





技术领域technical field
本发明涉及温度控制技术领域,尤其涉及一种热敏电阻校准方法、装置及电子设备。The invention relates to the technical field of temperature control, in particular to a thermistor calibration method, device and electronic equipment.
背景技术Background technique
热敏电阻具有阻值随温度进行变化的特性,基于热敏电阻制作热敏探针,通过测量热敏探针的阻值变化,可以在很多场景下准确测量温度。热敏电阻的校准就是获取电阻温度和阻值的对应关系,热敏电阻的校准对热敏电阻的测量精度有着重要影响。相关技术通过标准温度计直接测量热敏电阻的温度,并记录对应的阻值,从而获得热敏电阻温度和阻值的对应关系,相关技术对热敏电阻的温度测量的精度不高,导致对热敏电阻校准不够准确。The thermistor has the characteristic that the resistance value changes with temperature. The thermal probe is made based on the thermistor. By measuring the resistance value change of the thermal probe, the temperature can be accurately measured in many scenarios. The calibration of the thermistor is to obtain the corresponding relationship between the resistance temperature and the resistance value. The calibration of the thermistor has an important impact on the measurement accuracy of the thermistor. The related technology directly measures the temperature of the thermistor through a standard thermometer, and records the corresponding resistance value, so as to obtain the corresponding relationship between the temperature of the thermistor and the resistance value. The sensitivity calibration is not accurate enough.
发明内容Contents of the invention
为了解决上述问题,本发明实施例提供了一种热敏电阻校准方法、装置及电子设备,以至少解决相关技术对热敏电阻校准不够准确的问题。In order to solve the above problems, embodiments of the present invention provide a thermistor calibration method, device and electronic equipment, so as to at least solve the problem of inaccurate calibration of thermistors in related technologies.
本发明的技术方案是这样实现的:Technical scheme of the present invention is realized like this:
第一方面,本发明实施例提供了一种热敏电阻校准方法,该方法包括:In a first aspect, an embodiment of the present invention provides a method for calibrating a thermistor, the method comprising:
对铂电阻温度计进行校准;所述铂电阻温度计放置在恒温水槽中;The platinum resistance thermometer is calibrated; the platinum resistance thermometer is placed in a constant temperature water tank;
获取第一温度校准范围内的各个温度点下的待校准的热敏电阻的电阻值,以及已校准的铂电阻温度计的温度值;所述待校准的热敏电阻和已校准的铂电阻温度计放置在所述恒温水槽内;Obtain the resistance value of the thermistor to be calibrated at each temperature point in the first temperature calibration range, and the temperature value of the calibrated platinum resistance thermometer; the thermistor to be calibrated and the calibrated platinum resistance thermometer are placed in the constant temperature water tank;
根据各个温度点下的所述待校准的热敏电阻的电阻值和已校准的铂电阻温度计的温度值,确定所述第一温度校准范围内所述待校准的热敏电阻的电阻值与温度值的对应关系。According to the resistance value of the thermistor to be calibrated and the temperature value of the calibrated platinum resistance thermometer at each temperature point, determine the resistance value and temperature of the thermistor to be calibrated within the first temperature calibration range value correspondence.
在上述方案中,所述对铂电阻温度计进行校准,包括:In the above scheme, the platinum resistance thermometer is calibrated, including:
获取第二温度校准范围内的各个温度点下的所述铂电阻温度计的电阻值和标准温度计的温度值;所述铂电阻温度计和所述标准温度计放置在恒温水槽内;Obtain the resistance value of the platinum resistance thermometer and the temperature value of the standard thermometer at each temperature point within the second temperature calibration range; the platinum resistance thermometer and the standard thermometer are placed in a constant temperature water tank;
根据所述第二温度校准范围内的各个温度点下的所述铂电阻温度计的电阻值和标准温度计的温度值,确定所述铂电阻温度计的电阻值和温度值的对应关系。According to the resistance value of the platinum resistance thermometer and the temperature value of the standard thermometer at each temperature point within the second temperature calibration range, a corresponding relationship between the resistance value and the temperature value of the platinum resistance thermometer is determined.
在上述方案中,所述获取第二温度校准范围内的各个温度点下的所述铂电阻温度计的电阻值和标准温度计的温度值,包括:In the above scheme, the acquisition of the resistance value of the platinum resistance thermometer and the temperature value of the standard thermometer at each temperature point within the second temperature calibration range includes:
将所述恒温水槽内的水浴温度调整到第一温度点;所述第一温度点为所述第二温度校准范围内的任意温度点;Adjusting the temperature of the water bath in the constant temperature water tank to a first temperature point; the first temperature point is any temperature point within the second temperature calibration range;
在所述恒温水槽内的水浴温度稳定的情况下,获取所述铂电阻温度计的电阻值;Under the condition that the temperature of the water bath in the constant temperature water tank is stable, obtain the resistance value of the platinum resistance thermometer;
在所述铂电阻温度计的温度系数小于或等于第一设定值的情况下,获取所述标准温度计的温度值;In the case that the temperature coefficient of the platinum resistance thermometer is less than or equal to a first set value, acquiring the temperature value of the standard thermometer;
记录所述第一温度点对应的所述铂电阻温度计的电阻值和标准温度计的温度值;Recording the resistance value of the platinum resistance thermometer and the temperature value of the standard thermometer corresponding to the first temperature point;
在上述方案中,若所述标准温度计包括至少两个探头,所述获取所述标准温度计的温度值,包括:In the above scheme, if the standard thermometer includes at least two probes, the obtaining the temperature value of the standard thermometer includes:
确定所述至少两个探头的温度值的均值,将所述均值作为所述标准温度计的温度值。determining the average value of the temperature values of the at least two probes, and using the average value as the temperature value of the standard thermometer.
在上述方案中,所述获取第一温度校准范围内的各个温度点下的待校准的热敏电阻的电阻值,以及已校准的铂电阻温度计的温度值,包括:In the above scheme, the acquisition of the resistance value of the thermistor to be calibrated at each temperature point within the first temperature calibration range and the temperature value of the calibrated platinum resistance thermometer includes:
将所述恒温水槽内的水浴温度调整到第二温度点;所述第二温度点为所述第一温度校准范围内的任意温度点;Adjust the temperature of the water bath in the constant temperature water tank to a second temperature point; the second temperature point is any temperature point within the first temperature calibration range;
在所述恒温水槽内的水浴温度稳定的情况下,获取所述已校准的铂电阻温度计的温度值;Under the condition that the temperature of the water bath in the constant temperature water tank is stable, obtain the temperature value of the calibrated platinum resistance thermometer;
在所述已校准的铂电阻温度计的温度值的变化度小于或等于第二设定值的情况下,获取所述待校准的热敏电阻的电阻值;Acquire the resistance value of the thermistor to be calibrated when the change degree of the temperature value of the calibrated platinum resistance thermometer is less than or equal to a second set value;
在所述待校准的热敏电阻的电阻值的变化度小于或等于第三设定值的情况下,记录所述第二温度点对应的所述已校准的铂电阻温度计的温度值和所述待校准的热敏电阻的电阻值。When the change degree of the resistance value of the thermistor to be calibrated is less than or equal to the third set value, record the temperature value of the calibrated platinum resistance thermometer corresponding to the second temperature point and the The resistance value of the thermistor to be calibrated.
在上述方案中,所述确定第一温度校准范围内所述待校准的热敏电阻的电阻值与温度值的对应关系,包括:In the above solution, the determination of the correspondence between the resistance value of the thermistor to be calibrated and the temperature value within the first temperature calibration range includes:
基于各个温度点下的所述待校准的热敏电阻的电阻值和已校准的铂电阻温度计的温度值,确定所述待校准的热敏电阻的材料常数;Determine the material constant of the thermistor to be calibrated based on the resistance value of the thermistor to be calibrated at each temperature point and the temperature value of the calibrated platinum resistance thermometer;
基于所述待校准的热敏电阻的材料常数,确定所述第一温度校准范围内所述待校准的热敏电阻的电阻值与温度值的对应关系。Based on the material constant of the thermistor to be calibrated, the correspondence between the resistance value and the temperature value of the thermistor to be calibrated within the first temperature calibration range is determined.
第二方面,本发明实施例提供了一种热敏电阻校准装置,该装置包括:In a second aspect, an embodiment of the present invention provides a thermistor calibration device, which includes:
第一校准模块,用于对铂电阻温度计进行校准;所述铂电阻温度计放置在恒温水槽中;The first calibration module is used to calibrate the platinum resistance thermometer; the platinum resistance thermometer is placed in a constant temperature water tank;
获取模块,用于获取第一温度校准范围内的各个温度点下的待校准的热敏电阻的电阻值,以及已校准的铂电阻温度计的温度值;所述待校准的热敏电阻和已校准的铂电阻温度计放置在所述恒温水槽内;An acquisition module, configured to acquire the resistance value of the thermistor to be calibrated at each temperature point within the first temperature calibration range, and the temperature value of the calibrated platinum resistance thermometer; the thermistor to be calibrated and the calibrated The platinum resistance thermometer is placed in the constant temperature water tank;
第二校准模块,用于根据各个温度点下的所述待校准的热敏电阻的电阻值和已校准的铂电阻温度计的温度值,确定所述第一温度校准范围内所述待校准的热敏电阻的电阻值与温度值的对应关系。The second calibration module is used to determine the thermistor to be calibrated within the first temperature calibration range according to the resistance value of the thermistor to be calibrated at each temperature point and the temperature value of the calibrated platinum resistance thermometer. The corresponding relationship between the resistance value of the sensitive resistor and the temperature value.
第三方面,本发明实施例提供了一种热敏电阻校准系统,该系统包括:In a third aspect, an embodiment of the present invention provides a thermistor calibration system, which includes:
一种热敏电阻校准系统,其特征在于,包括:A thermistor calibration system is characterized in that, comprising:
恒温水槽,在校准热敏电阻时,铂电阻温度计和待校准的热敏电阻放置在所述恒温水槽中;在校准所述铂电阻温度计时,所述铂电阻温度计和标准温度计放置在所述恒温水槽中;A constant temperature water tank, when calibrating the thermistor, the platinum resistance thermometer and the thermistor to be calibrated are placed in the constant temperature water tank; when the platinum resistance thermometer is calibrated, the platinum resistance thermometer and the standard thermometer are placed in the constant temperature water tank in the sink;
测量模块,所述测量模块由标准温度计、用于读取铂电阻温度计和所述待校准的热敏电阻的电阻值的万用表、用于调节恒温水槽内水浴温度的水浴控制器和通信模块组成;所述通信模块用于与软件处理模块进行通信;Measuring module, described measuring module is made up of standard thermometer, the multimeter for reading the resistance value of platinum resistance thermometer and the thermistor to be calibrated, the water bath controller and the communication module for regulating the water bath temperature in the constant temperature water tank; The communication module is used to communicate with the software processing module;
软件处理模块,用于对铂电阻温度计进行校准;获取第一温度校准范围内的各个温度点下的待校准的热敏电阻的电阻值,以及已校准的铂电阻温度计的温度值;根据各个温度点下的所述待校准的热敏电阻的电阻值和已校准的铂电阻温度计的温度值,确定所述第一温度校准范围内所述待校准的热敏电阻的电阻值与温度值的对应关系。The software processing module is used to calibrate the platinum resistance thermometer; obtain the resistance value of the thermistor to be calibrated at each temperature point within the first temperature calibration range, and the temperature value of the calibrated platinum resistance thermometer; according to each temperature Point the resistance value of the thermistor to be calibrated and the temperature value of the calibrated platinum resistance thermometer, determine the correspondence between the resistance value of the thermistor to be calibrated and the temperature value in the first temperature calibration range relation.
第四方面,本发明实施例提供了一种电子设备,包括处理器和存储器,所述处理器和存储器相互连接,其中,所述存储器用于存储计算机程序,所述计算机程序包括程序指令,所述处理器被配置用于调用所述程序指令,执行本发明实施例第一方面提供的热敏电阻校准方法的步骤。In a fourth aspect, an embodiment of the present invention provides an electronic device, including a processor and a memory, the processor and the memory are connected to each other, wherein the memory is used to store a computer program, the computer program includes program instructions, and the The processor is configured to invoke the program instructions to execute the steps of the thermistor calibration method provided in the first aspect of the embodiments of the present invention.
第五方面,本发明实施例提供了一种计算机可读存储介质,包括:所述计算机可读存储介质存储有计算机程序。所述计算机程序被处理器执行时实现如本发明实施例第一方面提供的热敏电阻校准方法的步骤。In a fifth aspect, an embodiment of the present invention provides a computer-readable storage medium, including: the computer-readable storage medium stores a computer program. When the computer program is executed by the processor, the steps of the thermistor calibration method provided in the first aspect of the embodiment of the present invention are realized.
本发明实施例通过在恒温水槽中对铂电阻温度计进行校准,获取第一温度校准范围内的各个温度点下的待校准的热敏电阻的电阻值,以及已校准的铂电阻温度计的温度值,待校准的热敏电阻和已校准的铂电阻温度计都放置在恒温水槽内。根据各个温度点下的待校准的热敏电阻的电阻值和已校准的铂电阻温度计的温度值,确定第一温度校准范围内待校准的热敏电阻的电阻值与温度值的对应关系。本实施例将热敏电阻和铂电阻温度计放在同一个环境下进行校准,可以使得铂电阻温度计的测量准确度更高,使得获取到的热敏电阻的电阻值与温度值的对应关系更加准确,确保热敏电阻的温度校准曲线准确可靠,使得校准后的热敏电阻可以准确测量液体的温度变化。In the embodiment of the present invention, the resistance value of the thermistor to be calibrated and the temperature value of the calibrated platinum resistance thermometer are obtained at each temperature point within the first temperature calibration range by calibrating the platinum resistance thermometer in a constant temperature water tank, The thermistor to be calibrated and the calibrated platinum resistance thermometer are placed in a constant temperature water bath. According to the resistance value of the thermistor to be calibrated at each temperature point and the temperature value of the calibrated platinum resistance thermometer, the corresponding relationship between the resistance value of the thermistor to be calibrated and the temperature value in the first temperature calibration range is determined. In this embodiment, the thermistor and the platinum resistance thermometer are calibrated in the same environment, which can make the measurement accuracy of the platinum resistance thermometer higher, and make the obtained corresponding relationship between the resistance value of the thermistor and the temperature value more accurate , to ensure that the temperature calibration curve of the thermistor is accurate and reliable, so that the calibrated thermistor can accurately measure the temperature change of the liquid.
附图说明Description of drawings
图1是本发明实施例提供的一种热敏电阻校准系统的结构示意图;Fig. 1 is a schematic structural diagram of a thermistor calibration system provided by an embodiment of the present invention;
图2是本发明实施例提供的一种热敏电阻校准方法的实现流程示意图;FIG. 2 is a schematic flow diagram of a thermistor calibration method provided by an embodiment of the present invention;
图3是本发明实施例提供的一种铂电阻温度计的校准流程示意图;Fig. 3 is a schematic diagram of a calibration flow chart of a platinum resistance thermometer provided by an embodiment of the present invention;
图4是本发明实施例提供的一种热敏电阻的校准流程示意图;FIG. 4 is a schematic diagram of a calibration process of a thermistor provided by an embodiment of the present invention;
图5是本发明实施例提供的一种热敏电阻校准装置的示意图;5 is a schematic diagram of a thermistor calibration device provided by an embodiment of the present invention;
图6是本发明一实施例提供的电子设备的示意图。Fig. 6 is a schematic diagram of an electronic device provided by an embodiment of the present invention.
具体实施方式Detailed ways
下面将结合本发明实施例中的附图,对本发明实施例中的技术方案进行清楚、完整地描述,显然,所描述的实施例是本发明一部分实施例,而不是全部的实施例。基于本发明中的实施例,本领域普通技术人员在没有做出创造性劳动前提下所获得的所有其他实施例,都属于本发明保护的范围。The following will clearly and completely describe the technical solutions in the embodiments of the present invention with reference to the accompanying drawings in the embodiments of the present invention. Obviously, the described embodiments are some of the embodiments of the present invention, but not all of them. Based on the embodiments of the present invention, all other embodiments obtained by persons of ordinary skill in the art without making creative efforts belong to the protection scope of the present invention.
由于热敏电阻具有阻值随温度进行变化的特性,可基于热敏电阻制作热敏探针,通过测量热敏探针的阻值变化,可以在很多场景下准确测量温度。例如,热敏探针可以测量由质子束导致的水中辐射温升,从而完成质子束水吸收剂量的测量。质子束水吸收剂量,即质子束辐射在水中,单位质量的水所吸收的能量,单位为戈瑞(Gy,1Gy=1J/kg)。在水吸收剂量测量中,因能量沉积主要以水温升高的形式体现,因此可以直接测量辐射温升来测量水吸收剂量。Because the thermistor has the characteristic that the resistance value changes with temperature, a thermal probe can be made based on the thermistor. By measuring the resistance value change of the thermal probe, the temperature can be accurately measured in many scenarios. For example, the thermal probe can measure the radiation temperature rise in water caused by the proton beam, so as to complete the measurement of the absorbed dose of the proton beam water. Proton beam water absorbed dose, that is, the energy absorbed by a unit mass of water irradiated by proton beams in water, the unit is Gray (Gy, 1Gy=1J/kg). In the measurement of water absorbed dose, since the energy deposition is mainly reflected in the form of water temperature rise, the radiation temperature rise can be directly measured to measure the water absorbed dose.
相关技术在对热敏电阻进行校准时,由于选用的标准温度计与热敏电阻不是在同一个环境下校准的,并且标准温度计不具有阻值随温度进行变化的特性,所以其测量出热敏电阻的不够准确,导致对热敏电阻校准不够准确。In the related art, when calibrating the thermistor, since the selected standard thermometer and the thermistor are not calibrated in the same environment, and the standard thermometer does not have the characteristic that the resistance value changes with temperature, it measures the thermistor Inaccurate enough, resulting in inaccurate calibration of the thermistor.
针对上述相关技术的缺点,本发明实施例提供了一种热敏电阻校准方法,能够准确获取热敏电阻的温度值与电阻值的对应关系。为了说明本发明所述的技术方案,下面通过具体实施例来进行说明。In view of the shortcomings of the above-mentioned related technologies, an embodiment of the present invention provides a method for calibrating a thermistor, which can accurately obtain the corresponding relationship between the temperature value and the resistance value of the thermistor. In order to illustrate the technical solutions of the present invention, specific examples are used below to illustrate.
本发明实施例提供的一种热敏电阻校准系统,该热敏电阻校准系统包括:A thermistor calibration system provided in an embodiment of the present invention, the thermistor calibration system includes:
恒温水槽;在校准热敏电阻时,铂电阻温度计和待校准的热敏电阻放置在所述恒温水槽中;在校准所述铂电阻温度计时,所述铂电阻温度计和标准温度计放置在所述恒温水槽中;constant temperature water tank; when calibrating the thermistor, the platinum resistance thermometer and the thermistor to be calibrated are placed in the constant temperature water tank; when calibrating the platinum resistance thermometer, the platinum resistance thermometer and the standard thermometer are placed in the constant temperature in the sink;
测量模块,所述测量模块由标准温度计、用于读取铂电阻温度计和所述待校准的热敏电阻的电阻值的万用表、用于调节恒温水槽内水浴温度的水浴控制器和通信模块组成;所述通信模块用于与软件处理模块进行通信;Measuring module, described measuring module is made up of standard thermometer, the multimeter for reading the resistance value of platinum resistance thermometer and the thermistor to be calibrated, the water bath controller and the communication module for regulating the water bath temperature in the constant temperature water tank; The communication module is used to communicate with the software processing module;
软件处理模块,用于对铂电阻温度计进行校准;获取第一温度校准范围内的各个温度点下的待校准的热敏电阻的电阻值,以及已校准的铂电阻温度计的温度值;根据各个温度点下的所述待校准的热敏电阻的电阻值和已校准的铂电阻温度计的温度值,确定所述第一温度校准范围内所述待校准的热敏电阻的电阻值与温度值的对应关系。The software processing module is used to calibrate the platinum resistance thermometer; obtain the resistance value of the thermistor to be calibrated at each temperature point within the first temperature calibration range, and the temperature value of the calibrated platinum resistance thermometer; according to each temperature Point the resistance value of the thermistor to be calibrated and the temperature value of the calibrated platinum resistance thermometer, determine the correspondence between the resistance value of the thermistor to be calibrated and the temperature value in the first temperature calibration range relation.
参考图1,图1是本发明实施例提供的一种热敏电阻校准系统的结构示意图,该热敏电阻校准系统可以实现铂电阻温度计和热敏电阻的周期性校准,该热敏电阻校准系统包括:Referring to Fig. 1, Fig. 1 is a schematic structural diagram of a thermistor calibration system provided by an embodiment of the present invention, the thermistor calibration system can realize periodic calibration of platinum resistance thermometers and thermistors, the thermistor calibration system include:
恒温水槽1,恒温水槽内有一个保温箱4,保温箱4内装有防冻液。校准铂电阻温度计时,2为标准温度计,3为铂电阻温度计;校准热敏电阻时,2为铂电阻温度计,3为待校准的热敏电阻。校准铂电阻温度计时,铂电阻温度计和标准温度计安置于该保温箱内;校准热敏电阻时,铂电阻温度计和待校准的热敏电阻安置于该保温箱内。Constant
测量模块,测量模块由一台标准温度计、一台用于读取铂电阻温度计和待校准的热敏电阻的电阻值的万用表5、一台用于动态调节水浴温度的水浴控制器7和一个用于与计算机通信的通信模块6组成。Measurement module, the measurement module consists of a standard thermometer, a
软件处理模块8,用于控制水浴控制器7以调节保温箱4内的水浴温度,记录待校准的热敏电阻的电阻值和铂电阻温度计的温度值,确定待校准的热敏电阻的温度与电阻值的对应关系。The
其中,标准温度计的具体型号可以为F500;铂电阻温度计的具体型号可以为PT100,铂电阻温度计的数量可以为多个;万用表的具体型号可以为KeithleyK2001;通信模块的具体型号可以为NIGPIB-ENET/1000;软件处理模块可以采用C#控制编程。Among them, the specific model of the standard thermometer can be F500; the specific model of the platinum resistance thermometer can be PT100, and the number of platinum resistance thermometers can be multiple; the specific model of the multimeter can be KeithleyK2001; the specific model of the communication module can be NIGPIB-ENET/ 1000; the software processing module can adopt C# control programming.
通信模块用于将标准温度计、铂电阻温度计和热敏电阻测量的数据发送给软件处理模块。The communication module is used to send the data measured by the standard thermometer, platinum resistance thermometer and thermistor to the software processing module.
根据水量热计的工作原理知,其通过直接测量辐射温升,而不是测量两个状态的绝热温度再求差值。因此对绝对温度的要求并不高,可以选择次级温度标准校准热敏探针,可以选择分辨率为0.001K的铂电阻温度计用于保温箱内温度测量。According to the working principle of the water calorimeter, it directly measures the radiation temperature rise instead of measuring the adiabatic temperature of the two states and then calculating the difference. Therefore, the requirement for absolute temperature is not high, and a secondary temperature standard can be selected to calibrate the thermal probe, and a platinum resistance thermometer with a resolution of 0.001K can be selected for temperature measurement in the incubator.
本实施例设计了三级温度校准系统,热敏电阻的电阻值随温度变化的测量分为三步,首先将次级温度标准器F500(双通道)送到初级标准实验室进行校准,再利用F500校准铂电阻温度计,最后用铂电阻温度计测量热敏电阻的电阻值与温度变化的关系。In this embodiment, a three-level temperature calibration system is designed, and the measurement of the resistance value of the thermistor with temperature changes is divided into three steps. First, the secondary temperature standard device F500 (dual-channel) is sent to the primary standard laboratory for calibration, and then used F500 calibrates the platinum resistance thermometer, and finally uses the platinum resistance thermometer to measure the relationship between the resistance value of the thermistor and the temperature change.
在校准热敏电阻时,两支PT100和待校准的热敏电阻安置于该保温箱内,通过控制水浴温度以调节保温箱内温度,并利用软件处理模块读取并记录不同温度下热敏电阻的电阻值,完成热敏电阻校准。When calibrating the thermistor, two PT100s and the thermistor to be calibrated are placed in the incubator, the temperature in the incubator is adjusted by controlling the temperature of the water bath, and the software processing module is used to read and record the thermistor at different temperatures resistance value to complete the thermistor calibration.
该软件处理模块可自动调节水浴温度及测量时间,实现自动读取及记录温度和电阻数据,快速精准的完成铂电阻温度计和热敏电阻的校准,获得热敏电阻的温度与阻值的关系,确保温度校准曲线准确可靠,在利用热敏电阻测量质子束水吸收剂量时,可以提高质子束水吸收剂量测量的准确性。The software processing module can automatically adjust the water bath temperature and measurement time, realize automatic reading and recording of temperature and resistance data, quickly and accurately complete the calibration of platinum resistance thermometers and thermistors, and obtain the relationship between the temperature and resistance of thermistors. The temperature calibration curve is ensured to be accurate and reliable, and the measurement accuracy of the proton beam water absorbed dose can be improved when the thermistor is used to measure the absorbed dose of the proton beam water.
图2是本发明实施例提供的一种热敏电阻校准方法的实现流程示意图,该热敏电阻校准方法的执行主体为电子设备,电子设备包括台式电脑、笔记本电脑和服务器等。在一实施例中,该电子设备中安装有上述软件处理模块,电子设备可以通过上述软件处理模块实现该热敏电阻校准方法。Fig. 2 is a schematic flow diagram of a method for calibrating a thermistor provided by an embodiment of the present invention. The execution subject of the method for calibrating the thermistor is an electronic device, and the electronic device includes a desktop computer, a notebook computer, and a server. In an embodiment, the above-mentioned software processing module is installed in the electronic device, and the electronic device can implement the thermistor calibration method through the above-mentioned software processing module.
S201,对铂电阻温度计进行校准;所述铂电阻温度计放置在恒温水槽中。S201. Calibrate the platinum resistance thermometer; the platinum resistance thermometer is placed in a constant temperature water tank.
在本发明实施例中,可以使用标准温度计校准铂电阻温度计,在校准铂电阻温度计时,将标准温度计和铂电阻温度计同时放置在恒温水槽中。例如,恒温水槽包括多个插入孔,将标准温度计F500的两个探头插入恒温水槽两端孔,将待校准的铂电阻温度计PT100插入恒温水槽中间孔。In the embodiment of the present invention, a standard thermometer can be used to calibrate the platinum resistance thermometer. When calibrating the platinum resistance thermometer, the standard thermometer and the platinum resistance thermometer are placed in a constant temperature water tank at the same time. For example, the constant temperature water tank includes multiple insertion holes, insert the two probes of the standard thermometer F500 into the holes at both ends of the constant temperature water tank, and insert the platinum resistance thermometer PT100 to be calibrated into the middle hole of the constant temperature water tank.
在校准铂电阻温度计之前,需要设置温度校准范围、铂电阻温度计编号和万用表相应的通道编号、温度步长和精度条件等。如果使用到多只铂电阻温度计,则将所用铂电阻温度计在同一个次级温度标准中校准,将所用铂电阻温度计全部放入恒温水槽中进行校准。Before calibrating the platinum resistance thermometer, it is necessary to set the temperature calibration range, the number of the platinum resistance thermometer and the corresponding channel number of the multimeter, the temperature step size and accuracy conditions, etc. If multiple platinum resistance thermometers are used, calibrate all platinum resistance thermometers in the same secondary temperature standard, and place all platinum resistance thermometers in a constant temperature water bath for calibration.
在温度校准范围内的每个温度点,测量铂电阻温度计的电阻值和标准温度计的温度值,按照设置的温度步长自动设置下个温度点,依次完成所有温度点的测量。可以采用二项式拟合方式,计算铂电阻温度计的电阻值和温度的关系参数,并作为热敏电阻的电阻值和温度关系测量时的参数输入文件。At each temperature point within the temperature calibration range, measure the resistance value of the platinum resistance thermometer and the temperature value of the standard thermometer, automatically set the next temperature point according to the set temperature step, and complete the measurement of all temperature points in turn. The binomial fitting method can be used to calculate the relationship parameter between the resistance value and temperature of the platinum resistance thermometer, and it can be used as the parameter input file when measuring the relationship between the resistance value and temperature of the thermistor.
在校准铂电阻温度计之前,需要对标准温度计进行校准,例如,可以将标准温度计送到初级标准实验室进行校准。Before calibrating the platinum resistance thermometer, the standard thermometer needs to be calibrated, for example, the standard thermometer can be sent to the primary standard laboratory for calibration.
由于热敏电阻同样是在恒温水槽中进行校准,这样可以保持恒温水槽中铂电阻温度计和热敏电阻相对温度的一致性。Since the thermistor is also calibrated in the constant temperature water tank, the relative temperature consistency of the platinum resistance thermometer and the thermistor in the constant temperature water tank can be maintained.
在一实施例中,所述在恒温水槽中对铂电阻温度计进行校准,包括:In one embodiment, the platinum resistance thermometer is calibrated in the constant temperature water tank, including:
获取第二温度校准范围内的各个温度点下的所述铂电阻温度计的电阻值和标准温度计的温度值;所述铂电阻温度计和所述标准温度计放置在恒温水槽内;Obtain the resistance value of the platinum resistance thermometer and the temperature value of the standard thermometer at each temperature point within the second temperature calibration range; the platinum resistance thermometer and the standard thermometer are placed in a constant temperature water bath;
根据所述第二温度校准范围内的各个温度点下的所述铂电阻温度计的电阻值和标准温度计的温度值,确定所述铂电阻温度计的电阻值和温度值的对应关系。According to the resistance value of the platinum resistance thermometer and the temperature value of the standard thermometer at each temperature point within the second temperature calibration range, a corresponding relationship between the resistance value and the temperature value of the platinum resistance thermometer is determined.
温度点就是校准点,通过控制水浴控制器,可以动态调节恒温水槽中的水浴温度,以使恒温水槽中的水浴温度达到第二温度校准范围内的各个温度点。在恒温水槽中的水浴温度达到第二温度校准范围内的温度点时,测量标准温度计的温度值和铂电阻温度计的电阻值,记录各个温度点下的标准温度计的温度值和铂电阻温度计的电阻值。然后通过二项式拟合,计算铂电阻温度计的电阻值和温度的关系参数,从而完成铂电阻温度计的校准。The temperature point is the calibration point. By controlling the water bath controller, the temperature of the water bath in the constant temperature water tank can be dynamically adjusted so that the temperature of the water bath in the constant temperature water tank reaches each temperature point within the second temperature calibration range. When the water bath temperature in the constant temperature water tank reaches the temperature point within the second temperature calibration range, measure the temperature value of the standard thermometer and the resistance value of the platinum resistance thermometer, and record the temperature value of the standard thermometer and the resistance value of the platinum resistance thermometer at each temperature point value. Then, through binomial fitting, the relationship parameters between the resistance value and temperature of the platinum resistance thermometer are calculated, so as to complete the calibration of the platinum resistance thermometer.
具体的,在上述实施例中,所述获取第二温度校准范围内的各个温度点下的所述铂电阻温度计的电阻值和标准温度计的温度值,包括:Specifically, in the above embodiment, the acquisition of the resistance value of the platinum resistance thermometer and the temperature value of the standard thermometer at each temperature point within the second temperature calibration range includes:
将所述恒温水槽内的水浴温度调整到第一温度点;所述第一温度点为所述第二温度校准范围内的任意温度点;Adjusting the temperature of the water bath in the constant temperature water tank to a first temperature point; the first temperature point is any temperature point within the second temperature calibration range;
在所述恒温水槽内的水浴温度稳定的情况下,获取所述铂电阻温度计的电阻值;Under the condition that the temperature of the water bath in the constant temperature water tank is stable, obtain the resistance value of the platinum resistance thermometer;
在所述铂电阻温度计的温度系数小于或等于第一设定值的情况下,获取所述标准温度计的温度值;In the case that the temperature coefficient of the platinum resistance thermometer is less than or equal to a first set value, acquiring the temperature value of the standard thermometer;
记录所述第一温度点对应的所述铂电阻温度计的电阻值和标准温度计的温度值;Recording the resistance value of the platinum resistance thermometer and the temperature value of the standard thermometer corresponding to the first temperature point;
对应地,若所述标准温度计包括至少两个探头,所述获取所述标准温度计的温度值,包括:Correspondingly, if the standard thermometer includes at least two probes, the obtaining the temperature value of the standard thermometer includes:
确定所述至少两个探头的温度值的均值,将所述均值作为所述标准温度计的温度值。determining the average value of the temperature values of the at least two probes, and using the average value as the temperature value of the standard thermometer.
其中,可以通过连续测量恒温水槽内的水浴温度,如果连续测量的水浴温度值的差值小于或等于阈值,说明恒温水槽内的水浴温度稳定。可以通过连续测量铂电阻温度计的电阻值,通过连续测量的铂电阻温度计的电阻值来计算铂电阻温度计的温度系数。Wherein, the temperature of the water bath in the constant temperature water tank can be continuously measured, and if the difference between the continuously measured water bath temperature values is less than or equal to the threshold value, it means that the temperature of the water bath in the constant temperature water tank is stable. The temperature coefficient of the platinum resistance thermometer can be calculated by continuously measuring the resistance value of the platinum resistance thermometer.
如图3所示,图3是本发明实施例提供的一种铂电阻温度计的校准流程示意图,该铂电阻温度计的校准流程包括:As shown in FIG. 3, FIG. 3 is a schematic diagram of a calibration process of a platinum resistance thermometer provided in an embodiment of the present invention. The calibration process of the platinum resistance thermometer includes:
设置水浴温度为T,T是第二温度校准范围内的一个温度点。Set the temperature of the water bath as T, where T is a temperature point within the calibration range of the second temperature.
等待3秒,读取当前水浴温度Tb,判断Tb与T的差值是否小于或等于0.05。如果差值小于或等于0.05,说明恒温水槽内的水浴温度稳定。Wait for 3 seconds, read the current temperature Tb of the water bath, and judge whether the difference between Tb and T is less than or equal to 0.05. If the difference is less than or equal to 0.05, it means that the temperature of the water bath in the constant temperature water tank is stable.
在Tb与T的差值是否小于或等于0.05的情况下,读取铂电阻温度计PT100的电阻值R1,等待10秒后,再次读取PT100的电阻值R2,通过R1和R2计算铂电阻温度计的温度系数,温度系数的计算公式如下:In the case of whether the difference between Tb and T is less than or equal to 0.05, read the resistance value R1 of the platinum resistance thermometer PT100, wait for 10 seconds, read the resistance value R2 of the PT100 again, and pass R1 and R2 Calculate the temperature coefficient of the platinum resistance thermometer, the calculation formula of the temperature coefficient is as follows:
铂电阻温度计的温度系数,是指当温度每升高一度时,铂电阻温度计的电阻增大的百分数。在温度系数小于或等于0.05%时,读取标准温度计F500两支探头的温度值T1和T2,取两支探头的温度值的均值,作为稳定温度。采集PT100的阻值10次,计算均值和标准差。计算10次的目的是为了得到一个较为准确的电阻值,通过标准差可以判断电阻值是否稳定。The temperature coefficient of the platinum resistance thermometer refers to the percentage increase in the resistance of the platinum resistance thermometer when the temperature rises by one degree. When the temperature coefficient is less than or equal to 0.05%, read the temperature values T1 and T2 of the two probes of the standard thermometer F500, and take the average of the temperature values of the two probes as the stable temperature. Collect the resistance value of PT100 10 times, and calculate the mean value and standard deviation. The purpose of calculating 10 times is to obtain a more accurate resistance value, and the standard deviation can be used to judge whether the resistance value is stable.
这样,就得到了在温度点T下,铂电阻温度计的电阻值和温度值。然后通过调整水浴温度到其他温度点,完成其他温度点的测量。In this way, the resistance value and temperature value of the platinum resistance thermometer at the temperature point T are obtained. Then by adjusting the temperature of the water bath to other temperature points, complete the measurement of other temperature points.
S202,获取第一温度校准范围内的各个温度点下的待校准的热敏电阻的电阻值,以及已校准的铂电阻温度计的温度值;所述待校准的热敏电阻和已校准的铂电阻温度计放置在所述恒温水槽内。S202, acquiring the resistance value of the thermistor to be calibrated at each temperature point within the first temperature calibration range, and the temperature value of the calibrated platinum resistance thermometer; the thermistor to be calibrated and the calibrated platinum resistance thermometer The thermometer is placed in the constant temperature water tank.
为测量热敏电阻的电阻值和温度的对应关系,将待校准的热敏电阻和已校准的铂电阻温度计放置在恒温水槽内。在一实施例中,所述铂电阻温度计的数量为两个,在对热敏电阻进行校准时,两个已校准的铂电阻温度计分别放置在恒温水槽内的两端,所述待校准的热敏电阻放置在恒温水槽的中间。In order to measure the corresponding relationship between the resistance value of the thermistor and the temperature, the thermistor to be calibrated and the calibrated platinum resistance thermometer are placed in a constant temperature water bath. In one embodiment, the number of the platinum resistance thermometers is two. When calibrating the thermistor, the two calibrated platinum resistance thermometers are respectively placed at both ends of the constant temperature water bath, and the thermal resistance thermometer to be calibrated The sensitive resistor is placed in the middle of the constant temperature water tank.
在实际应用中,可以将热敏电阻组成热敏探针直接放入恒温水槽,这种方式的优势是可以测量更宽的温度范围,温度平衡快。或将热敏电阻组装到量热芯容器后再放入恒温水槽中,优点是重复性好。In practical applications, the thermistor can be used to form a thermal probe and placed directly in a constant temperature water bath. The advantage of this method is that it can measure a wider temperature range and the temperature balance is fast. Or assemble the thermistor into the calorimetric core container and then put it into the constant temperature water tank, which has the advantage of good repeatability.
在校准之前,设置温度校准范围、温度步长和测量循环次数等,例如,温度校准范围为0.5℃到7.5℃,温度步长为0.5℃,测量3个循环。Before calibration, set the temperature calibration range, temperature step size and number of measurement cycles, etc. For example, the temperature calibration range is 0.5°C to 7.5°C, the temperature step size is 0.5°C, and the measurement is 3 cycles.
在一实施例中,所述获取第一温度校准范围内的各个温度点下的待校准的热敏电阻的电阻值,以及已校准的铂电阻温度计的温度值,包括:In one embodiment, the acquisition of the resistance value of the thermistor to be calibrated at each temperature point within the first temperature calibration range and the temperature value of the calibrated platinum resistance thermometer includes:
将所述恒温水槽内的水浴温度调整到第二温度点;所述第二温度点为所述第一温度校准范围内的任意温度点;Adjust the temperature of the water bath in the constant temperature water tank to a second temperature point; the second temperature point is any temperature point within the first temperature calibration range;
在所述恒温水槽内的水浴温度稳定的情况下,获取所述已校准的铂电阻温度计的温度值;Under the condition that the temperature of the water bath in the constant temperature water tank is stable, obtain the temperature value of the calibrated platinum resistance thermometer;
在所述已校准的铂电阻温度计的温度值的变化度小于或等于第二设定值的情况下,获取所述待校准的热敏电阻的电阻值;Acquire the resistance value of the thermistor to be calibrated when the change degree of the temperature value of the calibrated platinum resistance thermometer is less than or equal to a second set value;
在所述待校准的热敏电阻的电阻值的变化度小于或等于第三设定值的情况下,记录所述第二温度点对应的所述已校准的铂电阻温度计的温度值和所述待校准的热敏电阻的电阻值。When the change degree of the resistance value of the thermistor to be calibrated is less than or equal to the third set value, record the temperature value of the calibrated platinum resistance thermometer corresponding to the second temperature point and the The resistance value of the thermistor to be calibrated.
其中,可以通过连续测量铂电阻温度计的温度值,来确定铂电阻温度计的温度值的变化度。可以通过连续测量待校准的热敏电阻的电阻值,来确定待校准的热敏电阻的电阻值的变化度。Wherein, the change degree of the temperature value of the platinum resistance thermometer can be determined by continuously measuring the temperature value of the platinum resistance thermometer. The variation degree of the resistance value of the thermistor to be calibrated can be determined by continuously measuring the resistance value of the thermistor to be calibrated.
如图4所示,图4是本发明实施例提供的一种热敏电阻的校准流程示意图,该校准流程包括s:As shown in Figure 4, Figure 4 is a schematic diagram of a thermistor calibration process provided by an embodiment of the present invention, the calibration process includes s:
设置水浴温度为T,T是第一温度校准范围内的一个温度点。Set the temperature of the water bath as T, where T is a temperature point within the first temperature calibration range.
等待3秒,读取当前水浴温度Tb,判断Tb与T的差值是否小于或等于0.05。如果差值小于或等于0.05,说明恒温水槽内的水浴温度稳定。Wait for 3 seconds, read the current temperature Tb of the water bath, and judge whether the difference between Tb and T is less than or equal to 0.05. If the difference is less than or equal to 0.05, it means that the temperature of the water bath in the constant temperature water tank is stable.
在Tb与T的差值是否小于或等于0.05的情况下,读取铂电阻温度计PT100的温度值T1。等待10秒后,再次读取PT100的温度值T2。通过T1与T2计算铂电阻温度计的温度值的变化度,计算公式如下:In the case of whether the difference between Tb and T is less than or equal to 0.05, read the temperature value T1 of the platinum resistance thermometer PT100. After waiting for 10 seconds, read the temperature value T2 of PT100 again. Calculate the change degree of the temperature value of the platinum resistance thermometer through T1 and T2 , the calculation formula is as follows:
其中,t为10s。Among them, t is 10s.
在铂电阻温度计的温度值的变化度小于或等于0.04mK/min的情况下,读取待校准的热敏电阻的电阻值R1,等待30秒后,再次读取待校准的热敏电阻的电阻值R2,通过R2与R1计算待校准的热敏电阻的电阻值的变化度,计算公式如下:When the change degree of the temperature value of the platinum resistance thermometer is less than or equal to 0.04mK/min, read the resistance value R1 of the thermistor to be calibrated, wait for 30 seconds, and read the resistance value of the thermistor to be calibrated again Resistance value R2 , calculate the change degree of the resistance value of the thermistor to be calibrated through R2 and R1 , the calculation formula is as follows:
其中,t为30s。Among them, t is 30s.
在待校准的热敏电阻的电阻值的变化度小于或等于0.05Ω/min的情况下,读取PT100的温度值,取两支PT100的温度值的均值,作为待校准的热敏电阻的阻值采集前温度。When the change degree of the resistance value of the thermistor to be calibrated is less than or equal to 0.05Ω/min, read the temperature value of the PT100, and take the average value of the temperature values of the two PT100s as the resistance value of the thermistor to be calibrated. The temperature before the value was collected.
采集待校准的热敏电阻的电阻值10次,计算均值和标准差,将均值作为热敏电阻在温度点T的电阻值。Collect the resistance value of the thermistor to be calibrated 10 times, calculate the mean value and standard deviation, and use the mean value as the resistance value of the thermistor at temperature point T.
再次读取PT100的温度值,作为待校准的热敏电阻的阻值采集后温度,取采集前后温度的均值作为热敏电阻在温度点T的校准点温度。Read the temperature value of PT100 again, as the resistance value of the thermistor to be calibrated after collection, and take the average value of the temperature before and after collection as the calibration point temperature of the thermistor at temperature point T.
记录温度点T对应的待校准的热敏电阻的温度和电阻值,然后通过调整水浴温度到第一温度校准范围的其他温度点,完成其他温度点的测量。Record the temperature and resistance value of the thermistor to be calibrated corresponding to the temperature point T, and then complete the measurement of other temperature points by adjusting the temperature of the water bath to other temperature points in the first temperature calibration range.
S203,根据各个温度点下的所述待校准的热敏电阻的电阻值和已校准的铂电阻温度计的温度值,确定所述第一温度校准范围内所述待校准的热敏电阻的电阻值与温度值的对应关系。S203. Determine the resistance value of the thermistor to be calibrated within the first temperature calibration range according to the resistance value of the thermistor to be calibrated at each temperature point and the temperature value of the calibrated platinum resistance thermometer The corresponding relationship with the temperature value.
通过对各个温度点下的待校准的热敏电阻的电阻值和已校准的铂电阻温度计的温度值进行拟合,可以得到待校准的热敏电阻的电阻值与温度值的对应关系。By fitting the resistance value of the thermistor to be calibrated and the temperature value of the calibrated platinum resistance thermometer at each temperature point, the corresponding relationship between the resistance value of the thermistor to be calibrated and the temperature value can be obtained.
例如,可以采用二项式拟合,计算待校准的热敏电阻的电阻值与温度值的关系参数,从而完成热敏电阻的校准。还可以根据热敏电阻的电阻值与温度值的关系,绘制热敏电阻在第一温度校准范围内的温度校准曲线。For example, binomial fitting can be used to calculate the relationship parameter between the resistance value and the temperature value of the thermistor to be calibrated, thereby completing the calibration of the thermistor. The temperature calibration curve of the thermistor within the first temperature calibration range can also be drawn according to the relationship between the resistance value of the thermistor and the temperature value.
在一实施例中,所述确定第一温度校准范围内所述待校准的热敏电阻的电阻值与温度值的对应关系,包括:In an embodiment, the determining the correspondence between the resistance value and the temperature value of the thermistor to be calibrated within the first temperature calibration range includes:
基于各个温度点下的所述待校准的热敏电阻的电阻值和已校准的铂电阻温度计的温度值,确定所述待校准的热敏电阻的材料常数;Determine the material constant of the thermistor to be calibrated based on the resistance value of the thermistor to be calibrated at each temperature point and the temperature value of the calibrated platinum resistance thermometer;
基于所述待校准的热敏电阻的材料常数,确定所述第一温度校准范围内所述待校准的热敏电阻的电阻值与温度值的对应关系。Based on the material constant of the thermistor to be calibrated, the correspondence between the resistance value and the temperature value of the thermistor to be calibrated within the first temperature calibration range is determined.
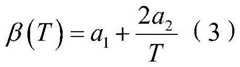
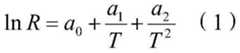
在本实施例中,热敏电阻的电阻值与温度关系近似成线性,利用二阶多项式对测量数据进行拟合,lnR与1/T有公式(1)的关系。lnR是温度T下的电阻的自然对数,单位为开尔文。In this embodiment, the relationship between the resistance value of the thermistor and the temperature is approximately linear, and the measured data is fitted by a second-order polynomial, and lnR and 1/T have the relationship of formula (1). lnR is the natural logarithm of the resistance at temperature T in Kelvin.
其中,a0、a1和a2是二阶多项式参数。Among them, a0 , a1 and a2 are second-order polynomial parameters.
热敏电阻的材料常数β与lnR和1/T的关系如公式(2)所示:The relationship between the material constant β of the thermistor and lnR and 1/T is shown in formula (2):
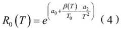
将公式(1)应用到公式(2),可得到热敏电阻材料参数β与二阶多项式参数a1、a2和温度T有关,如公式(3)所示。Applying formula (1) to formula (2), the thermistor material parameter β is related to the second-order polynomial parameters a1 , a2 and temperature T, as shown in formula (3).
还可得到热敏电阻的R0与其材料参数β、二阶多项式参数a0、a2、参考温度T0和温度T有关,如公式(4)所示。It can also be obtained that R0 of the thermistor is related to its material parameter β, second-order polynomial parameters a0 , a2 , reference temperature T0 and temperature T, as shown in formula (4).
根据二阶多项式拟合参数a0、a1和a2,并由公式(3)和公式(4)可计算热敏电阻的材料常数β和R0,给出热敏电阻的电阻值和温度的对应关系。According to the second-order polynomial fitting parameters a0 , a1 and a2 , and the material constant β and R0 of the thermistor can be calculated by formula (3) and formula (4), the resistance value and temperature of the thermistor are given corresponding relationship.
公式(3)和公式(4)还表明,β和R0具有温度依赖性,因此热敏电阻的周期性校准是有必要的。热敏电阻在进行新的场景使用时,需要重新对热敏电阻进行校准。Equations (3) and (4) also show that β and R0 are temperature dependent, so periodic calibration of the thermistor is necessary. When the thermistor is used in a new scene, the thermistor needs to be recalibrated.
本发明实施例通过在恒温水槽中对铂电阻温度计进行校准,获取第一温度校准范围内的各个温度点下的待校准的热敏电阻的电阻值,以及已校准的铂电阻温度计的温度值,待校准的热敏电阻和已校准的铂电阻温度计都放置在恒温水槽内。根据各个温度点下的待校准的热敏电阻的电阻值和已校准的铂电阻温度计的温度值,确定第一温度校准范围内待校准的热敏电阻的电阻值与温度值的对应关系。本实施例将热敏电阻和铂电阻温度计放在同一个环境下进行校准,可以使得铂电阻温度计的测量准确度更高,使得获取到的热敏电阻的电阻值与温度值的对应关系更加准确,确保热敏电阻的温度校准曲线准确可靠,使得校准后的热敏电阻可以准确测量液体的温度变化。In the embodiment of the present invention, the resistance value of the thermistor to be calibrated and the temperature value of the calibrated platinum resistance thermometer are obtained at each temperature point within the first temperature calibration range by calibrating the platinum resistance thermometer in a constant temperature water tank, The thermistor to be calibrated and the calibrated platinum resistance thermometer are placed in a constant temperature water bath. According to the resistance value of the thermistor to be calibrated at each temperature point and the temperature value of the calibrated platinum resistance thermometer, the corresponding relationship between the resistance value of the thermistor to be calibrated and the temperature value in the first temperature calibration range is determined. In this embodiment, the thermistor and the platinum resistance thermometer are calibrated in the same environment, which can make the measurement accuracy of the platinum resistance thermometer higher, and make the obtained corresponding relationship between the resistance value of the thermistor and the temperature value more accurate , to ensure that the temperature calibration curve of the thermistor is accurate and reliable, so that the calibrated thermistor can accurately measure the temperature change of the liquid.
本实施例可通过热敏电阻准确测量液体的环境温度,在测量由质子束导致的水中辐射温升时,通过上述方法校准热敏电阻可以提高质子束水吸收剂量测量的准确性,对于开展质子束吸收剂量定值技术研究,建立质子束水吸收剂量量值传递体系提供基础及帮助。可利用完成校准的热敏电阻开展质子束水量热计研制工作并开展测试,建立质子束水吸收剂量量值传递体系,开展质子束吸收剂量定值技术研究,完善计量技术体系,为质子剂量监测提供技术保障,确保质子剂量监测结果准确可靠。This embodiment can accurately measure the ambient temperature of the liquid through the thermistor. When measuring the radiation temperature rise in water caused by the proton beam, calibrating the thermistor through the above method can improve the accuracy of the proton beam water absorbed dose measurement. The research on beam absorbed dose determination technology provides the basis and assistance for the establishment of proton beam water absorbed dose value transfer system. The calibrated thermistor can be used to develop and test the proton beam water calorimeter, establish a proton beam water absorbed dose value transfer system, carry out proton beam absorbed dose determination technology research, improve the measurement technology system, and provide proton dose monitoring Provide technical support to ensure the accuracy and reliability of proton dose monitoring results.
应理解,上述实施例中各步骤的序号的大小并不意味着执行顺序的先后,各过程的执行顺序应以其功能和内在逻辑确定,而不应对本发明实施例的实施过程构成任何限定。It should be understood that the sequence numbers of the steps in the above embodiments do not mean the order of execution, and the execution order of each process should be determined by its functions and internal logic, and should not constitute any limitation to the implementation process of the embodiment of the present invention.
应当理解,当在本说明书和所附权利要求书中使用时,术语“包括”和“包含”指示所描述特征、整体、步骤、操作、元素和/或组件的存在,但并不排除一个或多个其它特征、整体、步骤、操作、元素、组件和/或其集合的存在或添加。It should be understood that when used in this specification and the appended claims, the terms "comprising" and "comprises" indicate the presence of described features, integers, steps, operations, elements and/or components, but do not exclude one or Presence or addition of multiple other features, integers, steps, operations, elements, components and/or collections thereof.
需要说明的是,本发明实施例所记载的技术方案之间,在不冲突的情况下,可以任意组合。It should be noted that the technical solutions described in the embodiments of the present invention may be combined arbitrarily if there is no conflict.
另外,在本发明实施例中,“第一”、“第二”等是用于区别类似的对象,而不必用于描述特定的顺序或先后次序。In addition, in the embodiments of the present invention, "first", "second", etc. are used to distinguish similar objects, and are not necessarily used to describe a specific order or sequence.
参考图5,图5是本发明实施例提供的一种热敏电阻校准装置的示意图,如图5所示,该装置包括:Referring to FIG. 5, FIG. 5 is a schematic diagram of a thermistor calibration device provided by an embodiment of the present invention. As shown in FIG. 5, the device includes:
第一校准模块,用于对铂电阻温度计进行校准;所述铂电阻温度计放置在恒温水槽中;The first calibration module is used to calibrate the platinum resistance thermometer; the platinum resistance thermometer is placed in a constant temperature water bath;
获取模块,用于获取第一温度校准范围内的各个温度点下的待校准的热敏电阻的电阻值,以及已校准的铂电阻温度计的温度值;所述待校准的热敏电阻和已校准的铂电阻温度计放置在所述恒温水槽内;An acquisition module, configured to acquire the resistance value of the thermistor to be calibrated at each temperature point within the first temperature calibration range, and the temperature value of the calibrated platinum resistance thermometer; the thermistor to be calibrated and the calibrated The platinum resistance thermometer is placed in the constant temperature water tank;
第二校准模块,用于根据各个温度点下的所述待校准的热敏电阻的电阻值和已校准的铂电阻温度计的温度值,确定所述第一温度校准范围内所述待校准的热敏电阻的电阻值与温度值的对应关系。The second calibration module is used to determine the thermistor to be calibrated within the first temperature calibration range according to the resistance value of the thermistor to be calibrated at each temperature point and the temperature value of the calibrated platinum resistance thermometer. The corresponding relationship between the resistance value of the sensitive resistor and the temperature value.
在一实施例中,所述第一校准模块对铂电阻温度计进行校准,包括:In one embodiment, the first calibration module calibrates the platinum resistance thermometer, including:
获取第二温度校准范围内的各个温度点下的所述铂电阻温度计的电阻值和标准温度计的温度值;所述铂电阻温度计和所述标准温度计放置在恒温水槽内;Obtain the resistance value of the platinum resistance thermometer and the temperature value of the standard thermometer at each temperature point within the second temperature calibration range; the platinum resistance thermometer and the standard thermometer are placed in a constant temperature water bath;
根据所述第二温度校准范围内的各个温度点下的所述铂电阻温度计的电阻值和标准温度计的温度值,确定所述铂电阻温度计的电阻值和温度值的对应关系。According to the resistance value of the platinum resistance thermometer and the temperature value of the standard thermometer at each temperature point within the second temperature calibration range, a corresponding relationship between the resistance value and the temperature value of the platinum resistance thermometer is determined.
在一实施例中,所述第一校准模块获取第二温度校准范围内的各个温度点下的所述铂电阻温度计的电阻值和标准温度计的温度值,包括:In one embodiment, the first calibration module obtains the resistance value of the platinum resistance thermometer and the temperature value of the standard thermometer at each temperature point within the second temperature calibration range, including:
将所述恒温水槽内的水浴温度调整到第一温度点;所述第一温度点为所述第二温度校准范围内的任意温度点;Adjusting the temperature of the water bath in the constant temperature water tank to a first temperature point; the first temperature point is any temperature point within the second temperature calibration range;
在所述恒温水槽内的水浴温度稳定的情况下,获取所述铂电阻温度计的电阻值;Under the condition that the temperature of the water bath in the constant temperature water tank is stable, obtain the resistance value of the platinum resistance thermometer;
在所述铂电阻温度计的温度系数小于或等于第一设定值的情况下,获取所述标准温度计的温度值;In the case that the temperature coefficient of the platinum resistance thermometer is less than or equal to a first set value, acquiring the temperature value of the standard thermometer;
记录所述第一温度点对应的所述铂电阻温度计的电阻值和标准温度计的温度值;Recording the resistance value of the platinum resistance thermometer and the temperature value of the standard thermometer corresponding to the first temperature point;
在一实施例中,若所述标准温度计包括至少两个探头,所述第一校准模块获取所述标准温度计的温度值,包括:In one embodiment, if the standard thermometer includes at least two probes, the first calibration module acquires the temperature value of the standard thermometer, including:
确定所述至少两个探头的温度值的均值,将所述均值作为所述标准温度计的温度值。determining the average value of the temperature values of the at least two probes, and using the average value as the temperature value of the standard thermometer.
在一实施例中,所述获取模块获取第一温度校准范围内的各个温度点下的待校准的热敏电阻的电阻值,以及已校准的铂电阻温度计的温度值,包括:In one embodiment, the acquisition module acquires the resistance value of the thermistor to be calibrated at each temperature point within the first temperature calibration range, and the temperature value of the calibrated platinum resistance thermometer, including:
将所述恒温水槽内的水浴温度调整到第二温度点;所述第二温度点为所述第一温度校准范围内的任意温度点;Adjust the temperature of the water bath in the constant temperature water tank to a second temperature point; the second temperature point is any temperature point within the first temperature calibration range;
在所述恒温水槽内的水浴温度稳定的情况下,获取所述已校准的铂电阻温度计的温度值;Under the condition that the temperature of the water bath in the constant temperature water tank is stable, obtain the temperature value of the calibrated platinum resistance thermometer;
在所述已校准的铂电阻温度计的温度值的变化度小于或等于第二设定值的情况下,获取所述待校准的热敏电阻的电阻值;Acquire the resistance value of the thermistor to be calibrated when the change degree of the temperature value of the calibrated platinum resistance thermometer is less than or equal to a second set value;
在所述待校准的热敏电阻的电阻值的变化度小于或等于第三设定值的情况下,记录所述第二温度点对应的所述已校准的铂电阻温度计的温度值和所述待校准的热敏电阻的电阻值。When the change degree of the resistance value of the thermistor to be calibrated is less than or equal to the third set value, record the temperature value of the calibrated platinum resistance thermometer corresponding to the second temperature point and the The resistance value of the thermistor to be calibrated.
在一实施例中,所述第二校准模块确定所述第一温度校准范围内所述待校准的热敏电阻的电阻值与温度值的对应关系,包括:In an embodiment, the second calibration module determines the correspondence between the resistance value of the thermistor to be calibrated and the temperature value within the first temperature calibration range, including:
基于各个温度点下的所述待校准的热敏电阻的电阻值和已校准的铂电阻温度计的温度值,确定所述待校准的热敏电阻的材料常数;Determine the material constant of the thermistor to be calibrated based on the resistance value of the thermistor to be calibrated at each temperature point and the temperature value of the calibrated platinum resistance thermometer;
基于所述待校准的热敏电阻的材料常数,确定所述第一温度校准范围内所述待校准的热敏电阻的电阻值与温度值的对应关系。Based on the material constant of the thermistor to be calibrated, the correspondence between the resistance value and the temperature value of the thermistor to be calibrated within the first temperature calibration range is determined.
实际应用时,所述第一校准模块、获取模块和第二校准模块可通过电子设备中的处理器,比如中央处理器(CPU,CentralProcessingUnit)、数字信号处理器(DSP,DigitalSignal Processor)、微控制单元(MCU,MicrocontrollerUnit)或可编程门阵列(FPGA,Field-ProgrammableGateArray)等实现。In actual application, the first calibration module, the acquisition module and the second calibration module can be processed by a processor in the electronic device, such as a central processing unit (CPU, Central Processing Unit), a digital signal processor (DSP, DigitalSignal Processor), a microcontroller Unit (MCU, MicrocontrollerUnit) or programmable gate array (FPGA, Field-ProgrammableGateArray) and other implementations.
需要说明的是:上述实施例提供的热敏电阻校准装置在进行热敏电阻校准时,仅以上述各模块的划分进行举例说明,实际应用中,可以根据需要而将上述处理分配由不同的模块完成,即将装置的内部结构划分成不同的模块,以完成以上描述的全部或者部分处理。另外,上述实施例提供的热敏电阻校准装置与热敏电阻校准方法实施例属于同一构思,其具体实现过程详见方法实施例,这里不再赘述。It should be noted that: when the thermistor calibration device provided in the above-mentioned embodiments performs thermistor calibration, the division of the above-mentioned modules is used as an example for illustration. In practical applications, the above-mentioned processing can be assigned to different modules according to needs. Completion means that the internal structure of the device is divided into different modules to complete all or part of the processing described above. In addition, the thermistor calibration device provided in the above embodiments and the thermistor calibration method embodiments belong to the same idea, and the specific implementation process thereof is detailed in the method embodiments, and will not be repeated here.
上述热敏电阻校准装置可以是镜像文件形式,该镜像文件被执行后,可以以容器或者虚拟机的形式运行,以实现本申请所述的热敏电阻校准方法。当然也不局限为镜像文件形式,只要能够实现本申请所述的热敏电阻校准方法的一些软件形式都在本申请的保护范围之内。The above-mentioned thermistor calibration device may be in the form of an image file. After the image file is executed, it may run in the form of a container or a virtual machine to implement the thermistor calibration method described in this application. Of course, it is not limited to the image file form, as long as some software forms that can realize the thermistor calibration method described in this application are within the scope of protection of this application.
基于上述程序模块的硬件实现,且为了实现本申请实施例的方法,本申请实施例还提供了一种电子设备。图6为本申请实施例电子设备的硬件组成结构示意图,如图6所示,电子设备包括:Based on the hardware implementation of the above program modules, and in order to implement the method of the embodiment of the present application, the embodiment of the present application further provides an electronic device. FIG. 6 is a schematic diagram of the hardware composition structure of the electronic device in the embodiment of the present application. As shown in FIG. 6, the electronic device includes:
通信接口,能够与其它设备比如网络设备等进行信息交互;Communication interface, capable of information interaction with other devices such as network devices;
处理器,与所述通信接口连接,以实现与其它设备进行信息交互,用于运行计算机程序时,执行上述电子设备侧一个或多个技术方案提供的方法。而所述计算机程序存储在存储器上。计算机程序可以为图1中的软件处理模块。The processor is connected to the communication interface to realize information interaction with other devices, and is used to execute the methods provided by one or more technical solutions on the electronic device side when running the computer program. Instead, the computer program is stored on a memory. The computer program may be a software processing module in FIG. 1 .
当然,实际应用时,电子设备中的各个组件通过总线系统耦合在一起。可理解,总线系统用于实现这些组件之间的连接通信。总线系统除包括数据总线之外,还包括电源总线、控制总线和状态信号总线。但是为了清楚说明起见,在图6中将各种总线都标为总线系统。Of course, in practical applications, various components in the electronic device are coupled together through a bus system. It can be understood that the bus system is used to realize the connection communication between these components. In addition to the data bus, the bus system also includes a power bus, a control bus and a status signal bus. However, for clarity of illustration, in FIG. 6 the various buses are labeled as bus systems.
电子设备连接图1中的通信模块,通信模块将标准温度计、万用表测量的铂电阻温度计和热敏电阻的数据发送给电子设备。The electronic equipment is connected to the communication module in Figure 1, and the communication module sends the data of the standard thermometer, the platinum resistance thermometer measured by the multimeter and the thermistor to the electronic equipment.
上述电子设备可以是集群形式,比如是云计算平台形式,所谓云计算平台是采用计算虚拟化、网络虚拟化、存储虚拟化技术把多个独立的服务器物理硬件资源组织成池化资源的一种业务形态,它是一种基于虚拟化技术发展基础上软件定义资源的结构,可以提供虚拟机、容器等形态的资源能力。通过消除硬件与操作系统之间的固定关系,依赖网络的连通统一资源调度,然后提供所需要的虚拟资源和服务,是一种新型的IT,软件交付模式,具备灵活,弹性,分布式,多租户,按需等特点。The above-mentioned electronic devices can be in the form of a cluster, such as a cloud computing platform. The so-called cloud computing platform is a kind of pooled resource that uses computing virtualization, network virtualization, and storage virtualization technologies to organize multiple independent server physical hardware resources. Business form, which is a structure of software-defined resources based on the development of virtualization technology, which can provide resource capabilities in the form of virtual machines and containers. By eliminating the fixed relationship between the hardware and the operating system, relying on network connectivity and unified resource scheduling, and then providing the required virtual resources and services, it is a new IT and software delivery model that is flexible, elastic, distributed, and multi- Tenant, on-demand and other features.
目前的云计算平台支持几种服务模式:The current cloud computing platform supports several service models:
SaaS(SoftwareasaService,软件即服务):云计算平台用户无需购买软件,而改为租用部署于云计算平台的软件,用户无需对软件进行维护,软件服务提供商会全权管理和维护软件;SaaS (Software as a Service, software as a service): Cloud computing platform users do not need to purchase software, but instead rent software deployed on the cloud computing platform, users do not need to maintain the software, and the software service provider will fully manage and maintain the software;
PaaS(PlatformasaService,平台即服务):云计算平台用户(此时通常为软件开发商)可以在云计算平台提供的架构上建设新的应用,或者扩展已有的应用,同时却不必购买开发、质量控制或生产服务器;PaaS (Platform as a Service, Platform as a Service): Cloud computing platform users (usually software developers at this time) can build new applications on the architecture provided by the cloud computing platform, or expand existing applications, without having to purchase development and quality services. control or production servers;
IaaS(InfrastructureasaService,基础架构即服务):云计算平台通过互联网提供了数据中心、基础架构硬件和软件资源,IaaS模式下的云计算平台可以提供服务器、操作系统、磁盘存储、数据库和/或信息资源。IaaS (Infrastructure as a Service, Infrastructure as a Service): The cloud computing platform provides data centers, infrastructure hardware and software resources through the Internet, and the cloud computing platform under the IaaS model can provide servers, operating systems, disk storage, databases and/or information resources .
本申请实施例中的存储器用于存储各种类型的数据以支持电子设备的操作。这些数据的示例包括:用于在电子设备上操作的任何计算机程序。The memory in the embodiment of the present application is used to store various types of data to support the operation of the electronic device. Examples of such data include: any computer program used to operate on an electronic device.
可以理解,存储器可以是易失性存储器或非易失性存储器,也可包括易失性和非易失性存储器两者。其中,非易失性存储器可以是只读存储器(ROM,ReadOnlyMemory)、可编程只读存储器(PROM,ProgrammableRead-OnlyMemory)、可擦除可编程只读存储器(EPROM,ErasableProgrammableRead-OnlyMemory)、电可擦除可编程只读存储器(EEPROM,ElectricallyErasableProgrammableRead-OnlyMemory)、磁性随机存取存储器(FRAM,ferromagneticrandomaccessmemory)、快闪存储器(FlashMemory)、磁表面存储器、光盘、或只读光盘(CD-ROM,CompactDiscRead-OnlyMemory);磁表面存储器可以是磁盘存储器或磁带存储器。易失性存储器可以是随机存取存储器(RAM,RandomAccess Memory),其用作外部高速缓存。通过示例性但不是限制性说明,许多形式的RAM可用,例如静态随机存取存储器(SRAM,StaticRandomAccessMemory)、同步静态随机存取存储器(SSRAM,SynchronousStaticRandomAccessMemory)、动态随机存取存储器(DRAM,DynamicRandomAccessMemory)、同步动态随机存取存储器(SDRAM,SynchronousDynamic RandomAccessMemory)、双倍数据速率同步动态随机存取存储器(DDRSDRAM,Double DataRateSynchronousDynamicRandomAccessMemory)、增强型同步动态随机存取存储器(ESDRAM,EnhancedSynchronousDynamicRandomAccessMemory)、同步连接动态随机存取存储器(SLDRAM,SyncLinkDynamicRandomAccessMemory)、直接内存总线随机存取存储器(DRRAM,DirectRambusRandomAccessMemory)。本申请实施例描述的存储器旨在包括但不限于这些和任意其它适合类型的存储器。It can be understood that the memory may be a volatile memory or a nonvolatile memory, and may also include both volatile and nonvolatile memory. Wherein, the non-volatile memory can be read-only memory (ROM, ReadOnlyMemory), programmable read-only memory (PROM, ProgrammableRead-OnlyMemory), erasable programmable read-only memory (EPROM, ErasableProgrammableRead-OnlyMemory), electrically erasable In addition to programmable read-only memory (EEPROM, ElectricallyErasableProgrammableRead-OnlyMemory), magnetic random access memory (FRAM, ferromagneticrandomaccessmemory), flash memory (FlashMemory), magnetic surface memory, optical disk, or CD-ROM (CD-ROM, CompactDiscRead-OnlyMemory) ); the magnetic surface storage may be disk storage or tape storage. The volatile memory may be random access memory (RAM, Random Access Memory), which is used as an external cache. By way of illustration and not limitation, many forms of RAM are available, such as Static Random Access Memory (SRAM, StaticRandomAccessMemory), Synchronous Static Random Access Memory (SSRAM, SynchronousStaticRandomAccessMemory), Dynamic Random Access Memory (DRAM, DynamicRandomAccessMemory), Synchronous dynamic random access memory (SDRAM, SynchronousDynamicRandomAccessMemory), double data rate synchronous dynamic random access memory (DDRSDRAM, Double DataRateSynchronousDynamicRandomAccessMemory), enhanced synchronous dynamic random access memory (ESDRAM, EnhancedSynchronousDynamicRandomAccessMemory), synchronous connection dynamic random access Memory (SLDRAM, SyncLinkDynamicRandomAccessMemory), direct memory bus random access memory (DRRAM, DirectRambusRandomAccessMemory). The memories described in the embodiments of the present application are intended to include, but are not limited to, these and any other suitable types of memories.
上述本申请实施例揭示的方法可以应用于处理器中,或者由处理器实现。处理器可能是一种集成电路芯片,具有信号的处理能力。在实现过程中,上述方法的各步骤可以通过处理器中的硬件的集成逻辑电路或者软件形式的指令完成。上述的处理器可以是通用处理器、DSP,或者其他可编程逻辑器件、分立门或者晶体管逻辑器件、分立硬件组件等。处理器可以实现或者执行本申请实施例中的公开的各方法、步骤及逻辑框图。通用处理器可以是微处理器或者任何常规的处理器等。结合本申请实施例所公开的方法的步骤,可以直接体现为硬件译码处理器执行完成,或者用译码处理器中的硬件及软件模块组合执行完成。软件模块可以位于存储介质中,该存储介质位于存储器,处理器读取存储器中的程序,结合其硬件完成前述方法的步骤。The methods disclosed in the foregoing embodiments of the present application may be applied to, or implemented by, a processor. A processor may be an integrated circuit chip with signal processing capabilities. In the implementation process, each step of the above method can be completed by an integrated logic circuit of hardware in a processor or an instruction in the form of software. The aforementioned processor may be a general-purpose processor, DSP, or other programmable logic devices, discrete gate or transistor logic devices, discrete hardware components, and the like. The processor may implement or execute the various methods, steps, and logic block diagrams disclosed in the embodiments of the present application. A general purpose processor may be a microprocessor or any conventional processor or the like. The steps of the method disclosed in the embodiments of the present application may be directly implemented by a hardware decoding processor, or implemented by a combination of hardware and software modules in the decoding processor. The software module can be located in a storage medium, and the storage medium is located in a memory, and the processor reads the program in the memory, and combines with its hardware to complete the steps of the foregoing method.
可选地,所述处理器执行所述程序时实现本申请实施例的各个方法中由电子设备实现的相应流程,为了简洁,在此不再赘述。Optionally, when the processor executes the program, the corresponding processes implemented by the electronic device in the various methods of the embodiments of the present application are implemented, and for the sake of brevity, details are not repeated here.
在示例性实施例中,本申请实施例还提供了一种存储介质,即计算机存储介质,具体为计算机可读存储介质,例如包括存储计算机程序的第一存储器,上述计算机程序可由电子设备的处理器执行,以完成前述方法所述步骤。计算机可读存储介质可以是FRAM、ROM、PROM、EPROM、EEPROM、FlashMemory、磁表面存储器、光盘、或CD-ROM等存储器。In an exemplary embodiment, the embodiment of the present application also provides a storage medium, that is, a computer storage medium, specifically a computer-readable storage medium, for example, including a first memory storing a computer program, and the above-mentioned computer program can be processed by an electronic device executed by the controller to complete the steps described in the foregoing method. The computer-readable storage medium may be memory such as FRAM, ROM, PROM, EPROM, EEPROM, FlashMemory, magnetic surface memory, optical disk, or CD-ROM.
在本申请所提供的几个实施例中,应该理解到,所揭露的装置、电子设备和方法,可以通过其它的方式实现。以上所描述的设备实施例仅仅是示意性的,例如,所述单元的划分,仅仅为一种逻辑功能划分,实际实现时可以有另外的划分方式,如:多个单元或组件可以结合,或可以集成到另一个系统,或一些特征可以忽略,或不执行。另外,所显示或讨论的各组成部分相互之间的耦合、或直接耦合、或通信连接可以是通过一些接口,设备或单元的间接耦合或通信连接,可以是电性的、机械的或其它形式的。In the several embodiments provided in this application, it should be understood that the disclosed device, electronic equipment and method can be implemented in other ways. The device embodiments described above are only illustrative. For example, the division of the units is only a logical function division. In actual implementation, there may be other division methods, such as: multiple units or components can be combined, or May be integrated into another system, or some features may be ignored, or not implemented. In addition, the coupling, or direct coupling, or communication connection between the components shown or discussed may be through some interfaces, and the indirect coupling or communication connection of devices or units may be electrical, mechanical or other forms of.
上述作为分离部件说明的单元可以是、或也可以不是物理上分开的,作为单元显示的部件可以是、或也可以不是物理单元,即可以位于一个地方,也可以分布到多个网络单元上;可以根据实际的需要选择其中的部分或全部单元来实现本实施例方案的目的。The units described above as separate components may or may not be physically separated, and the components displayed as units may or may not be physical units, that is, they may be located in one place or distributed to multiple network units; Part or all of the units can be selected according to actual needs to achieve the purpose of the solution of this embodiment.
另外,在本申请各实施例中的各功能单元可以全部集成在一个处理单元中,也可以是各单元分别单独作为一个单元,也可以两个或两个以上单元集成在一个单元中;上述集成的单元既可以采用硬件的形式实现,也可以采用硬件加软件功能单元的形式实现。In addition, each functional unit in each embodiment of the present application can be integrated into one processing unit, or each unit can be used as a single unit, or two or more units can be integrated into one unit; the above-mentioned integration The unit can be realized in the form of hardware or in the form of hardware plus software functional unit.
本领域普通技术人员可以理解:实现上述方法实施例的全部或部分步骤可以通过程序指令相关的硬件来完成,前述的程序可以存储于一计算机可读取存储介质中,该程序在执行时,执行包括上述方法实施例的步骤;而前述的存储介质包括:移动存储设备、ROM、RAM、磁碟或者光盘等各种可以存储程序代码的介质。Those of ordinary skill in the art can understand that all or part of the steps for realizing the above-mentioned method embodiments can be completed by hardware related to program instructions, and the aforementioned program can be stored in a computer-readable storage medium. When the program is executed, the It includes the steps of the above method embodiments; and the aforementioned storage medium includes: various media that can store program codes such as removable storage devices, ROM, RAM, magnetic disks or optical disks.
或者,本申请上述集成的单元如果以软件功能模块的形式实现并作为独立的产品销售或使用时,也可以存储在一个计算机可读取存储介质中。基于这样的理解,本申请实施例的技术方案本质上或者说对相关技术做出贡献的部分可以以软件产品的形式体现出来,该计算机软件产品存储在一个存储介质中,包括若干指令用以使得一台计算机设备(可以是个人计算机、服务器、或者网络设备等)执行本申请各个实施例所述方法的全部或部分。而前述的存储介质包括:移动存储设备、ROM、RAM、磁碟或者光盘等各种可以存储程序代码的介质。Alternatively, if the above-mentioned integrated units of the present application are realized in the form of software function modules and sold or used as independent products, they can also be stored in a computer-readable storage medium. Based on this understanding, the essence of the technical solutions of the embodiments of the present application or the part that contributes to the related technologies can be embodied in the form of software products. The computer software products are stored in a storage medium and include several instructions to make A computer device (which may be a personal computer, a server, or a network device, etc.) executes all or part of the methods described in the various embodiments of the present application. The aforementioned storage medium includes: various media capable of storing program codes such as removable storage devices, ROM, RAM, magnetic disks or optical disks.
需要说明的是,本申请实施例所记载的技术方案之间,在不冲突的情况下,可以任意组合。It should be noted that the technical solutions described in the embodiments of the present application may be combined arbitrarily if there is no conflict.
另外,在本申请实例中,“第一”、“第二”等是用于区别类似的对象,而不必用于描述特定的顺序或先后次序。In addition, in the examples of the present application, "first", "second", etc. are used to distinguish similar objects, and are not necessarily used to describe a specific sequence or sequence.
以上所述,仅为本申请的具体实施方式,但本申请的保护范围并不局限于此,任何熟悉本技术领域的技术人员在本申请揭露的技术范围内,可轻易想到变化或替换,都应涵盖在本申请的保护范围之内。因此,本申请的保护范围应以所述权利要求的保护范围为准。The above is only a specific implementation of the application, but the scope of protection of the application is not limited thereto. Anyone familiar with the technical field can easily think of changes or substitutions within the technical scope disclosed in the application. Should be covered within the protection scope of this application. Therefore, the protection scope of the present application should be determined by the protection scope of the claims.
| Application Number | Priority Date | Filing Date | Title |
|---|---|---|---|
| CN202211614576.8ACN115839782A (en) | 2022-12-13 | 2022-12-13 | A thermistor calibration method, device and electronic equipment |
| Application Number | Priority Date | Filing Date | Title |
|---|---|---|---|
| CN202211614576.8ACN115839782A (en) | 2022-12-13 | 2022-12-13 | A thermistor calibration method, device and electronic equipment |
| Publication Number | Publication Date |
|---|---|
| CN115839782Atrue CN115839782A (en) | 2023-03-24 |
| Application Number | Title | Priority Date | Filing Date |
|---|---|---|---|
| CN202211614576.8APendingCN115839782A (en) | 2022-12-13 | 2022-12-13 | A thermistor calibration method, device and electronic equipment |
| Country | Link |
|---|---|
| CN (1) | CN115839782A (en) |
| Publication number | Priority date | Publication date | Assignee | Title |
|---|---|---|---|---|
| US4536851A (en)* | 1982-10-22 | 1985-08-20 | Damon Germanton | Electronic thermometer and associated apparatus |
| CN101988857A (en)* | 2009-07-31 | 2011-03-23 | 华东电力试验研究院有限公司 | Calibration and detection method of thermometer |
| CN102539019A (en)* | 2012-01-05 | 2012-07-04 | 北京东方计量测试研究所 | Temperature measurement and calibration platform in space vacuum environment |
| CN105588667A (en)* | 2015-12-18 | 2016-05-18 | 上海市计量测试技术研究院 | High-precision thermistor thermometer calibrating device |
| CN110296773A (en)* | 2018-03-22 | 2019-10-01 | 北京康斯特仪表科技股份有限公司 | The method for calibrating short branch temperature measurement equipment using stem body temperature checker |
| CN111982329A (en)* | 2020-08-06 | 2020-11-24 | 首凯汽车零部件(江苏)有限公司 | Thermocouple signal processing system and signal processing method thereof |
| CN112067165A (en)* | 2020-09-30 | 2020-12-11 | 中车长春轨道客车股份有限公司 | Temperature sensor precision testing system, testing method, testing device and storage medium |
| CN115047020A (en)* | 2022-06-22 | 2022-09-13 | 中国科学院西北生态环境资源研究院 | Nuclear magnetic resonance observation method for natural gas hydrate formation process |
| Publication number | Priority date | Publication date | Assignee | Title |
|---|---|---|---|---|
| US4536851A (en)* | 1982-10-22 | 1985-08-20 | Damon Germanton | Electronic thermometer and associated apparatus |
| CN101988857A (en)* | 2009-07-31 | 2011-03-23 | 华东电力试验研究院有限公司 | Calibration and detection method of thermometer |
| CN102539019A (en)* | 2012-01-05 | 2012-07-04 | 北京东方计量测试研究所 | Temperature measurement and calibration platform in space vacuum environment |
| CN105588667A (en)* | 2015-12-18 | 2016-05-18 | 上海市计量测试技术研究院 | High-precision thermistor thermometer calibrating device |
| CN110296773A (en)* | 2018-03-22 | 2019-10-01 | 北京康斯特仪表科技股份有限公司 | The method for calibrating short branch temperature measurement equipment using stem body temperature checker |
| CN111982329A (en)* | 2020-08-06 | 2020-11-24 | 首凯汽车零部件(江苏)有限公司 | Thermocouple signal processing system and signal processing method thereof |
| CN112067165A (en)* | 2020-09-30 | 2020-12-11 | 中车长春轨道客车股份有限公司 | Temperature sensor precision testing system, testing method, testing device and storage medium |
| CN115047020A (en)* | 2022-06-22 | 2022-09-13 | 中国科学院西北生态环境资源研究院 | Nuclear magnetic resonance observation method for natural gas hydrate formation process |
| Publication | Publication Date | Title |
|---|---|---|
| US9470567B2 (en) | Techniques for calibrating an air-flow sensor for adapter slots in a data processing system | |
| AU2016325716B2 (en) | System and method for testing photosensitive device degradation | |
| CN109443601A (en) | High-precision multipoint temperature measuring system and temperature correction method based on thermal resistance | |
| CN113588099B (en) | Infrared thermopile array environment temperature compensation method and related components | |
| CN117590265A (en) | Battery pack heat production prediction method and device, electronic equipment, readable media | |
| CN114812758A (en) | Calibration method and device of liquid level sensor, electronic equipment and storage medium | |
| CN106528323B (en) | A kind of Nand flash data calibration method and system | |
| CN116593060A (en) | Temperature compensation method, circuit and device for pressure sensor | |
| CN113218527A (en) | Thermistor-based temperature detection method, device, equipment, medium and system | |
| CN115839782A (en) | A thermistor calibration method, device and electronic equipment | |
| CN119595147A (en) | Calorimeter calibration method, device, electronic equipment and storage medium | |
| CN118549710B (en) | Method, device, equipment and medium for measuring true resistance | |
| CN115326276A (en) | Temperature compensation of Pirani vacuum gauge, calculation method and equipment of ambient vacuum degree | |
| CN113552557A (en) | Ranging calibration method, device and equipment for time-of-flight camera | |
| CN112540290A (en) | Test method and device for clock frequency calibration, storage medium and terminal | |
| CN114158791A (en) | Product temperature measurement method and device | |
| CN115727953A (en) | Infrared detector response signal processing method, device and equipment | |
| CN113760682B (en) | Memory signal quality assessment method, system and device | |
| WO2019083701A2 (en) | Methods and apparatus for calorimetric verification | |
| CN114758802A (en) | Doppler heating point power determination method, device and storage medium | |
| CN117494656B (en) | A chip junction temperature and thermal resistance model modeling method and device | |
| Zhang et al. | Measuring moisture content in porous insulation materials based on transient temperatures over a period of 100 seconds | |
| CN113686457A (en) | Temperature compensation device and method, electronic equipment and temperature detection device | |
| CN111983411A (en) | Method and device for testing thermal resistance of multi-finger-gate transistor and terminal equipment | |
| CN111076846A (en) | Test method and test system for body temperature probe |
| Date | Code | Title | Description |
|---|---|---|---|
| PB01 | Publication | ||
| PB01 | Publication | ||
| SE01 | Entry into force of request for substantive examination | ||
| SE01 | Entry into force of request for substantive examination |