






技术领域technical field
本发明属于电力系统综合能源技术领域,具体是考虑楼宇特性、电能交易的楼宇群分布式优化调度方法。The invention belongs to the technical field of power system comprehensive energy, and specifically relates to a building group distributed optimization scheduling method considering building characteristics and electric energy transaction.
背景技术Background technique
与电能供给和消费过程需实时匹配不同,围护型楼宇建筑的室内温度变化具有热延时特性,正是楼宇建筑这种特性的存在可以将楼宇视为热虚拟储能设备,热储能特性可以实现热能需求在时间尺度上的平移,对于削峰填谷和降低系统运行成本有很大帮助。由于新能源设备的出力具有一定的波动性,若直接将分布式能源同主网连接,其发电功率预测数据的精确度将直接影响到主网系统的稳定运行。将分布式能源同楼宇相结合,楼宇可根据分布式能源发电情况对自身运行进行调整,极大减小其波动对主网系统产生的影响。Unlike the real-time matching of power supply and consumption, the indoor temperature change of enclosure buildings has thermal delay characteristics. It is the existence of this characteristic of buildings that can treat buildings as thermal virtual energy storage devices. Thermal energy storage characteristics It can realize the translation of thermal energy demand on the time scale, which is very helpful for peak shaving and valley filling and system operating cost reduction. Since the output of new energy equipment has certain fluctuations, if the distributed energy is directly connected to the main grid, the accuracy of the power generation prediction data will directly affect the stable operation of the main grid system. Combining distributed energy with buildings, buildings can adjust their own operation according to the power generation of distributed energy, greatly reducing the impact of its fluctuations on the main network system.
考虑楼宇虚拟储能特性后进一步细化楼宇能耗模型并构建适用的能量交易平台,在大力发展新能源以及多能互补的能源互联网的背景下,对充分挖掘楼宇建筑在削峰填谷和可再生能源消纳的潜力,具有重要的意义。After considering the characteristics of building virtual energy storage, further refine the building energy consumption model and build an applicable energy trading platform. The potential of renewable energy consumption is of great significance.
发明内容Contents of the invention
本发明的目的在于针对目前微电网间电能交易、共享的研究不能体现微网内各楼宇的运行特性,并且与具备较大市场基础和较大交易体量的微电网相比,多数楼宇因交易体量较小,不具备独立参与微网间市场竞争的能力,因此本方法以楼宇为主体,提供一种考虑楼宇特性、电能交易的楼宇群分布式优化调度方法,通过该方法实现楼宇自身优化过程并以此为基础构建点对点能量交易平台和策略,进而促进楼宇间资源的互补、互动,达到供需功率的就近平衡,并提升系统对新能源的消纳能力。The purpose of the present invention is to solve the current research on energy trading and sharing among micro-grids that cannot reflect the operating characteristics of each building in the micro-grid, and compared with micro-grids with larger market foundations and larger transaction volumes, most buildings are The volume is small, and it does not have the ability to independently participate in the market competition between micro-grids. Therefore, this method takes buildings as the main body and provides a distributed optimization scheduling method for building groups that considers building characteristics and energy transactions. Through this method, building self-optimization can be realized. On the basis of this, a point-to-point energy trading platform and strategy will be built to promote the complementarity and interaction of resources between buildings, achieve the nearest balance between supply and demand power, and improve the system's ability to absorb new energy.
为实现上述目的,本发明采用了以下的技术方案:To achieve the above object, the present invention adopts the following technical solutions:
一种考虑楼宇特性、电能交易的楼宇群分布式优化调度方法,A distributed optimal scheduling method for building groups considering building characteristics and power trading,
(1)根据楼宇使用功能的不同对楼宇进行分类,建立对应的热力学模型;(1) Classify buildings according to their different functions, and establish corresponding thermodynamic models;
(2)根据楼宇的功能特性、人员特性,以经济性和舒适性为目标建立对应的楼宇运行优化模型;(2) According to the functional characteristics and personnel characteristics of the building, the corresponding building operation optimization model is established with the goal of economy and comfort;
(3)根据各楼宇自身运行优化结果、楼宇间组成的电力市场特性和分布式能源发电情况构建对应的能量交易平台和交易策略;(3) Construct a corresponding energy trading platform and trading strategy according to the optimization results of each building's own operation, the characteristics of the power market composed of buildings and the power generation of distributed energy;
(4)将楼宇间交易后的结果返回至楼宇自身的运行优化模型中进行迭代以此达到最佳优化。(4) Return the results of inter-building transactions to the building's own operation optimization model for iteration to achieve optimal optimization.
步骤(1)所述对楼宇进行分类是将楼宇根据功能不同分为了住宅楼宇、商业楼宇和特殊楼宇,所述的热力学模型为:Classifying the buildings described in step (1) is to divide the buildings into residential buildings, commercial buildings and special buildings according to different functions. The thermodynamic model is:
式中:HSUN表示太阳热辐射传递的热量,ISUN为太阳的热辐射功率,表示当光照垂直照射时物体单位时间内每平方米接受的热量;Fwin为建筑外窗面积总和;SC为外窗遮阳系数,该数值的大小与外窗是否有遮阳板和自身玻璃材质有关;Hrand表示室内热源的发热功率,这里主要指人体和用电设备的发热功率,Npeo指该时刻室内人数的总和,Qpeo指人均散热量;Pequi指室内所有设备的总功率值,εe为设备的散热比例;HHVAC表示空气调节系统的制冷/热功率,在该方法中以夏季制冷为例,因此在该式中表示为制冷功率;Kwall表示建筑外墙与室外传递的热量的传热系数,其含义为稳态传热时室内外温度每相差1度时每秒传递的热量;Kwin为建筑的外窗传热系数,含义同建筑外墙传热系数类似;Fwall和Fwin分别是建筑的外墙面积和外窗面积;Troom表示室内温度,Tout表示室外温度,Troom.t表示当前时段的室内温度,Troom.t+1表示下个时段的室内温度;ρair为室内的空气密度,Cair为空气比热容,Vroom为室内空气容量。In the formula: HSUN represents the heat transferred by solar thermal radiation, ISUN is the thermal radiation power of the sun, which represents the heat received by the object per square meter per unit time when the light is vertically irradiated; Fwin is the total area of the building’s external windows; SC is The shading coefficient of the external window, the value is related to whether the external window has a sun visor and its own glass material; Hrand indicates the heating power of the indoor heat source, here mainly refers to the heating power of the human body and electrical equipment, Npeo refers to the number of people in the room at that time Qpeo refers to the per capita heat dissipation; Pequi refers to the total power value of all equipment in the room, εe refers to the heat dissipation ratio of equipment; HHVAC refers to the cooling/heating power of the air conditioning system, and summer cooling is taken as an example in this method , so it is expressed as cooling power in this formula; Kwall represents the heat transfer coefficient of the heat transferred between the exterior wall of the building and the outdoor, which means the heat transferred per second when the indoor and outdoor temperatures differ by 1 degree during steady-state heat transfer; Kwin is the heat transfer coefficient of the external window of the building, which is similar to the heat transfer coefficient of the external wall of the building; Fwall and Fwin are the area of the external wall and the area of the external window of the building respectively; Troom represents the indoor temperature, Tout represents the outdoor temperature, and T outroom.t represents the indoor temperature in the current period, and Troom.t+1 represents the indoor temperature in the next period; ρair is the air density in the room, Cair is the air specific heat capacity, and Vroom is the indoor air capacity.
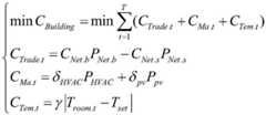
所述步骤(2)在同时考虑楼宇热力学模型差异和楼宇分类导致的人员特性不同后,都以经济性和舒适性为目标来构建自身的楼宇运行优化模型,在不同楼宇间建立统一的优化目标和标准,具体的目标函数如下:In the step (2), after taking into account the differences in building thermodynamic models and the different personnel characteristics caused by building classification, they all aim at economy and comfort to build their own building operation optimization models, and establish a unified optimization goal among different buildings. and standard, the specific objective function is as follows:
上式中CTrade.t表示系统运行经济成本,其含义是该建筑与配电网和其余楼宇的电量交易成本;CMa.t表示各设备的使用维护成本,该方法中主要考虑HVAC系统和光伏发电系统的维护成本;CTem.t为影响用户温度舒适度的惩罚成本;CNet.b和CNet.s分别表示配电网当前时段的售电和购电电价,PNet.b和PNet.s分别表示该建筑当前时间段在配电网处的购电和售电电量,同一时间段内购电和售电状态只能存在一种;δHVAC、δpv分别表示HVAC系统和光伏发电系统单位时间段内单位功率的使用维护成本;PHVAC、Ppv分别表示HVAC系统和光伏发电系统的功率;γ为温度惩罚因子,可视为用户对温度舒适度的敏感程度,Tset为设置的室内最佳温度,与该设置温度偏差越大则温度惩罚成本越大。In the above formula, CTrade.t represents the economic cost of system operation, which means the electricity transaction cost between the building and the distribution network and other buildings; CMa.t represents the use and maintenance cost of each equipment. This method mainly considers the HVAC system and The maintenance cost of the photovoltaic power generation system; CTem.t is the penalty cost that affects the user's temperature comfort; CNet.b and CNet.s respectively represent the electricity sales and purchase prices of the distribution network in the current period, and PNet.b and PNet.s respectively represent the power purchase and sale of the building at the distribution network in the current time period, and there can only be one state of power purchase and sale in the same time period; δHVAC and δpv represent the HVAC system and The use and maintenance cost per unit power of the photovoltaic power generation system in a unit time period; PHVAC and Ppv respectively represent the power of the HVAC system and the photovoltaic power generation system; γ is the temperature penalty factor, which can be regarded as the user’s sensitivity to temperature comfort, Tset is the optimal indoor temperature set, the greater the deviation from the set temperature, the greater the temperature penalty cost.
步骤(3)所述交易策略为:在该交易流程中各楼宇主要提供交易报价、交易电量和光伏发电量这3类信息,交易市场会根据各楼宇的报价信息进行对比判断,当购电方的最高报价高于售电方的最低报价时则说明达成交易条件,若此时楼宇出现相同的报价则根据楼宇等级进行区别,优先等级高的楼宇优先交易;楼宇的优先等级划分主要参考一下两点因素:按楼宇功能划分将具有重要负荷的特殊楼宇化为最高级,住宅楼宇为最低级;针对购售电双方,若该楼宇待交易电量占总的待交易电量比例越高则该楼宇购电、售电更稳定,则优先等级越高,若所占比例相同,为促进分布式能源的消纳认定分布式能源发电量大的楼宇等级更高;双方满足交易条件后交易价格取两者报价的平均值,交易电量为待交易电量少的一方,完成交易后各自更新自身的待交易信息并进行下一轮的交易。The transaction strategy described in step (3) is: in the transaction process, each building mainly provides three types of information: transaction quotation, transaction electricity and photovoltaic power generation. The transaction market will compare and judge according to the quotation information of each building. When the electricity purchaser When the highest quotation of the electricity seller is higher than the lowest quotation of the electricity seller, it means that the transaction conditions have been reached. If the same quotation appears in the building at this time, it will be distinguished according to the building grade. Point factor: According to the building function, special buildings with important loads are classified as the highest level, and residential buildings are the lowest level; for both buyers and sellers, if the proportion of the building’s electricity to be traded in the total electricity to be traded is higher, the building’s purchaser The more stable electricity and electricity sales, the higher the priority level. If the proportion is the same, in order to promote the consumption of distributed energy, it is determined that the building with a large amount of distributed energy generation has a higher level; after both parties meet the transaction conditions, the transaction price takes the two The average value of quotations and the transaction power is the party with less power to be traded. After the transaction is completed, each party updates its pending transaction information and proceeds to the next round of transactions.
所述步骤(4)将楼宇间交易后的结果返回至楼宇自身的运行优化模型中进行迭代以此达到最佳优化具体过程如下:The step (4) returns the results of inter-building transactions to the building's own operation optimization model for iteration to achieve optimal optimization. The specific process is as follows:
交易中心完成交易后各楼宇将得到自身系统最终的电量交易成本和运行成本After the trading center completes the transaction, each building will get the final power transaction cost and operating cost of its own system
CTrade.t=CNet.bPNet.b-CNet.sPNet.sCTrade.t = CNet.b PNet.b -CNet.s PNet.s
式中,CNet.b和CNet.s分别表示交易市场当前时段的售电和购电电价,PNet.b和PNet.s分别表示该建筑当前时间段在配电网处的购电和售电电量,将交易后的电量交易价格迭代回楼宇运行优化中进行再次优化和后续的市场交易,若迭代次数达到设定最大值K或两次迭代后系统总的运行成本相差小于5%,则判断迭代完成,此时楼宇达到考虑楼宇虚拟储能特性和P2P交易后自身运行优化的最优解。In the formula, CNet.b and CNet.s respectively represent the electricity sales and purchase prices in the current period of the trading market, and PNet.b and PNet.s respectively represent the electricity purchases of the building at the distribution network in the current period and electricity sales, iterate the electricity transaction price after the transaction back to the building operation optimization for re-optimization and subsequent market transactions, if the number of iterations reaches the set maximum value K or the difference between the total operating costs of the system after two iterations is less than 5% , then it is judged that the iteration is completed, and at this time, the building reaches the optimal solution considering the characteristics of the building's virtual energy storage and its own operation optimization after P2P transactions.
本发明获得的有益效果是:The beneficial effect that the present invention obtains is:
本方法提出了一种考虑楼宇特性、电能交易的楼宇群分布式优化调度模型,建立了以经济性、舒适性为目标的楼宇运行优化模型,并通过考虑市场关系、交易风险的新型连续拍卖交易机制,激励和引导各楼宇实现各类不确定条件下的楼宇群能源共享。本方法提出的一种新型连续拍卖交易机制,可根据市场关系、楼宇运行情况完成市场竞价,各楼宇报价根据整体交易情况实时更新,具有良好的稳定性和动态特性。通过交易价格的更新引导各楼宇完成迭代优化,提升楼宇经济性的同时进一步挖掘各楼宇调节负荷的能力;实现楼宇间能源共享的同时,提升楼宇群能源共享的能力和分布式能源消纳能力。This method proposes a distributed optimal scheduling model for building groups considering building characteristics and energy transactions, and establishes a building operation optimization model targeting economy and comfort, and through a new type of continuous auction transaction that considers market relations and transaction risks Mechanisms to motivate and guide buildings to realize energy sharing among buildings under various uncertain conditions. A new type of continuous auction transaction mechanism proposed by this method can complete market bidding according to market relations and building operation conditions. The quotations of each building are updated in real time according to the overall transaction conditions, and have good stability and dynamic characteristics. Guide each building to complete iterative optimization through the update of the transaction price, improve the building economy and further explore the ability of each building to adjust the load; realize the energy sharing between buildings, and improve the energy sharing ability of the building group and the distributed energy consumption capacity.
附图说明Description of drawings
图1是楼宇群系统结构图。Figure 1 is a structural diagram of the building group system.
图2是楼宇热力学模型结构图。Figure 2 is a structural diagram of the building thermodynamic model.
图3是特殊楼宇优化运行温度变化图。Figure 3 is a diagram of the optimized operating temperature of a special building.
图4是P2P交易流程。Figure 4 is the P2P transaction process.
图5是交易中心9点交易情况。Figure 5 shows the trading situation at 9 o'clock in the trading center.
图6是交易中心15点交易情况。Figure 6 shows the trading situation at 15 points in the trading center.
图7是楼宇迭代优化流程图。Fig. 7 is a flowchart of building iterative optimization.
具体实施方式detailed description
为了能够更清楚地理解本发明的上述目的、特征和优点,下面结合附图和具体实施方式对本发明技术方案作进一步非限制性的详细描述。考虑楼宇特性、电能交易的楼宇群分布式优化调度方法,其包括以下内容:In order to understand the above-mentioned purpose, features and advantages of the present invention more clearly, the technical solutions of the present invention will be described in further non-limiting detail below in conjunction with the accompanying drawings and specific embodiments. A distributed optimal scheduling method for building groups considering building characteristics and power trading, which includes the following contents:
1、根据楼宇使用功能的不同对楼宇进行分类,建立对应的热力学模型。1. Classify buildings according to their different functions, and establish corresponding thermodynamic models.
构建楼宇群能量管理框架:Building a building group energy management framework:
如图1所示,考虑一个由多个楼宇共同组成的楼宇群,每个楼宇通过电力与通信网络相互连接,该方法将楼宇主要分为商业楼宇,住宅楼宇和特殊楼宇这三类。每个楼宇都拥有分布式能源站点包含光伏发电(Photovoltaic,PV)和风力发电(Wind Power,WP),在该方法中主要考虑光伏发电。每个建筑都有终端能量管理系统(Energy Management System,EMS)负责整合楼宇内运行情况和分布式能源发电情况后完成楼宇自身的运行优化。楼宇完成自身运行优化后向点对点(Peer to Peer,P2P)交易市场递交交易电量、交易报价和分布式能源发电量等信息,并最终在P2P交易市场完成和其余楼宇间的电量交易,若交易完成后仍有电量的富余或亏空则统一同配电网进行交易。As shown in Figure 1, consider a building group composed of multiple buildings, each building is connected to each other through a power and communication network, this method divides the buildings into three categories: commercial buildings, residential buildings and special buildings. Each building has a distributed energy site including photovoltaic power generation (Photovoltaic, PV) and wind power generation (Wind Power, WP). In this method, photovoltaic power generation is mainly considered. Each building has a terminal energy management system (Energy Management System, EMS), which is responsible for integrating the operation conditions in the building and the power generation of distributed energy sources to complete the operation optimization of the building itself. After the building completes its own operation optimization, it submits information such as transaction electricity, transaction quotations, and distributed energy generation to the peer-to-peer (Peer to Peer, P2P) trading market, and finally completes the electricity transaction with other buildings in the P2P trading market. If the transaction is completed After that, there is still a surplus or deficit of electricity, which will be traded with the distribution network uniformly.
楼宇热力学模型建立:Building thermodynamic model establishment:
针对现在城市中的各类楼宇进行调研和分析可得到以下结论,目前城市现代化楼宇普遍为以大面积玻璃幕墙为主的一体化建筑,建筑内任意一层或复数层共享同一温度状态,因此热力学模型采用考虑太阳辐射得热、外窗辐射散热、外墙辐射散热以及室内各种热源得热的经典模型如图2所示,该热力学模型最大的特点即将整个建筑视为一个整体,很好的反应出整个系统的得热和散热情况,不同类型楼宇建筑因为其外墙、内墙、楼板、屋面以及天窗的材质和面积不同,而导致其蓄热特性不同,因此在热力学模型中主要考虑各类楼宇结构面积Fwall、Fwin和传热系数Kwall、Kwin的差异。The following conclusions can be drawn from the investigation and analysis of various buildings in the city. At present, urban modern buildings are generally integrated buildings with large-area glass curtain walls. Any layer or multiple floors in the building share the same temperature state. Therefore, thermodynamics The model adopts a classic model that considers solar radiation heat gain, external window radiation heat dissipation, external wall radiation heat dissipation, and indoor heat gain from various heat sources, as shown in Figure 2. The biggest feature of this thermodynamic model is that the entire building is considered as a whole, which is very good It reflects the heat gain and heat dissipation of the entire system. Different types of buildings have different heat storage characteristics due to the different materials and areas of their exterior walls, interior walls, floors, roofs, and skylights. Therefore, the thermodynamic model mainly considers various The difference between the structure area Fwall , Fwin and the heat transfer coefficient Kwall , Kwin of the class building.
2、根据楼宇的功能特性、人员特性,以经济性和舒适性为目标建立对应的楼宇运行优化模型。2. According to the functional characteristics and personnel characteristics of the building, the corresponding building operation optimization model is established with the goal of economy and comfort.
利用楼宇热传导具有时延的特性即蓄热特性,并基于楼宇的热平衡方程,从能量守恒的角度构建室内温度、楼宇热负荷、制冷功率和外界温度之间的定量数学关系,从而构建楼宇内热量的虚拟储能系统。同时将楼宇的虚拟储能系统集成到楼宇运行优化模型中,并将温度舒适度及其罚函数带入到优化目标中,以此实现楼宇虚拟储能充放的优化管理,这一充放过程以楼宇室内温度变化表现出来。通过加入楼宇的虚拟储能系统能够在一定程度上降低楼宇自身的运行成本。Utilize the time-delay characteristic of building heat conduction, that is, the heat storage characteristic, and based on the heat balance equation of the building, construct the quantitative mathematical relationship between indoor temperature, building heat load, cooling power and external temperature from the perspective of energy conservation, so as to construct the internal heat of the building virtual energy storage system. At the same time, the virtual energy storage system of the building is integrated into the building operation optimization model, and the temperature comfort and its penalty function are brought into the optimization goal, so as to realize the optimal management of the virtual energy storage charging and discharging of the building. This charging and discharging process It is manifested by the change of indoor temperature of the building. By adding the virtual energy storage system of the building, the operating cost of the building itself can be reduced to a certain extent.
同时考虑楼宇热力学模型差异和楼宇分类导致的人员特性不同后,都以经济性和舒适性为目标来构建自身的楼宇运行优化模型,在不同楼宇间建立统一的优化目标和标准,具体的目标函数如下:At the same time, after considering the differences in building thermodynamic models and the different personnel characteristics caused by building classification, they all build their own building operation optimization models with the goal of economy and comfort, and establish unified optimization goals and standards among different buildings. Specific objective functions as follows:
上式中CTrade.t表示系统运行经济成本,其含义是该建筑与配电网和其余楼宇的电量交易成本;CMa.t表示各设备的使用维护成本,该方法中主要考虑HVAC系统和光伏发电系统的维护成本;CTem.t为影响用户温度舒适度的惩罚成本;CNet.b和CNet.s分别表示配电网当前时段的售电和购电电价,PNet.b和PNet.s分别表示该建筑当前时间段在配电网处的购电和售电电量,同一时间段内购电和售电状态只能存在一种;δHVAC、δpv分别表示HVAC系统和光伏发电系统单位时间段内单位功率的使用维护成本;PHVAC、Ppv分别表示HVAC系统和光伏发电系统的功率;γ为温度惩罚因子,可视为用户对温度舒适度的敏感程度,Tset为设置的室内最佳温度,与该设置温度偏差越大则温度惩罚成本越大。In the above formula, CTrade.t represents the economic cost of system operation, which means the electricity transaction cost between the building and the distribution network and other buildings; CMa.t represents the use and maintenance cost of each equipment. This method mainly considers the HVAC system and The maintenance cost of the photovoltaic power generation system; CTem.t is the penalty cost that affects the user's temperature comfort; CNet.b and CNet.s respectively represent the electricity sales and purchase prices of the distribution network in the current period, and PNet.b and PNet.s respectively represent the power purchase and sale of the building at the distribution network in the current time period, and there can only be one state of power purchase and sale in the same time period; δHVAC and δpv represent the HVAC system and The use and maintenance cost per unit power of the photovoltaic power generation system in a unit time period; PHVAC and Ppv respectively represent the power of the HVAC system and the photovoltaic power generation system; γ is the temperature penalty factor, which can be regarded as the user’s sensitivity to temperature comfort, Tset is the optimal indoor temperature set, the greater the deviation from the set temperature, the greater the temperature penalty cost.
这里展示了特殊楼宇的运行优化结果如图3所示,特殊楼宇相较于其它两类楼宇在运行优化上主要有以下区别:特殊楼宇内电负荷和热负荷更高,人员数量较多,由人员不确定性带来的影响相较于其它两类楼宇更严重;特殊楼宇玻璃幕墙面积较少,楼宇的虚拟储能特性更好同时受太阳热辐射传递的热量较少,并且受光照强度不确定性带来的影响也较小;特殊楼宇在运行时有更高的温度范围要求,要求楼宇在24小时内都保持在该温度要求范围内,在该方法中设置特殊楼宇内人员最佳温度为24度,允许楼宇在运行过程中上下浮动2.5度。从图3可知,特殊楼宇的运行满足上述温度条件并保持波动状态,影响温度波动的因素主要是配电网电价和温度惩罚因子。楼宇作为虚拟储能系统的特征与传统的储电系统有较大的不同,相比较于储电系统的高充放频率,楼宇的虚拟储能系统由于自身能量耗散更快且受外界例如光照、室外温度的影响较大,因此充放电频率较低,如图3所示在24小时内共计变化7次。考虑楼宇虚拟储能的运行优化其本质是利用不同时刻的电价,在低电价时提前制冷,高电价时减少制冷用电从而节约运行成本。The operation optimization results of special buildings are shown here, as shown in Figure 3. Compared with the other two types of buildings, the operation optimization of special buildings has the following main differences: the electric load and heat load in special buildings are higher, and the number of personnel is larger. The impact of personnel uncertainty is more serious than that of the other two types of buildings; the glass curtain wall area of special buildings is less, the virtual energy storage characteristics of buildings are better, and the heat transferred by solar thermal radiation is less, and the intensity of light is different. The impact of determinism is also small; special buildings have higher temperature range requirements during operation, and the buildings are required to be kept within this temperature range within 24 hours. In this method, the optimal temperature for personnel in special buildings is set It is 24 degrees, allowing the building to fluctuate 2.5 degrees up and down during operation. It can be seen from Figure 3 that the operation of special buildings meets the above temperature conditions and maintains a fluctuating state. The main factors affecting temperature fluctuations are the electricity price of the distribution network and the temperature penalty factor. The characteristics of the building as a virtual energy storage system are quite different from the traditional power storage system. Compared with the high charging and discharging frequency of the power storage system, the virtual energy storage system of the building has faster energy dissipation and is affected by the outside world such as light. , The impact of outdoor temperature is greater, so the charging and discharging frequency is low, as shown in Figure 3, there are 7 changes in total within 24 hours. Considering the operation optimization of building virtual energy storage, the essence is to use electricity prices at different times to advance cooling when electricity prices are low, and reduce cooling power consumption when electricity prices are high to save operating costs.
3、根据各楼宇自身运行优化结果、楼宇间组成的电力市场特性和分布式能源发电情况构建对应的能量交易平台和交易策略。3. Construct a corresponding energy trading platform and trading strategy according to the optimization results of each building's own operation, the characteristics of the power market composed of buildings and the power generation of distributed energy.
P2P交易平台采用分布式的交易平台如图1所示,每个建筑都是单独的个体向P2P交易中心提供相关报价信息并根据市场信息对自己的交易报价不断修改最终达成交易,P2P交易的流程如图4所示。The P2P trading platform adopts a distributed trading platform as shown in Figure 1. Each building is a separate entity that provides relevant quotation information to the P2P trading center and constantly modifies its own transaction quotation according to market information to finally reach a transaction. The process of P2P transaction As shown in Figure 4.
在该交易流程中各楼宇主要提供交易报价、交易电量和光伏发电量这3类信息。交易市场会根据各楼宇的报价信息进行对比判断,当购电方的最高报价高于售电方的最低报价时则说明达成交易条件,若此时楼宇出现相同的报价则根据楼宇等级进行区别,优先等级高的楼宇优先交易。楼宇的优先等级划分主要参考一下两点因素:按楼宇功能划分将具有重要负荷的特殊楼宇化为最高级,住宅楼宇为最低级;针对购售电双方,若该楼宇待交易电量占总的待交易电量比例越高则该楼宇购电、售电更稳定,则优先等级越高,若所占比例相同,为促进分布式能源的消纳认定分布式能源发电量大的楼宇等级更高。双方满足交易条件后交易价格取两者报价的平均值,交易电量为待交易电量少的一方,完成交易后各自更新自身的待交易信息并进行下一轮的交易。In the transaction process, each building mainly provides three types of information: transaction quotation, transaction power and photovoltaic power generation. The trading market will compare and judge according to the quotation information of each building. When the highest quotation of the electricity purchaser is higher than the lowest quotation of the electricity seller, it means that the transaction conditions have been reached. If the same quotation appears in the building at this time, it will be distinguished according to the building grade Buildings with high priority will be traded first. The priority classification of buildings mainly refers to two factors: according to the building function, special buildings with important loads are classified as the highest level, and residential buildings are the lowest level; The higher the proportion of transaction electricity, the more stable the power purchase and sales of the building, and the higher the priority level. If the proportion is the same, the building with a large amount of distributed energy generation is determined to be higher in order to promote the consumption of distributed energy. After the two parties meet the transaction conditions, the transaction price takes the average of the two quotations, and the transaction power is the party with the less power to be traded. After completing the transaction, they each update their pending transaction information and proceed to the next round of transactions.
当大部分楼宇交易完成后仍有楼宇没有完成自己的目标交易量或交易轮次达到最大次数关闭交易平台后,为完成交易目标的楼宇均与配电网清算剩余的待交易电量。When most of the building transactions are completed, there are still buildings that have not completed their target transaction volume or the transaction rounds have reached the maximum number of closings.
图5和图6为具体的交易情况,图5为交易中心9点的交易情况,图6为交易中心15点的交易情况,图中黑色线条表示售电方蓝色线条表示购电方,当购电方的最高电价高于售电方的最低电价时两条线出现交点,即表示交易成功。通过对比图5和图6中购售电双方交易报价曲线的差异可分析得出,交易中心9点时为买方市场,此时总的售电电量大于购电电量,因此在多轮次的交易报价后购电方能够以较低的价格购入电能,但对售电方来说最终的售电价格也优于同配电网的清算价格。交易中心15点时为卖方市场,此时总的购电电量大于售电电量,在多轮次交易报价后售电方能够以较高价格出售电能,在图6中售电方出现的价格先涨后跌的情况主要来自悲观系数和风险系数的共同作用,随着交易的进行悲观系数的影响会大于风险系数的影响,因此为了使最终交易的达成售电方会出现价格平缓下降。通过上述分析可验证该方法中提出的交易平台和交易策略能够有效地运行。Figure 5 and Figure 6 show the specific transaction situation. Figure 5 shows the transaction situation at 9 o'clock in the trading center, and Figure 6 shows the transaction situation at 15 o'clock in the trading center. The black line in the figure indicates the electricity seller and the blue line indicates the electricity buyer. When the highest electricity price of the electricity purchaser is higher than the lowest electricity price of the electricity seller, the intersection of the two lines indicates that the transaction is successful. By comparing the difference between the transaction quotation curves of the buyers and sellers in Figure 5 and Figure 6, it can be concluded that at 9 o'clock in the trading center, it is a buyer's market. At this time, the total electricity sales are greater than the electricity purchases. After the quotation, the power purchaser can purchase electricity at a lower price, but for the power seller, the final selling price is also better than the liquidation price of the same distribution network. At 15 o'clock in the trading center, it is a seller's market. At this time, the total electricity purchased is greater than the electricity sold. After multiple rounds of transaction quotations, the electricity seller can sell electricity at a higher price. In Figure 6, the price that the electricity seller appears first The rise and fall is mainly due to the joint effect of the pessimistic coefficient and the risk coefficient. As the transaction progresses, the pessimistic coefficient will have a greater impact than the risk coefficient. Therefore, in order to achieve the final transaction, the electricity seller will experience a gentle price decline. Through the above analysis, it can be verified that the trading platform and trading strategy proposed in this method can operate effectively.
4、将楼宇间交易后的结果返回至楼宇自身的运行优化模型中进行迭代以此达到最佳优化。4. Return the results of inter-building transactions to the building's own operation optimization model for iteration to achieve the best optimization.
交易中心完成交易后各楼宇将得到自身系统最终的电量交易成本和运行成本,如下式所示,在最初的楼宇运行优化中系统运行经济成本为该建筑与配电网的交易成本,PNet.b为配电网售电电价,PNet.s为配电网购电电价,购售电在同一时段只运行存在一种状态。After the trading center completes the transaction, each building will get the final power transaction cost and operating cost of its own system, as shown in the following formula. In the initial building operation optimization, the system operating economic cost is the transaction cost between the building and the distribution network, PNet. b is the electricity sales price of the distribution network, and PNet.s is the electricity purchase price of the distribution network. There is only one state of electricity purchase and sale at the same time period.
CTrade.t=CNet.bPNet.b-CNet.sPNet.s (2)CTrade.t = CNet.b PNet.b -CNet.s PNet.s (2)
上述方式与交易完成后的系统成本会有较大的偏差,因此在该方法中将交易后的电量交易价格迭代回楼宇运行优化中进行再次优化和后续的市场交易,具体的流程如图7所示。The above method will have a large deviation from the system cost after the transaction is completed. Therefore, in this method, the electricity transaction price after the transaction is iterated back to the building operation optimization for re-optimization and subsequent market transactions. The specific process is shown in Figure 7 Show.
考虑到计算时长的影响,若迭代次数达到设定最大值K或两次迭代后系统总的运行成本相差小于5%,则判断迭代完成,此时楼宇达到考虑楼宇虚拟储能特性和P2P交易后自身运行优化的最优解。Considering the influence of calculation time, if the number of iterations reaches the set maximum value K or the difference between the total operating cost of the system after two iterations is less than 5%, it is judged that the iteration is complete. Optimal solution to run the optimization on its own.
| Application Number | Priority Date | Filing Date | Title |
|---|---|---|---|
| CN202211257878.4ACN115509134B (en) | 2022-10-13 | 2022-10-13 | Distributed Optimal Scheduling Method for Building Clusters Considering Building Characteristics and Electricity Trading |
| Application Number | Priority Date | Filing Date | Title |
|---|---|---|---|
| CN202211257878.4ACN115509134B (en) | 2022-10-13 | 2022-10-13 | Distributed Optimal Scheduling Method for Building Clusters Considering Building Characteristics and Electricity Trading |
| Publication Number | Publication Date |
|---|---|
| CN115509134Atrue CN115509134A (en) | 2022-12-23 |
| CN115509134B CN115509134B (en) | 2025-09-05 |
| Application Number | Title | Priority Date | Filing Date |
|---|---|---|---|
| CN202211257878.4AActiveCN115509134B (en) | 2022-10-13 | 2022-10-13 | Distributed Optimal Scheduling Method for Building Clusters Considering Building Characteristics and Electricity Trading |
| Country | Link |
|---|---|
| CN (1) | CN115509134B (en) |
| Publication number | Priority date | Publication date | Assignee | Title |
|---|---|---|---|---|
| CN115809568A (en)* | 2022-12-29 | 2023-03-17 | 河海大学 | Intelligent building group power-carbon joint distributed trading strategy acquisition method and device |
| CN116128227A (en)* | 2022-12-30 | 2023-05-16 | 天津大学 | Electric energy distribution method and device |
| Publication number | Priority date | Publication date | Assignee | Title |
|---|---|---|---|---|
| GB858608A (en)* | 1958-05-27 | 1961-01-11 | Randall Bruce Shipley | A method of or apparatus for electrical load dispatching in an alternating current power distribution system |
| US20060111816A1 (en)* | 2004-11-09 | 2006-05-25 | Truveon Corp. | Methods, systems and computer program products for controlling a climate in a building |
| US20080046387A1 (en)* | 2006-07-23 | 2008-02-21 | Rajeev Gopal | System and method for policy based control of local electrical energy generation and use |
| JP2011114900A (en)* | 2009-11-25 | 2011-06-09 | Fuji Electric Systems Co Ltd | Apparatus and method for controlling supply and demand of micro-grid |
| US20120083930A1 (en)* | 2010-09-30 | 2012-04-05 | Robert Bosch Gmbh | Adaptive load management: a system for incorporating customer electrical demand information for demand and supply side energy management |
| CN105207205A (en)* | 2015-09-16 | 2015-12-30 | 国网天津市电力公司 | Distributed energy system energy optimization regulation and control method fusing demand side response |
| CN106960272A (en)* | 2017-02-28 | 2017-07-18 | 天津大学 | Building microgrid Multiple Time Scales Optimization Scheduling containing virtual energy storage |
| CN107732897A (en)* | 2017-09-12 | 2018-02-23 | 天津大学 | Building microgrid model prediction and control method based on virtual energy storage system |
| CN109884888A (en)* | 2018-12-30 | 2019-06-14 | 国网天津市电力公司电力科学研究院 | A non-cooperative game-based predictive control method for multi-building microgrid models |
| US10580094B1 (en)* | 2013-08-07 | 2020-03-03 | Promanthan Brains LLC, Series Cold Futures only | Energy cost optimizer |
| AU2020100983A4 (en)* | 2019-11-14 | 2020-07-16 | Shandong University | Multi-energy complementary system two-stage optimization scheduling method and system considering source-storage-load cooperation |
| CN113158450A (en)* | 2021-04-08 | 2021-07-23 | 国网河南省电力公司电力科学研究院 | Building energy management system-based economic scheduling method and system |
| CN113222227A (en)* | 2021-04-27 | 2021-08-06 | 中国能源建设集团天津电力设计院有限公司 | Building comprehensive energy system scheduling method based on building characteristics and virtual power plant |
| CN113609653A (en)* | 2021-07-15 | 2021-11-05 | 东北电力大学 | Intelligent building group distributed optimal scheduling method based on point-to-point electric energy sharing |
| CN113988471A (en)* | 2021-11-22 | 2022-01-28 | 西南交通大学 | Multi-objective optimization method for micro-grid operation |
| CN114881794A (en)* | 2022-06-15 | 2022-08-09 | 燕山大学 | Master-slave game transaction method considering comfort degree and substituting energy for comprehensive energy market |
| Publication number | Priority date | Publication date | Assignee | Title |
|---|---|---|---|---|
| GB858608A (en)* | 1958-05-27 | 1961-01-11 | Randall Bruce Shipley | A method of or apparatus for electrical load dispatching in an alternating current power distribution system |
| US20060111816A1 (en)* | 2004-11-09 | 2006-05-25 | Truveon Corp. | Methods, systems and computer program products for controlling a climate in a building |
| US20080046387A1 (en)* | 2006-07-23 | 2008-02-21 | Rajeev Gopal | System and method for policy based control of local electrical energy generation and use |
| JP2011114900A (en)* | 2009-11-25 | 2011-06-09 | Fuji Electric Systems Co Ltd | Apparatus and method for controlling supply and demand of micro-grid |
| US20120083930A1 (en)* | 2010-09-30 | 2012-04-05 | Robert Bosch Gmbh | Adaptive load management: a system for incorporating customer electrical demand information for demand and supply side energy management |
| US10580094B1 (en)* | 2013-08-07 | 2020-03-03 | Promanthan Brains LLC, Series Cold Futures only | Energy cost optimizer |
| CN105207205A (en)* | 2015-09-16 | 2015-12-30 | 国网天津市电力公司 | Distributed energy system energy optimization regulation and control method fusing demand side response |
| CN106960272A (en)* | 2017-02-28 | 2017-07-18 | 天津大学 | Building microgrid Multiple Time Scales Optimization Scheduling containing virtual energy storage |
| CN107732897A (en)* | 2017-09-12 | 2018-02-23 | 天津大学 | Building microgrid model prediction and control method based on virtual energy storage system |
| CN109884888A (en)* | 2018-12-30 | 2019-06-14 | 国网天津市电力公司电力科学研究院 | A non-cooperative game-based predictive control method for multi-building microgrid models |
| AU2020100983A4 (en)* | 2019-11-14 | 2020-07-16 | Shandong University | Multi-energy complementary system two-stage optimization scheduling method and system considering source-storage-load cooperation |
| CN113158450A (en)* | 2021-04-08 | 2021-07-23 | 国网河南省电力公司电力科学研究院 | Building energy management system-based economic scheduling method and system |
| CN113222227A (en)* | 2021-04-27 | 2021-08-06 | 中国能源建设集团天津电力设计院有限公司 | Building comprehensive energy system scheduling method based on building characteristics and virtual power plant |
| CN113609653A (en)* | 2021-07-15 | 2021-11-05 | 东北电力大学 | Intelligent building group distributed optimal scheduling method based on point-to-point electric energy sharing |
| CN113988471A (en)* | 2021-11-22 | 2022-01-28 | 西南交通大学 | Multi-objective optimization method for micro-grid operation |
| CN114881794A (en)* | 2022-06-15 | 2022-08-09 | 燕山大学 | Master-slave game transaction method considering comfort degree and substituting energy for comprehensive energy market |
| Title |
|---|
| ANNAMARIA BUONOMANO ET AL.: "《Building energy performance analysis by an in-house developed dynamic simulation code: An investigation for different case studies》", APPLIED ENERGY, 31 December 2014 (2014-12-31)* |
| 刘辉等: "《考虑连续双向拍卖机制的楼宇群日前优化调度》", 重庆大学学报, vol. 47, no. 9, 30 September 2024 (2024-09-30)* |
| Publication number | Priority date | Publication date | Assignee | Title |
|---|---|---|---|---|
| CN115809568A (en)* | 2022-12-29 | 2023-03-17 | 河海大学 | Intelligent building group power-carbon joint distributed trading strategy acquisition method and device |
| CN116128227A (en)* | 2022-12-30 | 2023-05-16 | 天津大学 | Electric energy distribution method and device |
| CN116128227B (en)* | 2022-12-30 | 2024-02-02 | 天津大学 | Electric energy distribution method and device |
| Publication number | Publication date |
|---|---|
| CN115509134B (en) | 2025-09-05 |
| Publication | Publication Date | Title |
|---|---|---|
| Chen et al. | Peer-to-peer energy sharing with social attributes: A stochastic leader–follower game approach | |
| WO2023103385A1 (en) | Collaborative optimization method for multi-energy microgrid group itself and market decision | |
| CN109884888B (en) | A non-cooperative game-based predictive control method for multi-building microgrid models | |
| CN115509134A (en) | Distributed Optimal Scheduling Method for Building Groups Considering Building Characteristics and Electric Energy Trading | |
| CN109861302B (en) | Master-slave game-based energy internet day-ahead optimization control method | |
| Ding et al. | Cooperative Operation for Multiagent Energy Systems Integrated with Wind, Hydrogen, and Buildings: An Asymmetric Nash Bargaining Approach | |
| CN112883584B (en) | Multi-energy micro-grid group cold-heat-electricity multi-energy coupling optimization method considering benefit interaction | |
| CN109800927A (en) | Power distribution network distributed optimization method under bilateral Power Market | |
| CN113869927B (en) | Time-sharing pricing method for promoting energy sharing of multiple producers and consumers in community micro-grid | |
| Li et al. | A risk-averse energy sharing market game for renewable energy microgrid aggregators | |
| CN111311012A (en) | Multi-agent-based micro-grid power market double-layer bidding optimization method | |
| Yang et al. | Optimal design and energy management of residential prosumer community with photovoltaic power generation and storage for electric vehicles | |
| CN116663820A (en) | An Energy Management Method for Integrated Energy System under Demand Response | |
| CN118052380A (en) | Daily optimization scheduling method and related device for building energy management system | |
| CN115438906A (en) | A multi-virtual power plant point-to-point transaction method, electronic equipment and storage medium | |
| Huang et al. | A robust control of nZEBs for performance optimization at cluster level under demand prediction uncertainty | |
| CN113870030A (en) | Design method of multi-microgrid energy trading mechanism based on improved Nash bargaining method | |
| Fu et al. | Research on the stackelberg game method of building micro-grid with electric vehicles | |
| CN115829112A (en) | A two-layer optimization method for distributed transactions of prosumers based on distribution network operation constraints | |
| Si et al. | Cloud-edge-based we-market: Autonomous bidding and peer-to-peer energy sharing among prosumers | |
| CN119787378A (en) | Prosumer energy management optimization method and system | |
| CN118868042A (en) | Stochastic two-layer optimization configuration method for intelligent buildings based on shared energy storage services | |
| CN118071499A (en) | Point-to-point market trading method for virtual power plant energy management | |
| CN113036751A (en) | Renewable energy micro-grid optimization scheduling method considering virtual energy storage | |
| CN112215687B (en) | Cloud-edge-collaboration-based home micro-grid autonomous bidding system and method |
| Date | Code | Title | Description |
|---|---|---|---|
| PB01 | Publication | ||
| PB01 | Publication | ||
| SE01 | Entry into force of request for substantive examination | ||
| SE01 | Entry into force of request for substantive examination | ||
| GR01 | Patent grant | ||
| GR01 | Patent grant |