

技术领域technical field
本公开涉及气体检测领域,具体涉及一种气体浓度的检测方法。The present disclosure relates to the field of gas detection, in particular to a method for detecting gas concentration.
背景技术Background technique
差分吸收光谱技术(Differential Optical Absorption Spectroscopy,DOAS)为:利用待测气体分子的窄带吸收特性来鉴别气体分子,并根据窄带吸收强度反演出气体分子的浓度的一种技术。具体地,当一束光透过被测气体样品池时,光会被待测气体分子选择性吸收,从而改变入射光束的光强和光谱结构,通过与入射光束的原始光谱比较,即可获得吸收光谱,而由于气体分子在不同的光波段对光有不同的吸收能力,因此,可以通过分析光束在某一波段的吸收光谱,即可判断待测气体的成分和相应气体的浓度。Differential Optical Absorption Spectroscopy (DOAS) is a technology that uses the narrow-band absorption characteristics of the gas molecules to be measured to identify gas molecules, and inverts the concentration of gas molecules according to the narrow-band absorption intensity. Specifically, when a beam of light passes through the sample cell of the gas to be measured, the light will be selectively absorbed by the gas molecules to be measured, thereby changing the light intensity and spectral structure of the incident beam. By comparing with the original spectrum of the incident beam, we can obtain Absorption spectrum, and because gas molecules have different absorption capabilities for light in different light bands, the composition of the gas to be measured and the concentration of the corresponding gas can be judged by analyzing the absorption spectrum of the light beam in a certain band.
但是在实际的气体浓度测量过程中,往往会遇到某些气体的特征吸收波段重叠现象,这就导致了在特定波段内光谱结构的变化是由几种不同的气体导致的,从而增大目标烟气中各组分气体浓度测量的难度,也会为测量结果带来较大误差。可见,现有气体浓度检测方法,存在对特征吸收波段重叠的气体的浓度检测不准确的问题。However, in the actual gas concentration measurement process, it is often encountered that the characteristic absorption bands of some gases overlap, which leads to the change of the spectral structure in a specific band caused by several different gases, thus increasing the target The difficulty of measuring the gas concentration of each component in the flue gas will also bring large errors to the measurement results. It can be seen that the existing gas concentration detection method has the problem of inaccurate detection of the concentration of gases with overlapping characteristic absorption bands.
发明内容Contents of the invention
本公开提供的一种气体浓度的检测方法,可以提高对烟气组分浓度计算结果的准确性。The gas concentration detection method provided by the present disclosure can improve the accuracy of the calculation result of the smoke component concentration.
本公开实施例提供了一种气体浓度的检测方法,包括:An embodiment of the present disclosure provides a gas concentration detection method, including:
获取待测烟气对应的特征吸收波段信息,所述待测烟气包括至少两种第一烟气组分,所述特征吸收波段信息包括与所述至少两种第一烟气组分一一对应的至少两组第一波段数据,其中,所述第一波段数据包括所对应的第一烟气组分的特征吸收波段,所述至少两种第一烟气组分包括至少一种第一目标烟气组分和至少一种第二目标烟气组分,所述第一目标烟气组分对应的第一波段数据包括重合波段和非重合波段,所述第二目标烟气组分对应的第一波段数据包括所述重合波段;Obtain the characteristic absorption band information corresponding to the smoke to be tested, the smoke to be tested includes at least two first smoke components, the characteristic absorption band information includes the at least two first smoke components one by one Corresponding at least two sets of first waveband data, wherein the first waveband data includes the characteristic absorption waveband of the corresponding first smoke component, and the at least two first smoke components include at least one first A target smoke component and at least one second target smoke component, the first band data corresponding to the first target smoke component includes overlapping bands and non-overlapping bands, and the second target smoke component corresponds to The first band data includes the overlapping bands;
获取每种所述第一目标烟气组分对应的第一差分吸收截面数据,其中,所述第一差分吸收截面数据为采用差分吸收光谱法对所述待测烟气进行测量的过程中,所述第一目标烟气组分在所述非重合波段的差分吸收截面数据;Acquiring the first differential absorption cross-section data corresponding to each of the first target smoke components, wherein the first differential absorption cross-section data is during the process of measuring the smoke to be tested by using differential absorption spectroscopy, Differential absorption cross-section data of the first target smoke component in the non-overlapping band;
基于所述第一差分吸收截面数据,计算所述至少一种第一目标烟气组分的浓度,得到第一浓度数据,所述第一浓度数据包括所述至少一种目标烟气组分的浓度。Based on the first differential absorption cross-section data, calculate the concentration of the at least one first target smoke component to obtain first concentration data, the first concentration data including the at least one target smoke component concentration.
可选地,所述基于所述第一差分吸收截面数据,计算所述至少一种第一目标烟气组分的浓度,得到第一浓度数据之后,所述方法还包括:Optionally, calculating the concentration of the at least one first target smoke component based on the first differential absorption cross-section data, and after obtaining the first concentration data, the method further includes:
获取第二差分吸收截面数据,其中,所述第二差分吸收截面数据为采用差分吸收光谱法对所述待测烟气进行测量的过程中,所述至少两种第一烟气组分在所述重合波段的差分吸收截面数据之和;Obtaining second differential absorption cross-section data, wherein the second differential absorption cross-section data is during the process of measuring the smoke gas to be tested by using differential absorption spectroscopy, the at least two first smoke components are in the The sum of the differential absorption cross-section data of the above coincident bands;
基于所述第二差分吸收截面数据计算第二浓度数据,其中,所述第二浓度数据为所述至少两种第一烟气组分的浓度之和;calculating second concentration data based on the second differential absorption cross-section data, wherein the second concentration data is the sum of the concentrations of the at least two first smoke components;
基于所述第一浓度数据和所述第二浓度数据,计算所述至少一种第二目标烟气组分的浓度。Based on the first concentration data and the second concentration data, the concentration of the at least one second target smoke component is calculated.
可选地,所述基于所述第一浓度数据和所述第二浓度数据,计算所述至少一种第二目标烟气组分的浓度,包括:Optionally, the calculating the concentration of the at least one second target smoke component based on the first concentration data and the second concentration data includes:
基于所述第一浓度数据生成第三浓度数据,所述第三浓度数据为所述至少一种第一目标烟气组分的浓度之和;generating third concentration data based on the first concentration data, the third concentration data being the sum of the concentrations of the at least one first target smoke component;
计算所述第二浓度数据与所述第三浓度数据的差值,得到第四浓度数据;calculating the difference between the second concentration data and the third concentration data to obtain fourth concentration data;
基于所述第四浓度数据,确定所述至少一种第二目标烟气组分的浓度。Based on the fourth concentration data, the concentration of the at least one second target smoke component is determined.
可选地,所述基于所述第四浓度数据,确定所述至少一种第二目标烟气组分的浓度,包括:Optionally, the determining the concentration of the at least one second target smoke component based on the fourth concentration data includes:
在所述待测烟气包括的一种第二目标烟气组分的情况下,将所述第四浓度数据确定为所述第二目标烟气组分的浓度;In the case of a second target smoke component included in the smoke to be tested, determining the fourth concentration data as the concentration of the second target smoke component;
在所述待测烟气包括至少两种第二目标烟气组分的情况下,基于预设手段确定所述至少两种第二目标烟气组分的浓度。In the case that the smoke to be tested includes at least two second target smoke components, the concentrations of the at least two second target smoke components are determined based on preset means.
可选地,所述基于预设手段确定所述至少两种第二目标烟气组分的浓度,包括:Optionally, the determining the concentrations of the at least two second target smoke components based on preset means includes:
获取至少两个第三差分吸收截面数据,其中,所述至少两个第三差分吸收截面数据与所述至少两种第二目标烟气组分一一对应;Acquiring at least two third differential absorption cross-section data, wherein the at least two third differential absorption cross-section data correspond one-to-one to the at least two second target smoke components;
基于所述至少两个第三差分吸收截面数据,确定目标优先级顺序,其中,所述目标优先级顺序用于指示所述至少两种第二目标烟气组分的浓度计算的先后顺序,在所述目标优先级顺序中,所述第三差分吸收截面数据所指示的差分吸收截面越大,所对应的第二目标烟气组分的优先级越高;Based on the at least two third differential absorption cross-section data, determine the target priority sequence, wherein the target priority sequence is used to indicate the sequence of calculation of the concentration of the at least two second target smoke components, in In the target priority order, the larger the differential absorption cross section indicated by the third differential absorption cross section data, the higher the priority of the corresponding second target smoke component;
按照所述目标优先级顺序,依次计算所述至少两种第二目标烟气组分的浓度。According to the target priority order, the concentrations of the at least two second target smoke components are sequentially calculated.
可选地,所述按照所述目标优先级顺序,依次计算所述至少两种第二目标烟气组分的浓度,包括:Optionally, the sequentially calculating the concentrations of the at least two second target smoke components according to the target priority order includes:
获取所述第二烟气组分对应的第三差分吸收截面数据,所述第二烟气组分为所述至少两种第二目标烟气组分中的任意一种第二目标烟气组分;Acquiring the third differential absorption cross section data corresponding to the second smoke component, the second smoke component being any second target smoke group of the at least two second target smoke components Minute;
基于所述第二烟气组分对应的第三差分吸收截面数据,计算所述第二烟气组分的浓度。The concentration of the second smoke component is calculated based on the third differential absorption cross section data corresponding to the second smoke component.
可选地,所述基于所述第二差分吸收截面数据计算第二浓度数据,包括:Optionally, the calculating the second concentration data based on the second differential absorption cross section data includes:
基于所述第二差分吸收截面数据,确定所述重合波段对应的差分吸收度;Based on the second differential absorption cross-section data, determine the differential absorbance corresponding to the overlapping band;
对所述差分吸收度进行滤波处理,得到目标差分吸收度;performing filtering processing on the differential absorbance to obtain a target differential absorbance;
基于所述目标差分吸收度计算第二浓度数据。Second concentration data is calculated based on the target differential absorbance.
可选地,所述对所述差分吸收度进行滤波处理,得到目标差分吸收度,包括:Optionally, the filtering the differential absorbance to obtain the target differential absorbance includes:
利用小波滤波的抗干扰算法,对所述差分吸收度进行滤波处理,得到目标差分吸收度。The anti-jamming algorithm of wavelet filtering is used to filter the differential absorbance to obtain the target differential absorbance.
可选地,所述对所述差分吸收度进行滤波处理,得到目标差分吸收度,包括:Optionally, the filtering the differential absorbance to obtain the target differential absorbance includes:
利用卡尔曼滤波的抗干扰算法,对所述差分吸收度进行滤波处理,得到目标差分吸收度。The anti-jamming algorithm of the Kalman filter is used to filter the differential absorbance to obtain the target differential absorbance.
可选地,所述基于所述第一差分吸收截面数据,计算所述至少一种第一目标烟气组分的浓度,包括:Optionally, the calculating the concentration of the at least one first target smoke component based on the first differential absorption cross-section data includes:
基于所述第一差分吸收截面数据,利于朗伯-比尔定律计算所述至少一种第一目标烟气组分的浓度。Based on the first differential absorption cross-section data, the Lambert-Beer law is used to calculate the concentration of the at least one first target smoke component.
本公开实施例中,当至少两种第一烟气组分存在重合的特征吸收波段时,通过利用所述第一烟气组分除重合波段之外的非重合波段对第一烟气组分进行浓度计算,以提高对烟气组分浓度计算结果的准确性。In the embodiment of the present disclosure, when at least two first smoke components have overlapping characteristic absorption bands, the first smoke component is analyzed by using non-overlapping bands other than the overlapping bands of the first smoke components Concentration calculation is carried out to improve the accuracy of the calculation results of the smoke component concentration.
附图说明Description of drawings
为了更清楚地说明本公开实施例的技术方案,下面将对本公开实施例描述中所需要使用的附图作简单地介绍,显而易见地,下面描述中的附图仅仅是本公开的一些实施例,对于本领域普通技术人员来讲,在不付出创造性劳动性的前提下,还可以根据这些附图获得其他的附图。In order to more clearly illustrate the technical solutions of the embodiments of the present disclosure, the following will briefly introduce the accompanying drawings that need to be used in the description of the embodiments of the present disclosure. Obviously, the accompanying drawings in the following description are only some embodiments of the present disclosure. For those skilled in the art, other drawings can also be obtained based on these drawings without any creative effort.
图1是本公开实施例提供的气体浓度的检测方法的流程图之一;Fig. 1 is one of the flowcharts of the detection method of gas concentration provided by the embodiment of the present disclosure;
图2是本公开实施例提供的气体浓度的检测方法的流程图之二。Fig. 2 is the second flow chart of the gas concentration detection method provided by the embodiment of the present disclosure.
具体实施方式detailed description
下面将结合本公开实施例中的附图,对本公开实施例中的技术方案进行清楚、完整地描述,显然,所描述的实施例是本公开一部分实施例,而不是全部的实施例。基于本公开中的实施例,本领域普通技术人员在没有作出创造性劳动前提下所获得的所有其他实施例,都属于本公开保护的范围。The following will clearly and completely describe the technical solutions in the embodiments of the present disclosure with reference to the accompanying drawings in the embodiments of the present disclosure. Apparently, the described embodiments are part of the embodiments of the present disclosure, not all of them. Based on the embodiments in the present disclosure, all other embodiments obtained by persons of ordinary skill in the art without creative efforts fall within the protection scope of the present disclosure.
请参见图1,图1,为本公开实施例提供的一种气体浓度的检测方法的流程示意图,所述气体浓度的检测方法包括以下步骤:Please refer to FIG. 1. FIG. 1 is a schematic flowchart of a gas concentration detection method provided by an embodiment of the present disclosure. The gas concentration detection method includes the following steps:
步骤101、获取待测烟气对应的特征吸收波段信息,所述待测烟气包括至少两种第一烟气组分,所述特征吸收波段信息包括与所述至少两种第一烟气组分一一对应的至少两组第一波段数据,其中,所述第一波段数据包括所对应的第一烟气组分的特征吸收波段,所述至少两种第一烟气组分包括至少一种第一目标烟气组分和至少一种第二目标烟气组分,所述第一目标烟气组分对应的第一波段数据包括重合波段和非重合波段,所述第二目标烟气组分对应的第一波段数据包括所述重合波段;Step 101: Obtain characteristic absorption band information corresponding to the smoke to be tested, the smoke to be tested includes at least two first smoke components, and the characteristic absorption band information includes information related to the at least two first smoke components There are at least two sets of first band data in one-to-one correspondence, wherein the first band data includes the corresponding characteristic absorption band of the first smoke component, and the at least two first smoke components include at least one A first target smoke component and at least one second target smoke component, the first band data corresponding to the first target smoke component includes overlapping bands and non-overlapping bands, the second target smoke The first band data corresponding to the component includes the overlapping band;
步骤102、获取每种所述第一目标烟气组分对应的第一差分吸收截面数据,其中,所述第一差分吸收截面数据为采用差分吸收光谱法对所述待测烟气进行测量的过程中,所述第一目标烟气组分在所述非重合波段的差分吸收截面数据;
步骤103、基于所述第一差分吸收截面数据,计算所述至少一种第一目标烟气组分的浓度,得到第一浓度数据,所述第一浓度数据包括所述至少一种目标烟气组分的浓度。Step 103: Calculate the concentration of the at least one first target smoke component based on the first differential absorption cross-section data to obtain first concentration data, the first concentration data including the at least one target smoke component Concentration of components.
其中,上述待测烟气可以是各种烟气排放场景中的烟气,例如,可以是各类工矿企业所排放的烟气。在进行烟气排放之前,通过需要经过几轮化学反应对待排放烟气进行处理,以尽量除去待排放烟气中的有毒有害物质。其中,所述待测烟气可以是经过上述化学反应处理之后的烟气,由于经过化学反应之后所生成的物质的种类可以直接根据化学反应式推测得到,即上述待测烟气中所包含的各个组分的种类可以直接推测得到。因此,所述待测烟气中的各个组分可以直接确定。Wherein, the above-mentioned flue gas to be measured may be flue gas in various flue gas emission scenarios, for example, may be flue gas emitted by various industrial and mining enterprises. Before the flue gas is discharged, the flue gas to be discharged needs to be treated through several rounds of chemical reactions, so as to remove the toxic and harmful substances in the flue gas to be discharged as much as possible. Wherein, the flue gas to be tested may be the flue gas after the above-mentioned chemical reaction treatment, since the types of substances generated after the chemical reaction can be directly estimated according to the chemical reaction formula, that is, the gas contained in the above-mentioned flue gas to be tested The species of each component can be directly inferred. Therefore, each component in the flue gas to be tested can be determined directly.
具体地,由于在环境因素确定的情况下,各个组分的特征吸收波段以及差分吸收截面均是相对固定的,因此,可以通过查表确定各个组分在对应温度和压强下的特征吸收波段以及差分吸收截面,以得到所述待测烟气中,每个组分的第一波段数据和差分吸收截面数据。可以理解的是,所述第一波段数据可以包括所对应的第一烟气组分的各个特征吸收波段。Specifically, since the characteristic absorption band and differential absorption cross section of each component are relatively fixed when the environmental factors are determined, the characteristic absorption band and differential absorption cross section of each component at the corresponding temperature and pressure can be determined by looking up the table. The differential absorption cross section is used to obtain the first band data and differential absorption cross section data of each component in the flue gas to be measured. It can be understood that the first band data may include each characteristic absorption band of the corresponding first smoke component.
上述至少两组第一烟气组分可以是所述待测烟气中,所有特征吸收波段包括所述重合波段的组分。具体地,可以对所述至少两组第一波段数据进行分析,并筛选出所有具有重合波段的第一波段数据,同时,将具有重合波段的第一波段数据对应的组分确定为第一烟气组分。其中,所述待测烟气中,除所述第一烟气组分之外的其他烟气组分可以采用相关技术中的烟气检测手段进行浓度检测。例如,可以采用差分吸收光谱法对所述待测烟气中除所述第一烟气组分之外的其他烟气组分进行浓度检测。The above-mentioned at least two groups of first smoke components may be components in the smoke to be tested, and all characteristic absorption bands include the overlapping bands. Specifically, the at least two groups of first band data can be analyzed, and all the first band data with overlapping bands can be screened out, and at the same time, the component corresponding to the first band data with overlapping bands can be determined as the first smoke gas components. Wherein, in the flue gas to be tested, other flue gas components except the first flue gas component can be detected by means of flue gas detection in the related art. For example, differential absorption spectroscopy may be used to detect the concentration of other smoke components in the smoke to be tested except the first smoke component.
相关技术中,一些烟气组分具有两个或两个以上的特征吸收波段,例如SO2气体,其存在两个的特征吸收波段。因此,当某种烟气组分具有两个特征吸收波段,且该烟气组分的其中一个特征吸收波段为上述重合波段时,可以基于该烟气组分的另一个特征吸收波段计算该烟气的浓度,以避免因采用重合波段进行浓度计算而导致的计算误差过大的问题。In related technologies, some flue gas components have two or more characteristic absorption bands, such as SO2 gas, which has two characteristic absorption bands. Therefore, when a certain smoke component has two characteristic absorption bands, and one of the characteristic absorption bands of the smoke component is the above-mentioned overlapping band, the smoke can be calculated based on the other characteristic absorption band of the smoke component. To avoid the problem of excessive calculation error caused by using overlapping bands for concentration calculation.
可以理解的是,上述第一目标烟气组分的特征吸收波段和第二目标烟气组分的特征吸收波段均包括所述重合波段,即所述重合波段为所述第一目标烟气组分和第二目标烟气组分的功能特征吸收波段。且所述第二目标烟气组分的特征吸收波段仅包括所述重合波段,而所述第一目标烟气组分的特征吸收波段除了包括所述重合波段之外,还包括非重合波段。It can be understood that the above-mentioned characteristic absorption band of the first target smoke component and the characteristic absorption band of the second target smoke component both include the overlapping band, that is, the overlapping band is the first target smoke group and the functional characteristic absorption band of the second target smoke component. And the characteristic absorption bands of the second target smoke component only include the overlapping bands, while the characteristic absorption bands of the first target smoke component include non-overlapping bands in addition to the overlapping bands.
基于此,可以基于所述非重合波段计算各个第一目标烟气组分的浓度。在本公开一个具体实施例中,所述待测烟气包括j种第一烟气组分,其具体计算过程可以是:先在所述j种第一烟气组分中,确定第一个第一烟气组分,其中,所述第一个烟气组分的非重合波段与其他(j-1)种烟气组分的特征吸收波段均不重合,然后,获取所述第一个第一烟气组分对应的第一差分吸收截面数据,并基于所述第一差分吸收截面数据计算第一个第一烟气组分的浓度。再从剩余的(j-1)种烟气组分中确定第二个第一烟气组分,其中,所述第二个烟气组分的非重合波段与剩余的(j-2)种烟气组分的特征吸收波段均不重合,然后,获取所述第二个第一烟气组分对应的第一差分吸收截面数据,并基于所述第一差分吸收截面数据计算第二个第一烟气组分的浓度。依次类推,直至剩余的k组第一烟气组分均仅包括重合波段,并将剩余的k组第一烟气组分确定为k组第二目标烟气组分。其中,所述j为大于等于2的整数,所述k为大于等于1的整数,且所述k小于所述j。Based on this, the concentration of each first target smoke component can be calculated based on the non-overlapping bands. In a specific embodiment of the present disclosure, the smoke to be tested includes j kinds of first smoke components, and the specific calculation process may be: firstly, among the j kinds of first smoke components, determine the first The first smoke component, wherein the non-overlapping bands of the first smoke component do not overlap with the characteristic absorption bands of other (j-1) smoke components, and then, the first The first differential absorption cross-section data corresponding to the first smoke component, and calculating the concentration of the first first smoke component based on the first differential absorption cross-section data. Then determine the second first smoke component from the remaining (j-1) smoke components, wherein the non-overlapping bands of the second smoke component and the remaining (j-2) smoke components The characteristic absorption bands of the smoke components do not overlap. Then, the first differential absorption cross-section data corresponding to the second first smoke component is obtained, and the second differential absorption cross-section data is calculated based on the first differential absorption cross-section data. The concentration of a smoke component. By analogy, until the remaining k groups of first smoke components only include overlapping bands, and the remaining k groups of first smoke components are determined as k groups of second target smoke components. Wherein, the j is an integer greater than or equal to 2, the k is an integer greater than or equal to 1, and the k is smaller than the j.
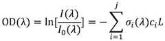
上述基于所述第一差分吸收截面数据,计算所述至少一种第一目标烟气组分的浓度的具体可以采用朗伯-比尔定律进行计算。其中,朗伯-比尔定律计算浓度的具体公式为:The specific calculation of the concentration of the at least one first target smoke component based on the first differential absorption cross-section data may be performed using the Lambert-Beer law. Among them, the specific formula for calculating the concentration according to the Lambert-Beer law is:
式中:OD(λ)为待测烟气在波长为λ处的差分吸收度,I0(λ)为入射光强度,I(λ)为探测到的经过气体吸收和散射后的光强,该数据可以由光谱仪测量得到,σi(λ)为待测烟气中第i个气体在波长为λ处的差分吸收截面数据,ci为待测烟气中第i个气体的浓度,L为光程。气体差分吸收截面数据是由气体吸收截面数据滤波得来,吸收截面代表了气体对光的吸收能力。其中,所述待测烟气可以包括j种第一烟气组分,j种第一烟气组分的差分吸收截面数据可以表示为σ=[σ1…σj]。其中,在获取到j种第一烟气组分的差分截面数据之后,可以进行滤波处理,以得到所述σ,例如,可以对待测j种第一烟气组分的特征吸收截面数据滤去低频部分,只保留高频部分,获得这j种第一烟气组分的差分吸收截面数据σ=[σ1 …σj]。In the formula: OD(λ) is the differential absorbance of the flue gas to be measured at the wavelength λ, I0 (λ) is the incident light intensity, I(λ) is the detected light intensity after gas absorption and scattering, This data can be obtained by spectrometer measurement, σi (λ) is the differential absorption cross-section data of the i-th gas in the flue gas to be measured at the wavelength λ, ci is the concentration of the i-th gas in the flue gas to be measured, L is the optical path. The gas differential absorption cross-section data is obtained by filtering the gas absorption cross-section data, and the absorption cross-section represents the light absorption ability of the gas. Wherein, the smoke to be tested may include j kinds of first smoke components, and the differential absorption cross section data of the j kinds of first smoke components may be expressed as σ=[σ1 ...σj ]. Wherein, after obtaining the differential cross-section data of j kinds of first smoke components, filtering processing can be performed to obtain the σ, for example, the characteristic absorption cross-section data of j kinds of first smoke components to be tested can be filtered out For the low-frequency part, only the high-frequency part is kept, and the differential absorption cross-section data σ=[σ1 ...σj ] of the j kinds of first smoke components are obtained.
由于I0(λ)为已知量,而I(λ)和OD(λ)可以通过光谱仪测量得到,σi(λ)可以通过查表得到,因此,上式中仅ci为未知量,因此,可以基于上式求解第i种烟气组分的浓度ci。Since I0 (λ) is a known quantity, and I(λ) and OD(λ) can be measured by a spectrometer, and σi (λ) can be obtained by looking up a table, therefore, only ci is an unknown quantity in the above formula, Therefore, the concentration ci of the i-th smoke component can be calculated based on the above formula.
具体地,当需要求解第i种烟气组分的浓度ci时,可以通过对上述公式进行变形,得到如下计算公式:Specifically, when it is necessary to solve the concentration ci of the i-th smoke component, the following calculation formula can be obtained by modifying the above formula:
其中,可由光谱仪测量数据计算得到,为第i个气体在非重合波段λnc内的差分吸收截面矩阵,光程L已知,则可求解出第i中烟气组分的浓度ci。in, It can be calculated from the spectrometer measurement data, is the differential absorption cross-section matrix of the i-th gas in the non-overlapping band λnc , and the optical path L is known, then the concentration ci of the i-th smoke component can be calculated.
该实施方式中,当至少两种第一烟气组分存在重合的特征吸收波段时,通过利用所述第一烟气组分除重合波段之外的非重合波段对第一烟气组分进行浓度计算,以提高对第一烟气组分浓度计算结果的准确性。In this embodiment, when at least two first smoke components have overlapping characteristic absorption bands, the first smoke components are analyzed by using non-overlapping bands other than the overlapping bands of the first smoke components. Concentration calculation, so as to improve the accuracy of the calculation result of the concentration of the first smoke component.
可选地,所述基于所述第一差分吸收截面数据,计算所述至少一种第一目标烟气组分的浓度,得到第一浓度数据之后,所述方法还包括:Optionally, calculating the concentration of the at least one first target smoke component based on the first differential absorption cross-section data, and after obtaining the first concentration data, the method further includes:
获取第二差分吸收截面数据,其中,所述第二差分吸收截面数据为采用差分吸收光谱法对所述待测烟气进行测量的过程中,所述至少两种第一烟气组分在所述重合波段的差分吸收截面数据之和;Obtaining second differential absorption cross-section data, wherein the second differential absorption cross-section data is during the process of measuring the smoke gas to be tested by using differential absorption spectroscopy, the at least two first smoke components are in the The sum of the differential absorption cross-section data of the above coincident bands;
基于所述第二差分吸收截面数据计算第二浓度数据,其中,所述第二浓度数据为所述至少两种第一烟气组分的浓度之和;calculating second concentration data based on the second differential absorption cross-section data, wherein the second concentration data is the sum of the concentrations of the at least two first smoke components;
基于所述第一浓度数据和所述第二浓度数据,计算所述至少一种第二目标烟气组分的浓度。Based on the first concentration data and the second concentration data, the concentration of the at least one second target smoke component is calculated.
所述基于所述第一浓度数据和所述第二浓度数据,计算所述至少一种第二目标烟气组分的浓度,包括:The calculating the concentration of the at least one second target smoke component based on the first concentration data and the second concentration data includes:
基于所述第一浓度数据生成第三浓度数据,所述第三浓度数据为所述至少一种第一目标烟气组分的浓度之和;generating third concentration data based on the first concentration data, the third concentration data being the sum of the concentrations of the at least one first target smoke component;
计算所述第二浓度数据与所述第三浓度数据的差值,得到第四浓度数据;calculating the difference between the second concentration data and the third concentration data to obtain fourth concentration data;
基于所述第四浓度数据,确定所述至少一种第二目标烟气组分的浓度。Based on the fourth concentration data, the concentration of the at least one second target smoke component is determined.
其中,由于所述第二差分吸收截面数据为采用差分吸收光谱法对所述待测烟气进行测量的过程中,所述至少两种第一烟气组分在所述重合波段的差分吸收截面数据之和,因此,基于所述第二差分吸收截面数据计算得到的第二浓度数据为所述至少两种第一烟气组分的浓度之和。而基于上述实施例已经计算得到的第一浓度数据包括:每种第一目标烟气组分的浓度,因此,可以通过利用第一浓度数据计算得到所有第一目标烟气组分之和,得到第三浓度数据。这样,通过所述第二浓度数据减去第三浓度数据即可得到所有第二目标烟气组分的浓度之和,即所述第四浓度数据为所有第二目标烟气组分的浓度之和。如此,可以利用所述第四浓度数据确定所述至少一种第二目标烟气组分的浓度。Wherein, since the second differential absorption cross-section data is the process of measuring the flue gas to be measured by using differential absorption spectroscopy, the differential absorption cross-sections of the at least two first flue gas components in the overlapping bands The sum of data, therefore, the second concentration data calculated based on the second differential absorption cross-section data is the sum of the concentrations of the at least two first smoke components. The first concentration data that has been calculated based on the above-mentioned embodiment includes: the concentration of each first target smoke component, therefore, the sum of all first target smoke components can be calculated by using the first concentration data to obtain third concentration data. In this way, the sum of the concentrations of all second target smoke components can be obtained by subtracting the third concentration data from the second concentration data, that is, the fourth concentration data is the sum of the concentrations of all second target smoke components. and. In this way, the concentration of the at least one second target smoke component can be determined using the fourth concentration data.
可选地,所述基于所述第四浓度数据,确定所述至少一种第二目标烟气组分的浓度,包括:Optionally, the determining the concentration of the at least one second target smoke component based on the fourth concentration data includes:
在所述待测烟气包括的一种第二目标烟气组分的情况下,将所述第四浓度数据确定为所述第二目标烟气组分的浓度;In the case of a second target smoke component included in the smoke to be tested, determining the fourth concentration data as the concentration of the second target smoke component;
在所述待测烟气包括至少两种第二目标烟气组分的情况下,基于预设手段确定所述至少两种第二目标烟气组分的浓度。In the case that the smoke to be tested includes at least two second target smoke components, the concentrations of the at least two second target smoke components are determined based on preset means.
该实施方式中,由于所述第四浓度为所述待测烟气中所有第二目标烟气组分的浓度之和,因此,在所述待测烟气仅包括一种第二目标烟气组分的情况下,可以直接将所述第四浓度数据确定为所述第二目标烟气组分的浓度,从而完成对第二目标烟气组分的浓度求解过程。相应地,在所述待测烟气包括至少两种第二目标烟气组分的情况下,可以进一步基于预设手段确定所述至少两种第二目标烟气组分的浓度。In this embodiment, since the fourth concentration is the sum of the concentrations of all second target smoke components in the smoke to be tested, only one second target smoke is included in the smoke to be tested In the case of components, the fourth concentration data may be directly determined as the concentration of the second target smoke component, thereby completing the process of solving the concentration of the second target smoke component. Correspondingly, in the case that the smoke to be tested includes at least two second target smoke components, the concentrations of the at least two second target smoke components may be further determined based on preset means.
可选地,所述基于预设手段确定所述至少两种第二目标烟气组分的浓度,包括:Optionally, the determining the concentrations of the at least two second target smoke components based on preset means includes:
获取至少两个第三差分吸收截面数据,其中,所述至少两个第三差分吸收截面数据与所述至少两种第二目标烟气组分一一对应;Acquiring at least two third differential absorption cross-section data, wherein the at least two third differential absorption cross-section data correspond one-to-one to the at least two second target smoke components;
基于所述至少两个第三差分吸收截面数据,确定目标优先级顺序,其中,所述目标优先级顺序用于指示所述至少两种第二目标烟气组分的浓度计算的先后顺序,在所述目标优先级顺序中,所述第三差分吸收截面数据所指示的差分吸收截面越大,所对应的第二目标烟气组分的优先级越高;Based on the at least two third differential absorption cross-section data, determine the target priority sequence, wherein the target priority sequence is used to indicate the sequence of calculation of the concentration of the at least two second target smoke components, in In the target priority order, the larger the differential absorption cross section indicated by the third differential absorption cross section data, the higher the priority of the corresponding second target smoke component;
按照所述目标优先级顺序,依次计算所述至少两种第二目标烟气组分的浓度。According to the target priority order, the concentrations of the at least two second target smoke components are sequentially calculated.
其中,上述获取至少两个第三差分吸收截面数据:即获取每一种第二目标烟气组分的对应的一个第三差分吸收截面数据,所述第二目标烟气组分对应的第三差分吸收截面数据为:采用差分吸收光谱法对所述待测烟气进行测量的过程中,所述第二目标烟气组分在所述非重合波段的差分吸收截面数据。Wherein, the acquisition of at least two third differential absorption cross-section data: that is, obtaining one corresponding third differential absorption cross-section data of each second target smoke component, and the third target smoke component corresponding to The differential absorption cross-section data is: the differential absorption cross-section data of the second target smoke component in the non-overlapping band during the process of measuring the smoke to be measured by differential absorption spectroscopy.
具体地,由于在分别对每种第二目标烟气组分进行浓度计算的过程中,烟气组分的差分吸收截面越大,其所带来的计算误差也越大,因此,在进行计算之前,通过先确定目标优先级顺序,以确保先针对第三差分吸收截面较大的第二目标烟气组分进行浓度计算,从而避免差分吸收截面较大的第二目标烟气组分影响差分吸收截面较小的第二目标烟气组分的浓度计算过程,进而有利于进一步提高第二目标烟气组分浓度计算的准确性。Specifically, in the process of calculating the concentration of each second target smoke component, the larger the differential absorption cross section of the smoke component, the greater the calculation error it brings, therefore, when calculating Previously, by first determining the target priority order, to ensure that the concentration calculation of the second target smoke component with a larger differential absorption cross-section is performed first, so as to avoid the second target smoke component with a larger differential absorption cross-section from affecting the difference The process of calculating the concentration of the second target smoke component with a smaller absorption cross section is conducive to further improving the accuracy of the calculation of the concentration of the second target smoke component.
可选地,所述按照所述目标优先级顺序,依次计算所述至少两种第二目标烟气组分的浓度,包括:Optionally, the sequentially calculating the concentrations of the at least two second target smoke components according to the target priority order includes:
获取所述第二烟气组分对应的第三差分吸收截面数据,所述第二烟气组分为所述至少两种第二目标烟气组分中的任意一种第二目标烟气组分;Acquiring the third differential absorption cross section data corresponding to the second smoke component, the second smoke component being any second target smoke group of the at least two second target smoke components Minute;
基于所述第二烟气组分对应的第三差分吸收截面数据,计算所述第二烟气组分的浓度。The concentration of the second smoke component is calculated based on the third differential absorption cross section data corresponding to the second smoke component.
可以理解的是,上述基于第三差分吸收截面数据计算第二烟气组分浓度的手段与上述实施例所采用的手段相同,且具备相同的有益效果,为避免重复,在此不再予以赘述。It can be understood that the method for calculating the concentration of the second smoke component based on the third differential absorption cross-section data is the same as the method used in the above-mentioned embodiment, and has the same beneficial effect. To avoid repetition, it will not be repeated here. .
在本公开一个实施例中,当重合波段还有多种气体(即所述待测烟气包括至少两种第二目标烟气组分),并且这些气体没有其他特征波段时(即至少两种第二目标烟气组分不存在非重合波段时),说明重合问题已经无法避免,此时只能尽可能的降低误差。当重合波段中有j种气体时,根据DOAS原理基本公式,可得每个气体浓度的计算公式为:In one embodiment of the present disclosure, when there are multiple gases in overlapping bands (that is, the smoke to be tested includes at least two second target smoke components), and these gases have no other characteristic bands (that is, at least two When there is no non-overlapping band in the second target smoke component), it means that the coincidence problem is unavoidable, and at this time, the error can only be reduced as much as possible. When there are j kinds of gases in the coincident band, according to the basic formula of DOAS principle, the calculation formula of each gas concentration can be obtained as:
ODc=-σccLODc = -σc c L
其中:in:
c=[c1 … ch … cj]Tc=[c1 ... ch ... cj ]T
假设重合波段λc中含有k个点ODc为多组分气体在重合波段λc的差分吸收度,可由光谱仪测量数据计算得到,σc为多组分气体在重合波段λc内的差分吸收截面矩阵,c为多组分气体浓度矩阵。Suppose there are k points in the coincident band λc ODc is the differential absorbance of the multi-component gas in the overlapping band λc , which can be calculated from the measured data of the spectrometer, σc is the differential absorption cross-section matrix of the multi-component gas in the overlapping band λc , c is the concentration of the multi-component gas matrix.
如果按照传统方法计算的话,此时即可利用上式来反演多组分气体中各个气体的浓度c1~cj,但这种方法的计算误差很大,因为波段重合现象,导致光谱仪测得的差分吸收度ODc是由重合波段内的多种气体叠加造成的,从而影响气体浓度测量精度。If calculated according to the traditional method, the above formula can be used to invert the concentration c1 ~cj of each gas in the multi-component gas at this time, but the calculation error of this method is very large, because the phenomenon of overlapping bands causes the spectrometer to measure The obtained differential absorbance ODc is caused by the superposition of multiple gases in the overlapping band, which affects the measurement accuracy of gas concentration.
本公开实施例将气体吸收截面按照由大到小的顺序排列,并优先计算重合波段内气体吸收截面最大的气体浓度,之后按气体差分吸收截面降序依次计算各组分气体浓度。换言之,是在多组分气体浓度求解中,只关注一个气体,将其他的气体都视为误差项和干扰项,所关注气体的次序为气体差分吸收截面降序,在求解出一个气体浓度后,利用该浓度值和该气体差分吸收截面参数,计算该气体的差分吸收度,并从重合波段中总的差分吸收度中减去该气体造成的影响,从而利用此值计算下一个气体浓度,依次循环进行,计算各个气体浓度。In the embodiment of the present disclosure, the gas absorption cross sections are arranged in order from large to small, and the gas concentration with the largest gas absorption cross section in the overlapping band is calculated first, and then the gas concentration of each component is calculated in descending order according to the gas differential absorption cross section. In other words, in the multi-component gas concentration solution, only one gas is concerned, and other gases are regarded as error items and interference items. The order of the concerned gases is the descending order of the gas differential absorption cross section. After solving a gas concentration, Use the concentration value and the gas differential absorption cross-section parameter to calculate the differential absorbance of the gas, and subtract the influence caused by the gas from the total differential absorbance in the coincident band, so as to use this value to calculate the next gas concentration, and then The cycle is carried out to calculate the concentration of each gas.
排序的原理为:The principle of sorting is:
ODc=-σccLODc = -σc c L
上式为多种气体差分吸收度与差分吸收截面、浓度和光程的关系式,假设我们只关注其中的h气体,并将其他气体都视为误差和干扰项,则有下式:The above formula is the relationship between the differential absorption of various gases and the differential absorption cross section, concentration and optical path. Assuming that we only pay attention to the h gas among them, and regard other gases as errors and interference items, the following formula is given:
为重合波段中,h气体的差分吸收度,为重合波段中,除去h气体的差分吸收度;为重合波段中,h气体的差分吸收截面,为重合波段中,除去h气体的剩余其他气体的差分吸收截面矩阵;ch为h气体的浓度,ce为混合气体中除去h气体的剩余其他气体的浓度矩阵。将除h气体外的气体都视为误差后,上式变形为: is the differential absorbance of h gas in the coincident band, In the coincident band, remove the differential absorbance of h gas; is the differential absorption cross-section of h gas in the coincident band, is the differential absorption cross-section matrix of other gases except gas h in the overlapping band; ch is the concentration of gas h, and ce is the concentration matrix of other gases except gas h in the mixed gas. After treating gases other than h gas as errors, the above formula is transformed into:
其中Δ为误差,ODΔ为差分吸收度误差。显然,误差项越小,ch越接近于真实值,当浓度信息无法确认的情况时,差分吸收截面矩阵越小,误差项越小,即此时气体h的差分吸收截面应为当前混合气体中差分吸收截面最大值,此后依次按差分吸收截面降序计算,以保证每个当前所关注的气体浓度计算误差保持最小。where Δ is the error, and ODΔ is the differential absorbance error. Obviously, the smaller the error term, the closer ch is to the true value. When the concentration information cannot be confirmed, the differential absorption cross-section matrix The smaller the value is, the smaller the error term is, that is, the differential absorption cross section of the gas h at this time It should be the maximum value of the differential absorption cross-section in the current mixed gas, and then calculated in descending order of the differential absorption cross-section to ensure that the calculation error of each currently concerned gas concentration is kept to a minimum.
除此之外,此时引入小波滤波或卡尔曼滤波等抗干扰的气体浓度反演算法,将差分吸收度误差项ODΔ的值进一步过滤,更加保证了误差项趋于最小值,差分吸收度更接近的真实值,以提升气体h的浓度测量精度。In addition, an anti-interference gas concentration inversion algorithm such as wavelet filter or Kalman filter is introduced at this time to further filter the value of the differential absorbance error term ODΔ , which further ensures that the error term tends to the minimum value and the differential absorbance Closer to improve the measurement accuracy of the concentration of gas h.
可选地,所述基于所述第二差分吸收截面数据计算第二浓度数据,包括:Optionally, the calculating the second concentration data based on the second differential absorption cross section data includes:
基于所述第二差分吸收截面数据,确定所述重合波段对应的差分吸收度;Based on the second differential absorption cross-section data, determine the differential absorbance corresponding to the overlapping band;
对所述差分吸收度进行滤波处理,得到目标差分吸收度;performing filtering processing on the differential absorbance to obtain a target differential absorbance;
基于所述目标差分吸收度计算第二浓度数据。Second concentration data is calculated based on the target differential absorbance.
该实施方式中,在进行浓度计算之前,通过先进行滤波处理,有利于去除差分吸收度中其他气体的影响,最大程度上只保留当前关注气体的差分吸收度,以去除差分吸收度中的噪声。从而有利于降低噪声的影响,进而可以提高后续浓度计算过程中的准确性。In this embodiment, before performing the concentration calculation, filter processing is performed first, which helps to remove the influence of other gases in the differential absorbance, and only retains the differential absorbance of the gas of interest to the greatest extent to remove the noise in the differential absorbance . Therefore, it is beneficial to reduce the influence of noise, and thus the accuracy in the subsequent concentration calculation process can be improved.
可选地,所述对所述差分吸收度进行滤波处理,得到目标差分吸收度,包括:Optionally, the filtering the differential absorbance to obtain the target differential absorbance includes:
利用小波滤波的抗干扰算法,对所述差分吸收度进行滤波处理,得到目标差分吸收度。The anti-jamming algorithm of wavelet filtering is used to filter the differential absorbance to obtain the target differential absorbance.
具体地,通过基于小波滤波的抗干扰算法进行滤波,可以降低其他气体对目标待测气体的影响。小波滤波因具有良好的时频局部化性质,故可很好的保存有用信号的尖峰和突变部分,在解决基于DOAS原理测量多组分气体浓度中,由于特征波段重合所造成气体浓度测量精度降低问题发生时,小波滤波可以很好的剔除重合波段中其他气体的差分吸收截面信息,最大程度上的只保留所关注的一种气体差分吸收截面信息,从而降低其他气体对目标气体浓度反演的影响,提升浓度测量精度。Specifically, the influence of other gases on the target gas to be measured can be reduced by filtering through an anti-interference algorithm based on wavelet filtering. Because wavelet filtering has good time-frequency localization properties, it can well preserve the peaks and sudden changes of useful signals. In solving the multi-component gas concentration measurement based on the DOAS principle, the gas concentration measurement accuracy is reduced due to the overlap of characteristic bands. When a problem occurs, wavelet filtering can well remove the differential absorption cross-section information of other gases in the coincident band, and only retain the differential absorption cross-section information of a gas of interest to the greatest extent, thereby reducing the influence of other gases on the inversion of the target gas concentration. influence and improve the concentration measurement accuracy.
在将气体按差分吸收截面由大到小进行排序后,求解当前关注的气体浓度时,将混合气体中其他气体都考虑为噪声,并通过小波滤波的方式将噪声尽可能的去除,以达到提升当前所求的气体浓度准确度的目的。After sorting the gases according to the differential absorption cross-section from large to small, when solving the current gas concentration of interest, consider other gases in the mixed gas as noise, and remove the noise as much as possible through wavelet filtering to achieve an improvement The purpose of the current gas concentration accuracy.
在实施例中,将混合气体差分吸收度ODc认为由当前关注气体h的差分吸收度以及噪声ODΔ叠加而成。对ODc进行离散小波分解,幅值较高的小波系数与的相关性较高,根据所选的阈值,将高于该阈值的小波系数保留,去除低于该阈值的系数,即为降低噪声的原理,下一步利用剩余的小波系数和尺度系数来重构波形,得到的就是滤除了噪声的波形,即为最接近真值的气体h差分吸收度经过变换后,即可最大程度除去其他气体的影响,得到较为准确的气体浓度值ch。In an embodiment, the mixed gas differential absorbance ODc is considered to be the differential absorbance of the current gas of interest h And the noise ODΔ is superimposed. Perform discrete wavelet decomposition on ODc , the wavelet coefficient with higher amplitude and According to the selected threshold, the wavelet coefficients higher than the threshold are retained, and the coefficients lower than the threshold are removed, which is the principle of reducing noise. In the next step, the remaining wavelet coefficients and scale coefficients are used to reconstruct Waveform, the waveform obtained is the noise-filtered waveform, which is the gas h differential absorbance closest to the true value After transformation, the influence of other gases can be removed to the greatest extent, and a more accurate gas concentration valuech can be obtained.
可选地,所述对所述差分吸收度进行滤波处理,得到目标差分吸收度,包括:Optionally, the filtering the differential absorbance to obtain the target differential absorbance includes:
利用卡尔曼滤波的抗干扰算法,对所述差分吸收度进行滤波处理,得到目标差分吸收度。The anti-jamming algorithm of the Kalman filter is used to filter the differential absorbance to obtain the target differential absorbance.
不同于上例,本例中采用卡尔曼滤波作为抗干扰算法,提升气体浓度计算精度。卡尔曼滤波提供了一种递推算法,由获得的带有噪声的观测数据,对系统状态进行线性、无偏差及最小误差方差的最优估计,其基本思想是给定一组合理的假设,可以从观测到的历史数据中推断出下一步状态的估计值。利用其对系统未来值的预测和估计的特性,在解决基于DOAS原理测量多组分气体浓度中,由于特征波段重合所造成气体浓度测量精度降低问题发生时,与上例相同,将只关注一个气体的浓度,而将其他气体都视作噪声,利用卡尔曼滤波原理,将噪声信息滤除,从而获得较高的浓度计算精度。卡尔曼滤波的思想为,利用推测值修正观测值的方式,提高测量值的精度,减少重合波段中其他气体对所关注气体的影响,得到相应浓度后,依次反演其他气体浓度,卡尔曼滤波状态方程为:Different from the previous example, in this example, Kalman filter is used as the anti-interference algorithm to improve the calculation accuracy of gas concentration. The Kalman filter provides a recursive algorithm. From the obtained observation data with noise, the optimal estimation of the system state is linear, unbiased and minimum error variance. The basic idea is to give a set of reasonable assumptions, Estimates of the next state can be inferred from observed historical data. Using its characteristics of predicting and estimating the future value of the system, in solving the problem of reducing the measurement accuracy of gas concentration due to the overlapping of characteristic bands in the measurement of multi-component gas concentration based on the DOAS principle, as in the previous example, we will only focus on one The concentration of the gas is considered, and other gases are regarded as noise, and the noise information is filtered out by using the Kalman filter principle, so as to obtain a higher concentration calculation accuracy. The idea of Kalman filtering is to improve the accuracy of the measured value by using the estimated value to correct the observed value, reduce the influence of other gases in the overlapping band on the gas of interest, and after obtaining the corresponding concentration, invert the concentration of other gases in turn. Kalman filtering The state equation is:
S(n)=AS(n-1)+w(n) (1)S(n)=AS(n-1)+w(n) (1)
x(n)=CS(n)+v(n) (2)x(n)=CS(n)+v(n) (2)
在此实施例中,上式(1)中各参数可定义为:S(n)为状态变量,在此定义为关注的气体浓度值ch;S(n-1)为上一波长处的该气体浓度值;A为状态参数,本例中将气体浓度值视为常数,即上一波长处与下一波长处的浓度值相等;w(n)为系统噪声;上式(2)中各参数可定义为x(n)为测量值,在此定义为在波长值λn处的差分吸光度值;C为差分吸收截面组成的灵敏度系数向量的转置矩阵;v(n)为测量噪声。其中各值可根据实际应用情况选定以达到最佳的滤波效果,得到最精确的气体浓度测量值。In this embodiment, each parameter in the above formula (1) can be defined as follows: S(n) is a state variable, which is defined as the gas concentration value ch concerned here; S(n -1) is the value at the last wavelength The gas concentration value; A is the state parameter, and the gas concentration value is regarded as a constant in this example, that is, the concentration value at the previous wavelength and the next wavelength are equal; w(n) is the system noise; in the above formula (2) Each parameter can be defined as x(n) is the measured value, which is defined as the differential absorbance value at the wavelength value λn ; C is the transposition matrix of the sensitivity coefficient vector composed of the differential absorption cross section; v(n) is the measurement noise . Each value can be selected according to the actual application to achieve the best filtering effect and obtain the most accurate gas concentration measurement value.
本公开实施例中,对待测烟气进行分析时,采用了两种方式解决气体特征吸收波段重叠问题,经此方法后,可以有效提升多组分混合气体中各个气体浓度的测量精度。核心思想大概为分类和排序的方式,在不可避免的气体特征波段重合现象发生后,尽量提升气体浓度测量精度。并且,在反演气体浓度时,采用了抗干扰的气体浓度反演算法,降低了浓度计算过程中噪声和其他气体对所关注的气体浓度反演造成的影响,进一步提升了浓度测量精度。In the embodiment of the present disclosure, two methods are used to solve the overlapping problem of gas characteristic absorption bands when analyzing the flue gas to be measured. After this method, the measurement accuracy of each gas concentration in the multi-component mixed gas can be effectively improved. The core idea is probably the way of classification and sorting, after the inevitable overlap of gas characteristic bands occurs, try to improve the measurement accuracy of gas concentration. Moreover, when inverting the gas concentration, an anti-interference gas concentration inversion algorithm is adopted, which reduces the influence of noise and other gases on the inversion of the gas concentration of interest during the concentration calculation process, and further improves the concentration measurement accuracy.
本公开实施例所提供的方法,通过利用光谱分析法中的差分吸收光谱法(DOAS)来测量多组分烟气浓度,面对实际测量过程中经常出现的特征波段重合现象所引起的浓度测量精度下降问题,提出了一种解决办法,该办法在面对浓度测量过程中波段重合现象发生时,可有效提升测量精度,并无需增加其他硬件,极大地节约了成本。本公开所提出的方法有效的弥补了现存技术的不足之处。本公开利用不同气体对光的吸收波段不同的特点,将气体进行分类,再利用气体特征吸收截面的特性将气体进行排序,而后使用抗干扰算法反演被测气体浓度,进一步提升气体浓度测量精度,当面对气体吸收波段重合问题时,依旧能提供很好的求解表现,一定程度上保证了气体浓度测量精度,弥补了现有技术的不足。The method provided by the embodiments of the present disclosure measures the concentration of multi-component flue gas by using the differential absorption spectroscopy (DOAS) in the spectral analysis method, and faces the concentration measurement caused by the overlapping phenomenon of characteristic bands that often occurs in the actual measurement process To solve the problem of decreased accuracy, a solution is proposed. This method can effectively improve the measurement accuracy when the band overlap phenomenon occurs in the concentration measurement process, and does not need to add other hardware, which greatly saves the cost. The method proposed in the present disclosure effectively makes up for the shortcomings of the existing technology. This disclosure uses the different characteristics of different gases for light absorption bands to classify the gases, and then uses the characteristics of the gas characteristic absorption cross section to sort the gases, and then uses the anti-interference algorithm to invert the measured gas concentration to further improve the gas concentration measurement accuracy , when faced with the problem of overlapping gas absorption bands, it can still provide a good solution performance, guarantee the measurement accuracy of gas concentration to a certain extent, and make up for the shortcomings of the existing technology.
请参见图2,为本公开一个实施例提供的一种气体浓度的检测方法的流程示意图,所述方法包括以下步骤:步骤1)判断待测烟气中是否存在重合波段,若否,则利用抗干扰算法依次计算各烟气组分的浓度;若是,则进行步骤2),下文将具有重合波段的多组分烟气表述为至少两种第一烟气组分;步骤2)判断至少两组第一烟气组分是否具有非重合波段,并将具有非重合波段的第一烟气组分称之为第一目标烟气组分,将仅具备重合波段的第一烟气组分称之为第二目标烟气组分;若是,则进行步骤3),若否,则进行步骤4);步骤3)使用非重合波段数据计算各第一目标烟气组分的浓度;步骤4)将重合波段的第二目标烟气组分进行排序,得到目标优先级顺序;5)按照目标优先级顺序,利用抗干扰算法依次计算各第二目标烟气组分的浓度;步骤6)输出浓度信息。Please refer to FIG. 2 , which is a schematic flow chart of a gas concentration detection method provided by an embodiment of the present disclosure. The method includes the following steps: Step 1) judging whether there are overlapping bands in the flue gas to be tested, and if not, use The anti-interference algorithm calculates the concentration of each smoke component in turn; if so, then proceed to step 2), and the following multi-component smoke with overlapping bands is expressed as at least two first smoke components; step 2) judges that at least two Whether the first smoke component of the group has non-overlapping bands, and the first smoke component with non-overlapping bands is called the first target smoke component, and the first smoke component with only overlapping bands is called It is the second target smoke component; if so, then proceed to step 3), if not, then proceed to step 4); step 3) use non-overlapping band data to calculate the concentration of each first target smoke component; step 4) Sorting the second target smoke components in overlapping bands to obtain the target priority order; 5) according to the target priority order, use the anti-interference algorithm to calculate the concentration of each second target smoke component in turn; step 6) output the concentration information.
需要说明的是,在本文中,术语“包括”、“包含”或者其任何其他变体意在涵盖非排他性的包含,从而使得包括一系列要素的过程、方法、物品或者装置不仅包括那些要素,而且还包括没有明确列出的其他要素,或者是还包括为这种过程、方法、物品或者装置所固有的要素。在没有更多限制的情况下,由语句“包括一个……”限定的要素,并不排除在包括该要素的过程、方法、物品或者装置中还存在另外的相同要素。It should be noted that, in this document, the term "comprising", "comprising" or any other variation thereof is intended to cover a non-exclusive inclusion such that a process, method, article or apparatus comprising a set of elements includes not only those elements, It also includes other elements not expressly listed, or elements inherent in the process, method, article, or device. Without further limitations, an element defined by the phrase "comprising a ..." does not preclude the presence of additional identical elements in the process, method, article, or apparatus comprising that element.
通过以上的实施方式的描述,本领域的技术人员可以清楚地了解到上述实施例方法可借助软件加必需的通用硬件平台的方式来实现,当然也可以通过硬件,但很多情况下前者是更佳的实施方式。基于这样的理解,本公开的技术方案本质上或者说对现有技术做出贡献的部分可以以软件产品的形式体现出来,该计算机软件产品存储在一个存储介质(如ROM/RAM、磁碟、光盘)中,包括若干指令用以使得一台电子设备(可以是手机,计算机,服务器,空调器,或者网络设备等)执行本公开各个实施例所述的方法。Through the description of the above embodiments, those skilled in the art can clearly understand that the methods of the above embodiments can be implemented by means of software plus a necessary general-purpose hardware platform, and of course also by hardware, but in many cases the former is better implementation. Based on such an understanding, the technical solution of the present disclosure can be embodied in the form of a software product in essence or the part that contributes to the prior art, and the computer software product is stored in a storage medium (such as ROM/RAM, disk, CD) contains several instructions to make an electronic device (which may be a mobile phone, a computer, a server, an air conditioner, or a network device, etc.) execute the methods described in various embodiments of the present disclosure.
上面结合附图对本公开的实施例进行了描述,但是本公开并不局限于上述的具体实施方式,上述的具体实施方式仅仅是示意性的,而不是限制性的,本领域的普通技术人员在本公开的启示下,在不脱离本公开宗旨和权利要求所保护的范围情况下,还可做出很多形式,均属于本公开的保护之内。The embodiments of the present disclosure have been described above in conjunction with the accompanying drawings, but the present disclosure is not limited to the above-mentioned specific implementations. The above-mentioned specific implementations are only illustrative and not restrictive. Under the inspiration of the present disclosure, without departing from the purpose of the present disclosure and the protection scope of the claims, many forms can be made, all of which are within the protection of the present disclosure.
| Application Number | Priority Date | Filing Date | Title |
|---|---|---|---|
| CN202211418950.7ACN115598081A (en) | 2022-11-14 | 2022-11-14 | A detection method of gas concentration |
| Application Number | Priority Date | Filing Date | Title |
|---|---|---|---|
| CN202211418950.7ACN115598081A (en) | 2022-11-14 | 2022-11-14 | A detection method of gas concentration |
| Publication Number | Publication Date |
|---|---|
| CN115598081Atrue CN115598081A (en) | 2023-01-13 |
| Application Number | Title | Priority Date | Filing Date |
|---|---|---|---|
| CN202211418950.7APendingCN115598081A (en) | 2022-11-14 | 2022-11-14 | A detection method of gas concentration |
| Country | Link |
|---|---|
| CN (1) | CN115598081A (en) |
| Publication number | Priority date | Publication date | Assignee | Title |
|---|---|---|---|---|
| US20080255769A1 (en)* | 2007-04-11 | 2008-10-16 | Xin Zhou | Reactive Gas Detection In Complex Backgrounds |
| CN105572067A (en)* | 2015-12-14 | 2016-05-11 | 重庆川仪自动化股份有限公司 | Flue gas concentration measuring method based on spectrum analysis |
| CN107271392A (en)* | 2017-06-12 | 2017-10-20 | 重庆大学 | One kind is based on gas differential absorption cross-section pattern measurement low concentration SO2Method |
| CN107727597A (en)* | 2017-12-04 | 2018-02-23 | 南京安荣信电子科技有限公司 | The ultraviolet difference retrieving concentration and disturbance restraining method of a kind of mixed gas |
| CN112666104A (en)* | 2020-12-29 | 2021-04-16 | 西安鼎研科技股份有限公司 | DOAS-based gas concentration inversion method |
| Publication number | Priority date | Publication date | Assignee | Title |
|---|---|---|---|---|
| US20080255769A1 (en)* | 2007-04-11 | 2008-10-16 | Xin Zhou | Reactive Gas Detection In Complex Backgrounds |
| CN105572067A (en)* | 2015-12-14 | 2016-05-11 | 重庆川仪自动化股份有限公司 | Flue gas concentration measuring method based on spectrum analysis |
| CN107271392A (en)* | 2017-06-12 | 2017-10-20 | 重庆大学 | One kind is based on gas differential absorption cross-section pattern measurement low concentration SO2Method |
| CN107727597A (en)* | 2017-12-04 | 2018-02-23 | 南京安荣信电子科技有限公司 | The ultraviolet difference retrieving concentration and disturbance restraining method of a kind of mixed gas |
| CN112666104A (en)* | 2020-12-29 | 2021-04-16 | 西安鼎研科技股份有限公司 | DOAS-based gas concentration inversion method |
| Title |
|---|
| 王菁;黄云彪;甄长飞;周毅力;: "短光程下差分吸收光谱法测量烟气浓度的研究", 光学技术, no. 03, 15 May 2020 (2020-05-15)* |
| Publication | Publication Date | Title |
|---|---|---|
| CA2599535C (en) | Method to reduce background noise in a spectrum | |
| JP5909233B2 (en) | Monitor, detect, and quantify compounds in gaseous sample streams | |
| US7251037B2 (en) | Method to reduce background noise in a spectrum | |
| CN109187392B (en) | Zinc liquid trace metal ion concentration prediction method based on partition modeling | |
| CN111948166A (en) | A method for simultaneous rapid quantitative analysis of multiple gas pollutants in flue gas | |
| CN106918567A (en) | A kind of method and apparatus for measuring trace metal ion concentration | |
| CN110887800B (en) | A Data Calibration Method for Spectroscopic Water Quality Online Monitoring System | |
| CN117074333B (en) | COD soft measurement model construction method based on ultraviolet-visible light absorption spectrum | |
| CN120253922B (en) | A soil heavy metal pollution detection method, device and system | |
| CN118310984A (en) | Quick measuring method for nitrite nitrogen in high salinity gradient environment by using spectrometry | |
| CN118866180A (en) | A surface water pollution feature extraction method and related equipment | |
| CN115791663B (en) | A method and system for measuring gas concentration by identifying unknown gas characteristics | |
| CN112801936A (en) | Self-adaptive background subtraction method for X-ray fluorescence spectrum | |
| CN107576641B (en) | Method and device for decomposing three-dimensional fluorescence spectrum data | |
| CN115598081A (en) | A detection method of gas concentration | |
| CN118378037A (en) | Bridge acceleration data denoising method based on long-short-term memory depth neural network | |
| CN115060681B (en) | Detection method of SF6 decomposition products by FTIR combined with CARS-ELM | |
| CN116380826A (en) | Greenhouse Gas Fourier Transform Infrared Spectroscopy Data Processing Method Based on Dynamic Selection of Principal Components | |
| CN107727597B (en) | Ultraviolet differential concentration inversion and interference suppression method for mixed gas | |
| CN102539370A (en) | Filtering method for Fourier transform infrared spectrum online analysis of multi-component gas | |
| JPH02290537A (en) | Taste value estimation method using near-infrared rays | |
| CN119400286B (en) | A method for non-targeted screening and identification of compound concentrations based on machine learning | |
| CN115791742B (en) | A correlation detection method and system for weak signal analysis | |
| CN115420715B (en) | Laser-induced breakdown spectroscopy abnormal data eliminating method based on spectral feature fusion | |
| CN117554314B (en) | Method for eliminating COD concentration deviation based on TSS independent spectrum reconstruction |
| Date | Code | Title | Description |
|---|---|---|---|
| PB01 | Publication | ||
| PB01 | Publication | ||
| SE01 | Entry into force of request for substantive examination | ||
| SE01 | Entry into force of request for substantive examination | ||
| CB02 | Change of applicant information | Country or region after:China Address after:250100 floor 36, building 4, Lushang Guoao City, No. 9777, Jingshi Road, Lixia District, Jinan City, Shandong Province Applicant after:Shandong Chuangyu Energy Technology Co.,Ltd. Address before:250100 floor 36, building 4, Lushang Guoao City, No. 9777, Jingshi Road, Lixia District, Jinan City, Shandong Province Applicant before:Shandong Chuangyu Environmental Protection Technology Co.,Ltd. Country or region before:China | |
| CB02 | Change of applicant information |