


技术领域technical field
本发明涉及配电网技术领域,尤其涉及一种基于概率盒和条件风险价值的优化调度方法及终端。The invention relates to the field of distribution network technology, in particular to an optimal scheduling method and terminal based on probability boxes and conditional value-at-risk.
背景技术Background technique
在“双碳”目标被提出以及电力体制改革不断推进的背景下,大规模可再生能源发电机组入网已成电力系统的重要发展趋势。其中,可再生能源发电机组以分布式、小容量的形式接入配电网是一种重要模式,但分布式可再生能源(Renewable DistributedGeneration,RDG)所具有的随机性与波动性等特征可能导致系统出现电压越限、线路阻塞以及运维费用增加等诸多问题。In the context of the "double carbon" goal being proposed and the continuous advancement of power system reform, the grid connection of large-scale renewable energy generating units has become an important development trend of the power system. Among them, it is an important mode for renewable energy generating units to be connected to the distribution network in the form of distributed and small capacity, but the randomness and volatility of distributed renewable energy (Renewable Distributed Generation, RDG) may lead to There are many problems in the system, such as voltage exceeding the limit, line congestion, and increase in operation and maintenance costs.
确定性潮流计算方法难以适应复杂不确定性条件下的电力系统经济调度,不宜以其为基础对高比例新能源电力系统进行管理和控制。针对影响RDG出力的风速、光照强度等自然因素,基于区间潮流计算方法建立区间优化模型可有效地对其不确定性进行刻画,是一种较为常见的不确定性优化方法。The deterministic power flow calculation method is difficult to adapt to the economic dispatch of power systems under complex and uncertain conditions, and it is not suitable to use it as a basis for management and control of high-proportion new energy power systems. For natural factors such as wind speed and light intensity that affect RDG output, establishing an interval optimization model based on the interval power flow calculation method can effectively describe its uncertainty, which is a relatively common uncertainty optimization method.
区间优化方法的本质是以区间算术求解最佳的决策变量组合,使目标在区间形式上达到最优;传统区间方法在区间边界提取过程中以最恶劣场景为区间边界,为保证安全性,所生成的不确定因素波动区间的宽度过大,导致优化结果的经济性不佳,而区间截断法通过预先设定置信度压缩区间宽度实现提升优化结果经济性的目的,但由于无法计及置信区间外的不确定因素,存在难以保证其安全性的弊端。The essence of the interval optimization method is to solve the best combination of decision variables by interval arithmetic, so that the target can be optimal in the interval form; the traditional interval method uses the worst scene as the interval boundary in the process of interval boundary extraction, in order to ensure safety, the The width of the fluctuation interval of the generated uncertain factors is too large, resulting in poor economics of the optimization results, and the interval truncation method achieves the purpose of improving the economics of the optimization results by pre-setting the confidence degree to compress the interval width, but because the confidence interval cannot be taken into account Due to external uncertain factors, there are disadvantages that it is difficult to guarantee its safety.
发明内容Contents of the invention
本发明所要解决的技术问题是:提供一种基于概率盒和条件风险价值的优化调度方法及终端,能够实现配电网经济性和安全性的有效平衡。The technical problem to be solved by the present invention is to provide an optimal scheduling method and terminal based on the probability box and conditional value-at-risk, which can achieve an effective balance between the economy and security of the distribution network.
为了解决上述技术问题,本发明采用的一种技术方案为:In order to solve the above-mentioned technical problems, a kind of technical scheme that the present invention adopts is:
一种基于概率盒和条件风险价值的优化调度方法,包括步骤:An optimal scheduling method based on probability boxes and conditional value-at-risk, including steps:
确定预设周期内分布式可再生能源出力和负荷需求分别对应的预测误差;Determine the forecast errors corresponding to the distributed renewable energy output and load demand within the preset period;
基于每一所述预测误差确定对应的累积概率密度函数曲线,并根据概率盒理论基于每一所述预测误差从所述累积概率密度曲线中确定满足预设置信度的区间集合;Determining a corresponding cumulative probability density function curve based on each of the prediction errors, and determining an interval set satisfying a preset reliability from the cumulative probability density curve based on each of the prediction errors according to the probability box theory;
基于条件风险价值理论计算所述满足预设置信度的区间集合对应的最终不确定因素波动区间;Calculate the final uncertainty factor fluctuation interval corresponding to the interval set satisfying the preset reliability based on the conditional value-at-risk theory;
基于所述最终不确定因素波动区间构建优化调度模型,并使用智能优化算法求解所述优化调度模型,得到优化调度方案。An optimal scheduling model is constructed based on the fluctuation interval of the final uncertain factor, and an intelligent optimization algorithm is used to solve the optimal scheduling model to obtain an optimal scheduling scheme.
为了解决上述技术问题,本发明采用的另一种技术方案为:In order to solve the above-mentioned technical problems, another kind of technical scheme that the present invention adopts is:
一种基于概率盒和条件风险价值的优化调度终端,包括存储器、处理器及存储在存储器上并可在所述处理器上运行的计算机程序,所述处理器执行所述计算机程序时实现以下步骤:An optimal scheduling terminal based on probability boxes and conditional value-at-risk, comprising a memory, a processor, and a computer program stored on the memory and operable on the processor, and the processor implements the following steps when executing the computer program :
确定预设周期内分布式可再生能源出力和负荷需求分别对应的预测误差;Determine the forecast errors corresponding to the distributed renewable energy output and load demand within the preset period;
基于每一所述预测误差确定对应的累积概率密度曲线,并根据概率盒理论基于每一所述预测误差从所述累积概率密度曲线中确定满足预设置信度的区间集合;Determining a corresponding cumulative probability density curve based on each of the prediction errors, and determining an interval set that satisfies a preset reliability from the cumulative probability density curve based on each of the prediction errors according to the probability box theory;
基于条件风险价值理论计算所述满足预设置信度的区间集合对应的最终不确定因素波动区间;Calculate the final uncertainty factor fluctuation interval corresponding to the interval set satisfying the preset reliability based on the conditional value-at-risk theory;
基于所述最终不确定因素波动区间构建优化调度模型,并使用智能优化算法求解所述优化调度模型,得到优化调度方案。An optimal scheduling model is constructed based on the fluctuation interval of the final uncertain factor, and an intelligent optimization algorithm is used to solve the optimal scheduling model to obtain an optimal scheduling scheme.
本发明的有益效果在于:基于每一预测误差确定对应的累积概率密度曲线,并根据概率盒理论基于每一预测误差从累积概率密度曲线中确定满足预设置信度的区间集合,基于条件风险价值理论计算满足预设置信度的区间集合对应的最终不确定因素波动区间,基于最终不确定因素波动区间构建优化调度模型,以此利用概率盒理论描述分布式可再生能源出力及负荷需求的随机不确定性及模型参数的认知不确定性,保证不确定信息的完整性,基于不确定集合采用条件风险价值理论计算置信区间外的不确定性情形,在避免传统区间优化方法保守性的同时保证安全约束的充分性,使得最终得到的优化调度方案实现了配电网经济性和安全性的有效平衡。The beneficial effects of the present invention are: determine the corresponding cumulative probability density curve based on each prediction error, and determine the interval set satisfying the preset reliability from the cumulative probability density curve based on each prediction error according to the probability box theory, and based on the conditional value-at-risk Theoretically calculate the final uncertainty factor fluctuation interval corresponding to the interval set that satisfies the preset reliability, and construct an optimal dispatching model based on the final uncertainty factor fluctuation interval, so as to use the probability box theory to describe the random variability of distributed renewable energy output and load demand. The certainty and the cognitive uncertainty of the model parameters ensure the integrity of uncertain information. Based on the uncertainty set, the conditional value-at-risk theory is used to calculate the uncertain situation outside the confidence interval, while avoiding the conservatism of the traditional interval optimization method. The adequacy of security constraints makes the final optimized dispatching scheme achieve an effective balance between the economy and security of the distribution network.
附图说明Description of drawings
图1为本发明实施例的一种基于概率盒和条件风险价值的优化调度方法的步骤流程图;Fig. 1 is a flow chart of the steps of an optimal scheduling method based on probability boxes and conditional value-at-risk according to an embodiment of the present invention;
图2为本发明实施例的一种基于概率盒和条件风险价值的优化调度终端的结构示意图;FIG. 2 is a schematic structural diagram of an optimized scheduling terminal based on probability boxes and conditional value-at-risk according to an embodiment of the present invention;
图3为本发明实施例的基于概率盒和条件风险价值的优化调度方法中的优化调度流程图。FIG. 3 is a flow chart of optimal scheduling in the optimal scheduling method based on probability boxes and conditional value-at-risk according to an embodiment of the present invention.
具体实施方式Detailed ways
为详细说明本发明的技术内容、所实现目的及效果,以下结合实施方式并配合附图予以说明。In order to describe the technical content, achieved goals and effects of the present invention in detail, the following descriptions will be made in conjunction with the embodiments and accompanying drawings.
请参照图1,本发明实施例提供了一种基于概率盒和条件风险价值的优化调度方法,包括步骤:Please refer to Figure 1, an embodiment of the present invention provides an optimal scheduling method based on probability boxes and conditional value-at-risk, including steps:
确定预设周期内分布式可再生能源出力和负荷需求分别对应的预测误差;Determine the forecast errors corresponding to the distributed renewable energy output and load demand within the preset period;
基于每一所述预测误差确定对应的累积概率密度曲线,并根据概率盒理论基于每一所述预测误差从所述累积概率密度曲线中确定满足预设置信度的区间集合;Determining a corresponding cumulative probability density curve based on each of the prediction errors, and determining an interval set that satisfies a preset reliability from the cumulative probability density curve based on each of the prediction errors according to the probability box theory;
基于条件风险价值理论计算所述满足预设置信度的区间集合对应的最终不确定因素波动区间;Calculate the final uncertainty factor fluctuation interval corresponding to the interval set satisfying the preset reliability based on the conditional value-at-risk theory;
基于所述最终不确定因素波动区间构建优化调度模型,并使用智能优化算法求解所述优化调度模型,得到优化调度方案。An optimal scheduling model is constructed based on the fluctuation interval of the final uncertain factor, and an intelligent optimization algorithm is used to solve the optimal scheduling model to obtain an optimal scheduling scheme.
从上述描述可知,本发明的有益效果在于:基于每一预测误差确定对应的累积概率密度曲线,并根据概率盒理论基于每一预测误差从累积概率密度曲线中确定满足预设置信度的区间集合,基于条件风险价值理论计算满足预设置信度的区间集合对应的最终不确定因素波动区间,基于最终不确定因素波动区间构建优化调度模型,以此利用概率盒理论描述分布式可再生能源出力及负荷需求的随机不确定性及模型参数的认知不确定性,保证不确定信息的完整性,基于不确定集合采用条件风险价值理论计算置信区间外的不确定性情形,在避免传统区间优化方法保守性的同时保证安全约束的充分性,使得最终得到的优化调度方案实现了配电网经济性和安全性的有效平衡。It can be seen from the above description that the beneficial effects of the present invention are: to determine the corresponding cumulative probability density curve based on each prediction error, and to determine the interval set satisfying the preset reliability from the cumulative probability density curve based on each prediction error according to the probability box theory , based on the conditional value-at-risk theory to calculate the final uncertainty factor fluctuation interval corresponding to the interval set that satisfies the preset reliability, and construct an optimal dispatching model based on the final uncertainty factor fluctuation interval, so as to use the probability box theory to describe the output and distribution of distributed renewable energy. The random uncertainty of load demand and the cognitive uncertainty of model parameters ensure the integrity of uncertain information. Based on the uncertainty set, the conditional value-at-risk theory is used to calculate the uncertainty outside the confidence interval, while avoiding the traditional interval optimization method. The conservatism ensures the adequacy of the security constraints at the same time, so that the final optimal dispatching scheme achieves an effective balance between the economy and security of the distribution network.
进一步地,所述确定预设周期内分布式可再生能源出力和负荷需求分别对应的预测误差包括:Further, the determination of forecast errors corresponding to distributed renewable energy output and load demand within a preset period includes:
获取预设周期内的分布式可再生能源出力的第一历史数据实际值和对应的第一历史数据预测值以及负荷需求的第二历史数据实际值和对应的第二历史数据预测值;Obtain the first historical data actual value and the corresponding first historical data forecast value of the distributed renewable energy output within the preset period, and the second historical data actual value and corresponding second historical data forecast value of the load demand;
根据所述第一历史数据实际值和对应的第一历史数据预测值确定所述分布式可再生能源出力的第一预测误差;determining a first prediction error of the distributed renewable energy output according to the actual value of the first historical data and the corresponding predicted value of the first historical data;
根据所述第二历史数据实际值和对应的第二历史数据预测值确定所述负荷需求的第二预测误差。A second prediction error of the load demand is determined according to the actual value of the second historical data and the corresponding predicted value of the second historical data.
由上述描述可知,根据历史数据实际值和历史数据预测值确定预测误差,便于后续基于预测误差确定概率分布参数变化区间。It can be known from the above description that the prediction error is determined according to the actual value of the historical data and the predicted value of the historical data, which facilitates subsequent determination of the change interval of the probability distribution parameter based on the prediction error.
进一步地,所述基于每一所述预测误差确定对应的累积概率密度曲线包括:Further, the determining the corresponding cumulative probability density curve based on each of the prediction errors includes:
确定每一所述预测误差对应的概率分布类型;determining a probability distribution type corresponding to each of the prediction errors;
根据所述概率分布类型确定对应的概率分布参数变化区间;Determine the corresponding probability distribution parameter change interval according to the probability distribution type;
根据所述概率分布参数变化区间确定对应的累积概率密度曲线。A corresponding cumulative probability density curve is determined according to the variation interval of the probability distribution parameter.
由上述描述可知,所有的累积概率密度曲线包络形成的最大图形即代表预测误差的不确定性集合,该集合同时计及预测误差的随机不确定性和模型参数拟合过程中的认知不确定性,保证了不确定性因素的完整性。From the above description, it can be seen that the largest figure formed by the envelope of all cumulative probability density curves represents the uncertainty set of forecast error, which takes into account both the random uncertainty of forecast error and the cognitive uncertainty in the process of model parameter fitting. Certainty ensures the integrity of uncertain factors.
进一步地,所述概率分布类型包括正态分布类型;Further, the probability distribution type includes a normal distribution type;
所述根据所述概率分布类型确定对应的概率分布参数变化区间包括:The determining the corresponding probability distribution parameter change interval according to the probability distribution type includes:
根据所述正态分布类型确定对应的概率分布参数变化区间为:According to the normal distribution type, the corresponding probability distribution parameter change interval is determined as:
式中,x表示预测误差类型,表示所述预测误差正态分布的均值,表示所述预测误差正态分布的标准差,表示所述均值对应的下限值,表示所述均值对应的上限值,表示所述标准差对应的下限值,表示所述标准差对应的上限值;In the formula, x represents the type of prediction error, represents the mean of the normal distribution of the forecast errors, represents the standard deviation of the normal distribution of the forecast errors, Indicates the lower limit value corresponding to the mean value, Indicates the upper limit corresponding to the mean, Indicates the lower limit value corresponding to the standard deviation, Indicates the upper limit value corresponding to the standard deviation;
所述累积概率密度曲线为:The cumulative probability density curve is:
式中,表示预测误差对应概率盒的左上边界,表示预测误差对应概率盒的右上边界,表示预测误差对应概率盒的左下边界,表示预测误差对应概率盒的右下边界,N(a,(b)2)表示曲线服从以a为期望以及以b为标准差的正态分布。In the formula, Indicates the upper left boundary of the probability box corresponding to the prediction error, Indicates the upper right boundary of the probability box corresponding to the prediction error, Indicates the lower left boundary of the probability box corresponding to the prediction error, Indicates the lower right boundary of the probability box corresponding to the prediction error, N(a,(b)2 ) indicates that the curve obeys a normal distribution with a as the expectation and b as the standard deviation.
由上述描述可知,概率分布参数可组合成多条累积概率密度曲线,概率盒由各条累积概率密度曲线包络形成。It can be seen from the above description that the probability distribution parameters can be combined into multiple cumulative probability density curves, and the probability box is formed by the envelope of each cumulative probability density curve.
进一步地,所述根据概率盒理论基于每一所述预测误差从所述累积概率密度曲线中确定满足预设置信度的区间集合包括:Further, the determining the interval set satisfying the preset reliability from the cumulative probability density curve based on each of the prediction errors according to the probability box theory includes:
根据概率盒理论基于所述预测误差以及预设置信度确定满足预设置信度的预测误差区间;determining a prediction error interval that satisfies the preset reliability based on the prediction error and the preset reliability according to the probability box theory;
根据所述满足预设置信度的预测误差区间从所述累积概率密度曲线中确定满足预设置信度的区间集合。A set of intervals satisfying a preset reliability is determined from the cumulative probability density curve according to the prediction error intervals satisfying a preset reliability.
进一步地,所述满足预设置信度的预测误差区间为:Further, the prediction error interval satisfying the preset reliability is:
式中,表示预测误差区间的上边界,表示预测误差区间的下边界,表示预测误差对应概率盒的右下边界,表示预测误差对应概率盒的左上边界,α表示预设置信度。In the formula, represents the upper bound of the forecast error interval, represents the lower bound of the prediction error interval, Indicates the lower right boundary of the probability box corresponding to the prediction error, Indicates the upper left boundary of the probability box corresponding to the prediction error, and α indicates the preset reliability.
由上述描述可知,在概率盒内,每个预测误差均对应存在累积概率,在预设置信度的条件下,某个预测误差区间上边界与下边界对应累积概率之差不小于预设置信度时,即为满足预设置信度的预测误差区间,以便根据满足预设置信度的预测误差区间从累积概率密度曲线中确定满足预设置信度的区间集合。It can be seen from the above description that in the probability box, each prediction error corresponds to a cumulative probability. Under the condition of the preset reliability, the difference between the cumulative probability corresponding to the upper boundary and the lower boundary of a certain prediction error interval is not less than the preset reliability , it is the prediction error interval satisfying the preset reliability, so as to determine the set of intervals satisfying the preset reliability from the cumulative probability density curve according to the prediction error interval satisfying the preset reliability.
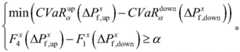
进一步地,所述基于条件风险价值理论计算所述满足预设置信度的区间集合对应的最终不确定因素波动区间包括:Further, the calculation of the final uncertainty factor fluctuation interval corresponding to the interval set satisfying the preset reliability based on the conditional value-at-risk theory includes:
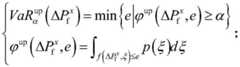
基于风险价值理论确定预设置信度下的预测误差上边界和预测误差下边界;Determine the upper boundary of forecast error and the lower boundary of forecast error under the preset reliability based on the value-at-risk theory;
根据所述预测误差上边界和预测误差下边界计算所述满足预设置信度的区间集合对应的概率盒-CVaR区间;Calculate the probability box-CVaR interval corresponding to the interval set that satisfies the preset reliability according to the upper boundary of the prediction error and the lower boundary of the prediction error;
将区间宽度最小的概率盒-CVaR区间确定为最终不确定因素波动区间。The probability box-CVaR interval with the smallest interval width is determined as the final uncertainty factor fluctuation interval.
进一步地,所述预设置信度下的预测误差上边界为:Further, the prediction error upper boundary under the preset reliability for:
式中,表示某一类型的预测误差,e表示预设阈值,表示预测误差不超过所述预设阈值的概率,α表示预设置信度,ξ表示预测误差的随机变量,p(ξ)表示所述预测误差的随机变量对应的概率密度函数,表示预测误差上边界的阈值约束;In the formula, Represents a certain type of prediction error, e represents the preset threshold, Represents the probability that the prediction error does not exceed the preset threshold, α represents the preset reliability, ξ represents the random variable of the prediction error, p(ξ) represents the probability density function corresponding to the random variable of the prediction error, A threshold constraint representing the upper bound of the prediction error;
所述预设置信度下的预测误差下边界为:The lower bound of prediction error under the preset reliability for:
式中,表示预测误差超过所述预设阈值的概率,表示预测误差下边界的阈值约束;In the formula, Indicates the probability that the prediction error exceeds the preset threshold, A threshold constraint representing the lower bound of the prediction error;
所述概率盒-CVaR区间为:The probability box-CVaR interval is:
式中,表示概率盒-CVaR区间上边界,表示概率盒-CVaR区间下边界;In the formula, Represents the upper boundary of the probability box-CVaR interval, Indicates the lower boundary of the probability box-CVaR interval;
所述最终不确定因素波动区间满足:The fluctuation range of the final uncertain factor satisfy:
由上述描述可知,开始风险价值理论在给定置信度的条件下,求取满足置信度的区间上边界和区间下边界,但该方法与区间截断法类似,并未计及置信区间外的不确定性因素,故后续部分进一步采用条件风险价值理论对不满足置信度的区间所对应的不确定性情形进行考虑,从而保证配电网的安全性。From the above description, it can be known that under the condition of a given confidence degree, the initial value-at-risk theory obtains the interval upper boundary and the interval lower boundary that satisfy the confidence degree. Therefore, the following part further adopts the conditional value-at-risk theory to consider the uncertain situation corresponding to the interval that does not meet the confidence level, so as to ensure the security of the distribution network.
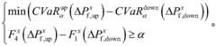
进一步地,所述基于所述最终不确定因素波动区间构建优化调度模型包括:Further, the construction of an optimal scheduling model based on the fluctuation interval of the final uncertainty factor includes:
根据所述最终不确定因素波动区间构建目标函数和约束条件,所述约束条件包括配电网潮流约束、线路传输容量约束、节点电压约束以及可控分布式电源运行约束;Constructing an objective function and constraint conditions according to the fluctuation interval of the final uncertainty factor, the constraint conditions include distribution network power flow constraints, line transmission capacity constraints, node voltage constraints, and controllable distributed power supply operation constraints;
根据所述目标函数和约束条件得到优化调度模型;Obtaining an optimized scheduling model according to the objective function and constraints;
所述目标函数minf为:The objective function minf is:
式中,表示t时刻配电网的购电费用,表示t时刻燃气轮机运行成本,表示t时刻储能系统充放电成本,表示t时刻可中断负荷切除补偿成本,表示t时刻配电网的购电电价,θ表示区间数的θ序,表示t时刻配电网向上级电网的购电量的最大值,表示t时刻配电网向上级电网的购电量的最小值,NMT表示系统内设有燃气轮机的节点集合,表示节点i处燃气轮机的单位运行成本,表示t时刻节点i处燃气轮机的发电功率,NESS表示系统内设有储能系统的节点集合,表示节点j处储能系统的单位运行成本,αj,t表示变量,SOCj,t表示t时刻节点j处储能系统的荷电状态,SOCj,t+1表示t+1时刻节点j处储能系统的荷电状态,NIL表示系统内设有可中断负荷的节点集合,表示切除节点k处可中断负荷单位有功负荷的补偿费用,表示t时刻配电网的售电电价,表示t时刻切除节点k处可中断负荷切除的有功功率;In the formula, Indicates the power purchase cost of the distribution network at time t, represents the operating cost of the gas turbine at time t, Indicates the charging and discharging cost of the energy storage system at time t, Indicates the interruptible load shedding compensation cost at time t, Indicates the power purchase price of the distribution network at time t, θ indicates the θ order of the interval number, Indicates the maximum value of power purchased from the distribution network to the superior power grid at time t, Indicates the minimum value of electricity purchased from the distribution network to the upper power grid at time t, NMT indicates the node set with gas turbines in the system, represents the unit operating cost of the gas turbine at node i, Indicates the power generation power of the gas turbine at node i at time t, NESS indicates the set of nodes with energy storage systems in the system, Indicates the unit operating cost of the energy storage system at node j, αj,t is a variable, SOCj,t is the state of charge of the energy storage system at node j at time t, SOCj,t+1 is the node j at time t+1 is the state of charge of the energy storage system, NIL means that there is a set of nodes that can interrupt the load in the system, Indicates the compensation cost of the interruptible load unit active load at node k, Indicates the electricity sales price of the distribution network at time t, Indicates the active power of interruptible load shedding at node k at time t;
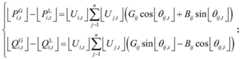
所述配电网潮流约束为:The power flow constraints of the distribution network are:
式中,表示t时刻节点i处注入的有功功率的变化区间,表示t时刻节点i处注入的有功负荷的变化区间,表示t时刻节点i处的节点电压变化区间,表示t时刻节点j处的节点电压变化区间,Gij表示线路ij间的电导,θij,t表示t时刻节点i和节点j之间的电压相角变化区间,Bij表示线路ij间的电纳,表示t时刻节点i处注入的无功功率的变化区间,表示t时刻节点i处注入的无功负荷的变化区间,n表示配电网络节点数;In the formula, Indicates the change interval of active power injected at node i at time t, Indicates the change interval of the active load injected at node i at time t, Indicates the node voltage change interval at node i at time t, Indicates the node voltage change interval at node j at time t, Gij represents the conductance between line ij, θij,t represents the voltage phase angle change interval between node i and node j at time t, Bij represents the conductance between line ij Na, Indicates the change interval of reactive power injected at node i at time t, Indicates the range of reactive load injected at node i at time t, and n indicates the number of distribution network nodes;
所述线路传输容量约束为:The line transmission capacity constraint is:
式中,表示线路l在t时刻实际传输的有功功率最小值,表示线路l在t时刻实际传输的有功功率最大值,表示线路l所允许传输的最大有功功率;In the formula, Indicates the minimum value of active power actually transmitted by line l at time t, Indicates the maximum active power actually transmitted by the line l at time t, Indicates the maximum active power allowed to be transmitted by the line l;
所述节点电压约束为:The node voltage constraints are:
式中,(Ui,min,Ui,max)表示节点i处允许的电压波动区间;In the formula, (Ui,min ,Ui,max ) represents the allowable voltage fluctuation interval at node i;
所述可控分布式电源运行约束为:The operating constraints of the controllable distributed power supply are:
式中,表示节点i处燃气轮机的最小发电功率,表示节点i处燃气轮机的最大发电功率,表示节点i处燃气轮机的最大向下爬坡速率,△t表示相邻两个调度时刻的时间间隔,表示t-1时刻节点i处燃气轮机的发电功率,表示节点i处燃气轮机的最大向上爬坡速率,SOCj,min表示节点j处的最小荷电状态,SOCj,max表示节点j处的最大荷电状态,表示节点j处的储能系统的最大放电速率,表示节点j处的储能系统的最大充电速率,SOCj,0表示节点j处储能系统在调度周期开始时刻的荷电状态,SOCj,T表示节点j处储能系统在调度周期结束时刻的荷电状态,表示节点k处可中断负荷可切除的有功功率最大值。In the formula, Indicates the minimum generating power of the gas turbine at node i, Indicates the maximum generating power of the gas turbine at node i, Represents the maximum downward ramp rate of the gas turbine at node i, Δt represents the time interval between two adjacent scheduling moments, Indicates the power generated by the gas turbine at node i at time t-1, Indicates the maximum upward ramp rate of the gas turbine at node i, SOCj,min indicates the minimum state of charge at node j, SOCj,max indicates the maximum state of charge at node j, represents the maximum discharge rate of the energy storage system at node j, Indicates the maximum charging rate of the energy storage system at node j, SOCj,0 indicates the state of charge of the energy storage system at node j at the beginning of the dispatch period, SOCj,T indicates the energy storage system at node j at the end of the dispatch period state of charge, Indicates the maximum value of active power that can be cut off by interruptible load at node k.
请参照图2,本发明另一实施例提供了一种基于概率盒和条件风险价值的优化调度终端,包括存储器、处理器及存储在存储器上并可在所述处理器上运行的计算机程序,所述处理器执行所述计算机程序时实现上述基于概率盒和条件风险价值的优化调度方法中的各个步骤。Please refer to FIG. 2 , another embodiment of the present invention provides an optimal scheduling terminal based on probability boxes and conditional value-at-risk, including a memory, a processor, and a computer program stored on the memory and operable on the processor, When the processor executes the computer program, various steps in the above-mentioned optimal scheduling method based on probability boxes and conditional value-at-risk are realized.
本发明上述的一种基于概率盒和条件风险价值的优化调度方法及终端能够适用于需要平衡经济性和安全性的配电网中,以下通过具体实施方式进行说明:The above-mentioned optimal scheduling method and terminal based on the probability box and conditional value-at-risk of the present invention can be applied to distribution networks that need to balance economy and security. The following will be described through specific implementation methods:
实施例一Embodiment one
请参照图1和图3,本实施例的一种基于概率盒和条件风险价值的优化调度方法,包括步骤:Please refer to Figure 1 and Figure 3, an optimal scheduling method based on probability boxes and conditional value-at-risk in this embodiment, including steps:
S1、确定预设周期内分布式可再生能源出力和负荷需求分别对应的预测误差,如图3所示,具体包括:S1. Determine the forecast errors corresponding to the distributed renewable energy output and load demand within the preset period, as shown in Figure 3, specifically including:
S11、获取预设周期内的分布式可再生能源出力的第一历史数据实际值和对应的第一历史数据预测值以及负荷需求的第二历史数据实际值和对应的第二历史数据预测值;S11. Obtain the actual value of the first historical data and the corresponding predicted value of the first historical data of the distributed renewable energy output within the preset period, and the actual value of the second historical data of the load demand and the corresponding predicted value of the second historical data;
其中,所述分布式可再生能源(Renewable Distributed Generation,RDG)包括风电(Wind power Generation,WG)机组和光伏机组等;Wherein, the distributed renewable energy (Renewable Distributed Generation, RDG) includes wind power (Wind power Generation, WG) units and photovoltaic units;
S12、根据所述第一历史数据实际值和对应的第一历史数据预测值确定所述分布式可再生能源出力的第一预测误差;S12. Determine a first prediction error of the distributed renewable energy output according to the actual value of the first historical data and the corresponding predicted value of the first historical data;
S13、根据所述第二历史数据实际值和对应的第二历史数据预测值确定所述负荷需求的第二预测误差;S13. Determine a second prediction error of the load demand according to the actual value of the second historical data and the corresponding predicted value of the second historical data;
S2、基于每一所述预测误差确定对应的累积概率密度曲线,并根据概率盒理论基于每一所述预测误差从所述累积概率密度曲线中确定满足预设置信度的区间集合,如图3所示,具体包括:S2. Determine the corresponding cumulative probability density curve based on each of the prediction errors, and determine the interval set that meets the preset reliability from the cumulative probability density curve based on each of the prediction errors according to the probability box theory, as shown in Figure 3 shown, including:
S21、确定每一所述预测误差对应的概率分布类型,确定概率分布类型的意义在于明确分布参数的数量与类型,便于借助分布参数的变化区间对概率盒边界进行描述;S21. Determine the probability distribution type corresponding to each of the prediction errors. The significance of determining the probability distribution type is to clarify the number and type of distribution parameters, so as to facilitate the description of the probability box boundary with the help of the change interval of the distribution parameters;
在一种可选的实施方式中,所述概率分布类型包括正态分布类型,在另一种可选的实施方式中,所述概率分布类型还包括均匀分布和柯西分布等;In an optional embodiment, the probability distribution type includes a normal distribution type, and in another optional embodiment, the probability distribution type also includes a uniform distribution, a Cauchy distribution, etc.;
S22、根据所述概率分布类型确定对应的概率分布参数变化区间;S22. Determine a corresponding probability distribution parameter variation interval according to the probability distribution type;
在一种可选的实施方式中,根据所述正态分布类型确定对应的概率分布参数变化区间为:In an optional implementation manner, the corresponding probability distribution parameter change interval is determined according to the normal distribution type as:
式中,x表示预测误差类型,表示所述预测误差正态分布的均值,表示所述预测误差正态分布的标准差,表示所述均值对应的下限值,表示所述均值对应的上限值,表示所述标准差对应的下限值,表示所述标准差对应的上限值;In the formula, x represents the type of prediction error, represents the mean of the normal distribution of the forecast errors, represents the standard deviation of the normal distribution of the forecast errors, Indicates the lower limit value corresponding to the mean value, Indicates the upper limit corresponding to the mean, Indicates the lower limit value corresponding to the standard deviation, Indicates the upper limit corresponding to the standard deviation;
S23、根据所述概率分布参数变化区间确定对应的累积概率密度曲线;S23. Determine a corresponding cumulative probability density curve according to the change interval of the probability distribution parameter;
在一种可选的实施方式中,所述累积概率密度曲线为:In an optional implementation manner, the cumulative probability density curve is:
式中,表示预测误差对应概率盒的左上边界,表示预测误差对应概率盒的右上边界,表示预测误差对应概率盒的左下边界,表示预测误差对应概率盒的右下边界,N(a,(b)2)表示曲线服从以a为期望以及以b为标准差的正态分布;In the formula, Indicates the upper left boundary of the probability box corresponding to the prediction error, Indicates the upper right boundary of the probability box corresponding to the prediction error, Indicates the lower left boundary of the probability box corresponding to the prediction error, Indicates the lower right boundary of the probability box corresponding to the prediction error, N(a,(b)2 ) indicates that the curve obeys the normal distribution with a as the expectation and b as the standard deviation;
概率分布参数可组合成多条累积概率密度曲线,概率盒由各条累积概率密度曲线包络形成,其边界即为累积概率密度曲线;Probability distribution parameters can be combined into multiple cumulative probability density curves, the probability box is formed by the envelope of each cumulative probability density curve, and its boundary is the cumulative probability density curve;
S24、根据概率盒理论基于所述预测误差以及预设置信度确定满足预设置信度的预测误差区间;S24. Determine a prediction error interval that satisfies the preset reliability based on the prediction error and the preset reliability according to the probability box theory;
其中,所述满足预设置信度的预测误差区间为:Wherein, the prediction error interval satisfying the preset reliability is:
式中,表示预测误差区间的上边界,表示预测误差区间的下边界,表示预测误差对应概率盒的右下边界,表示预测误差对应概率盒的左上边界,α表示预设置信度;In the formula, represents the upper boundary of the prediction error interval, represents the lower bound of the prediction error interval, Indicates the lower right boundary of the probability box corresponding to the prediction error, Indicates the upper left boundary of the probability box corresponding to the prediction error, and α indicates the preset reliability;
S25、根据所述满足预设置信度的预测误差区间从所述累积概率密度曲线中确定满足预设置信度的区间集合;S25. Determine a set of intervals satisfying a preset reliability from the cumulative probability density curve according to the prediction error intervals satisfying a preset reliability;
S3、基于条件风险价值理论计算所述满足预设置信度的区间集合对应的最终不确定因素波动区间,如图3所示,具体包括:S3. Based on the conditional value-at-risk theory, calculate the final uncertainty factor fluctuation interval corresponding to the interval set satisfying the preset reliability, as shown in Figure 3, specifically including:
S31、基于风险价值理论确定预设置信度下的预测误差上边界和预测误差下边界;S31. Determine the upper boundary of the forecast error and the lower boundary of the forecast error under the preset reliability based on the value-at-risk theory;
其中,所述预设置信度下的预测误差上边界为:Wherein, the prediction error upper boundary under the preset reliability for:
式中,表示某一类型的预测误差,e表示预设阈值,表示预测误差不超过所述预设阈值的概率,α表示预设置信度,ξ表示预测误差的随机变量,p(ξ)表示所述预测误差的随机变量对应的概率密度函数,表示预测误差上边界的阈值约束;In the formula, Represents a certain type of prediction error, e represents the preset threshold, Represents the probability that the prediction error does not exceed the preset threshold, α represents the preset reliability, ξ represents the random variable of the prediction error, p(ξ) represents the probability density function corresponding to the random variable of the prediction error, A threshold constraint representing the upper bound of the prediction error;
所述预设置信度下的预测误差下边界为:The lower bound of prediction error under the preset reliability for:
式中,表示预测误差超过所述预设阈值的概率,表示预测误差下边界的阈值约束;In the formula, Indicates the probability that the prediction error exceeds the preset threshold, A threshold constraint representing the lower bound of the prediction error;
S32、根据所述预测误差上边界和预测误差下边界计算所述满足预设置信度的区间集合对应的概率盒-CVaR区间;S32. Calculate the probability box-CVaR interval corresponding to the interval set satisfying the preset reliability according to the prediction error upper boundary and the prediction error lower boundary;
其中,所述概率盒-CVaR区间为:Wherein, the probability box-CVaR interval is:
式中,表示概率盒-CVaR区间上边界,表示概率盒-CVaR区间下边界;In the formula, Represents the upper boundary of the probability box-CVaR interval, Indicates the lower boundary of the probability box-CVaR interval;
S33、将区间宽度最小的概率盒-CVaR区间确定为最终不确定因素波动区间;S33. Determine the probability box-CVaR interval with the smallest interval width as the final uncertainty factor fluctuation interval;
其中,所述最终不确定因素波动区间满足:Among them, the fluctuation range of the final uncertainty factor satisfy:
S4、基于所述最终不确定因素波动区间构建优化调度模型,并使用智能优化算法求解所述优化调度模型,得到优化调度方案,具体包括:S4. Construct an optimal scheduling model based on the fluctuation interval of the final uncertain factor, and use an intelligent optimization algorithm to solve the optimal scheduling model to obtain an optimized scheduling plan, specifically including:
S41、根据所述最终不确定因素波动区间构建目标函数和约束条件,所述约束条件包括配电网潮流约束、线路传输容量约束、节点电压约束以及可控分布式电源运行约束;S41. Construct an objective function and constraint conditions according to the fluctuation interval of the final uncertain factor, and the constraint conditions include distribution network power flow constraints, line transmission capacity constraints, node voltage constraints, and controllable distributed power supply operation constraints;
其中,所述目标函数minf为:Wherein, the objective function minf is:
式中,表示t时刻配电网的购电费用,表示t时刻燃气轮机(MicroTurbine,MT)运行成本,表示t时刻储能系统(Energy Storage System,ESS)充放电成本,表示t时刻可中断负荷(Interruptible Load,IL)切除补偿成本,表示t时刻配电网的购电电价,θ表示区间数的θ序,由于本发明优化过程中采用区间优化方法,故配电网向上级电网的购电量及配电网的购电费用均为区间形式,为比较不同目标函数区间的优劣,采用区间的θ序关系将其区间形式转化为对应的确定性数值形式以便于对比,即θ是为了便于比较不同目标函数区间优劣而引入的辅助参数,用于将区间形式转化为数值形式,本实例中,θ取值为0.5,表示t时刻配电网向上级电网的购电量的最大值,表示t时刻配电网向上级电网的购电量的最小值,NMT表示系统内设有燃气轮机的节点集合,表示节点i处燃气轮机的单位运行成本,表示t时刻节点i处燃气轮机的发电功率,NESS表示系统内设有储能系统的节点集合,表示节点j处储能系统的单位运行成本,αj,t表示变量,取值为0或1,0表示t时刻节点j处储能系统处于放电状态,1表示t时刻节点j处储能系统处于充电状态,SOCj,t表示t时刻节点j处储能系统的荷电状态,SOCj,t+1表示t+1时刻节点j处储能系统的荷电状态,NIL表示系统内设有可中断负荷的节点集合,表示切除节点k处可中断负荷单位有功负荷的补偿费用,表示t时刻配电网的售电电价,表示t时刻切除节点k处可中断负荷切除的有功功率;In the formula, Indicates the power purchase cost of the distribution network at time t, Indicates the operating cost of the gas turbine (MicroTurbine, MT) at time t, Indicates the charging and discharging cost of the energy storage system (Energy Storage System, ESS) at time t, Indicates the interruptible load (Interruptible Load, IL) cutting compensation cost at time t, Indicates the power purchase price of the distribution network at time t, and θ represents the θ order of the interval number. Since the interval optimization method is used in the optimization process of the present invention, the power purchase amount from the distribution network to the upper power grid and the power purchase fee of the distribution network are both Interval form, in order to compare the advantages and disadvantages of different objective function intervals, the interval form is converted into the corresponding deterministic numerical form by using the θ order relationship of the interval to facilitate comparison, that is, θ is introduced to facilitate the comparison of the advantages and disadvantages of different objective function intervals Auxiliary parameter, used to convert the interval form into a numerical form. In this example, the value of θ is 0.5, Indicates the maximum value of power purchased from the distribution network to the superior power grid at time t, Indicates the minimum value of electricity purchased from the distribution network to the upper power grid at time t, NMT indicates the node set with gas turbines in the system, represents the unit operating cost of the gas turbine at node i, Indicates the power generation power of the gas turbine at node i at time t, NESS indicates the set of nodes with energy storage systems in the system, Indicates the unit operating cost of the energy storage system at node j, αj,t represents a variable, the value is 0 or 1, 0 indicates that the energy storage system at node j is in a discharge state at time t, and 1 indicates that the energy storage system at node j at time t In the state of charging, SOCj,t represents the state of charge of the energy storage system at node j at time t, SOCj,t+1 represents the state of charge of the energy storage system at node j at time t+1, NIL represents the internal the set of nodes with interruptible loads, Indicates the compensation cost of the interruptible load unit active load at node k, Indicates the electricity sales price of the distribution network at time t, Indicates the active power of interruptible load shedding at node k at time t;
所述配电网潮流约束为:The power flow constraints of the distribution network are:
式中,表示t时刻节点i处注入的有功功率的变化区间,表示t时刻节点i处注入的有功负荷的变化区间,表示t时刻节点i处的节点电压变化区间,表示t时刻节点j处的节点电压变化区间,Gij表示线路ij间的电导,θij,t表示t时刻节点i和节点j之间的电压相角变化区间,Bij表示线路ij间的电纳,表示t时刻节点i处注入的无功功率的变化区间,表示t时刻节点i处注入的无功负荷的变化区间,n表示配电网络节点数;In the formula, Indicates the change interval of active power injected at node i at time t, Indicates the change interval of the active load injected at node i at time t, Indicates the node voltage change interval at node i at time t, Indicates the node voltage change interval at node j at time t, Gij represents the conductance between line ij, θij,t represents the voltage phase angle change interval between node i and node j at time t, Bij represents the conductance between line ij Na, Indicates the change interval of reactive power injected at node i at time t, Indicates the range of reactive load injected at node i at time t, and n indicates the number of distribution network nodes;
所述线路传输容量约束为:The line transmission capacity constraint is:
式中,表示线路l在t时刻实际传输的有功功率最小值,表示线路l在t时刻实际传输的有功功率最大值,表示线路l所允许传输的最大有功功率;其中,当功率传输方向为上游节点指向下游节点时,线路l实际传输的有功功率取正,否则取负;In the formula, Indicates the minimum value of active power actually transmitted by line l at time t, Indicates the maximum active power actually transmitted by the line l at time t, Indicates the maximum active power allowed to be transmitted by the line l; where, when the power transmission direction is from the upstream node to the downstream node, the actual active power transmitted by the line l is positive, otherwise it is negative;
所述节点电压约束为:The node voltage constraints are:
式中,(Ui,min,Ui,max)表示节点i处允许的电压波动区间;In the formula, (Ui,min ,Ui,max ) represents the allowable voltage fluctuation interval at node i;
所述可控分布式电源运行约束为:The operating constraints of the controllable distributed power supply are:
式中,表示节点i处燃气轮机的最小发电功率,表示节点i处燃气轮机的最大发电功率,表示节点i处燃气轮机的最大向下爬坡速率,△t表示相邻两个调度时刻的时间间隔,表示t-1时刻节点i处燃气轮机的发电功率,表示节点i处燃气轮机的最大向上爬坡速率,SOCj,min表示节点j处的最小荷电状态,SOCj,max表示节点j处的最大荷电状态,表示节点j处的储能系统的最大放电速率,表示节点j处的储能系统的最大充电速率,SOCj,0表示节点j处储能系统在调度周期开始时刻的荷电状态,SOCj,T表示节点j处储能系统在调度周期结束时刻的荷电状态,表示节点k处可中断负荷可切除的有功功率最大值;In the formula, Indicates the minimum generating power of the gas turbine at node i, Indicates the maximum generating power of the gas turbine at node i, Represents the maximum downward ramp rate of the gas turbine at node i, Δt represents the time interval between two adjacent scheduling moments, Indicates the power generated by the gas turbine at node i at time t-1, Indicates the maximum upward ramp rate of the gas turbine at node i, SOCj,min indicates the minimum state of charge at node j, SOCj,max indicates the maximum state of charge at node j, represents the maximum discharge rate of the energy storage system at node j, Indicates the maximum charging rate of the energy storage system at node j, SOCj,0 indicates the state of charge of the energy storage system at node j at the beginning of the dispatch period, SOCj,T indicates the energy storage system at node j at the end of the dispatch period state of charge, Indicates the maximum value of active power that can be cut off by interruptible load at node k;
当给定系统线路参数、节点负荷需求、各分布式电源运行状态(风电机组、光伏机组、燃气轮机的发电功率、储能系统充放电量和可中断负荷中断量)和成本系数时,即可对应计算出配电网线路潮流,进而得出目标函数值并判断是否满足约束条件,但风光等新能源发电的出力具有不确定性,故本发明采用区间方法求取相应的潮流状态,在优化过程中考虑其不确定性,最终区间对应相应的风电出力、光伏出力即负荷需求的上下边界,由此可计算出系统线路潮流的变化区间,进而求取不确定性条件下的目标函数并判断是否满足约束条件,进而实现优化并验证本发明方法的有效性;When the system line parameters, node load requirements, operating status of each distributed power source (generating power of wind turbines, photovoltaic units, gas turbines, energy storage system charge and discharge capacity, and interruptible load interruption amount) and cost coefficients are given, the corresponding Calculate the power flow of the distribution network line, and then obtain the objective function value and judge whether the constraint conditions are met, but the output of new energy such as wind and solar power generation is uncertain, so the present invention adopts the interval method to obtain the corresponding power flow state, and in the optimization process Considering its uncertainty, the final interval corresponds to the upper and lower boundaries of the corresponding wind power output and photovoltaic output, that is, the load demand. From this, the change interval of the power flow of the system line can be calculated, and then the objective function under the uncertainty condition can be obtained and judged whether Satisfy the constraints, and then realize optimization and verify the effectiveness of the method of the present invention;
S42、根据所述目标函数和约束条件得到优化调度模型;S42. Obtain an optimized scheduling model according to the objective function and constraints;
S43、使用智能优化算法求解所述优化调度模型,得到优化调度方案;S43. Using an intelligent optimization algorithm to solve the optimal scheduling model to obtain an optimized scheduling solution;
其中,现有的智能优化算法均可用于求解所述优化调度模型,比如粒子群算法和遗传算法等,在此不作限定;Wherein, existing intelligent optimization algorithms can be used to solve the optimal scheduling model, such as particle swarm optimization algorithm and genetic algorithm, etc., which are not limited here;
本发明基于概率盒理论使用区间形式的分布参数对RDG出力和负荷需求的预测误差进行描述,且以RDG和负荷需求预测误差的概率盒作为其不确定性集合,在区间截断法的基础上,使用条件风险价值方法计及置信区间外的预测误差情形,并以最短置信区间原则求取最终的区间边界,同时以概率盒-CVaR方法得出的功率波动区间为不确定性变量、预测值为确定性变量,构建对应的配电网的优化调度模型,进一步实现配电网的安全经济调度;The present invention describes the prediction error of RDG output and load demand based on the probability box theory using distribution parameters in interval form, and takes the probability box of RDG and load demand forecast error as its uncertainty set, based on the interval truncation method, The conditional value-at-risk method is used to account for the forecast error outside the confidence interval, and the final interval boundary is obtained by the principle of the shortest confidence interval. At the same time, the power fluctuation interval obtained by the probability box-CVaR method is the uncertainty variable, and the predicted value Deterministic variables, construct the corresponding optimal dispatching model of the distribution network, and further realize the safe and economical dispatching of the distribution network;
由于CVaR方法基于数据特点及相应置信度求取区间边界,故该方法对主观决策的依赖性较低,可针对不同预测误差情形做出适应性改变,其优化解实现了经济性和安全性间的平衡,如表1和表2所示,表1为不同方法所生成的预测误差区间,表2为不同方法所对应的优化方案在10000次模拟场景下的运行结果;Since the CVaR method obtains interval boundaries based on data characteristics and corresponding confidence levels, the method is less dependent on subjective decision-making and can make adaptive changes for different prediction error situations. Its optimal solution achieves a balance between economy and safety. As shown in Table 1 and Table 2, Table 1 shows the prediction error intervals generated by different methods, and Table 2 shows the running results of the optimization schemes corresponding to different methods in 10,000 simulation scenarios;
传统区间方法在区间边界提取过程中以最恶劣场景为区间边界,该方法为保证安全性,所生成的不确定因素波动区间的宽度过大,可能导致优化结果的经济性不佳;区间截断法通过预先设定置信度压缩区间宽度实现提升优化结果经济性的目的,但由于无法计及置信区间外的不确定因素,存在难以保证其安全性的弊端;本发明方法在区间截断法的基础上,利用条件风险价值理论描述置信区间外的不确定性因素,在压缩区间宽度的同时充分计及了置信度外的不确定性因素,因此如表1所示,本发明方法针对性地对已有方法做出改进,所生成的风电出力、光伏出力及负荷需求的预测误差区间介于区间截断方法与传统区间方法之间;如表2所示,本发明方法的系统线路传输功率越限概率略高于传统区间方法,但其经济性提升效果显著,主网运行费用下降了10%,而区间截断方法的经济性与本发明相当,但其越限风险为本发明方法的3倍,由此可知,本发明方法一方面避免了传统区间优化方法过于保守的不足,另一方面则对区间截断法存在安全性约束不充分的问题进行了完善。The traditional interval method uses the worst scenario as the interval boundary in the interval boundary extraction process. In order to ensure safety, the width of the fluctuation interval of the generated uncertain factors is too large, which may lead to poor economics of the optimization results; the interval truncation method The purpose of improving the economy of optimization results is achieved by pre-setting the width of the confidence compression interval, but due to the inability to take into account the uncertain factors outside the confidence interval, there is a disadvantage that it is difficult to guarantee its safety; the method of the present invention is based on the interval truncation method , use the conditional value-at-risk theory to describe the uncertain factors outside the confidence interval, and fully take into account the uncertain factors outside the confidence while compressing the width of the interval. Therefore, as shown in Table 1, the method of the present invention specifically There are methods to make improvements, and the generated wind power output, photovoltaic output and load demand prediction error intervals are between the interval truncation method and the traditional interval method; as shown in Table 2, the system line transmission power limit probability of the method of the present invention It is slightly higher than the traditional interval method, but its economical improvement effect is significant, and the operating cost of the main network has dropped by 10%, while the economical efficiency of the interval truncation method is equivalent to that of the present invention, but its risk of exceeding the limit is 3 times that of the method of the present invention. It can be seen that, on the one hand, the method of the present invention avoids the disadvantage of being too conservative in the traditional interval optimization method, and on the other hand, it improves the problem of insufficient security constraints in the interval truncation method.
表1不同方法的预测误差区间Table 1 Prediction error intervals of different methods
表2模拟场景下不同优化方案的优化效果对比Table 2 Comparison of optimization effects of different optimization schemes in simulated scenarios
实施例二Embodiment two
请参照图2,本实施例的一种基于概率盒和条件风险价值的优化调度终端,包括存储器、处理器及存储在存储器上并可在所述处理器上运行的计算机程序,所述处理器执行所述计算机程序时实现实施例一中的基于概率盒和条件风险价值的优化调度方法中的各个步骤。Please refer to Fig. 2, a kind of optimal scheduling terminal based on probability box and conditional value-at-risk in this embodiment, including a memory, a processor, and a computer program stored on the memory and operable on the processor, the processor Each step in the optimal scheduling method based on the probability box and conditional value-at-risk in Embodiment 1 is realized when the computer program is executed.
综上所述,本发明提供的一种基于概率盒和条件风险价值的优化调度方法及终端,确定预设周期内分布式可再生能源出力和负荷需求分别对应的预测误差;基于每一所述预测误差确定对应的累积概率密度曲线,并根据概率盒理论基于每一所述预测误差从所述累积概率密度曲线中确定满足预设置信度的区间集合;基于条件风险价值理论计算所述满足预设置信度的区间集合对应的最终不确定因素波动区间;基于所述最终不确定因素波动区间构建优化调度模型,并使用智能优化算法求解所述优化调度模型,得到优化调度方案,以此利用概率盒理论描述分布式可再生能源出力及负荷需求的随机不确定性及模型参数的认知不确定性,保证不确定信息的完整性,基于不确定集合采用条件风险价值理论计算置信区间外的不确定性情形,在避免传统区间优化方法保守性的同时保证安全约束的充分性,使得最终得到的优化调度方案实现了配电网经济性和安全性的有效平衡。In summary, the present invention provides an optimal scheduling method and terminal based on probability boxes and conditional value-at-risk to determine the forecast errors corresponding to distributed renewable energy output and load demand within a preset period; based on each The prediction error determines the corresponding cumulative probability density curve, and according to the probability box theory, based on each of the prediction errors, the interval set that meets the preset reliability is determined from the cumulative probability density curve; the conditional value-at-risk theory is used to calculate the predetermined Set the final uncertainty factor fluctuation interval corresponding to the interval set of reliability; construct an optimal scheduling model based on the final uncertainty factor fluctuation interval, and use an intelligent optimization algorithm to solve the optimal scheduling model to obtain an optimal scheduling plan, thereby using probability The box theory describes the random uncertainty of distributed renewable energy output and load demand and the cognitive uncertainty of model parameters to ensure the integrity of uncertain information. Based on the uncertainty set, the conditional value-at-risk theory is used to calculate the uncertainty outside the confidence interval. In the deterministic case, while avoiding the conservatism of the traditional interval optimization method, the adequacy of the security constraints is ensured, so that the final optimized dispatching scheme achieves an effective balance between the economy and security of the distribution network.
以上所述仅为本发明的实施例,并非因此限制本发明的专利范围,凡是利用本发明说明书及附图内容所作的等同变换,或直接或间接运用在相关的技术领域,均同理包括在本发明的专利保护范围内。The above description is only an embodiment of the present invention, and does not limit the patent scope of the present invention. All equivalent transformations made by using the description of the present invention and the contents of the accompanying drawings, or directly or indirectly used in related technical fields, are all included in the same principle. Within the scope of patent protection of the present invention.
| Application Number | Priority Date | Filing Date | Title |
|---|---|---|---|
| CN202211225458.8ACN115632438B (en) | 2022-10-09 | 2022-10-09 | An optimization scheduling method and terminal based on probability box and conditional risk value |
| Application Number | Priority Date | Filing Date | Title |
|---|---|---|---|
| CN202211225458.8ACN115632438B (en) | 2022-10-09 | 2022-10-09 | An optimization scheduling method and terminal based on probability box and conditional risk value |
| Publication Number | Publication Date |
|---|---|
| CN115632438Atrue CN115632438A (en) | 2023-01-20 |
| CN115632438B CN115632438B (en) | 2025-06-06 |
| Application Number | Title | Priority Date | Filing Date |
|---|---|---|---|
| CN202211225458.8AActiveCN115632438B (en) | 2022-10-09 | 2022-10-09 | An optimization scheduling method and terminal based on probability box and conditional risk value |
| Country | Link |
|---|---|
| CN (1) | CN115632438B (en) |
| Publication number | Priority date | Publication date | Assignee | Title |
|---|---|---|---|---|
| CN120373805A (en)* | 2025-06-25 | 2025-07-25 | 东北电力大学 | Power distribution network multi-scale optimal scheduling method and system based on deep reinforcement learning |
| Publication number | Priority date | Publication date | Assignee | Title |
|---|---|---|---|---|
| WO2019165701A1 (en)* | 2018-02-28 | 2019-09-06 | 东南大学 | Random robust coupling optimization scheduling method for alternating-current and direct-current hybrid micro-grids |
| CN112736927A (en)* | 2020-12-28 | 2021-04-30 | 昆明理工大学 | Wind power plant uncertainty trend modeling method based on probability box theory |
| CN113255957A (en)* | 2021-04-02 | 2021-08-13 | 国网山东省电力公司济南供电公司 | Quantitative optimization analysis method and system for uncertain factors of comprehensive service station |
| US20220058176A1 (en)* | 2020-08-20 | 2022-02-24 | Robert Bosch Gmbh | Method for assessing validation points for a simulation model |
| Publication number | Priority date | Publication date | Assignee | Title |
|---|---|---|---|---|
| WO2019165701A1 (en)* | 2018-02-28 | 2019-09-06 | 东南大学 | Random robust coupling optimization scheduling method for alternating-current and direct-current hybrid micro-grids |
| US20220058176A1 (en)* | 2020-08-20 | 2022-02-24 | Robert Bosch Gmbh | Method for assessing validation points for a simulation model |
| CN112736927A (en)* | 2020-12-28 | 2021-04-30 | 昆明理工大学 | Wind power plant uncertainty trend modeling method based on probability box theory |
| CN113255957A (en)* | 2021-04-02 | 2021-08-13 | 国网山东省电力公司济南供电公司 | Quantitative optimization analysis method and system for uncertain factors of comprehensive service station |
| Title |
|---|
| 施卫杰;金茜;李禹鹏;刘扬洋;龚锦霞;: "考虑最差条件风险价值的主动配电网优化调度研究", 机电工程, no. 11, 20 November 2017 (2017-11-20)* |
| 黄心;王清心;丁家满;: "基于概率盒理论的电网规划方案中指标不确定性建模", 信息与控制, no. 03, 15 June 2016 (2016-06-15)* |
| Publication number | Priority date | Publication date | Assignee | Title |
|---|---|---|---|---|
| CN120373805A (en)* | 2025-06-25 | 2025-07-25 | 东北电力大学 | Power distribution network multi-scale optimal scheduling method and system based on deep reinforcement learning |
| CN120373805B (en)* | 2025-06-25 | 2025-08-22 | 东北电力大学 | Power distribution network multi-scale optimal scheduling method and system based on deep reinforcement learning |
| Publication number | Publication date |
|---|---|
| CN115632438B (en) | 2025-06-06 |
| Publication | Publication Date | Title |
|---|---|---|
| CN108388973A (en) | A kind of virtual plant ADAPTIVE ROBUST method for optimizing scheduling | |
| CN114204549B (en) | A method for joint optimization operation of wind, solar and energy storage clusters considering energy storage sharing | |
| CN115375344A (en) | A Two-Stage Robust Optimal Low-Carbon Economic Scheduling Method for Microgrid Considering Ladder Carbon Trading Mechanism | |
| CN116108360A (en) | Method and device for optimal operation control of regional comprehensive energy system | |
| CN115860413B (en) | Economic dispatch method for grid-connected combined cooling, heating and power microgrid system based on load demand response and double-layer adjustable robust optimization | |
| CN110400096A (en) | A day-ahead power generation plan optimization method and system for thermal power integration, electric energy storage and combined peak shaving | |
| CN115659096A (en) | Micro-grid multi-time scale energy scheduling method and device considering source load uncertainty | |
| CN104810863A (en) | Generator set active power real-time dispatching method considering wind power prediction error | |
| CN117674237A (en) | Energy storage peak shaving control method and system of power grid interconnection system considering energy storage action | |
| CN115187018A (en) | A double-layer optimal scheduling method and device for a comprehensive energy system in a park | |
| CN118898352A (en) | A virtual power plant dynamic peak regulation method and system based on neural network | |
| CN112598232A (en) | Energy storage system optimal configuration method in VPP (virtual private Point) of improved quantum particle swarm | |
| CN109919398A (en) | Optimal allocation method for partition backup of wind power system based on graph segmentation algorithm | |
| CN114386236A (en) | Planning method and system for reasonable utilization rate of new energy consumption | |
| CN116247742A (en) | Power system source-grid-load-storage joint control method and device based on deep reinforcement learning | |
| CN115632438A (en) | An Optimal Scheduling Method and Terminal Based on Probability Box and Conditional Value-at-Risk | |
| CN113762632A (en) | A collaborative optimization operation method and system for an electrical integrated energy system | |
| CN119010037A (en) | High-reliability optimization scheduling method for micro-grid of industrial park in severe weather | |
| CN110943487B (en) | A method and device for energy optimization of a park energy system | |
| CN115241878B (en) | Standby optimization method and system considering wind power standby reliability | |
| CN117175709A (en) | New energy power system unit combination method and system taking into account inertia constraints | |
| CN116760117A (en) | Thermal power unit transformation planning methods, devices, equipment and storage media considering the uncertainty of peak shaving demand | |
| CN117833274A (en) | Wind, light, water and fire storage combined frequency modulation method and system based on self-adaptive dynamic programming | |
| CN117175591A (en) | Wind-solar-storage combined power generation optimization method and system based on deep reinforcement learning | |
| CN117039907A (en) | Active and reactive robust scheduling method and system for power distribution network considering active demand response |
| Date | Code | Title | Description |
|---|---|---|---|
| PB01 | Publication | ||
| PB01 | Publication | ||
| SE01 | Entry into force of request for substantive examination | ||
| SE01 | Entry into force of request for substantive examination | ||
| GR01 | Patent grant | ||
| GR01 | Patent grant |