Movatterモバイル変換


[0]ホーム

URL:


CN115482071A - Heterogeneous spectrum dynamic sharing method and system based on block chain intelligent contract - Google Patents

Heterogeneous spectrum dynamic sharing method and system based on block chain intelligent contract
Download PDF

Info

Publication number
CN115482071A
CN115482071ACN202211131229.XACN202211131229ACN115482071ACN 115482071 ACN115482071 ACN 115482071ACN 202211131229 ACN202211131229 ACN 202211131229ACN 115482071 ACN115482071 ACN 115482071A
Authority
CN
China
Prior art keywords
spectrum
auction
interference
buyer
intelligent contract
Prior art date
Legal status (The legal status is an assumption and is not a legal conclusion. Google has not performed a legal analysis and makes no representation as to the accuracy of the status listed.)
Pending
Application number
CN202211131229.XA
Other languages
Chinese (zh)
Inventor
李红宁
孙禄
裴庆祺
Current Assignee (The listed assignees may be inaccurate. Google has not performed a legal analysis and makes no representation or warranty as to the accuracy of the list.)
Guangzhou Institute of Technology of Xidian University
Original Assignee
Guangzhou Institute of Technology of Xidian University
Priority date (The priority date is an assumption and is not a legal conclusion. Google has not performed a legal analysis and makes no representation as to the accuracy of the date listed.)
Filing date
Publication date
Application filed by Guangzhou Institute of Technology of Xidian UniversityfiledCriticalGuangzhou Institute of Technology of Xidian University
Priority to CN202211131229.XApriorityCriticalpatent/CN115482071A/en
Publication of CN115482071ApublicationCriticalpatent/CN115482071A/en
Pendinglegal-statusCriticalCurrent

Links

Images

Classifications

Landscapes

Abstract

The invention discloses a heterogeneous frequency spectrum dynamic sharing method and system based on a block chain intelligent contract, wherein idle frequency spectrum resources are dynamically shared by combining an auction theory and the block chain intelligent contract, and a multiplexing frequency spectrum of a winning user is determined through a frequency spectrum interference graph; and aiming at the fact that the bidders bid later are easy to obtain favorable information, the open bidding price is set to ensure the fairness of the intelligent contract auction. The method is based on the auction theory and the block chain spectrum sharing method, and solves the problem that the safety and the benefit are difficult to be considered at the same time under the distributed spectrum sharing scene by establishing a buyer interference graph and disclosing tender price to cover tender information; the proposed spectrum auction scheme flexible as required solves the problems of low overall benefit and low spectrum utilization rate caused by malicious collusion among users in the block chain spectrum sharing; the block chain technology is utilized to promote the sharing of heterogeneous frequency spectrums, and the intelligent contract ensures a reliable operation mechanism of distributed type without the participation of central nodes.

Description

Heterogeneous spectrum dynamic sharing method and system based on block chain intelligent contract
Technical Field
The invention belongs to the technical field of block chain and dynamic spectrum sharing, and particularly relates to a heterogeneous spectrum dynamic sharing method and system based on a block chain intelligent contract.
Background
Spectrum is a major component of modern wireless communication technology, and with the great demand of mobile users and devices, the use of spectrum resources is increasing. The 6G communication will face the challenges of higher data transmission rate, tighter spectrum resource limitation, richer service requirements, and better user experience, and the like, wherein the contradiction between spectrum supply and demand is especially prominent. Currently, the available spectrum resources are mainly concentrated below 6GHz, but the band is very crowded. The frequency band above 6GHz has not been widely used, and it can provide continuous large bandwidth, support transmission of higher data rate and expand system capacity. Therefore, the use range of the spectrum in the future will be extended to the full spectrum era. However, the different frequency bands have significant differences in key factors such as signal propagation characteristics, bandwidth capability, interference influence, etc., and an effective scheme for reasonably allocating and managing spectrum resources should be sought.
Due to the rapid development of the internet and the constant popularity of electronic commerce, the scope and influence of electronic auctions greatly improves the electronic auctions to break through and eliminate the physical limitations of traditional auctions, such as geography, scene, time, space and small target audience. With the emphasis on improving spectrum utilization, auction theory is an effective solution to the market-driven spectrum resource trading problem. One of the major challenges facing electronic auctions is the lack of trust between the seller, buyer and auctioneer. Similar to traditional auctions, electronic auctions are also susceptible to collusion. In electronic auctions, buyers bid to compete for goods or services offered by sellers. Private and rational buyers and sellers have an incentive to collude with each other and manipulate auctions to obtain unfair profits.
The blockchain realizes decentralization, transaction non-tampering, traceability and transparency, can realize credible information and value exchange in an incredible environment, and is a feasible solution for solving the security and privacy problems in the frequency spectrum auction scheme. Smart contracts are based on cryptocurrency, allowing users to define and execute contracts on blockchains. In particular, a smart contract is a piece of computer program that resides at a particular address in an etherhouse blockchain, and consists of functions (executable code units within the contract) and data (the state of the smart contract). The execution of functions in an intelligent contract is triggered by time or events, such as transactions added to a blockchain. In addition, smart contracts can receive, store, and transmit their own value. These functions are stored and executed by the consensus server, the correctness of the execution being guaranteed by the consensus protocol of the blockchain. Technologies such as a block chain, an intelligent contract and an auction theory are applied to a distributed heterogeneous spectrum dynamic sharing scene, and a plurality of problems to be solved exist.
Through the above analysis, the problems and defects of the prior art are as follows:
(1) The method cannot adapt to future heterogeneous spectrum scenes, so that the utilization rate of the spectrum is low, the spectrum resources are wasted, the cost is increased, and the benefit is lost.
(2) In the auction process, collusion alliances are possibly formed among bidders, the winning probability is improved through collusion bidding, and the cost of each bidder is reduced. This not only harms the interest of the auction seller and reduces the selling desire of the auction party, but also causes a lot of stockpiling of spectrum resources due to low cost, which results in low utilization rate of the final spectrum and goes against the original purpose of spectrum sharing.
(3) In a blockchain system, the participating users can see the bid amount, and selfish bidders have the opportunity to gain advantage by manipulating their bids, which detracts from the interests of others and is not in line with the authenticity of the auction.
Disclosure of Invention
Aiming at the problems in the prior art, the invention provides a heterogeneous spectrum dynamic sharing method and system based on a block chain intelligent contract.
The technical scheme of the invention is realized as follows:
a heterogeneous spectrum dynamic sharing method based on a block chain intelligent contract comprises the following steps:
s1: the system comprises a frequency spectrum provider, specifically a seller, wherein the seller submits auction related information to an intelligent contract and pays a deposit; after the deadline submission time is reached and before the auction related information announcement begins, the intelligent contract sorts the auctioned frequency bands from large to small according to the bandwidth to generate a frequency spectrum auction sequence, and carries out sequential auctions on the frequency spectrums according to the sequence of the frequency spectrum auction sequence;
s2: the method comprises the following steps that a frequency spectrum demander, specifically a buyer uploads transmission power, use time and position information, an interference distance is calculated through an intelligent contract interference map generating function, and a frequency spectrum interference map is generated according to the interference distance;
s3: encrypting and submitting the tender price by the buyer, transferring to an intelligent contract account, wherein the transfer amount is the public tender price; wherein the public tender price is greater than the tender price;
s4: revealing a seller base price and a buyer bid price; if the bid price of the buyer is less than the bottom price of the seller, the buyer is directly eliminated; the remaining buyers select winners through a winner determining function by the intelligent contract, then determine the payment price of the winner group through the payment price determining function of the intelligent contract, and then execute refund operation according to the payment price and issue spectrum licenses for the winner group;
s5: repeating the steps S2, S3 and S4 until all the frequency spectrum auctions of the frequency spectrum auction sequence are finished, and ending the current auction epoch;
s6: and packaging all auction processes and results into blocks, and uploading the blocks to a block chain.
Preferably, in step S1 of the method, the set of spectrum providers is
SP={spi |i=1,2,...,n}。
In the invention, idle spectrum resources are dynamically shared by combining an auction theory and a block chain intelligent contract, and a winning user multiplexing spectrum is determined by a spectrum interference graph; and aiming at the fact that the bidders bid later are easy to obtain favorable information, the open bidding price is set to ensure the fairness of the intelligent contract auction.
Preferably, in step S1 of the method, the auction-related information is Ii =H(sli |ri ) (ii) a Wherein, sl isi The system is a spectrum certificate which comprises auction spectrum information and an affiliation right certificate; r isi The seller pre-estimates the frequency spectrum, namely the bottom price, and the setting of the bottom price can resist malicious collusion among partial buyers, so that the loss of the seller is reduced; h (-) is an encryption function;
in step S1, the sequential auction of the spectrum is performed in the order of the auction sequence of the spectrum, which is in accordance with the preference of the buyer and the seller, because the bidder can more clearly observe the previous auction result to formulate his own strategy; moreover, the use of sequential auctions for sellers may allow buyers who have failed prior bidding to raise bids, thereby increasing the seller's revenue.
Preferably, in step S2 of the method, the set of spectrum demanders is
SR={sri |i=1,2,...,m}。
Preferably, in step S2 of the method, the communication model between the seller and the buyer can be regarded as a transmitter and a receiver model.
Preferably, in step S2 of the method, the interference distance is calculated according to an intelligent contract based on the buyer sri Submitted transmission power Pi Interference threshold
Figure RE-GDA0003897757100000031
And position xi Calculating the buyer sr through the interference pattern generating functioni Interference distance of
Figure RE-GDA0003897757100000032
Namely, it is
Figure RE-GDA0003897757100000033
The interference distance is a radius of an interference range of a channel used by a buyer, gamma is an antenna correlation constant, and alpha is a path loss factor and is a constant.
Preferably, in step S2 of the method, a spectral interference map is generated from the interference distance
Figure RE-GDA0003897757100000041
The specific method comprises the following steps: with buyer coordinate position xi As center of circle and interference distance
Figure RE-GDA0003897757100000042
The circular area with the radius is the interference range of the buyer, and if the interference ranges of two buyers are overlapped, the interference range of the buyer is as follows:
Figure RE-GDA0003897757100000043
judging that the two buyers have interference relationship in the interference graph, generating an interference relationship evaluation result, taking the interference evaluation result as a parameter, and recording the interference relationship evaluation result into a spectrum interference graph in a matrix form
Figure RE-GDA0003897757100000047
Performing the following steps;
and repeating the operations until the interference relationship evaluation is carried out on the buyers.
Preferably, in step S3 of the above method, buyer sri According to the spectrum sl of the bidi The utility estimate of which yields a true estimate vi Then based on this real value vi Selecting a scaling value bi And b isi ≥vi And will be paired with b by an encryption function H (-)i Encrypted to obtain H (b)i ) Then H (b) is addedi ) Submitting to an intelligent contract;
under the condition that a block chain bottom mechanism is not changed, when a buyer pays a bidding price to a contract account, the amount of money transferred is recorded on a chain, and relevant bidding information is provided for bidders bidding later, so that the bidders bidding later are more likely to win the auction and the fairness guarantee of the auction is lacked; therefore, after sealing the bid price, the buyer needs to directly pay the amount of money larger than the bid price to the contract account to cover up the real bid price and reduce the information that the coming people may obtain, which is called the public bid price and recorded by the intelligent contract.
Preferably, in step S4 of the above method, the winner determination function includes: solving a spectrum interference graph through a graph coloring algorithm
Figure RE-GDA0003897757100000048
All independent sets are submitted to an optimization function by an intelligent contract through a seller, and one independent set is selected as a winner group M according to own strategies of the sellerwin The independent set can maximize the income auctioned by the seller;
wherein the optimization function of the seller is
Figure RE-GDA0003897757100000044
Winner group Mwin The buyers in the system can multiplex the same frequency band;
Figure RE-GDA0003897757100000045
is auction channel hi Of the interference pattern of (a) is set independently,
Figure RE-GDA0003897757100000046
is the corresponding bid for the independent buyer in the set.
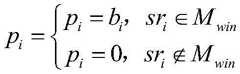
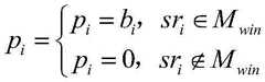
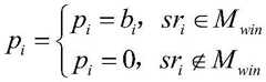
Preferably, in step S4 of the above method, the intelligent contract determines the payment price p of the buyer by means of a payment price determining functioni I.e. by
Figure RE-GDA0003897757100000051
Since the buyer has paid the amount equivalent to the overt bid price in step S2, for the winning buyer, sri ∈Mwin The intelligent contract needs to refund the difference between the public tender price and the payment price; for buyers not winning a bid, i.e. for buyers with no bid
Figure RE-GDA0003897757100000052
The smart contract requires refunding all payment amounts.
The invention also discloses a heterogeneous frequency spectrum dynamic sharing system based on the block chain intelligent contract, which applies the heterogeneous frequency spectrum dynamic sharing method based on the block chain intelligent contract and comprises the following steps:
the global block chain comprises a spectrum provider and an inspection mechanism, and is used for recording a global account book, spectrum provider registration, user registration and allocation;
the regional block chain comprises a spectrum supplier and a user and is used for carrying out spectrum auction, and auction results are uploaded to the global block chain for recording;
in a regional block chain, a spectrum provider includes a spectrum provider and/or a user, and a spectrum demander is a user;
the division of the regional block chain is divided according to the number of users, and the number of the users in each region is basically the same.
Preferably, the intelligent contract receives and displays relevant auction information from the spectrum suppliers, the spectrum providers and the spectrum demanders, and performs payment settlement on the spectrum suppliers, the spectrum providers and the spectrum demanders after the auction is successful.
Preferably, the checking mechanism checks and verifies the authenticity of the information submitted by the spectrum provider, the spectrum provider and the spectrum demander and verifies the transaction settlement data during the whole auction transaction process.
The invention has the beneficial effects that:
(1) The auction theory is applied to a dynamic spectrum sharing scene, a spectrum transaction platform and a channel for direct transaction with a supplier are provided for a user by writing an auction algorithm into an intelligent contract, a spectrum provider uploads the relevant information of idle spectrum owned by the spectrum provider for sale by calling the intelligent contract, and a buyer can participate in spectrum auction by responding to the intelligent contract. Not only saves the intermediate time of the transaction, but also improves the utilization rate of the frequency spectrum;
(2) The invention well promotes the sharing of electronic information by using a block chain technology, and the reliable operation of a distributed non-central node participation mechanism is ensured by an intelligent contract algorithm;
(3) An interference graph among buyers is added into an intelligent contract auction algorithm, so that a plurality of buyers which do not interfere with each other on the same frequency are used as the winner of the auction to multiplex the frequency spectrum, the utilization rate of the frequency spectrum is improved, and the possibility of interference of the auction result due to the fact that the buyers are communicated with each other is reduced; meanwhile, public tender prices are added in the auction process to cover the real tender prices of the buyers so as to reduce the confidence provided for other bidders, prevent malicious collusion bidding and improve the fairness of the auction; the potential cost of the seller and the buyer when the auction occurs is considered, the income brought to the buyer and the seller by the auction is also considered, and the benefits of the buyer and the seller are ensured;
(4) The invention solves the problem that the safety and the benefit are difficult to be taken into account under the distributed spectrum sharing scene, namely under the condition of ensuring transaction safety and overall profit, spectrum hoarding caused by malicious bidding can be avoided, the spectrum utilization rate is effectively improved, the optimal allocation of spectrum resources is promoted, meanwhile, the unreliable behaviors of users are restrained, the individual benefit and good experience of the users are ensured, the participation degree and the participation satisfaction degree of the users are improved, and the popularization of the dynamic spectrum sharing technology is facilitated.
Drawings
Fig. 1 is a flowchart of a heterogeneous spectrum dynamic sharing method provided by the present invention;
fig. 2 is a timing diagram illustrating a heterogeneous spectrum dynamic sharing method according to the present invention;
fig. 3 is a spectrum interference diagram generated by the heterogeneous spectrum dynamic sharing method provided in the present invention;
fig. 4 is a structural diagram of a heterogeneous spectrum dynamic sharing system provided by the present invention;
Detailed Description
In order to make the objects, technical solutions and advantages of the present invention more clearly and completely apparent, the technical solutions in the embodiments of the present invention will be described below with reference to the accompanying drawings in the embodiments of the present invention, and it is obvious that the described embodiments are only a part of the embodiments of the present invention, and not all of the embodiments. All other embodiments, which can be derived by a person skilled in the art from the embodiments given herein without making any creative effort, shall fall within the protection scope of the present invention.
Example 1
As shown in fig. 1 and fig. 2, the method for dynamically sharing a heterogeneous spectrum based on a block chain intelligent contract according to the present embodiment includes the following steps:
s1: the frequency spectrum provider (namely the seller) submits auction-related information to the intelligent contract and pays a deposit; after the deadline submission time is reached and before the auction related information announcement begins, the intelligent contract sorts the auctioned frequency bands from large to small according to the bandwidth to generate a frequency spectrum auction sequence, and carries out sequential auctions on the frequency spectrums according to the sequence of the frequency spectrum auction sequence;
s2: uploading transmission power, use time and position information by a frequency spectrum demander (namely a buyer), eliminating the buyer which does not meet the requirements through an intelligent contract interference map generating function and generating a frequency spectrum interference map;
s3: the buyer encrypts and submits the tender price, and transfers money to an intelligent contract account, wherein the transfer amount is the public tender price; wherein the public tender price is greater than the tender price;
s4: revealing a seller base price and a buyer bid price; if the bid price of the buyer is less than the bottom price of the seller, the buyer is directly eliminated; the remaining buyers select winners through a winner determination function by the intelligent contract, determine the payment price of the winner group through the payment price determination function, and then execute refund operation according to the payment price and issue spectrum licenses for the winner group;
s5: repeating the steps S2, S3 and S4 until all the frequency spectrum auctions of the frequency spectrum auction sequence are finished, and ending the current auction epoch;
s6: and packaging all auction processes and results into blocks, and uploading the blocks to a block chain.
In particular, the method comprises the following steps of, the spectrum provider set in step S1 provided in the embodiment of the present invention is SP = { SP = { (SP) }i I =1,2,. N }, and the set of spectrum requirers is SR = { SR =i I =1,2,. -, m }, with auction-related information being Ii =H(sli |ri ) (ii) a In which sl isi The system is a spectrum certificate which comprises auction spectrum information and an affiliation right certificate; r isi The seller pre-estimates the frequency spectrum, namely the bottom price, and the setting of the bottom price can resist malicious collusion among partial buyers, so that the loss of the seller is reduced; h (-) is an encryption function.
In step S1, sequential auctions are performed on the spectrum in the order of the spectrum auction sequence, which is in accordance with the preference of the buyer and the seller, because the bidder can more clearly observe the previous auction result to make his own policy. Moreover, the sequential auction can be adopted for the seller, so that the buyer who fails in the previous bidding can raise the bid, and the income of the seller is increased.
Specifically, in step S2 provided by the embodiment of the present invention, the communication model between the seller and the buyer can be regarded as the transmitter and receiver models. In this stage, the buyer sr firsti Submitting a transmission power Pi Interference threshold
Figure RE-GDA0003897757100000071
Position xi Then, the intelligent contract calculates the interference distance by the interference graph generating function
Figure RE-GDA0003897757100000072
Namely that
Figure RE-GDA0003897757100000073
The interference distance refers to a radius of an interference range of a channel used by a buyer, and gamma is an antenna correlation constant alpha, a path loss factor and a constant.
Then generating an interference map by the interference distance
Figure RE-GDA0003897757100000081
The specific method comprises the following steps: with buyer coordinate position xi As the center of a circle and the interference distance
Figure RE-GDA0003897757100000082
The circular area with radius is the interference range of the buyer, if the interference ranges of two buyers overlap, the following steps are performed:
Figure RE-GDA0003897757100000083
judging that the two buyers have interference relationship in the interference graph and generating interference relationship evaluationDetermining the result, simultaneously taking the interference evaluation result as a parameter, and recording the result into a spectrum interference graph in a matrix form
Figure RE-GDA0003897757100000089
Performing the following steps;
specifically, in step S3 provided in the embodiment of the present invention, the buyer sri For the bidding spectrum sli Generating a true estimate v based on a utility estimate of the spectrumi Then based on this real value vi Selecting a scaling value bi , bi ≥vi And encrypted H (b)i ) Submitted to the intelligent contract, H (-) is a cryptographic function. Under the condition of not changing a block chain bottom mechanism, when a buyer pays a bidding price to a contract account, the amount of money transferred is recorded on a chain, and relevant bidding information is provided for bidders bidding later, so that the bidders bidding later are more likely to win the auction, and the fairness guarantee of the auction is lacked. Therefore, after sealing the bid price, the buyer needs to directly pay the amount of money larger than the bid price to the contract account to cover up the real bid price of the buyer and reduce the information which is possibly acquired by the coming person, and the price is called as the public bid price and is recorded by the intelligent contract.
Specifically, in step S4 provided in the embodiment of the present invention, the interference graph is first solved through a graph coloring algorithm
Figure RE-GDA0003897757100000084
All independent sets, then the intelligent contract selects one independent set as a winner according to the seller's own policy by using the seller to submit an optimization function. Suppose that
Figure RE-GDA0003897757100000085
Is the seller spi The seller's policy is to select the combination that maximizes his own profit as the winner group Mwin The winner group can reuse the frequency band, wherein
Figure RE-GDA0003897757100000086
Is auction channel hi Is determined by the interference pattern of (a),
Figure RE-GDA0003897757100000087
is the independent set user corresponding bid.
Finally, the intelligent contract determines the payment price p of the buyer by means of a payment price determining functioni I.e. by
Figure RE-GDA0003897757100000088
Since the buyer has paid the amount equivalent to the overt bid price in step S2, for the winning buyer, sri ∈Mwin The intelligent contract needs to refund the difference between the public tender price and the payment price; for buyers not winning any winning bid, i.e. for which no bid is available
Figure RE-GDA0003897757100000093
The smart contract requires refunding all payment amounts.
In this embodiment, assuming that there is a seller auctioning its own spectrum, and the auction base price set by the seller is r =5, there are seven buyers participating in the bidding auction of the spectrum, and the bid price generated by each buyer according to the estimated real value is b1 =5、b2 =6、b3 =9、b4 =16、b5 =25、b6 =14、 b7 =3。
Wherein, due to b7 And r, therefore, the seventh user is eliminated and cannot participate in bidding, and the rest six users pay the public bidding price and continue bidding.
At this time, the interference graph generated by the six buyers is shown in FIG. 3, and the independent set generated according to the interference graph is M1 ={w1 ,w3 }、M2 ={w1 ,w6 }、M3 ={w2 ,w4 ,w6 }、M4 ={w3 ,w4 }、M5 ={w5 ,w6 }. Each is calculated from an independent setRespectively, the total bid prices are
Figure RE-GDA0003897757100000091
Figure RE-GDA0003897757100000092
The result is that the auction winning set is M5 Wherein w is5 、w6 Two users may share the segment of spectrum.
The related algorithm is designed aiming at the frequency spectrum auction, and the algorithm can realize the frequency spectrum reuse among users with complementary interference under heterogeneous frequency spectrums, thereby improving the frequency spectrum utilization rate; and the high-efficiency auction of the frequency spectrum which resists collusion among users can be realized. Through testing, the designed algorithm is effective, and the purpose of avoiding risks can be achieved.
Example 2
As shown in fig. 4, the main technical solution of this embodiment is substantially the same as that of embodiment 1, and the features that are not explained in this embodiment adopt the explanations in embodiment 1, which are not described herein again. This example differs from example 1 in that:
the embodiment also discloses a heterogeneous spectrum dynamic sharing system based on the block chain intelligent contract, which includes:
the global block chain comprises a spectrum provider and an inspection mechanism, and is used for recording a global account book, spectrum provider registration, user registration and allocation;
the regional block chain comprises a spectrum supplier and a user and is used for carrying out spectrum auction, and auction results are uploaded to the global block chain for recording;
in a regional block chain, a spectrum provider includes a spectrum provider and/or a user, and a spectrum demander is a user;
the division of the regional block chain is divided according to the number of users, and the number of the users in each region is basically the same.
Specifically, the intelligent contract is created by a spectrum provider and deployed to a server system.
Specifically, the intelligent contract receives and displays relevant auction information from the spectrum supplier, the spectrum provider and the spectrum demander, and performs payment settlement on the spectrum supplier, the spectrum provider and the spectrum demander after the auction is successful.
Specifically, in the whole auction transaction process, the checking mechanism can check and verify the authenticity of the information submitted by the spectrum supplier, the spectrum provider and the spectrum demander, and verify and check transaction settlement data.
Variations and modifications to the above-described embodiments may occur to those skilled in the art, which fall within the scope and spirit of the above description. Therefore, the present invention is not limited to the specific embodiments disclosed and described above, and some modifications and variations of the present invention should fall within the scope of the claims of the present invention. Furthermore, although specific terms are employed herein, they are used in a generic and descriptive sense only and not for purposes of limitation.

Claims (10)

1. A heterogeneous spectrum dynamic sharing method based on a block chain intelligent contract is characterized by comprising the following steps:
s1: the frequency spectrum provider is specifically a seller, and the seller submits auction related information to the intelligent contract and pays a deposit; after the deadline submission time is reached and before the auction related information announcement begins, the intelligent contract sorts the auctioned frequency bands from large to small according to the bandwidth to generate a frequency spectrum auction sequence, and carries out sequential auctions on the frequency spectrums according to the sequence of the frequency spectrum auction sequence;
s2: the method comprises the following steps that a frequency spectrum demander, specifically a buyer uploads transmission power, use time and position information, an interference distance is calculated through an intelligent contract interference map generating function, and a frequency spectrum interference map is generated according to the interference distance;
s3: the buyer encrypts and submits the tender price, and transfers money to an intelligent contract account, wherein the transfer amount is the public tender price; wherein the public tender price is greater than the tender price;
s4: revealing a seller base price and a buyer bid price; if the bid price of the buyer is less than the bottom price of the seller, the buyer is directly eliminated; the remaining buyers select winners from the intelligent contract through a winner determining function, then the payment price of the winner group is determined through the payment price determining function of the intelligent contract, then refund operation is carried out according to the payment price, and spectrum licenses are issued to the winner group;
s5: repeating the steps S2, S3 and S4 until all the frequency spectrum auctions of the frequency spectrum auction sequence are finished, and ending the current auction epoch;
s6: and packaging all auction processes and results into blocks, and uploading the blocks to a block chain.
2. The method according to claim 1, wherein in step S1, the spectrum provider set is SP = { SP = SPi I =1,2,. N }, the auction-related information being Ii =H(sli |ri ) In the step S2, the operation of the operation, the set of spectrum requirers is SR = { SR =i I =1,2, ·, m }; wherein, sl isi The auction system is a spectrum certificate which comprises auction spectrum information and belonging right certification; r isi Is the seller's pre-valuation of the spectrum, i.e., the base price; h (-) is an encryption function.
3. The method as claimed in claim 2, wherein the interference distance is calculated in step S2 according to the smart contract obtained from the buyer sri Submitted transmission power Pi Interference threshold
Figure FDA0003846411630000011
And position xi Calculating the buyer sr through the interference pattern generating functioni Interference distance of
Figure FDA0003846411630000012
Namely, it is
Figure FDA0003846411630000021
The interference distance refers to a radius of an interference range of a channel used by a buyer, gamma is an antenna correlation constant, and alpha is a path loss factor and is a constant.
4. The method as claimed in claim 3, wherein in step S2, a spectrum interference map is generated according to the interference distance
Figure FDA0003846411630000022
The specific method comprises the following steps: with buyer coordinate position xi As the center of a circle and the interference distance
Figure FDA0003846411630000023
The circular area with the radius is the interference range of the buyer, and if the interference ranges of two buyers are overlapped, the interference range of the buyer is as follows:
Figure FDA0003846411630000024
judging that the two buyers have interference relationship in the interference graph, generating an interference relationship evaluation result, taking the interference evaluation result as a parameter, and recording the interference relationship evaluation result into a spectrum interference graph in a matrix form
Figure FDA0003846411630000025
The preparation method comprises the following steps of (1) performing;
and repeating the operations until the interference relationship evaluation is carried out on the buyers.
5. The method of claim 4, wherein in step S3, the buyer sr is in a dynamic sharing modei According to the spectrum sl of the bidi To generate a true estimate vi Then based on this real value vi Selecting a scaling value bi And b is ai ≥vi And will be paired with b by an encryption function H (-)i Encrypting to obtain H (b)i ) Then will beH(bi ) And submitting to the intelligent contract.
6. The method for dynamically sharing heterogeneous spectrum according to claim 5, wherein in step S4, the winner determination function comprises: solving spectral interference graph through graph coloring algorithm
Figure FDA0003846411630000026
All independent sets are submitted to an optimization function by an intelligent contract through a seller, and one independent set is selected as a winner group M according to own strategies of the sellerwin
Wherein the seller spi Has an optimization function of
Figure FDA0003846411630000027
Winner group Mwin The buyers in the system can multiplex the same frequency band;
Figure FDA0003846411630000028
is auction channel hi Is determined by the interference pattern of (a),
Figure FDA0003846411630000029
is the corresponding bid of the independent buyer in focus.
7. The method for dynamically sharing heterogeneous spectrum according to claim 6, wherein the intelligent contract determines the payment price p of the buyer through a payment price determining function in step S4i I.e. by
Figure FDA0003846411630000031
If sri ∈Mwin The smart contract then requires a refund to disclose the difference between the tender price and the payment price to buyer sri (ii) a If the buyer does not win the bid, the intelligent contractAll payment to the buyer is refunded.
8. A system for dynamically sharing heterogeneous spectrum based on a blockchain intelligent contract, which applies a method for dynamically sharing heterogeneous spectrum based on a blockchain intelligent contract according to any one of claims 1 to 7, comprising:
the global block chain comprises a spectrum provider and an inspection mechanism, and is used for recording a global account book, spectrum provider registration, user registration and allocation;
the regional block chain comprises a spectrum supplier and a user and is used for carrying out spectrum auction, and auction results are uploaded to the global block chain to be recorded;
in a regional block chain, a spectrum provider includes a spectrum provider and/or a user, and a spectrum demander is a user;
the division of the regional block chain is divided according to the number of users, and the number of the users in each region is basically the same.
9. The system according to claim 8, wherein the system further comprises: the intelligent contract receives and displays relevant auction information from the spectrum suppliers, the spectrum providers and the spectrum demanders, and performs payment settlement on the spectrum suppliers, the spectrum providers and the spectrum demanders after the auction is successful.
10. The system according to claim 9, wherein the system further comprises: in the whole auction transaction process, the checking mechanism checks and verifies the authenticity of the information submitted by the spectrum supplier, the spectrum provider and the spectrum demander, and verifies the transaction settlement data.
CN202211131229.XA2022-09-152022-09-15Heterogeneous spectrum dynamic sharing method and system based on block chain intelligent contractPendingCN115482071A (en)

Priority Applications (1)

Application NumberPriority DateFiling DateTitle
CN202211131229.XACN115482071A (en)2022-09-152022-09-15Heterogeneous spectrum dynamic sharing method and system based on block chain intelligent contract

Applications Claiming Priority (1)

Application NumberPriority DateFiling DateTitle
CN202211131229.XACN115482071A (en)2022-09-152022-09-15Heterogeneous spectrum dynamic sharing method and system based on block chain intelligent contract

Publications (1)

Publication NumberPublication Date
CN115482071Atrue CN115482071A (en)2022-12-16

Family

ID=84423700

Family Applications (1)

Application NumberTitlePriority DateFiling Date
CN202211131229.XAPendingCN115482071A (en)2022-09-152022-09-15Heterogeneous spectrum dynamic sharing method and system based on block chain intelligent contract

Country Status (1)

CountryLink
CN (1)CN115482071A (en)

Cited By (7)

* Cited by examiner, † Cited by third party
Publication numberPriority datePublication dateAssigneeTitle
US20240306019A1 (en)*2013-03-152024-09-12Digital Global Systems, Inc.Systems and methods for automated financial settlements for dynamic spectrum sharing
US12375194B2 (en)2013-03-152025-07-29Digital Global Systems, Inc.Systems, methods, and devices for electronic spectrum management
US12380793B1 (en)2018-08-242025-08-05Digital Global Systems, Inc.Systems, methods, and devices for automatic signal detection based on power distribution by frequency over time
US12388690B2 (en)2013-03-152025-08-12Digital Global Systems, Inc.Systems, methods, and devices for electronic spectrum management for identifying open space
US12387608B1 (en)2017-01-232025-08-12Digital Global Systems, Inc.Unmanned vehicle recognition and threat management
US12401433B2 (en)2013-03-152025-08-26Digital Global Systems, Inc.Systems and methods for spectrum analysis utilizing signal degradation data
US12407914B1 (en)2017-01-232025-09-02Digital Global Systems, Inc.Systems, methods, and devices for unmanned vehicle detection

Cited By (9)

* Cited by examiner, † Cited by third party
Publication numberPriority datePublication dateAssigneeTitle
US20240306019A1 (en)*2013-03-152024-09-12Digital Global Systems, Inc.Systems and methods for automated financial settlements for dynamic spectrum sharing
US12356206B2 (en)*2013-03-152025-07-08Digital Global Systems, Inc.Systems and methods for automated financial settlements for dynamic spectrum sharing
US12375194B2 (en)2013-03-152025-07-29Digital Global Systems, Inc.Systems, methods, and devices for electronic spectrum management
US12388690B2 (en)2013-03-152025-08-12Digital Global Systems, Inc.Systems, methods, and devices for electronic spectrum management for identifying open space
US12401433B2 (en)2013-03-152025-08-26Digital Global Systems, Inc.Systems and methods for spectrum analysis utilizing signal degradation data
US12387608B1 (en)2017-01-232025-08-12Digital Global Systems, Inc.Unmanned vehicle recognition and threat management
US12407914B1 (en)2017-01-232025-09-02Digital Global Systems, Inc.Systems, methods, and devices for unmanned vehicle detection
US12380793B1 (en)2018-08-242025-08-05Digital Global Systems, Inc.Systems, methods, and devices for automatic signal detection based on power distribution by frequency over time
US12437628B2 (en)2018-08-242025-10-07Digital Global Systems, Inc.Systems, methods, and devices for automatic signal detection based on power distribution by frequency over time

Similar Documents

PublicationPublication DateTitle
CN115482071A (en)Heterogeneous spectrum dynamic sharing method and system based on block chain intelligent contract
CN110503533B (en) A multi-round auction method for heterogeneous spectrum based on blockchain
RU2475844C1 (en)Mobile coupons utilising peer to peer ranging
US20220180426A1 (en)Method and system for sealed bid auctions
US8744924B2 (en)System and method for the efficient clearing of spectrum encumbrances
Xiong et al.Anti-collusion data auction mechanism based on smart contract
CN111402043B (en) A blockchain-based vehicle networking data transaction method
WO2019040712A1 (en)Method and system for a decentralized marketplace auction
CN104794652A (en)Online auction method and system for establishing bidding reward mechanism
CN113962714B (en) An auction tracing method and implementation system based on Ethereum privacy protection
CN104794651A (en)Freezing and unfreezing method and system of auction margin along with bidding behavior
CN109118102B (en)Fair bidirectional combined cloud resource allocation method and system based on block chain
CN110326017A (en)The system and method for reversed sealed bid auction
CN110020928A (en)Anti- conspiracy attack network auction method based on block chain intelligence contract
CN104794650A (en)Online auction method and system for establishing bidding reward mechanism
CN108496195A (en) Method and system for sealed bid auction
CN105531735A (en)Preferential internet auction system on basis of bid participation time
CN113379519A (en)Credible auction method and system based on block chain
CN117078256A (en)Smart grid power transaction privacy protection method based on blockchain and account mapping
Zhang et al.Designing secure and dependable mobile sensing mechanisms with revenue guarantees
US20240403950A1 (en)Bidding method and system
Husain et al.BlockCharge: A blockchain-based auction framework for EV charging via mobile stations
CN112418854A (en)Energy-saving certificate management method based on block chain technology
CN110348702A (en)Electric energy distribution method between a kind of more micro-capacitance sensors
KR20230070857A (en)Method of trading resell goods based on blockchain

Legal Events

DateCodeTitleDescription
PB01Publication
PB01Publication
SE01Entry into force of request for substantive examination
SE01Entry into force of request for substantive examination

[8]ページ先頭

©2009-2025 Movatter.jp