Movatterモバイル変換


[0]ホーム

URL:


CN115561911B - AR display device and AR head-mounted device - Google Patents

AR display device and AR head-mounted device
Download PDF

Info

Publication number
CN115561911B
CN115561911BCN202211462998.8ACN202211462998ACN115561911BCN 115561911 BCN115561911 BCN 115561911BCN 202211462998 ACN202211462998 ACN 202211462998ACN 115561911 BCN115561911 BCN 115561911B
Authority
CN
China
Prior art keywords
waveguide lens
angle
deflection
projection light
waveguide
Prior art date
Legal status (The legal status is an assumption and is not a legal conclusion. Google has not performed a legal analysis and makes no representation as to the accuracy of the status listed.)
Active
Application number
CN202211462998.8A
Other languages
Chinese (zh)
Other versions
CN115561911A (en
Inventor
张卓鹏
游立锦
赵云阳
魏一振
Current Assignee (The listed assignees may be inaccurate. Google has not performed a legal analysis and makes no representation or warranty as to the accuracy of the list.)
Guangli Songyang Technology Co ltd
Original Assignee
Hangzhou Guangli Technology Co ltd
Priority date (The priority date is an assumption and is not a legal conclusion. Google has not performed a legal analysis and makes no representation as to the accuracy of the date listed.)
Filing date
Publication date
Application filed by Hangzhou Guangli Technology Co ltdfiledCriticalHangzhou Guangli Technology Co ltd
Priority to CN202211462998.8ApriorityCriticalpatent/CN115561911B/en
Publication of CN115561911ApublicationCriticalpatent/CN115561911A/en
Application grantedgrantedCritical
Publication of CN115561911BpublicationCriticalpatent/CN115561911B/en
Activelegal-statusCriticalCurrent
Anticipated expirationlegal-statusCritical

Links

Images

Classifications

Landscapes

Abstract

The invention relates to the technical field of AR (augmented reality), and particularly discloses AR display equipment and AR head-mounted equipment, wherein the AR display equipment comprises an equipment body and a waveguide lens connected with the equipment body; a projection light machine for projecting projection light rays to the waveguide lens; the deflection mechanism is connected with the projection optical machine; an angle sensor for detecting a deflection angle between the waveguide lens and the standard display position; a processor connected with the deflection mechanism and the angle sensor; the processor is used for controlling the deflection mechanism to drive the projection optical machine to move to a set position when the angle sensor detects that the deflection included angle is not 0 so as to adjust the angle or the position of the projection optical machine for projecting the projection light rays to the waveguide lens. The projection light outputted by the projection light machine can be adjusted based on the angle of deflection of the waveguide lens in the AR display device, so that the problem of poor imaging effect of a projection picture caused by deflection of the position of the waveguide lens is solved, and the display effect and the use experience of the AR display device are improved.

Description

AR display device and AR head-mounted device
Technical Field
The invention relates to the technical field of AR equipment, in particular to AR display equipment and AR head-mounted equipment.
Background
In AR display devices, a virtual projection screen displayed superimposed on a real world scene is projected and displayed for a user mainly through a waveguide lens. The waveguide lens is similar to a glasses lens in appearance structure, and the working principle is that a miniature projector projects projection light to the waveguide lens, and the projection light is conducted in the waveguide lens and then is incident to human eyes to form a virtual projection picture.
Along with the development of AR technology, in order to improve the convenience of AR display equipment, a waveguide lens can be arranged to be in a structure capable of being turned up and down, so that a user only needs to turn the waveguide lens to a position above eyes when the user pauses to use the AR display equipment; when the AR display device needs to be used continuously, the waveguide lens is turned over to the right front of the eye sight line. However, in the process of repeatedly overturning the waveguide lens, the position of the waveguide lens in the human eye sight line is inevitably caused to deviate, so that the imaged projection picture is poor in immersion feel, even the user is enabled to feel dizziness, the eyes are tired and uncomfortable, and the user experience is reduced.
Disclosure of Invention
The invention aims to provide an AR display device and an AR headset device, which can improve the display effect of an AR display picture to a certain extent and improve the use experience of a user.
In order to solve the technical problems, the invention provides an AR display device, which comprises a device body and a waveguide lens connected with the device body; a projection light machine for projecting projection light rays to the waveguide lens; the deflection mechanism is connected with the projection light machine; an angle sensor for detecting a deflection angle between the waveguide lens and a standard display position; a processor coupled to the deflection mechanism and the angle sensor;
and the processor is used for controlling the deflection mechanism to drive the projection optical machine to move to a set position when the angle sensor detects that the deflection included angle is not 0 so as to adjust the angle or the position of the projection optical machine for projecting the projection light rays to the waveguide lens.
In an alternative embodiment of the present application, the waveguide lens and the device body are connected in a flip-up and flip-down manner.
In an optional embodiment of the present application, the processor is configured to control the deflection mechanism to drive the projection light machine to reversely rotate the deflection included angle along a direction in which the waveguide lens deviates from the standard display position when the angle sensor detects that the angle of the deflection included angle is within a preset angle range.
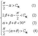
In an alternative embodiment of the present application, the coupling-in end of the waveguide lens is provided with a coupling-in member; an included angle between the coupling-out end of the waveguide lens and the surface of the waveguide lens outputting projection light is
Figure DEST_PATH_IMAGE001
Is a reflective element of (a);
the inequality between the reflecting element and the waveguide lens is satisfied
Figure DEST_PATH_IMAGE002
Wherein, the method comprises the steps of, wherein,
Figure DEST_PATH_IMAGE003
an included angle between the projected light in the waveguide lens and the surface of the waveguide lens outputting the projected light when the waveguide lens is at the standard display position;
Figure DEST_PATH_IMAGE004
is the maximum angle in the preset angle range.
In an optional embodiment of the present application, the device further includes a prompter connected to the processor, and configured to output a prompting signal when the deflection angle exceeds the preset angle range.
In an alternative embodiment of the present application, the waveguide lens is connected to the device body through a connection socket, and a damping member is further disposed between the connection socket and the device body.
In an alternative embodiment of the present application, the angle sensor is a laser sensor.
In an alternative embodiment of the present application, the waveguide lens is connected to the device body by a connection mount; the waveguide lens is connected with the connecting seat through a rotating shaft; the rotating shaft is connected with a driving assembly; the driving assembly is used for driving the waveguide lens to swing and rotate left and right by taking the vertical axis as a rotating shaft through the rotating shaft.
In an alternative embodiment of the present application, the waveguide lens includes a left waveguide lens and a right waveguide lens, and the driving assembly includes a first driving assembly and a second driving assembly, and the first driving assembly and the second driving assembly are respectively used for driving the left waveguide lens and the right waveguide lens to swing and rotate independently.
An AR headset comprising an AR display device as claimed in any one of the preceding claims.
The invention provides an AR display device and an AR headset device, wherein the AR display device comprises a device body and a waveguide lens connected with the device body; a projection light machine for projecting projection light rays to the waveguide lens; the deflection mechanism is connected with the projection optical machine; an angle sensor for detecting a deflection angle between the waveguide lens and the standard display position; a processor connected with the deflection mechanism and the angle sensor; the processor is used for controlling the deflection mechanism to drive the projection optical machine to move to a set position when the angle sensor detects that the deflection included angle is not 0 so as to adjust the angle or the position of the projection optical machine for projecting the projection light rays to the waveguide lens.
In the present application, it is considered that in the AR display device, optical components such as the projection optical machine and the waveguide lens are set with a state in which the waveguide lens is vertically disposed right in front of the human eye as a reference, and this position is thus a standard display position where the waveguide lens can achieve an optimal display effect; however, once the waveguide lens deviates from the standard display position, the display effect of the projection screen is greatly reduced for the optical device with higher definition such as the AR display device. Therefore, the angle sensor for detecting the deflection included angle of the waveguide lens relative to the standard display position is further arranged in the AR display device, and the projection optical machine is further connected with the deflection mechanism, so that when the angle sensor detects that the deflection included angle is not 0, that is, the waveguide lens is deflected relative to the standard display position, the projection optical machine can be driven to move to the set position through the deflection mechanism, and then the angle or the position of the projection optical machine for projecting projection optics to the waveguide lens is changed and adjusted, so that the problem of poor imaging effect of a projection picture caused by deflection of the position of the waveguide lens is solved, the waveguide lens can output a clear virtual projection picture even if the waveguide lens is not positioned at the standard display position, the display effect of the AR display device is improved to a great extent, and the use experience of a user is improved.
Drawings
For a clearer description of embodiments of the invention or of the prior art, the drawings that are used in the description of the embodiments or of the prior art will be briefly described, it being apparent that the drawings in the description below are only some embodiments of the invention, and that other drawings can be obtained from them without inventive effort for a person skilled in the art.
Fig. 1 is a schematic structural diagram of an AR display device according to an embodiment of the present application;
fig. 2 is a schematic diagram of an optical path structure of an AR display device according to an embodiment of the present application;
fig. 3 is another schematic structural diagram of an AR display device according to an embodiment of the present disclosure;
fig. 4 is a schematic diagram of another optical path structure of an AR display device according to an embodiment of the present application.
Detailed Description
In AR display devices, for a waveguide lens that can be turned upside down, most of them are turned manually by a user, and the accuracy of turning the waveguide lens manually by the user is often limited, and there may be a situation that the turning is not in place, and for a high-accuracy optical element such as a waveguide lens, slight differences of the waveguide lens may cause a relatively obvious deviation of a projection image; therefore, only slight deviation which cannot be perceived by a user can occur in the position of the waveguide lens, and poor projection effect can be caused; but also the position deviation of the waveguide lens is too tiny, which causes the problem that the user is difficult to adjust.
Of course, the up-down overturning of the waveguide lens can be considered to be electrically controlled, but no matter the manual overturning or the electric overturning is adopted, the number of times of repeated overturning of the waveguide lens is increased, abrasion occurs to structural parts for realizing overturning, and finally, the waveguide lens can not be accurately overturned in place, and the problem of poor projection effect display can be caused.
In addition, even if the waveguide lens cannot be turned upside down, the component may be deformed by collision and abrasion with the extension of the service time, and the waveguide lens may deviate from the original position, which may cause a problem of poor display effect of the projection screen.
Therefore, the problem that the position of the waveguide lens has deviation can be solved by adjusting the angle direction of the projection light output by the projection light machine, so that good display effect of the AR display device is ensured to a certain extent, and the wide application of the AR display device is facilitated.
In order to better understand the aspects of the present invention, the present invention will be described in further detail with reference to the accompanying drawings and detailed description. It will be apparent that the described embodiments are only some, but not all, embodiments of the invention. All other embodiments, which can be made by those skilled in the art based on the embodiments of the invention without making any inventive effort, are intended to be within the scope of the invention.
As shown in fig. 1, fig. 2, fig. 3, and fig. 4, fig. 1 is a schematic structural diagram of an AR display device provided in an embodiment of the present application, fig. 2 is a schematic optical path structural diagram of the AR display device provided in an embodiment of the present application, fig. 3 is another schematic structural diagram of the AR display device provided in an embodiment of the present application, and fig. 4 is another schematic optical path structural diagram of the AR display device provided in an embodiment of the present application.
In a specific embodiment of the present application, the AR display device may include:
anapparatus body 10; awaveguide lens 20 connected to theapparatus body 10; aprojection light machine 30 for projecting projection light to thewaveguide lens 20; a deflection mechanism connected to theprojection light machine 30; an angle sensor for detecting the angle of deflection between thewaveguide lens 20 and the standard display position; a processor connected with the deflection mechanism and the angle sensor;
the processor is used for controlling the deflection mechanism to drive theprojection light machine 30 to move to a set position when the angle sensor detects that the deflection included angle is not 0, so as to adjust the angle or the position of theprojection light machine 30 for projecting the projection light rays to thewaveguide lens 20.
During use of the AR display device, when the AR display device is worn by a user, thewaveguide lens 20 in the AR display device should be theoretically disposed in front of the eye's line of sight in a vertical direction; therefore, when the optical path structure between theprojection light machine 30 and thewaveguide lens 20 is actually set, the optical path structure is also set with thewaveguide lens 20 positioned in the vertical direction; accordingly, when thewaveguide lens 20 is in the vertical position, theprojection light machine 30 projects the projection light to thewaveguide lens 20 to finally make the projection image incident into the human eye the most clear, and the imaging effect is the best. For this reason, the position in the vertical direction of thewaveguide lens 20 is referred to as the standard display position of thewaveguide lens 20 in this application, that is, the standard display position in this embodiment is the position where the display effect of thewaveguide lens 20 is best.
In the present application, the vertical direction of thewaveguide lens 20 refers to a state in which the line of sight direction of the user is in the horizontal direction when the user is looking straight ahead, and the plane in which the waveguide lens is located is a vertical plane. In this application, the vertical and horizontal directions are directions determined based on a state in which the line of sight direction of the user is in the horizontal direction when the user is looking straight ahead, and the description thereof will not be repeated.
Referring to fig. 2, the present embodiment provides an angle sensor capable of detecting a deflection angle of thewaveguide lens 20 with respect to a standard display position in the AR display device; when the deflection included angle acquired by the angle sensor is not 0, that is, the current position of thewaveguide lens 20 has deviation relative to the standard display position, the angle sensor sends the deflection included angle obtained by detection to the processor, and the processor can send a control signal to the deflection mechanism based on the magnitude of the deflection included angle, so that the deflection mechanism drives theprojection light machine 30 to rotate according to the magnitude of the deflection included angle, and the angle of the projection light ray projected by theprojection light machine 30 to thewaveguide lens 20 is changed; accordingly, the optical path of the projection light transmitted to the human eye through thewaveguide lens 20 is also changed, so that the best display effect of the projection light projected to the human eye can be ensured as long as the rotating position of theprojection light machine 30 is ensured, and the high-definition display of the projection image can be realized under the condition that the deflection of thewaveguide lens 20 relative to the standard display position exists.
Thewaveguide lens 20 in this embodiment may have a flip-up function, that is, thewaveguide lens 20 and theapparatus body 10 may be connected in a flip-up manner. As shown in fig. 1, in the AR display device shown in fig. 1, onewaveguide lens 20 is in an upturned state, and the other is in an unopened state. When the user does not use the AR display device, if thewaveguide lens 20 is turned upwards, thewaveguide lens 20 is located above the human eye, and the user can directly view the environmental scene without looking through the waveguide lens; when the waveguide lens is turned down to the front of the human eye, the projection light outputted by theprojection light machine 30 can be conducted to enter the human eye through thewaveguide lens 20, and if thewaveguide lens 20 is not properly operated by the user or the connection structure between thewaveguide lens 20 and thedevice body 10 is worn and loosened, thewaveguide lens 20 is not precisely turned back to the standard display position, the direction of the projection light outputted by theprojection light machine 30 can be changed by adjusting the rotation projection light machine, so that the user can normally watch the projection picture with good display effect.
It will be appreciated that even if thewaveguide lens 20 cannot be turned upside down, in practical applications, thewaveguide lens 20 may deviate from the standard display position due to some accidents, so that it can be seen that thewaveguide lens 20 in this embodiment of the present application may be a lens with or without an upside down function, and when thewaveguide lens 20 is a lens with an upside down function, it may be turned manually or electrically, and in this application, the optical path adjustment of the projection light may be implemented in a similar manner in this embodiment, and the clear display of the projection image is ensured by the cooperation between the angle sensor, the deflection mechanism and the processor, regardless of whether thewaveguide lens 20 with or without a turning function is awaveguide lens 20 with a turning function. Of course, the technical solution of the present application is mainly applied to an AR display device with thewaveguide lens 20 having an up-down flip function, and this is mainly described in the following embodiments, which will not be described again.
Theprojection light machine 30, the deflection mechanism, the angle sensor and the processor in the AR display device may be disposed in theconnection seat 40 between thewaveguide lens 20 and thedevice body 10, and the relative positions between the angle sensor, theprojection light machine 30 and other components and thewaveguide lens 20 are fixed; and agroove 11 for accommodating the connection seat is arranged on thedevice body 10, and the surface of agroove wall 110 of thegroove 11 is parallel to thewaveguide lens 20 in the standard display position. Thus, in an alternative embodiment of the present application, the angle sensor may specifically be a distance measurement sensor such as a laser sensor, and the distance between the position where the angle sensor rotates with thewaveguide lens 20 and thegroove wall 110 of thegroove 11 is converted into a deflection angle between thewaveguide lens 20 and the standard display position by collecting the distance. In practical application, a reflective film can be arranged on the wall of thegroove 11 so as to ensure that the laser sensor can accurately obtain the deflection included angle.
Of course, in practical applications, when thewaveguide lens 20 can be turned up and down relative to theapparatus body 10, theconnection seat 40 between thewaveguide lens 20 and theapparatus body 10 necessarily includes a rotation axis. Therefore, in practical applications, the rotation axis may be provided with an angular measuring device similar to an encoder, so as to collect the deflection angle when thewaveguide lens 20 deflects relative to the standard display position.
In addition, the angle sensor may also be disposed on thegroove wall 110 of thegroove 11, and the detection of the deflection angle can be also achieved by detecting the relative position between the position of the angle sensor and theconnection seat 40, which is not described in detail in this application.
Similar to the angle sensor described above, theprojection light machine 30 may be disposed in theconnection base 40, i.e., may be turned upside down along with theconnection base 40 and thewaveguide lens 20. As shown in fig. 2, when thewaveguide lens 20 is deflected relative to the standard display position, theprojection light engine 30 is also deflected with the waveguide lens. In the embodiment shown in fig. 2, the position of thewaveguide lens 20 shown by the dotted line is the standard display position, and the position of thewaveguide lens 20 shown by the solid line is the position where thewaveguide lens 20 has a certain deflection angle relative to the standard display position; the projectionoptical machine 30 shown by the dotted line is the position of the projectionoptical machine 30 when thewaveguide lens 20 is at the standard display position; theprojection light machine 30 shown by the solid line is the position of theprojection light machine 30 when thewaveguide lens 20 has a certain deflection angle relative to the standard display position.
In order to ensure that the projected light beam output to the human eye in the same direction as that in the normal display position can be output even under the condition that thewaveguide lens 20 has a certain deflection relative to the normal display position. In the process of controlling the rotation of the projectionoptical machine 30, when the angle sensor detects that the angle of the deflection included angle is within the preset angle range, the deflection mechanism is controlled to drive the projectionoptical machine 30 to reversely rotate along the direction of deviating thewaveguide lens 20 from the standard display position.
Referring to fig. 2, in the embodiment shown in fig. 2,waveguide lens 20 is deflected clockwise relative to the normal display position by an angle of deflection
Figure DEST_PATH_IMAGE005
The method comprises the steps of carrying out a first treatment on the surface of the Based on the basic principle of optical path transmission, the projected light beam output by thedeflected waveguide lens 20 should also be clockwise relative to the projected light beam output by a standard display position
Figure 336941DEST_PATH_IMAGE005
The deflection angle of the angle. Therefore, in order to deflect the projection light back to the output light path of the standard display position, the projectionlight machine 20 can be controlled to rotate in the counterclockwise direction
Figure 660606DEST_PATH_IMAGE005
Accordingly, the transmission path of the projection light is obviously deflected correspondingly, and finally, the direction of the projection light outputted when thewaveguide lens 20 is positioned at the standard display position is consistent with that of the projection light, so that the direction of the light of the virtual image is perceived to be unchanged by human eyes, and the projection picture can be outputted well even if the waveguide lens deviates from the standard display position.
On this basis, since the transmission of the projection light in thewaveguide lens 20 is total reflection transmission, there is a certain requirement on the incident angle of the projection light on the coupling end of thewaveguide lens 20, so that the situation that the total reflection transmission cannot be performed after the projection light is incident on thewaveguide lens 20 is avoided.
Therefore, when the angle sensor detects and obtains the deflection included angle between thewaveguide lens 20 and the standard display position, it can first determine whether the deflection included angle is within the preset angle range, if so, the projectionlight machine 30 is driven to rotate by the deflection mechanism, so as to change the direction of the output projection light; when the deflection included angle of thewaveguide lens 20 relative to the standard display position exceeds the preset angle range, the deflection angle of thewaveguide lens 20 is too large at this time, so that a user can be reminded to properly adjust thewaveguide lens 20 to reduce the deflection included angle, and particularly, a voice prompter or other types of prompters can be arranged in the device body so as to prompt the user to manually adjust the position of thewaveguide lens 20.
For the above-mentioned preset angle range, the range may specifically be a range of 0 ︒ to 10 ︒, or may also be a range of 0 ︒ to 12 ︒, and may specifically be set based on practical application requirements, in order to ensure that thewaveguide lens 20 at each position in the preset angle range can achieve good display of the projection screen by adjusting the direction of the projection light output by the projection light machine, in another optional embodiment of the present application, the method may further include:
the coupling-in end of thewaveguide lens 20 is provided with a coupling-inpiece 21; the angle between the coupling-out end of thewaveguide lens 20 and the surface of thewaveguide lens 20 outputting the projection light is
Figure 971502DEST_PATH_IMAGE001
Is provided with a reflectingelement 22;
the inequality between thereflective element 22 and thewaveguide mirror 20 is satisfied
Figure 101132DEST_PATH_IMAGE002
Wherein, the method comprises the steps of, wherein,
Figure 571296DEST_PATH_IMAGE003
is the angle between the projected light within thewaveguide lens 20 and the surface of thewaveguide lens 20 from which the projected light is output when thewaveguide lens 20 is in the standard display position;
Figure 190496DEST_PATH_IMAGE004
is the maximum angle within the preset angle range.
Referring to fig. 2, equation (1) is a condition that ensures that total reflection can occur in thewaveguide lens 20 after the projection light is coupled into thewaveguide lens 20 at the standard display position in the above inequality. Whereas for equation (4) it is a condition that ensures that the total reflection occurs within thewaveguide lens 20 after the projection light is coupled into thewaveguide lens 20 when the maximum deflection of thewaveguide lens 20 occurs. For the formula (2) and the formula (3), the condition that the projection light in thewaveguide lens 20 can be coupled out to the human eye through the reflection action of the reflectingelement 22 is adopted, and the formula (2) is to ensure that the incident angle of the projection light reflected by the reflectingelement 22 when the projection light is incident on the surface of thewaveguide lens 20 again is smaller than the total reflection angle; the formula (3) is to ensure that the coupling-out direction of the projection light incident on thereflective element 22 can be parallel to the coupling-out direction of the output projection light when thewaveguide lens 20 is positioned at the standard display position, so that the direction of the light entering the human eye is not changed, i.e. the position of the image is kept substantially consistent.
The inequality described above is an inequality requirement that should be satisfied between the reflecting element and thewaveguide lens 20 when the deflection angle of thewaveguide lens 20 with respect to the standard display position reaches a maximum angle within a preset angle range; it will be appreciated that as long as thewaveguide lens 20 satisfies this condition, any angle of the deflection included angle of thewaveguide lens 20 with respect to the standard display position within the preset angle range can achieve a good display effect of the projection screen.
In addition, the AR display device in the present application is a device for implementing superposition display of virtual and real scenery images, and for this purpose, in order to avoid shielding thereflective element 22 from the incident ambient light to the human eye, thereflective element 22 may be a semi-reflective and semi-transmissive element.
In addition, in practical application, the coupling of the projection light in thewaveguide lens 20 is not limited to the use of thereflective element 22, but may be implemented by a grating element, and the coupling of the projection light is implemented by the diffraction effect of the grating element on the projection light, so that the conditions required to be satisfied by the grating element and thewaveguide lens 20 may be determined based on the basic diffraction characteristics of the grating element, which is not described in detail herein.
In the embodiment shown in fig. 2, the projectionlight machine 30 is mainly taken as an example to be disposed in a connection seat capable of being turned synchronously with thewaveguide lens 20. In practical applications, the projectionlight machine 30 may also be disposed on theapparatus body 10, that is, the projectionlight machine 30 does not deflect along with thewaveguide lens 20 during the deflection process. Referring to the embodiment shown in fig. 2, when thewaveguide lens 20 deflects relative to the standard display position, the direction of the projection light beam projected by the projectionlight machine 30 to thewaveguide lens 20 should be parallel to the direction of the projection light beam output by thewaveguide lens 20 when thewaveguide lens 20 is located at the standard display position; that is, when theprojector 30 is disposed in theapparatus body 10 without deflecting with thewaveguide lens 20, theprojector 30 does not need to be rotationally adjusted; however, after thewaveguide lens 20 deflects relative to the standard display position, the relative position between the projectionoptical machine 30 and thewaveguide lens 20 changes, which may cause that the projection light outputted by the projectionoptical machine 30 cannot be incident into thewaveguide lens 20; therefore, the manner in which the deflection mechanism drives the projectionlight machine 30 to move can be translational movement, so that the coupling-in area of thewaveguide lens 20 can be located on the output light path of the projectionlight machine 30 to output the projection light. The greater this deflection angle, the greater the distance that needs to be moved, which can be determined based on basic optical principles, is related to the deflection angle of thewaveguide lens 20 relative to the standard display position, and is not described in detail in this application.
As described above, for thewaveguide lens 20 having the up-down turning function, it is necessary to connect theconnection base 40 and theapparatus body 10 to each other, and in order to enable the user to stably turn over and stay above the eyes of the user during the turning process of thewaveguide lens 20 by the manual turning operation, a damping member may be further provided between theconnection base 40 and theapparatus body 10.
Further, in another alternative embodiment of the present application, thewaveguide lens 20 is connected to thedevice body 10 by aconnection mount 40; thewaveguide lens 20 is connected with the connectingseat 40 through a rotating shaft; the rotating shaft is connected with a driving component; the driving component is used for driving thewaveguide lens 20 to swing and rotate left and right by taking the vertical axis as a rotation axis through the rotation shaft.
Referring to fig. 3, a rotating shaft located on a central axis of thewaveguide lens 20 may be disposed between theconnection base 40 and thewaveguide lens 20, one end of the rotating shaft is fixedly connected with thewaveguide lens 20, the other end is inserted into theconnection base 40, and a driving component is connected in theconnection base 40, and the rotating shaft is driven to rotate around a straight line of the driving component by the driving component, so that thewaveguide lens 20 can be driven to turn left and right. In order to ensure the stability of the left-right turning of thewaveguide lens 20, a damping member may be further disposed between the rotating shaft and the driving assembly, so that theconnection seat 40 and thewaveguide lens 20 rotate in a damped manner. Referring to the light path diagram shown in fig. 4, the distance of the combined image can be changed by turning thewaveguide lens 20 left and right, for example, the solid line light path imaging position shown in fig. 4 is located at the point a, and when the two waveguide lenses are turned over, the imaging position point moves to the point a'; in addition, by turning the twowaveguide lenses 20 left and right, the twowaveguide lenses 20 can be turned to a position more fitting the face design, so that the ergonomics are met, and the user experience is further improved; the rotation of thewaveguide lens 20 may be performed manually or may be performed electronically, without specific limitation in this application.
Further, thewaveguide lens 20 includes a left waveguide lens and a right waveguide lens, and the driving assembly includes a first driving assembly and a second driving assembly, which are respectively used for driving the left waveguide lens and the right waveguide lens to swing and rotate independently.
Referring to fig. 4, when thewaveguide lens 20 is turned right and left symmetrically to change the far and near of the combined image, and when thewaveguide lens 20 is turned right and left asymmetrically to change the far and near of the combined image, the left and right positions of the combined image in the real environment can be changed, that is, the combined image is not necessarily kept at the center position of the visual field, the visual field of a person is generally used to be at the center position, and during riding, if the combined image is always at the center position of the visual field, certain interference is caused to the visual field of the environment, and by making the combined image deviate from the center position of the visual field, riding safety is not affected, and viewing of a virtual image is not affected.
It can be understood that in the actual left-right turning process of the twowaveguide lenses 20, the twowaveguide lenses 20 need to be mutually matched for display, so that in order to ensure the display effect, the processors respectively driving the first driving component and the second driving component can be the same processor or two processors in communication with each other, so as to ensure that the twowaveguide lenses 20 can be mutually matched and independently turned left and right.
In summary, in the AR display device provided in the present application, an angle sensor capable of detecting a position of a waveguide lens is provided, a deflection mechanism capable of controlling rotation of a projection optical machine and a processor capable of controlling operation of the deflection mechanism are provided, once detection determines that the waveguide lens deflects relative to a standard display position, the processor can control the deflection mechanism to drive the projection optical machine to rotate relative to the waveguide lens, and then change a direction of the projection optical machine to output projection light to the waveguide lens, so that adjustment of a light path of the projection light passing through the waveguide lens is achieved, good imaging effect of the projection light is achieved, and further good display effect of a projection picture can be achieved even when the waveguide lens deviates from the standard display position, and user experience is improved to a certain extent.
The application also provides an AR headset comprising the AR display device according to any of the embodiments.
The AR headset may be, in particular, AR glasses, AR helmets or the like, which are not described in detail in the present application.
It is noted that relational terms such as first and second, and the like are used solely to distinguish one entity or action from another entity or action without necessarily requiring or implying any actual such relationship or order between such entities or actions. Moreover, the terms "comprises," "comprising," or any other variation thereof, are intended to cover a non-exclusive inclusion, such that a process, method, article, or apparatus that comprises a list of elements is inherent to. Without further limitation, an element defined by the phrase "comprising one … …" does not exclude the presence of other like elements in a process, method, article, or apparatus that comprises the element. In addition, the parts of the above technical solutions provided in the embodiments of the present application, which are consistent with the implementation principles of the corresponding technical solutions in the prior art, are not described in detail, so that redundant descriptions are avoided.
The principles and embodiments of the present invention have been described herein with reference to specific examples, the description of which is intended only to facilitate an understanding of the method of the present invention and its core ideas. It should be noted that it will be apparent to those skilled in the art that various modifications and adaptations of the invention can be made without departing from the principles of the invention and these modifications and adaptations are intended to be within the scope of the invention as defined in the following claims.

Claims (6)

1. An AR display device, comprising a device body, a waveguide lens connected to the device body; a projection light machine for projecting projection light rays to the waveguide lens; the deflection mechanism is connected with the projection light machine; an angle sensor for detecting a deflection angle between the waveguide lens and a standard display position; the deflection included angle is an included angle corresponding to the turning deviation of the waveguide lens in the up-down direction relative to the standard display position; a processor coupled to the deflection mechanism and the angle sensor;
the processor is used for controlling the deflection mechanism to drive the projection optical machine to move to a set position when the angle sensor detects that the deflection included angle is not 0 so as to adjust the angle or the position of the projection optical machine for projecting projection light rays to the waveguide lens;
the waveguide lens and the equipment body can be connected in an up-down turnover way;
the processor is used for controlling the deflection mechanism to drive the projection optical machine to reversely rotate the deflection included angle along the direction of the waveguide lens deviating from the standard display position when the angle sensor detects that the angle of the deflection included angle is within a preset angle range;
the coupling-in end of the waveguide lens is provided with a coupling-in piece; a reflecting element with an included angle beta between the coupling-out end of the waveguide lens and the surface of the waveguide lens outputting projection light is arranged in the coupling-out end of the waveguide lens;
the inequality between the reflecting element and the waveguide lens is satisfied
Figure QLYQS_1
Wherein alpha is an included angle between the projected light in the waveguide lens and the surface of the waveguide lens outputting the projected light when the waveguide lens is at the standard display position; θ is the maximum angle within the preset angle range;
the device also comprises a prompter connected with the processor and used for outputting a prompting signal when the deflection included angle exceeds the preset angle range.
2. The AR display device of claim 1, wherein the waveguide lens is connected to the device body through a connection base, and a damping member is further provided between the connection base and the device body.
3. The AR display device of claim 1, wherein the angle sensor is a laser sensor.
4. The AR display device of claim 1 or 3, wherein the waveguide lens is connected to the device body by a connection mount; the waveguide lens is connected with the connecting seat through a rotating shaft; the rotating shaft is connected with a driving assembly; the driving assembly is used for driving the waveguide lens to swing and rotate left and right by taking the vertical axis as a rotating shaft through the rotating shaft.
5. The AR display device of claim 4, wherein the waveguide lens comprises a left waveguide lens and a right waveguide lens, the drive assembly comprising a first drive assembly and a second drive assembly, the first drive assembly and the second drive assembly being configured to drive the left waveguide lens and the right waveguide lens to independently swing side-to-side.
6. An AR headset comprising an AR display device as claimed in any one of claims 1 to 5.
CN202211462998.8A2022-11-162022-11-16AR display device and AR head-mounted deviceActiveCN115561911B (en)

Priority Applications (1)

Application NumberPriority DateFiling DateTitle
CN202211462998.8ACN115561911B (en)2022-11-162022-11-16AR display device and AR head-mounted device

Applications Claiming Priority (1)

Application NumberPriority DateFiling DateTitle
CN202211462998.8ACN115561911B (en)2022-11-162022-11-16AR display device and AR head-mounted device

Publications (2)

Publication NumberPublication Date
CN115561911A CN115561911A (en)2023-01-03
CN115561911Btrue CN115561911B (en)2023-05-09

Family

ID=84770409

Family Applications (1)

Application NumberTitlePriority DateFiling Date
CN202211462998.8AActiveCN115561911B (en)2022-11-162022-11-16AR display device and AR head-mounted device

Country Status (1)

CountryLink
CN (1)CN115561911B (en)

Families Citing this family (1)

* Cited by examiner, † Cited by third party
Publication numberPriority datePublication dateAssigneeTitle
CN116300103A (en)*2023-03-292023-06-23歌尔股份有限公司Head-mounted display device

Citations (2)

* Cited by examiner, † Cited by third party
Publication numberPriority datePublication dateAssigneeTitle
CN111722317A (en)*2020-07-142020-09-29北京至格科技有限公司 A diffractive optical waveguide lens
CN114967160A (en)*2022-07-282022-08-30歌尔光学科技有限公司 Projection Display Components and Augmented Reality Display Devices

Family Cites Families (4)

* Cited by examiner, † Cited by third party
Publication numberPriority datePublication dateAssigneeTitle
US8390533B2 (en)*2007-11-202013-03-05Panasonic CorporationBeam-scan display apparatus, display method, and vehicle
US20160170482A1 (en)*2014-12-152016-06-16Seiko Epson CorporationDisplay apparatus, and control method for display apparatus
CN111505827B (en)*2020-05-222022-07-12Oppo广东移动通信有限公司 Optical Display Components and Smart Wearable Devices
CN216285986U (en)*2021-11-052022-04-12舜宇光学(浙江)研究院有限公司Near-to-eye display device

Patent Citations (2)

* Cited by examiner, † Cited by third party
Publication numberPriority datePublication dateAssigneeTitle
CN111722317A (en)*2020-07-142020-09-29北京至格科技有限公司 A diffractive optical waveguide lens
CN114967160A (en)*2022-07-282022-08-30歌尔光学科技有限公司 Projection Display Components and Augmented Reality Display Devices

Also Published As

Publication numberPublication date
CN115561911A (en)2023-01-03

Similar Documents

PublicationPublication DateTitle
JP6937517B2 (en) Eye projection system and method
JP4155343B2 (en) An optical system for guiding light from two scenes to the viewer's eye alternatively or simultaneously
US11048084B2 (en)Head-mounted display device
US7144113B2 (en)Virtual image display apparatus
US11073698B2 (en)Image display device and display apparatus
US11226490B2 (en)Virtual image display device
US11536966B2 (en)Display with a compact beam scanner
WO2009133698A1 (en)Scanning image display device, eyeglasses-style head-mount display, and automobile
CN114047632B (en)Multi-view display device, head-up display and vehicle
KR102087800B1 (en) Virtual display
JP2004538501A (en) Apparatus and method for high-resolution laser retinal projection superimposed on image content of field of view
CN112578561B (en) head mounted display
JP2018203245A (en) Display system, electronic mirror system, and moving object
CN115561911B (en)AR display device and AR head-mounted device
US11025894B2 (en)Head-mounted display device and display control method for head-mounted display device
JP2000214408A (en)Picture display device
JP2016014768A (en)Image display device and display control method for image display device
WO2019240230A1 (en)Virtual image display device
JP7485426B1 (en) Head-mounted imaging device and line-of-sight image adjustment method
KR100245332B1 (en) Head mounted display
WO2019077975A1 (en)Video display device and optical see-through display
JP2982214B2 (en) Glasses-type image display device
JP7372618B2 (en) In-vehicle display device
JP2018105939A (en)Head-up display device
KR20170033035A (en)Head up display with white reflective diffuser screen and moving object with the same

Legal Events

DateCodeTitleDescription
PB01Publication
PB01Publication
SE01Entry into force of request for substantive examination
SE01Entry into force of request for substantive examination
GR01Patent grant
GR01Patent grant
TR01Transfer of patent right

Effective date of registration:20231009

Address after:Building 7, No. 198 Ruiyang Avenue, Xiping Street, Songyang County, Lishui City, Zhejiang Province 323400

Patentee after:Guangli (Songyang) Technology Co.,Ltd.

Address before:6th Floor, Building 15, Huatai Pioneer Park, No. 698, Xixi Road, Xihu District, Hangzhou City, Zhejiang Province, 310000

Patentee before:HANGZHOU GUANGLI TECHNOLOGY Co.,Ltd.

TR01Transfer of patent right

[8]ページ先頭

©2009-2025 Movatter.jp