时间间隔。Among them, the time interval between loading and unloading should not be too large, it should be controlled within 1-2ms, because the shear wave propagation speed in the sample is usually relatively large, if the time interval is too long, point C may have passed two The sinusoidal vibration of a cycle returns to the original state. In order to ensure that point C still receives the next vibration signal in the vibration state after unloading, it is necessary to control the time interval between loading and unloading.
通过对C点三个不同时间点的位移进行分析,带入公式:,/>是某一卸载时刻,/>是松弛时间,/>是/>卸载时刻的位移,/>是/>卸载时刻的位移,/>是/>加载时刻的位移。By analyzing the displacement of point C at three different time points, it is brought into the formula: , /> is a certain unloading moment, /> is relaxation time, /> yes /> Displacement at unloading moment, /> yes /> Displacement at unloading moment, /> yes /> The displacement at the moment of loading.
可以得到松弛时间;由于已经计算得到了样品的弹性模量,因此通过公式:,可以得到粘度/>,其中/>为松弛时间,/>为弹性模量。The relaxation time can be obtained; since the elastic modulus of the sample has been calculated , so by the formula: , the viscosity /> can be obtained , where /> is the relaxation time, /> is the modulus of elasticity.
另外的,通过对超声回波信息进行不同的数据处理,比如不同位置,可以得到整个感兴趣区域的粘性分布图,可以通过多次实验,得到多组数据,从而进行平均等计算,提高测量的精度。In addition, by performing different data processing on the ultrasonic echo information, such as different positions, the viscosity distribution map of the entire region of interest can be obtained, and multiple sets of data can be obtained through multiple experiments, so as to perform average calculations and improve measurement accuracy. precision.
实施例2:本实施例提供了一种汽车碰撞假人皮肤的性能测试装置,参见图3-6所述装置包括移动滑轨机构201,所述移动滑轨机构201移动设置在固定杆200上,整个装置还包括在z轴方向移动的第一移动板202,x轴方向移动的第二移动板203,在y轴移动的第三移动板204,所述移动滑轨机构201包括超声探头205、电机和丝杠装置,所述电机与所述丝杠装置相连,所述丝杠装置与所述超声探头205相连,通过所述电机带动所述丝杠装置进行转动,从而调整所述超声探头205的位置;固定装置206,所述固定装置206设置在所述移动滑轨机构201下方,且用于固定假人皮肤;微调装置212,所述微调装置212设置在所述固定装置206的下方且通过连接件207与固定装置206相连,所述微调装置212的底部设置有底板210。Embodiment 2: This embodiment provides a performance test device for the skin of a car crash dummy. Referring to FIGS. , the whole device also includes a first moving
需要说明的是,底板210用于放置整个装置,z轴固定杆200上开有滑槽,与z轴第一移动板202相配合,可以提供在z轴上的位移,同时,z轴第一移动板202通过一个梯形结构2001与x轴第二移动板203相连,第二移动板203可以通过梯形结构2001相对于第一移动板202进行x方向的移动,此外,相同的,y轴第三移动板204同样通过一个梯形结构与第二移动板203相连,可以提供相对于第二移动板203的y轴方向的移动,其移动后的示意图如图3-5所示。It should be noted that the
具体地,所述电机包括第一电机2041和第二电机2042,所述第一电机2041和所述第二电机2042在同一平面上且相互平行设置,所述丝杠装置包括第一丝杠2051和第二丝杠2052,所述第一丝杠2051和所述第二丝杠2052在同一平面上且相互平行设置;所述第一电机2041的一端和所述第一丝杠2051的一端相连接,所述第二电机2042的一端和所述第二丝杠2052的一端相连接。Specifically, the motor includes a
需要说明的是,移动滑轨机构201是一个移动滑轨机构,可以对两个超声探头的位置进行微调,如图3-5所示,其中包括两个小电机,分别为第一电机2041和第二电机2042,还包括第一丝杠2051、第二丝杠2052以及夹紧装置2006,第一电机2041和第二电机2042分别与第一丝杠2051和第二丝杠2052的左右两侧相连,夹紧装置2006、丝杠和超声探头相连,通过电机带动丝杆转动,从而使得两个超声探头之间的距离进行微调,两个小电机通过固定件100固定到y轴第三移动板上。It should be noted that the moving
具体地,所述移动滑轨机构201还包括夹紧装置2006和超声探头205,所述夹紧装置2006包括第一夹紧件2061和第二夹紧件2062,所述超声探头205包括第一超声探头251和第二超声探头252,所述第一夹紧件2061和所述第二夹紧件2062在同一平面上且相互平行设置,所述第一夹紧件2061和所述第二夹紧件2062均垂直设置在所述第一丝杠2051和所述第二丝杠2052上;所述第一夹紧件2061通过螺纹与所述第一丝杠2051相连,所述第一夹紧件2061与所述第一超声探头251相连,当测试装置工作时,驱动所述第一电机2041对所述第一超声探头251进行调整;所述第二夹紧件2062通过螺纹与所述第二丝杠2052相连,所述第二夹紧件2062与所述第二超声探头252相连,当测试装置工作时,驱动所述第二电机2042对所述第二超声探头252进行调整。Specifically, the moving
特别地,两个夹紧装置分别与两个超声探头相连,其中一个第一夹紧件2061与第一丝杠2051相连的一侧带有螺纹,与第二丝杠2052相连的一侧不带螺纹;相反的,另外一个第二夹紧件2062与第一丝杠2051相连的一侧不带螺纹,与第二丝杠2052相连的一侧带有螺纹;因此,可以通过单独驱动第一电机2041来移动第一超声探头251,此时,另一个第二超声探头252不发生移动。同理,当单独驱动第二电机2042可以让第二超声探头252发生移动。因此,本发明可以通过分别控制两个小电机,来分别控制两个超声探头进行距离微调整。另外两个超声探头也通过连接装置208从而得到固定。In particular, the two clamping devices are respectively connected to the two ultrasonic probes, and one side of the
具体地,所述固定装置206的材质为弹性材质,所述固定装置206内设置有伸缩杆211,所述伸缩杆211用于调整所述固定装置206的大小。Specifically, the material of the fixing
其中,需要说明的是,假人胸部皮肤固定装置206,其使用的材料是具有弹性的材料,连接有两根伸缩杆211,通过调节伸缩杆的长度,可以调整固定装置206的弧度,从而适应于固定不同大小的假人胸部皮肤,如图6所示。另外,固定装置206通过连接件207连接到微调装置212上,其中,微调装置212上有三个旋钮,第一旋钮2003可以微调x方向的位置,第二旋钮2004可以微调y方向上的位置,第三旋钮2002可以微调z的方向位置。Among them, it should be noted that the dummy chest
此外,具体地,本发明还提供加载装置包括:函数发生器、信号放大器以及超声探头。其中超声探头既可以发射超声波也可以接收超声波,但是由于发射波和接收波之间会产生一定的干扰,影响实验的准确度,因此为了提高精度,发射和接收不能同时进行,本申请需要使用两个超声探头,一个用来发射超声波一个用来接收超声波。In addition, specifically, the present invention also provides that the loading device includes: a function generator, a signal amplifier, and an ultrasonic probe. Among them, the ultrasonic probe can both transmit ultrasonic waves and receive ultrasonic waves, but due to the interference between the transmitted wave and the received wave, which affects the accuracy of the experiment, in order to improve the accuracy, the transmission and reception cannot be carried out at the same time. This application needs to use two There are two ultrasound probes, one for emitting ultrasound and one for receiving ultrasound.
其中,超声探头:一方面用于发射超声波在样品的感兴趣区域,从而使得样品内产生剪切波引起组织的振动位移;另一方面用于接收超声回波信号,得到组织的振动位移信息。并根据样品内传播的剪切波的动态变化来对样品的弹性以及粘性信息进行表征。Among them, the ultrasonic probe: on the one hand, it is used to emit ultrasonic waves in the region of interest of the sample, so that the shear wave generated in the sample causes the vibration displacement of the tissue; on the other hand, it is used to receive the ultrasonic echo signal to obtain the vibration displacement information of the tissue. The elastic and viscous information of the sample is characterized according to the dynamic change of the shear wave propagating in the sample.
函数发生器:用于产生超声探头所发射的超声波的波形,可以产生正弦波、方波、锯齿波、脉冲波等,对波的频率、幅度等都可以进行调整,还可以对波形进行调制。Function generator: It is used to generate the waveform of the ultrasonic wave emitted by the ultrasonic probe. It can generate sine wave, square wave, sawtooth wave, pulse wave, etc. The frequency and amplitude of the wave can be adjusted, and the waveform can also be modulated.
信号放大器:用来对上述所产生的波的信号进行放大,满足实验对信号强度的要求。Signal Amplifier: It is used to amplify the signal of the wave generated above to meet the requirements of the experiment for signal strength.
由于波在样品中的传播具有一定的衰减,为了能够检测到较强的信号,这里需要限制两个超声探头之间的距离,两个超声探头的距离不能太远。在进行实验之前,可以通过预实验对接收信号的强度与两个超声探头之间的距离进行相关性分析,从而得到最佳的信号接收距离。以及要控制两个超声探头到假人胸部皮肤的距离。首先将假人的胸部皮肤固定在假人胸部固定装置上,并调节两个伸缩杆,使其达到最佳的固定状态,而后移动z轴第一移动板对z轴的高度进行调整,并分别调整x,y轴移动板将两个超声探头的位置移动到合适的测量位置,并通过控制电机进行两个超声探头之间距离的移动。最后,可以通过微调装置,对x,y,z的相对位移进行进一步微小的调整,使探头之间以及探头与假人胸部皮肤之间的距离达到理想的距离。值得注意的:后面的实验的前提都是先对距离进行调整。函数发生器可以控制超声探头的激励波形,并通过放大器对输出的信号进行放大,以达到超声探头匹配的输出功率。通过函数发生器,可以为超声探头提供正弦波、方波、三角波、锯齿波和脉冲波等信号,频率范围也可以从几微赫到几十兆赫。但是由于高频信号在样品中传播时衰减的更快,因此在实验中采用较低的频率。另一方面,由于脉冲波的频率较为分散而正弦波保持一定的频率,能量较为集中,因此在实验过程中为了能够使得检测到更强的信号,本发明采用低频正弦波进行波的加载,频率大约在几百赫兹。Since the propagation of the wave in the sample has a certain attenuation, in order to detect a strong signal, the distance between the two ultrasonic probes needs to be limited, and the distance between the two ultrasonic probes should not be too far. Before conducting the experiment, a pre-experiment can be used to conduct a correlation analysis between the strength of the received signal and the distance between the two ultrasonic probes, so as to obtain the optimal signal receiving distance. And to control the distance from the two ultrasound probes to the chest skin of the dummy. First fix the dummy's chest skin on the dummy's chest fixing device, and adjust the two telescopic rods to achieve the best fixed state, then move the first moving plate of the z-axis to adjust the height of the z-axis, and respectively Adjust the x, y-axis moving plate to move the positions of the two ultrasonic probes to a suitable measurement position, and move the distance between the two ultrasonic probes by controlling the motor. Finally, the relative displacements of x, y, and z can be further finely adjusted through the fine-tuning device, so that the distance between the probes and the distance between the probes and the chest skin of the dummy can reach an ideal distance. It is worth noting: the premise of the following experiments is to adjust the distance first. The function generator can control the excitation waveform of the ultrasonic probe, and amplify the output signal through the amplifier to achieve the matching output power of the ultrasonic probe. The function generator can provide signals such as sine wave, square wave, triangle wave, sawtooth wave and pulse wave to the ultrasonic probe, and the frequency range can also range from a few microhertz to tens of megahertz. However, since high-frequency signals attenuate faster when propagating in the sample, lower frequencies are used in the experiment. On the other hand, since the frequency of the pulse wave is relatively scattered and the sine wave maintains a certain frequency, the energy is relatively concentrated. Therefore, in order to detect a stronger signal during the experiment, the present invention uses a low-frequency sine wave to load the wave. The frequency on the order of a few hundred hertz.
需要说明的是,关于上述实施例中的装置,其中各个模块执行操作的具体方式已经在有关该方法的实施例中进行了详细描述,此处将不做详细阐述说明。It should be noted that, with regard to the apparatus in the above embodiments, the specific manner in which each module executes operations has been described in detail in the embodiments related to the method, and will not be described in detail here.
实施例3:相应于上面的方法实施例,本实施例中还提供了一种假人皮肤的性能测试设备,下文描述的一种假人皮肤的性能测试设备与上文描述的一种汽车碰撞假人皮肤的性能测试方法可相互对应参照。Embodiment 3: Corresponding to the method embodiment above, a kind of dummy skin performance testing equipment is also provided in this embodiment, the performance testing equipment of a kind of dummy skin described below collides with a kind of automobile described above The performance test methods of dummy skin can be referred to each other.
图2是根据示例性实施例示出的一种假人皮肤的性能测试设备800的框图。如图2所示,该假人皮肤的性能测试设备800可以包括:处理器801,存储器802。该假人皮肤的性能测试设备800还可以包括多媒体组件803,I/O接口804,以及通信组件805中的一者或多者。Fig. 2 is a block diagram of a dummy skin
其中,处理器801用于控制该假人皮肤的性能测试设备800的整体操作,以完成上述的汽车碰撞假人皮肤的性能测试方法中的全部或部分步骤。存储器802用于存储各种类型的数据以支持在该假人皮肤的性能测试设备800的操作,这些数据例如可以包括用于在该假人皮肤的性能测试设备800上操作的任何应用程序或方法的指令,以及应用程序相关的数据,例如联系人数据、收发的消息、图片、音频、视频等等。该存储器802可以由任何类型的易失性或非易失性存储设备或者它们的组合实现,例如静态随机存取存储器(StaticRandomAccess Memory,简称SRAM),电可擦除可编程只读存储器(ElectricallyErasableProgrammable Read-Only Memory,简称EEPROM),可擦除可编程只读存储器(ErasableProgrammable Read-Only Memory,简称EPROM),可编程只读存储器(Programmable Read-OnlyMemory,简称PROM),只读存储器,磁存储器,快闪存储器,磁盘或光盘。多媒体组件803可以包括屏幕和音频组件。其中屏幕例如可以是触摸屏,音频组件用于输出和/或输入音频信号。例如,音频组件可以包括一个麦克风,麦克风用于接收外部音频信号。所接收的音频信号可以被进一步存储在存储器802或通过通信组件805发送。音频组件还包括至少一个扬声器,用于输出音频信号。I/O接口804为处理器801和其他接口模块之间提供接口,上述其他接口模块可以是键盘,鼠标,按钮等。这些按钮可以是虚拟按钮或者实体按钮。通信组件805用于该假人皮肤的性能测试设备800与其他设备之间进行有线或无线通信。无线通信,例如Wi-Fi,蓝牙,近场通信(Near Field Communication,简称NFC),2G、3G或4G,或它们中的一种或几种的组合,因此相应的该通信组件805可以包括:Wi-Fi模块,蓝牙模块,NFC模块。Wherein, the
在一示例性实施例中,假人皮肤的性能测试设备800可以被一个或多个应用专用集成电路(Application Specific Integrated Circuit,简称ASIC)、数字信号处理器(DigitalSignalProcessor,简称DSP)、数字信号处理设备(Digital Signal ProcessingDevice,简称DSPD)、可编程逻辑器件(ProgrammableLogic Device,简称PLD)、现场可编程门阵列(Field Programmable Gate Array,简称FPGA)、控制器、微控制器、微处理器或其他电子元件实现,用于执行上述的汽车碰撞假人皮肤的性能测试方法。In an exemplary embodiment, the
在另一示例性实施例中,还提供了一种包括程序指令的计算机可读存储介质,该程序指令被处理器执行时实现上述的汽车碰撞假人皮肤的性能测试方法的步骤。例如,该计算机可读存储介质可以为上述包括程序指令的存储器802,上述程序指令可由假人皮肤的性能测试设备800的处理器801执行以完成上述的汽车碰撞假人皮肤的性能测试方法。In another exemplary embodiment, a computer-readable storage medium including program instructions is also provided. When the program instructions are executed by a processor, the steps of the above method for testing the performance of the skin of a car crash dummy are realized. For example, the computer-readable storage medium can be the above-mentioned
实施例4:相应于上面的方法实施例,本实施例中还提供了一种可读存储介质,下文描述的一种可读存储介质与上文描述的一种汽车碰撞假人皮肤的性能测试方法可相互对应参照。Embodiment 4: Corresponding to the method embodiment above, a readable storage medium is also provided in this embodiment, a performance test of the readable storage medium described below and the skin of a car crash dummy described above The methods can be referred to each other.
一种可读存储介质,可读存储介质上存储有计算机程序,计算机程序被处理器执行时实现上述方法实施例的汽车碰撞假人皮肤的性能测试方法的步骤。A readable storage medium, on which a computer program is stored, and when the computer program is executed by a processor, the steps of the method for testing the performance of the car crash dummy skin in the above method embodiment are realized.
该可读存储介质具体可以为U盘、移动硬盘、只读存储器(Read-Only Memory,ROM)、随机存取存储器(Random AccessMemory,RAM)、磁碟或者光盘等各种可存储程序代码的可读存储介质。The readable storage medium can specifically be a USB flash drive, a mobile hard disk, a read-only memory (Read-Only Memory, ROM), a random access memory (Random Access Memory, RAM), a magnetic disk or an optical disk, and other storage devices that can store program codes. Read storage media.
以上所述仅为本发明的优选实施例而已,并不用于限制本发明,对于本领域的技术人员来说,本发明可以有各种更改和变化。凡在本发明的精神和原则之内,所作的任何修改、等同替换、改进等,均应包含在本发明的保护范围之内。The above descriptions are only preferred embodiments of the present invention, and are not intended to limit the present invention. For those skilled in the art, the present invention may have various modifications and changes. Any modifications, equivalent replacements, improvements, etc. made within the spirit and principles of the present invention shall be included within the protection scope of the present invention.
以上所述,仅为本发明的具体实施方式,但本发明的保护范围并不局限于此,任何熟悉本技术领域的技术人员在本发明揭露的技术范围内,可轻易想到变化或替换,都应涵盖在本发明的保护范围之内。因此,本发明的保护范围应以权利要求的保护范围为准。The above is only a specific embodiment of the present invention, but the scope of protection of the present invention is not limited thereto. Anyone skilled in the art can easily think of changes or substitutions within the technical scope disclosed in the present invention. Should be covered within the protection scope of the present invention. Therefore, the protection scope of the present invention should be based on the protection scope of the claims.
| Application Number | Priority Date | Filing Date | Title |
|---|---|---|---|
| CN202310165120.6ACN115856083A (en) | 2023-02-27 | 2023-02-27 | Method, device, equipment and medium for testing performance of skin of automobile collision dummy |
| Application Number | Priority Date | Filing Date | Title |
|---|---|---|---|
| CN202310165120.6ACN115856083A (en) | 2023-02-27 | 2023-02-27 | Method, device, equipment and medium for testing performance of skin of automobile collision dummy |
| Publication Number | Publication Date |
|---|---|
| CN115856083Atrue CN115856083A (en) | 2023-03-28 |
| Application Number | Title | Priority Date | Filing Date |
|---|---|---|---|
| CN202310165120.6APendingCN115856083A (en) | 2023-02-27 | 2023-02-27 | Method, device, equipment and medium for testing performance of skin of automobile collision dummy |
| Country | Link |
|---|---|
| CN (1) | CN115856083A (en) |
| Publication number | Priority date | Publication date | Assignee | Title |
|---|---|---|---|---|
| JPH09229912A (en)* | 1996-02-22 | 1997-09-05 | Hitachi Constr Mach Co Ltd | Ultrasonic examination subject fixing device |
| US20050252295A1 (en)* | 2002-09-02 | 2005-11-17 | Centre National De La Recherche Scientifique- Cnrs | Imaging method and device employing sherar waves |
| CN1959404A (en)* | 2005-10-31 | 2007-05-09 | 宝山钢铁股份有限公司 | Ultrasonic method and device for testing macroscopic cleanness of continuous casting billet |
| US20130030727A1 (en)* | 2011-07-25 | 2013-01-31 | U.S.A. As Represented By The Administrator Of The National Aeronautics And Space Administration | Floating Ultrasonic Transducer Inspection System and Method for Nondestructive Evaluation |
| CN202920235U (en)* | 2012-10-17 | 2013-05-08 | 吴宗贵 | Experimental animal ultrasonic support device for auxiliary positioning |
| CN103750864A (en)* | 2014-01-13 | 2014-04-30 | 华南理工大学 | Scanning device and method of ultrasound elasticity imaging |
| CN104931517A (en)* | 2014-03-20 | 2015-09-23 | 日本株式会社日立高新技术科学 | X-Ray Analyzer |
| CN105212968A (en)* | 2015-10-29 | 2016-01-06 | 无锡海斯凯尔医学技术有限公司 | Elastomeric check method and apparatus |
| CN105891333A (en)* | 2016-06-06 | 2016-08-24 | 广东省东莞市质量监督检测中心 | A method and equipment for automatic ultrasonic scanning of die steel |
| WO2017014344A1 (en)* | 2015-07-23 | 2017-01-26 | (주)윤택이엔지 | Automatic calibration device for non-destructive ultrasound inspection device, and control method therefor |
| US20170197616A1 (en)* | 2014-09-12 | 2017-07-13 | Panasonic Intellectual Property Management Co., Ltd. | Collision prevention device |
| CN107106120A (en)* | 2014-10-29 | 2017-08-29 | 梅约医学教育与研究基金会 | Method for ultrasound elastography by continuous vibration of an ultrasound transducer |
| CN107495986A (en)* | 2017-07-21 | 2017-12-22 | 无锡海斯凯尔医学技术有限公司 | The viscoelastic measuring method of medium and device |
| CN109060966A (en)* | 2018-07-27 | 2018-12-21 | 西北工业大学 | A kind of ultrasonic transducer self-checking device |
| CN112077850A (en)* | 2020-09-17 | 2020-12-15 | 中国矿业大学 | Ultrasonic nondestructive testing probe auto-collimation device based on manipulator and working method |
| CN214895043U (en)* | 2020-10-28 | 2021-11-26 | 上海船舶工程质量检测有限公司 | Automated Scanning Device for Phased Array Ultrasonic Inspection of Bending Welds |
| CN114983471A (en)* | 2022-08-05 | 2022-09-02 | 杭州影想未来科技有限公司 | Automatic robot of looking into of supersound |
| CN218239794U (en)* | 2022-08-11 | 2023-01-06 | 上海睿钰生物科技有限公司 | Sample platform control structure and control system, platform mechanism and microscopic imaging system |
| Publication number | Priority date | Publication date | Assignee | Title |
|---|---|---|---|---|
| JPH09229912A (en)* | 1996-02-22 | 1997-09-05 | Hitachi Constr Mach Co Ltd | Ultrasonic examination subject fixing device |
| US20050252295A1 (en)* | 2002-09-02 | 2005-11-17 | Centre National De La Recherche Scientifique- Cnrs | Imaging method and device employing sherar waves |
| CN1959404A (en)* | 2005-10-31 | 2007-05-09 | 宝山钢铁股份有限公司 | Ultrasonic method and device for testing macroscopic cleanness of continuous casting billet |
| US20130030727A1 (en)* | 2011-07-25 | 2013-01-31 | U.S.A. As Represented By The Administrator Of The National Aeronautics And Space Administration | Floating Ultrasonic Transducer Inspection System and Method for Nondestructive Evaluation |
| CN202920235U (en)* | 2012-10-17 | 2013-05-08 | 吴宗贵 | Experimental animal ultrasonic support device for auxiliary positioning |
| CN103750864A (en)* | 2014-01-13 | 2014-04-30 | 华南理工大学 | Scanning device and method of ultrasound elasticity imaging |
| CN104931517A (en)* | 2014-03-20 | 2015-09-23 | 日本株式会社日立高新技术科学 | X-Ray Analyzer |
| US20170197616A1 (en)* | 2014-09-12 | 2017-07-13 | Panasonic Intellectual Property Management Co., Ltd. | Collision prevention device |
| CN107106120A (en)* | 2014-10-29 | 2017-08-29 | 梅约医学教育与研究基金会 | Method for ultrasound elastography by continuous vibration of an ultrasound transducer |
| WO2017014344A1 (en)* | 2015-07-23 | 2017-01-26 | (주)윤택이엔지 | Automatic calibration device for non-destructive ultrasound inspection device, and control method therefor |
| CN105212968A (en)* | 2015-10-29 | 2016-01-06 | 无锡海斯凯尔医学技术有限公司 | Elastomeric check method and apparatus |
| CN105891333A (en)* | 2016-06-06 | 2016-08-24 | 广东省东莞市质量监督检测中心 | A method and equipment for automatic ultrasonic scanning of die steel |
| CN107495986A (en)* | 2017-07-21 | 2017-12-22 | 无锡海斯凯尔医学技术有限公司 | The viscoelastic measuring method of medium and device |
| CN109060966A (en)* | 2018-07-27 | 2018-12-21 | 西北工业大学 | A kind of ultrasonic transducer self-checking device |
| CN112077850A (en)* | 2020-09-17 | 2020-12-15 | 中国矿业大学 | Ultrasonic nondestructive testing probe auto-collimation device based on manipulator and working method |
| CN214895043U (en)* | 2020-10-28 | 2021-11-26 | 上海船舶工程质量检测有限公司 | Automated Scanning Device for Phased Array Ultrasonic Inspection of Bending Welds |
| CN114983471A (en)* | 2022-08-05 | 2022-09-02 | 杭州影想未来科技有限公司 | Automatic robot of looking into of supersound |
| CN218239794U (en)* | 2022-08-11 | 2023-01-06 | 上海睿钰生物科技有限公司 | Sample platform control structure and control system, platform mechanism and microscopic imaging system |
| Title |
|---|
| 孙翠茹: "基于光学相干断层扫描的软组织粘性定量测试方法研究", 第十八届北方七省市区力学学会学术会议论文集, pages 175 - 177* |
| 陈宝定,李嘉,邓学东: "《超声新技术临床应用》", 北京理工大学出版社* |
| Publication | Publication Date | Title |
|---|---|---|
| KR102181339B1 (en) | Elasticity detection method and device | |
| CN1023442C (en) | Method and device for non-invasive acoustic testing of elasticity of biological soft tissue | |
| CN102175776B (en) | Photoacoustic elastic imaging method and device | |
| JP2018531138A6 (en) | Elasticity detection method and apparatus | |
| KR20180111928A (en) | Method for obtaining data on the elasticity of a material using torsional waves | |
| CN108445077A (en) | A kind of Photoelasticity test method | |
| Zhang et al. | Damage detection of fatigue cracks under nonlinear boundary condition using subharmonic resonance | |
| CN114224382B (en) | Viscoelasticity measuring method and system thereof | |
| TWI704906B (en) | Method and device for measuring viscoelasticity of medium | |
| HK1212876A1 (en) | Ultrasonic detection device, system and method for elastic measurements | |
| CN115856083A (en) | Method, device, equipment and medium for testing performance of skin of automobile collision dummy | |
| Aksoy | Broadband ultrasonic spectroscopy for the characterization of viscoelastic materials | |
| Yun et al. | Imaging of contact acoustic nonlinearity using synthetic aperture technique | |
| Wang et al. | Dynamic method of optical coherence elastography in determining viscoelasticity of polymers and tissues | |
| WO2019015399A1 (en) | Method and device for measuring viscoelasticity of medium | |
| Krasnoveikin et al. | Development of the noncontact approach to testing the dynamic characteristics of carbon fiber reinforced polymer composites | |
| Mitri | Inverse determination of porosity from object’s resonances | |
| KR101391772B1 (en) | A indentor with a functional sensor, indentation tester and analysis system using the indentor | |
| Hou et al. | Broadband dynamic parameters measurement by longitudinal vibration testing using pulse wave | |
| US20240151622A1 (en) | Tensile acoustic rheometry for characterization of viscoelastic materials | |
| CN223193027U (en) | Test probe and test system | |
| CN115825251A (en) | Simultaneous homologous loading module, device and method for measuring mechanical properties of materials | |
| CN116141681B (en) | Method and equipment for monitoring structural-mechanical composite parameters in 3D printing process | |
| CN118203353B (en) | Performance detection apparatus and method for ultrasonic shear wave probe | |
| Koruk et al. | Elasticity and Viscoelasticity Imaging Using Small Particles Exposed to an External Force |
| Date | Code | Title | Description |
|---|---|---|---|
| PB01 | Publication | ||
| PB01 | Publication | ||
| SE01 | Entry into force of request for substantive examination | ||
| SE01 | Entry into force of request for substantive examination | ||
| RJ01 | Rejection of invention patent application after publication | ||
| RJ01 | Rejection of invention patent application after publication | Application publication date:20230328 |