

技术领域technical field
本申请涉及电动汽车的控制技术领域,特别是涉及一种基于车速的增程器控制方法和系统。The present application relates to the technical field of electric vehicle control, in particular to a speed-based range extender control method and system.
背景技术Background technique
随着电动汽车的飞速发展,越来越多的用户选择电动汽车,其中,增程式电动汽车更加受到用户的青睐。这是因为,增程式电动汽车的动力电池出现低电量时,可通过增程器将燃油转化为机械能,再将机械能转换为电能,对动力电池进行充电,以供车辆继续行驶,因此相比于纯电动汽车,增程式电动汽车的续航能力更强,更能满足用户的出行需求。With the rapid development of electric vehicles, more and more users choose electric vehicles, among which, extended-range electric vehicles are more favored by users. This is because when the power battery of a range-extended electric vehicle is low, the fuel can be converted into mechanical energy through the range extender, and then the mechanical energy can be converted into electrical energy to charge the power battery for the vehicle to continue driving. Pure electric vehicles and extended-range electric vehicles have stronger battery life and can better meet the travel needs of users.
目前,增程式电动汽车一般具备“纯电优先”和“燃油优先”两种模式,由于“燃油优先”模式时可以让动力电池始终保持高电量,动力储备更强,一般作为长途出行的优先选择模式。At present, range-extended electric vehicles generally have two modes of "pure electric priority" and "fuel priority". Since the "fuel priority" mode can keep the power battery at a high level and have a stronger power reserve, it is generally used as the first choice for long-distance travel. model.
然而,在长途出行中,可能路况较为复杂,例如,可能存在因为发生突发事故或者车流量较多导致车速变缓的拥堵路况,与之相反,也可能存在畅通路况。“燃油优先”模式难以兼容各种不同的路况,导致增程器的效率降低以及产生较大噪声等问题。However, in a long-distance trip, the road conditions may be more complicated. For example, there may be a congested road condition where the speed of the vehicle slows down due to an accident or a large amount of traffic. On the contrary, there may also be a smooth road condition. The "fuel priority" mode is difficult to be compatible with various road conditions, resulting in problems such as reduced efficiency of the range extender and greater noise.
因此,现有技术中增程器的效率还有待提高。Therefore, the efficiency of the range extender in the prior art still needs to be improved.
发明内容Contents of the invention
基于此,提供一种基于车速的增程器控制方法和系统,以提高现有技术中增程器的效率。Based on this, a vehicle speed-based range extender control method and system are provided to improve the efficiency of the range extender in the prior art.
第一方面,提供一种基于车速的增程器控制方法,所述方法应用于整车控制器,包括:In the first aspect, a vehicle speed-based range extender control method is provided, and the method is applied to a vehicle controller, including:
获取预设的第一时长,以及在所述第一时长范围内的车辆平均速度;Obtaining a preset first duration and the average speed of the vehicle within the range of the first duration;
根据所述车辆平均速度,确定在所述第一时长范围内的路面工况;determining road conditions within the first duration range according to the average vehicle speed;
基于在所述第一时长范围内的路面工况获取当前车速和/或当前电量,并根据所述当前车速和/或所述当前电量,确定对应的增程器控制决策,以调整所述增程器的运行状态。Obtain the current vehicle speed and/or the current battery capacity based on the road condition within the first duration range, and determine the corresponding range extender control decision according to the current vehicle speed and/or the current battery capacity, so as to adjust the the operating status of the programmer.
结合第一方面,在第一方面的第一种可实施方式中,所述获取在所述第一时长范围内的车辆平均速度的步骤,包括:With reference to the first aspect, in the first possible implementation manner of the first aspect, the step of obtaining the average speed of the vehicle within the first time range includes:
采集当前样本车速,并获取在所述第一时长前的历史样本车速;Collect the current sample vehicle speed, and obtain the historical sample vehicle speed before the first time length;
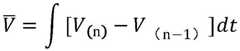
根据所述当前样本车速和所述历史样本车速,获得在所述第一时长范围内的车辆平均速度,其中,获得在所述第一时长范围内的车辆平均速度的数学表达包括:According to the current sample vehicle speed and the historical sample vehicle speed, the average vehicle speed within the first time length range is obtained, wherein obtaining the mathematical expression of the vehicle average speed within the first time length range includes:
为所述在所述第一时长范围内的车辆平均速度,V(n)为所述当前样本车速,V(n-1)为所述历史样本车速,t为所述第一时长。 is the average vehicle speed within the first duration, V(n) is the current sample vehicle speed, V(n-1) is the historical sample vehicle speed, and t is the first duration.
结合第一方面的第一种可实施方式,在第一方面的第二种可实施方式中,所述根据所述车辆平均速度,确定在所述第一时长范围内的路面工况的步骤,包括:With reference to the first possible implementation manner of the first aspect, in the second possible implementation manner of the first aspect, the step of determining the road condition within the first duration range according to the average vehicle speed, include:
获取预设的第一速度阈值,对比所述车辆平均速度和所述第一速度阈值;Acquire a preset first speed threshold, and compare the vehicle average speed with the first speed threshold;
当所述车辆平均速度大于或等于所述第一速度阈值,并持续所述第一时长时,确定在所述第一时长范围内的路面工况从基础路况转为高速路况。When the average vehicle speed is greater than or equal to the first speed threshold and lasts for the first duration, it is determined that the road condition within the first duration range changes from a basic road condition to a high-speed road condition.
结合第一方面的第二种可实施方式,在第一方面的第三种可实施方式中,所述根据所述车辆平均速度,确定在所述第一时长范围内的路面工况的步骤,还包括:With reference to the second possible implementation manner of the first aspect, in the third possible implementation manner of the first aspect, the step of determining the road condition within the first duration range according to the average vehicle speed, Also includes:
获取预设的第二速度阈值,对比所述当前样本车速和所述第二速度阈值,其中,所述第二速度阈值小于所述第一速度阈值;Acquire a preset second speed threshold, and compare the current sample vehicle speed with the second speed threshold, wherein the second speed threshold is smaller than the first speed threshold;
当所述当前样本车速小于或等于所述第二速度阈值时,确定在所述第一时长范围内的路面工况从所述高速路况转为所述基础路况。When the current sample vehicle speed is less than or equal to the second speed threshold, it is determined that the road condition within the first duration range changes from the high-speed road condition to the basic road condition.
结合第一方面的第一种可实施方式,在第一方面的第四种可实施方式中,所述根据所述车辆平均速度,确定在所述第一时长范围内的路面工况的步骤,包括:With reference to the first possible implementation manner of the first aspect, in a fourth possible implementation manner of the first aspect, the step of determining the road condition within the first duration range according to the average vehicle speed, include:
获取预设的第二速度阈值和第三速度阈值,其中,所述第二速度阈值大于所述第三速度阈值;Acquiring a preset second speed threshold and a third speed threshold, wherein the second speed threshold is greater than the third speed threshold;
对比所述车辆平均速度和所述第二速度阈值以及所述当前样本车速和所述第三速度阈值;comparing the vehicle average speed with the second speed threshold and the current sample vehicle speed with the third speed threshold;
当所述车辆平均速度小于或等于所述第二速度阈值,并持续所述第一时长,以及所述当前样本车速小于或等于所述第三速度阈值时,确定在所述第一时长范围内的路面工况从基础路况转为拥堵路况。When the average vehicle speed is less than or equal to the second speed threshold and lasts for the first time period, and the current sample vehicle speed is less than or equal to the third speed threshold, it is determined to be within the first time period range The road condition of the road has changed from the basic road condition to the congested road condition.
结合第一方面的第四种可实施方式,在第一方面的第五种可实施方式中,所述根据所述车辆平均速度,确定在所述第一时长范围内的路面工况的步骤,还包括:With reference to the fourth possible implementation manner of the first aspect, in the fifth possible implementation manner of the first aspect, the step of determining the road condition within the first duration range according to the average vehicle speed, Also includes:
获取预设的第四速度阈值,对比所述车辆平均速度和所述第四速度阈值,其中,所述第四速阈值大于所述第三速度阈值且小于所述第二速度阈值;Obtain a preset fourth speed threshold, and compare the vehicle average speed with the fourth speed threshold, wherein the fourth speed threshold is greater than the third speed threshold and less than the second speed threshold;
当所述车辆平均速度大于或等于所述第四速度阈值,并持续所述第一时长时,确定在所述第一时长范围内的路面工况从所述拥堵路况转为所述基础路况。When the average vehicle speed is greater than or equal to the fourth speed threshold and lasts for the first time period, it is determined that the road condition within the first time period changes from the congested road condition to the basic road condition.
结合第一方面的第二至第五种可实施方式中的任意一项,在第一方面的第六种可实施方式中,所述基于在所述第一时长范围内的路面工况,获取当前车速和/或当前电量,并根据所述当前车速和/或所述当前电量,确定对应的增程器控制决策,以调整所述增程器的运行状态的步骤,包括:With reference to any one of the second to fifth possible implementation manners of the first aspect, in the sixth possible implementation manner of the first aspect, the acquisition of The step of determining the corresponding range extender control decision based on the current vehicle speed and/or the current power quantity, and adjusting the operating state of the range extender according to the current vehicle speed and/or the current power quantity, includes:
当所述路面工况为所述基础路况时,采集当前车辆的当前车速和当前电量;When the road condition is the basic road condition, collecting the current speed and current power of the current vehicle;
获取预设的第五速度阈值、第六速度阈值、第一电量阈值以及第二电量阈值,其中,所述第五速度阈值大于所述第六速度阈值,所述第一电量阈值小于所述第二电量阈值;Obtain preset fifth speed threshold, sixth speed threshold, first power threshold and second power threshold, wherein the fifth speed threshold is greater than the sixth speed threshold, and the first power threshold is smaller than the first power threshold Second power threshold;
将所述当前车速分别与所述第五速度阈值和所述第六速度阈值进行对比,以及将所述当前电量分别与所述第一电量阈值和所述第二电量阈值进行对比;Comparing the current vehicle speed with the fifth speed threshold and the sixth speed threshold respectively, and comparing the current electric quantity with the first electric quantity threshold and the second electric quantity threshold respectively;
当所述当前车速小于所述第六速度阈值,或所述当前电量大于所述第二电量阈值时,关闭所述增程器;When the current vehicle speed is less than the sixth speed threshold, or the current electric quantity is greater than the second electric quantity threshold, turn off the range extender;
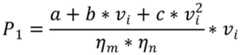
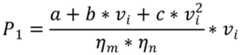
当所述当前车速大于所述第五速度阈值,且所述当前电量小于所述第一电量阈值时,启动所述增程器,并根据预设的整车滑行阻力系数、驱动电机平均效率、发电机平均效率以及所述当前车速,获得第一发电功率,控制所述增程器按照所述第一发电功率发电,其中,获得所述第一发电功率的数学表达包括:When the current vehicle speed is greater than the fifth speed threshold and the current electric quantity is less than the first electric quantity threshold, start the range extender, and according to the preset vehicle sliding resistance coefficient, average efficiency of the drive motor, The average efficiency of the generator and the current vehicle speed are used to obtain the first generated power, and the range extender is controlled to generate electricity according to the first generated power, wherein the mathematical expression for obtaining the first generated power includes:
P1为所述第一发电功率,a、b和c均为所述整车滑行阻力系数,vi为所述当前车速,ηm为所述驱动电机平均效率,ηn为所述发电机平均效率。P1 is the first generating power, a, b and c are the sliding resistance coefficients of the vehicle,v is the current vehicle speed, ηm is the average efficiency of the drive motor, and ηn is the generator average efficiency.
结合第一方面的第二种可实施方式,在第一方面的第七种可实施方式中,所述基于在所述第一时长范围内的路面工况,获取当前车速和/或当前电量,并根据所述当前车速和/或所述当前电量,确定对应的增程器控制决策,以调整所述增程器的运行状态的步骤,包括:With reference to the second possible implementation manner of the first aspect, in the seventh possible implementation manner of the first aspect, the acquiring the current vehicle speed and/or the current battery capacity based on the road condition within the first duration range, And according to the current vehicle speed and/or the current electric quantity, the step of determining the corresponding range extender control decision to adjust the operating state of the range extender includes:
当所述路面工况为所述高速路况时,采集当前车辆的当前电量;When the road condition is the high-speed road condition, collecting the current electric quantity of the current vehicle;
获取预设的第一电量阈值和第二电量阈值,将所述当前电量分别与所述第一电量阈值和所述第二电量阈值进行对比,其中,所述第一电量阈值小于所述第二电量阈值;Obtain a preset first power threshold and a second power threshold, and compare the current power with the first power threshold and the second power threshold, wherein the first power threshold is smaller than the second power threshold power threshold;
当所述当前电量大于所述第二电量阈值时,关闭所述增程器;When the current power is greater than the second power threshold, turn off the range extender;
当所述当前电量小于所述第一电量阈值时,启动所述增程器,并根据驱动电机电压、驱动电机电流、附件消耗功率、预设的驱动电机平均效率以及发电机平均效率,获得第二发电功率,其中,获得所述第二发电功率的数学表达包括:When the current electric quantity is less than the first electric quantity threshold, start the range extender, and obtain the second average efficiency according to the drive motor voltage, drive motor current, accessory power consumption, preset drive motor average efficiency and generator average efficiency Second power generation, wherein the mathematical expression for obtaining the second power generation includes:
P2为所述第二发电功率,U为所述驱动电机电压,I为所述驱动电机电流,ηm为所述驱动电机平均效率,ηn为所述发电机平均效率,Pa为所述附件消耗功率;P2 is the second generating power, U is the driving motor voltage, I is the driving motor current, ηm is the average efficiency of the driving motor, ηn is the average efficiency of the generator, and Pa is the Power consumption of the above accessories;
将所述第二发电功率分别与预设的第一功率阈值和第二功率阈值进行对比,其中,所述第一功率阈值小于所述第二功率阈值;comparing the second generated power with a preset first power threshold and a second power threshold, wherein the first power threshold is smaller than the second power threshold;
当所述第二发电功率小于所述第一功率阈值时,控制所述增程器按照所述第一功率阈值发电;When the second generated power is less than the first power threshold, controlling the range extender to generate electricity according to the first power threshold;
当所述第二发电功率大于或等于所述第一功率阈值,且小于或等于所述第二功率阈值时,控制所述增程器按照所述第二发电功率发电;When the second power generation is greater than or equal to the first power threshold and less than or equal to the second power threshold, controlling the range extender to generate power according to the second power generation;
当所述第二发电功率大于所述第二功率阈值时,控制所述增程器按照所述第二功率阈值发电。When the second generated power is greater than the second power threshold, the range extender is controlled to generate electricity according to the second power threshold.
结合第一方面的第四种可实施方式,在第一方面的第八种可实施方式中,所述基于在所述第一时长范围内的路面工况,获取当前车速和/或当前电量,并根据所述当前车速和/或所述当前电量,确定对应的增程器控制决策,以调整所述增程器的运行状态的步骤,包括:With reference to the fourth possible implementation manner of the first aspect, in the eighth possible implementation manner of the first aspect, the acquiring the current vehicle speed and/or the current battery capacity based on the road conditions within the first duration range, And according to the current vehicle speed and/or the current electric quantity, the step of determining the corresponding range extender control decision to adjust the operating state of the range extender includes:
当所述路面工况为所述拥堵路况时,采集当前车辆的当前电量;When the road condition is the congested road condition, collecting the current electric quantity of the current vehicle;
获取预设的第三电量阈值和第四电量阈值,将所述当前电量分别与所述第三电量阈值和所述第四电量阈值进行对比,其中,所述第三电量阈值小于所述第四电量阈值;Acquiring a preset third power threshold and a fourth power threshold, and comparing the current power with the third power threshold and the fourth power threshold, wherein the third power threshold is smaller than the fourth power threshold power threshold;
当所述当前电量大于所述第四电量阈值时,关闭所述增程器;When the current power is greater than the fourth power threshold, turn off the range extender;
当所述当前电量小于所述第三电量阈值时,启动所述增程器,获取预设的第五电量阈值,并对比所述当前电量与所述第五电量阈值,其中,所述第五电量阈值小于所述第三电量阈值;When the current power is less than the third power threshold, start the range extender, obtain the preset fifth power threshold, and compare the current power with the fifth power threshold, wherein the fifth The power threshold is less than the third power threshold;
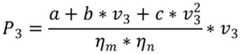
当所述当前电量大于所述第五电量阈值时,根据预设的整车滑行阻力系数、驱动电机平均效率、发电机平均效率以及所述第三速度阈值,获得第三发电功率,控制所述增程器按照所述第三发电功率发电,其中,获得所述第三发电功率的数学表达包括:When the current electric quantity is greater than the fifth electric quantity threshold, according to the preset vehicle sliding resistance coefficient, the average efficiency of the driving motor, the average efficiency of the generator and the third speed threshold, the third generated power is obtained to control the The range extender generates electricity according to the third power generation, wherein the mathematical expression for obtaining the third power generation includes:
P3为所述第三发电功率,a、b和c均为所述整车滑行阻力系数,v3为所述第三速度阈值,ηm为所述驱动电机平均效率,ηn为所述发电机平均效率;P3 is the third generating power, a, b and c are the sliding resistance coefficients of the vehicle, v3 is the third speed threshold, ηm is the average efficiency of the drive motor, and ηn is the Generator average efficiency;
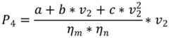
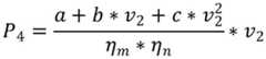
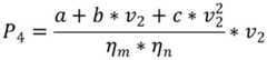
当所述当前电量小于所述第五电量阈值时,根据所述整车滑行阻力系数、所述驱动电机平均效率、所述发电机平均效率以及所述第二速度阈值,获得第四发电功率,控制所述增程器按照所述第四发电功率发电,其中,获得所述第四发电功率的数学表达包括:When the current electric quantity is less than the fifth electric quantity threshold, the fourth generated power is obtained according to the vehicle sliding resistance coefficient, the average efficiency of the driving motor, the average efficiency of the generator, and the second speed threshold, Controlling the range extender to generate electricity according to the fourth power generation, wherein the mathematical expression for obtaining the fourth power generation includes:
P4为所述第四发电功率,a、b和c均为所述整车滑行阻力系数,v2为所述第二速度阈值,ηm为所述驱动电机平均效率,ηn为所述发电机平均效率。P4 is the fourth generating power, a, b and c are the sliding resistance coefficients of the vehicle, v2 is the second speed threshold, ηm is the average efficiency of the drive motor, and ηn is the Generator average efficiency.
第二方面,提供一种基于车速的增程器控制系统,所述系统包括整车控制器,其中,In the second aspect, a vehicle speed-based range extender control system is provided, the system includes a vehicle controller, wherein,
所述整车控制器用于获取预设的第一时长,以及在所述第一时长范围内的车辆平均速度;The vehicle controller is used to obtain a preset first duration and the average speed of the vehicle within the range of the first duration;
所述整车控制器还用于根据所述车辆平均速度,确定在所述第一时长范围内的路面工况;The vehicle controller is also used to determine the road condition within the first duration range according to the average vehicle speed;
所述整车控制器还用于基于在所述第一时长范围内的路面工况,获取当前车速和/或当前电量,并根据所述当前车速和/或所述当前电量,确定对应的增程器控制决策,以调整所述增程器的运行状态。The vehicle controller is further configured to acquire the current vehicle speed and/or the current battery capacity based on the road condition within the first time length range, and determine the corresponding increase rate according to the current vehicle speed and/or the current battery capacity. range extender control decisions to adjust the operating state of the range extender.
上述基于车速的增程器控制方法和系统,其中,所述增程器控制方法应用于整车控制器。整车控制器在车辆的行驶过程中,获取预设的第一时长,以及在第一时长范围内的车辆平均速度;然后根据车辆平均速度,确定在第一时长范围内的路面工况;基于在第一时长范围内的路面工况,获取当前车速和/或当前电量,并根据当前车速和/或当前电量,确定对应的增程器控制决策,以调整增程器的运行状态。可见,本申请的增程器控制方法通过识别路面工况的具体类型,然后针对不同类型的路面工况分别采用不同的增程器控制方式,从而使得增程器乃至车辆可以更好的兼容各种复杂路况,提高增程器的效率以及降低增程器的噪声。The above vehicle speed-based range extender control method and system, wherein the range extender control method is applied to a vehicle controller. The whole vehicle controller acquires the preset first duration and the average speed of the vehicle within the first duration during the running of the vehicle; then determines the road conditions within the first duration according to the average vehicle speed; based on Obtain the current vehicle speed and/or current battery level in the road condition within the first duration range, and determine the corresponding range extender control decision based on the current vehicle speed and/or current battery capacity, so as to adjust the operating state of the range extender. It can be seen that the range extender control method of the present application identifies the specific type of road conditions, and then adopts different range extender control methods for different types of road conditions, so that the range extender and even the vehicle can be better compatible with various road conditions. A variety of complex road conditions, improve the efficiency of the range extender and reduce the noise of the range extender.
附图说明Description of drawings
图1为一个实施例中基于车速的增程器控制方法的流程示意图;Fig. 1 is a schematic flow chart of a vehicle speed-based range extender control method in an embodiment;
图2为一个实施例中流程示意图的结构框图。Fig. 2 is a structural block diagram of a schematic flow diagram in an embodiment.
具体实施方式Detailed ways
为了使本申请的目的、技术方案及优点更加清楚明白,以下结合附图及实施例,对本申请进行进一步详细说明。应当理解,此处描述的具体实施例仅仅用以解释本申请,并不用于限定本申请。In order to make the purpose, technical solution and advantages of the present application clearer, the present application will be further described in detail below in conjunction with the accompanying drawings and embodiments. It should be understood that the specific embodiments described here are only used to explain the present application, and are not intended to limit the present application.
需要说明的是,本实施例中所提供的图示仅以示意方式说明本申请的基本构想,遂图式中仅显示与本申请中有关的组件而非按照实际实施时的组件数目、形状及尺寸绘制,其实际实施时各组件的型态、数量及比例可为一种随意的改变,且其组件布局型态也可能更为复杂。It should be noted that the diagrams provided in this embodiment are only schematically illustrating the basic idea of the application, and only the components related to the application are shown in the diagrams rather than the number, shape and shape of the components in actual implementation. Dimensional drawing, the type, quantity and proportion of each component can be changed arbitrarily during actual implementation, and the component layout type may also be more complicated.
本说明书所附图式所绘示的结构、比例、大小等,均仅用以配合说明书所揭示的内容,以供熟悉此技术的人士了解与阅读,并非用以限定本申请可实施的限定条件,故不具技术上的实质意义,任何结构的修饰、比例关系的改变或大小的调整,在不影响本申请所能产生的功效及所能达成的目的下,均应仍落在本申请所揭示的技术内容得能涵盖的范围内。The structures, proportions, sizes, etc. shown in the drawings attached to this specification are only used to match the content disclosed in the specification for the understanding and reading of those who are familiar with this technology, and are not used to limit the conditions that this application can implement , so it has no technical substantive meaning, and any modification of structure, change of proportional relationship or adjustment of size shall still fall within the scope of the disclosure disclosed in this application without affecting the effect and purpose of this application. The technical content must be within the scope covered.
本说明书中所引用的如“上”、“下”、“左”、“右”、“中间”、“纵向”、“横向”、“水平”、“内”、“外”、“径向”、“周向”等指示的方位或位置关系为基于附图所示的方位或位置关系,亦仅为了便于简化叙述,而不是指示或暗示所指的装置或元件必须具有特定的方位、以特定的方位构造和操作,因此不能理解为对本申请的限制。此外,术语“第一”、“第二”仅用于描述目的,而不能理解为指示或暗示相对重要性。References in this specification such as "upper", "lower", "left", "right", "middle", "longitudinal", "transverse", "horizontal", "inner", "outer", "radial ", "Circumferential" and other indicated orientations or positional relationships are based on the orientations or positional relationships shown in the drawings, and are only for the convenience of simplification of the description, rather than indicating or implying that the device or element referred to must have a specific orientation, Specific orientation configurations and operations, therefore, are not to be construed as limitations on the application. In addition, the terms "first" and "second" are used for descriptive purposes only, and should not be understood as indicating or implying relative importance.
目前,增程式电动汽车采用两种增程器控制方式,一种是先通过动力电池进行供电驱动,在动力电池的电量耗尽时再启动增程器进行发电;另一种是在动力电池电量足够高时就启动增程器进行发电,以提供动力来源。第二种控制方式可以让动力电池始终保持高电量,动力储备更强,因此是大多数用户的优先选择模式。然而,单一的增程器控制方式并不能更好的兼容各种不同的路况,例如,高速路况和拥堵路况,导致增程器的效率下降且产生了较大噪声。At present, the range-extender electric vehicle adopts two control methods of the range extender. One is to first use the power battery for power supply and drive, and then start the range extender to generate electricity when the power of the power battery is exhausted; When it is high enough, the range extender is started to generate electricity to provide a source of power. The second control method can keep the power battery high at all times and has a stronger power reserve, so it is the preferred mode for most users. However, a single control method for the range extender cannot be better compatible with various road conditions, such as high-speed road conditions and congested road conditions, resulting in a decrease in the efficiency of the range extender and greater noise.
为此,本申请提出一种基于车速的增程器控制方法和系统,其中,所述增程器控制方法应用于整车控制器。在车辆的行驶过程中,整车控制器通过获取第一时长范围内的车辆平均速度,并根据车辆平均速度,确定在第一时长范围内的路面工况具体为高速路况或是拥堵路况又或者是基础路况;然后针对高速路况、拥堵路况以及基础路况,并根据获取到的当前车速和/或当前电量,分别采用不同的增程器控制方式。因此,相比于现有技术,本申请的基于车速的增程器控制方式能更好的兼容高速路况、拥堵路况以及基础路况共存的路况,从而提高增程器的效率,改善增程器在运行过程中产生较大噪声的现象,提高用户的乘车体验感。接下来,将通过以下实施例对本申请的基于车速的增程器控制方法进行详细描述。To this end, the present application proposes a vehicle speed-based range extender control method and system, wherein the range extender control method is applied to a vehicle controller. During the driving process of the vehicle, the vehicle controller obtains the average vehicle speed within the first time range, and according to the average vehicle speed, determines whether the road condition within the first time range is specifically a high-speed road condition or a congested road condition or It is the basic road condition; then for high-speed road conditions, congested road conditions and basic road conditions, and according to the obtained current vehicle speed and/or current power, different range extender control methods are adopted respectively. Therefore, compared with the prior art, the vehicle speed-based range extender control method of the present application can be better compatible with high-speed road conditions, congested road conditions, and road conditions where basic road conditions coexist, thereby improving the efficiency of the range extender and improving the range extender. The phenomenon of loud noise during operation improves the user's ride experience. Next, the vehicle speed-based range extender control method of the present application will be described in detail through the following embodiments.
在一个实施例中,参考图1,提供了一种基于车速的增程器控制方法,以该方法应用于整车控制器为例进行说明,包括以下步骤:In one embodiment, referring to FIG. 1 , a method for controlling a range extender based on vehicle speed is provided. The application of the method to a vehicle controller is used as an example for illustration, including the following steps:
S1:获取预设的第一时长,以及在所述第一时长范围内的车辆平均速度。S1: Obtain a preset first duration and an average speed of the vehicle within the first duration.
作为一种可实施的方式,所述获取在所述第一时长范围内的车辆平均速度的步骤,包括:As an implementable manner, the step of acquiring the average speed of the vehicle within the first duration includes:
采集当前样本车速,并获取在所述第一时长前的历史样本车速;Collect the current sample vehicle speed, and obtain the historical sample vehicle speed before the first time length;
根据所述当前样本车速和所述历史样本车速,获得在所述第一时长范围内的车辆平均速度,其中,获得在所述第一时长范围内的车辆平均速度的数学表达包括:According to the current sample vehicle speed and the historical sample vehicle speed, the average vehicle speed within the first time length range is obtained, wherein obtaining the mathematical expression of the vehicle average speed within the first time length range includes:
为所述在所述第一时长范围内的车辆平均速度,V(n)为所述当前样本车速,V(n-1)为所述历史样本车速,t为所述第一时长。 is the average vehicle speed within the first duration, V(n) is the current sample vehicle speed, V(n-1) is the historical sample vehicle speed, and t is the first duration.
由于历史样本车速和当前样本车速间隔了第一时长,因此基于当前样本车速和历史样本车速的差,以及第一时长进行积分运算,可以得到车辆平均速度。Since the historical sample vehicle speed and the current sample vehicle speed are separated by the first period of time, the average vehicle speed can be obtained by performing integral calculation based on the difference between the current sample vehicle speed and the historical sample vehicle speed and the first period of time.
S2:根据所述车辆平均速度,确定在所述第一时长范围内的路面工况。S2: According to the average speed of the vehicle, determine the road condition within the first duration range.
示例性的说明,由于路况识别更偏重考虑长时间所处的路面工况,因此可以将第一时长设置为1分钟,通过获取1分钟内的车辆平均速度,从而识别这1分钟内的路面工况的具体类型为高速路况或是拥堵路况又或是基础路况。Exemplary explanation, since the road condition recognition is more focused on considering the road condition for a long time, the first time length can be set to 1 minute, and the road condition within 1 minute can be identified by obtaining the average speed of the vehicle within 1 minute. The specific type of the situation is a high-speed road condition or a congested road condition or a basic road condition.
作为一种可实施的方式,所述根据所述车辆平均速度,确定在所述第一时长范围内的路面工况的步骤,包括:获取预设的第一速度阈值,对比所述车辆平均速度和所述第一速度阈值;当所述车辆平均速度大于或等于所述第一速度阈值,并持续所述第一时长时,确定在所述第一时长范围内的路面工况从基础路况转为高速路况。示例性的说明,第一速度阈值可以设置为60kph。As an implementable manner, the step of determining the road conditions within the first duration range according to the average vehicle speed includes: obtaining a preset first speed threshold, and comparing the average speed of the vehicle with and the first speed threshold; when the vehicle average speed is greater than or equal to the first speed threshold and lasts for the first duration, it is determined that the road condition within the first duration range changes from the basic road condition For highway conditions. Exemplarily, the first speed threshold may be set to 60kph.
需要说明的是,若车辆平均速度大于或等于第一速度阈值没有持续第一时长,或车辆平均速度小于第一速度阈值,认为在第一时长范围内的路面工况的变化较小,未转为某一具有明显特征的路况,而是保持前一时刻识别的路面工况,例如,基础路况,此时不需要调整增程器的工作状态。It should be noted that if the average vehicle speed is greater than or equal to the first speed threshold and has not lasted for the first time period, or the average vehicle speed is less than the first speed threshold, it is considered that the change in the road condition within the first time period is small, and no turning For a certain road condition with obvious characteristics, but to maintain the road condition recognized at the previous moment, for example, the basic road condition, there is no need to adjust the working state of the range extender at this time.
更进一步的,所述根据所述车辆平均速度,确定在所述第一时长范围内的路面工况的步骤,还包括:获取预设的第二速度阈值,对比所述当前样本车速和所述第二速度阈值,其中,所述第二速度阈值小于所述第一速度阈值;当所述当前样本车速小于或等于所述第二速度阈值时,确定在所述第一时长范围内的路面工况从所述高速路况转为所述基础路况。示例性的说明,第二速度阈值可以设置为40kph。Furthermore, the step of determining the road condition within the first time length range according to the average vehicle speed also includes: obtaining a preset second speed threshold, and comparing the current sample vehicle speed with the A second speed threshold, wherein the second speed threshold is less than the first speed threshold; when the current sample vehicle speed is less than or equal to the second speed threshold, determine the road surface construction within the first time length range The condition changes from the high-speed road condition to the basic road condition. As an example, the second speed threshold may be set to 40kph.
需要说明的是,若车辆平均速度大于第二速度阈值,认为在第一时长范围内的路面工况未从高速路况退出,此时也不需要调整增程器的工作状态,按照高速路况对应的增程器控制决策控制增程器即可。It should be noted that if the average speed of the vehicle is greater than the second speed threshold, it is considered that the road condition within the first duration range has not exited from the high-speed road condition, and there is no need to adjust the working state of the range extender at this time. The range extender control decision is enough to control the range extender.
通过上述步骤,可识别第一时长范围内的路面工况具体为从基础路况转为高速路况,还是从高速路况转为基础路况,以便基于当前的路面工况针对性地控制增程器的工作方式,从而更好地适应当前的路面工况,以此提高增程器的工作效率并降低噪声。Through the above steps, it is possible to identify whether the road conditions within the first duration range are from basic road conditions to high-speed road conditions, or from high-speed road conditions to basic road conditions, so as to control the work of the range extender based on the current road conditions way, so as to better adapt to the current road conditions, so as to improve the working efficiency of the range extender and reduce noise.
在一种可实施的方式中,还可以根据车辆平均速度确定在第一时长范围内的路面工况是否为拥堵路况,从而针对拥堵路况控制增程器的工作状态。具体的,所述根据所述车辆平均速度,确定在所述第一时长范围内的路面工况的步骤,包括:获取预设的第二速度阈值和第三速度阈值,其中,所述第二速度阈值大于所述第三速度阈值;对比所述车辆平均速度和所述第二速度阈值以及所述当前样本车速和所述第三速度阈值;当所述车辆平均速度小于或等于所述第二速度阈值,并持续所述第一时长,以及所述当前样本车速小于或等于所述第三速度阈值时,确定在所述第一时长范围内的路面工况从基础路况转为拥堵路况。示例性的说明,第二速度阈值可以设置为40kph,第三速度阈值可以设置为20kph。In a practicable manner, it may also be determined according to the average speed of the vehicle whether the road condition within the first duration range is a congested road condition, so as to control the working state of the range extender according to the congested road condition. Specifically, the step of determining the road condition within the first duration range according to the average vehicle speed includes: acquiring a preset second speed threshold and a third speed threshold, wherein the second The speed threshold is greater than the third speed threshold; compare the vehicle average speed with the second speed threshold and the current sample vehicle speed with the third speed threshold; when the vehicle average speed is less than or equal to the second speed threshold, and last for the first time length, and when the current sample vehicle speed is less than or equal to the third speed threshold, it is determined that the road condition within the first time length range changes from a basic road condition to a congested road condition. Exemplarily, the second speed threshold may be set to 40kph, and the third speed threshold may be set to 20kph.
需要说明的是,若车辆平均速度小于或等于第二速度阈值没有持续第一时长,或出现车辆平均速度大于第二速度阈值和当前样本车速大于第三速度阈值其中一种情况,认为在第一时长范围内的路面工况的变化较小,未转为某一具有明显特征的路况,而是前一时刻识别的路况,例如基础路况,此时不需要调整增程器的工作状态。It should be noted that if the average vehicle speed is less than or equal to the second speed threshold and has not lasted for the first time period, or there is one of the situation that the average vehicle speed is greater than the second speed threshold and the current sample vehicle speed is greater than the third speed threshold, it is considered to be in the first speed threshold. The road conditions within the time range change slightly, and it does not turn into a certain road condition with obvious characteristics, but the road condition recognized at the previous moment, such as the basic road condition. At this time, there is no need to adjust the working state of the range extender.
更进一步的,所述根据所述车辆平均速度,确定在所述第一时长范围内的路面工况的步骤,还包括:获取预设的第四速度阈值,对比所述车辆平均速度和所述第四速度阈值,其中,所述第四速阈值大于所述第三速度阈值且小于所述第二速度阈值;当所述车辆平均速度大于或等于所述第四速度阈值,并持续所述第一时长时,确定在所述第一时长范围内的路面工况从所述拥堵路况转为所述基础路况。示例性的说明,第四速度阈值可以设置为35kph。Furthermore, the step of determining the road condition within the first time length range according to the average vehicle speed also includes: obtaining a preset fourth speed threshold, and comparing the average vehicle speed with the A fourth speed threshold, wherein the fourth speed threshold is greater than the third speed threshold and less than the second speed threshold; when the average vehicle speed is greater than or equal to the fourth speed threshold and continues for the first After a period of time, it is determined that the road condition within the first period of time changes from the congested road condition to the basic road condition. Exemplarily, the fourth speed threshold may be set to 35kph.
需要说明的是,若车辆平均速度大于或等于第四速度阈值没有持续第一时长,或车辆平均速度小于第四速度阈值,认为在第一时长范围内的路面工况未从拥堵路况退出,此时也不需要调整增程器的工作状态,按照拥堵路况对应的增程器控制决策控制增程器即可。It should be noted that if the average vehicle speed is greater than or equal to the fourth speed threshold and has not lasted for the first time, or the average speed of the vehicle is less than the fourth speed threshold, it is considered that the road condition within the first time period has not exited from the congested road condition. There is no need to adjust the working status of the range extender, and the range extender can be controlled according to the control decision of the range extender corresponding to the congested road conditions.
通过上述步骤,可识别在第一时长范围内的路面工况是从基础路况转为拥堵路况,还是从拥堵路况转为基础路况;然后基于当前的路面工况针对性地控制增程器的工作方式,从而更好地适应当前的路面工况,以此提高增程器的工作效率并降低噪声。上述步骤中涉及的各个速度阈值主要参考我国常用的道路限制速度,例如,城市快速限制速度为70~90kph,城区普通道路限制速度为40kph。Through the above steps, it is possible to identify whether the road conditions within the first time period have changed from basic road conditions to congested road conditions, or from congested road conditions to basic road conditions; and then control the work of the range extender based on the current road conditions way, so as to better adapt to the current road conditions, so as to improve the working efficiency of the range extender and reduce noise. The speed thresholds involved in the above steps mainly refer to the road speed limits commonly used in my country. For example, the speed limit for urban expressways is 70-90 kph, and the speed limit for ordinary roads in urban areas is 40 kph.
由于路况识别存在一定的时间滞后性,且在基础路况中对增程器的控制方式兼容性较强,在各种路面工况下控制增程器不能达到最优效率但能基本满足车辆的需求,因此引入基础路况,当未识别到进入高速路况或拥堵路况时,按照基础路况控制增程器。其中,基础路况用于指示路况特征不明显、路面较为平直或坡度起伏较小,且车速适中的路况。车辆启动后首先进入基于基础路况的增程器控制方式,然后进入路面工况的识别,判断是否进入高速路况或拥堵路况,若是,按照对应的增程器控制决策调整增程器的工作状态。Due to the time lag in road condition recognition and the strong compatibility of the control mode of the range extender in the basic road conditions, the control of the range extender under various road conditions cannot achieve optimal efficiency but can basically meet the needs of the vehicle , so the basic road conditions are introduced, and when the high-speed road conditions or congested road conditions are not recognized, the range extender is controlled according to the basic road conditions. Among them, the basic road conditions are used to indicate the road conditions with inconspicuous road conditions, relatively straight road surfaces or small slope fluctuations, and moderate vehicle speeds. After the vehicle is started, it first enters the range extender control mode based on the basic road conditions, and then enters the identification of road conditions to determine whether it has entered high-speed road conditions or congested road conditions. If so, adjust the working status of the range extender according to the corresponding range extender control decision.
S3:基于在所述第一时长范围内的路面工况,获取当前车速和/或当前电量,并根据所述当前车速和/或所述当前电量,确定对应的增程器控制决策,以调整所述增程器的运行状态。S3: Obtain the current vehicle speed and/or the current battery capacity based on the road conditions within the first duration range, and determine the corresponding range extender control decision based on the current vehicle speed and/or the current battery capacity to adjust The running status of the range extender.
通过上述步骤对路面工况进行识别,确定第一时长范围内的路面工况的具体类型,然后基于每个类型的路面工况,对增程器进行针对性的控制与调整,从而更好的适应当前识别的路面工况。具体的:Identify the road conditions through the above steps, determine the specific type of road conditions within the first time range, and then carry out targeted control and adjustment on the range extender based on each type of road conditions, so as to better Adapt to the currently identified road conditions. specific:
在一种可实施的方式中,所述基于在所述第一时长范围内的路面工况,获取当前车速和/或当前电量,并根据所述当前车速和/或所述当前电量,确定对应的增程器控制决策,以调整所述增程器的运行状态的步骤,包括:当所述路面工况为所述基础路况时,采集当前车辆的当前车速和当前电量;获取预设的第五速度阈值、第六速度阈值、第一电量阈值以及第二电量阈值,其中,所述第五速度阈值大于所述第六速度阈值,所述第一电量阈值小于所述第二电量阈值;将所述当前车速分别与所述第五速度阈值和所述第六速度阈值进行对比,以及将所述当前电量分别与所述第一电量阈值和所述第二电量阈值进行对比;当所述当前车速小于所述第六速度阈值,或所述当前电量大于所述第二电量阈值时,关闭所述增程器;当所述当前车速大于所述第五速度阈值,且所述当前电量小于所述第一电量阈值时,启动所述增程器,并根据预设的整车滑行阻力系数、驱动电机平均效率、发电机平均效率以及所述当前车速,获得第一发电功率,控制所述增程器按照所述第一发电功率发电,其中,获得所述第一发电功率的数学表达包括:In a practicable manner, the current vehicle speed and/or current battery capacity are obtained based on the road condition within the first duration range, and the corresponding The step of controlling the decision of the range extender to adjust the operating state of the range extender includes: when the road condition is the basic road condition, collecting the current vehicle speed and the current power of the current vehicle; obtaining the preset first Five speed thresholds, a sixth speed threshold, a first power threshold, and a second power threshold, wherein the fifth speed threshold is greater than the sixth speed threshold, and the first power threshold is smaller than the second power threshold; The current vehicle speed is compared with the fifth speed threshold and the sixth speed threshold respectively, and the current electric quantity is compared with the first electric quantity threshold and the second electric quantity threshold respectively; when the current When the vehicle speed is less than the sixth speed threshold, or the current electric quantity is greater than the second electric quantity threshold, the range extender is turned off; when the current vehicle speed is greater than the fifth speed threshold and the current electric quantity is less than the set When the first power threshold is reached, start the range extender, and obtain the first generating power according to the preset vehicle sliding resistance coefficient, the average efficiency of the drive motor, the average efficiency of the generator, and the current vehicle speed, and control the range extender. The controller generates electricity according to the first power generation, wherein the mathematical expression for obtaining the first power generation includes:
P1为所述第一发电功率,a、b和c均为所述整车滑行阻力系数,vi为所述当前车速,ηm为所述驱动电机平均效率,ηn为所述发电机平均效率。P1 is the first generating power, a, b and c are the sliding resistance coefficients of the vehicle,v is the current vehicle speed, ηm is the average efficiency of the drive motor, and ηn is the generator average efficiency.
需要说明的是,基础路况下,增程器更偏向于各种路况的兼容性,因此参考车速和电量控制增程器停止和启动。启动增程器后,其发电功率尽量要以满足整车需求功率为主,此时增程器的发电功率主要用于克服行驶阻力做功,因此通过当前车速和预设的整车滑行阻力系数、驱动电机平均效率以及发电机平均效率,得到当前车辆的当前行驶阻力,再根据当前行驶阻力和当前车速的乘积,获得增程器的第一发电功率。其他对比结果,例如,当前电量大于或等于第一电量阈值且小于或等于第二电量阈值,当前车速大于或等于第六速度阈值且小于或等于第五速度阈值,不改变增程器的工作状态。其中,第一电量阈值和第二电量阈值可由厂商根据车辆动力电池的容量自行设置,第五速度阈值和第六速度阈值也可由厂商参考车辆行驶需要的功率以及增程器的高效率区间自行设置;整车滑行阻力系数可以由厂商根据车辆的滑行试验确定;驱动电机平均效率和发电机平均效率也可以由厂商在全球轻型车测试循环(World Light Vehicle Test Cycle,WLTC)指示的工况下进行测试得到。It should be noted that under basic road conditions, the range extender is more compatible with various road conditions, so the stop and start of the range extender are controlled with reference to the vehicle speed and power consumption. After starting the range extender, its generating power should meet the power demand of the whole vehicle as much as possible. At this time, the generating power of the range extender is mainly used to overcome the driving resistance and do work. Therefore, through the current vehicle speed and the preset vehicle sliding resistance coefficient, The average efficiency of the driving motor and the average efficiency of the generator are used to obtain the current driving resistance of the current vehicle, and then the first generating power of the range extender is obtained according to the product of the current driving resistance and the current vehicle speed. Other comparison results, for example, if the current power is greater than or equal to the first power threshold and less than or equal to the second power threshold, and the current vehicle speed is greater than or equal to the sixth speed threshold and less than or equal to the fifth speed threshold, the working status of the range extender will not be changed . Among them, the first power threshold and the second power threshold can be set by the manufacturer according to the capacity of the vehicle power battery, and the fifth speed threshold and the sixth speed threshold can also be set by the manufacturer with reference to the power required by the vehicle and the high efficiency range of the range extender. The sliding resistance coefficient of the whole vehicle can be determined by the manufacturer according to the sliding test of the vehicle; the average efficiency of the drive motor and the average efficiency of the generator can also be determined by the manufacturer under the conditions indicated by the World Light Vehicle Test Cycle (WLTC) Test to get.
在一种可实施的方式中,所述基于在所述第一时长范围内的路面工况,获取当前车速和/或当前电量,并根据所述当前车速和/或所述当前电量,确定对应的增程器控制决策,以调整所述增程器的运行状态的步骤,包括:当所述路面工况为所述高速路况时,采集当前车辆的当前电量;获取预设的第一电量阈值和第二电量阈值,将所述当前电量分别与所述第一电量阈值和所述第二电量阈值进行对比,其中,所述第一电量阈值小于所述第二电量阈值;当所述当前电量大于所述第二电量阈值时,关闭所述增程器;当所述当前电量小于所述第一电量阈值时,启动所述增程器,并根据驱动电机电压、驱动电机电流、附件消耗功率、预设的驱动电机平均效率以及发电机平均效率,获得第二发电功率,其中,获得所述第二发电功率的数学表达包括:In a practicable manner, the current vehicle speed and/or current battery capacity are obtained based on the road condition within the first duration range, and the corresponding The step of controlling the decision of the range extender to adjust the operating state of the range extender includes: when the road condition is the high-speed road condition, collecting the current electric quantity of the current vehicle; obtaining a preset first electric quantity threshold and a second power threshold, comparing the current power with the first power threshold and the second power threshold, wherein the first power threshold is smaller than the second power threshold; when the current power When it is greater than the second power threshold, turn off the range extender; when the current power is less than the first power threshold, start the range extender, and according to the driving motor voltage, driving motor current, and accessory power consumption , the preset average efficiency of the driving motor and the average efficiency of the generator to obtain the second generated power, wherein the mathematical expression for obtaining the second generated power includes:
P2为所述第二发电功率,U为所述驱动电机电压,I为所述驱动电机电流,ηm为所述驱动电机平均效率,ηn为所述发电机平均效率,Pa为所述附件消耗功率;将所述第二发电功率分别与预设的第一功率阈值和第二功率阈值进行对比,其中,所述第一功率阈值小于所述第二功率阈值;当所述第二发电功率小于所述第一功率阈值时,控制所述增程器按照所述第一功率阈值发电;当所述第二发电功率大于或等于所述第一功率阈值,且小于或等于所述第二功率阈值时,控制所述增程器按照所述第二发电功率发电;当所述第二发电功率大于所述第二功率阈值时,控制所述增程器按照所述第二功率阈值发电。其中,附件消耗功率为车辆的空调、加热器以及直流转换器等附件所消耗的功率。P2 is the second generating power, U is the driving motor voltage, I is the driving motor current, ηm is the average efficiency of the driving motor, ηn is the average efficiency of the generator, and Pa is the The accessory consumes power; compare the second generated power with the preset first power threshold and the second power threshold respectively, wherein the first power threshold is smaller than the second power threshold; when the second When the generated power is less than the first power threshold, control the range extender to generate electricity according to the first power threshold; when the second generated power is greater than or equal to the first power threshold and less than or equal to the first power threshold When the second power threshold is reached, control the range extender to generate electricity according to the second power generation; when the second power generation is greater than the second power threshold, control the range extender to generate electricity according to the second power threshold . Wherein, the accessory power consumption refers to the power consumed by accessories such as the vehicle's air conditioner, heater, and DC converter.
需要说明的是,其他对比结果,当前电量大于或等于第一电量阈值且小于或等于第二电量阈值,不改变增程器的工作状态。高速路况所需的功率更接近增程器高效区,因此在对增程器的控制上更偏向与提高增程器的效率,降低能耗。第一功率阈值和第二功率阈值可以由厂商通过增程器台架试验获取增程器的万有特性,并得到高效率对应的功率区间,其中,增程器的万有特性用于指示增程器的功率、效率等之间的映射关系,第一功率阈值为该功率区间的左端点,第二功率阈值为该功率区间的右端点。当整车需求功率在功率区间内时,增程器的发电功率等于整车需求功率,可以减少通过电池传递能量存在的能量损耗。当车速较高时,由于风阻较大,此时如果增程器以较大功率发电会存在效率低且轰鸣声明显的现象,因此可使用功率区间的右端点指示的功率,即第二功率阈值进行发电,如果没有达到整车需求功率,则通过动力电池进行补足。相反的,当车速较低时,整车需求功率小于功率区间的左端点,即第一功率阈值,此时增程器使用第一功率阈值进行发电,可提高增程器效率,多余的能量存储在电池中。It should be noted that, for other comparison results, if the current power is greater than or equal to the first power threshold and less than or equal to the second power threshold, the working state of the range extender will not be changed. The power required for high-speed road conditions is closer to the high-efficiency zone of the range extender, so the control of the range extender is more biased towards improving the efficiency of the range extender and reducing energy consumption. The first power threshold and the second power threshold can be obtained by the manufacturer through the bench test of the range extender to obtain the universal characteristics of the range extender, and obtain the power range corresponding to high efficiency. The first power threshold is the left endpoint of the power range, and the second power threshold is the right endpoint of the power range. When the required power of the whole vehicle is within the power range, the power generated by the range extender is equal to the required power of the whole vehicle, which can reduce the energy loss of energy transmitted through the battery. When the vehicle speed is high, due to the large wind resistance, if the range extender generates electricity with a large power, the efficiency will be low and the roar will be obvious. Therefore, the power indicated by the right end point of the power range can be used, that is, the second power threshold To generate electricity, if the required power of the vehicle is not reached, it will be supplemented by the power battery. On the contrary, when the vehicle speed is low, the required power of the whole vehicle is less than the left endpoint of the power range, that is, the first power threshold. At this time, the range extender uses the first power threshold to generate electricity, which can improve the efficiency of the range extender and save excess energy. in the battery.
在一种可实施的方式中,所述基于在所述第一时长范围内的路面工况,获取当前车速和/或当前电量,并根据所述当前车速和/或所述当前电量,确定对应的增程器控制决策,以调整所述增程器的运行状态的步骤,包括:当所述路面工况为所述拥堵路况时,采集当前车辆的当前电量;获取预设的第三电量阈值和第四电量阈值,将所述当前电量分别与所述第三电量阈值和所述第四电量阈值进行对比,其中,所述第三电量阈值小于所述第四电量阈值;当所述当前电量大于所述第四电量阈值时,关闭所述增程器;当所述当前电量小于所述第三电量阈值时,启动所述增程器,获取预设的第五电量阈值,并对比所述当前电量与所述第五电量阈值,其中,所述第五电量阈值小于所述第三电量阈值;当所述当前电量大于所述第五电量阈值时,根据预设的整车滑行阻力系数、驱动电机平均效率、发电机平均效率以及所述第三速度阈值,获得第三发电功率,控制所述增程器按照所述第三发电功率发电,其中,获得所述第三发电功率的数学表达包括:In a practicable manner, the current vehicle speed and/or current battery capacity are obtained based on the road condition within the first duration range, and the corresponding The step of controlling the range extender to adjust the operating state of the range extender includes: when the road condition is the congested road condition, collecting the current electric quantity of the current vehicle; obtaining a preset third electric quantity threshold and the fourth power threshold, comparing the current power with the third power threshold and the fourth power threshold, wherein the third power threshold is smaller than the fourth power threshold; when the current power When it is greater than the fourth power threshold, turn off the range extender; when the current power is less than the third power threshold, start the range extender, obtain the preset fifth power threshold, and compare the The current electric quantity and the fifth electric quantity threshold, wherein the fifth electric quantity threshold is smaller than the third electric quantity threshold; when the current electric quantity is greater than the fifth electric quantity threshold, according to the preset vehicle sliding resistance coefficient, Drive the average efficiency of the motor, the average efficiency of the generator, and the third speed threshold to obtain a third power generation, and control the range extender to generate power according to the third power generation, wherein the mathematical expression of the third power generation is obtained include:
P3为所述第三发电功率,a、b和c均为所述整车滑行阻力系数,v3为所述第三速度阈值,ηm为所述驱动电机平均效率,ηn为所述发电机平均效率;当所述当前电量小于所述第五电量阈值时,根据所述整车滑行阻力系数、所述驱动电机平均效率、所述发电机平均效率以及所述第二速度阈值,获得第四发电功率,控制所述增程器按照所述第四发电功率发电,其中,获得所述第四发电功率的数学表达包括:P3 is the third generating power, a, b and c are the sliding resistance coefficients of the vehicle, v3 is the third speed threshold, ηm is the average efficiency of the drive motor, and ηn is the The average efficiency of the generator; when the current electric quantity is less than the fifth electric quantity threshold, according to the vehicle sliding resistance coefficient, the average efficiency of the drive motor, the average efficiency of the generator and the second speed threshold, obtain Fourth generating power, controlling the range extender to generate electricity according to the fourth generating power, wherein the mathematical expression for obtaining the fourth generating power includes:
P4为所述第四发电功率,a、b和c均为所述整车滑行阻力系数,v2为所述第二速度阈值,ηm为所述驱动电机平均效率,ηn为所述发电机平均效率。P4 is the fourth generating power, a, b and c are the sliding resistance coefficients of the vehicle, v2 is the second speed threshold, ηm is the average efficiency of the drive motor, and ηn is the Generator average efficiency.
其中,第三电量阈值、第四电量阈值和第五电量阈值由厂商根据动力电池容量设定,第三电量阈值和第五电量阈值使用较低的值;且结合前述步骤中的第一电量阈值和第二电量阈值来看,第二电量阈值、第一电量阈值、第四电量阈值、第三电量阈值以及第五电量阈值遵循从大到小的顺序。Among them, the third power threshold, the fourth power threshold and the fifth power threshold are set by the manufacturer according to the power battery capacity, and the third power threshold and the fifth power threshold use lower values; and combined with the first power threshold in the previous steps From the perspective of the second power threshold, the second power threshold, the first power threshold, the fourth power threshold, the third power threshold and the fifth power threshold follow the order from large to small.
需要说明的是,在拥堵路况中增程器的频繁启停会产生噪声,且低速下使用大功率发电会产生较大噪声,小功率发电使得增程器的效率降低,因此拥堵路况可以尽量保持纯电行驶,当电池电量较低时启动增程器发电。因此,当动力电池电量低于第三电量阈值时启动增程器,高于第四电量阈值时关闭增程器。由于车辆在低速行驶时,其增程器运行导致噪声较为明显,因此使用固定功率发电。为了确保电量不再进一步下降,根据电量可以划分两个发电功率,即第三发电功率和第四发电功率;当前电量大于第五电量阈值且小于第三电量阈值时,按照第三发电功率发电;如果长时间在拥堵路况会导致动力电池的电量持续下降,当前电量低于第五电量阈值时,按照第四发电功率发电,使动力电池电量逐渐上升。由于在拥堵路况中,一般车辆的平均速度小于或等于40kph,因此,第三发电功率可以根据车辆在平直的或坡度起伏较小的道路上以20kph的车速匀速行驶时的阻尼功率得到;第四发电功率可以根据车辆在平直的或坡度起伏较小的道路上以40kph的车速匀速行驶时的阻尼功率得到。It should be noted that the frequent start and stop of the range extender in congested road conditions will generate noise, and the use of high-power power generation at low speeds will generate greater noise, and low-power power generation will reduce the efficiency of the range extender, so congested road conditions can be maintained as much as possible. Pure electric driving, when the battery power is low, start the range extender to generate electricity. Therefore, the range extender is activated when the power of the power battery is lower than the third power threshold, and the range extender is turned off when it is higher than the fourth power threshold. When the vehicle is running at a low speed, the noise caused by the operation of its range extender is relatively obvious, so a fixed power is used for power generation. In order to ensure that the power will not drop further, according to the power, two generating powers can be divided, that is, the third generating power and the fourth generating power; when the current power is greater than the fifth power threshold and less than the third power threshold, generate power according to the third power; If the road condition is congested for a long time, the power of the power battery will continue to decrease. When the current power is lower than the fifth power threshold, the power of the power battery will be generated according to the fourth generating power, so that the power of the power battery will gradually increase. Because in congested road conditions, the average speed of general vehicles is less than or equal to 40kph, therefore, the third generating power can be obtained according to the damping power when the vehicle is running at a constant speed of 20kph on a straight road or a road with less slope undulation; Fourth, the generating power can be obtained according to the damping power when the vehicle is running at a constant speed of 40kph on a straight road or a road with small slope fluctuations.
综上所述,本申请的基于车速的增程器控制方法通过对路面工况进行识别,确定路面工况的具体类型是高速路况或是拥堵路况又或者是基础路况,从而针对每种路面工况采用不同的增程器控制决策,是的增程器乃至车辆能更好的兼容各种路面工况,提高增程器的效率以改善增程器产生较大噪声的现象。In summary, the vehicle speed-based range extender control method of the present application identifies the road conditions and determines whether the specific type of the road conditions is high-speed road conditions, congested road conditions, or basic road conditions, so as to target each road condition. Different range extender control decisions are used in different situations, so that the range extender and even the vehicle can be better compatible with various road conditions, and the efficiency of the range extender can be improved to improve the phenomenon of the range extender producing loud noise.
应该理解的是,虽然图1的流程图中的各个步骤按照箭头的指示依次显示,但是这些步骤并不是必然按照箭头指示的顺序依次执行。除非本文中有明确的说明,这些步骤的执行并没有严格的顺序限制,这些步骤可以以其它的顺序执行。而且,图1中的至少一部分步骤可以包括多个子步骤或者多个阶段,这些子步骤或者阶段并不必然是在同一时刻执行完成,而是可以在不同的时刻执行,这些子步骤或者阶段的执行顺序也不必然是依次进行,而是可以与其它步骤或者其它步骤的子步骤或者阶段的至少一部分轮流或者交替地执行。It should be understood that although the various steps in the flow chart of FIG. 1 are displayed sequentially as indicated by the arrows, these steps are not necessarily executed sequentially in the order indicated by the arrows. Unless otherwise specified herein, there is no strict order restriction on the execution of these steps, and these steps can be executed in other orders. Moreover, at least some of the steps in Fig. 1 may include multiple sub-steps or multiple stages, these sub-steps or stages are not necessarily executed at the same time, but may be executed at different times, the execution of these sub-steps or stages The order is not necessarily performed sequentially, but may be performed alternately or alternately with at least a part of other steps or sub-steps or stages of other steps.
在另一个实施例中,参考图2,提供了一种基于车速的增程器控制系统,所述系统包括整车控制器,其中,In another embodiment, referring to FIG. 2 , a vehicle speed-based range extender control system is provided, the system includes a vehicle controller, wherein,
所述整车控制器用于获取预设的第一时长,以及在所述第一时长范围内的车辆平均速度;The vehicle controller is used to obtain a preset first duration and the average speed of the vehicle within the range of the first duration;
所述整车控制器还用于根据所述车辆平均速度,确定在所述第一时长范围内的路面工况;The vehicle controller is also used to determine the road condition within the first duration range according to the average vehicle speed;
所述整车控制器还用于基于在所述第一时长范围内的路面工况,获取当前车速和/或当前电量,并根据所述当前车速和/或所述当前电量,确定对应的增程器控制决策,以调整所述增程器的运行状态。The vehicle controller is further configured to acquire the current vehicle speed and/or the current battery capacity based on the road condition within the first time length range, and determine the corresponding increase rate according to the current vehicle speed and/or the current battery capacity. range extender control decisions to adjust the operating state of the range extender.
具体的,参考图2,所述系统还包括速度传感器,所述速度传感器与所述整车控制器电性连接,其中,所述速度传感器用于采集当前样本车速,所述整车控制器还用于获取在所述第一时长前的历史样本车速;根据所述当前样本车速和所述历史样本车速,获得在所述第一时长范围内的车辆平均速度,其中,获得在所述第一时长范围内的车辆平均速度的数学表达包括:Specifically, referring to FIG. 2, the system further includes a speed sensor, the speed sensor is electrically connected to the vehicle controller, wherein the speed sensor is used to collect the current sample vehicle speed, and the vehicle controller also Used to obtain the historical sample vehicle speed before the first time length; according to the current sample vehicle speed and the historical sample vehicle speed, obtain the vehicle average speed within the first time length range, wherein, obtain the vehicle speed in the first time length The mathematical expression of the average speed of the vehicle in the time range includes:
为所述在所述第一时长范围内的车辆平均速度,V(n)为所述当前样本车速,V(n-1)为所述历史样本车速,t为所述第一时长。 is the average vehicle speed within the first duration, V(n) is the current sample vehicle speed, V(n-1) is the historical sample vehicle speed, and t is the first duration.
具体的,所述整车控制器还用于获取预设的第一速度阈值,对比所述车辆平均速度和所述第一速度阈值;当所述车辆平均速度大于或等于所述第一速度阈值,并持续所述第一时长时,确定在所述第一时长范围内的路面工况从基础路况转为高速路况。Specifically, the vehicle controller is also used to obtain a preset first speed threshold, and compare the vehicle average speed with the first speed threshold; when the vehicle average speed is greater than or equal to the first speed threshold , and when the first duration lasts, it is determined that the road condition within the first duration changes from a basic road condition to a high-speed road condition.
具体的,所述整车控制器还用于获取预设的第二速度阈值,对比所述当前样本车速和所述第二速度阈值,其中,所述第二速度阈值小于所述第一速度阈值;当所述当前样本车速小于或等于所述第二速度阈值时,确定在所述第一时长范围内的路面工况从所述高速路况转为所述基础路况。Specifically, the vehicle controller is also used to obtain a preset second speed threshold, and compare the current sample vehicle speed with the second speed threshold, wherein the second speed threshold is smaller than the first speed threshold ; When the current sample vehicle speed is less than or equal to the second speed threshold, determine that the road condition within the first duration range changes from the high-speed road condition to the basic road condition.
具体的,所述整车控制器还用于获取预设的第二速度阈值和第三速度阈值,其中,所述第二速度阈值大于所述第三速度阈值;对比所述车辆平均速度和所述第二速度阈值以及所述当前样本车速和所述第三速度阈值;当所述车辆平均速度小于或等于所述第二速度阈值,并持续所述第一时长,以及所述当前样本车速小于或等于所述第三速度阈值时,确定在所述第一时长范围内的路面工况从基础路况转为拥堵路况。Specifically, the vehicle controller is also used to obtain a preset second speed threshold and a third speed threshold, wherein the second speed threshold is greater than the third speed threshold; compare the vehicle average speed with the The second speed threshold and the current sample vehicle speed and the third speed threshold; when the average vehicle speed is less than or equal to the second speed threshold and lasts for the first duration, and the current sample vehicle speed is less than or equal to the third speed threshold, it is determined that the road condition within the first duration range changes from a basic road condition to a congested road condition.
具体的,所述整车控制器还用于获取预设的第四速度阈值,对比所述车辆平均速度和所述第四速度阈值,其中,所述第四速阈值大于所述第三速度阈值且小于所述第二速度阈值;当所述车辆平均速度大于或等于所述第四速度阈值,并持续所述第一时长时,确定在所述第一时长范围内的路面工况从所述拥堵路况转为所述基础路况。Specifically, the vehicle controller is also used to obtain a preset fourth speed threshold, and compare the vehicle average speed with the fourth speed threshold, wherein the fourth speed threshold is greater than the third speed threshold and less than the second speed threshold; when the vehicle average speed is greater than or equal to the fourth speed threshold and lasts for the first duration, it is determined that the road conditions within the first duration range from the The congested road condition is changed to the basic road condition.
具体的,参考图2,所述系统还包括电池管理系统,其中,所述电池管理系统与所述整车控制器电性连接,当所述路面工况为所述基础路况时,所述速度传感器用于采集当前车辆的当前车速,所述电池管理系统用于采集当前电量;所述整车控制器还用于获取预设的第五速度阈值、第六速度阈值、第一电量阈值以及第二电量阈值,其中,所述第五速度阈值大于所述第六速度阈值,所述第一电量阈值小于所述第二电量阈值;将所述当前车速分别与所述第五速度阈值和所述第六速度阈值进行对比,以及将所述当前电量分别与所述第一电量阈值和所述第二电量阈值进行对比;当所述当前车速小于所述第六速度阈值,或所述当前电量大于所述第二电量阈值时,关闭所述增程器;当所述当前车速大于所述第五速度阈值,且所述当前电量小于所述第一电量阈值时,启动所述增程器,并根据预设的整车滑行阻力系数、驱动电机平均效率、发电机平均效率以及所述当前车速,获得第一发电功率,控制所述增程器按照所述第一发电功率发电,其中,获得所述第一发电功率的数学表达包括:Specifically, referring to FIG. 2 , the system further includes a battery management system, wherein the battery management system is electrically connected to the vehicle controller, and when the road condition is the basic road condition, the speed The sensor is used to collect the current vehicle speed of the current vehicle, and the battery management system is used to collect the current electric quantity; the vehicle controller is also used to obtain the preset fifth speed threshold, sixth speed threshold, first electric quantity threshold and Two power thresholds, wherein the fifth speed threshold is greater than the sixth speed threshold, and the first power threshold is smaller than the second power threshold; compare the current vehicle speed with the fifth speed threshold and the Comparing the sixth speed threshold, and comparing the current electric quantity with the first electric quantity threshold and the second electric quantity threshold respectively; when the current vehicle speed is less than the sixth speed threshold, or the current electric quantity is greater than When the second power threshold is reached, turn off the range extender; when the current vehicle speed is greater than the fifth speed threshold and the current power is less than the first power threshold, start the range extender, and According to the preset vehicle sliding resistance coefficient, the average efficiency of the drive motor, the average efficiency of the generator, and the current vehicle speed, the first power generation is obtained, and the range extender is controlled to generate electricity according to the first power generation, wherein the obtained The mathematical expression of the first generating power includes:
P1为所述第一发电功率,a、b和c均为所述整车滑行阻力系数,vi为所述当前车速,ηm为所述驱动电机平均效率,ηn为所述发电机平均效率。P1 is the first generating power, a, b and c are the sliding resistance coefficients of the vehicle,v is the current vehicle speed, ηm is the average efficiency of the drive motor, and ηn is the generator average efficiency.
具体的,参考图2,所述系统还包括功率分析仪,其中,所述功率分析仪分别与车辆的空调、加热器和直流转换器等附件以及整车控制器电性连接,当所述路面工况为所述高速路况时,所述电池管理系统用于采集当前车辆的当前电量;所述整车控制器还用于获取预设的第一电量阈值和第二电量阈值,将所述当前电量分别与所述第一电量阈值和所述第二电量阈值进行对比,其中,所述第一电量阈值小于所述第二电量阈值;当所述当前电量大于所述第二电量阈值时,关闭所述增程器;当所述当前电量小于所述第一电量阈值时,启动所述增程器,并根据驱动电机电压、驱动电机电流、附件消耗功率、预设的驱动电机平均效率以及发电机平均效率,获得第二发电功率,其中,获得所述第二发电功率的数学表达包括:Specifically, referring to FIG. 2, the system also includes a power analyzer, wherein the power analyzer is electrically connected to the vehicle's air conditioner, heater, DC converter and other accessories, as well as the vehicle controller. When the working condition is the high-speed road condition, the battery management system is used to collect the current power of the current vehicle; the vehicle controller is also used to obtain the preset first power threshold and second power threshold, and the current The power is compared with the first power threshold and the second power threshold respectively, wherein the first power threshold is smaller than the second power threshold; when the current power is greater than the second power threshold, turn off The range extender; when the current power is less than the first power threshold, start the range extender, and according to the drive motor voltage, drive motor current, accessory power consumption, preset drive motor average efficiency and power generation The average efficiency of the machine is obtained to obtain the second power generation, wherein the mathematical expression for obtaining the second power generation includes:
P2为所述第二发电功率,U为所述驱动电机电压,I为所述驱动电机电流,ηm为所述驱动电机平均效率,ηn为所述发电机平均效率,Pa为所述附件消耗功率;将所述第二发电功率分别与预设的第一功率阈值和第二功率阈值进行对比,其中,所述第一功率阈值小于所述第二功率阈值;当所述第二发电功率小于所述第一功率阈值时,控制所述增程器按照所述第一功率阈值发电;当所述第二发电功率大于或等于所述第一功率阈值,且小于或等于所述第二功率阈值时,控制所述增程器按照所述第二发电功率发电;当所述第二发电功率大于所述第二功率阈值时,控制所述增程器按照所述第二功率阈值发电。P2 is the second generating power, U is the driving motor voltage, I is the driving motor current, ηm is the average efficiency of the driving motor, ηn is the average efficiency of the generator, and Pa is the The accessory consumes power; compare the second generated power with the preset first power threshold and the second power threshold respectively, wherein the first power threshold is smaller than the second power threshold; when the second When the generated power is less than the first power threshold, control the range extender to generate electricity according to the first power threshold; when the second generated power is greater than or equal to the first power threshold and less than or equal to the first power threshold When the second power threshold is reached, control the range extender to generate electricity according to the second power generation; when the second power generation is greater than the second power threshold, control the range extender to generate electricity according to the second power threshold .
需要说明的是,在获得第二发电功率之前,所述电池管理系统用于采集流向驱动电机的驱动电机电压和驱动电机电流,并发送给整车控制器;所述功率分析仪用于采集空调、加热器和直流转换器等附件消耗的功率,即附件消耗功率,并发送给整车控制器。It should be noted that, before obtaining the second generated power, the battery management system is used to collect the drive motor voltage and drive motor current flowing to the drive motor and send them to the vehicle controller; the power analyzer is used to collect , the power consumed by accessories such as heaters and DC converters, that is, the power consumed by accessories, and sent to the vehicle controller.
具体的,当所述路面工况为所述拥堵路况时,所述电池管理系统用于采集当前车辆的当前电量;所述整车控制器还用于获取预设的第三电量阈值和第四电量阈值,将所述当前电量分别与所述第三电量阈值和所述第四电量阈值进行对比,其中,所述第三电量阈值小于所述第四电量阈值;当所述当前电量大于所述第四电量阈值时,关闭所述增程器;当所述当前电量小于所述第三电量阈值时,启动所述增程器,获取预设的第五电量阈值,并对比所述当前电量与所述第五电量阈值,其中,所述第五电量阈值小于所述第三电量阈值;当所述当前电量大于所述第五电量阈值时,根据预设的整车滑行阻力系数、驱动电机平均效率、发电机平均效率以及所述第三速度阈值,获得第三发电功率,控制所述增程器按照所述第三发电功率发电,其中,获得所述第三发电功率的数学表达包括:Specifically, when the road condition is the congested road condition, the battery management system is used to collect the current power of the vehicle; the vehicle controller is also used to obtain the preset third power threshold and the fourth A power threshold, comparing the current power with the third power threshold and the fourth power threshold, wherein the third power threshold is smaller than the fourth power threshold; when the current power is greater than the When the fourth power threshold is reached, turn off the range extender; when the current power is less than the third power threshold, start the range extender, obtain the preset fifth power threshold, and compare the current power with the The fifth electric quantity threshold, wherein, the fifth electric quantity threshold is smaller than the third electric quantity threshold; when the current electric quantity is greater than the fifth electric quantity threshold, according to the preset vehicle sliding resistance coefficient and the driving motor average Efficiency, generator average efficiency, and the third speed threshold, obtain a third power generation, and control the range extender to generate power according to the third power generation, wherein the mathematical expression for obtaining the third power generation includes:
P3为所述第三发电功率,a、b和c均为所述整车滑行阻力系数,v3为所述第三速度阈值,ηm为所述驱动电机平均效率,ηn为所述发电机平均效率;当所述当前电量小于所述第五电量阈值时,根据所述整车滑行阻力系数、所述驱动电机平均效率、所述发电机平均效率以及所述第二速度阈值,获得第四发电功率,控制所述增程器按照所述第四发电功率发电,其中,获得所述第四发电功率的数学表达包括:P3 is the third generating power, a, b and c are the sliding resistance coefficients of the vehicle, v3 is the third speed threshold, ηm is the average efficiency of the drive motor, and ηn is the The average efficiency of the generator; when the current electric quantity is less than the fifth electric quantity threshold, according to the vehicle sliding resistance coefficient, the average efficiency of the drive motor, the average efficiency of the generator and the second speed threshold, obtain Fourth generating power, controlling the range extender to generate electricity according to the fourth generating power, wherein the mathematical expression for obtaining the fourth generating power includes:
P4为所述第四发电功率,a、b和c均为所述整车滑行阻力系数,v2为所述第二速度阈值,ηm为所述驱动电机平均效率,ηn为所述发电机平均效率。P4 is the fourth generating power, a, b and c are the sliding resistance coefficients of the vehicle, v2 is the second speed threshold, ηm is the average efficiency of the drive motor, and ηn is the Generator average efficiency.
关于基于车速的增程器控制系统的具体限定可以参见上文中对于基于车速的增程器控制方法的限定,在此不再赘述。For the specific limitations of the vehicle speed-based range extender control system, please refer to the above-mentioned definition of the vehicle speed-based range extender control method, which will not be repeated here.
以上实施例的各技术特征可以进行任意的组合,为使描述简洁,未对上述实施例中的各个技术特征所有可能的组合都进行描述,然而,只要这些技术特征的组合不存在矛盾,都应当认为是本说明书记载的范围。The technical features of the above embodiments can be combined arbitrarily. To make the description concise, all possible combinations of the technical features in the above embodiments are not described. However, as long as there is no contradiction in the combination of these technical features, they should be It is considered to be within the range described in this specification.
以上所述实施例仅表达了本申请的几种实施方式,其描述较为具体和详细,但并不能因此而理解为对发明专利范围的限制。应当指出的是,对于本领域的普通技术人员来说,在不脱离本申请构思的前提下,还可以做出若干变形和改进,这些都属于本申请的保护范围。因此,本申请专利的保护范围应以所附权利要求为准。The above-mentioned embodiments only represent several implementation modes of the present application, and the description thereof is relatively specific and detailed, but it should not be construed as limiting the scope of the patent for the invention. It should be noted that those skilled in the art can make several modifications and improvements without departing from the concept of the present application, and these all belong to the protection scope of the present application. Therefore, the scope of protection of the patent application should be based on the appended claims.
| Application Number | Priority Date | Filing Date | Title |
|---|---|---|---|
| CN202211502304.9ACN115716470A (en) | 2022-11-28 | 2022-11-28 | Range extender control method and system based on vehicle speed |
| Application Number | Priority Date | Filing Date | Title |
|---|---|---|---|
| CN202211502304.9ACN115716470A (en) | 2022-11-28 | 2022-11-28 | Range extender control method and system based on vehicle speed |
| Publication Number | Publication Date |
|---|---|
| CN115716470Atrue CN115716470A (en) | 2023-02-28 |
| Application Number | Title | Priority Date | Filing Date |
|---|---|---|---|
| CN202211502304.9APendingCN115716470A (en) | 2022-11-28 | 2022-11-28 | Range extender control method and system based on vehicle speed |
| Country | Link |
|---|---|
| CN (1) | CN115716470A (en) |
| Publication number | Priority date | Publication date | Assignee | Title |
|---|---|---|---|---|
| CN116674399A (en)* | 2023-03-31 | 2023-09-01 | 成都赛力斯科技有限公司 | Range extender control method, device and vehicle in driving state |
| CN118894096A (en)* | 2024-08-10 | 2024-11-05 | 重庆赛力斯新能源汽车设计院有限公司 | Control method, device, electronic device and computer-readable storage medium for vehicle range extender |
| Publication number | Priority date | Publication date | Assignee | Title |
|---|---|---|---|---|
| FR2941424A1 (en)* | 2009-01-28 | 2010-07-30 | Renault Sas | SYSTEM AND METHOD FOR MANAGING AN EXTENDER OF AUTONOMY OF AN ELECTRIC VEHICLE |
| DE102010039653A1 (en)* | 2010-08-23 | 2012-02-23 | Bayerische Motoren Werke Aktiengesellschaft | Method for operating range extender in electric vehicle e.g. electric car, involves activating range extender of vehicle in respective route section based on power requirement of electric vehicle with respect to travel route |
| CN107255921A (en)* | 2017-07-04 | 2017-10-17 | 天津农学院 | Range extender of electric vehicle optimal control method |
| CN107627864A (en)* | 2017-08-09 | 2018-01-26 | 浙江吉利新能源商用车有限公司 | A kind of power distribution method and control system of extended-range vehicle |
| CN109808514A (en)* | 2019-01-29 | 2019-05-28 | 浙江吉利新能源商用车集团有限公司 | A range extender device for a vehicle and a control method thereof |
| CN110040004A (en)* | 2019-04-01 | 2019-07-23 | 一汽-大众汽车有限公司 | A kind of the power follow-up control method and system of range-extended electric automobile |
| CN112590764A (en)* | 2020-12-21 | 2021-04-02 | 宝能(西安)汽车研究院有限公司 | Engine control method and device for hybrid vehicle and hybrid vehicle |
| CN112959996A (en)* | 2019-12-12 | 2021-06-15 | 北京车和家信息技术有限公司 | Vehicle control method and device and vehicle |
| CN113044034A (en)* | 2019-12-27 | 2021-06-29 | 北京车和家信息技术有限公司 | Vehicle range extender control method and device |
| CN113954662A (en)* | 2021-10-27 | 2022-01-21 | 重庆金康赛力斯新能源汽车设计院有限公司 | Vehicle range extender control method and device and vehicle range extender control equipment |
| CN114728654A (en)* | 2021-07-19 | 2022-07-08 | 华为数字能源技术有限公司 | A hybrid vehicle drive control method and system |
| CN114802181A (en)* | 2022-04-12 | 2022-07-29 | 柳州五菱新能源汽车有限公司 | Range extender power generation control method and device for hybrid vehicle and vehicle |
| Publication number | Priority date | Publication date | Assignee | Title |
|---|---|---|---|---|
| FR2941424A1 (en)* | 2009-01-28 | 2010-07-30 | Renault Sas | SYSTEM AND METHOD FOR MANAGING AN EXTENDER OF AUTONOMY OF AN ELECTRIC VEHICLE |
| DE102010039653A1 (en)* | 2010-08-23 | 2012-02-23 | Bayerische Motoren Werke Aktiengesellschaft | Method for operating range extender in electric vehicle e.g. electric car, involves activating range extender of vehicle in respective route section based on power requirement of electric vehicle with respect to travel route |
| CN107255921A (en)* | 2017-07-04 | 2017-10-17 | 天津农学院 | Range extender of electric vehicle optimal control method |
| CN107627864A (en)* | 2017-08-09 | 2018-01-26 | 浙江吉利新能源商用车有限公司 | A kind of power distribution method and control system of extended-range vehicle |
| CN109808514A (en)* | 2019-01-29 | 2019-05-28 | 浙江吉利新能源商用车集团有限公司 | A range extender device for a vehicle and a control method thereof |
| CN110040004A (en)* | 2019-04-01 | 2019-07-23 | 一汽-大众汽车有限公司 | A kind of the power follow-up control method and system of range-extended electric automobile |
| CN112959996A (en)* | 2019-12-12 | 2021-06-15 | 北京车和家信息技术有限公司 | Vehicle control method and device and vehicle |
| CN113044034A (en)* | 2019-12-27 | 2021-06-29 | 北京车和家信息技术有限公司 | Vehicle range extender control method and device |
| CN112590764A (en)* | 2020-12-21 | 2021-04-02 | 宝能(西安)汽车研究院有限公司 | Engine control method and device for hybrid vehicle and hybrid vehicle |
| CN114728654A (en)* | 2021-07-19 | 2022-07-08 | 华为数字能源技术有限公司 | A hybrid vehicle drive control method and system |
| CN113954662A (en)* | 2021-10-27 | 2022-01-21 | 重庆金康赛力斯新能源汽车设计院有限公司 | Vehicle range extender control method and device and vehicle range extender control equipment |
| CN114802181A (en)* | 2022-04-12 | 2022-07-29 | 柳州五菱新能源汽车有限公司 | Range extender power generation control method and device for hybrid vehicle and vehicle |
| Publication number | Priority date | Publication date | Assignee | Title |
|---|---|---|---|---|
| CN116674399A (en)* | 2023-03-31 | 2023-09-01 | 成都赛力斯科技有限公司 | Range extender control method, device and vehicle in driving state |
| CN118894096A (en)* | 2024-08-10 | 2024-11-05 | 重庆赛力斯新能源汽车设计院有限公司 | Control method, device, electronic device and computer-readable storage medium for vehicle range extender |
| Publication | Publication Date | Title |
|---|---|---|
| CN110040004B (en) | Power following control method and system of range-extended pure electric vehicle | |
| CN109693578B (en) | A method and system for controlling power distribution of a fuel cell vehicle | |
| CN108394401B (en) | Control method, system, device and storage medium for automotive power plant | |
| CN115716470A (en) | Range extender control method and system based on vehicle speed | |
| CN108995642B (en) | A vehicle range extender control method, system and vehicle | |
| CN107697063B (en) | Energy management control method for intelligent hybrid electric vehicle | |
| CN104163114B (en) | A kind of car load energy management method for internal combustion power generating mileage increasing type electric vehicle | |
| CN115923768A (en) | Range extender control method and system based on gradient | |
| CN114506250B (en) | Fuel cell automobile working condition self-adaptive control method based on operation data | |
| CN110155057A (en) | Vehicle energy management system and management method | |
| CN112373319B (en) | Power system control method and system of range-extended vehicle and vehicle | |
| KR20180022127A (en) | Method and device for controlling output of low voltage DC-DC converter in environmentally friendly vehicle | |
| CN111409465A (en) | Vehicle regenerative braking control method and control device | |
| CN111409576A (en) | Vehicle generator control method and system | |
| CN110723134B (en) | Adaptive Thermostat Control Method for Extended-Range Electric Vehicles Based on Operating Conditions Prediction | |
| CN113879181A (en) | A real-time energy management control method that can improve the service life of fuel cells | |
| US20230158894A1 (en) | Apparatus and method for controlling operation of electric vehicle | |
| CN108749646A (en) | A kind of dual-motor electric Automobile drive torque distribution method | |
| CN113924238A (en) | Electric device control method and electric device | |
| CN110696637B (en) | A range extender control method, device and vehicle | |
| JP5351202B2 (en) | Vehicle power generation control device | |
| CN116639113A (en) | Power protection control method for hybrid electric vehicle | |
| JP2010125956A (en) | System for controlling electric vehicle | |
| CN116198479A (en) | Vehicle energy management method, system, storage medium and device | |
| CN111284472B (en) | Control strategy and controller of hybrid electric vehicle |
| Date | Code | Title | Description |
|---|---|---|---|
| PB01 | Publication | ||
| PB01 | Publication | ||
| SE01 | Entry into force of request for substantive examination | ||
| SE01 | Entry into force of request for substantive examination | ||
| TA01 | Transfer of patent application right | ||
| TA01 | Transfer of patent application right | Effective date of registration:20240118 Address after:No. 13 Xingxiang Road, Zengjia Town, High tech Zone, Jiulongpo District, Chongqing, 400039 Applicant after:Chongqing Selis Phoenix Intelligent Innovation Technology Co.,Ltd. Address before:610095 No. 2901, floor 29, unit 1, building 1, No. 151, Tianfu Second Street, high tech Zone, China (Sichuan) pilot Free Trade Zone, Chengdu, Sichuan Province Applicant before:Chengdu Thalys Technology Co.,Ltd. | |
| RJ01 | Rejection of invention patent application after publication | ||
| RJ01 | Rejection of invention patent application after publication | Application publication date:20230228 |