














技术领域technical field
本申请涉及地球物理勘探技术领域。特别涉及一种地震勘探信息的获取方法、装置和计算机设备。This application relates to the technical field of geophysical prospecting. In particular, it relates to a method, device and computer equipment for acquiring seismic prospecting information.
背景技术Background technique
目前在进行地震勘探时,先通过炮点激发产生地震波,然后通过三分量检波器来记录由地震波引起的三维空间的质点振动情况,得到三分量地震数据。该三分量地震数据包括X水平分量的地震数据、Y水平分量的地震数据和Z垂直分量的地震数据,且X水平分量、Y水平分量和Z水平分量两两垂直。然后对该三分量地震数据进行处理,通过处理后的地震数据来获得地下构造形态、岩性与油气分布等地震勘探信息。At present, during seismic exploration, seismic waves are first generated by shot point excitation, and then three-component geophones are used to record particle vibrations in three-dimensional space caused by seismic waves to obtain three-component seismic data. The three-component seismic data includes seismic data of X horizontal component, seismic data of Y horizontal component and seismic data of Z vertical component, and the X horizontal component, Y horizontal component and Z horizontal component are vertical in pairs. Then the three-component seismic data is processed, and the seismic exploration information such as underground structural form, lithology and oil and gas distribution are obtained through the processed seismic data.
相关技术中先以地层为水平层状且岩性是各向同性介质为假设条件,根据炮点所处方位和三分量检波器所处方位确定由炮点指向三分量检波器的径向分量R以及垂直于该径向分量R的切向分量T,然后将X分量对应的地震数据和Y分量对应的地震数据分别进行旋转合成,得到径向分量R对应的地震数据和切向分量T对应的地震数据,根据径向分量R对应的地震数据、切向分量T对应的地震数据和Z分量对应的地震数据获得地震勘探信息。In the related technology, it is assumed that the formation is horizontally layered and the lithology is an isotropic medium, and the radial component R from the shot point to the three-component detector is determined according to the location of the shot point and the location of the three-component detector. and the tangential component T perpendicular to the radial component R, and then rotate and synthesize the seismic data corresponding to the X component and the seismic data corresponding to the Y component to obtain the seismic data corresponding to the radial component R and the corresponding seismic data of the tangential component T Seismic data, seismic exploration information is obtained from the seismic data corresponding to the radial component R, the seismic data corresponding to the tangential component T, and the seismic data corresponding to the Z component.
但相关技术中的方法以地层为水平层状且岩性是各向同性介质为假设条件的情况下,确定的任一时刻质点的振动情况是相同的,而由于地下构造形态与岩性的复杂性,地震波在三分量检波器处引发的质点振动情况是复杂多变的,因此,该方法不能反映出质点在地下的真实振动情况,导致获取的地震勘探信息的准确性差。However, the method in the related art assumes that the formation is horizontally layered and the lithology is an isotropic medium, and the vibration of the particle at any time is the same. However, the particle vibration caused by seismic waves at the three-component geophone is complex and changeable. Therefore, this method cannot reflect the real vibration of the particle in the ground, resulting in poor accuracy of the seismic exploration information obtained.
发明内容Contents of the invention
本申请实施例提供了一种地震勘探信息的获取方法、装置和计算机设备,可以提高地震勘探信息获取的准确性。具体技术方案如下:Embodiments of the present application provide a seismic exploration information acquisition method, device, and computer equipment, which can improve the accuracy of seismic exploration information acquisition. The specific technical scheme is as follows:
一方面,本申请实施例提供了一种地震勘探信息的获取方法,所述方法包括:On the one hand, an embodiment of the present application provides a method for acquiring seismic prospecting information, the method comprising:
获取目标工区内多个检波器采集的多个地震数据,所述地震数据为所述检波器在预设采集时间范围内采集的,且所述地震数据包括第一水平分量的第一地震数据、第二水平分量的第二地震数据和第一垂直分量的第三地震数据,所述第一水平分量、所述第二水平分量和所述第一垂直分量两两垂直;Acquire multiple seismic data collected by multiple geophones in the target work area, the seismic data are collected by the geophones within a preset acquisition time range, and the seismic data include first seismic data of a first horizontal component, the second seismic data of the second horizontal component and the third seismic data of the first vertical component, the first horizontal component, the second horizontal component and the first vertical component are perpendicular to each other;
对于每个检波器,基于所述第一地震数据和所述第二地震数据,确定质点振动复杂参数、质点振动线性参数和目标采集时刻的互相关参数,所述质点振动复杂参数用于反映质点振动的复杂程度,所述质点振动线性参数用于反映质点振动的线性程度,所述互相关参数用于反映所述第一地震数据和所述第二地震数据在所述目标采集时刻的互相关关系,所述目标采集时刻为所述预设采集时间范围内的任一采集时刻;For each geophone, based on the first seismic data and the second seismic data, determine the particle vibration complex parameters, particle vibration linear parameters and cross-correlation parameters at the target acquisition time, the particle vibration complex parameters are used to reflect the The degree of complexity of vibration, the particle vibration linear parameter is used to reflect the linear degree of particle vibration, the cross-correlation parameter is used to reflect the cross-correlation between the first seismic data and the second seismic data at the target acquisition time relationship, the target collection time is any collection time within the preset collection time range;
基于所述质点振动复杂参数、所述质点振动线性参数和所述目标采集时刻的互相关参数,确定所述目标采集时刻的偏振参数和所述目标采集时刻的偏振角度;Based on the particle vibration complex parameter, the particle vibration linear parameter and the cross-correlation parameter at the target collection time, determine the polarization parameter at the target collection time and the polarization angle at the target collection time;
基于所述第一地震数据、所述第二地震数据、所述目标采集时刻的偏振参数和偏振角度,确定第四地震数据,所述第四地震数据为所述目标采集时刻下所述偏振角度对应的地震数据;Based on the first seismic data, the second seismic data, the polarization parameter and the polarization angle at the target acquisition time, determine fourth seismic data, where the fourth seismic data is the polarization angle at the target acquisition time Corresponding seismic data;
基于每个检波器对应的第三地震数据和每个采集时刻的第四地震数据,获取地震勘探信息。Seismic exploration information is acquired based on the third seismic data corresponding to each geophone and the fourth seismic data at each acquisition moment.
在一种可能的实现方式中,所述基于所述第一地震数据和所述第二地震数据,确定所述目标采集时刻的互相关参数的确定过程包括:In a possible implementation manner, the determination process of determining the cross-correlation parameters at the target acquisition time based on the first seismic data and the second seismic data includes:
基于所述第一地震数据和所述第二地震数据,确定炮点激发的地震波的频率分布范围;Based on the first seismic data and the second seismic data, determining a frequency distribution range of seismic waves excited by shot points;
基于所述频率分布范围,确定时窗参数,所述时窗参数用于反映确定所述目标采集时刻的互相关参数时对应的时窗宽度;Based on the frequency distribution range, determine a time window parameter, and the time window parameter is used to reflect the corresponding time window width when determining the cross-correlation parameter at the target collection moment;
基于所述时窗参数和所述目标采集时刻,确定积分时间范围;Determine an integration time range based on the time window parameter and the target acquisition moment;
基于所述积分时间范围、所述第一地震数据和所述第二地震数据,确定所述目标采集时刻的互相关参数。Based on the integration time range, the first seismic data and the second seismic data, a cross-correlation parameter at the target acquisition time is determined.
在另一种可能的实现方式中,所述基于所述积分时间范围、所述第一地震数据和所述第二地震数据,确定所述目标采集时刻的互相关参数,包括:In another possible implementation manner, the determining the cross-correlation parameters at the target acquisition time based on the integration time range, the first seismic data, and the second seismic data includes:
确定所述第一地震数据在所述积分时间范围内能量的平方根,得到第一振幅;determining the square root of the energy of the first seismic data within the integration time range to obtain a first amplitude;
确定所述第二地震数据在所述积分时间范围内能量的平方根,得到第二振幅;determining the square root of the energy of the second seismic data within the integration time range to obtain a second amplitude;
确定所述第一振幅和所述第二振幅的乘积,得到第三振幅;determining a product of said first amplitude and said second amplitude to obtain a third amplitude;
确定所述第一地震数据和所述第二地震数据在所述积分时间范围内的乘积,得到第一振动矢量,所述第一振动矢量包括振幅和振动方向;determining the product of the first seismic data and the second seismic data within the integration time range to obtain a first vibration vector, the first vibration vector including amplitude and vibration direction;
确定所述第一振动矢量与所述第三振幅的比值的绝对值,得到所述目标采集时刻的互相关参数。The absolute value of the ratio of the first vibration vector to the third amplitude is determined to obtain a cross-correlation parameter at the acquisition time of the target.
在另一种可能的实现方式中,所述基于所述质点振动复杂参数、所述质点振动线性参数和所述目标采集时刻的互相关参数,确定所述目标采集时刻的偏振参数和所述目标采集时刻的偏振角度,包括:In another possible implementation manner, the polarization parameter at the acquisition time of the target and the target The polarization angle at the time of collection, including:
基于所述质点振动复杂参数、所述质点振动线性参数和所述目标采集时刻的互相关参数,确定所述目标采集时刻的偏振参数,所述偏振参数用于反映质点振动的线性程度;Based on the particle vibration complex parameter, the particle vibration linear parameter and the cross-correlation parameter at the target acquisition time, determine the polarization parameter at the target acquisition time, and the polarization parameter is used to reflect the linearity of the particle vibration;
在所述偏振参数不小于预设偏振参数的情况下,基于所述第一地震数据和所述第二地震数据,确定所述目标采集时刻的偏振角度;In the case where the polarization parameter is not less than a preset polarization parameter, based on the first seismic data and the second seismic data, determine the polarization angle at the target acquisition moment;
在所述偏振参数小于所述预设偏振参数的情况下,基于所述第一地震数据、所述第二地震数据和积分时间范围,确定所述目标采集时刻的偏振角度,所述积分时间范围为确定所述互相关参数时得到的。If the polarization parameter is smaller than the preset polarization parameter, based on the first seismic data, the second seismic data and an integration time range, determine the polarization angle at the target acquisition time, the integration time range It is obtained when determining the cross-correlation parameters.
在另一种可能的实现方式中,所述基于所述第一地震数据和所述第二地震数据,确定所述目标采集时刻的偏振角度,包括:In another possible implementation manner, the determining the polarization angle at the target acquisition time based on the first seismic data and the second seismic data includes:
确定所述目标采集时刻的第二地震数据和所述目标采集时刻的第一地震数据的比值,得到第一比值;determining the ratio of the second seismic data at the target acquisition time to the first seismic data at the target acquisition time to obtain a first ratio;
确定所述第一比值的反正切值,得到所述目标采集时刻的偏振角度。The arctangent value of the first ratio is determined to obtain the polarization angle at the acquisition moment of the target.
在另一种可能的实现方式中,所述基于所述第一地震数据、所述第二地震数据和积分时间范围,确定所述目标采集时刻的偏振角度,包括:In another possible implementation manner, the determining the polarization angle at the target acquisition time based on the first seismic data, the second seismic data and the integration time range includes:
确定所述第一地震数据和所述第二地震数据在所述积分时间范围内能量和的平方根,得到第四振幅;determining the square root of the energy sum of the first seismic data and the second seismic data within the integration time range to obtain a fourth amplitude;
对于预设偏振角度范围中的每个预设偏振角度,确定目标积分时刻的第一地震数据与所述预设偏振角度余弦值的乘积,得到第五地震数据,所述目标积分时刻为所述积分时间范围内的任一积分时刻;For each preset polarization angle in the preset polarization angle range, the product of the first seismic data at the target integration time and the cosine value of the preset polarization angle is determined to obtain the fifth seismic data, and the target integration time is the Any integration moment within the integration time range;
确定所述目标积分时刻的第二地震数据与所述预设偏振角度正弦值的乘积,得到第六地震数据;determining the product of the second seismic data at the target integration time and the sine value of the preset polarization angle to obtain sixth seismic data;
确定所述第五地震数据和所述第六地震数据在所述积分时间范围内的和值,得到第五振幅;determining the sum of the fifth seismic data and the sixth seismic data within the integration time range to obtain a fifth amplitude;
确定所述第四振幅和所述第五振幅的差值,得到所述预设偏振角度对应的第六振幅;determining a difference between the fourth amplitude and the fifth amplitude to obtain a sixth amplitude corresponding to the preset polarization angle;
将最小的第六振幅对应的预设偏振角度作为所述目标采集时刻的偏振角度。The preset polarization angle corresponding to the smallest sixth amplitude is used as the polarization angle at the target collection moment.
在另一种可能的实现方式中,所述基于所述质点振动复杂参数、所述质点振动线性参数和所述目标采集时刻的互相关参数,确定所述目标采集时刻的偏振参数,包括:In another possible implementation manner, the determining the polarization parameter at the target acquisition time based on the particle vibration complex parameter, the particle vibration linear parameter, and the cross-correlation parameter at the target acquisition time includes:
确定所述目标采集时刻的互相关参数和所述质点振动线性参数的差值,得到第一差值;Determining the difference between the cross-correlation parameter at the target acquisition time and the particle vibration linear parameter to obtain a first difference;
确定所述质点振动复杂参数和所述第一差值的乘积,得到第一乘积;determining the product of the particle vibration complex parameter and the first difference to obtain a first product;
确定以自然常数为底数,以所述第一乘积的负数为指数的指数值;determining an exponent value based on a natural constant and exponented by the negative of said first product;
确定在所述指数值的基础上增加1之后的倒数,将所述倒数作为所述偏振参数。A reciprocal after adding 1 to the index value is determined, and the reciprocal is used as the polarization parameter.
在另一种可能的实现方式中,所述基于所述第一地震数据、所述第二地震数据、所述目标采集时刻的偏振参数和偏振角度,确定在所述目标采集时刻下所述偏振角度对应的第三地震数据,包括:In another possible implementation manner, determining the polarization at the target acquisition time based on the first seismic data, the second seismic data, the polarization parameter and the polarization angle at the target acquisition time The third seismic data corresponding to the angle, including:
确定所述目标采集时刻的第一地震数据和所述目标采集时刻的偏振角度余弦值的乘积,得到第七地震数据;determining the product of the first seismic data at the target acquisition time and the cosine value of the polarization angle at the target acquisition time to obtain seventh seismic data;
确定所述目标采集时刻的第二地震数据和所述目标采集时刻的偏振角度正弦值的乘积,得到第八地震数据;determining the product of the second seismic data at the target acquisition time and the polarization angle sine value at the target acquisition time to obtain eighth seismic data;
确定所述第七地震数据和所述第八地震数据的和值与所述目标采集时刻的偏振参数的乘积,得到所述目标采集时刻下所述偏振角度对应的第三地震数据。Determine the product of the sum of the seventh seismic data and the eighth seismic data and the polarization parameter at the target acquisition time to obtain third seismic data corresponding to the polarization angle at the target acquisition time.
另一方面,本申请实施例提供了一种地震勘探信息的获取装置,所述装置包括:On the other hand, an embodiment of the present application provides a device for acquiring seismic prospecting information, the device comprising:
第一获取模块,用于获取目标工区内多个检波器采集的多个地震数据,所述地震数据为所述检波器在预设采集时间范围内采集的,且所述地震数据包括第一水平分量的第一地震数据、第二水平分量的第二地震数据和第一垂直分量的第三地震数据,所述第一水平分量、所述第二水平分量和所述第一垂直分量两两垂直;The first acquisition module is configured to acquire a plurality of seismic data collected by multiple geophones in the target work area, the seismic data is collected by the geophones within a preset acquisition time range, and the seismic data includes a first level The first seismic data of the component, the second seismic data of the second horizontal component and the third seismic data of the first vertical component, the first horizontal component, the second horizontal component and the first vertical component are perpendicular to each other ;
第一确定模块,用于对于每个检波器,基于所述第一地震数据和所述第二地震数据,确定质点振动复杂参数、质点振动线性参数和目标采集时刻的互相关参数,所述质点振动复杂参数用于反映质点振动的复杂程度,所述质点振动线性参数用于反映质点振动的线性程度,所述互相关参数用于反映所述第一地震数据和所述第二地震数据在所述目标采集时刻的互相关关系,所述目标采集时刻为所述预设采集时间范围内的任一采集时刻;The first determination module is used for determining, for each geophone, based on the first seismic data and the second seismic data, the particle vibration complex parameters, the particle vibration linear parameters and the cross-correlation parameters at the target acquisition time, the particle The complex vibration parameter is used to reflect the complexity of particle vibration, the linear parameter of particle vibration is used to reflect the linear degree of particle vibration, and the cross-correlation parameter is used to reflect the difference between the first seismic data and the second seismic data. The cross-correlation relationship between the target collection time, the target collection time is any collection time within the preset collection time range;
第二确定模块,用于基于所述质点振动复杂参数、所述质点振动线性参数和所述目标采集时刻的互相关参数,确定所述目标采集时刻的偏振参数和所述目标采集时刻的偏振角度;The second determination module is configured to determine the polarization parameter at the target collection time and the polarization angle at the target collection time based on the particle vibration complex parameter, the particle vibration linear parameter and the cross-correlation parameter at the target collection time ;
第三确定模块,用于基于所述第一地震数据、所述第二地震数据、所述目标采集时刻的偏振参数和偏振角度,确定第四地震数据,所述第四地震数据为在所述目标采集时刻下所述偏振角度对应的地震数据;The third determination module is configured to determine fourth seismic data based on the first seismic data, the second seismic data, the polarization parameter and the polarization angle at the target acquisition time, and the fourth seismic data is in the Seismic data corresponding to the polarization angle at the target acquisition time;
第二获取模块,用于基于每个检波器对应的第三地震数据和每个采集时刻的第四地震数据,获取地震勘探信息。The second acquiring module is configured to acquire seismic exploration information based on the third seismic data corresponding to each geophone and the fourth seismic data at each acquisition moment.
在一种可能的实现方式中,所述第一确定模块,用于基于所述第一地震数据和所述第二地震数据,确定炮点激发的地震波的频率分布范围;基于所述频率分布范围,确定时窗参数,所述时窗参数用于反映确定所述目标采集时刻的互相关参数时对应的时窗宽度;基于所述时窗参数和所述目标采集时刻,确定积分时间范围;基于所述积分时间范围、所述第一地震数据和所述第二地震数据,确定所述目标采集时刻的互相关参数。In a possible implementation manner, the first determining module is configured to determine the frequency distribution range of seismic waves excited by shot points based on the first seismic data and the second seismic data; based on the frequency distribution range , determine the time window parameter, the time window parameter is used to reflect the corresponding time window width when determining the cross-correlation parameter of the target acquisition moment; based on the time window parameter and the target acquisition moment, determine the integration time range; based on The integration time range, the first seismic data and the second seismic data determine the cross-correlation parameters at the target acquisition time.
在另一种可能的实现方式中,所述第一确定模块,用于确定所述第一地震数据在所述积分时间范围内能量的平方根,得到第一振幅;确定所述第二地震数据在所述积分时间范围内能量的平方根,得到第二振幅;确定所述第一振幅和所述第二振幅的乘积,得到第三振幅;确定所述第一地震数据和所述第二地震数据在所述积分时间范围内的乘积,得到第一振动矢量,所述第一振动矢量包括振幅和振动方向;确定所述第一振动矢量与所述第三振幅的比值的绝对值,得到所述目标采集时刻的互相关参数。In another possible implementation manner, the first determination module is configured to determine the square root of the energy of the first seismic data within the integration time range to obtain the first amplitude; the square root of the energy within the integration time range to obtain a second amplitude; determine the product of the first amplitude and the second amplitude to obtain a third amplitude; determine the first seismic data and the second seismic data at The product within the integration time range is used to obtain a first vibration vector, and the first vibration vector includes an amplitude and a vibration direction; the absolute value of the ratio of the first vibration vector to the third amplitude is determined to obtain the target The cross-correlation parameters at the time of collection.
在另一种可能的实现方式中,所述第二确定模块,用于基于所述质点振动复杂参数、所述质点振动线性参数和所述目标采集时刻的互相关参数,确定所述目标采集时刻的偏振参数,所述偏振参数用于反映质点振动的线性程度;在所述偏振参数不小于预设偏振参数的情况下,基于所述第一地震数据和所述第二地震数据,确定所述目标采集时刻的偏振角度;在所述偏振参数小于所述预设偏振参数的情况下,基于所述第一地震数据、所述第二地震数据和积分时间范围,确定所述目标采集时刻的偏振角度,所述积分时间范围为确定所述互相关参数时得到的。In another possible implementation manner, the second determination module is configured to determine the target acquisition time based on the particle vibration complex parameter, the particle vibration linear parameter, and the cross-correlation parameter of the target acquisition time The polarization parameter is used to reflect the linearity of particle vibration; if the polarization parameter is not less than the preset polarization parameter, based on the first seismic data and the second seismic data, determine the The polarization angle at the target acquisition time; if the polarization parameter is smaller than the preset polarization parameter, determine the polarization at the target acquisition time based on the first seismic data, the second seismic data and the integration time range Angle, the integration time range is obtained when determining the cross-correlation parameters.
在另一种可能的实现方式中,所述第二确定模块,用于确定所述目标采集时刻的第二地震数据和所述目标采集时刻的第一地震数据的比值,得到第一比值;确定所述第一比值的反正切值,得到所述目标采集时刻的偏振角度。In another possible implementation manner, the second determination module is configured to determine the ratio of the second seismic data at the target acquisition time to the first seismic data at the target acquisition time to obtain the first ratio; determine The arc tangent of the first ratio is used to obtain the polarization angle at the collection moment of the target.
在另一种可能的实现方式中,所述第二确定模块,用于确定所述第一地震数据和所述第二地震数据在所述积分时间范围内能量和的平方根,得到第四振幅;对于预设偏振角度范围中的每个预设偏振角度,确定目标积分时刻的第一地震数据与所述预设偏振角度余弦值的乘积,得到第五地震数据,所述目标积分时刻为所述积分时间范围内的任一积分时刻;确定所述目标积分时刻的第二地震数据与所述预设偏振角度正弦值的乘积,得到第六地震数据;确定所述第五地震数据和所述第六地震数据在所述积分时间范围内的和值,得到第五振幅;确定所述第四振幅和所述第五振幅的差值,得到所述预设偏振角度对应的第六振幅;将最小的第六振幅对应的预设偏振角度作为所述目标采集时刻的偏振角度。In another possible implementation manner, the second determination module is configured to determine the square root of the energy sum of the first seismic data and the second seismic data within the integration time range to obtain a fourth amplitude; For each preset polarization angle in the preset polarization angle range, the product of the first seismic data at the target integration time and the cosine value of the preset polarization angle is determined to obtain the fifth seismic data, and the target integration time is the Any integration time within the integration time range; determine the product of the second seismic data at the target integration time and the sine value of the preset polarization angle to obtain sixth seismic data; determine the fifth seismic data and the first The sum of the six seismic data within the integration time range is used to obtain the fifth amplitude; the difference between the fourth amplitude and the fifth amplitude is determined to obtain the sixth amplitude corresponding to the preset polarization angle; the minimum The preset polarization angle corresponding to the sixth amplitude of is used as the polarization angle at the acquisition moment of the target.
在另一种可能的实现方式中,所述第二确定模块,用于确定所述目标采集时刻的互相关参数和所述质点振动线性参数的差值,得到第一差值;确定所述质点振动复杂参数和所述第一差值的乘积,得到第一乘积;确定以自然常数为底数,以所述第一乘积的负数为指数的指数值;确定在所述指数值的基础上增加1之后的倒数,将所述倒数作为所述偏振参数。In another possible implementation manner, the second determination module is configured to determine the difference between the cross-correlation parameter at the target acquisition time and the particle vibration linear parameter to obtain a first difference; determine the particle The product of the vibration complex parameter and the first difference value is obtained to obtain the first product; determine the exponent value with the natural constant as the base and the negative number of the first product as the exponent; determine that an increase of 1 is made on the basis of the exponent value The subsequent reciprocal is used as the polarization parameter.
在另一种可能的实现方式中,所述第三确定模块,用于确定所述目标采集时刻的第一地震数据和所述目标采集时刻的偏振角度余弦值的乘积,得到第七地震数据;确定所述目标采集时刻的第二地震数据和所述目标采集时刻的偏振角度正弦值的乘积,得到第八地震数据;确定所述第七地震数据和所述第八地震数据的和值与所述目标采集时刻的偏振参数的乘积,得到所述目标采集时刻下所述偏振角度对应的第三地震数据。In another possible implementation manner, the third determination module is configured to determine the product of the first seismic data at the target acquisition time and the cosine value of the polarization angle at the target acquisition time to obtain seventh seismic data; Determine the product of the second seismic data at the target acquisition time and the sine value of the polarization angle at the target acquisition time to obtain the eighth seismic data; determine the sum of the seventh seismic data and the eighth seismic data and the obtained The product of the polarization parameters at the target acquisition time is obtained to obtain the third seismic data corresponding to the polarization angle at the target acquisition time.
另一方面,提供了一种计算机设备,所述计算机设备包括处理器和存储器,所述存储器中存储有至少一条程序代码,所述至少一条程序代码由所述处理器加载并执行,以实现本申请实施例中所述地震勘探信息的获取方法中所执行的操作。In another aspect, a computer device is provided, the computer device includes a processor and a memory, at least one program code is stored in the memory, and the at least one program code is loaded and executed by the processor, so as to realize the present invention Operations performed in the methods for acquiring seismic prospecting information described in the embodiments of the application.
另一方面,本申请实施例提供了一种计算机可读存储介质,所述计算机可读存储介质中存储有至少一条程序代码,所述至少一条程序代码由处理器加载并执行,以实现本申请实施例中所述地震勘探信息的获取方法中所执行的操作。On the other hand, the embodiment of the present application provides a computer-readable storage medium, at least one program code is stored in the computer-readable storage medium, and the at least one program code is loaded and executed by a processor to implement the present application. Operations performed in the methods for acquiring seismic exploration information described in the embodiments.
另一方面,本申请实施例提供了一种计算机程序产品或计算机程序,所述计算机程序产品或所述计算机程序包括计算机程序代码,所述计算机程序代码存储在计算机可读存储介质中。计算机设备的处理器从计算机可读存储介质读取所述计算机程序代码,处理器执行所述计算机程序代码,以实现本申请实施例中所述地震勘探信息的获取方法中所执行的操作。On the other hand, an embodiment of the present application provides a computer program product or a computer program, where the computer program product or the computer program includes computer program code, and the computer program code is stored in a computer-readable storage medium. The processor of the computer device reads the computer program code from the computer-readable storage medium, and the processor executes the computer program code to implement the operations performed in the method for acquiring seismic exploration information in the embodiments of the present application.
本申请实施例提供的技术方案带来的有益效果是:The beneficial effects brought by the technical solutions provided by the embodiments of the present application are:
本申请实施例提供了一种地震勘探信息获取方法,由于地下构造形态与岩性的复杂性,因此,质点在不同采集时刻的振动情况是复杂多变的,而该方法先确定预设采集时间范围内的每个采集时刻对应的偏振角度和偏振参数,根据每个采集时刻对应的偏振角度和偏振参数来确定出质点在每个采集时刻的振动情况,这样可以反映出质点在地下的真实振动情况,因此,根据质点在每个采集时刻的振动情况可以准确获取地震勘探信息,从而提高获取的地震勘探信息的准确性。The embodiment of the present application provides a method for acquiring seismic exploration information. Due to the complexity of the underground structure and lithology, the vibration of the particles at different acquisition times is complex and changeable. The method first determines the preset acquisition time The polarization angle and polarization parameters corresponding to each acquisition moment within the range, and the vibration of the particle at each acquisition moment can be determined according to the polarization angle and polarization parameters corresponding to each acquisition moment, which can reflect the real vibration of the particle in the ground Therefore, the seismic exploration information can be accurately obtained according to the vibration of the particle at each acquisition moment, thereby improving the accuracy of the acquired seismic exploration information.
附图说明Description of drawings
图1是本申请实施例提供的一种质点在不同时间在X水平分量、Y水平分量和Z垂直分量上的振动轨迹的示意图;Fig. 1 is a schematic diagram of the vibration trajectory of a mass point on the X horizontal component, Y horizontal component and Z vertical component at different times provided by the embodiment of the present application;
图2是本申请实施例提供的一种由随机噪声引起的质点在X水平分量和Y水平分量上的振动轨迹的示意图;Fig. 2 is a schematic diagram of the vibration trajectory of a particle on the X horizontal component and the Y horizontal component caused by random noise provided by the embodiment of the present application;
图3是本申请实施例提供的一种由地震纵波引起的质点在X水平分量和Y水平分量上的振动轨迹的示意图;Fig. 3 is a schematic diagram of the vibration trajectory of a particle on the X horizontal component and the Y horizontal component caused by seismic longitudinal waves provided by the embodiment of the present application;
图4是本申请实施例提供的一种由瑞雷面波引起的质点在X水平分量和Z垂直分量上的振动轨迹的示意图;Fig. 4 is a schematic diagram of the vibration track of a particle on the X horizontal component and the Z vertical component caused by the Rayleigh surface wave provided by the embodiment of the present application;
图5是本申请实施例提供的一种质点振动在XOY平面与XOZ平面的投影与夹角的示意图;Fig. 5 is a schematic diagram of the projection and included angle of a particle vibration on the XOY plane and the XOZ plane provided by the embodiment of the present application;
图6是本申请实施例提供的一种地震勘探信息的获取方法的流程图;Fig. 6 is a flow chart of a method for acquiring seismic prospecting information provided by an embodiment of the present application;
图7是本申请实施例提供的一种理论合成的X水平分量的第一地震数据的示意图;Fig. 7 is a schematic diagram of the first seismic data of a theoretically synthesized X horizontal component provided by an embodiment of the present application;
图8是本申请实施例提供的一种理论合成的Y水平分量的第二地震数据的示意图;Fig. 8 is a schematic diagram of second seismic data of a theoretically synthesized Y horizontal component provided by an embodiment of the present application;
图9是本申请实施例提供的一种将图7中的第一地震数据和图8中的第二地震数据合成第三地震数据的示意图;Fig. 9 is a schematic diagram of synthesizing the first seismic data in Fig. 7 and the second seismic data in Fig. 8 into third seismic data provided by the embodiment of the present application;
图10是本申请实施例提供的一种合成的第三地震数据的示意图;Fig. 10 is a schematic diagram of a third synthetic seismic data provided by an embodiment of the present application;
图11是本申请实施例提供的一种不同采集时刻下不同偏振角度对应的第三地震数据的示意图;Fig. 11 is a schematic diagram of third seismic data corresponding to different polarization angles at different acquisition times provided by the embodiment of the present application;
图12是本申请实施例提供的一种由实际采集的三分量地震数据确定的偏振角度的示意图;Fig. 12 is a schematic diagram of a polarization angle determined from actually collected three-component seismic data provided by an embodiment of the present application;
图13是本申请实施例提供的一种由实际采集的三分量地震数据确定的第三地震数据的示意图;Fig. 13 is a schematic diagram of third seismic data determined from actually collected three-component seismic data provided by an embodiment of the present application;
图14是本申请实施例提供的一种地震勘探信息的获取装置的结构示意图;Fig. 14 is a schematic structural diagram of an acquisition device for seismic prospecting information provided by an embodiment of the present application;
图15是本申请实施例提供的一种计算机设备的结构框图。Fig. 15 is a structural block diagram of a computer device provided by an embodiment of the present application.
具体实施方式Detailed ways
为使本申请的技术方案和优点更加清楚,下面对本申请实施方式作进一步地详细描述。In order to make the technical solutions and advantages of the present application clearer, the implementation manners of the present application will be further described in detail below.
为了便于阐述,这里先对地震波引起的质点振动情况进行说明。For the convenience of explanation, the situation of particle vibration caused by seismic waves is firstly explained here.
炮点激发产生地震波,当地震波传播到三分量检波器所在位置时,引起质点发生振动。质点发生振动时,质点离开平衡位置,并且完成三维空间振动。当地震波通过三分量检波器所在位置后,质点重新恢复到原先的平衡位置。三分量检波器可以记录地震波引发的质点在三维空间的振动情况,全面反映地震波在地下介质中的传播规律和特点,利用三分量检波器采集的三分量地震数据能够准确重构质点的三维空间振动轨迹,这些振动轨迹是在三维空间中按时间序列排列的点的集合,可以表示为时间的函数。参见图1,图1分别表示质点在不同时间在X水平分量、Y水平分量和Z垂直分量上的振动轨迹。将各振动轨迹点按照时间顺序相连,在三维空间表现为一条曲线。在不同的时间段内,由于到达三分量检波器的地震波类型不同,质点的振动轨迹也各不相同,其中,地震波类型主要有纵波、横波、转换波、瑞雷面波、勒夫面波、随机噪声等。参见图2至图4,图2为由随机噪声引起的质点在X水平分量和Y水平分量上的振动轨迹,图3为由地震纵波引起的质点在X水平分量和Y水平分量上的振动轨迹,图4为由瑞雷面波引起的质点在X水平分量和Z垂直分量上的振动轨迹,从图2至图4中可以看出,不同类型的地震波引起的质点的振动轨迹不同。质点的振动轨迹的两个主要特征是振动幅度和振动方向,不同类型的地震波有不同的偏振特征,例如,线性的、椭圆的和三维的。质点振动的偏振特征不仅依赖于地震波的类型,还受到震源类型和地下介质的复杂程度影响。The shot point excitation generates seismic waves, and when the seismic waves propagate to the position of the three-component geophone, the particles are caused to vibrate. When the particle vibrates, the particle leaves the equilibrium position and completes the three-dimensional space vibration. When the seismic wave passes through the position of the three-component geophone, the particle returns to its original equilibrium position. The three-component geophone can record the vibration of the particle in the three-dimensional space caused by the seismic wave, and fully reflect the propagation law and characteristics of the seismic wave in the underground medium. The three-component seismic data collected by the three-component geophone can accurately reconstruct the three-dimensional space vibration of the particle Trajectories, these vibration trajectories are collections of points arranged in time series in three-dimensional space, which can be expressed as a function of time. Referring to Fig. 1, Fig. 1 respectively shows the vibration traces of the particle on the X horizontal component, Y horizontal component and Z vertical component at different times. The vibration trajectory points are connected in time sequence, and it is represented as a curve in three-dimensional space. In different time periods, due to the different types of seismic waves arriving at the three-component geophone, the vibration trajectories of the particles are also different. Among them, the types of seismic waves mainly include longitudinal wave, shear wave, converted wave, Rayleigh surface wave, Love surface wave, random noise etc. See Figure 2 to Figure 4, Figure 2 is the vibration track of the particle on the X horizontal component and Y horizontal component caused by random noise, and Figure 3 is the vibration track of the particle on the X horizontal component and Y horizontal component caused by the seismic longitudinal wave , and Fig. 4 is the vibration trajectory of the particle on the X horizontal component and Z vertical component caused by the Rayleigh surface wave. It can be seen from Fig. 2 to Fig. 4 that the vibration trajectories of the particle caused by different types of seismic waves are different. The two main characteristics of the vibration trajectory of a particle are vibration amplitude and vibration direction. Different types of seismic waves have different polarization characteristics, for example, linear, elliptical and three-dimensional. The polarization characteristics of particle vibration are not only dependent on the type of seismic wave, but also affected by the type of source and the complexity of the underground medium.
虽然不同类型的地震波的偏振特征不同,但由地震波引起的三分量检波器所处位置的质点振动可以由大小和方向都变化的振动矢量来确定。质点的振动轨迹还可以用与所选择的坐标系有关的不同参数表示。比如,在笛卡尔直角坐标系中,振动矢量A(T)在X、Y和Z的坐标轴上的投影可以分别记为Ax(T)、Ay(T)和Az(T),且有如下公式成立:Although different types of seismic waves have different polarization characteristics, the particle vibrations at the location of the three-component geophone caused by seismic waves can be determined from vibration vectors that vary in magnitude and direction. The vibration trajectory of the particle can also be expressed by different parameters related to the selected coordinate system. For example, in the Cartesian rectangular coordinate system, the projection of the vibration vector A(T) on the coordinate axes of X, Y and Z can be respectively recorded as Ax (T), Ay (T) and Az (T), And the following formula is established:
Ax(T)=|A(T)|sinφ(T)cosω(T)Ax (T)=|A(T)|sinφ(T)cosω(T)
Ay(T)=|A(T)|sinφ(T)sinω(T)Ay (T)=|A(T)|sinφ(T)sinω(T)
Az(T)=|A(T)|cosφ(T)Az (T)=|A(T)|cosφ(T)
其中,|A(T)|表示T采集时刻质点偏振的位移绝对值,ω(T)表示T采集时刻质点偏振在水平面上与X轴之间的偏振角度,φ(T)表示T采集时刻质点偏振和竖直面之间的夹角,Ax(T)表示x水平分量的传感器记录的质点振动位移,Ay(T)表示y水平分量的传感器记录的质点振动位移,Az(T)表示z垂直分量的传感器记录的质点振动位移。参见图5,图5为质点振动在XOY平面与XOZ平面的投影与夹角的示意图,其中,Ao(T)为A(T)在XOY平面的投影,A1(T)为A(T)在XOZ平面的投影,ω(T)为Ao(T)与X轴方向夹角,φ(T)为A1(T)与Z轴方向夹角。Among them, |A(T)| represents the absolute value of the displacement of the particle polarization at T collection time, ω(T) represents the polarization angle between the particle polarization on the horizontal plane and the X axis at T collection time, φ(T) represents the particle polarization at T collection time The angle between the polarization and the vertical plane, Ax (T) represents the particle vibration displacement recorded by the sensor of the x horizontal component, Ay (T) represents the particle vibration displacement recorded by the sensor of the y horizontal component, Az (T) Represents the particle vibration displacement recorded by the sensor for the z vertical component. Referring to Fig. 5, Fig. 5 is a schematic diagram of the projection and included angle of the particle vibration on the XOY plane and the XOZ plane, wherein, Ao (T) is the projection of A(T) on the XOY plane, and A1 (T) is A(T ) on the XOZ plane, ω(T) is the angle between Ao (T) and the X-axis direction, and φ(T) is the angle between A1 (T) and the Z-axis direction.
当三分量检波器记录到的地震纵波没有与其它波相干涉时,其引起的质点振动呈线性偏振,线性偏振是指振动矢量A(T)的方向保持不变,而它的大小是可以改变的,即质点在平衡位置附近以直线轨迹方式振动。在均匀各向同性介质中,地震横波在与地震纵波波前相切的平面上发生线性偏振。瑞雷面波是椭圆偏振,偏振平面是铅垂的,瑞雷面波的水平和垂直分量的振幅随深度有着不同的变化。与瑞雷面波不同,勒夫面波在垂直于波传播方向的水平面上呈线性偏振。随机噪声以偏振特征的不稳定性为其特点,继续参见图2,这意味着它在三分量检波器的不同分量间的相位差是随机的,在较短采集时间范围内不同分量可以同相并且记录形状是相似的,但在较大采集时间范围内,同一个随机噪声在三分量检波器不同分量的传感器记录的地震数据的互相关参数近似为零。When the seismic longitudinal wave recorded by the three-component geophone does not interfere with other waves, the particle vibration caused by it is linearly polarized. Linear polarization means that the direction of the vibration vector A(T) remains unchanged, but its magnitude can be changed. , that is, the particle vibrates in a straight-line trajectory near the equilibrium position. In a homogeneous isotropic medium, the seismic shear wave is linearly polarized on the plane tangent to the seismic longitudinal wave front. The Rayleigh surface wave is elliptically polarized, the polarization plane is vertical, and the amplitudes of the horizontal and vertical components of the Rayleigh surface wave vary with depth. Unlike Rayleigh surface waves, Love surface waves are linearly polarized in the horizontal plane perpendicular to the direction of wave propagation. Random noise is characterized by instability in the polarization signature, continuing to see Figure 2, which means that its phase difference between the different components of a three-component detector is random, and the different components can be in phase and The record shapes are similar, but the cross-correlation parameters of seismic data recorded by sensors of different components of a three-component geophone are approximately zero for the same random noise over a larger acquisition time range.
为了提高三分量地震数据的处理解释效率与精度,定义三分量检波器所在位置处质点振动在XOY水平面内的投影为最佳接收分量,也即最大振动幅度,该处接收到的地震信号最强。In order to improve the processing and interpretation efficiency and accuracy of three-component seismic data, the projection of the particle vibration on the XOY horizontal plane at the location of the three-component geophone is defined as the best receiving component, that is, the maximum vibration amplitude, where the received seismic signal is the strongest .
接下来将对本申请的方案进行详细介绍:Next, the scheme of this application will be introduced in detail:
本申请实施例提供了一种地震勘探信息的获取方法,由计算机设备执行,参见图6,该方法包括:An embodiment of the present application provides a method for acquiring seismic prospecting information, which is executed by a computer device. Referring to FIG. 6, the method includes:
步骤601:计算机设备获取目标工区内多个检波器采集的多个地震数据。Step 601: The computer equipment acquires multiple seismic data collected by multiple geophones in the target work area.
对于每个检波器,该地震数据为该检波器在预设采集时间范围内采集的,且该地震数据包括第一水平分量的第一地震数据、第二水平分量的第二地震数据和第一垂直分量的第三地震数据,第一水平分量、第二水平分量和第一垂直分量两两垂直。For each geophone, the seismic data is collected by the geophone within the preset acquisition time range, and the seismic data includes the first seismic data of the first horizontal component, the second seismic data of the second horizontal component and the first For the third seismic data of the vertical component, the first horizontal component, the second horizontal component and the first vertical component are perpendicular to each other.
参见图7和图8,图7为理论合成的X水平分量的第一地震数据,图8为理论合成的Y水平分量的第二地震数据。Referring to Fig. 7 and Fig. 8, Fig. 7 is the theoretically synthesized first seismic data of the X horizontal component, and Fig. 8 is the theoretically synthesized second seismic data of the Y horizontal component.
步骤602:对于每个检波器,计算机设备基于第一地震数据和第二地震数据,确定质点振动复杂参数、质点振动线性参数和目标采集时刻的互相关参数。Step 602: For each geophone, the computer equipment determines complex parameters of particle vibration, linear parameters of particle vibration and cross-correlation parameters at the target acquisition time based on the first seismic data and the second seismic data.
质点振动复杂参数用于反映质点振动的复杂程度,质点振动线性参数用于反映质点振动的线性程度,互相关参数用于反映第一地震数据和第二地震数据在目标采集时刻的互相关关系,该目标采集时刻为预设采集时间范围内的任一采集时刻。The particle vibration complex parameter is used to reflect the complexity of the particle vibration, the particle vibration linear parameter is used to reflect the linear degree of the particle vibration, and the cross-correlation parameter is used to reflect the cross-correlation relationship between the first seismic data and the second seismic data at the target acquisition time, The target collection time is any collection time within the preset collection time range.
步骤602可以通过以下步骤(1)至(2)实现,包括:Step 602 may be implemented through the following steps (1) to (2), including:
(1)计算机设备基于第一地震数据和第二地震数据,确定该目标采集时刻的互相关参数。(1) The computer device determines the cross-correlation parameters at the target acquisition time based on the first seismic data and the second seismic data.
步骤(1)可以通过以下步骤(1-1)至(1-4)实现,包括:Step (1) can be achieved through the following steps (1-1) to (1-4), including:
(1-1)计算机设备基于第一地震数据和第二地震数据,确定炮点激发的地震波的频率分布范围。(1-1) The computer device determines the frequency distribution range of the seismic waves excited by the shot point based on the first seismic data and the second seismic data.
炮点激发的地震波中有地震纵波,也有地震横波,计算机设备从第一地震数据和第二地震数据中获取地震纵波和地震横波的频率分布范围。The seismic waves excited by the shot point include seismic longitudinal waves and seismic shear waves, and the computer equipment obtains the frequency distribution ranges of the seismic longitudinal waves and the seismic shear waves from the first seismic data and the second seismic data.
(1-2)计算机设备基于该频率分布范围,确定时窗参数。(1-2) The computer device determines time window parameters based on the frequency distribution range.
该时窗参数用于反映确定目标采集时刻的互相关参数时对应的时窗宽度。计算机设备可以基于地震纵波的频率分布范围,确定时窗参数,也可以基于地震横波的频率分布范围,确定时窗参数。或者,该时窗参数还可以为时窗宽度的一半,也即半时窗。The time window parameter is used to reflect the corresponding time window width when determining the cross-correlation parameter at the target collection moment. The computer equipment can determine the time window parameter based on the frequency distribution range of the seismic longitudinal wave, and can also determine the time window parameter based on the frequency distribution range of the seismic shear wave. Alternatively, the time window parameter may also be half the width of the time window, that is, a half time window.
在此仅以计算机设备基于地震横波的频率分布范围,确定时窗参数为例进行说明,计算机设备基于地震横波的频率分布范围,确定地震横波的主频率,将该主频率的倒数作为时窗参数。其中,地震横波的主频率是指地震横波能量最强的频率。例如,地震横波的主频率为10Hz,则时窗参数为0.1。计算机设备还可以通过其他方法确定时窗参数,对此不作具体限定。Here, the computer equipment determines the time window parameter based on the frequency distribution range of the seismic shear wave as an example. The computer equipment determines the main frequency of the seismic shear wave based on the frequency distribution range of the seismic shear wave, and uses the reciprocal of the main frequency as the time window parameter. . Among them, the main frequency of the seismic shear wave refers to the frequency with the strongest energy of the seismic shear wave. For example, if the main frequency of the seismic shear wave is 10Hz, the time window parameter is 0.1. The computer device may also determine the time window parameter through other methods, which are not specifically limited.
(1-3)计算机设备基于该时窗参数和该目标采集时刻,确定积分时间范围。(1-3) The computer device determines the integration time range based on the time window parameter and the target collection time.
计算机设备将该时窗参数与该目标采集时刻的和值作为积分时间范围的上限值,将该时窗参数与该目标采集时刻的差值作为积分时间范围的下限值,得到积分时间范围。The computer equipment takes the sum of the time window parameter and the target collection time as the upper limit of the integration time range, and takes the difference between the time window parameter and the target collection time as the lower limit of the integration time range to obtain the integration time range .
(1-4)计算机设备基于该积分时间范围、第一地震数据和第二地震数据,确定该目标采集时刻的互相关参数。(1-4) The computer device determines the cross-correlation parameters at the target acquisition time based on the integration time range, the first seismic data and the second seismic data.
步骤(1-4)可以通过以下步骤(1-4-1)至(1-4-5)实现,包括:Step (1-4) can be realized through the following steps (1-4-1) to (1-4-5), including:
(1-4-1)计算机设备确定第一地震数据在该积分时间范围内能量的平方根,得到第一振幅。(1-4-1) The computer device determines the square root of the energy of the first seismic data within the integration time range to obtain the first amplitude.
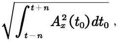
第一振幅可以通过以下公式表示:其中,t0表示从t-n至t+n的积分时间范围内的任一积分时刻,t表示该目标采集时刻,n表示时窗参数,Ax(t0)表示t0时刻的第一地震数据,x表示第一水平分量,表示第一地震数据在该积分时间范围内的能量。The first amplitude can be expressed by the following formula: Among them, t0 represents any integration time within the integration time range from tn to t+n, t represents the target acquisition time, n represents the time window parameter, and Ax (t0 ) represents the first seismic data at time t0 , x represents the first horizontal component, Indicates the energy of the first seismic data within the integration time range.
(1-4-2)计算机设备确定第二地震数据在该积分时间范围内能量的平方根,得到第二振幅。(1-4-2) The computer device determines the square root of the energy of the second seismic data within the integration time range to obtain the second amplitude.
第二振幅可以通过以下公式表示:其中,Ay(t0)表示t0积分时刻的第二地震数据,y表示第二水平分量,表示第二地震数据在该积分时间范围内的能量。The second amplitude can be expressed by the following formula: Among them, Ay (t0 ) represents the second seismic data at the integration time t0 , y represents the second horizontal component, Indicates the energy of the second seismic data within the integration time range.
(1-4-3)计算机设备确定第一振幅和第二振幅的乘积,得到第三振幅。(1-4-3) The computer device determines the product of the first amplitude and the second amplitude to obtain a third amplitude.
第三振幅可以用以下公式表示:The third amplitude can be expressed by the following formula:
(1-4-4)计算机设备确定第一地震数据和第二地震数据在该积分时间范围内的乘积,得到第一振动矢量。(1-4-4) The computer device determines the product of the first seismic data and the second seismic data within the integration time range to obtain the first vibration vector.
第一振动矢量包括振幅和振动方向,第一振动矢量可以通过以下公式表示:The first vibration vector includes amplitude and vibration direction, and the first vibration vector can be expressed by the following formula:
(1-4-5)计算机设备确定第一振动矢量与第三振幅的比值的绝对值,得到该目标采集时刻的互相关参数。(1-4-5) The computer device determines the absolute value of the ratio of the first vibration vector to the third amplitude, and obtains the cross-correlation parameter at the acquisition time of the target.
互相关参数可以通过以下公式表示:The cross-correlation parameter can be expressed by the following formula:
其中,c(t)表示t采集时刻的互相关参数。 Among them, c(t) represents the cross-correlation parameter at the acquisition time t.
(2)计算机设备基于第一地震数据和第二地震数据,确定质点振动复杂参数和质点振动线性参数。(2) The computer equipment determines complex parameters of particle vibration and linear parameters of particle vibration based on the first seismic data and the second seismic data.
质点振动复杂参数和质点振动线性参数均为常数,计算机设备可以基于第一地震数据和第二地震数据所反映的质点线性振动情况,来确定质点振动复杂参数和质点振动线性参数,质点线性振动越明显,越突出,质点振动复杂参数越小,质点振动线性参数越小。Both the complex parameters of particle vibration and the linear parameters of particle vibration are constant, and the computer equipment can determine the complex parameters of particle vibration and the linear parameters of particle vibration based on the particle linear vibration reflected by the first seismic data and the second seismic data. Obviously, the more prominent, the smaller the complex parameter of particle vibration, and the smaller the linear parameter of particle vibration.
质点振动复杂参数用于控制偏振参数的形态,质点振动复杂参数可以表示为d0,d0∈[1,10000],多数情况下,d0可取值为10。质点振动线性参数作为控制对具有线性偏振特征地震波增强或压制的门槛值,质点振动线性参数可以表示为c0,c0∈[0,1]。The particle vibration complex parameters are used to control the shape of the polarization parameters. The particle vibration complex parameters can be expressed as d0 , d0 ∈[1,10000], and in most cases, the value of d0 can be 10. The linear parameter of particle vibration is used as the threshold value to control the enhancement or suppression of seismic waves with linear polarization characteristics. The linear parameter of particle vibration can be expressed as c0 , c0 ∈[0,1].
步骤603:计算机设备基于质点振动复杂参数、质点振动线性参数和该目标采集时刻的互相关参数,确定该目标采集时刻的偏振参数。Step 603: The computer device determines the polarization parameter at the target acquisition time based on the particle vibration complex parameter, the particle vibration linear parameter and the cross-correlation parameter at the target acquisition time.
步骤603可以通过以下步骤(1)至(4)实现,包括:Step 603 can be realized through the following steps (1) to (4), including:
(1)计算机设备确定目标采集时刻的互相关参数和质点振动线性参数的差值,得到第一差值。(1) The computer equipment determines the difference between the cross-correlation parameter and the particle vibration linear parameter at the target collection time, and obtains the first difference.
第一差值可以通过以下公式表示:c(t)-c0,其中,c(t)表示t采集时刻的互相关参数,c0表示质点振动线性参数。The first difference can be expressed by the following formula: c(t)-c0 , where c(t) represents the cross-correlation parameter at the acquisition time t, and c0 represents the linear parameter of particle vibration.
(2)计算机设备确定质点振动复杂参数和第一差值的乘积,得到第一乘积。(2) The computer device determines the product of the particle vibration complex parameter and the first difference to obtain the first product.
第一乘积可以通过以下公式表示:d0(c(t)-c0),其中,d0表示质点振动复杂参数。The first product can be expressed by the following formula: d0 (c(t)-c0 ), where d0 represents a complex parameter of particle vibration.
(3)计算机设备确定以自然常数为底数,以第一乘积的负数为指数的指数值。(3) The computer device determines the exponent value with the natural constant as the base and the negative number of the first product as the exponent.
该指数值可以通过以下公式表示:其中,e为自然常数,其值约等于2.71828。The index value can be expressed by the following formula: Among them, e is a natural constant whose value is approximately equal to 2.71828.
(4)计算机设备确定在该指数值的基础上增加1之后的倒数,将该倒数作为该目标采集时刻的偏振参数。(4) The computer device determines the reciprocal after adding 1 to the index value, and uses the reciprocal as the polarization parameter at the acquisition moment of the target.
该偏振参数用于反映质点振动的线性程度,可以通过以下公式表示:其中,γ(t)表示该目标采集时刻的偏振参数。The polarization parameter is used to reflect the linearity of particle vibration, which can be expressed by the following formula: Among them, γ(t) represents the polarization parameter at the acquisition moment of the target.
计算机设备得到该目标采集时刻的偏振参数后,确定该偏振参数与预设偏振参数的大小关系,在该偏振参数不小于预设偏振参数的情况下,执行步骤604,在该偏振参数小于预设偏振参数的情况下,执行步骤605。After the computer equipment obtains the polarization parameter at the acquisition time of the target, determine the magnitude relationship between the polarization parameter and the preset polarization parameter, and execute
其中,预设偏振参数可以根据需要进行设置并更改,在本申请实施例中,对此不作具体限定。例如,预设偏振参数为0.8或者0.9。Wherein, the preset polarization parameter may be set and changed as required, which is not specifically limited in this embodiment of the present application. For example, the preset polarization parameter is 0.8 or 0.9.
需要说明的一点是,γ(t)∈[0,1],当γ(t)=1时,可以重建Ax(t)和Ay(t)。考虑到石油天然气勘探利用地震纵波和地震横波的信息来探测地下地层,二者都具有线性偏振的特点,因此,γ(t)是以Ax(t)和Ay(t)的互相关函数的绝对值为自变量的激活函数。It should be noted that γ(t)∈[0, 1], when γ(t)=1, Ax (t) and Ay (t) can be reconstructed. Considering that oil and gas exploration uses the information of seismic longitudinal wave and seismic shear wave to detect underground formations, both of which have the characteristics of linear polarization, therefore, γ(t) is the cross-correlation function of Ax (t) and Ay (t) The absolute value of is the activation function of the independent variable.
步骤604:在该目标采集时刻的偏振参数不小于预设偏振参数的情况下,计算机设备基于第一地震数据和第二地震数据,确定该目标采集时刻的偏振角度。Step 604: In the case that the polarization parameter at the target acquisition time is not less than the preset polarization parameter, the computer device determines the polarization angle at the target acquisition time based on the first seismic data and the second seismic data.
在该目标采集时刻的偏振参数不小于预设偏振参数的情况下,说明质点振动特征是典型的线性偏振,计算机设备确定该目标采集时刻的第二地震数据和该目标采集时刻的第一地震数据的比值,得到第一比值,确定该第一比值的反正切值,得到该目标采集时刻的偏振角度。In the case that the polarization parameter at the target acquisition time is not less than the preset polarization parameter, it indicates that the particle vibration characteristic is a typical linear polarization, and the computer equipment determines the second seismic data at the target acquisition time and the first seismic data at the target acquisition time The first ratio is obtained, and the arctangent value of the first ratio is determined to obtain the polarization angle at the acquisition moment of the target.
在该目标采集时刻的偏振参数不小于预设偏振参数的情况下,该偏振角度可以通过以下公式表示:其中,ω(t)表示t采集时刻的偏振角度,arctan(.)表示反正切函数,Ay(t)表示t采集时刻的第二地震数据,Ax(t)表示t采集时刻的第一地震数据。In the case where the polarization parameter at the acquisition moment of the target is not less than the preset polarization parameter, the polarization angle can be expressed by the following formula: Among them, ω(t) represents the polarization angle at the acquisition time t, arctan(.) represents the arc tangent function, Ay (t) represents the second seismic data at the acquisition time t, and Ax (t) represents the first seismic data at the acquisition time t. earthquake data.
步骤605:在该目标采集时刻的偏振参数小于预设偏振参数的情况下,计算机设备基于第一地震数据、第二地震数据和积分时间范围,确定该目标采集时刻的偏振角度。Step 605: If the polarization parameter at the target acquisition time is smaller than the preset polarization parameter, the computer device determines the polarization angle at the target acquisition time based on the first seismic data, the second seismic data and the integration time range.
该积分时间范围为步骤602中确定互相关参数时得到的,偏振参数小于预设偏振参数时,说明质点振动可能是两种或更多类型的线性偏振的地震波的叠加引发,或者是由椭圆偏振的瑞雷面波或随机噪声等引发,需要通过扫描分析的方法确定偏振角度。相应的,步骤605通过以下步骤(1)至(6)实现,包括:The integration time range is obtained when the cross-correlation parameter is determined in
(1)计算机设备确定第一地震数据和第二地震数据在积分时间范围内能量和的平方根,得到第四振幅。(1) The computer device determines the square root of the energy sum of the first seismic data and the second seismic data within the integration time range to obtain the fourth amplitude.
第四振幅可以通过以下公式表示:The fourth amplitude can be expressed by the following formula:
(2)对于预设偏振角度范围中的任一预设偏振角度,计算机设备确定目标积分时刻的第一地震数据与该预设偏振角度余弦值的乘积,得到第五地震数据。(2) For any preset polarization angle in the preset polarization angle range, the computer device determines the product of the first seismic data at the target integration time and the cosine value of the preset polarization angle to obtain fifth seismic data.
目标积分时刻为积分时间范围内的任一积分时刻,预设偏振角度范围为也即The target integration moment is any integration moment within the integration time range, and the preset polarization angle range is that is
第五地震数据可以通过以下公式表示:Ax(t0)cosω(β),其中,t0表示目标积分时刻,cosω(β)表示预设偏振角度余弦值,β表示预设偏振角度,ω表示偏振角度,cosω(β)表示ω为β时的余弦值。The fifth seismic data can be expressed by the following formula: Ax (t0 )cosω(β), where t0 represents the target integration time, cosω(β) represents the cosine value of the preset polarization angle, β represents the preset polarization angle, and ω Indicates the polarization angle, and cosω(β) indicates the cosine value when ω is β.
(3)计算机设备确定目标积分时刻的第二地震数据与该预设偏振角度正弦值的乘积,得到第六地震数据。(3) The computer device determines the product of the second seismic data at the target integration time and the sine value of the preset polarization angle to obtain the sixth seismic data.
第六地震数据可以通过以下公式表示:Ay(t0)sinω(β),其中,sinω(β)表示ω为β时的正弦值。The sixth seismic data can be expressed by the following formula: Ay (t0 ) sinω(β), wherein, sinω(β) represents the sinusoidal value when ω is β.
(4)计算机设备确定在积分时间范围内第五地震数据和第六地震数据的和值,得到第五振幅。(4) The computer device determines the sum of the fifth seismic data and the sixth seismic data within the integration time range to obtain the fifth amplitude.
第五振幅可以通过以下公式表示:The fifth amplitude can be expressed by the following formula:
(5)计算机设备确定第四振幅和第五振幅的差值,得到该预设偏振角度对应的第六振幅。(5) The computer device determines the difference between the fourth amplitude and the fifth amplitude to obtain a sixth amplitude corresponding to the preset polarization angle.
第六振幅可以通过以下公式表示:The sixth amplitude can be expressed by the following formula:
(6)计算机设备将最小的第六振幅对应的预设偏振角度作为该目标采集时刻的偏振角度。(6) The computer device takes the preset polarization angle corresponding to the sixth smallest amplitude as the polarization angle at the acquisition moment of the target.
计算机设备通过上述步骤(1)至(5)可以确定在预设偏振角度范围内的每个预设偏振角度对应的第六振幅,计算机设备将最小的第六振幅对应的预设偏振角度作为该目标采集时刻的偏振角度。The computer device can determine the sixth amplitude corresponding to each preset polarization angle within the preset polarization angle range through the above steps (1) to (5), and the computer device uses the preset polarization angle corresponding to the smallest sixth amplitude as the The polarization angle at the target acquisition moment.
该目标采集时刻的偏振角度可以表示为:The polarization angle at the acquisition moment of the target can be expressed as:
参见图9,图9是基于目标采集时刻的偏振角度和偏振参数将图7中的第一地震数据和图8中的第二地震数据合成第三地震数据的示意图,图9不同颜色表示不同的偏振角度。Referring to Fig. 9, Fig. 9 is a schematic diagram of synthesizing the first seismic data in Fig. 7 and the second seismic data in Fig. 8 into third seismic data based on the polarization angle and polarization parameters at the target acquisition time, and different colors in Fig. 9 represent different polarization angle.
步骤606:计算机设备基于第一地震数据、第二地震数据、该目标采集时刻的偏振参数和偏振角度,确定第四地震数据。Step 606: The computer equipment determines fourth seismic data based on the first seismic data, the second seismic data, the polarization parameter and the polarization angle at the acquisition time of the target.
第四地震数据为该目标采集时刻下该偏振角度对应的地震数据,相应的,步骤606可以通过以下步骤(1)至(3)实现,包括:The fourth seismic data is the seismic data corresponding to the polarization angle at the target acquisition moment. Correspondingly, step 606 can be realized through the following steps (1) to (3), including:
(1)计算机设备确定该目标采集时刻的第一地震数据和该目标采集时刻的偏振角度余弦值的乘积,得到第七地震数据。(1) The computer equipment determines the product of the first seismic data at the acquisition time of the target and the cosine value of the polarization angle at the acquisition time of the target to obtain the seventh seismic data.
第一地震数据为预设采集时间范围内对应的数据,计算机设备获取该目标采集时刻的第一地震数据。The first seismic data is corresponding data within a preset acquisition time range, and the computer equipment acquires the first seismic data at the target acquisition time.
第七地震数据可以通过以下公式表示:Ax(t)cosω(t),其中,cosω(t)为t采集时刻的偏振角度余弦值。The seventh seismic data can be expressed by the following formula: Ax (t)cosω(t), where cosω(t) is the cosine value of the polarization angle at the acquisition time t.
(2)计算机设备确定该目标采集时刻的第二地震数据和该目标采集时刻的偏振角度正弦值的乘积,得到第八地震数据。(2) The computer equipment determines the product of the second seismic data at the target acquisition time and the sine value of the polarization angle at the target acquisition time to obtain the eighth seismic data.
第二地震数据为预设采集时间范围内对应的数据,计算机设备获取该目标采集时刻的第二地震数据。The second seismic data is data corresponding to the preset acquisition time range, and the computer equipment acquires the second seismic data at the target acquisition time.
第八地震数据可以通过以下公式表示:Ay(t)sinω(t),其中,sinω(t)为t采集时刻的偏振角度正弦值。The eighth seismic data can be expressed by the following formula: Ay (t) sinω(t), where sinω(t) is the sine value of the polarization angle at the acquisition time t.
(3)计算机设备确定第七地震数据和第八地震数据的和值与该目标采集时刻的偏振参数的乘积,得到第四地震数据。(3) The computer equipment determines the product of the sum of the seventh seismic data and the eighth seismic data and the polarization parameter at the acquisition time of the target to obtain the fourth seismic data.
第四地震数据可以通过以下公式表示:The fourth seismic data can be expressed by the following formula:
Ao(t)=γ(t)(Ax(t)cosω(t)+Ay(t)sinω(t)),其中,Ao(t)为t采集时刻下ω偏振角度对应的第四地震数据,γ(t)为t采集时刻的偏振参数。Ao (t)=γ(t)(Ax (t)cosω(t)+Ay (t)sinω(t)), where Ao (t) is the first polarization angle corresponding to ω polarization angle at acquisition time t Four seismic data, γ(t) is the polarization parameter at acquisition time t.
需要说明的一点是,本申请实施例提供的方法主要应用于多波多分量的地震数据的处理解释,可以缩短多波多分量地震数据处理解释工作的生产周期,并提高处理解释结果的精度。该方法通过对三分量地震数据进行分析,确定三分量检波器处质点振动的偏振角度,并合成最佳接收分量,以提高三分量地震数据的处理解释效率与精度。相较于相关技术中的方法,该方法充分考虑了地下地震波传播的复杂性,能够提高对复杂地层复杂介质的检测效率与精度,降低石油天然气勘探开发的风险。It should be noted that the method provided in the embodiment of the present application is mainly applied to the processing and interpretation of multi-wavelength and multi-component seismic data, which can shorten the production cycle of multi-wavelength and multi-component seismic data processing and interpretation work, and improve the accuracy of processing and interpretation results. By analyzing the three-component seismic data, the method determines the polarization angle of the particle vibration at the three-component geophone, and synthesizes the best receiving component to improve the processing and interpretation efficiency and accuracy of the three-component seismic data. Compared with the methods in related technologies, this method fully considers the complexity of underground seismic wave propagation, can improve the detection efficiency and accuracy of complex media in complex strata, and reduce the risk of oil and gas exploration and development.
参见图10,图10为将图7中的第一地震数据和图8中的第二地震数据合成得到的第三地震数据的示意图,相较于图7中的第一地震数据和图8中的第二地震数据,图10中的第三地震数据更加全面完整,且第三地震数据能够更加真实全面地反映地震波引发的质点振动情况。Referring to Fig. 10, Fig. 10 is a schematic diagram of the third seismic data obtained by synthesizing the first seismic data in Fig. 7 and the second seismic data in Fig. 8, compared with the first seismic data in Fig. 7 and the The second seismic data and the third seismic data in Fig. 10 are more comprehensive and complete, and the third seismic data can more truly and comprehensively reflect the particle vibration caused by seismic waves.
参见图11,图11为不同采集时刻下不同偏振角度对应的第三地震数据,图11可以直观地表达质点振动在XOY平面的投影也即第三地震数据以及偏振角度。参见图12,图12为由实际采集的三分量地震数据确定的偏振角度,不同的颜色表示不同的偏振角度。参见图13,图13为由实际采集的三分量地震数据确定的第三地震数据,从图12和图13中可以看出,不同类型的地震波具有各不相同的偏振角度。Referring to Fig. 11, Fig. 11 shows the third seismic data corresponding to different polarization angles at different acquisition times. Fig. 11 can intuitively express the projection of particle vibration on the XOY plane, that is, the third seismic data and polarization angle. Referring to Fig. 12, Fig. 12 shows the polarization angles determined from the actually collected three-component seismic data, and different colors represent different polarization angles. Referring to Fig. 13, Fig. 13 is the third seismic data determined from the actually collected three-component seismic data. It can be seen from Fig. 12 and Fig. 13 that different types of seismic waves have different polarization angles.
步骤607:计算机设备基于每个检波器对应的第三地震数据和每个采集时刻的第四地震数据,获取地震勘探信息。Step 607: The computer equipment acquires seismic survey information based on the third seismic data corresponding to each geophone and the fourth seismic data at each acquisition time.
该第三地震数据为第一垂直分量的地震数据,计算机设备基于每个检波器对应的每个采集时刻的第三地震数据和每个采集时刻的第四地震数据,获取地震勘探信息。其中,对于每个检波器对应的每个采集时刻,计算机设备可以基于该采集时刻的第四地震数据,确定质点的振动轨迹,以及该采集时刻的第三地震数据,确定质点在第一垂直分量上的振动轨迹,根据在偏振角度上的振动轨迹和第一垂直分量上的振动轨迹,获取地震勘探信息。The third seismic data is the seismic data of the first vertical component, and the computer equipment acquires seismic exploration information based on the third seismic data at each acquisition time corresponding to each geophone and the fourth seismic data at each acquisition time. Wherein, for each acquisition time corresponding to each geophone, the computer device can determine the vibration trajectory of the particle based on the fourth seismic data at the acquisition time, and determine the vibration trajectory of the particle at the first vertical component based on the third seismic data at the acquisition time. According to the vibration trajectory on the polarization angle and the vibration trajectory on the first vertical component, seismic exploration information is obtained.
在本申请实施例中,计算机设备获取每个检波器在每个采集时刻的第四地震数据后,可以对应存储每个采集时刻的第四地震数据和每个采集时刻的偏振角度,以指导后续处理。In the embodiment of the present application, after the computer equipment acquires the fourth seismic data of each geophone at each acquisition time, it can store the fourth seismic data at each acquisition time and the polarization angle at each acquisition time correspondingly, so as to guide the subsequent deal with.
本申请实施例提供了一种地震勘探信息获取方法,由于地下构造形态与岩性的复杂性,因此,质点在不同采集时刻的振动情况是复杂多变的,而该方法先确定预设采集时间范围内的每个采集时刻对应的偏振角度和偏振参数,根据每个采集时刻对应的偏振角度和偏振参数来确定出质点在每个采集时刻的振动情况,这样可以反映出质点在地下的真实振动情况,因此,根据质点在每个采集时刻的振动情况可以准确获取地震勘探信息,从而提高获取的地震勘探信息的准确性。The embodiment of the present application provides a method for acquiring seismic exploration information. Due to the complexity of the underground structure and lithology, the vibration of the particles at different acquisition times is complex and changeable. The method first determines the preset acquisition time The polarization angle and polarization parameters corresponding to each acquisition moment within the range, and the vibration of the particle at each acquisition moment can be determined according to the polarization angle and polarization parameters corresponding to each acquisition moment, which can reflect the real vibration of the particle in the ground Therefore, the seismic exploration information can be accurately obtained according to the vibration of the particle at each acquisition moment, thereby improving the accuracy of the acquired seismic exploration information.
本申请实施例提供了一种地震勘探信息的获取装置,参见图14,该装置包括:The embodiment of the present application provides a device for acquiring seismic prospecting information, see Figure 14, the device includes:
第一获取模块1401,用于获取目标工区内多个检波器采集的多个地震数据,地震数据为检波器在预设采集时间范围内采集的,且地震数据包括第一水平分量的第一地震数据、第二水平分量的第二地震数据和第一垂直分量的第三地震数据,第一水平分量、第二水平分量和第一垂直分量两两垂直;The first acquiring
第一确定模块1402,用于对于每个检波器,基于第一地震数据和第二地震数据,确定质点振动复杂参数、质点振动线性参数和目标采集时刻的互相关参数,质点振动复杂参数用于反映质点振动的复杂程度,质点振动线性参数用于反映质点振动的线性程度,互相关参数用于反映第一地震数据和第二地震数据在目标采集时刻的互相关关系,目标采集时刻为预设采集时间范围内的任一采集时刻;The
第二确定模块1403,用于基于质点振动复杂参数、质点振动线性参数和目标采集时刻的互相关参数,确定目标采集时刻的偏振参数和目标采集时刻的偏振角度;The
第三确定模块1404,用于基于第一地震数据、第二地震数据、目标采集时刻的偏振参数和偏振角度,确定第四地震数据,第四地震数据为在目标采集时刻下偏振角度对应的地震数据;The
第二获取模块1405,用于基于每个检波器对应的第三地震数据和每个采集时刻的第四地震数据,获取地震勘探信息。The second acquiring
在一种可能的实现方式中,第一确定模块1402,用于基于第一地震数据和第二地震数据,确定炮点激发的地震波的频率分布范围;基于频率分布范围,确定时窗参数,时窗参数用于反映确定目标采集时刻的互相关参数时对应的时窗宽度;基于时窗参数和目标采集时刻,确定积分时间范围;基于积分时间范围、第一地震数据和第二地震数据,确定目标采集时刻的互相关参数。In a possible implementation, the
在另一种可能的实现方式中,第一确定模块1402,用于确定第一地震数据在积分时间范围内能量的平方根,得到第一振幅;确定第二地震数据在积分时间范围内能量的平方根,得到第二振幅;确定第一振幅和第二振幅的乘积,得到第三振幅;确定第一地震数据和第二地震数据在积分时间范围内的乘积,得到第一振动矢量,第一振动矢量包括振幅和振动方向;确定第一振动矢量与第三振幅的比值的绝对值,得到目标采集时刻的互相关参数。In another possible implementation, the
在另一种可能的实现方式中,第二确定模块1403,用于基于质点振动复杂参数、质点振动线性参数和目标采集时刻的互相关参数,确定目标采集时刻的偏振参数,偏振参数用于反映质点振动的线性程度;在偏振参数不小于预设偏振参数的情况下,基于第一地震数据和第二地震数据,确定目标采集时刻的偏振角度;在偏振参数小于预设偏振参数的情况下,基于第一地震数据、第二地震数据和积分时间范围,确定目标采集时刻的偏振角度,积分时间范围为确定互相关参数时得到的。In another possible implementation, the second determining
在另一种可能的实现方式中,第二确定模块1403,用于确定目标采集时刻的第二地震数据和目标采集时刻的第一地震数据的比值,得到第一比值;确定第一比值的反正切值,得到目标采集时刻的偏振角度。In another possible implementation, the
在另一种可能的实现方式中,第二确定模块1403,用于确定第一地震数据和第二地震数据在积分时间范围内能量和的平方根,得到第四振幅;对于预设偏振角度范围中的每个预设偏振角度,确定目标积分时刻的第一地震数据与预设偏振角度余弦值的乘积,得到第五地震数据,目标积分时刻为积分时间范围内的任一积分时刻;确定目标积分时刻的第二地震数据与预设偏振角度正弦值的乘积,得到第六地震数据;确定第五地震数据和第六地震数据在积分时间范围内的和值,得到第五振幅;确定第四振幅和第五振幅的差值,得到预设偏振角度对应的第六振幅;将最小的第六振幅对应的预设偏振角度作为目标采集时刻的偏振角度。In another possible implementation, the
在另一种可能的实现方式中,第二确定模块1403,用于确定目标采集时刻的互相关参数和质点振动线性参数的差值,得到第一差值;确定质点振动复杂参数和第一差值的乘积,得到第一乘积;确定以自然常数为底数,以第一乘积的负数为指数的指数值;确定在指数值的基础上增加1之后的倒数,将倒数作为偏振参数。In another possible implementation, the
在另一种可能的实现方式中,第三确定模块1404,用于确定目标采集时刻的第一地震数据和目标采集时刻的偏振角度余弦值的乘积,得到第七地震数据;确定目标采集时刻的第二地震数据和目标采集时刻的偏振角度正弦值的乘积,得到第八地震数据;确定第七地震数据和第八地震数据的和值与目标采集时刻的偏振参数的乘积,得到目标采集时刻下偏振角度对应的第三地震数据。In another possible implementation, the third determining
本申请实施例提供了一种地震勘探信息获取装置,由于地下构造形态与岩性的复杂性,因此,质点在不同采集时刻的振动情况是复杂多变的,而该装置先确定预设采集时间范围内的每个采集时刻对应的偏振角度和偏振参数,根据每个采集时刻对应的偏振角度和偏振参数来确定出质点在每个采集时刻的振动情况,这样可以反映出质点在地下的真实振动情况,因此,根据质点在每个采集时刻的振动情况可以准确获取地震勘探信息,从而提高获取的地震勘探信息的准确性。The embodiment of the present application provides a seismic exploration information acquisition device. Due to the complexity of the underground structure and lithology, the vibration of the particle at different acquisition times is complex and changeable, and the device first determines the preset acquisition time The polarization angle and polarization parameters corresponding to each acquisition moment within the range, and the vibration of the particle at each acquisition moment can be determined according to the polarization angle and polarization parameters corresponding to each acquisition moment, which can reflect the real vibration of the particle in the ground Therefore, the seismic exploration information can be accurately obtained according to the vibration of the particle at each acquisition moment, thereby improving the accuracy of the acquired seismic exploration information.
图15示出了本申请一个示例性实施例提供的计算机设备1500的结构框图。该计算机设备1500可以是便携式移动计算机设备,比如:智能手机、平板电脑、MP3播放器(MovingPicture Experts Group Audio Layer III,动态影像专家压缩标准音频层面3)、MP4(Moving Picture Experts Group Audio Layer IV,动态影像专家压缩标准音频层面4)播放器、笔记本电脑或台式电脑。计算机设备1500还可能被称为用户设备、便携式计算机设备、膝上型计算机设备、台式计算机设备等其他名称。Fig. 15 shows a structural block diagram of a
通常,计算机设备1500包括有:处理器1501和存储器1502。Generally, the
处理器1501可以包括一个或多个处理核心,比如4核心处理器、8核心处理器等。处理器1501可以采用DSP(Digital Signal Processing,数字信号处理)、FPGA(Field-Programmable Gate Array,现场可编程门阵列)、PLA(Programmable Logic Array,可编程逻辑阵列)中的至少一种硬件形式来实现。处理器1501也可以包括主处理器和协处理器,主处理器是用于对在唤醒状态下的数据进行处理的处理器,也称CPU(Central ProcessingUnit,中央处理器);协处理器是用于对在待机状态下的数据进行处理的低功耗处理器。在一些实施例中,处理器1501可以集成有GPU(Graphics Processing Unit,图像处理器),GPU用于负责显示屏所需要显示的内容的渲染和绘制。一些实施例中,处理器1501还可以包括AI(Artificial Intelligence,人工智能)处理器,该AI处理器用于处理有关机器学习的计算操作。The
存储器1502可以包括一个或多个计算机可读存储介质,该计算机可读存储介质可以是非暂态的。存储器1502还可包括高速随机存取存储器,以及非易失性存储器,比如一个或多个磁盘存储设备、闪存存储设备。在一些实施例中,存储器1502中的非暂态的计算机可读存储介质用于存储至少一个指令,该至少一个指令用于被处理器1501所执行以实现本申请中方法实施例提供的地震勘探信息的获取方法。
在一些实施例中,计算机设备1500还可选包括有:外围设备接口1503和至少一个外围设备。处理器1501、存储器1502和外围设备接口1503之间可以通过总线或信号线相连。各个外围设备可以通过总线、信号线或电路板与外围设备接口1503相连。具体地,外围设备包括:射频电路1504、显示屏1505、摄像头组件1506、音频电路1507、定位组件1508和电源1509中的至少一种。In some embodiments, the
外围设备接口1503可被用于将I/O(Input/Output,输入/输出)相关的至少一个外围设备连接到处理器1501和存储器1502。在一些实施例中,处理器1501、存储器1502和外围设备接口1503被集成在同一芯片或电路板上;在一些其他实施例中,处理器1501、存储器1502和外围设备接口1503中的任意一个或两个可以在单独的芯片或电路板上实现,本实施例对此不加以限定。The
射频电路1504用于接收和发射RF(Radio Frequency,射频)信号,也称电磁信号。射频电路1504通过电磁信号与通信网络以及其他通信设备进行通信。射频电路1504将电信号转换为电磁信号进行发送,或者,将接收到的电磁信号转换为电信号。可选地,射频电路1504包括:天线系统、RF收发器、一个或多个放大器、调谐器、振荡器、数字信号处理器、编解码芯片组、用户身份模块卡等等。射频电路1504可以通过至少一种无线通信协议来与其它计算机设备进行通信。该无线通信协议包括但不限于:万维网、城域网、内联网、各代移动通信网络(2G、3G、4G及5G)、无线局域网和/或WiFi(Wireless Fidelity,无线保真)网络。在一些实施例中,射频电路1504还可以包括NFC(Near Field Communication,近距离无线通信)有关的电路,本申请对此不加以限定。The
显示屏1505用于显示UI(User Interface,用户界面)。该UI可以包括图形、文本、图标、视频及其它们的任意组合。当显示屏1505是触摸显示屏时,显示屏1505还具有采集在显示屏1505的表面或表面上方的触摸信号的能力。该触摸信号可以作为控制信号输入至处理器1501进行处理。此时,显示屏1505还可以用于提供虚拟按钮和/或虚拟键盘,也称软按钮和/或软键盘。在一些实施例中,显示屏1505可以为一个,设置在计算机设备1500的前面板;在另一些实施例中,显示屏1505可以为至少两个,分别设置在计算机设备1500的不同表面或呈折叠设计;在另一些实施例中,显示屏1505可以是柔性显示屏,设置在计算机设备1500的弯曲表面上或折叠面上。甚至,显示屏1505还可以设置成非矩形的不规则图形,也即异形屏。显示屏1505可以采用LCD(Liquid Crystal Display,液晶显示屏)、OLED(OrganicLight-Emitting Diode,有机发光二极管)等材质制备。The
摄像头组件1506用于采集图像或视频。可选地,摄像头组件1506包括前置摄像头和后置摄像头。通常,前置摄像头设置在计算机设备的前面板,后置摄像头设置在计算机设备的背面。在一些实施例中,后置摄像头为至少两个,分别为主摄像头、景深摄像头、广角摄像头、长焦摄像头中的任意一种,以实现主摄像头和景深摄像头融合实现背景虚化功能、主摄像头和广角摄像头融合实现全景拍摄以及VR(Virtual Reality,虚拟现实)拍摄功能或者其它融合拍摄功能。在一些实施例中,摄像头组件1506还可以包括闪光灯。闪光灯可以是单色温闪光灯,也可以是双色温闪光灯。双色温闪光灯是指暖光闪光灯和冷光闪光灯的组合,可以用于不同色温下的光线补偿。The
音频电路1507可以包括麦克风和扬声器。麦克风用于采集用户及环境的声波,并将声波转换为电信号输入至处理器1501进行处理,或者输入至射频电路1504以实现语音通信。出于立体声采集或降噪的目的,麦克风可以为多个,分别设置在计算机设备1500的不同部位。麦克风还可以是阵列麦克风或全向采集型麦克风。扬声器则用于将来自处理器1501或射频电路1504的电信号转换为声波。扬声器可以是传统的薄膜扬声器,也可以是压电陶瓷扬声器。当扬声器是压电陶瓷扬声器时,不仅可以将电信号转换为人类可听见的声波,也可以将电信号转换为人类听不见的声波以进行测距等用途。在一些实施例中,音频电路1507还可以包括耳机插孔。
定位组件1508用于定位计算机设备1500的当前地理位置,以实现导航或LBS(Location Based Service,基于位置的服务)。定位组件1508可以是基于美国的GPS(Global Positioning System,全球定位系统)、中国的北斗系统或俄罗斯的伽利略系统的定位组件。The
电源1509用于为计算机设备1500中的各个组件进行供电。电源1509可以是交流电、直流电、一次性电池或可充电电池。当电源1509包括可充电电池时,该可充电电池可以是有线充电电池或无线充电电池。有线充电电池是通过有线线路充电的电池,无线充电电池是通过无线线圈充电的电池。该可充电电池还可以用于支持快充技术。The
在一些实施例中,计算机设备1500还包括有一个或多个传感器1510。该一个或多个传感器1510包括但不限于:加速度传感器1511、陀螺仪传感器1512、压力传感器1513、指纹传感器1514、光学传感器1515以及接近传感器1516。In some embodiments,
加速度传感器1511可以检测以计算机设备1500建立的坐标系的三个坐标轴上的加速度大小。比如,加速度传感器1511可以用于检测重力加速度在三个坐标轴上的分量。处理器1501可以根据加速度传感器1511采集的重力加速度信号,控制显示屏1505以横向视图或纵向视图进行用户界面的显示。加速度传感器1511还可以用于游戏或者用户的运动数据的采集。The acceleration sensor 1511 can detect the acceleration on the three coordinate axes of the coordinate system established by the
陀螺仪传感器1512可以检测计算机设备1500的机体方向及转动角度,陀螺仪传感器1512可以与加速度传感器1511协同采集用户对计算机设备1500的3D动作。处理器1501根据陀螺仪传感器1512采集的数据,可以实现如下功能:动作感应(比如根据用户的倾斜操作来改变UI)、拍摄时的图像稳定、游戏控制以及惯性导航。The gyro sensor 1512 can detect the body direction and rotation angle of the
压力传感器1513可以设置在计算机设备1500的侧边框和/或显示屏1505的下层。当压力传感器1513设置在计算机设备1500的侧边框时,可以检测用户对计算机设备1500的握持信号,由处理器1501根据压力传感器1513采集的握持信号进行左右手识别或快捷操作。当压力传感器1513设置在显示屏1505的下层时,由处理器1501根据用户对显示屏1505的压力操作,实现对UI界面上的可操作性控件进行控制。可操作性控件包括按钮控件、滚动条控件、图标控件、菜单控件中的至少一种。The pressure sensor 1513 may be disposed on the side frame of the
指纹传感器1514用于采集用户的指纹,由处理器1501根据指纹传感器1514采集到的指纹识别用户的身份,或者,由指纹传感器1514根据采集到的指纹识别用户的身份。在识别出用户的身份为可信身份时,由处理器1501授权该用户执行相关的敏感操作,该敏感操作包括解锁屏幕、查看加密信息、下载软件、支付及更改设置等。指纹传感器1514可以被设置在计算机设备1500的正面、背面或侧面。当计算机设备1500上设置有物理按键或厂商Logo时,指纹传感器1514可以与物理按键或厂商Logo集成在一起。The fingerprint sensor 1514 is used to collect the user's fingerprint, and the
光学传感器1515用于采集环境光强度。在一个实施例中,处理器1501可以根据光学传感器1515采集的环境光强度,控制显示屏1505的显示亮度。具体地,当环境光强度较高时,调高显示屏1505的显示亮度;当环境光强度较低时,调低显示屏1505的显示亮度。在另一个实施例中,处理器1501还可以根据光学传感器1515采集的环境光强度,动态调整摄像头组件1506的拍摄参数。The optical sensor 1515 is used to collect ambient light intensity. In one embodiment, the
接近传感器1516,也称距离传感器,通常设置在计算机设备1500的前面板。接近传感器1516用于采集用户与计算机设备1500的正面之间的距离。在一个实施例中,当接近传感器1516检测到用户与计算机设备1500的正面之间的距离逐渐变小时,由处理器1501控制显示屏1505从亮屏状态切换为息屏状态;当接近传感器1516检测到用户与计算机设备1500的正面之间的距离逐渐变大时,由处理器1501控制显示屏1505从息屏状态切换为亮屏状态。A proximity sensor 1516 , also called a distance sensor, is usually disposed on the front panel of the
本领域技术人员可以理解,图15中示出的结构并不构成对计算机设备1500的限定,可以包括比图示更多或更少的组件,或者组合某些组件,或者采用不同的组件布置。Those skilled in the art can understand that the structure shown in FIG. 15 does not constitute a limitation to the
本申请实施例还提供了一种计算机可读存储介质,计算机可读存储介质中存储有至少一条程序代码,该至少一条程序代码由处理器加载并执行,以实现本申请实施例中地震勘探信息的获取方法中所执行的操作。The embodiment of the present application also provides a computer-readable storage medium, at least one program code is stored in the computer-readable storage medium, and the at least one program code is loaded and executed by a processor to realize the seismic exploration information in the embodiment of the present application. The operation performed in the get method of the .
本申请实施例还提供了一种计算机程序产品或计算机程序,计算机程序产品或计算机程序包括计算机程序代码,计算机程序代码存储在计算机可读存储介质中。计算机设备的处理器从计算机可读存储介质读取计算机程序代码,处理器执行计算机程序代码,使得计算机设备执行上述的地震勘探信息的获取方法所执行的操作。The embodiment of the present application also provides a computer program product or computer program, where the computer program product or computer program includes computer program code, and the computer program code is stored in a computer-readable storage medium. The processor of the computer device reads the computer program code from the computer-readable storage medium, and the processor executes the computer program code, so that the computer device performs the operations performed by the above-mentioned method for acquiring seismic exploration information.
在一些实施例中,本申请实施例所涉及的计算机程序可被部署在一个计算机设备上执行,或者在位于一个地点的多个计算机设备上执行,又或者,在分布在多个地点且通过通信网络互连的多个计算机设备上执行,分布在多个地点且通过通信网络互连的多个计算机设备可以组成区块链系统。In some embodiments, the computer programs involved in the embodiments of the present application can be deployed and executed on one computer device, or executed on multiple computer devices at one location, or distributed in multiple locations and communicated Executed on multiple computer devices interconnected by the network, multiple computer devices distributed in multiple locations and interconnected through a communication network can form a blockchain system.
以上所述仅是为了便于本领域的技术人员理解本申请的技术方案,并不用以限制本申请。凡在本申请的精神和原则之内,所作的任何修改、等同替换、改进等,均应包含在本申请的保护范围之内。The above description is only for those skilled in the art to understand the technical solutions of the present application, and is not intended to limit the present application. Any modifications, equivalent replacements, improvements, etc. made within the spirit and principles of this application shall be included within the protection scope of this application.
| Application Number | Priority Date | Filing Date | Title |
|---|---|---|---|
| CN202111032925.0ACN115755162B (en) | 2021-09-03 | 2021-09-03 | Method and device for acquiring seismic exploration information and computer equipment |
| Application Number | Priority Date | Filing Date | Title |
|---|---|---|---|
| CN202111032925.0ACN115755162B (en) | 2021-09-03 | 2021-09-03 | Method and device for acquiring seismic exploration information and computer equipment |
| Publication Number | Publication Date |
|---|---|
| CN115755162Atrue CN115755162A (en) | 2023-03-07 |
| CN115755162B CN115755162B (en) | 2025-07-08 |
| Application Number | Title | Priority Date | Filing Date |
|---|---|---|---|
| CN202111032925.0AActiveCN115755162B (en) | 2021-09-03 | 2021-09-03 | Method and device for acquiring seismic exploration information and computer equipment |
| Country | Link |
|---|---|
| CN (1) | CN115755162B (en) |
| Publication number | Priority date | Publication date | Assignee | Title |
|---|---|---|---|---|
| CN119024436A (en)* | 2023-05-26 | 2024-11-26 | 中国石油天然气集团有限公司 | Seismic data processing method, device, equipment and computer readable storage medium |
| Publication number | Priority date | Publication date | Assignee | Title |
|---|---|---|---|---|
| CN104237970A (en)* | 2014-09-23 | 2014-12-24 | 中国石油天然气集团公司 | Earthquake electromagnetism joint exploration system and data collecting devices and method thereof |
| CN104360384A (en)* | 2014-11-13 | 2015-02-18 | 中国石油天然气集团公司 | Microseism event positioning method and device based on automatic scanning of longitudinal and transverse wave energy |
| CN105785440A (en)* | 2016-02-29 | 2016-07-20 | 河南理工大学 | Dispersion curve extracting method for mine channel wave double-component seismic signal |
| CN111736219A (en)* | 2020-05-12 | 2020-10-02 | 中国石油天然气集团有限公司 | Method and device for processing multi-component seismic signals |
| US20210132245A1 (en)* | 2019-10-31 | 2021-05-06 | King Fahd University Of Petroleum And Minerals | System, method and computer program product for compression of seismic data |
| Publication number | Priority date | Publication date | Assignee | Title |
|---|---|---|---|---|
| CN104237970A (en)* | 2014-09-23 | 2014-12-24 | 中国石油天然气集团公司 | Earthquake electromagnetism joint exploration system and data collecting devices and method thereof |
| CN104360384A (en)* | 2014-11-13 | 2015-02-18 | 中国石油天然气集团公司 | Microseism event positioning method and device based on automatic scanning of longitudinal and transverse wave energy |
| CN105785440A (en)* | 2016-02-29 | 2016-07-20 | 河南理工大学 | Dispersion curve extracting method for mine channel wave double-component seismic signal |
| US20210132245A1 (en)* | 2019-10-31 | 2021-05-06 | King Fahd University Of Petroleum And Minerals | System, method and computer program product for compression of seismic data |
| CN111736219A (en)* | 2020-05-12 | 2020-10-02 | 中国石油天然气集团有限公司 | Method and device for processing multi-component seismic signals |
| Title |
|---|
| 林建民;杨微;陈蒙;吴仁豪;葛洪魁;: "偏振分析在地震信号检测中的应用", 中国地震, no. 02, 15 June 2012 (2012-06-15)* |
| Publication number | Priority date | Publication date | Assignee | Title |
|---|---|---|---|---|
| CN119024436A (en)* | 2023-05-26 | 2024-11-26 | 中国石油天然气集团有限公司 | Seismic data processing method, device, equipment and computer readable storage medium |
| Publication number | Publication date |
|---|---|
| CN115755162B (en) | 2025-07-08 |
| Publication | Publication Date | Title |
|---|---|---|
| CN110389380B (en) | Method and device for automatically picking up in-phase axis of seismic section and storage medium | |
| CN112922589A (en) | Pinch-out line determining method, device, terminal and storage medium | |
| CN110174699B (en) | Method, device and storage medium for determining fault closure | |
| CN111005715A (en) | Method and device for determining gas well yield and storage medium | |
| CN109696706B (en) | Salt structure detection method, device and storage medium | |
| CN115755162B (en) | Method and device for acquiring seismic exploration information and computer equipment | |
| CN113009573A (en) | Seismic data acquisition method, seismic data acquisition device, computer equipment and storage medium | |
| CN114721046B (en) | Crack detection method, device, and computer storage medium | |
| CN111999140B (en) | Method and device for preparing acoustic emission sample and determining fracturing pump and storage medium | |
| CN115576009A (en) | Fault determining method, device, computer equipment and storage medium | |
| CN113153284A (en) | Method, device, equipment and storage medium for determining bound water saturation parameter | |
| CN115707996A (en) | Method, device, computer equipment and storage medium for seismic migration imaging | |
| CN115705451A (en) | Lithology sensitive elastic parameter inversion method and device and computer storage medium | |
| CN115757847B (en) | Screening method and device for micro-logging, computer equipment and storage medium | |
| CN118050797B (en) | Method, device and terminal for separating pure transverse wave field of primary excitation of transverse wave controllable seismic source | |
| CN114721047B (en) | Elasticity parameter determining method, device, computer equipment and storage medium | |
| CN114859415B (en) | Reverse time migration imaging method and related equipment based on wave field separation | |
| CN110058306B (en) | Method, apparatus and computer storage medium for determining three-dimensional velocity volume | |
| CN114527505A (en) | Thin layer identification method, device, equipment and storage medium | |
| CN109116415B (en) | Seismic wave data separation method, device and storage medium | |
| CN119024414B (en) | Seismic data processing method, device, equipment and storage medium | |
| CN119105096B (en) | Seismic data processing method, device, computer equipment, storage medium and product | |
| CN111812744B (en) | Formation compressibility determination method and device and computer storage medium | |
| CN110927788A (en) | Method, device and storage medium for detecting formation discontinuity | |
| CN115561813A (en) | Method, device and computer storage medium for determining fracture parameters |
| Date | Code | Title | Description |
|---|---|---|---|
| PB01 | Publication | ||
| PB01 | Publication | ||
| SE01 | Entry into force of request for substantive examination | ||
| SE01 | Entry into force of request for substantive examination | ||
| GR01 | Patent grant | ||
| GR01 | Patent grant |