
技术领域technical field
本发明属于卫星导航系统可靠性安全性技术领域,特别提出机场伪卫星服务信号完好性评估方法。The invention belongs to the technical field of reliability and safety of a satellite navigation system, and particularly proposes a method for evaluating the integrity of an airport pseudo-satellite service signal.
背景技术Background technique
卫星导航系统建成后,系统面临为广大用户提供公开服务性能承诺,维持必备性能指标等任务。除精度指标外,国际民航要求的必备性能指标还包括完好性、连续性和可用性。After the satellite navigation system is completed, the system faces tasks such as providing public service performance commitments for users and maintaining necessary performance indicators. In addition to accuracy indicators, the essential performance indicators required by international civil aviation also include integrity, continuity and availability.
导航系统中的完好性兼具可靠性与安全性特性,国内外对完好性研究多集中于对导航服务完好性理论算法和测试评估方面。由于不同导航系统空间信号完好性设计实现方法的差异,该指标尚未有明确、统一的测试评估方法。根据导航系统加入国际民航应用的外在需求,以及对标国际一流进行系统升级和性能提升的内在驱动,该指标将不可或缺。Integrity in navigation systems has both reliability and security characteristics. The research on integrity at home and abroad mostly focuses on the theoretical algorithm and test evaluation of navigation service integrity. Due to the differences in the design and implementation methods of signal-in-space integrity of different navigation systems, there is no clear and unified test and evaluation method for this indicator. According to the external demand for navigation system to be added to international civil aviation applications, and the internal drive to upgrade the system and improve performance against world-class standards, this indicator will be indispensable.
由于GNSS卫星室内信号薄弱,在机场室内定位中存在极大的弊端,伪卫星在这一应用场景中具有极为显著的优势,但信号评估指标还不完善,亟需寻求一种适应机场伪卫星导航,可操作、易实现的空间信号完好性指标评估方法,指导对该指标的测试评估。Due to the weak indoor signal of GNSS satellites, there are great disadvantages in the indoor positioning of airports. Pseudo-satellites have extremely significant advantages in this application scenario, but the signal evaluation indicators are not yet perfect. It is urgent to find a pseudo-satellite navigation system suitable for airports. , an operable and easy-to-implement evaluation method for the signal-in-space integrity index, which guides the test and evaluation of the index.
发明内容Contents of the invention
本发明旨在提供机场伪卫星服务信号完好性评估方法,基于监测评估中心的现有业务提出了一套可适用于机场伪卫星服务信号完好性评估方法,能够利用导航卫星下行导航信号监测数据并进行完好性风险评估,可为机场室内信号完好性指标评估提供一种可操作、易实现的有效方法。The present invention aims to provide a method for evaluating the integrity of airport pseudolite service signals. Based on the existing business of the monitoring and evaluation center, a set of methods for evaluating the integrity of airport pseudolite service signals is proposed, which can utilize navigation satellite downlink navigation signal monitoring data and Integrity risk assessment can provide an effective method that is operable and easy to implement for the assessment of airport indoor signal integrity indicators.
为实现上述目的,本发明采取的技术方案是:For realizing above-mentioned object, the technical scheme that the present invention takes is:
机场伪卫星服务信号完好性评估方法,其特征在于:包括如下步骤:The airport pseudo-satellite service signal integrity evaluation method is characterized in that: comprising the following steps:
步骤1,进行数据收集,获取多种数据源;Step 1, collect data and obtain multiple data sources;
利用接收机接收伪卫星下行信号,在数据接收的基础上对所需数据进行分类、归档;Use the receiver to receive the pseudolite downlink signal, and classify and archive the required data on the basis of data reception;
步骤2,将获取的多种数据源进行数据归档,具体需按照路径配置文件进行归档,用户可自行设定和变更路径配置文件,在指定的目录下分类存储数据文件;Step 2: Archiving the acquired data from various data sources, specifically according to the path configuration file, the user can set and change the path configuration file by himself, and store the data files in the specified directory;
步骤3,数据归档完毕后,进行数据预处理;Step 3, after the data is archived, perform data preprocessing;
单项要素监测,利用预处理后的文件进行伪卫星异常状态快速监测;Single element monitoring, using the preprocessed files to quickly monitor the abnormal state of the pseudolite;
步骤4,综合多种监测方法可获取伪卫星的真实状态,多方面评估信号的完好性。In step 4, multiple monitoring methods can be combined to obtain the true state of the pseudolite and evaluate the integrity of the signal in many ways.
作为本发明进一步改进,在步骤3中,具体监测方法如下:As a further improvement of the present invention, in step 3, the specific monitoring method is as follows:
(1)信号质量监测;(1) Signal quality monitoring;
用于监控伪卫星播发的C/A码信号是否存在变形,完好性监测平台包括信号软件接收机,用于确定C/A码是否存在畸变,通过监测C/N0的均值变化来实现,在K历元,每个信道channel(m,n)的平均C/N0值与前一历元值间的关系表示为:It is used to monitor whether there is distortion in the C/A code signal broadcast by the pseudolite. The integrity monitoring platform includes a signal software receiver, which is used to determine whether there is distortion in the C/A code. It is realized by monitoring the change of the mean value of C/N0 . For K epochs, the relationship between the average C/N0 value of each channel channel(m,n) and the value of the previous epoch is expressed as:
求得的(C/N0)ave和预先根据硬件配置、天线增益和天线站点位置因素确定的阈值进行比较,如果小于该阈值,则认为该信道存在问题;The obtained (C/N0 )ave is compared with the threshold value determined in advance according to hardware configuration, antenna gain and antenna site location factors, and if it is less than the threshold value, it is considered that there is a problem with the channel;
(2)数据质量监测;(2) Data quality monitoring;
用于验证伪卫星导航电文是否可靠,数据质量管理通常在两种情况下验证伪卫星星历和钟差的正确性:It is used to verify whether the pseudolite navigation message is reliable, and the data quality management usually verifies the correctness of the pseudolite ephemeris and clock error in two situations:
第一种情况是监测到新的伪卫星,有新的伪卫星出现时,数据质量监测系统会在随后6小时内对其进行监测,每5分钟比较一次根据广播星历和最近的历书计算的卫星位置差异,确保两者的差异在50m之内,该阈值是根据历书的精度来设置的;The first situation is that new pseudolites are detected. When new pseudolites appear, the data quality monitoring system will monitor them within the next 6 hours, and compare them every 5 minutes. Satellite position difference, ensure that the difference between the two is within 50m, the threshold is set according to the accuracy of the almanac;
第二种情况是导航电文出现更新,数据质量监测算法同样需要根据新老电文计算伪卫星位置,确保其差值不超过1m;The second case is that the navigation message is updated, and the data quality monitoring algorithm also needs to calculate the position of the pseudolite based on the old and new messages to ensure that the difference does not exceed 1m;
(3)观测量质量监测;(3) Observation quality monitoring;
通过验证过去几个历元伪距和载波测量的一致性,来探测由时钟异常或接收机故障引起的突变步长误差和任何其他的快变误差,观测量质量监测包括接收机锁定时间检验、载波累积-步长测试和载波平滑伪距更新测试。By verifying the consistency of pseudo-range and carrier measurements in the past several epochs, it is possible to detect sudden step errors and any other fast-changing errors caused by clock anomalies or receiver failures. The quality monitoring of observations includes receiver lock time checks, Carrier Accumulation - Step Size Test and Carrier Smoothing Pseudorange Update Test.
作为本发明进一步改进,所述观测量质量监测具体如下;As a further improvement of the present invention, the quality monitoring of the observed quantity is specifically as follows;
1)接收机锁定时间检验;1) Receiver lock time check;
通过计算各参考站接收机间锁定时间的差异,来确保接收机能够持续锁定相位,接收机在跟踪低仰角的伪卫星时,经常会出现失锁,但这类故障不会造成严重影响,因此,完好性监测平台并不会因此标记信道存在故障,只是会重新初始化相位平滑伪距,这主要是为了保证系统的连续性;By calculating the difference in locking time between the receivers of each reference station, it is ensured that the receiver can continue to lock the phase. When the receiver is tracking a pseudolite at a low elevation angle, it often loses lock, but this type of failure will not cause serious effects, so , the integrity monitoring platform will not mark the channel as faulty, but will re-initialize the phase smoothing pseudorange, which is mainly to ensure the continuity of the system;
2)载波累积-步长测试;2) Carrier accumulation-step size test;
为了探测载波相位观测量中存在的脉冲和步长快速变化,这些异常变化可导致伪距或载波相位改正数中存在较大误差;To detect rapid pulse and step size changes in carrier phase observations that can lead to large errors in pseudoranges or carrier phase corrections;
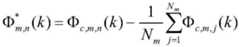
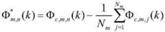
首先,计算最后10个连续历元,即历元k-9到历元k,接收机信道channel(m,n),其中m代表接收机,n代表观测卫星的相位偏差值First, calculate the last 10 consecutive epochs, that is, epoch k-9 to epoch k, receiver channel channel(m,n), where m represents the receiver, and n represents the phase deviation value of the observed satellite
Φc,m,j(k)=Φm,n(k)-Rm,n(k)+τm,n(k)-Φc,m,n(k)Φc,m,j (k)=Φm,n (k)-Rm,n (k)+τm,n (k)-Φc,m,n (k)
Φc,m,n(0)=Φm,n(0)-Rm,n(0)+τm,n(0)Φc,m,n (0)=Φm,n (0)-Rm,n (0)+τm,n (0)
式中:In the formula:
Rm,n(k)为为星站空间几何计算值;τm,n(k)为卫星钟差改正数;Φc,m,n(0)为初始状态载波相位改正值;Nm为接收机m跟踪的伪卫星数;Rm,n (k) is the calculation value of the space geometry of the satellite station; τm,n (k) is the satellite clock error correction number; Φc,m,n (0) is the carrier phase correction value of the initial state; Nm is The number of pseudolites tracked by the receiver m;
然后,用这10个历元的中,拟合成下面的二次模型:Then, using these 10 epochs, fit the following quadratic model:
用最小二乘法求系数和Find the Coefficients Using the Least Squares Method with
则加速度表示为:Then the acceleration is expressed as:
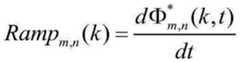
跳变表示为:The transition is expressed as:
构建步长检测量Stepm,n(k)来表示当前历元的突变故障:Construct the step detection amount Stepm,n (k) to represent the mutation failure of the current epoch:
式中:In the formula:
为k历元的载波相位偏差计算值;为k历元载波相位偏差值; is the calculated value of the carrier phase deviation of k epochs; is the k epoch carrier phase deviation value;
若channel(m,n)载波相位观测值发生加速度、突变、步长异常并超过了相应的阈值,则该信道被标记为存在故障;If the carrier phase observation value of channel(m,n) has acceleration, sudden change, and abnormal step size and exceeds the corresponding threshold, the channel is marked as having a fault;
3)载波平滑伪距更新测试;3) Carrier smoothing pseudorange update test;
用于探测原始伪距观测量中的脉冲和步长异常,更新测试统计量定义为:Used to detect pulse and step anomalies in the original pseudorange observations, the update test statistic is defined as:
Innocationm,n(k)=ρm,n(k)-[ps,m,n(k-1)+Φm,n(k)-Φm,n(k-1)]Innocationm,n (k)=ρm,n (k)-[ps,m,n (k-1)+Φm,n (k)-Φm,n (k-1)]
NS=τs/TSNS =τs /TS
式中:In the formula:
ρs,m,n(k)为载波相位平滑后的伪距:x,为载波相位平滑时间,常取100s;T,为载波相位平滑伪距采样点时间间隔;ρs, m, n (k) is the pseudorange after carrier phase smoothing: x, is the carrier phase smoothing time, usually 100s; T, is the time interval of carrier phase smoothing pseudorange sampling points;
若连续3个历元中有两个以上的Innovationm,n(k)超过阈值,则认为伪距观测值存在异常并予以标记;若只有当前1个历元计算的Innovationm,n(k)超过阙值,则相位平滑伪距时不采用伪距观测量,而仅使用载波观测量进行更新;If more than two Innovationm,n (k) exceeds the threshold in three consecutive epochs, it is considered that the pseudorange observations are abnormal and marked; if only the Innovationm,n (k) calculated in the current epoch If the threshold value is exceeded, the phase smoothing pseudo-range does not use the pseudo-range observation, but only uses the carrier observation to update;
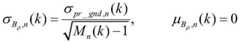
4)标准差及均值监测;4) Standard deviation and mean monitoring;
确保差分改正数真实误差分布是零均值的高斯分布;Ensure that the true error distribution of the differential correction is a Gaussian distribution with zero mean;
目前常用的监测方法有两种,一种是直接估计,构造统计量进行检验;一种是累积和Cumulative SUM算法;There are two commonly used monitoring methods at present, one is direct estimation, constructing statistics for testing; the other is cumulative and Cumulative SUM algorithm;
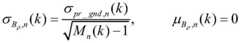
标准化的B值表示为:The normalized B value is expressed as:
式中:Mn(k)为历元k时接收到伪卫星n信号的接收机个数;In the formula: Mn(k) is the number of receivers that receive the pseudolite n signal at epoch k;
在对B值进行标准化后,即可求得其均值及标准差其中,标准差的计算公式如下:After standardizing the B value, its mean can be obtained and standard deviation Among them, the calculation formula of standard deviation is as follows:
则服从χ2分布but obey the χ2 distribution
式中:N(k)为k时刻用于估计均值及标准差的独立样本数;In the formula: N(k) is the number of independent samples used to estimate the mean and standard deviation at time k;
5)电文范围监测;5) Message range monitoring;
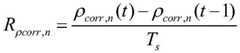
是保证伪距改正数及其变化率在置信范围内。这是改正数及其变化率播发之前的最后一项检测流程。通常伪距改正数的变化范围在±1m。而伪距改正数变化率的变化范围应该在±0.1m范围内。伪距改正数变化率定义为:It is to ensure that the pseudorange correction number and its rate of change are within the confidence range. This is the last detection process before the corrections and their rate of change are broadcast. Usually the variation range of the pseudorange correction number is ±1m. The change range of the change rate of the pseudorange correction number should be within the range of ±0.1m. The change rate of pseudorange correction number is defined as:
式中:Ts为数据采样间隔。In the formula: Ts is the data sampling interval.
作为本发明进一步改进,在步骤1中,数据收集来源于信号接收机。As a further improvement of the present invention, in step 1, data collection comes from a signal receiver.
作为本发明进一步改进,在步骤1中,多种数据源包括广播星历、观测文件和精密产品数据,除此之外,还包括差分完好性文件、健康字文件。As a further improvement of the present invention, in step 1, multiple data sources include broadcast ephemeris, observation files and precision product data, in addition to differential integrity files and health word files.
作为本发明进一步改进,在步骤3中,数据预处理包括观测文件质量分析、星历文件和精密产品文件的合并和剔除。As a further improvement of the present invention, in step 3, data preprocessing includes observation file quality analysis, merging and elimination of ephemeris files and precision product files.
作为本发明进一步改进,在步骤4中,监测评估的具体手段包括信号质量监测、数据质量监测、观测量质量监测、标准差及均值监测和电文范围监测。As a further improvement of the present invention, in step 4, the specific means of monitoring and evaluation include signal quality monitoring, data quality monitoring, observation quality monitoring, standard deviation and mean value monitoring, and message range monitoring.
与现有技术相比,本发明的有益效果为:Compared with prior art, the beneficial effect of the present invention is:
(1)本发明解决了机场卫星导航系统空间信号完好性指标从概念、理论方法到测试评估实现的问题,利用从下行导航数据中提取的健康信息和对机场导航信号误差的实时监测评估数据,方便快捷地评估、统计确定空间信号完好性指标。(1) The present invention solves the problem that the space signal integrity index of the airport satellite navigation system is realized from the concept, the theoretical method to the test and evaluation, utilizes the health information extracted from the downlink navigation data and the real-time monitoring and evaluation data to the airport navigation signal error, Evaluate and statistically determine signal-in-space integrity indicators conveniently and quickly.
(2)利用本方法和评估步骤,不仅可以确定空间信号完好性指标,还能扩展应用于空间信号差分完好性,以及服务完好性指标确定,补充完善我国机场伪卫星导航系统服务可靠性领域指标监测评估体系,为系统状态监测和设计改进提供重要的专业技术支持。(2) Using this method and evaluation steps, not only can the signal-in-space integrity index be determined, but it can also be extended to the signal-in-space differential integrity and service integrity index determination, supplementing and perfecting the service reliability field index of the pseudolite navigation system of airports in my country The monitoring and evaluation system provides important professional technical support for system status monitoring and design improvement.
附图说明Description of drawings
图1是本发明流程框图。Fig. 1 is a flow chart of the present invention.
具体实施方式detailed description
下面结合附图与具体实施方式对本发明作进一步详细描述:Below in conjunction with accompanying drawing and specific embodiment the present invention is described in further detail:
如图1所示:本发明提出机场伪卫星服务信号完好性评估方法,具体步骤如下:As shown in Figure 1: the present invention proposes airport pseudolite service signal integrity evaluation method, and concrete steps are as follows:
步骤一:利用接收机接收伪卫星下行信号,获得的数据主要包括广播星历、观测文件和精密产品数据,除此之外,还包括差分完好性文件、健康字文件等内容。在数据接收的基础上对所需数据进行分类、归档。Step 1: Use the receiver to receive the pseudolite downlink signal. The data obtained mainly include broadcast ephemeris, observation files and precision product data. In addition, it also includes differential integrity files, health word files, etc. Classify and archive the required data on the basis of data reception.
步骤二:单项要素监测,利用预处理后的文件进行伪卫星异常状态快速监测;具体监测手段包括信号质量监测、数据质量监测、观测量质量监测、标准差及均值监测、电文范围监测。具体监测方法如下:Step 2: Single element monitoring, using the preprocessed files to quickly monitor the abnormal state of the pseudolite; specific monitoring methods include signal quality monitoring, data quality monitoring, observation quality monitoring, standard deviation and mean value monitoring, and message range monitoring. The specific monitoring methods are as follows:
(1)信号质量监测;(1) Signal quality monitoring;
用于监控伪卫星播发的C/A码信号是否存在变形。完好性监测平台包括信号软件接收机,用于确定C/A码是否存在畸变。一般通过监测C/N0的均值变化来实现。在K历元,每个信道channel(m,n)的平均C/N0值与前一历元值间的关系可表示为:It is used to monitor whether the C/A code signal broadcast by the pseudolite is deformed. The integrity monitoring platform includes a signal software receiver to determine if the C/A code is distorted. It is generally realized by monitoring the change of the mean value of C/N0 . In K epoch, the relationship between the average C/N0 value of each channel channel(m,n) and the value of the previous epoch can be expressed as:
求得的(C/N0)ave和预先根据硬件配置、天线增益、天线站点位置等因素确定的阈值进行比较。如果小于该阈值,则认为该信道存在问题。The obtained (C/N0 )ave is compared with a threshold determined in advance according to factors such as hardware configuration, antenna gain, and antenna site location. If it is less than this threshold, the channel is considered to have a problem.
(2)数据质量监测;(2) Data quality monitoring;
用于验证伪卫星导航电文是否可靠。数据质量管理通常在两种情况下验证伪卫星星历和钟差的正确性:It is used to verify whether the pseudolite navigation message is reliable. Data quality management usually verifies the correctness of pseudolite ephemeris and clock error in two situations:
第一种情况是监测到新的伪卫星,有新的伪卫星出现时,数据质量监测系统会在随后6小时内对其进行监测。每5分钟比较一次根据广播星历和最近的历书计算的卫星位置差异,确保两者的差异在50m之内。该阈值是根据历书的精度来设置的。The first situation is that new pseudolites are detected. When new pseudolites appear, the data quality monitoring system will monitor them within the next 6 hours. Compare the satellite position difference calculated according to the broadcast ephemeris and the latest almanac every 5 minutes to ensure that the difference between the two is within 50m. The threshold is set according to the accuracy of the almanac.
第二种情况是导航电文出现更新,数据质量监测算法同样需要根据新老电文计算伪卫星位置,确保其差值不超过1m。The second situation is that the navigation message is updated, and the data quality monitoring algorithm also needs to calculate the position of the pseudolite based on the old and new messages to ensure that the difference does not exceed 1m.
(3)观测量质量监测;(3) Observation quality monitoring;
通过验证过去几个历元伪距和载波测量的一致性,来探测由时钟异常或接收机故障引起的突变步长误差和任何其他的快变误差。观测量质量监测主要包括接收机锁定时间检验、载波累积-步长测试和载波平滑伪距更新测试。Detect abrupt step errors and any other rapidly varying errors caused by clock anomalies or receiver failures by verifying the consistency of pseudorange and carrier measurements over the past few epochs. Observation quality monitoring mainly includes receiver lock time check, carrier accumulation-step test and carrier smoothing pseudorange update test.
1)接收机锁定时间检验;1) Receiver lock time check;
通过计算各参考站接收机间锁定时间的差异,来确保接收机能够持续锁定相位。接收机在跟踪低仰角的伪卫星时,经常会出现失锁,但这类故障不会造成严重影响。因此,完好性监测平台并不会因此标记信道存在故障,只是会重新初始化相位平滑伪距。这主要是为了保证系统的连续性。By calculating the difference in lock time between the receivers of each reference station, it is ensured that the receiver can continue to lock the phase. Receivers often lose lock when tracking pseudolites at low elevation angles, but such failures do not have serious consequences. Therefore, the integrity monitoring platform will not mark the channel as faulty, but will re-initialize the phase smoothing pseudorange. This is mainly to ensure the continuity of the system.
2)载波累积-步长测试;2) Carrier accumulation-step size test;
为了探测载波相位观测量中存在的脉冲、步长等快速变化。这些异常变化可导致伪距或载波相位改正数中存在较大误差。首先,计算最后10个连续历元(历元k-9到历元k)接收机信道channel(m,n)(m代表接收机,n代表观测卫星)的相位偏差值In order to detect the rapid changes of pulse and step size in the carrier phase observation. These anomalous changes can lead to large errors in pseudorange or carrier phase corrections. First, calculate the phase offset value of the last 10 consecutive epochs (epoch k-9 to epoch k) receiver channel channel(m,n) (m represents the receiver, n represents the observation satellite)
Φc,m,j(k)=Φm,n(k)-Rm,n(k)+τm,n(k)-Φc,m,n(k)Φc,m,j (k)=Φm,n (k)-Rm,n (k)+τm,n (k)-Φc,m,n (k)
Φc,m,n(0)=Φm,n(0)-Rm,n(0)+τm,n(0)Φc,m,n (0)=Φm,n (0)-Rm,n (0)+τm,n (0)
式中:In the formula:
Rm,n(k)为为星站空间几何计算值;τm,n(k)为卫星钟差改正数;Φc,m,n(0)为初始状态载波相位改正值;Nm为接收机m跟踪的伪卫星数。Rm,n (k) is the calculation value of the space geometry of the satellite station; τm,n (k) is the satellite clock error correction number; Φc,m,n (0) is the carrier phase correction value of the initial state; Nm is Number of pseudolites tracked by receiver m.
然后,用这10个历元的中。拟合成下面的二次模型:Then, use the middle of these 10 epochs. Fit to the following quadratic model:
用最小二乘法求系数和Find the Coefficients Using the Least Squares Method with
则加速度可表示为:Then the acceleration can be expressed as:
跳变可表示为:Jump can be expressed as:
构建步长检测量Stepm,n(k)来表示当前历元的突变故障:Construct the step detection amount Stepm,n (k) to represent the mutation failure of the current epoch:
式中:In the formula:
式中:为k历元的载波相位偏差计算值;为k历元载波相位偏差值。In the formula: is the calculated value of the carrier phase deviation of k epochs; is the carrier phase deviation value of k epochs.
若channel(m,n)载波相位观测值发生加速度、突变、步长异常并超过了相应的阈值,则该信道被标记为存在故障。If the carrier phase observation value of channel(m,n) has acceleration, sudden change, and abnormal step size and exceeds the corresponding threshold, the channel is marked as faulty.
3)载波平滑伪距更新测试3) Carrier smoothing pseudorange update test
用于探测原始伪距观测量中的脉冲和步长异常,更新测试统计量定义为:Used to detect pulse and step anomalies in the original pseudorange observations, the update test statistic is defined as:
Innocationm,n(k)=ρm,n(k)-[ps,m,n(k-1)+Φm,n(k)-Φm,n(k-1)]Innocationm,n (k)=ρm,n (k)-[ps,m,n (k-1)+Φm,n (k)-Φm,n (k-1)]
NS=τs/TSNS =τs /TS
式中:In the formula:
ρs,m,n(k)为载波相位平滑后的伪距:x,为载波相位平滑时间,常取100s;T,为载波相位平滑伪距采样点时间间隔。ρs,m,n (k) is the pseudorange after carrier phase smoothing: x is the carrier phase smoothing time, usually 100s; T is the time interval of carrier phase smoothing pseudorange sampling points.
若连续3个历元中有两个以上的Innovationm,n(k)超过阈值,则认为伪距观测值存在异常并予以标记;若只有当前1个历元计算的Innovationm,n(k)超过阙值,则相位平滑伪距时不采用伪距观测量,而仅使用载波观测量进行更新。If more than two Innovationm,n (k) exceeds the threshold in three consecutive epochs, it is considered that the pseudorange observations are abnormal and marked; if only the Innovationm,n (k) calculated in the current epoch If the threshold value is exceeded, the phase smoothing pseudo-range does not use the pseudo-range observation, but only uses the carrier observation to update.
4)标准差及均值监测4) Standard deviation and mean monitoring
确保差分改正数真实误差分布是零均值的高斯分布。目前常用的监测方法有两种,一种是直接估计,构造统计量进行检验;一种是累积和(Cumulative SUM)算法。Make sure that the true error distribution of differential corrections is Gaussian with zero mean. There are two commonly used monitoring methods at present, one is direct estimation, constructing statistics for testing; the other is cumulative sum (Cumulative SUM) algorithm.
标准化的B值可以表示为:The normalized B value can be expressed as:
式中:Mn(k)为历元k时接收到伪卫星n信号的接收机个数。In the formula: Mn(k) is the number of receivers that receive the pseudolite n signal at epoch k.
在对B值进行标准化后,即可求得其均值及标准差其中,标准差的计算公式如下:After standardizing the B value, its mean can be obtained and standard deviation Among them, the calculation formula of standard deviation is as follows:
则服从χ2分布but obey the χ2 distribution
式中:N(k)为k时刻用于估计均值及标准差的独立样本数。In the formula: N(k) is the number of independent samples used to estimate the mean and standard deviation at time k.
5)电文范围监测5) Message range monitoring
是保证伪距改正数及其变化率在置信范围内。这是改正数及其变化率播发之前的最后一项检测流程。通常伪距改正数的变化范围在±1m。而伪距改正数变化率的变化范围应该在±0.1m范围内。伪距改正数变化率定义为:It is to ensure that the pseudorange correction number and its rate of change are within the confidence range. This is the last detection process before the corrections and their rate of change are broadcast. Usually the variation range of the pseudorange correction number is ±1m. The change range of the change rate of the pseudorange correction number should be within the range of ±0.1m. The change rate of pseudorange correction number is defined as:
式中:Ts为数据采样间隔。In the formula: Ts is the data sampling interval.
步骤三:信息综合分析Step 3: Comprehensive analysis of information
根据各单项要素监测结果,结合预先设置的权值(由前期工程经验得出),综合判断卫星各项要素指标是否符合要求,并最终给出伪卫星服务信号完好性评估结果。According to the monitoring results of each individual element, combined with the preset weight (obtained from the previous engineering experience), comprehensively judge whether the various element indicators of the satellite meet the requirements, and finally give the evaluation result of the integrity of the pseudolite service signal.
以上所述,仅是本发明的较佳实施例而已,并非是对本发明作任何其他形式的限制,而依据本发明的技术实质所作的任何修改或等同变化,仍属于本发明所要求保护的范围。The above is only a preferred embodiment of the present invention, and is not intended to limit the present invention in any other form, and any modification or equivalent change made according to the technical essence of the present invention still belongs to the scope of protection required by the present invention .
| Application Number | Priority Date | Filing Date | Title |
|---|---|---|---|
| CN202211136538.6ACN115494529A (en) | 2022-09-19 | 2022-09-19 | Signal Integrity Assessment Method for Airport Pseudo-Latex Service |
| Application Number | Priority Date | Filing Date | Title |
|---|---|---|---|
| CN202211136538.6ACN115494529A (en) | 2022-09-19 | 2022-09-19 | Signal Integrity Assessment Method for Airport Pseudo-Latex Service |
| Publication Number | Publication Date |
|---|---|
| CN115494529Atrue CN115494529A (en) | 2022-12-20 |
| Application Number | Title | Priority Date | Filing Date |
|---|---|---|---|
| CN202211136538.6APendingCN115494529A (en) | 2022-09-19 | 2022-09-19 | Signal Integrity Assessment Method for Airport Pseudo-Latex Service |
| Country | Link |
|---|---|
| CN (1) | CN115494529A (en) |
| Publication number | Priority date | Publication date | Assignee | Title |
|---|---|---|---|---|
| CN116794692A (en)* | 2023-08-25 | 2023-09-22 | 华信正能集团有限公司 | Satellite navigation positioning service abnormality detection method |
| CN117544226A (en)* | 2023-11-22 | 2024-02-09 | 中国电子科技集团公司第五十四研究所 | A method for monitoring and evaluating the collaborative PNT network between space and earth |
| CN119291726A (en)* | 2024-12-10 | 2025-01-10 | 天津七一二通信广播股份有限公司 | A high-precision calibration method and system based on dual-frequency multi-constellation GBAS |
| Publication number | Priority date | Publication date | Assignee | Title |
|---|---|---|---|---|
| CN105758401A (en)* | 2016-05-14 | 2016-07-13 | 中卫物联成都科技有限公司 | Integrated navigation method and equipment based on multisource information fusion |
| CN109100748A (en)* | 2018-08-14 | 2018-12-28 | 西安空间无线电技术研究所 | A kind of navigation integrity monitoring system and method based on low rail constellation |
| CN110456390A (en)* | 2019-07-24 | 2019-11-15 | 北京空间飞行器总体设计部 | A device and method for monitoring on-orbit integrity risks of navigation satellites |
| Publication number | Priority date | Publication date | Assignee | Title |
|---|---|---|---|---|
| CN105758401A (en)* | 2016-05-14 | 2016-07-13 | 中卫物联成都科技有限公司 | Integrated navigation method and equipment based on multisource information fusion |
| CN109100748A (en)* | 2018-08-14 | 2018-12-28 | 西安空间无线电技术研究所 | A kind of navigation integrity monitoring system and method based on low rail constellation |
| CN110456390A (en)* | 2019-07-24 | 2019-11-15 | 北京空间飞行器总体设计部 | A device and method for monitoring on-orbit integrity risks of navigation satellites |
| Title |
|---|
| 牛飞: "GNSS完好性增强理论与方法研究", 《中国博士学位论文全文数据库 基础科学辑》, no. 07, 15 July 2010 (2010-07-15), pages 109 - 111* |
| Publication number | Priority date | Publication date | Assignee | Title |
|---|---|---|---|---|
| CN116794692A (en)* | 2023-08-25 | 2023-09-22 | 华信正能集团有限公司 | Satellite navigation positioning service abnormality detection method |
| CN117544226A (en)* | 2023-11-22 | 2024-02-09 | 中国电子科技集团公司第五十四研究所 | A method for monitoring and evaluating the collaborative PNT network between space and earth |
| CN119291726A (en)* | 2024-12-10 | 2025-01-10 | 天津七一二通信广播股份有限公司 | A high-precision calibration method and system based on dual-frequency multi-constellation GBAS |
| Publication | Publication Date | Title |
|---|---|---|
| CN115494529A (en) | Signal Integrity Assessment Method for Airport Pseudo-Latex Service | |
| CN101971047B (en) | Device and method for the real-time monitoring of the integrity of a satellite navigation system | |
| US6944541B2 (en) | Systems and methods for fault detection and exclusion in navigational systems | |
| Viandier et al. | GNSS performance enhancement in urban environment based on pseudo-range error model | |
| JP6262248B2 (en) | Method and associated apparatus for estimating error level in satellite geolocation measurement and monitoring reliability of said estimation | |
| CN102096075A (en) | Galileo system integrity concept-based multimode user integrity assessing method | |
| Hussain et al. | Adaptive GNSS receiver design for highly dynamic multipath environments | |
| JP2008014938A (en) | System and method for enhancing performance of satellite navigation receiver | |
| CN109782303A (en) | A performance testing method, device and system for a ground enhancement system | |
| KR101040053B1 (en) | Satellite range navigation system based on pseudo range measurement noise | |
| CN101950026B (en) | Measured value quality monitoring method applied to local area augmentation system | |
| CN112130177A (en) | An Integrity Monitoring Method for Ground Enhancement System Based on Stable Distribution | |
| KR101040054B1 (en) | Receiver Clock Error Monitoring Based Satellite Radio Navigation System Satellite Clock Fault Detection and Fault Satellite Identification Method | |
| CN117031502B (en) | Integrity monitoring method for real-time PPP-RTK satellite clock and orbit correction products | |
| CN116859417A (en) | Integrity monitoring method for Beidou PPP-RTK/MEMS | |
| US8514127B2 (en) | Method and system of calculation for the evaluation of the precision performance of a satellite navigation system | |
| CN117233800A (en) | Quality monitoring method for track clock error product, computer storage medium and terminal | |
| RU2722092C1 (en) | Method of evaluating operational characteristics of an absolute navigation service of an glonass system | |
| Michalson | Ensuring GPS navigation integrity using receiver autonomous integrity monitoring | |
| CN113625308A (en) | Method and system for detecting satellite space signal abnormity | |
| Sanz et al. | Automated GPS Signal-in-Space anomalies monitoring over more than 11 years | |
| Hu et al. | Multiple reference consistency check algorithm in GBAS based on S-values auxiliary | |
| Park et al. | A parity space approach for satellite anomaly monitoring of maritime DGPS | |
| Bruce et al. | Detection of GPS Satellite Signal Failures in Satellite Based Augmentation Systems (SBAS) | |
| Chan | Detection of Global Positioning Satellite Orbit Errors Using Short-Baseline Carrier Phase Measurements |
| Date | Code | Title | Description |
|---|---|---|---|
| PB01 | Publication | ||
| PB01 | Publication | ||
| SE01 | Entry into force of request for substantive examination | ||
| SE01 | Entry into force of request for substantive examination |