

技术领域technical field
本申请涉及汽车人机交互领域,尤其涉及一种用于人机交互评价的技术。The present application relates to the field of automobile human-computer interaction, and in particular to a technology for human-computer interaction evaluation.
背景技术Background technique
在汽车越来越普及的今天,为了提升用户体验,对于汽车的人机交互评价需求越来越强烈,但是在汽车人机交互领域中没有一种比较好的、可量化的评价方案。由于汽车人机交互评价体系中的评价条目多达数千项,如果没有很好的结构,很难将所有条目整合在一个体系内。Today, as cars are becoming more and more popular, in order to improve user experience, there is an increasingly strong demand for car human-computer interaction evaluation, but there is no better and quantifiable evaluation solution in the field of car human-computer interaction. Since there are thousands of evaluation items in the automobile human-computer interaction evaluation system, it is difficult to integrate all the items into one system without a good structure.
我们在其他领域所常见的评价体系通常都是一个树形结构,即由一级目录、二级目录、三级目录等组成,就像一棵大树,主干分为若干主枝,主枝分为若干侧枝,侧枝上再长出树叶。这种体系会存在容易遗漏、易重叠、不可拓展的问题,而且,如果整个评价指标是树形结构,这个结构的建立就会遇到问题:是将总成绩先分为各个交互模态的成绩,再分为各个交互任务的成绩;还是将总成绩先分为各个交互任务的成绩,再分为各个交互模态的成绩,如果选择前者,我们就无法回答一辆车的空调控制任务表现怎么样,因为它们被分散到了各个交互模态中。如果选择后者,我们就无法回答一辆车的语音交互表现怎么样,因为它们被分散到了各个交互任务中。The evaluation system we often see in other fields is usually a tree structure, which is composed of first-level directories, second-level directories, third-level directories, etc., just like a big tree, the trunk is divided into several main branches, and the main branches are divided into It is a number of side branches, and leaves grow on the side branches. This kind of system will have the problems of being easy to miss, easy to overlap, and not expandable. Moreover, if the entire evaluation index is a tree structure, the establishment of this structure will encounter problems: it is to divide the total score into the scores of each interaction mode first. , and then divided into the scores of each interactive task; or divide the total score into the scores of each interactive task first, and then divided into the scores of each interaction mode. If we choose the former, we cannot answer how a car’s air conditioning control task performs. as they are distributed among the various interaction modalities. If we choose the latter, we can't answer how well a vehicle's voice interaction performs, because they are scattered among the various interaction tasks.
若汽车人机交互评价体系使用了上述树状结构,那么这个结构中的一级目录很可能包括:基础任务(或常用任务)、地图导航、语音控制等。实际场景中,研发者很可能会提出这样的一级目录,因为它非常直观,也与测试的流程相一致。但是,这样的结构是存在问题的。首先,地图导航是一组任务,语音控制是一种交互模态,二者不在一个维度上,不是并列关系。例如,用语音输入导航目的地,应该属于地图导航模块还是语音控制模块呢?其实二者都属于,这样,这两个一级目录出现了重叠。其次,这样的评价体系在拓展过程中会出现逻辑的困境。假如若干年后,表情控制在汽车人机交互中得到了普及,人们可以用它控制空调、音乐等模块中的简单任务。那么,表情控制所对应的被测条目应该属于基础任务,还是再单独为它开辟一个新的一级目录呢?如果并入基础任务,那么表情控制难道不应该与语音控制平行吗?如果单独开辟新的一级目录,整个体系的一级目录就太容易发生改变,新测试结果与老测试结果的总分就会出现不同,也就没有可比性了。可见,树桩结构的评价体系有着逻辑重叠、不易拓展等难以克服的问题。因此,我们需要一种更好地评价体系来解决上述问题。If the automotive human-computer interaction evaluation system uses the above-mentioned tree structure, then the first-level directory in this structure is likely to include: basic tasks (or common tasks), map navigation, voice control, etc. In actual scenarios, developers are likely to propose such a first-level directory, because it is very intuitive and consistent with the testing process. However, such a structure is problematic. First of all, map navigation is a set of tasks, and voice control is an interaction mode. The two are not in the same dimension and are not in a parallel relationship. For example, if inputting a navigation destination by voice, should it belong to the map navigation module or the voice control module? In fact, both belong to, so that the two first-level directories overlap. Secondly, such an evaluation system will encounter logical dilemmas in the process of expansion. If a few years later, expression control is popularized in human-computer interaction in cars, people can use it to control simple tasks in modules such as air conditioners and music. So, should the tested item corresponding to expression control belong to the basic task, or should a new first-level directory be opened up for it? Shouldn't expression control parallel voice control if incorporated into the base task? If a new first-level directory is opened separately, the first-level directory of the entire system is too easy to change, and the total scores of the new test results and the old test results will be different, and there will be no comparison. It can be seen that the evaluation system of the tree stump structure has some insurmountable problems such as logic overlap and difficulty in expansion. Therefore, we need a better evaluation system to solve the above problems.
发明内容Contents of the invention
本申请的目的是提供一种用于人机交互评价的方法与设备,以解决现有技术中评价体系容易遗漏、易重叠、不易拓展的问题。The purpose of this application is to provide a method and equipment for human-computer interaction evaluation, so as to solve the problems in the prior art that the evaluation system is easy to omit, easy to overlap, and difficult to expand.
根据本申请的一个方面,提供了一种用于人机交互评价的方法,其中,该方法包括:According to one aspect of the present application, a method for evaluating human-computer interaction is provided, wherein the method includes:
构建包含第一维度、第二维度及第三维度的三维正交体系,其中,第一维度包括多个三级评价指标,第二维度包括多个交互任务,第三维度包括多个交互模态,其中,三个维度交叉构成的单元代表一个评价条目;Construct a three-dimensional orthogonal system including the first dimension, the second dimension and the third dimension, wherein the first dimension includes multiple three-level evaluation indicators, the second dimension includes multiple interactive tasks, and the third dimension includes multiple interactive modes , where the unit formed by the intersection of three dimensions represents an evaluation item;
确定每个所述评价条目在对应的三级评价指标下的评分;Determining the score of each of the evaluation items under the corresponding three-level evaluation index;
基于所述每个评价条目在对应的三级评价指标下的评分确定对应的三级评价指标的得分,以通过所述得分实现人机交互评价。The score of the corresponding third-level evaluation index is determined based on the score of each evaluation item under the corresponding third-level evaluation index, so as to realize human-computer interaction evaluation through the score.
优选地,其中,所述方法还包括:Preferably, wherein, the method also includes:
基于一个或多个三级评价指标的得分确定对应的二级评价指标的得分,其中,所述二级评价指标的得分基于所述一个或多个三级评价指标的得分加权处理后确定。The scores of the corresponding second-level evaluation indicators are determined based on the scores of one or more third-level evaluation indicators, wherein the scores of the second-level evaluation indicators are determined after weighted processing based on the scores of the one or more third-level evaluation indicators.
优选地,其中,所述方法还包括:Preferably, wherein, the method also includes:
基于一个或多个二级评价指标的得分确定对应的一级评价指标的得分,其中,所述二级评价指标的得分基于所述一个或多个二级评价指标的得分加权处理后确定,其中,多个一级评价指标加权求和后。Determining the score of the corresponding first-level evaluation index based on the scores of one or more second-level evaluation indicators, wherein the score of the second-level evaluation index is determined after weighted processing based on the scores of the one or more second-level evaluation indicators, wherein , after the weighted summation of multiple first-level evaluation indicators.
优选地,其中,所述一级评价指标包括以下至少任一项:有用性、安全性、高效性、认知、智能、价值、审美。Preferably, the primary evaluation index includes at least any one of the following: usefulness, safety, efficiency, cognition, intelligence, value, and aesthetics.
优选地,其中,所述方法还包括:基于所述第一维度、第二维度及第三维度中至少任一个的变化,更新所述三维正交体系。Preferably, the method further includes: updating the three-dimensional orthogonal system based on changes in at least any one of the first dimension, the second dimension and the third dimension.
进一步地,其中,所述确定每个所述评价条目在对应的三级评价指标下的评分包括:Further, wherein the determining the score of each evaluation item under the corresponding three-level evaluation index includes:
当某一评价条目所对应的交互任务与交互模态相关且由各交互模态无差别完成该交互任务,计算该交互任务的每种交互模态在对应的三级评价指标下的评分;When the interaction task corresponding to an evaluation item is related to the interaction mode and the interaction task is completed by each interaction mode without difference, calculate the score of each interaction mode of the interaction task under the corresponding three-level evaluation index;
基于所述三级评价指标下的评分确定最佳交互模态,并将所述最佳交互模态的评分确定为该评价条目在对应的三级评价指标下的评分。The best interaction mode is determined based on the scores under the three-level evaluation index, and the score of the best interaction mode is determined as the score of the evaluation item under the corresponding three-level evaluation index.
进一步地,其中,所述基于所述三级评价指标下的评分确定最佳交互模态包括:Further, wherein, the determination of the best interaction mode based on the scores under the three-level evaluation index includes:
基于所述三级评价指标下的评分确定该任务的每个交互模态的该三级评价指标对应的一个或多个一级评价指标下的评分;determining the scores under one or more first-level evaluation indicators corresponding to the third-level evaluation indicators for each interaction mode of the task based on the scores under the third-level evaluation indicators;
将评分最高的模态确定为最佳交互模态。The modality with the highest score is determined as the best interaction modality.
进一步地,其中,当一级评价指标包括安全性与高效性,每个交互模态在安全性与高效性下的评分公式为:Further, when the first-level evaluation index includes safety and efficiency, the scoring formula for each interaction mode under safety and efficiency is:
B=0.18S11+0.12S12+0.12S21+0.18S22+0.2E11+0.12E21+0.08E22,其中,B为单个任务的单个模态的安全与高效分数;S11为该任务的该模态在车道保持下的得分;S12为该任务的该模态在车速保持下的得分;S21为该任务的该模态在视线偏移总时间下的得分;S22为该任务的该模态在单次最长视线偏移时间下的得分;E11为该任务的该模态在操作时间下的得分;E21为该任务的该模态在操作步数及位移量下的得分;E22为该任务的该模态在注视点数下的得分。B=0.18S11 +0.12S12 +0.12S21 +0.18S22 +0.2E11 +0.12E21 +0.08E22 , where B is the safety and efficiency score of a single mode of a single task; S11 is the The score of the mode of the task under lane keeping; S12 is the score of the mode of the task under the speed of the vehicle; S21 is the score of the mode of the task under the total time of line-of-sight deviation; S22 is E11 is the score of this mode of this taskunder the operation time of this mode under the single longest line of sight deviation time;E21 is the number of operation steps and displacement of this mode of this task E22 is the score of this mode of this task under the fixation points.
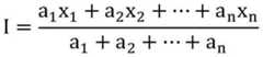
优选地,其中,单个三级评价指标的评分公式为:Preferably, wherein, the scoring formula of a single three-level evaluation index is:
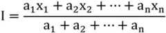
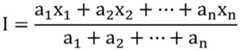
,其中,I为单个三级评价指标的分数;xn为单个评价条目在该三级评价指标下的分数,其中,对于有最佳交互模态的交互任务则对应为该交互任务的最佳交互模态在该三级评价指标下的分数;an为单个交互任务的权重。, where, I is the score of a single three-level evaluation index; xn is the score of a single evaluation item under the three-level evaluation index, among which, for the interactive task with the best interaction mode, it corresponds to the best The score of the interaction modality under this three-level evaluation index; an is the weight of a single interaction task.
根据本申请的另一方面,还提供了一种计算机可读介质,其上存储有计算机可读指令,所述计算机可读指令可被处理器执行以实现如上述方法的操作。According to another aspect of the present application, there is also provided a computer-readable medium on which computer-readable instructions are stored, and the computer-readable instructions can be executed by a processor to implement the operations of the above method.
根据本申请的再一方面,还提供了一种用于人机交互评价的设备,其中,该设备包括:According to another aspect of the present application, a device for human-computer interaction evaluation is also provided, wherein the device includes:
一个或多个处理器;以及one or more processors; and
存储有计算机可读指令的存储器,所述计算机可读指令在被执行时使所述处理器执行如上述方法的操作。A memory storing computer readable instructions that, when executed, cause the processor to perform operations as described above.
与现有技术相比,本申请通过构建包含第一维度、第二维度及第三维度的三维正交体系,其中,第一维度包括多个三级评价指标,第二维度包括多个交互任务,第三维度包括多个交互模态,其中,三个维度交叉构成的单元代表一个评价条目,然后,确定每个所述评价条目在对应的三级评价指标下的评分,并基于所述每个评价条目在对应的三级评价指标下的评分确定对应的三级评价指标的得分,以通过所述得分实现人机交互评价。这种方式能够可量化地对人机交互进行评价,并且通过三维体系的方式能够做到不遗漏、不易重叠。Compared with the prior art, this application constructs a three-dimensional orthogonal system including the first dimension, the second dimension and the third dimension, wherein the first dimension includes multiple three-level evaluation indicators, and the second dimension includes multiple interactive tasks , the third dimension includes a plurality of interaction modes, wherein the unit formed by the intersection of the three dimensions represents an evaluation item, and then, the score of each evaluation item under the corresponding three-level evaluation index is determined, and based on each The score of each evaluation item under the corresponding third-level evaluation index determines the score of the corresponding third-level evaluation index, so as to realize the human-computer interaction evaluation through the score. This method can quantitatively evaluate the human-computer interaction, and through the three-dimensional system, no omissions and overlaps can be achieved.
而且,本申请还可以基于所述第一维度、第二维度及第三维度中至少任一个的变化,更新所述三维正交体系,这种方式,可以方便快捷地拓展评价体系,方便体系更新,无需改动已有的体系。Moreover, the present application can also update the three-dimensional orthogonal system based on changes in at least any one of the first dimension, the second dimension, and the third dimension. In this way, the evaluation system can be expanded conveniently and quickly, and the system update can be facilitated. , without changing the existing system.
附图说明Description of drawings
通过阅读参照以下附图所作的对非限制性实施例所作的详细描述,本发明的其它特征、目的和优点将会变得更明显:Other characteristics, objects and advantages of the present invention will become more apparent by reading the detailed description of non-limiting embodiments made with reference to the following drawings:
图1示出根据本申请一个方面的一种用于人机交互评价的方法流程图;Fig. 1 shows a flow chart of a method for human-computer interaction evaluation according to one aspect of the present application;
图2示出根据本申请一个优选实施例的一种用于人机交互评价的方法示意图。Fig. 2 shows a schematic diagram of a method for human-computer interaction evaluation according to a preferred embodiment of the present application.
附图中相同或相似的附图标记代表相同或相似的部件。The same or similar reference numerals in the drawings represent the same or similar components.
具体实施方式detailed description
下面结合附图对本发明作进一步详细描述。The present invention will be described in further detail below in conjunction with the accompanying drawings.
在本申请一个典型的配置中,内存可能包括计算机可读介质中的非永久性存储器,随机存取存储器(RAM)和/或非易失性内存等形式,如只读存储器(ROM)或闪存(flashRAM)。内存是计算机可读介质的示例。In a typical configuration of this application, memory may include non-permanent storage in computer-readable media, in the form of random access memory (RAM) and/or non-volatile memory, such as read-only memory (ROM) or flash memory (flashRAM). Memory is an example of computer readable media.
计算机可读介质包括永久性和非永久性、可移动和非可移动媒体可以由任何方法或技术来实现信息存储。信息可以是计算机可读指令、数据结构、程序的模块或其他数据。计算机的存储介质的例子包括,但不限于相变内存(PRAM)、静态随机存取存储器(SRAM)、动态随机存取存储器(DRAM)、其他类型的随机存取存储器(RAM)、只读存储器(ROM)、电可擦除可编程只读存储器(EEPROM)、快闪记忆体或其他内存技术、只读光盘只读存储器(CD-ROM)、数字多功能光盘(DVD)或其他光学存储、磁盒式磁带,磁带磁盘存储或其他磁性存储设备或任何其他非传输介质,可用于存储可以被计算设备访问的信息。按照本文中的界定,计算机可读介质不包括非暂存电脑可读媒体(transitory media),如调制的数据信号和载波。Computer-readable media, including both permanent and non-permanent, removable and non-removable media, can be implemented by any method or technology for storage of information. Information may be computer readable instructions, data structures, modules of a program, or other data. Examples of computer storage media include, but are not limited to, phase change memory (PRAM), static random access memory (SRAM), dynamic random access memory (DRAM), other types of random access memory (RAM), read only memory (ROM), Electrically Erasable Programmable Read-Only Memory (EEPROM), Flash memory or other memory technology, Compact Disc Read-Only Memory (CD-ROM), Digital Versatile Disc (DVD) or other optical storage, Magnetic tape cartridge, tape disk storage or other magnetic storage device or any other non-transmission medium that can be used to store information that can be accessed by a computing device. As defined herein, computer-readable media excludes non-transitory computer-readable media, such as modulated data signals and carrier waves.
为更进一步阐述本申请所采取的技术手段及取得的效果,下面结合附图及优选实施例,对本申请的技术方案,进行清楚和完整的描述。In order to further illustrate the technical means adopted by the present application and the achieved effects, the technical solutions of the present application will be clearly and completely described below in conjunction with the accompanying drawings and preferred embodiments.
图1示出本申请一个方面提供的一种用于人机交互评价的方法,其中,该方法包括:Figure 1 shows a method for human-computer interaction evaluation provided by one aspect of the present application, wherein the method includes:
S11构建包含第一维度、第二维度及第三维度的三维正交体系,其中,第一维度包括多个三级评价指标,第二维度包括多个交互任务,第三维度包括多个交互模态,其中,三个维度交叉构成的单元代表一个评价条目;S11 Construct a three-dimensional orthogonal system including the first dimension, the second dimension and the third dimension, wherein the first dimension includes multiple three-level evaluation indicators, the second dimension includes multiple interactive tasks, and the third dimension includes multiple interactive models. state, where the unit formed by the intersection of three dimensions represents an evaluation item;
S12确定每个所述评价条目在对应的三级评价指标下的评分;S12 Determine the score of each of the evaluation items under the corresponding three-level evaluation index;
S13基于所述每个评价条目在对应的三级评价指标下的评分确定对应的三级评价指标的得分,以通过所述得分实现人机交互评价。S13 Determine the score of the corresponding third-level evaluation index based on the score of each evaluation item under the corresponding third-level evaluation index, so as to realize human-computer interaction evaluation through the score.
在该实施例中,在所述步骤S11中,构建三维正交体系,其中,该三个维度彼此正交,相互独立,互不影响。三维正交体系中的三个维度拥有对称性,不需要纠结交互模态和交互任务哪一个需要排在更高的级别,因为它们都是三个正交维度之中的一个,没有级别的高低之分。三维正交体系可以根据需要,灵活地选择一个“切面”来进行解释。例如,当我们需要判断一款车型的空调任务表现如何,就可以以交互任务为切面,把所有与空调相关的交互任务选取出来进行分析。又例如,当我们需要判断一款车型的语音控制表现如何,就可以以交互模态为切面,把所有语音完成的任务选取出来进行分析。再例如,当我们需要了解一款车型的高效性表现如何,就可以以评价指标为切面,把所有高效性下属的评价指标选取出来进行分析,这种三维正交体系非常便于用户使用。所述三维正交体系可应用于人机交互评价系统,特别是汽车人机交互评价系统。In this embodiment, in the step S11, a three-dimensional orthogonal system is constructed, wherein the three dimensions are orthogonal to each other, are independent of each other, and do not affect each other. The three dimensions in the three-dimensional orthogonal system have symmetry, and there is no need to worry about which one needs to be ranked at a higher level, the interaction mode or the interaction task, because they are all one of the three orthogonal dimensions, and there is no level. points. The three-dimensional orthogonal system can flexibly choose a "section" for interpretation according to needs. For example, when we need to judge how well the air-conditioning tasks of a car model perform, we can use the interactive tasks as an aspect to select all interactive tasks related to air-conditioning for analysis. For another example, when we need to judge the voice control performance of a car model, we can use the interaction mode as an aspect to select all tasks completed by voice for analysis. For another example, when we need to know how high-efficiency a model is, we can use the evaluation indicators as a perspective to select all the evaluation indicators of the high-efficiency subordinates for analysis. This three-dimensional orthogonal system is very convenient for users to use. The three-dimensional orthogonal system can be applied to human-computer interaction evaluation systems, especially automobile human-computer interaction evaluation systems.
其中,交互任务是用户在使用人机交互系统(例如,汽车人机交互系统)时,为了实现某个目标而进行的一组活动。在广义的定义中,活动可以是肢体动作,也可以是感知或者认知活动。在一般的讨论中,交互任务有时是狭义的范围,即需要用户进行肢体活动来进行某项操作,以及与其相对应的输出及反馈。Among them, the interactive task is a group of activities performed by the user to achieve a certain goal when using the human-computer interaction system (for example, the automobile human-computer interaction system). In a broad definition, an activity can be physical or perceptual or cognitive. In general discussions, interactive tasks are sometimes narrowly defined, that is, users are required to perform physical activities to perform certain operations, as well as the corresponding output and feedback.
交互模态(interaction modality)是人与机器之间进行输入/输出时的独立的感官通道类型。例如,在汽车人机交互系统中,交互模态被定义地更加具体,并且通常更加侧重信息的输入。当前在汽车上广泛使用的以输入为主导的四种交互模态是:中控按键,简称中控键;中控屏触摸,简称触屏;方向盘按键,简称方控键;语音控制,简称语音。在此,所述交互模态仅为举例,其他现有的或者今后可能出现的交互模态如适用于本申请也包含在本申请的保护范围内。Interaction modality is an independent sensory channel type for input/output between humans and machines. For example, in the automobile human-computer interaction system, the interaction mode is defined more specifically, and usually focuses more on the input of information. The four input-oriented interaction modes currently widely used in automobiles are: central control button, referred to as central control key; central control screen touch, referred to as touch screen; steering wheel button, referred to as square control key; voice control, referred to as voice . Here, the interaction mode is only an example, and other existing or future interaction modes applicable to the present application are also included in the protection scope of the present application.
评价指标是人机交互中可量化的评价维度。评价指标与交互任务、交互模态是相互独立的。一项评价指标的意义,不会随着交互任务的变化而变化,也不会随着交互模态的变化而变化。在此,所述三级评价指标具体包括但不限于功能支持、任务成功率、抗反光性能、抗噪性能、不易发热及死机、独立、交叉、位置、车道保持、车速保持、视线偏移总时间、单次最长视线偏移时间、功能限制、操作时间、响应速度、操作步数及位移量、注视点数、系统层级、元素聚类及从属逻辑、图标/文字尺寸、图标颜色差异、图标意义、文字描述、可交互性提示、信息可视化及操作具象化、图标/词组数量、文字数量、排列方式、反馈丰富性、感知流畅度、消除焦虑、车载功能、资源丰富、场景功能丰富度、场景功能便捷度、理解力、陪伴、荣耀、惊喜、可靠、科技感、温度、豪华感、简约等等。在此,所述三级评价指标仅为举例,不做具体限定。Evaluation indicators are quantifiable evaluation dimensions in human-computer interaction. Evaluation indicators are independent of interaction tasks and interaction modes. The meaning of an evaluation index will not change with the change of the interaction task, nor will it change with the change of the interaction mode. Here, the three-level evaluation indicators specifically include but are not limited to functional support, task success rate, anti-reflection performance, anti-noise performance, low heat and crash, independence, intersection, position, lane keeping, vehicle speed keeping, total line of sight deviation, etc. Time, maximum line-of-sight deviation time, function limitation, operation time, response speed, operation steps and displacement, fixation points, system level, element clustering and subordinate logic, icon/text size, icon color difference, icon Meaning, text description, interactive prompts, information visualization and operation concretization, number of icons/phrases, number of words, arrangement, richness of feedback, fluency of perception, anxiety relief, vehicle functions, rich resources, richness of scene functions, Scene functions Convenience, understanding, companionship, glory, surprise, reliability, sense of technology, temperature, sense of luxury, simplicity, etc. Here, the three-level evaluation index is just an example, and is not specifically limited.
其中,评价条目是人机交互测试评价过程中的最小单元,它由交互任务、交互模态、评价指标三个维度交叉所构成。例如,用语音输入导航目的地过程中的车道保持就是一个评价条目。在这个条目中,语音是交互模态,输入导航目的地是交互任务,车道保持是安全性下属的一个三级评价指标。又例如,用中控屏触摸搜索指定歌曲时屏幕上所显示的文字尺寸也是一个评价条目。在这个条目中,中控屏触摸是交互模态,搜索歌曲是交互任务,文字尺寸是认知下属的一个三级评价指标。Among them, the evaluation item is the smallest unit in the evaluation process of human-computer interaction test, which is composed of three dimensions of interaction task, interaction mode and evaluation index. For example, lane keeping during voice input of navigation destinations is an evaluation item. In this entry, voice is the interaction modality, inputting the navigation destination is the interaction task, and lane keeping is a three-level evaluation index under the safety category. For another example, the size of the text displayed on the screen when searching for a specified song by touching the central control screen is also an evaluation item. In this entry, touch on the central control screen is an interactive mode, searching for songs is an interactive task, and text size is a three-level evaluation index for cognitive subordinates.
继续在该实施例中,在所述步骤S12中,确定每个所述评价条目在对应的三级评价指标下的评分,在此,每个评价条目对应一个三级评价指标,例如,当评价条目为“用语音输入导航目的地过程中的车道保持”,对应的三级评价指标为“车道保持”。具体地,对于单个评价条目的打分可以基于以下几种方式:1)基于客观实现打分:“有”则得分,“无”则不得分。例如表一的得分示例。Continuing in this embodiment, in the step S12, determine the score of each evaluation item under the corresponding three-level evaluation index, where each evaluation item corresponds to a third-level evaluation index, for example, when evaluating The entry is "lane keeping in the process of inputting navigation destination by voice", and the corresponding three-level evaluation index is "lane keeping". Specifically, the scoring of a single evaluation item can be based on the following methods: 1) Scoring based on objective realization: "Yes" is scored, and "No" is not scored. For example, the score example in Table 1.
表一Table I
2)通过分段计量:在不同的数据区间得到相应的分数。例如表二的得分示例。2) Segmented measurement: corresponding scores are obtained in different data intervals. For example, the score example in Table 2.
表二Table II
优选地,部分交互任务须根据难度和复杂度分为ABC三类,不同类别的需要使用对应的度量标准,例如任务操作时间的度量计分标准如表三:Preferably, some interactive tasks must be divided into ABC categories according to difficulty and complexity, and different categories need to use corresponding metrics. For example, the measurement and scoring criteria of task operation time are shown in Table 3:
表三Table three
3)每满足一项案例则得一定分数,累计到满分为止。3) Every time a case is satisfied, a certain score will be obtained, and the total score will be accumulated until the full score.
例如,三级指标为科技感,即判断界面设计是否有科技感。若科技感的判断可涉及以下要素:1.颗粒度高的粒子元素;2.光影(全局光、点光、线性光);3.干脆、流畅的动效;4.配色以蓝色系或深色系为主;5.正常或者偏细的字体(带有精致属性);6.运用三维打造空间立体感;7.元素的间距与留白;8.都不满足,则除了8以外有一项可加2分,10分封顶,选择8得0分。For example, the third-level indicator is the sense of technology, that is, to judge whether the interface design has a sense of technology. If the judgment of the sense of technology can involve the following elements: 1. Particle elements with high granularity; 2. Light and shadow (global light, point light, linear light); 3. Crisp and smooth motion effects; Mainly dark colors; 5. Normal or thin fonts (with exquisite attributes); 6. Use three-dimensional to create a three-dimensional sense of space; 7. Spacing and white space between elements; 2 points can be added for each item, with a cap of 10 points, and 0 points for choosing 8.
在此,上述对于单个评价条目的打分方式仅为举例,其他现有的或者今后可能出现的打分方式如适用于本申请,也应包含在本申请的保护范围内,在此,以引用的方式包含于此。Here, the above-mentioned scoring method for a single evaluation item is only an example. If other existing or future scoring methods are applicable to this application, they should also be included in the scope of protection of this application. Here, by way of reference included here.
继续在该实施例中,在所述步骤S13中,基于所述每个评价条目在对应的三级评价指标下的评分确定对应的三级评价指标的得分,以通过所述得分实现人机交互评价。具体地,由于不同的三级评价指标可对应多个评价条目,因此,可以将每个与该三级评价指标相关的评价条目在该三级指标下的评分计算出来,然后计算该三级评价指标的得分。例如,当计算“车道保持”这个三级指标的评分,可以将与车道保持有关的多个交互任务与交互模态确定的评价条目确定出来,然后计算每个评价条目的得分,并基于每个评价条目的得分确定出车道保持这个三级指标的得分。例如,可以将每个评价条目的得分求和或者加权后再求和等等。在此,对于基于评价条目得分确定对应三级指标得分的具体计算方式不做任何限定。Continuing in this embodiment, in the step S13, the score of the corresponding three-level evaluation index is determined based on the score of each evaluation item under the corresponding three-level evaluation index, so as to realize human-computer interaction through the score evaluate. Specifically, since different third-level evaluation indicators can correspond to multiple evaluation items, the score of each evaluation item related to the third-level evaluation indicator under the third-level indicator can be calculated, and then the third-level evaluation index can be calculated. Indicator score. For example, when calculating the score of the third-level index "lane keeping", multiple interactive tasks related to lane keeping and the evaluation items determined by the interaction mode can be determined, and then the score of each evaluation item is calculated, and based on each The score of the evaluation item determines the score of the third-level indicator of lane keeping. For example, the scores of each evaluation item may be summed or weighted and then summed, and the like. Here, no limitation is imposed on the specific calculation method for determining the corresponding third-level index score based on the evaluation item score.
优选地,其中,所述方法还包括:基于一个或多个三级评价指标的得分确定对应的二级评价指标的得分,以通过所述一级评价指标的得分实现人机交互评价。在此,对于人机交互的可量化评价指标可以有不同的分级,例如,通过一个或多个三级指标可确定对应的二级指标,以通过二级指标来实现人机交互评价。具体地,当一个二级指标由多个三级指标确定时,可将每个三级指标的得分直接求和或者加权求和后确定二级指标的得分。在此,三级指标确定二级指标的方式仅为举例,不做具体限定。Preferably, the method further includes: determining the scores of the corresponding secondary evaluation indicators based on the scores of one or more third-level evaluation indicators, so as to realize human-computer interaction evaluation through the scores of the first-level evaluation indicators. Here, the quantifiable evaluation indicators of human-computer interaction may have different classifications, for example, one or more third-level indicators can be used to determine the corresponding second-level indicators, so as to realize the human-computer interaction evaluation through the second-level indicators. Specifically, when a second-level index is determined by multiple third-level indexes, the scores of each third-level index can be directly summed or weighted and summed to determine the score of the second-level index. Here, the method of determining the second-level indicators by the third-level indicators is only an example, and no specific limitation is made.
优选地,其中,所述方法还包括:基于一个或多个二级评价指标的得分确定对应的一级评价指标的得分,以通过所述一级评价指标的得分实现人机交互评价。在该实施例中,还可以基于二级指标的得分确定一级指标的得分,每个一级指标可对应一个或多个二级指标。具体地,当一个一级指标由多个二级指标确定时,可将每个二级指标的得分直接求和或者加权求和后确定一级指标的得分。在此,二级指标确定一级指标的方式仅为举例,不做具体限定。优选地,其中,所述一级评价指标包括以下至少任一项:有用性、安全性、高效性、认知、智能、价值、审美。Preferably, wherein, the method further includes: determining the corresponding first-level evaluation index scores based on the scores of one or more second-level evaluation indicators, so as to realize human-computer interaction evaluation through the scores of the first-level evaluation indicators. In this embodiment, the scores of the first-level indicators may also be determined based on the scores of the second-level indicators, and each first-level indicator may correspond to one or more second-level indicators. Specifically, when a first-level indicator is determined by multiple second-level indicators, the scores of each second-level indicator can be directly summed or weighted and summed to determine the score of the first-level indicator. Here, the method of determining the first-level indicator by the second-level indicator is only an example, and no specific limitation is made. Preferably, the primary evaluation index includes at least any one of the following: usefulness, safety, efficiency, cognition, intelligence, value, and aesthetics.
优选地,如表四所示,示出一种一级指标、二级指标、三级指标的示例。Preferably, as shown in Table 4, an example of a first-level indicator, a second-level indicator, and a third-level indicator is shown.
表四Table four
优选地,其中,所述步骤S12包括:Preferably, wherein, the step S12 includes:
S121(未示出)当某一评价条目所对应的交互任务与交互模态相关且由各交互模态无差别完成该交互任务,计算该交互任务的每种交互模态在对应的三级评价指标下的评分;S121 (not shown) When the interaction task corresponding to a certain evaluation item is related to the interaction mode and the interaction task is completed by each interaction mode without difference, calculate the corresponding three-level evaluation of each interaction mode of the interaction task Ratings under indicators;
S122(未示出)基于所述三级评价指标下的评分确定最佳交互模态,并将所述最佳交互模态的评分确定为该评价条目在对应的三级评价指标下的评分。S122 (not shown) Determine the best interaction mode based on the scores under the three-level evaluation index, and determine the score of the best interaction mode as the score of the evaluation item under the corresponding three-level evaluation index.
在该实施例中,在各三级指标下,可把任务分类成要取交互模态和不取交互模态的任务,其中,要取交互模态的任务是指,在进行某个三级指标的测试时,需要对不同模态进行测试的交互任务。不取交互模态的任务是指,在进行某个三级指标的测试时,不需要以交互模态为测试项的交互任务。In this embodiment, under each three-level index, the tasks can be classified into tasks that require an interactive mode and tasks that do not require an interactive mode. The testing of indicators requires interactive tasks for testing different modalities. The task without interactive mode refers to the interactive task that does not need to use the interactive mode as the test item when testing a third-level index.
具体的,在要取交互模态的任务中,对于单个任务,在某些三级指标下的测试中,若不是由各模态无差别完成(根据评价体系具体内容规定的),则无需进行处理;若是由各模态无差别完成(根据评价体系具体内容规定的),需要确定最佳交互模态。具体地,需要基于所述三级评价指标下的评分确定最佳交互模态。例如,可以先该交互任务的每种交互模态在对应的三级评价指标下的评分,并将评分最高的交互模态确定为最佳交互模态。Specifically, in the tasks that require interactive modes, for a single task, in the test under some third-level indicators, if it is not completed by each mode without difference (according to the specific content of the evaluation system), there is no need to conduct processing; if there is no difference between the various modes to complete (according to the specific content of the evaluation system), it is necessary to determine the best interaction mode. Specifically, it is necessary to determine the best interaction mode based on the scores under the three-level evaluation index. For example, the scores of each interaction mode of the interaction task under the corresponding three-level evaluation index may be obtained first, and the interaction mode with the highest score may be determined as the best interaction mode.
优选的,其中,所述基于所述三级评价指标下的评分确定最佳交互模态包括:基于所述三级评价指标下的评分确定该任务的每个交互模态的该三级评价指标对应的一个或多个一级评价指标下的评分;将评分最高的模态确定为最佳交互模态。Preferably, wherein, the determining the best interaction mode based on the scores under the three-level evaluation indicators includes: determining the third-level evaluation indicators of each interaction mode of the task based on the scores under the three-level evaluation indicators Scores under the corresponding one or more first-level evaluation indicators; the modality with the highest score is determined as the best interaction modality.
具体地,在一个优选的实施例中,计算该任务的每种交互模态在所涉及的三级指标下的分数,然后将各分数加权计算出所属的二级指标、一级指标的分数,最后加权计算所涉及的所有一级指标的总分。这个总分可以理解为该任务的每种交互模态各自的总分。对于该任务来说,在所有模态中,总分最高的模态就是该任务的最佳交互模态。在此,上述确定最佳交互模态的方式仅为举例,其他方式如适用于本申请也包含在本申请的保护范围内。Specifically, in a preferred embodiment, the scores of each interaction mode of the task under the involved third-level indicators are calculated, and then the scores are weighted to calculate the scores of the second-level indicators and the first-level indicators. The final weighted calculation is the total score of all the first-level indicators involved. This total score can be understood as the total score for each interaction modality of the task. For this task, among all the modes, the mode with the highest total score is the best interaction mode for this task. Here, the above-mentioned method of determining the optimal interaction mode is only an example, and other methods applicable to the present application are also included in the protection scope of the present application.
优选的,其中,当一级评价指标包括安全性与高效性,每个交互模态在安全性与高效性下的评分公式为:Preferably, when the first-level evaluation index includes safety and efficiency, the scoring formula for each interaction mode under safety and efficiency is:
B=0.18S11+0.12S12+0.12S21+0.18S22+0.2E11+0.12E21+0.08E22,其中,B为单个任务的单个模态的安全性与高效性分数;S11为该任务的该模态在车道保持下的得分;S12为该任务的该模态在车速保持下的得分;S21为该任务的该模态在视线偏移总时间下的得分;S22为该任务的该模态在单次最长视线偏移时间下的得分;E11为该任务的该模态在操作时间下的得分;E21为该任务的该模态在操作步数及位移量下的得分;E22为该任务的该模态在注视点数下的得分。如表五示出安全性和高效性对应的二级指标及三级指标以及对应的权重信息。B=0.18S11 +0.12S12 +0.12S21 +0.18S22 +0.2E11 +0.12E21 +0.08E22 , where B is the safety and efficiency score of a single modality of a single task; S11 S is the score of the mode of the task under lane keeping; S12 is the score of the mode of the task under the vehicle speed; S21 is the score of the mode of the task under the total time of sight deviation; S22 is the score of the mode of the task under the single longest line-of-sight shift time; E11 is the score of the mode of the task under the operation time; E21 is the number of operation steps of the mode of the task and the score under the displacement; E22 is the score of the mode of the task under the fixation points. Table 5 shows the secondary and tertiary indicators corresponding to safety and efficiency and the corresponding weight information.
表五Table five
具体地,需要取最佳交互模态的交互任务,该任务的每个交互模态在安全性和高效性中的这些三级指标下的得分分别加权计算,得出该任务的某个交互模态的安全与高效的总分,总分最高的模态即为该任务在安全与高效下的最佳交互模态。若某个任务出现多个最佳交互模态的情况,则在使用该任务数据计算三级指标分数时取这些同分模态得分的平均值,结果取到小数点后两位。Specifically, it is necessary to take the interaction task with the best interaction mode, and the scores of each interaction mode of the task under these three-level indicators in safety and efficiency are weighted and calculated respectively, and a certain interaction mode of the task is obtained. The mode with the highest total score is the best interaction mode of the task under the condition of safety and efficiency. If there are multiple optimal interaction modes for a certain task, the average score of these same-scoring modes is taken when using the task data to calculate the third-level index score, and the result is rounded to two decimal places.
在一个优选的实施例中,在三级指标“功能限制”和“响应速度”下的交互任务都不取交互模态,所以不参与到最佳交互模态的计算。而其余的三级指标下,所有交互任务的测试都是由各模态无差别完成,所以均需要参与最佳交互模态的计算。In a preferred embodiment, the interaction tasks under the third-level indicators "function limitation" and "response speed" do not adopt the interaction mode, so they do not participate in the calculation of the optimal interaction mode. Under the remaining three-level indicators, all interactive task tests are completed by each mode without difference, so all need to participate in the calculation of the best interaction mode.
优选的,其中,对于单个三级评价指标的评分公式为:Preferably, wherein, the scoring formula for a single three-level evaluation index is:
,其中,I为单个三级评价指标的分数;xn为单个评价条目在该三级评价指标下的分数,其中,对于有最佳交互模态的交互任务则对应为该交互任务的最佳交互模态在该三级评价指标下的分数;an为单个交互任务的权重。, where, I is the score of a single three-level evaluation index; xn is the score of a single evaluation item under the three-level evaluation index, among which, for the interactive task with the best interaction mode, it corresponds to the best The score of the interaction modality under this three-level evaluation index; an is the weight of a single interaction task.
具体地,将所有交互任务根据频率高低和内容重要性分别赋予权重。其中,对于不取交互模态的任务,则此权重即为交互任务本身的权重。对于不是由各模态无差别完成的交互任务,则此权重为该交互任务中所有交互模态的权重(例如:“搜索音乐”的权重是3,在某些三级指标下,其语音、触屏、中控键、方控键的权重均为3,各模态的得分均参与三级指标分数的计算)。对于有最佳交互模态的交互任务,则此权重为该任务的最佳交互模态的权重,其余非最佳交互模态的权重均为0。(例如:“搜索音乐”的权重是3,在某些三级指标下,其语音是最佳交互模态,则其语音权重为3,其触屏、中控键、方控键的权重均为0,只有语音的得分均参与三级指标分数的计算)。Specifically, all interactive tasks are assigned weights according to the frequency and content importance. Among them, for tasks that do not take the interactive mode, this weight is the weight of the interactive task itself. For interactive tasks that are not completed indifferently by each modality, this weight is the weight of all interactive modalities in the interactive task (for example: the weight of "searching for music" is 3, under some third-level indicators, its voice, The weight of the touch screen, central control key, and square control key is 3, and the scores of each mode are involved in the calculation of the third-level index scores). For an interaction task with the best interaction mode, this weight is the weight of the best interaction mode of the task, and the weights of other non-optimal interaction modes are all 0. (For example: the weight of "searching for music" is 3, and under some third-level indicators, its voice is the best interaction mode, then its voice weight is 3, and the weights of its touch screen, center control key, and square control key are equal is 0, only the scores of speech are involved in the calculation of the third-level index scores).
优选的,其中,所述方法还包括:基于所述第一维度、第二维度及第三维度中至少任一个的变化,更新所述三维正交体系。具体地,三维正交体系可以随着各个维度的元素的更新进行不断的更新。Preferably, the method further includes: updating the three-dimensional orthogonal system based on changes in at least any one of the first dimension, the second dimension and the third dimension. Specifically, the three-dimensional orthogonal system can be continuously updated as the elements of each dimension are updated.
在本申请中,三维正交体系非常利于评价体系范围的拓展。一个维度的延伸不会影响其他两个维度。假如我们要将自动驾驶相关的操作增加至评价体系当中,只需要在交互任务的维度上进行延伸,而不需要改变交互模态与评价指标这两个维度的结构。假如若干年后,表情控制在汽车人机交互中得到了普及,只需要在交互模态的维度上进行延伸,而不需要改变交互任务与评价指标这两个维度。这种方式便于拓展,稳定性高。In this application, the three-dimensional orthogonal system is very conducive to the expansion of the scope of the evaluation system. An extension in one dimension does not affect the other two. If we want to add automatic driving-related operations to the evaluation system, we only need to extend the dimension of interaction tasks without changing the structure of the two dimensions of interaction modalities and evaluation indicators. If expression control becomes popular in automobile human-computer interaction after a few years, it only needs to be extended in the dimension of interaction mode, without changing the two dimensions of interaction tasks and evaluation indicators. This method is easy to expand and has high stability.
优选地,其中,所述方法还包括:基于一个或多个一级评价指标的得分确定对应的人机交互系统总分,以通过所述总分实现人机交互评价。在此,可基于一个或多个一级评价指标的得分并结合各一级指标的权重来确定人机交互系统总分。其中,具体的权重值可基于不同场景进行设定或重置。Preferably, the method further includes: determining the corresponding total score of the human-computer interaction system based on the scores of one or more primary evaluation indicators, so as to realize the human-computer interaction evaluation through the total score. Here, the total score of the human-computer interaction system can be determined based on the scores of one or more first-level evaluation indicators combined with the weight of each first-level indicator. Wherein, specific weight values may be set or reset based on different scenarios.
优选地,其中,所述方法还包括:基于各二级评价指标的得分或各一级评价指标的得分或人机交互系统总分并分别结合功能模块权重确定系统功能模块在二级评价指标或一级评价指标的得分或系统功能模块的总分。其中,功能模块是系统功能的类型,如音乐模块、导航模块、空调模块等。在本评价体系中即对应交互任务的集合,例如音乐模块中包含任务搜索音乐、提高音量、切换歌曲等。Preferably, wherein, the method further includes: based on the scores of each secondary evaluation index or the score of each primary evaluation index or the total score of the human-computer interaction system and combining the weights of the functional modules to determine the system function modules in the secondary evaluation index or The score of the first-level evaluation index or the total score of the system function module. Wherein, the functional module is a type of system function, such as a music module, a navigation module, an air-conditioning module, and the like. In this evaluation system, it corresponds to a collection of interactive tasks. For example, the music module includes tasks such as searching for music, increasing the volume, and switching songs.
在一个优选的实施例中,如图2示出根据本申请一个优选实施例的一种用于人机交互评价的方法示意图。在该实施例中,基于评价指标、交互任务及交互模态建立三维正交体系,通过三维体系形成评价条目并确定评价条目在评价指标下的得分,其中,单个评价条目的打分方式包括:客观实现、分段计量、参考案例等方式,具体可参见前文表一、表二、表三。In a preferred embodiment, FIG. 2 shows a schematic diagram of a method for evaluating human-computer interaction according to a preferred embodiment of the present application. In this embodiment, a three-dimensional orthogonal system is established based on the evaluation indicators, interactive tasks, and interaction modes, and the evaluation items are formed through the three-dimensional system and the scores of the evaluation items under the evaluation indicators are determined. The scoring methods for a single evaluation item include: objective Implementation, segmented measurement, reference cases, etc., for details, please refer to Table 1, Table 2, and Table 3 above.
在一种情形中,评价条目得分确定后,以交互模态为依据筛选评价条目并根据各交互模态的三级指标得分以及三级指标权重确定各交互模态的二级指标得分,然后通过二级指标得分以及二级指标权重确定各交互模态的一级指标得分。In one case, after the evaluation item scores are determined, the evaluation items are screened based on the interaction mode, and the second-level index scores of each interaction mode are determined according to the third-level index scores and third-level index weights of each interaction mode, and then through The scores of the second-level indicators and the weights of the second-level indicators determine the scores of the first-level indicators of each interaction mode.
在另外一种情形中,评价条目得分确定后,依据该评价条目得分以及评价指标的权重确定部分任务的所有交互模态的安全性和高效性得分,然后,通过同一任务的各模态得分对比确定各任务的最佳交互模态,并隐藏各任务的非最佳交互模态在各三级指标下的得分,再结合交互任务权重确定车型在安全性和高效性下的各三级指标得分,并通过三级指标得分结合三级指标权重确定车型在各二级指标下的得分,该得分结合二级指标权重确定车型在各一级指标下的得分,然后,通过一级指标下的得分结合一级指标权重确定被测车型的人机交互系统总分。其中,结合功能模块权重可确定系统功能模块在各级指标下的得分。In another case, after the evaluation item score is determined, the safety and efficiency scores of all interaction modalities of some tasks are determined according to the evaluation item score and the weight of the evaluation index, and then, by comparing the scores of each mode of the same task Determine the best interaction mode for each task, and hide the scores of the non-optimal interaction modes for each task under each three-level index, and then combine the interactive task weights to determine the vehicle model's score for each third-level index under safety and efficiency , and determine the vehicle model's score under each second-level indicator through the third-level indicator score combined with the third-level indicator weight, the score combined with the second-level indicator weight to determine the model's score under each first-level indicator, and then, through the first-level indicator score Combined with the weight of the first-level index to determine the total score of the human-computer interaction system of the tested model. Among them, combined with the weight of the functional modules, the scores of the system functional modules under all levels of indicators can be determined.
此外,评价条目得分确定后,对于车型在除安全性和高效性下以外的各三级指标得分是通过评价条目得分结合交互任务权重确定,其中,确定出在除安全性和高效性下以外的各三级指标得分后,可通过该得分结合功能模块权重确定功能模块在除安全性和高效性下以外的各三级指标得分。进一步地,通过各三级指标得分结合三级指标权重可确定车型在各二级指标下的得分。In addition, after the evaluation item scores are determined, the scores of the three-level indicators of the vehicle model except for safety and efficiency are determined by combining the evaluation item scores with the weights of interactive tasks. After each third-level indicator is scored, the score can be combined with the weight of the functional module to determine the score of each third-level indicator of the functional module except for safety and efficiency. Further, by combining the scores of each third-level index with the weight of the third-level index, the score of the vehicle model under each second-level index can be determined.
与现有技术相比,本申请通过构建包含第一维度、第二维度及第三维度的三维正交体系,其中,第一维度包括多个三级评价指标,第二维度包括多个交互任务,第三维度包括多个交互模态,其中,三个维度交叉构成的单元代表一个评价条目,然后,确定每个所述评价条目在对应的三级评价指标下的评分,并基于所述每个评价条目在对应的三级评价指标下的评分确定对应的三级评价指标的得分,以通过所述得分实现人机交互评价。这种方式能够可量化地对人机交互进行评价,并且通过三维体系的方式能够做到不遗漏、不易重叠。Compared with the prior art, this application constructs a three-dimensional orthogonal system including the first dimension, the second dimension and the third dimension, wherein the first dimension includes multiple three-level evaluation indicators, and the second dimension includes multiple interactive tasks , the third dimension includes a plurality of interaction modes, wherein the unit formed by the intersection of the three dimensions represents an evaluation item, and then, the score of each evaluation item under the corresponding three-level evaluation index is determined, and based on each The score of each evaluation item under the corresponding third-level evaluation index determines the score of the corresponding third-level evaluation index, so as to realize the human-computer interaction evaluation through the score. This method can quantitatively evaluate the human-computer interaction, and through the three-dimensional system, no omissions and overlaps can be achieved.
而且,本申请还可以基于所述第一维度、第二维度及第三维度中至少任一个的变化,更新所述三维正交体系,这种方式,可以方便快捷地拓展评价体系,方便体系更新,无需改动已有的体系。Moreover, the present application can also update the three-dimensional orthogonal system based on changes in at least any one of the first dimension, the second dimension, and the third dimension. In this way, the evaluation system can be expanded conveniently and quickly, and the system update can be facilitated. , without changing the existing system.
根据本申请的又一方面,还提供了一种计算机可读介质,所述计算机可读介质存储有计算机可读指令,所述计算机可读指令可被处理器执行以实现前述方法。According to still another aspect of the present application, a computer-readable medium is further provided, the computer-readable medium stores computer-readable instructions, and the computer-readable instructions can be executed by a processor to implement the aforementioned method.
根据本申请的又一方面,还提供了一种用于电子设备屏幕区域识别的设备,其中,该设备包括:According to yet another aspect of the present application, a device for identifying a screen area of an electronic device is also provided, wherein the device includes:
一个或多个处理器;以及one or more processors; and
存储有计算机可读指令的存储器,所述计算机可读指令在被执行时使所述处理器执行如前述方法的操作。A memory storing computer readable instructions that, when executed, cause the processor to perform operations as described above.
例如,计算机可读指令在被执行时使所述一个或多个处理器:构建包含第一维度、第二维度及第三维度的三维正交体系,其中,第一维度包括多个三级评价指标,第二维度包括多个交互任务,第三维度包括多个交互模态,其中,三个维度交叉构成的单元代表一个评价条目;确定每个所述评价条目在对应的三级评价指标下的评分;基于所述每个评价条目在对应的三级评价指标下的评分确定对应的三级评价指标的得分,以通过所述得分实现人机交互评价。For example, the computer readable instructions, when executed, cause the one or more processors to: construct a three-dimensional orthogonal architecture comprising a first dimension, a second dimension, and a third dimension, wherein the first dimension comprises a plurality of tertiary evaluations Indices, the second dimension includes multiple interactive tasks, and the third dimension includes multiple interactive modalities, where the unit formed by the intersection of the three dimensions represents an evaluation item; determine that each evaluation item is under the corresponding third-level evaluation index The scores of the corresponding three-level evaluation indicators are determined based on the scores of each evaluation item under the corresponding three-level evaluation indicators, so as to realize human-computer interaction evaluation through the scores.
对于本领域技术人员而言,显然本发明不限于上述示范性实施例的细节,而且在不背离本发明的精神或基本特征的情况下,能够以其他的具体形式实现本发明。因此,无论从哪一点来看,均应将实施例看作是示范性的,而且是非限制性的,本发明的范围由所附权利要求而不是上述说明限定,因此旨在将落在权利要求的等同要件的含义和范围内的所有变化涵括在本发明内。不应将权利要求中的任何附图标记视为限制所涉及的权利要求。此外,显然“包括”一词不排除其他单元或步骤,单数不排除复数。装置权利要求中陈述的多个单元或装置也可以由一个单元或装置通过软件或者硬件来实现。第一,第二等词语用来表示名称,而并不表示任何特定的顺序。It will be apparent to those skilled in the art that the invention is not limited to the details of the above-described exemplary embodiments, but that the invention can be embodied in other specific forms without departing from the spirit or essential characteristics of the invention. Accordingly, the embodiments should be regarded in all points of view as exemplary and not restrictive, the scope of the invention being defined by the appended claims rather than the foregoing description, and it is therefore intended that the scope of the invention be defined by the appended claims rather than by the foregoing description. All changes within the meaning and range of equivalents of the elements are embraced in the present invention. Any reference sign in a claim should not be construed as limiting the claim concerned. In addition, it is obvious that the word "comprising" does not exclude other elements or steps, and the singular does not exclude the plural. A plurality of units or means stated in the device claims may also be realized by one unit or device through software or hardware. The words first, second, etc. are used to denote names and do not imply any particular order.
| Application Number | Priority Date | Filing Date | Title |
|---|---|---|---|
| CN202211198883.2ACN115564221A (en) | 2022-09-29 | 2022-09-29 | Method and device for human-computer interaction evaluation |
| Application Number | Priority Date | Filing Date | Title |
|---|---|---|---|
| CN202211198883.2ACN115564221A (en) | 2022-09-29 | 2022-09-29 | Method and device for human-computer interaction evaluation |
| Publication Number | Publication Date |
|---|---|
| CN115564221Atrue CN115564221A (en) | 2023-01-03 |
| Application Number | Title | Priority Date | Filing Date |
|---|---|---|---|
| CN202211198883.2APendingCN115564221A (en) | 2022-09-29 | 2022-09-29 | Method and device for human-computer interaction evaluation |
| Country | Link |
|---|---|
| CN (1) | CN115564221A (en) |
| Publication number | Priority date | Publication date | Assignee | Title |
|---|---|---|---|---|
| CN116301776A (en)* | 2023-03-24 | 2023-06-23 | 合众新能源汽车股份有限公司 | Intelligent cabin development model, evaluation method, system, equipment and medium |
| Publication number | Priority date | Publication date | Assignee | Title |
|---|---|---|---|---|
| CN109472497A (en)* | 2018-10-31 | 2019-03-15 | 李洋 | A kind of city built environment Space Quality overall evaluation system |
| CN111985751A (en)* | 2019-05-23 | 2020-11-24 | 百度在线网络技术(北京)有限公司 | Man-machine chat experience assessment system |
| CN113095680A (en)* | 2021-04-13 | 2021-07-09 | 国网北京市电力公司 | Evaluation index system and construction method of electric power big data model |
| WO2021258850A1 (en)* | 2020-06-23 | 2021-12-30 | 平安科技(深圳)有限公司 | Business indicator evaluation method and apparatus based on artificial intelligence, and device and medium |
| CN114139196A (en)* | 2021-11-25 | 2022-03-04 | 中国电子科技集团公司第五十四研究所 | A decision-making authority division method for man-machine task decision-making system |
| CN114910890A (en)* | 2022-05-17 | 2022-08-16 | 合众新能源汽车有限公司 | Evaluation method of vehicle-mounted laser radar, storage medium and electronic device |
| Publication number | Priority date | Publication date | Assignee | Title |
|---|---|---|---|---|
| CN109472497A (en)* | 2018-10-31 | 2019-03-15 | 李洋 | A kind of city built environment Space Quality overall evaluation system |
| CN111985751A (en)* | 2019-05-23 | 2020-11-24 | 百度在线网络技术(北京)有限公司 | Man-machine chat experience assessment system |
| WO2021258850A1 (en)* | 2020-06-23 | 2021-12-30 | 平安科技(深圳)有限公司 | Business indicator evaluation method and apparatus based on artificial intelligence, and device and medium |
| CN113095680A (en)* | 2021-04-13 | 2021-07-09 | 国网北京市电力公司 | Evaluation index system and construction method of electric power big data model |
| CN114139196A (en)* | 2021-11-25 | 2022-03-04 | 中国电子科技集团公司第五十四研究所 | A decision-making authority division method for man-machine task decision-making system |
| CN114910890A (en)* | 2022-05-17 | 2022-08-16 | 合众新能源汽车有限公司 | Evaluation method of vehicle-mounted laser radar, storage medium and electronic device |
| Title |
|---|
| 虞丽云;贺志高;李林生;周可夫;王楹;伊春雨;: "基于三维指标体系的公路养护规范化管理评价方法研究", 公路交通科技(应用技术版), no. 06, 15 June 2016 (2016-06-15)* |
| Publication number | Priority date | Publication date | Assignee | Title |
|---|---|---|---|---|
| CN116301776A (en)* | 2023-03-24 | 2023-06-23 | 合众新能源汽车股份有限公司 | Intelligent cabin development model, evaluation method, system, equipment and medium |
| Publication | Publication Date | Title |
|---|---|---|
| US11966419B2 (en) | Systems and methods for combining data analyses | |
| JP2957702B2 (en) | Semantic object modeling system for generating relational database schema | |
| US7730059B2 (en) | Cube faceted data analysis | |
| US8886648B1 (en) | System and method for computation of document similarity | |
| US6775674B1 (en) | Auto completion of relationships between objects in a data model | |
| US20090300016A1 (en) | Techniques for filtering data | |
| CN110502227A (en) | The method and device of code completion, storage medium, electronic equipment | |
| CN106126591B (en) | Music data recommendation method and system | |
| CN105849725A (en) | Constructing queries for execution over multi-dimensional data structures | |
| JP5587989B2 (en) | Providing patent maps by viewpoint | |
| US11256687B2 (en) | Surfacing relationships between datasets | |
| US20200219006A1 (en) | Efficient data relationship mining using machine learning | |
| CN112906865B (en) | Neural network architecture search method, device, electronic device and storage medium | |
| CN105930470A (en) | File retrieval method based on feature weight analysis technology | |
| Kang et al. | A random forest classifier with cost-sensitive learning to extract urban landmarks from an imbalanced dataset | |
| US7788204B1 (en) | System and method for adapting program elements based on application usage | |
| US20170337486A1 (en) | Feature-set augmentation using knowledge engine | |
| CN115564221A (en) | Method and device for human-computer interaction evaluation | |
| CN114547247A (en) | Architecture construction method, device and storage medium of an autonomous traffic system | |
| US6543046B1 (en) | Apparatus and method for navigating objects within a computer-implemented object environment | |
| CN108229572B (en) | Parameter optimization method and computing equipment | |
| Aziz et al. | A novel approach to estimate emissions from large transportation networks: Hierarchical clustering-based link-driving-schedules for EPA-MOVES using dynamic time warping measures | |
| CN112988986B (en) | Man-machine interaction method, device and equipment | |
| US20230351172A1 (en) | Supervised machine learning method for matching unsupervised data | |
| US20230185797A1 (en) | Systems and methods for generation and display of query visualizations |
| Date | Code | Title | Description |
|---|---|---|---|
| PB01 | Publication | ||
| PB01 | Publication | ||
| SE01 | Entry into force of request for substantive examination | ||
| SE01 | Entry into force of request for substantive examination |