

技术领域Technical Field
本发明涉及通风系统控制技术领域,尤其涉及一种用于抑制新冠肺炎传播风险的智能风量控制系统及控制方法。The present invention relates to the field of ventilation system control technology, and in particular to an intelligent air volume control system and control method for suppressing the risk of transmission of COVID-19.
背景技术Background Art
新冠肺炎(COVID-19)是一种由新型的SARS-CoV-2病毒引起的传染性呼吸道疾病,传播性强,病例激增给卫生部门和社会带来极大压力,因此制定有效的防疫控制策略以防止病毒传播和减轻感染风险至关重要。大部分的COVID-19感染都发生在室内环境中,主要传播途径是空气传播。而通风对于限制COVID-19在室内空气中的传播非常重要,可以通过人为引入室外新鲜空气的方式,稀释和置换室内带有传染性病毒的气溶胶颗粒以降低病毒的感染和传播风险。COVID-19 is a contagious respiratory disease caused by the new SARS-CoV-2 virus. It is highly contagious and the surge in cases has put great pressure on health departments and society. Therefore, it is crucial to develop effective epidemic prevention and control strategies to prevent the spread of the virus and reduce the risk of infection. Most COVID-19 infections occur in indoor environments, and the main route of transmission is airborne. Ventilation is very important to limit the spread of COVID-19 in indoor air. It can reduce the risk of virus infection and transmission by artificially introducing fresh outdoor air to dilute and replace indoor aerosol particles carrying infectious viruses.
在病毒爆发期,按照30m3/h/人的通风标准来预防和控制病毒传播是远远不够的,为尽量减少感染风险,在考虑多种缓解措施的综合效果后,大多数室内环境的最佳新风需求都接近或稍低于60m3/h/人,采取最大限度的通风措施,不可避免地造成极大的能源浪费。而2022年已经进入只有少数人感染的病毒稳定流行期,继续实行与爆发期相同的高强度干预措施会造成极大的资源浪费。而盲目减少室内的新风量亦会增加病毒在室内的传播风险。因此需要对室内环境的通风进行动态调整和控制,在保证室内人员安全健康的基础上实现建筑节能。During the outbreak period, it is far from enough to prevent and control the spread of the virus according to the ventilation standard of30m3 /h/person. In order to minimize the risk of infection, after considering the comprehensive effects of various mitigation measures, the optimal fresh air demand of most indoor environments is close to or slightly lower than60m3 /h/person. Taking maximum ventilation measures will inevitably cause great energy waste. In 2022, the virus has entered a stable epidemic period with only a few people infected. Continuing to implement the same high-intensity intervention measures as during the outbreak period will cause great waste of resources. Blindly reducing the amount of fresh air indoors will also increase the risk of virus transmission indoors. Therefore, it is necessary to dynamically adjust and control the ventilation of the indoor environment to achieve building energy conservation on the basis of ensuring the safety and health of indoor personnel.
在控制COVID-19在室内环境中的传播风险方面,通风需求主要由病毒量子排放量来衡量,基于Wells-Riley模型通过量子发射率和感染概率来计算所需的室外新风量。该模型提供了在病毒生成率不变的情况下,感染风险与新风量之间的定量关系。然而,Wells-Riley模型和以其为基础的大部分模型有几个局限性。大部分模型都是建立在一些假设之上,而这些假设在许多情况下往往都是不真实的。因此造成估计感染风险的不准确,继而使计算得到的新风量也与实际需求之间存在较大偏差。In terms of controlling the risk of COVID-19 transmission in indoor environments, ventilation demand is mainly measured by the virus quantum emission, and the required outdoor fresh air volume is calculated based on the Wells-Riley model by the quantum emission rate and the infection probability. This model provides a quantitative relationship between the infection risk and the fresh air volume when the virus generation rate remains unchanged. However, the Wells-Riley model and most models based on it have several limitations. Most models are based on some assumptions, which are often untrue in many cases. As a result, the estimated infection risk is inaccurate, and the calculated fresh air volume also deviates greatly from the actual demand.
Wells-Riley模型隐含地假设量子的积累是一个与时间无关的过程,每个量子有一个固定的概率(63.2%)实施感染。即感染的概率只与吸入的病原体总量有关,与接触时间长短无关;而时间上聚集的病原体相比于长时间暴露在低水平的病原体情况下,更有可能压倒免疫系统,因此,这种与时间无关的假设并不总是符合实际情况,特别是当暴露期相对较长时可能会导致错误。此外,Wells-Riley模型假设人体的呼吸率是稳定的。然而在不同的室内环境中,人员的行为和环境特征差别很大,而在室内进行的身体活动(如运动、站立、坐着)会影响人体的新陈代谢速率,而代谢强度又会不可避免地影响感染者与易感染者对病毒的吸入和呼出效率,进而影响对感染风险的估计。且,Wells-Riley模型并没有考虑佩戴口罩等物理防疫措施对病毒量子的吸入效率产生的影响。同时已有文献证明佩戴过滤性口罩可以有效降低传染风险。The Wells-Riley model implicitly assumes that the accumulation of quanta is a time-independent process, and each quantum has a fixed probability (63.2%) of infection. That is, the probability of infection is only related to the total amount of pathogens inhaled, and has nothing to do with the length of contact time; and pathogens that accumulate in time are more likely to overwhelm the immune system than long-term exposure to low levels of pathogens. Therefore, this assumption that is time-independent may not always conform to the actual situation, especially when the exposure period is relatively long. In addition, the Wells-Riley model assumes that the human respiratory rate is stable. However, in different indoor environments, the behavior and environmental characteristics of people vary greatly, and physical activities carried out indoors (such as exercise, standing, sitting) will affect the body's metabolic rate, and the metabolic intensity will inevitably affect the efficiency of inhalation and exhalation of the virus by infected and susceptible people, thereby affecting the estimation of infection risk. Moreover, the Wells-Riley model does not consider the impact of physical epidemic prevention measures such as wearing masks on the inhalation efficiency of virus quanta. At the same time, it has been documented that wearing a filtering mask can effectively reduce the risk of infection.
发明内容Summary of the invention
本发明的目的在于针对现有技术中病毒评估模型的不足,改进病毒感染风险评估模型,并应用于安装有通风系统的室内环境,解决病毒传播环境下室内新风调整控制的问题,以降低室内病毒传播的风险。The purpose of the present invention is to improve the virus infection risk assessment model in view of the shortcomings of the virus assessment model in the prior art, and to apply it to the indoor environment equipped with a ventilation system to solve the problem of indoor fresh air adjustment and control in a virus transmission environment, so as to reduce the risk of indoor virus transmission.
为了达到上述目的,本发明采用的技术方案如下。In order to achieve the above object, the technical solution adopted by the present invention is as follows.
一种用于抑制新冠肺炎传播风险的智能风量控制系统,包括新风系统、人脸检测系统和控制系统;An intelligent air volume control system for suppressing the risk of COVID-19 transmission, including a fresh air system, a face detection system and a control system;
所述新风系统包括:新风机、室内新风管路和室内排风管路;室外新风管路经新风机连接室内新风管路,室内排风管路经新风机连接室外排风管路;所述室内新风管路包括室内出风口,所述室内出风口处设置有:风阀、风阀控制器和风量测量装置;所述风阀控制器接收控制系统指令,以控制风阀开度;The fresh air system comprises: a fresh air fan, an indoor fresh air duct and an indoor exhaust duct; the outdoor fresh air duct is connected to the indoor fresh air duct via the fresh air fan, and the indoor exhaust duct is connected to the outdoor exhaust duct via the fresh air fan; the indoor fresh air duct comprises an indoor air outlet, and the indoor air outlet is provided with: an air valve, an air valve controller and an air volume measuring device; the air valve controller receives control system instructions to control the air valve opening;
所述人脸检测系统包括图像采集装置,设置在入室内门处,与控制系统通信,用于检测入室人员数量以及人员是否戴口罩;The face detection system includes an image acquisition device, which is arranged at the entrance door and communicates with the control system to detect the number of people entering the room and whether the people are wearing masks;
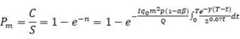
所述控制系统基于人脸检测系统采集的图像,统计室内人员中带口罩的占比;所述控制系统进一步计算最小需求新风量,该新风量对应室内设计送风量,所述风阀控制器基于最小需求新风量控制风阀开度;The control system counts the proportion of people wearing masks in the room based on the images collected by the face detection system; the control system further calculates the minimum required fresh air volume, which corresponds to the indoor designed air supply volume, and the air valve controller controls the air valve opening based on the minimum required fresh air volume;
所述控制器被配置为,按如下方法计算最小需求新风量:The controller is configured to calculate the minimum required fresh air volume according to the following method:
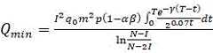
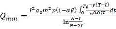
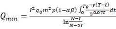
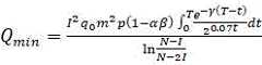
; ;
其中:为室内感染人数,代表症状发生时的初始量子生成率,为室内环境的代谢强度系数,是室内人员的肺部呼吸率(m3/s),为室内带口罩人数占比,为口罩过滤效率,为室内易感染者在病毒环境中的总暴露时间;为感染者自症状发生以来的时间;γ表示易感染者呼吸道中积累的病原体的衰减率;是室内人员的肺部呼吸率,表示室内总人数。in: is the number of people infected indoors, represents the initial quantum generation rate when symptoms occur, is the metabolic intensity coefficient of the indoor environment, is the lung respiration rate of the indoor occupants (m3 /s), The percentage of people wearing masks indoors. is the mask filtration efficiency, It is the total exposure time of susceptible people in the virus environment indoors; is the time since the onset of symptoms in the infected person;γ represents the decay rate of pathogens accumulated in the respiratory tract of susceptible persons; is the lung respiration rate of the indoor occupants, Indicates the total number of people in the room.
计算室内最小需求新风量的计算公式在>0时成立,因此,进一步分如下情况设计通风量:Calculate the minimum required indoor fresh air volume The calculation formula is >0, therefore, the ventilation volume is further designed according to the following situations:
若>0,根据感染概率和病毒基本繁殖数需要控制在1以内的限制条件,计算室内最小需求新风量:like >0, based on infection probability and basic reproduction number of the virus The constraint condition needs to be controlled within 1, and the minimum required indoor fresh air volume is calculated :
; ;
; ;
若≤0,且室内总人数为0,感染者数量也为0,按照正常时期的最低新风设计标准进行通风;like ≤0, and the total number of people indoors is 0, the number of infected people is also 0, and ventilation is carried out according to the minimum fresh air design standard in normal times;
若≤0,且,或,按照60m3/h/人的标准进行通风或采取最大通风措施。like ≤0, and ,or , ventilate at a rate of 60m3 /h/person or take maximum ventilation measures.
本发明一些实施例中,所述室内出风口处进一步设置有风量测量装置,用于检测风阀出口实际送风量;所述控制系统进一步基于风阀出风口处测量的室内实际送风量值与新风量对应室内设计送风量的差值,调整风阀开度。In some embodiments of the present invention, an air volume measuring device is further provided at the indoor air outlet for detecting the actual air supply volume at the air valve outlet; the control system further adjusts the air valve opening based on the difference between the actual indoor air supply volume value measured at the air valve outlet and the indoor design air supply volume corresponding to the fresh air volume.
本发明一些实施例中,所述人脸检测系统进一步包括温度传感装置,用于检测入室人员体温。In some embodiments of the present invention, the face detection system further includes a temperature sensing device for detecting the body temperature of a person entering the room.
本发明一些实施例进一步提供一种抑制COVID-19传播风险的智能风量控制方法,包括以下步骤:Some embodiments of the present invention further provide an intelligent air volume control method for suppressing the risk of COVID-19 transmission, comprising the following steps:
S1:统计室内人员总数,以及戴口罩人员占比,确定室内人员人体的代谢强度系数以及呼吸率;S1: Count the total number of people in the room , and the percentage of people wearing masks , determine the metabolic intensity coefficient of the human body of indoor personnel and respiratory rate ;
S2:确定室内感染人数、症状发生时的初始病毒量子生成率和易感染者呼吸道中积累的病原体的衰减率γ;计算出感染概率;S2: Determine the number of people infected indoors , initial viral quantum production rate at the onset of symptoms and the decay rateγ of pathogens accumulated in the respiratory tract of susceptible people; calculate the infection probability ;
; ;
其中:为室内的易感染者人数,为由于在室内接触到暴露在空气中的病毒粒子而感染的病例数,为室内环境的代谢强度系数,为室内感染者在病毒环境中的总暴露时间;为感染者自症状发生以来的时间;为室内带口罩人数占比,为口罩过滤效率,γ表示易感染者呼吸道中积累的病原体的衰减率;是室内人员的肺部呼吸率;in: is the number of susceptible people indoors, is the number of cases infected by exposure to airborne virus particles indoors. is the metabolic intensity coefficient of the indoor environment, It is the total exposure time of indoor infected persons in the virus environment; The time since the onset of symptoms for infected persons; The percentage of people wearing masks indoors. is the mask filtration efficiency,γ represents the decay rate of pathogens accumulated in the respiratory tract of susceptible persons; is the lung respiration rate of the indoor occupants;
为易感染者真正吸入的病原体量子数量: The number of pathogen quanta actually inhaled by susceptible people:
; ;
表示一定时间内宿主体内的病原体数量; It indicates the number of pathogens in the host within a certain period of time;
S3:计算室内通风量;S3: Calculate indoor ventilation volume;
若>0,根据感染概率和病毒基本繁殖数需要控制在1以内的限制条件,计算室内最小需求新风量:like >0, based on infection probability and basic reproduction number of the virus The constraint condition needs to be controlled within 1, and the minimum required indoor fresh air volume is calculated :
; ;
; ;
若≤0,且室内总人数为0,感染者数量也为0,按照正常时期的最低新风设计标准进行通风;like ≤0, and the total number of people indoors is 0, the number of infected people is also 0, and ventilation is carried out according to the minimum fresh air design standard in normal times;
若≤0,且,或,按照60m3/h/人的标准进行通风或采取最大通风措施;like ≤0, and ,or , ventilate at a rate of 60m3 /h/person or take maximum ventilation measures;
S4:基于最小需求新风量确认室内设计送风量,根据室内设计送风量调节风阀开度。S4: Confirm the indoor design air supply volume based on the minimum required fresh air volume , according to the indoor design air supply volume Adjust the air valve opening.
本发明一些实施例中,进一步包括以下步骤:In some embodiments of the present invention, the following steps are further included:
测量风阀出口实际送风量;Measure the actual air volume at the air valve outlet ;
计算风阀出口实际送风量与室内设计送风量的差,调整风阀开度:Calculate the actual air volume at the air valve outlet Air volume with indoor design Adjust the air valve opening:
; ;
其中:是调整后风阀开度,是当前对应的风阀开度,是比例控制系数,是积分控制系数。in: Is to adjust the air valve opening, is current The corresponding air valve opening, is the proportional control coefficient, is the integral control coefficient.
本发明一些实施例中,若风阀出口实际送风量与室内设计送风量之差小于设定的阈值,停止调整风阀开度。In some embodiments of the present invention, if the actual air flow rate at the air valve outlet is Air volume with indoor design If the difference is less than the set threshold, stop adjusting the air valve opening.
本发明一些实施例中,步骤S3中,根据人脸检测系统的检测结果更新室内总人数与室内人员戴口罩的占比。In some embodiments of the present invention, in step S3, the total number of people indoors and the proportion of people wearing masks indoors are updated according to the detection results of the face detection system.
本发明一些实施例中,对于家庭:为1;In some embodiments of the present invention, for a family: is 1;
对于商场、车站、机场:为1.5;For shopping malls, stations, and airports: is 1.5;
对于健身房:为2。For the gym: is 2.
与现有技术相比,本发明的优点和积极效果在于:Compared with the prior art, the advantages and positive effects of the present invention are:
1、对原始的Wells-Riley模型进行改进,综合考虑感染者呼出的病原体随时间的衰减、人体活动强度的改变对肺部通气率变化的影响以及类似戴口罩等物理措施对吸入病毒的过滤效果,得到的改进后的模型对病毒感染概率的评估更加真实准确,弥补了原始Wells-Riley模型的部分假设在实际情况下难以满足的局限性,由此计算得到的需求新风量更加可靠,更加接近实际需求,可以满足在将室内感染风险控制在安全阈值以内的同时,实现通风能耗的降低。1. The original Wells-Riley model is improved by comprehensively considering the attenuation of pathogens exhaled by infected people over time, the impact of changes in human activity intensity on changes in lung ventilation rate, and the filtering effect of physical measures such as wearing masks on inhaled viruses. The improved model is more realistic and accurate in assessing the probability of viral infection, making up for the limitations of some assumptions of the original Wells-Riley model that are difficult to meet in actual situations. The required fresh air volume calculated in this way is more reliable and closer to actual needs, which can meet the requirements of reducing ventilation energy consumption while controlling the indoor infection risk within the safety threshold.
2、配置了人脸检测系统,用于监测人员流动,并将其与全通风系统进行连接实现信息交互,便于通风系统及时获得新风量的动态变化情况,并及时调整室内环境中的变风量末端的风阀开度来满足新风需求。2. A face detection system is configured to monitor the flow of personnel and connect it with the entire ventilation system to achieve information interaction, so that the ventilation system can obtain the dynamic changes of the fresh air volume in time and adjust the air valve opening at the variable air volume terminal in the indoor environment in time to meet the fresh air demand.
3、本发明将室内环境中的病毒感染风险作为通风需求的指标,以实现将室内易感染者的病毒感染风险控制在安全阈值以内为通风目标,由此计算得到通风需求量并驱动新风系统进行控制。以此为指标可以实现对公共建筑中空气污染与病毒传播的高效控制,使得通风对室内人员的作用更加有效。3. The present invention uses the risk of virus infection in the indoor environment as an indicator of ventilation demand, so as to achieve the ventilation goal of controlling the risk of virus infection of susceptible people indoors within a safe threshold, thereby calculating the ventilation demand and driving the fresh air system for control. Using this as an indicator can achieve efficient control of air pollution and virus transmission in public buildings, making ventilation more effective for indoor personnel.
附图说明BRIEF DESCRIPTION OF THE DRAWINGS
图1为室内通风系统结构示意图;Fig. 1 is a schematic diagram of the structure of an indoor ventilation system;
图2为室内通风量控制逻辑结构示意图;FIG2 is a schematic diagram of the logic structure of indoor ventilation control;
以上各图中:In the above figures:
1-新风机;1-Fresh air blower;
2-室内新风管路,201-室内出风口;2-Indoor fresh air duct, 201-Indoor air outlet;
3-室内排风管路,301-室内排风口;3-indoor exhaust duct, 301-indoor exhaust vent;
4-室外进入管路;4-Outdoor access pipeline;
5-室外排风管路;5-Outdoor exhaust duct;
6-图像采集装置;6- Image acquisition device;
7-监控屏。7-Monitoring screen.
具体实施方式DETAILED DESCRIPTION
下面,通过示例性的实施方式对本发明进行具体描述。然而应当理解,在没有进一步叙述的情况下,一个实施方式中的元件、结构和特征也可以有益地结合到其他实施方式中。The present invention is described in detail below by way of exemplary embodiments. However, it should be understood that elements, structures, and features in one embodiment may also be beneficially combined in other embodiments without further description.
本发明提供以一种用于抑制新冠肺炎传播风险的智能风量控制系统和控制方法。The present invention provides an intelligent air volume control system and a control method for suppressing the risk of the spread of COVID-19.
本发明第一实施例首先提供一种用于抑制新冠肺炎(COVID-19)传播风险的智能风量控制系统,包括新风系统、人脸检测系统和控制系统。The first embodiment of the present invention first provides an intelligent air volume control system for suppressing the risk of transmission of the novel coronavirus pneumonia (COVID-19), including a fresh air system, a face detection system and a control system.
参考图1,新风系统设置在房间内,包括:新风机1、室内新风管路2和室内排风管路3;室外进入管路4经新风机连接室内新风管路2,室内排风管路3经新风机连接室外排风管路5。室内新风管路2和室内排风管路3均贴合房间顶部设置,通常可安装在天花板处。Referring to Figure 1, the fresh air system is set in the room, including: a
室内新风管路2上设置有室内出风口201,室内出风口201处设置有:风阀、风阀控制器和风量测量装置;风阀控制器接收控制系统指令,以控制风阀开度。通过改变风阀开度,可以调整对室内的进风风量的控制。The indoor
室内排风管路3上设置有室内排风口301,用于排出室内风。新风系统采用的是传统的混合通风的上送上回的形式,室内出风口201与室内排风口301分别安装在房间中对应的两侧,便于室内空气充分稀释混合。The
人脸检测系统包括图像采集装置6,设置在入室内门处,与控制系统通信,当人员经过入室门时,进行图像采集,并根据图像分析入室人员是否戴口罩。The face detection system includes an
控制系统基于人脸检测系统采集的图像,统计室内人员中带口罩的数量;控制系统进一步计算最小需求新风量,该新风量对应室内设计送风量,风阀控制器基于最小需求新风量控制风阀开度;The control system counts the number of people wearing masks in the room based on the images collected by the face detection system; the control system further calculates the minimum required fresh air volume, which corresponds to the indoor designed air supply volume, and the air valve controller controls the air valve opening based on the minimum required fresh air volume;
所述控制器被配置为,按如下方法计算最小需求新风量:The controller is configured to calculate the minimum required fresh air volume according to the following method:
; ;
其中:为室内感染人数,代表症状发生时的初始病毒量子生成率,为室内环境的代谢强度系数,是室内人员的肺部呼吸率(m3/s),为室内带口罩人数占比,为口罩过滤效率;为室内易感染者在室内病毒环境中的总暴露时间;为室内感染者自症状发生以来的时间;表示易感染者呼吸道中积累的病原体的衰减率;表示室内总人数。in: is the number of people infected indoors, represents the initial viral quantum production rate at the onset of symptoms, is the metabolic intensity coefficient of the indoor environment, is the lung respiration rate of the indoor occupants (m3 /s), The percentage of people wearing masks indoors. is the mask filtration efficiency; It is the total exposure time of susceptible people in indoor virus environment; The time since the onset of symptoms for those infected indoors; It indicates the decay rate of pathogens accumulated in the respiratory tract of susceptible individuals; Indicates the total number of people in the room.
以上公式当>0时公式成立,获得室内设计新风量的最小阈值;The above formula >0, the formula holds true, and the minimum threshold of indoor design fresh air volume is obtained;
当≤0时,通风量的获取方法在后文详述。when When ≤0, the method for obtaining the ventilation volume will be described in detail later.
本发明一些实施例中,所述室内出风口处进一步设置有风量测量装置,用于检测风阀出口实际送风量;所述控制系统进一步基于风阀出风口处测量的室内实际送风量值与新风量对应室内设计送风量的差值,调整风阀开度。In some embodiments of the present invention, an air volume measuring device is further provided at the indoor air outlet for detecting the actual air supply volume at the air valve outlet; the control system further adjusts the air valve opening based on the difference between the actual indoor air supply volume value measured at the air valve outlet and the indoor design air supply volume corresponding to the fresh air volume.
本发明一些实施例中,人脸检测系统进一步包括温度传感装置,用于检测入室人员体温。通过实时监测人员的体温是否存在异常,便于提前预警并控制病毒传播。In some embodiments of the present invention, the face detection system further includes a temperature sensor device for detecting the body temperature of people entering the room. By real-time monitoring of whether the body temperature of people is abnormal, early warning and control of virus transmission are facilitated.
本发明一些实施例中,在室内设置有监控显示屏7,用于基于人脸检测系统记录室内人员实时进出情况,同时基于体温监测系统记录并上传人体的实时温度。In some embodiments of the present invention, a
本发明第二实施例进一步提供一种抑制新冠肺炎(COVID-19)传播风险的智能风量控制方法,该方法改进了原始的Wells-Riley模型,重新对室内的感染风险水平进行评估。The second embodiment of the present invention further provides an intelligent air volume control method for suppressing the risk of transmission of the novel coronavirus pneumonia (COVID-19). The method improves the original Wells-Riley model and re-evaluates the indoor infection risk level.
在介绍本发明的方法之前,首先介绍模型改进以及基于改进模型的风量的计算。Before introducing the method of the present invention, the model improvement and the calculation of the wind volume based on the improved model are first introduced.
对于原始的Wells-Riley模型,量子被定义为感染一个人所需的传染性空气传播粒子的数量。它可以由一个或多个在空气传播的携带病毒的颗粒组成,这些颗粒被假定为随机分布在密闭空间的空气中。根据模型,传染病呼吸道疾病的病原体在空气中传播的感染概率定义为:For the original Wells-Riley model, the quantum is defined as the number of infectious airborne particles required to infect a person. It can consist of one or more airborne virus-carrying particles that are assumed to be randomly distributed in the air of a confined space. According to the model, the infection probability of an airborne pathogen of an infectious respiratory disease is defined as:
该公式为最原始的Wells-Riley模型,且当前为病毒的稳定流行期,不可避免地会出现感染者与未感染者共处一室的情况。其中,是房间中易感染者的病毒感染概率,是室内的易感染者人数,是由于在室内接触到暴露在空气中的病毒粒子而造成二次感染的病例数,通常为未知量。是室内的初始感染人数,即产生病原体的人员(通过体温检测系统捕捉体温异常人数以达到提前控制风险的目的,或者通过数据平台或核酸检测证明等获知入室人员是否为感染者);是室内人员的肺部呼吸率(m3/s)(该数值与后面参数具有相关性,(60/h)对应于静止/被动活动的平均水平(=0.5 m3/h));是感染者的病毒量子生成率(m3/s)(可通过计算获得该参数);是通入室内的新风量(m3/s)(控制系统通过对新风机以及风阀的调整控制来控制新风量);是未感染者在病毒环境中的总的暴露时间(s),(病毒环境指当室内出现感染者呼出病毒后的室内环境)。This formula is the most original Wells-Riley model, and the current stable epidemic period of the virus inevitably leads to situations where infected and uninfected people are in the same room. is the probability of virus infection for susceptible people in the room, is the number of susceptible people in the room, It is the number of secondary infections caused by exposure to airborne virus particles indoors, which is usually an unknown quantity. The number of people initially infected in the room, that is, the people who produce pathogens (the temperature detection system is used to capture the number of people with abnormal temperature in order to achieve the purpose of controlling risks in advance, or the data platform or nucleic acid test certificate is used to know whether the person entering the room is infected); is the lung respiration rate of the indoor personnel (m3 /s) (this value is correlated with the following parameters, (60/h) corresponds to the average level of resting/passive activity ( =0.5 m3 /h)); is the virus quantum generation rate of the infected person (m3 /s) (this parameter can be obtained by calculation); is the volume of fresh air entering the room (m3 /s) (the control system controls the volume of fresh air by adjusting the fresh air fan and the air valve); It is the total exposure time (s) of an uninfected person in the viral environment (the viral environment refers to the indoor environment after an infected person exhales the virus).
假设室内空间中空气处于稳定状态且与通入的新风量完全混合,根据剂量反应模型有:Assuming that the air in the indoor space is in a stable state and is completely mixed with the fresh air volume, according to the dose-response model:
其中,γ表示易感染者呼吸道中积累的病原体的衰减率(保守估计为0.1/h,对应现有调查数据中最长的病毒半衰期),表示一定时间内宿主体内的病原体数量(该参数属于中间变量),代表在宿主体内的呼吸道中积累的初始病原体数量。Among them,γ represents the decay rate of pathogens accumulated in the respiratory tract of susceptible people (conservatively estimated to be 0.1/h, corresponding to the longest half-life of the virus in the existing survey data), Indicates the number of pathogens in the host within a certain period of time (this parameter is an intermediate variable), Represents the initial amount of pathogens that accumulate in the host's respiratory tract.
研究发现,COVID-19感染者的咽拭子上的病毒量在症状出现后逐渐减少。因此,被认为与病毒载量成正比的量子产生率也会随着时间的推移而降低。根据以往研究中描述的病毒脱落曲线的时间规律,可以得到COVID-19感染者的时变量子生成率的数学拟合表达式为:Studies have found that the amount of virus on throat swabs from COVID-19 patients gradually decreases after symptoms appear. Therefore, the quantum production rate, which is considered to be proportional to the viral load, It will also decrease over time. According to the time law of the virus shedding curve described in previous studies, the mathematical fitting expression for the time-varying quantum generation rate of COVID-19 infected people can be obtained as:
其中,代表症状发生时的初始病毒量子生成率(根据以往的研究结果,的值可基本确定为60/h),是室内感染者自症状发生以来的时间。in, represents the initial viral quantum production rate when symptoms occur (based on previous research results, The value can be basically determined as 60/h). It is the time since the onset of symptoms for those infected indoors.
在室内人体的活动强度会影响身体的新陈代谢,而代谢强度决定了吸气和呼气速率。因此,如果肺部通气率较高,感染者的病毒量子产生率会更高。将不同室内环境的代谢强度系数记为肺部呼吸率与静止状态的倍数)。将该参数设定如下:在家里,为1;在教室、办公室、地铁和餐厅等场所,为1.25;在电影院、商场、火车站、机场等场所,为1.5;在健身房等,为2。以上室内环境代谢强度系数的取值是根据室内人员密集度、室内环境的空气流动性等指标综合选择。The intensity of human activity indoors affects the body's metabolism, and metabolic intensity determines the rate of inhalation and exhalation. Therefore, if the lung ventilation rate is high, the virus quantum production rate of the infected person will be higher. The metabolic intensity coefficient of different indoor environments is recorded as The lungs' breathing rate is a multiple of the resting state. Set this parameter as follows: At home, 1; in classrooms, offices, subways, restaurants, etc. is 1.25; in cinemas, shopping malls, train stations, airports and other places, is 1.5; in the gym, etc. The value of the indoor environment metabolic intensity coefficient is selected based on the indoor population density, indoor air mobility and other indicators.
因此,感染者的量子产生率和室内易感染者的肺部通气率的变化会对感染风险产生倍增效应。感染者产生的总的病毒量子生成量为:Therefore, the quantum generation rate of the infected and the lung ventilation rate of susceptible people indoors The change in will have a multiplier effect on the risk of infection. The total quantum generation of the virus produced by the infected person is:
其中,为症状发生以来的总的量子生成量,为易感染者在病毒环境中的总暴露时间。in, is the total quantum generation since the onset of symptoms, It is the total exposure time of susceptible people in the virus environment.
根据检测装置统计得到的进入室内的人员人数和戴口罩的人数,计算得到室内戴口罩的人数占比为(%),将口罩的过滤效率设为(%)。则易感染者真正吸入的病原体量子数量为:According to the number of people entering the room and the number of people wearing masks obtained by the detection device, the proportion of people wearing masks indoors is calculated to be (%), set the filtration efficiency of the mask to (%). Then the number of pathogen quanta actually inhaled by susceptible people is for:
因此在Wells-Riley模型下综合考虑病原体衰减、肺部通气率变化和口罩的过滤效果后,得到的改进后的感染概率(更新后的模型)可表示为:Therefore, after comprehensively considering the pathogen attenuation, lung ventilation rate changes and mask filtering effect under the Wells-Riley model, the improved infection probability is obtained. (The updated model) can be expressed as:
基于更新后的模型,可以计算最小需求送风量。Based on the updated model, the minimum required air supply volume can be calculated.
基本繁殖数是指当一个单一传染病例被引入一个其他人都是易感者的群体时,所产生的二次感染的数量。一般来说,值越大,感染就越有可能以流行病的形式迅速繁殖。而如果小于1,流行病将最终消失,因此能够将繁殖数减少到小于1的控制措施被认为是有效的。Basic reproduction number It refers to the number of secondary infections that occur when a single infectious case is introduced into a group where everyone else is susceptible. Generally speaking, the larger the value, the more likely the infection is to multiply rapidly in the form of an epidemic. Less than 1, the epidemic will eventually die out, so control measures that can reduce the reproduction number to less than 1 are considered effective.
根据室内初始感染人数和检测得到的室内人员总数,以及计算得到的改进后的感染概率可以计算得到基本繁殖数为:Based on the initial number of infections indoors And the total number of people detected indoors , and the calculated improved infection probability The basic reproduction number can be calculated for:
考虑需要控制基本繁殖数到1以下,则有:Considering the need to control the basic reproduction number to below 1, we have:
计算得到的设计需求新风量的需求值为:The calculated design demand for fresh air volume is:
因此,若>0,室内新风量需求的最小值为:Therefore, if >0, the minimum indoor fresh air volume requirement is:
。 .
计算得到最小设计风量后,依托于室内安装的全新风系统,控制通风系统变风量末端的风阀开度,将所需的新风量送入室内,使得病毒的传播风险控制在可接受的阈值之内。After calculating the minimum design air volume, relying on the fresh air system installed indoors, the air valve opening at the variable air volume end of the ventilation system is controlled to deliver the required fresh air volume into the room, so that the risk of virus transmission is controlled within an acceptable threshold.
基于更新后的模型,本发明提供的控制方法包括以下步骤。Based on the updated model, the control method provided by the present invention includes the following steps.
S1:统计室内人员总数,以及戴口罩人员占比,确定室内人员人体的代谢强度系数以及呼吸率;其中,室内人员总数可通过人脸检测装置检测统计获得,戴口罩人员占比可基于总人数和人脸检测装置检测的人员总数获得。不同室内环境的代谢强度系数为(肺通气率与静止状态的倍数),设定如下:在家里,为1;在教室、办公室、地铁和餐厅,为1.25;在电影院、商场、火车站/机场和KTV等,为1.5;在健身房,为2。(60/h)对应于静止/被动活动的平均水平(=0.5 m3/h),这部分参数可根据本领域常识性文件记载获取。S1: Count the total number of people in the room , and the percentage of people wearing masks , determine the metabolic intensity coefficient of the human body of indoor personnel and respiratory rate ; Among them, the total number of people indoors The proportion of people wearing masks can be obtained through face detection and statistics. It can be obtained based on the total number of people and the total number of people detected by the face detection device. The metabolic intensity coefficient of different indoor environments is (multiple of lung ventilation rate and resting state), set as follows: at home, 1; in classrooms, offices, subways and restaurants, is 1.25; in cinemas, shopping malls, railway stations/airports and KTVs, is 1.5; in the gym, is 2. (60/h) corresponds to the average level of resting/passive activity ( =0.5 m3 /h), these parameters can be obtained according to the common knowledge documents in this field.
S2:确定室内感染人数、初始病毒生成量和病毒衰减率γ;计算出感染概率;S2: Determine the number of people infected indoors , initial virus generation and virus decay rateγ ; calculate the infection probability ;
。 .
其中:为室内的易感染者人数,为由于在室内接触到暴露在空气中的病毒粒子而感染的病例数,代表症状发生时的初始量子生成率,为室内环境的代谢强度系数,为总暴露时间;为室内感染者自症状发生以来的时间;为室内带口罩人数占比,为口罩过滤效率;γ表示易感染者呼吸道中积累的病原体的衰减率;是室内人员的肺部呼吸率。in: is the number of susceptible people indoors, is the number of cases infected by exposure to airborne virus particles indoors. represents the initial quantum generation rate when symptoms occur, is the metabolic intensity coefficient of the indoor environment, is the total exposure time; The time since the onset of symptoms for those infected indoors; The percentage of people wearing masks indoors. is the filtration efficiency of the mask;γ represents the decay rate of pathogens accumulated in the respiratory tract of susceptible persons; It is the lung breathing rate of the people in the room.
为易感染者真正吸入的病原体量子数量: The number of pathogen quanta actually inhaled by susceptible people:
; ;
表示一定时间内宿主体内的病原体数量。 It indicates the number of pathogens in the host within a certain period of time.
S3:计算室内需求新风量;S3: Calculate the indoor required fresh air volume;
需要说明的是,根据室内总人数和室内感染人数的关系,新风量的计算分为以下几种情况。It should be noted that based on the relationship between the total number of people indoors and the number of people infected indoors, the calculation of fresh air volume is divided into the following situations.
若>0,根据感染概率和病毒基本繁殖数需要控制在1以内的限制条件,计算室内最小需求新风量:like >0, based on infection probability and basic reproduction number of the virus The constraint condition needs to be controlled within 1, and the minimum required indoor fresh air volume is calculated :
。 .
其中:表示室内总人数。in: Indicates the total number of people in the room.
当≤0时,大致分为以下几种情况:when When ≤0, it can be roughly divided into the following situations:
1、室内总人数为0,感染者数量也为0,即感染者被转移室内无感染者,通风的目的为清除室内空气中的残余病毒,此时按照正常时期的最低新风设计标准进行通风即可;1. The total number of people in the room is 0, and the number of infected people is also 0, that is, the infected people have been transferred and there are no infected people in the room. The purpose of ventilation is to remove the residual virus in the indoor air. At this time, ventilation can be carried out according to the minimum fresh air design standard in normal times;
2、,即室内人员均已被感染或室内环境为病房等特殊区域,通风的目的为换气并稀释感染者产生的病毒,为室内人员提供新鲜空气,应按照60m3/h/人的标准进行通风或采取最大通风措施,同时应进行必要的病毒消杀措施以避免病毒扩散;2. That is, all indoor personnel have been infected or the indoor environment is a special area such as a ward. The purpose of ventilation is to exchange air and dilute the virus produced by the infected person, and provide fresh air for indoor personnel. Ventilation should be carried out at a standard of60m3 /h/person or maximum ventilation measures should be taken. At the same time, necessary virus disinfection measures should be taken to avoid the spread of the virus;
3、且,此时室内感染者多于易感染者人数,极易被感染,此时应优先转移室内未感染人员,同时按照60m3/h/人的标准或新风系统最大设计新风量进行通风;(该最大设计值与新风系统的选择以及新风风机的型号有关)。3. and At this time, the number of infected people in the room is greater than the number of susceptible people, and they are extremely susceptible to infection. At this time, the uninfected people in the room should be transferred first, and ventilation should be carried out according to the standard of60m3 /h/person or the maximum design fresh air volume of the fresh air system; (the maximum design value is related to the selection of the fresh air system and the model of the fresh air fan).
S4:基于前述情况确认的新风量确认室内设计送风量,根据室内设计送风量调节风阀开度。S4: Confirm the indoor design air supply volume based on the fresh air volume confirmed in the above situation , according to the indoor design air supply volume Adjust the air valve opening.
本发明一些实施例中,进一步包括以下步骤:In some embodiments of the present invention, the following steps are further included:
测量风阀出口在各时刻的实际送风量;计算风阀出口实际送风量与室内设计送风量的差,调整风阀开度:Measure the actual air volume at the air valve outlet at each time ; Calculate the actual air volume at the air valve outlet Air volume with indoor design Adjust the air valve opening:
; ;
其中:是调整后风阀开度,是当前对应的风阀开度,是比例控制系数,是积分控制系数。in: Is to adjust the air valve opening, is current The corresponding air valve opening, is the proportional control coefficient, is the integral control coefficient.
需要说明的是,在非稳定状态下,风阀出口在各时刻的实际送风量是一个时变值,各时刻室内设计送风量可能会随着参数的变化而变化,例如:室内总人数变化,感染人数变化等。因此,调节是一个动态的过程。It should be noted that in an unstable state, the actual air flow at the air valve outlet at each moment is is a time-varying value, the indoor design air supply volume at each moment It may change with the change of parameters, such as: the total number of people in the room changes, the number of infected people changes, etc. Therefore, regulation is a dynamic process.
本发明一些实施例中,若风阀出口实际送风量与室内设计送风量之差小于设定的阈值,停止调整风阀开度。一般,如果直至与之间的差值满足控制要求,一般在10%以内即可视为达到控制目标,即满足通风需求。得到使室内实际送风量满足需求送风量的目标风阀开度。In some embodiments of the present invention, if the actual air flow rate at the air valve outlet is Air volume with indoor design If the difference is less than the set threshold, stop adjusting the air valve opening. and The difference between the two meets the control requirements. Generally, if it is within 10%, it can be regarded as achieving the control target, that is, meeting the ventilation demand. The target air valve opening that makes the actual indoor air supply volume meet the required air supply volume is obtained. .
应该注意的是,调查发现与感染者的密切接触将导致通过短距离飞沫传播接触到COVID-19病毒的风险更高。这种飞沫传播可以通过保持足够的物理距离来克服。当与感染者保持1.5米以上的距离时,病毒浓度将下降到一个恒定水平。由于本发明并没有考虑病毒的短距离飞沫传播,因此在实际应用中,以上提出的通风控制策略应与保持物理距离等防疫措施一起应用。It should be noted that the investigation found that close contact with infected people will lead to a higher risk of exposure to the COVID-19 virus through short-range droplet transmission. This droplet transmission can be overcome by maintaining sufficient physical distance. When a distance of more than 1.5 meters is maintained from the infected person, the virus concentration will drop to a constant level. Since the present invention does not consider the short-range droplet transmission of the virus, in practical applications, the ventilation control strategy proposed above should be applied together with epidemic prevention measures such as maintaining physical distance.
采用本发明提供的方法可以得到更加真实可靠的可以将感染风险控制在安全阈值以下的最小新风量值,并将计算得到的该值传输至该全新风系统,调节系统安装在室内环境中的末端装置的中风阀开度,将所需新风量送入室内,降低病毒扩散风险。The method provided by the present invention can obtain a more realistic and reliable minimum fresh air volume value that can control the infection risk below the safety threshold, and transmit the calculated value to the new air system, adjust the stroke valve opening of the terminal device installed in the indoor environment, and deliver the required fresh air volume into the room, thereby reducing the risk of virus spread.
以上所述,仅是本发明的较佳实施例而已,并非是对本发明作其它形式的限制,任何熟悉本专业的技术人员可能利用上述揭示的技术内容加以变更或改型为等同变化的等效实施例应用于其它领域,但是凡是未脱离本发明技术方案内容,依据本发明的技术实质对以上实施例所作的任何简单修改、等同变化与改型,仍属于本发明技术方案的保护范围。The above description is only a preferred embodiment of the present invention and does not limit the present invention in other forms. Any technician familiar with the profession may use the technical content disclosed above to change or modify it into an equivalent embodiment with equivalent changes and apply it to other fields. However, any simple modification, equivalent change and modification made to the above embodiment based on the technical essence of the present invention without departing from the content of the technical solution of the present invention still falls within the protection scope of the technical solution of the present invention.
| Application Number | Priority Date | Filing Date | Title |
|---|---|---|---|
| CN202310063761.0ACN115789904B (en) | 2023-02-06 | 2023-02-06 | Intelligent air volume control system and control method for inhibiting new crown pneumonia propagation risk |
| Application Number | Priority Date | Filing Date | Title |
|---|---|---|---|
| CN202310063761.0ACN115789904B (en) | 2023-02-06 | 2023-02-06 | Intelligent air volume control system and control method for inhibiting new crown pneumonia propagation risk |
| Publication Number | Publication Date |
|---|---|
| CN115789904A CN115789904A (en) | 2023-03-14 |
| CN115789904Btrue CN115789904B (en) | 2023-05-09 |
| Application Number | Title | Priority Date | Filing Date |
|---|---|---|---|
| CN202310063761.0AActiveCN115789904B (en) | 2023-02-06 | 2023-02-06 | Intelligent air volume control system and control method for inhibiting new crown pneumonia propagation risk |
| Country | Link |
|---|---|
| CN (1) | CN115789904B (en) |
| Publication number | Priority date | Publication date | Assignee | Title |
|---|---|---|---|---|
| CN114188035A (en)* | 2021-12-15 | 2022-03-15 | 中国海洋大学 | Infectious disease prediction method and system based on improved SEIR model |
| Publication number | Priority date | Publication date | Assignee | Title |
|---|---|---|---|---|
| US11960261B2 (en)* | 2019-07-12 | 2024-04-16 | Johnson Controls Tyco IP Holdings LLP | HVAC system with sustainability and emissions controls |
| CN114364926B (en)* | 2019-07-12 | 2024-04-05 | 江森自控泰科知识产权控股有限责任合伙公司 | HVAC systems with design and operation tools for infection control in buildings |
| CN111554409A (en)* | 2020-05-27 | 2020-08-18 | 清华大学 | Monitoring, tracing and early warning regulation and control system and method for virus propagation in building |
| DE102021128678A1 (en)* | 2020-11-04 | 2022-05-05 | Ifm Electronic Gmbh | Method and device for reducing the risk of infection in closed rooms by viruses |
| US11674707B2 (en)* | 2020-12-07 | 2023-06-13 | Syracuse University | System for minimizing indoor infection risk and maximizing energy savings |
| CN112963949B (en)* | 2021-02-23 | 2022-02-01 | 东南大学 | Epidemic prevention energy-saving intelligent ventilation control system and method based on real-time personnel detection |
| CN113312859B (en)* | 2021-06-18 | 2025-06-17 | 南京航空航天大学 | Analysis method of virus transmission in civil aviation aircraft cabin |
| CN113611407B (en)* | 2021-08-16 | 2023-03-21 | 西南交通大学 | Novel coronavirus infection condition assessment method for interior of bus |
| CN114781892B (en)* | 2022-04-28 | 2025-05-13 | 北京清华同衡规划设计研究院有限公司 | Environmental quality evaluation method, system, device and electronic equipment |
| Publication number | Priority date | Publication date | Assignee | Title |
|---|---|---|---|---|
| CN114188035A (en)* | 2021-12-15 | 2022-03-15 | 中国海洋大学 | Infectious disease prediction method and system based on improved SEIR model |
| Title |
|---|
| 新型个性化通风系统预防传染病传播数值研究;郑晓红;钱华;刘荔;;中南大学学报(自然科学版)(第12期);全文* |
| Publication number | Publication date |
|---|---|
| CN115789904A (en) | 2023-03-14 |
| Publication | Publication Date | Title |
|---|---|---|
| Li et al. | Study on ventilation rates and assessment of infection risks of COVID-19 in an outpatient building | |
| Schibuola et al. | High energy efficiency ventilation to limit COVID-19 contagion in school environments | |
| WO2020248965A1 (en) | Internet-of-things-based method and system for measuring and analyzing bacteria content of indoor air in real time | |
| CN106237469B (en) | Automatic control for flow limit detection | |
| CN102596029B (en) | Method and apparatus for measuring the concentration of a gas in exhaled air | |
| CN107220482A (en) | Respiratory infectious disease risk evaluating system and appraisal procedure | |
| Nazaroff et al. | Framework for evaluating measures to control nosocomial tuberculosis transmission | |
| CN114254249B (en) | A method and system for determining health index of spatial region | |
| Schijven et al. | Exposure assessment for airborne transmission of SARS-CoV-2 via breathing, speaking, coughing and sneezing | |
| JP2005516704A5 (en) | ||
| JP2005516704A (en) | Estimating flow-independent parameters based on expiratory curves of ventilated breathing | |
| Pang et al. | A smart CO2-based ventilation control framework to minimize the infection risk of COVID-19 in public buildings | |
| CN116147164B (en) | Indoor environment aerosol safety oriented air conditioning system regulation and control method | |
| Lai et al. | Air distribution of oxygen supply through guardrail slot diffusers in high-altitude hypoxic areas | |
| CN207769100U (en) | A kind of lung rehabilitation training system based on respiration EMG feedback | |
| Huang et al. | Airborne transmission of the Delta variant of SARS-CoV-2 in an auditorium | |
| CN115789904B (en) | Intelligent air volume control system and control method for inhibiting new crown pneumonia propagation risk | |
| Wang et al. | Intelligent ventilation control in enclosed environment towards health and energy efficiency: A study of elevator cabins | |
| Harber | Medical evaluation for respirator use | |
| Zhang et al. | Analysis of SARS-CoV-2 transmission in a university classroom based on real human close contact behaviors | |
| Jimenez et al. | Systematic way to understand and classify the shared‐room airborne transmission risk of indoor spaces | |
| Xu et al. | Performance of personalized ventilation in mitigating short-range airborne transmission under the influence of multiple factors | |
| Hendrawati | Natural ventilation performance for schools during a pandemic and the post-pandemic COVID 19 | |
| Wei et al. | Numerical evaluation of space form design for outpatient waiting space to reduce airborne infection risk in hospitals | |
| Timpitak et al. | A numerical model of carbon dioxide concentration measurement in a room with an opened ventilation system |
| Date | Code | Title | Description |
|---|---|---|---|
| PB01 | Publication | ||
| PB01 | Publication | ||
| SE01 | Entry into force of request for substantive examination | ||
| SE01 | Entry into force of request for substantive examination | ||
| GR01 | Patent grant | ||
| GR01 | Patent grant |