



技术领域technical field
本发明属于电力设备测量技术领域,具体涉及一种基于Hausdorff的电流互感器异常识别方法、系统。The invention belongs to the technical field of power equipment measurement, and in particular relates to a Hausdorff-based current transformer abnormality identification method and system.
背景技术Background technique
电流互感器(Current transformers)是电力系统中的重要测量设备。其一次绕组串联在输变电主回路内,二次绕组则根据不同要求,分别接入测量仪表、继电保护或自动装置等设备,用于将一次回路的大电流变化为二次侧小电流,供测控保护计量设备安全采集。其准确可靠对于电力系统的安全运行、控制保护、电能计量、贸易结算具有重大意义。Current transformers are important measuring devices in power systems. Its primary winding is connected in series in the main circuit of power transmission and transformation, and the secondary winding is connected to measuring instruments, relay protection or automatic devices and other equipment according to different requirements, which is used to change the large current of the primary circuit into a small current of the secondary side. , for the safe collection of measurement, control and protection metering equipment. Its accuracy and reliability are of great significance to the safe operation, control and protection, electric energy measurement and trade settlement of the power system.
区别于电压互感器,电流互感器因:1、电流互感器群体内物理关系相对复杂,物理约束条件隐蔽,而电压互感器群体物理关系突显。变电站内同一节点同相的电压互感器测量值应保持一致,可以群体间相互比较测量值进行判断,而线路电流相互独立,不能相互比较测量值来实现。2、稳态变电站内电压幅值为110%-120%的额定电压变化,电压波动较小,不同变电站内电压整体数据特征保持一致,电压信息特征突显且具有普适性,易于实现基于电压信号的信息物理融合。而不同变电站内线路电流变化相互独立,幅值从0%-120%额定电流变化,波动极大,而线路电流具有信息特征隐蔽,因此电流互感器的计量误差状态在线监测难以实现。Different from voltage transformers, current transformers are due to: 1. The physical relationship in the current transformer group is relatively complex, and the physical constraints are hidden, while the physical relationship in the voltage transformer group is prominent. The measured values of the voltage transformers in the same phase of the same node in the substation should be consistent, which can be judged by comparing the measured values between groups, but the line currents are independent of each other, and cannot be realized by comparing the measured values with each other. 2. The voltage amplitude in the steady-state substation is 110%-120% of the rated voltage change, the voltage fluctuation is small, the overall data characteristics of the voltage in different substations are consistent, the characteristics of the voltage information are prominent and universal, and it is easy to implement based on the voltage signal information-physical fusion. The line current changes in different substations are independent of each other, and the amplitude varies from 0% to 120% of the rated current, which fluctuates greatly, and the line current has hidden information characteristics, so it is difficult to realize the online monitoring of the metering error status of the current transformer.
发明内容Contents of the invention
为解决电流互感器的计量误差状态在线监测难的问题,在本发明的第一方面提供了一种基于Hausdorff的电流互感器异常识别方法,包括:获取电流互感器的运行电流数据,对其进行多阶差分并筛选出平稳电流数据;基于所述平稳电流数据,构建一条或多条线路的三相不对称电流分量;根据所述三相不对称电流分量,计算同一母线下每条线路与其他线路的三相不对称电流分量的不平衡度的Hausdorff距离;基于所述平稳电流数据,构建线路电流的特征参量,并利用主成分分析法构建计算模型;根据所述计算模型计算每条线路的评估统计量及其变化量;根据同一母线下每条线路与其他线路的三相不对称电流分量的不平衡度的Hausdorff距离以及评估统计量的变化量,利用第一SVM算法构建线路异常识别模型;基于基尔霍夫电流定律和异常线路的Hausdorff距离,利用第二SVM算法构建相序诊断模型;利用线路异常识别模型和相序诊断模型,对待评估线路的一个或多个电流互感器进行异常识别。In order to solve the difficult problem of on-line monitoring of the metering error state of the current transformer, the first aspect of the present invention provides a method for identifying abnormalities of the current transformer based on Hausdorff, including: obtaining the operating current data of the current transformer, and performing Multi-order difference and screen out the steady current data; based on the steady current data, construct the three-phase asymmetric current components of one or more lines; calculate the relationship between each line under the same bus and other The Hausdorff distance of the unbalance degree of the three-phase asymmetric current component of the line; based on the steady current data, construct the characteristic parameter of the line current, and utilize the principal component analysis method to construct a calculation model; calculate the distance of each line according to the calculation model Evaluation statistics and their variation; according to the Hausdorff distance of the unbalance degree of three-phase asymmetric current components between each line and other lines under the same busbar and the variation of evaluation statistics, use the first SVM algorithm to construct a line anomaly identification model ;Based on Kirchhoff's current law and the Hausdorff distance of the abnormal line, the second SVM algorithm is used to construct the phase sequence diagnosis model; using the line abnormality identification model and the phase sequence diagnosis model, one or more current transformers of the line to be evaluated are abnormal identify.
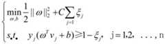
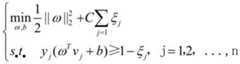
在本发明的一些实施例中,所述根据同一母线下每条线路与其他线路的三相不对称电流分量的不平衡度的Hausdorff距离以及评估统计量的变化量,利用第一SVM算法构建线路异常识别模型包括:根据同一母线下每条线路与其他线路的三相不对称电流分量的不平衡度的Hausdorff距离以及评估统计量的变化量,构建特征向量;确定第一SVM算法的目标函数、核函数,并根据其构建线路异常识别模型;所述目标函数表示为:In some embodiments of the present invention, the first SVM algorithm is used to construct the line according to the Hausdorff distance of the unbalance degree of the three-phase asymmetric current component between each line and other lines under the same bus and the variation of the evaluation statistic The abnormal identification model includes: constructing a feature vector according to the Hausdorff distance of the unbalance degree of the three-phase asymmetric current component between each line and other lines under the same busbar and the variation of the evaluation statistics; determining the objective function of the first SVM algorithm, Kernel function, and construct line anomaly recognition model according to it; Described objective function is expressed as:
, ,
其中,为权重,yj∈{+1,-1}表示线路j为正常、异常的类别标签,vj为线路j的特征向量;为阈值;C表示惩罚系数,表示松弛因子;所述核函数表示为:,为高斯径向基核函数。in, is the weight,yj ∈ {+1,-1} indicates that the line j is a normal and abnormal category label, andvj is the feature vector of the line j; is the threshold;C represents the penalty coefficient, Represents the relaxation factor; the kernel function is expressed as: , is a Gaussian radial basis kernel function.
进一步的,采用金鹰优化算法对第一SVM模型中的C、g参数进行寻优。Further, the Golden Eagle optimization algorithm is used to optimize the C and g parameters in the first SVM model.
在本发明的一些实施例中,所述基尔霍夫电流定律和异常线路的Hausdorff距离,利用第二SVM算法构建相序诊断模型包括:基于基尔霍夫电流定律,计算异常线路的三相电流与同一节点上其余线路的三相电流的Hausdorff距离;计算异常线路中的每相电流对评估统计量的贡献率变化量;基于贡献率变化量及Hausdorff距离,采用第二SVM构建相序识别模型。In some embodiments of the present invention, the Kirchhoff current law and the Hausdorff distance of the abnormal line, using the second SVM algorithm to construct the phase sequence diagnosis model includes: based on Kirchhoff's current law, calculating the three-phase The Hausdorff distance between the current and the three-phase current of other lines on the same node; calculate the contribution rate change of each phase current in the abnormal line to the evaluation statistics; based on the contribution rate change and Hausdorff distance, use the second SVM to construct phase sequence identification Model.
进一步的,所述贡献率通过如下方式计算:Further, the contribution rate is calculated as follows:
, ,
其中,为t时刻下贡献率数组cont(t)的第个元素,其也是第台电流互感器对统计量Q(t)的贡献率;表示为t时刻第相互感器标准化后的实时数据;为在主元空间的投影。in, is the first element of the contribution rate arraycont (t) at time t element, which is also the first The contribution rate of the current transformer to the statisticQ (t); Expressed as the first time at time t Real-time data after mutual sensor standardization; for Projection in pivot space.
在上述的实施例中,所述根据所述三相不对称电流分量,计算同一母线下每条线路与其他线路的三相不对称电流分量的不平衡度的Hausdorff距离包括:基于三相不对称电流分量,计算每条线路的零序不平衡度和负序不平衡度;对于同一母线上的线路,计算同一周期内,每条线路与其他线路的零序不平衡、负序不平衡特征参量间的Hausdorff距离。In the above-mentioned embodiment, according to the three-phase asymmetric current component, calculating the Hausdorff distance of the unbalance degree of the three-phase asymmetric current component between each line under the same bus and other lines includes: based on the three-phase asymmetry Current component, calculate the zero-sequence unbalance degree and negative-sequence unbalance degree of each line; for the lines on the same bus, calculate the zero-sequence unbalance and negative-sequence unbalance characteristic parameters of each line and other lines in the same cycle The Hausdorff distance between .
本发明的第二方面,提供了一种基于Hausdorff的电流互感器异常识别系统,包括:获取模块,用于获取电流互感器的运行电流数据,对其进行多阶差分并筛选出平稳电流数据;基于所述平稳电流数据,构建一条或多条线路的三相不对称电流分量;根据所述三相不对称电流分量,计算同一母线下每条线路与其他线路的三相不对称电流分量的不平衡度的Hausdorff距离;计算模块,用于基于所述平稳电流数据,构建线路电流的特征参量,并利用主成分分析法构建计算模型;根据所述计算模型计算每条线路的评估统计量及其变化量;第一构建模块,用于根据同一母线下每条线路与其他线路的三相不对称电流分量的不平衡度的Hausdorff距离以及评估统计量的变化量,利用第一SVM算法构建线路异常识别模型;第二构建模块,用于基于基尔霍夫电流定律和异常线路的Hausdorff距离,利用第二SVM算法构建相序诊断模型;识别模块,用于利用线路异常识别模型和相序诊断模型,对待评估线路的一个或多个电流互感器进行异常识别。The second aspect of the present invention provides a Hausdorff-based current transformer abnormality identification system, including: an acquisition module, used to acquire the operating current data of the current transformer, perform multi-order difference to it, and filter out the stable current data; Based on the steady current data, construct the three-phase asymmetric current components of one or more lines; calculate the difference between each line under the same busbar and the three-phase asymmetric current components of other lines according to the three-phase asymmetric current components The Hausdorff distance of the degree of balance; the calculation module is used to construct the characteristic parameters of the line current based on the stable current data, and utilize the principal component analysis method to construct a calculation model; calculate the evaluation statistics and its value of each line according to the calculation model Variation; the first building block is used to utilize the first SVM algorithm to construct the abnormality of the line according to the Hausdorff distance of the unbalance degree of the three-phase asymmetrical current component of each line and other lines under the same busbar and the variation of the evaluation statistic Identification model; the second building block, used to construct a phase sequence diagnosis model based on Kirchhoff's current law and the Hausdorff distance of the abnormal line using the second SVM algorithm; identification module, used to use the line abnormality identification model and the phase sequence diagnosis model , to identify abnormality of one or more current transformers of the line to be evaluated.
本发明的第三方面,提供了一种电子设备,包括:一个或多个处理器;存储装置,用于存储一个或多个程序,当所述一个或多个程序被所述一个或多个处理器执行,使得所述一个或多个处理器实现本发明在第一方面提供的基于Hausdorff的电流互感器异常识别方法。A third aspect of the present invention provides an electronic device, including: one or more processors; a storage device for storing one or more programs, when the one or more programs are used by the one or more The processor executes, so that the one or more processors implement the Hausdorff-based current transformer abnormality identification method provided in the first aspect of the present invention.
本发明的第四方面,提供了一种计算机可读介质,其上存储有计算机程序,其中,所述计算机程序被处理器执行时实现本发明在第一方面提供的基于Hausdorff的电流互感器异常识别方法。A fourth aspect of the present invention provides a computer-readable medium on which a computer program is stored, wherein, when the computer program is executed by a processor, the Hausdorff-based current transformer abnormality provided in the first aspect of the present invention is realized recognition methods.
本发明的有益效果是:The beneficial effects of the present invention are:
本发明提出了一种基于Hausdorff的电流互感器异常识别方法,依据电流互感器量程以及电流波动筛选稳定段数据;依据预处理后的稳定三相电流数据,分别采用Hausdorff距离算法、Q统计量算法计算出距离线路的Hausdorff距离距离比值及Q统计量变化量ΔQ;然后采用改进的SVM算法构建线路异常识别模型;基于异常线路模型,采用Hausdorff距离算法及贡献率指标变化量Δconti(t)构建了异常相序的识别模型,从而实现从波动性大、特征隐蔽的线路电流数据中对异常互感器的在线识别。The present invention proposes a Hausdorff-based current transformer abnormal identification method, which screens the stable section data according to the current transformer range and current fluctuation; and uses the Hausdorff distance algorithm and the Q statistic algorithm respectively according to the preprocessed stable three-phase current data Calculate the Hausdorff distance distance ratio and the Q statistic variationΔQ from the line; then use the improved SVM algorithm to construct the line anomaly identification model; based on the abnormal line model, use the Hausdorff distance algorithm and the contribution rate index changeΔconti (t) to construct The identification model of abnormal phase sequence is established, so as to realize the online identification of abnormal transformers from the line current data with large fluctuations and hidden features.
附图说明Description of drawings
图1为本发明的一些实施例中的基于Hausdorff的电流互感器异常识别方法的基本流程示意图;Fig. 1 is the basic flowchart schematic diagram of the abnormal identification method of current transformer based on Hausdorff in some embodiments of the present invention;
图2为本发明的一些实施例中的基于Hausdorff的电流互感器异常识别方法的具体流程示意图;Fig. 2 is the specific flow diagram of the abnormal identification method of the current transformer based on Hausdorff in some embodiments of the present invention;
图3为本发明的一些实施例中的基于Hausdorff的电流互感器异常识别系统的结构示意图;Fig. 3 is a schematic structural diagram of a Hausdorff-based current transformer abnormality identification system in some embodiments of the present invention;
图4为本发明的一些实施例中的电子设备的结构示意图。Fig. 4 is a schematic structural diagram of an electronic device in some embodiments of the present invention.
具体实施方式detailed description
以下结合附图对本发明的原理和特征进行描述,所举实例只用于解释本发明,并非用于限定本发明的范围。The principles and features of the present invention are described below in conjunction with the accompanying drawings, and the examples given are only used to explain the present invention, and are not intended to limit the scope of the present invention.
参考图1,在本发明的第一方面,提供了一种基于Hausdorff的电流互感器异常识别方法,包括:S100.获取电流互感器的运行电流数据,对其进行多阶差分并筛选出平稳电流数据;基于所述平稳电流数据,构建一条或多条线路的三相不对称电流分量;根据所述三相不对称电流分量,计算同一母线下每条线路与其他线路的三相不对称电流分量的不平衡度的Hausdorff距离;S200.基于所述平稳电流数据,构建线路电流的特征参量,并利用主成分分析法构建计算模型;根据所述计算模型计算每条线路的评估统计量及其变化量;S300.根据同一母线下每条线路与其他线路的三相不对称电流分量的不平衡度的Hausdorff距离以及评估统计量的变化量,利用第一SVM算法构建线路异常识别模型;S400.基于基尔霍夫电流定律和异常线路的Hausdorff距离,利用第二SVM算法构建相序诊断模型;S500.利用线路异常识别模型和相序诊断模型,对待评估线路的一个或多个电流互感器进行异常识别。With reference to Fig. 1, in the first aspect of the present invention, a kind of current transformer abnormal identification method based on Hausdorff is provided, comprising: S100. Obtain the operating current data of current transformer, carry out multi-order difference to it and screen out the stable current data; based on the steady current data, construct the three-phase asymmetric current components of one or more lines; according to the three-phase asymmetric current components, calculate the three-phase asymmetric current components of each line and other lines under the same bus The Hausdorff distance of the degree of unbalance; S200. Based on the steady current data, construct the characteristic parameters of the line current, and use the principal component analysis method to construct a calculation model; calculate the evaluation statistics and changes thereof for each line according to the calculation model Quantity; S300. According to the Hausdorff distance of the unbalance degree of the three-phase asymmetric current component of each line and other lines under the same busbar and the variation of the evaluation statistics, use the first SVM algorithm to construct the line abnormality identification model; S400. Based on Kirchhoff's current law and the Hausdorff distance of the abnormal line, using the second SVM algorithm to construct a phase sequence diagnosis model; identify.
在本发明的一些实施例的步骤S100中,获取电流互感器的运行电流数据,对其进行多阶差分并筛选出平稳电流数据;具体地,采集电流互感器运行电流数据,采用一阶差分、二阶差分进行电流数据的预处理,筛选平稳电流数据;In step S100 of some embodiments of the present invention, the operating current data of the current transformer is obtained, multi-order difference is performed on it, and the stable current data is screened out; specifically, the operating current data of the current transformer is collected, and the first-order difference, The second-order difference preprocesses the current data and screens the stable current data;
对于电流互感器,当线路电流相较额定电流较低时,电流互感器本身误差较大,数据质量较低,因此筛取额定量程80%~120%的电流数据。同时,电网中电流波动较大,电流数据中将会存在较多的数据断点,因此对采集到的电流幅值数据依据公式(1)和公式(2)进行一阶、二阶差分处理,筛去电流数据断点。For the current transformer, when the line current is lower than the rated current, the error of the current transformer itself is relatively large, and the data quality is low, so the current data of 80%~120% of the rated range are screened. At the same time, the current in the power grid fluctuates greatly, and there will be more data breakpoints in the current data. Therefore, the first-order and second-order differential processing is performed on the collected current amplitude data according to formula (1) and formula (2). Screen out current data breakpoints.
一阶差分:; (1),First difference: ; (1),
二阶差分:; (2),Second order difference: ; (2),
其中,x(Ω)为电流幅值数据,Δ1x(Ω)、Δ2x(Ω)电流幅值数据一阶、二阶差分值,Ω为数据点。当、时,判断一阶、二阶数据平稳,其中、为设定的阈值。Among them,x (Ω) is the current amplitude data, Δ1x (Ω), Δ2x (Ω) the first-order and second-order difference values of the current amplitude data, and Ω is the data point. when , When , it is judged that the first-order and second-order data are stable, where , is the set threshold.
可以理解,基于一阶、二阶差分结果,筛选出平稳的电流数据。基于所述平稳电流数据,构建一条或多条线路的三相不对称电流分量;根据所述三相不对称电流分量,计算同一母线下每条线路与其他线路的三相不对称电流分量的不平衡度的Hausdorff距离;具体地,基于筛选的电流数据,构建线路的零序电流分量、负序电流分量,分别采用Hausdorff距离计算各线路间比值、;电网内电流数据波动大,其内暂态过程频发,幅值波动大,无固定规律,难以依据幅值相位特征实现运行误差监测模型构建。但是其负序不平衡度及零序不平衡度均为相对较为稳定,存在一定规律,因此可以依据负序不平衡、零序不平衡作为特征量实现模型构建。It can be understood that based on the first-order and second-order difference results, smooth current data are screened out. Based on the steady current data, construct the three-phase asymmetric current components of one or more lines; calculate the difference between each line under the same busbar and the three-phase asymmetric current components of other lines according to the three-phase asymmetric current components Hausdorff distance of balance degree; specifically, based on the screened current data, the zero-sequence current component and negative-sequence current component of the line are constructed, and the ratio between each line is calculated by using the Hausdorff distance , ; The current data in the power grid fluctuates greatly, and the internal transient process occurs frequently, with large amplitude fluctuations and no fixed rules. It is difficult to realize the construction of an operating error monitoring model based on the amplitude and phase characteristics. However, its negative sequence imbalance degree and zero sequence imbalance degree are relatively stable, and there are certain rules, so the model construction can be realized based on negative sequence imbalance and zero sequence imbalance as feature quantities.
具体地,依据预筛选后的三相电流建模数据,依据公式(3)将不对称的三相电流相量分解为对称的正序负序以及零序电流分量。Specifically, according to the pre-screened three-phase current modeling data, the asymmetric three-phase current phasor is decomposed into symmetrical positive-sequence negative-sequence and zero-sequence current components according to formula (3).
(3), (3),
其中,Ia是选取a相作为基准相,即为三相电流,为相应的a相正序、负序、零序分量。式中,运算子,。并且:Wherein,Ia is to select phase a as the reference phase, is the three-phase current, For the corresponding phase a positive sequence, negative sequence, zero sequence components. In the formula, the operator , . and:
则:。but: .
接着,提取特征参量:零序不平衡和负序不平衡;Next, extract the characteristic parameters: zero sequence imbalance and negative sequence imbalance;
零序不平衡:Zero sequence unbalance:
(4), (4),
负序不平衡:Negative sequence imbalance:
(5), (5),
基于公式(4)与公式(5)得到线路的零序不平衡度、负序不平衡度。Based on formula (4) and formula (5), the zero-sequence unbalance degree and negative-sequence unbalance degree of the line are obtained.
2)Hausdorff距离算法原理2) Hausdorff distance algorithm principle
Hausdorff距离是描述2点集之间相似程度的一种度量。假设存在2组点集:Hausdorff distance is a measure to describe the similarity between 2 point sets. Suppose there are 2 sets of points:
;Z={z1,z2,z3,…,zq} (6);则U、Z之间的Hausdorff距离为: ; Z={z1 , z2 , z3 ,…, zq } (6); then the Hausdorff distance between U and Z is:
H(U,Z)=max(h(U,Z),h(Z,U)) (7),H (U,Z)=max(h(U,Z),h(Z,U)) (7),
其中,。in, .
3)对于同一母线上的线路,计算同一周期内,各线路零序不平衡、负序不平衡特征参量间的Hausdorff距离。3) For the lines on the same bus, calculate the Hausdorff distance between the zero-sequence unbalance and negative-sequence unbalance characteristic parameters of each line in the same cycle.
①以零序不平衡度为例,计算各线路零序不平衡间的Hausdorff距离:①Taking the degree of zero-sequence unbalance as an example, calculate the Hausdorff distance between the zero-sequence unbalance of each line:
(8), (8),
式(8)中,n代表同一母线上的线路数,Hn1为第n条线路与第1条线路零序不平衡度的Hausdorff距离。In formula (8), n represents the number of lines on the same bus, andHn1 is the Hausdorff distance between the nth line and the first line's zero-sequence unbalance.
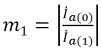
基于矩阵H,计算第j列Hausdorff距离比值:计算比值:(9),Based on the matrix H, calculate the j-th column Hausdorff distance ratio: calculate the ratio: (9),
式(9)中,rj为第j列的比值,Hmaxj=max{H1j,H2j …Hnj},m=1,2,…,n;j=1,2,…,n,n为线路数;j≠n,rj为第j列的比值。In formula (9),rj is the ratio of columnj ,Hmaxj =max{H1j ,H2j …Hnj }, m=1, 2,…, n; j=1, 2, ..., n, n is the number of lines;j ≠ n,rj is the ratio of thejth column.
②基于步骤①计算出各列线路零序不平衡度、负序不平衡度间的Hausdorff距离的比值、。②Based on
在本发明的一些实施例的步骤S200中,基于所述平稳电流数据,构建线路电流的特征参量,并利用主成分分析法构建计算模型;根据所述计算模型计算每条线路的评估统计量及其变化量;具体地,基于筛选稳定电流数据,以线路电流作为特征参量,采用PCA构建计算模型,计算正常模态下的评估标准量及线路实时统计量Q(t),计算各线路统计量的变化量ΔQ(t);更详细的步骤如下:In step S200 of some embodiments of the present invention, based on the steady current data, the characteristic parameters of the line current are constructed, and the calculation model is constructed by using the principal component analysis method; the evaluation statistics of each line are calculated according to the calculation model and Its variation; specifically, based on screening stable current data, using line current as a characteristic parameter, using PCA to construct a calculation model, and calculating the evaluation standard quantity under normal mode And line real-time statisticQ (t), calculate the variation ΔQ (t) of each line statistic; More detailed steps are as follows:
以80%~120%额定幅值下的电流数据为特征参量,采用PCA构建正常模态下的评估计算模型,计算评估统计量。Taking the current data at 80%~120% of the rated amplitude as the characteristic parameter, PCA is used to construct the evaluation calculation model in the normal mode, and the evaluation statistics are calculated .
1)以正常模态下的电流数据,构建正常模态下的样本集1) Use the current data in normal mode to construct a sample set in normal mode
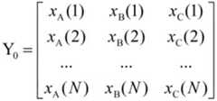
(10), (10),
其中N为采样点数。A、B、C表示三个相位,x表示样本中的采样电流数据。Where N is the number of sampling points. A, B, and C represent three phases, and x represents the sampling current data in the sample.
2)标准化处理2) Standardized processing
为了避免因为变量量纲的不同所带来的影响,首先需要对得到数据样本进行标准化处理,标准化后的数据矩阵为:In order to avoid the influence caused by the different dimensions of variables, it is first necessary to obtain data samples After standardization, the standardized data matrix is:
(11), (11),
其中N为采样点数,M为互感器数量。,,其中是矩阵Y0第M列向量的均值,,其中是矩阵Y0第M列向量的方差。Among them, N is the number of sampling points, and M is the number of transformers. , ,in is the mean value of the Mth column vector of matrix Y0 , , in is the variance of the vector in column M of matrix Y0 .
3)基于的协方差R进行奇异值分解,确定残差子空间的载荷矩阵pe。根据正常模态下的建模数据集及对应的残差子空间的载荷矩阵pe采用基于核密度估计的方法计算置信度下的评估标准量;根据实时数据集及对应的残差子空间的载荷矩阵pe计算实时统计量Q(t)。3) based on The covariance R of the singular value decomposition is performed to determine the loading matrixpe of the residual subspace. According to the modeling dataset in normal mode And the load matrix pe of the corresponding residual subspace uses the method based on kernel density estimation to calculate the evaluation standard quantity under the confidence level ; According to the real-time data set and the corresponding loading matrix pe of the residual subspace to calculate the real-time statisticsQ (t).
(12), (12),
式中,左侧R为协方差矩阵,右侧为奇异值分解,为协方差矩阵的特征值,并且排列顺序满足,[pm pe]表示特征向量矩阵;此时得出的特征向量矩阵[pm pe]为载荷矩阵P。通过累计方差贡献率构成主成分的载荷矩阵pm,其余构成残差的载荷矩阵。In the formula, the left side R is the covariance matrix, and the right side is the singular value decomposition, is the eigenvalue of the covariance matrix, and the arrangement order satisfies , [pm pe ] represents the eigenvector matrix; the obtained eigenvector matrix [pm pe ] at this time is the loading matrix P. The loading matrix pm of the principal component is constituted by the cumulative variance contribution rate, and the rest constitutes the loading matrix of the residual .
4)Q统计量的具体表现形式如下:4) The specific form ofQ statistics is as follows:
(13),基于式(11)和式(12)计算出线路的评估统计量。采集线路实时运行数据,基于上述模型,计算出各线路实时统计量Q(t)。 (13), calculate the evaluation statistics of the line based on formula (11) and formula (12) . Collect the real-time operation data of the line, and calculate the real-time statisticsQ (t) of each line based on the above model.
5)基于评估统计量与实时统计量Q(t),计算出各线路的统计量变化量ΔQ(t)。5) Based on evaluation statistics and the real-time statisticQ (t), calculate the statistic variation ΔQ (t) of each line.
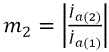
在本发明的一些实施例的步骤S300中,所述每条线路的三相不对称电流分量的不平衡度的Hausdorff距离以及评估统计量的变化量,利用第一SVM算法构建线路异常识别模型包括:S301.根据同一母线下每条线路与其他线路的三相不对称电流分量的不平衡度的Hausdorff距离以及评估统计量的变化量ΔQ(t),构建特征向量;In step S300 of some embodiments of the present invention, the Hausdorff distance of the unbalance degree of the three-phase asymmetric current component of each line and the variation of the evaluation statistic, using the first SVM algorithm to construct the line abnormality identification model includes : S301. According to the Hausdorff distance of the unbalance of the three-phase asymmetrical current components of each line and other lines under the same busbar and the variation ΔQ (t) of the evaluation statistic, construct the feature vector;
基于、、ΔQ(t)构建特征向量,采用SVM算法构建识别模型。以、、ΔQ(t)构建t时刻的特征向量v:based on , , ΔQ (t) to construct the feature vector, and use the SVM algorithm to construct the recognition model. by , , ΔQ (t) to construct the feature vectorv at time t:
(14); (14);
式(14)中,表示第j条线路与其他线路的零序不平衡Hausdorff距离比值,表示第j条线路与其他线路的负序不平衡度Hausdorff距离比值,ΔQ(t)为第j条线路的统计量的变化量;j=1,2,…,n,n为线路数量。In formula (14), Indicates the zero-sequence unbalanced Hausdorff distance ratio between the jth line and other lines, Indicates the Hausdorff distance ratio of the negative sequence unbalance between the jth line and other lines, ΔQ (t) is the change in the statistics of the jth line; j=1,2,...,n, n is the number of lines.
基于样本的特征参量,采用SVM模型寻求一个能将不同类别样本完全分开的最优超平面。考虑到数据中的离群点会严重影响SVM的分类性能,为使模型更加稳健,引入软间隔和惩罚项,改进后的SVM目标函数如下:Based on the characteristic parameters of samples, the SVM model is used to find an optimal hyperplane that can completely separate samples of different categories. Considering that outliers in the data will seriously affect the classification performance of SVM, in order to make the model more robust, soft intervals and penalty items are introduced. The improved SVM objective function is as follows:
(15), (15),
其中,为权重,yj∈{+1,-1}表示线路j为正常、异常的类别标签,vj为线路j的特征向量;为阈值;C表示惩罚系数,表示松弛因子;SVM另一个重要部分为核函数及其核函数参数,核函数能够帮助SVM处理其不能解决的非线性问题。核映射情况下的SVM的分类函数为:in, is the weight,yj ∈ {+1,-1} indicates that the line j is a normal and abnormal category label, andvj is the feature vector of the line j; is the threshold;C represents the penalty coefficient, Indicates the relaxation factor; another important part of SVM is the kernel function and its kernel function parameters. The kernel function can help SVM deal with nonlinear problems that it cannot solve. The classification function of SVM in the case of kernel mapping is:
(16), (16),
其中,为Lagrange乘子,为高斯径向基核函数,。SVM模型构建的关键是解决核参数g和惩罚系数C的最优取值问题。所以本公开引入金鹰优化算法对SVM模型参数进行优化,提高模型性能。具体步骤如下:in, is the Lagrange multiplier, is the Gaussian radial basis kernel function, . The key to constructing the SVM model is to solve the problem of the optimal value of the kernel parameter g and the penalty coefficient C. Therefore, this disclosure introduces the Golden Eagle optimization algorithm to optimize the parameters of the SVM model and improve the performance of the model. Specific steps are as follows:
1)攻击行为1) Aggressive behavior
金鹰的攻击矢量为:The attack vector of the Golden Eagle is:
(17), (17),
式中,为第只金鹰的攻击向量,为当前金鹰所到达的最佳捕猎地点(猎物),为第只金鹰当前的位置。In the formula, for the first The attack vector of a golden eagle, is the best hunting location (prey) reached by the current golden eagle, for the first The current location of the golden eagle.
2)巡航行为2) Cruise behavior
超平面在三维空间的标量形式为:The scalar form of the hyperplane in three-dimensional space is:
(18), (18),
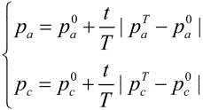
式中,为法向量,为变量向量。这里表示金鹰的位置,定义s1为SVM模型中的惩罚因子C,s2为SVM模型中的核参数g。查找固定变量的值:In the formula, is the normal vector, is a variable vector. here Indicates the position of the golden eagle, defines1 as the penalty factor C in the SVM model, ands2 as the kernel parameter g in the SVM model. Find the value of a fixed variable:
(19), (19),
式中,ck为目标点的第k个元素,为攻击向量的第个元素,ak为攻击向量的第k个向量。依此可以找到飞行超平面上的随机目标点。目标点的一般表示为:In the formula,ck is thekth element of the target point, is the first attack vector elements,ak is thekth vector of the attack vector. According to this, random target points on the flight hyperplane can be found. The general expression of the target point is:
(20), (20),
式中,random∈[0,1],随机数更新使得金鹰可以向随机目标点探索。In the formula, random∈[0,1], the random number is updated so that the golden eagle can explore to the random target point.
3)向新位置移动3) Move to new location
金鹰的位移由攻击向量和目标位置组成,迭代步长向量为:The displacement of the Golden Eagle is composed of the attack vector and the target position, and the iteration step vector is:
(21), (twenty one),
式中,pa为攻击系数,pc为巡航系数,、为[0,1]内的随机向量。In the formula,pa is the attack coefficient,pc is the cruise coefficient, , is a random vector in [0,1].
基于此可求出金鹰的下一位置:Based on this, the next position of the golden eagle can be calculated:
(22), (twenty two),
为第只金鹰的第t+1次的位置,为第只金鹰第t次的位置,为第只金鹰第t次移动步长大小。则,攻击系数pa和巡航系数pc的更新公式为: for the first The t+1th position of a golden eagle, for the first The position of the golden eagle at the tth time, for the first The golden eagle moves the step size for the tth time. Then, the update formulas of attack coefficientpa and cruise coefficientpc are:
(23), (twenty three),
其中,t表示当前迭代次数,T表示最大迭代次数。、分别为pa的初始和最终值,、分别为pc的初始和最终的值。为防止优化算法陷入局部最优,对金鹰位置更新算法进行了优化:Among them, t represents the current number of iterations, and T represents the maximum number of iterations. , are the initial and final values ofpa , respectively, , are theinitial and final values ofpc , respectively. In order to prevent the optimization algorithm from falling into local optimum, the Golden Eagle position update algorithm is optimized:
(24), (twenty four),
为[0,1]内的随机向量,rand是[0,1]上服从均匀分布的随机因子,为固定参数。比较两种策略的适应度值,选择适应度较优策略作为金鹰位置更新策略。 is a random vector in [0,1], rand is a random factor that obeys a uniform distribution on [0,1], is a fixed parameter. Comparing the fitness values of the two strategies, the strategy with the better fitness is selected as the golden eagle position update strategy.
在本发明的一些实施例的步骤S400中,所述基尔霍夫电流定律和异常线路的Hausdorff距离,利用第二SVM算法构建相序诊断模型包括:基于基尔霍夫电流定律,计算异常线路的三相电流与同一节点上其余线路的三相电流的Hausdorff距离;计算异常线路中的每相电流对评估统计量的贡献率变化量;基于贡献率变化量及Hausdorff距离,采用第二SVM构建相序识别模型。In step S400 of some embodiments of the present invention, the Kirchhoff current law and the Hausdorff distance of the abnormal line, using the second SVM algorithm to construct the phase sequence diagnosis model includes: based on Kirchhoff's current law, calculating the abnormal line The Hausdorff distance between the three-phase current of the three-phase current and the three-phase current of other lines on the same node; calculate the contribution rate change of each phase current in the abnormal line to the evaluation statistics; based on the contribution rate change and the Hausdorff distance, the second SVM is used to construct Phase sequence recognition model.
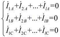
具体地,基于基尔霍夫电流定律,分别计算异常线路A、B、C三相与同一节点上其余线路A、B、C三相的Hausdorff距离Hψ;定义线路L1、L2…Ll分别为与母线相连各支路的输电线路,由基尔霍夫定理可知,线路的A、B、C三相均满足基尔霍夫定理:Specifically, based on Kirchhoff's current law, calculate the Hausdorff distanceHψ between the abnormal line A, B, C and the other lines A, B, C on the same node; define the linesL1 ,L2 ...Ll are the transmission lines of each branch connected to the busbar respectively. According to Kirchhoff's theorem, the three phases A, B, and C of the line all satisfy Kirchhoff's theorem:
(25), (25),
其中表示线路L1的A相一次电流采样值序列。基于上述线路定位结果,选定异常线路Ly,记Ly线路A相一次电流向量为。将剩余线路的一次电流的相量和记为,则in Indicates theA -phase primary current sampling value sequence of lineL1 . Based on the above line location results, theabnormal lineLy is selected, and the primary current vector of phase A of the lineLy isdenoted as . The phasor sum of the primary current of the remaining lines is recorded as , but
(26), (26),
即与幅值相等,相位差为,则基于Hausdorff距离算法:which is and The magnitudes are equal, and the phase difference is , based on the Hausdorff distance algorithm:
(27), (27),
其中,、分别表示对与电流采样序列进行标幺化的电流数据。in, , Respectively for and The current sampling sequence performs per unitized current data.
实际运行过程中,考虑到互感器运行误差的影响,通过电流互感器二次侧数据进行计算:In the actual operation process, considering the influence of the operation error of the transformer, the calculation is carried out through the secondary side data of the current transformer:
(28), (28),
其中,为选定的异常线路Ly的A相采集二次电流数据标幺化的电流数据,为线路Ly的额定变比;为同一母线其余线路通过二次侧电流及额定变比计算出的电流相量和标幺化后的电流数据。计算一段运行时间内异常线路A、B、C三相(一相或多相)与其余线路同相电流数据的距离。in, Acquisition of secondary current dataper unit current data for phase A of the selected abnormal line Ly, is the rated transformation ratio of lineLy ; It is the current phasor and the current data after normalization calculated for the other lines of the same bus through the secondary side current and the rated transformation ratio. Calculate the distance between the abnormal line A, B, C three-phase (one phase or multiple phases) and the same-phase current data of other lines within a certain period of time.
(29), (29),
进一步的,所述贡献率通过如下方式计算:Further, the contribution rate is calculated as follows:
,(30) ,(30)
其中,为t时刻下贡献率数组cont(t)的第个元素,其也是第台电流互感器对统计量Q(t)的贡献率;表示为t时刻第相互感器标准化后的实时数据;为在主元空间的投影。in, is the first element of the contribution rate arraycont (t) at time t element, which is also the first The contribution rate of the current transformer to the statisticQ (t); Expressed as the first time at time t Real-time data after mutual sensor standardization; for Projection in pivot space.
在上述的实施例中,所述根据所述三相不对称电流分量,计算同一母线下每条线路与其他线路的三相不对称电流分量的不平衡度的Hausdorff距离包括:基于三相不对称电流分量,计算每条线路的零序不平衡度和负序不平衡度;对于同一母线上的线路,计算同一周期内,每条线路与其他线路的零序不平衡、负序不平衡特征参量间的Hausdorff距离。In the above-mentioned embodiment, according to the three-phase asymmetric current component, calculating the Hausdorff distance of the unbalance degree of the three-phase asymmetric current component between each line under the same bus and other lines includes: based on the three-phase asymmetry Current component, calculate the zero-sequence unbalance degree and negative-sequence unbalance degree of each line; for the lines on the same bus, calculate the zero-sequence unbalance and negative-sequence unbalance characteristic parameters of each line and other lines in the same cycle The Hausdorff distance between .
参考图2,在本发明的一个实施例中,上述基于Hausdorff的电流互感器异常识别方法包括:步骤A:采集电流互感器运行电流数据,采用一阶差分、二阶差分进行电流数据的预处理,筛选平稳电流数据;With reference to Fig. 2, in one embodiment of the present invention, above-mentioned current transformer abnormal identification method based on Hausdorff comprises: Step A: collect current transformer operating current data, adopt first-order difference, second-order difference to carry out the preprocessing of current data , to filter the stationary current data;
步骤A:基于筛选的电流数据,构建线路的零序电流分量、负序电流分量,分别采用Hausdorff距离计算各线路间比值、;Step A: Based on the screened current data, construct the zero-sequence current component and negative-sequence current component of the line, and use the Hausdorff distance to calculate the ratio between each line , ;
步骤B:基于筛选稳定电流数据,以线路电流作为特征参量,采用PCA构建计算模型,计算正常模态下的评估标准量Qα及线路实时统计量Q(t),计算各线路统计量的变化量ΔQ(t);Step B: Based on the screening of stable current data, the line current is used as the characteristic parameter, and PCA is used to construct a calculation model, and the evaluation standard quantityQα and the real-time statistical quantityQ (t) of the line in the normal mode are calculated, and the change of the statistical quantity of each line is calculated Quantity ΔQ (t);
步骤C:基于步骤B、C计算出各线路的、、ΔQ(t),采用改进GEO-SVM学习算法构建线路异常识别模型。Step C: Based on steps B and C, calculate the , , ΔQ (t), using the improved GEO-SVM learning algorithm to build a line anomaly recognition model.
步骤D:基于基尔霍夫电流定律,分别计算异常线路A、B、C三相与同一节点上其余线路A、B、C三相的Hausdorff距离;Step D: Based on Kirchhoff's current law, calculate the Hausdorff distances between the abnormal line A, B, and C and the other lines A, B, and C on the same node ;
步骤E:计算异常线路中A、B、C三相对统计量的贡献率的变化量;Step E: Calculate the three relative statistics of A, B, and C in the abnormal line The amount of change in the contribution rate of ;
步骤F:基于贡献率变化量及Hausdorff距离Hi,采用SVM构建相序识别模型,定位异常线路中异常互感器所在的相序号;Step F: Based on the amount of change in the contribution rate and Hausdorff distanceHi , use SVM to build a phase sequence identification model, and locate the phase sequence number where the abnormal transformer is located in the abnormal line;
步骤G:将待评估线路输入上述模型中,实现互感器异常识别。Step G: Input the line to be evaluated into the above model to realize abnormal identification of transformers.
实施例2Example 2
参考图3,本发明的第二方面,提供了一种基于Hausdorff的电流互感器异常识别系统1,包括:获取模块11,用于获取电流互感器的运行电流数据,对其进行多阶差分并筛选出平稳电流数据;基于所述平稳电流数据,构建一条或多条线路的三相不对称电流分量;根据所述三相不对称电流分量,计算同一母线下每条线路与其他线路的三相不对称电流分量的不平衡度的Hausdorff距离;计算模块12,用于基于所述平稳电流数据,构建线路电流的特征参量,并利用主成分分析法构建计算模型;根据所述计算模型计算每条线路的评估统计量及其变化量;第一构建模块13,用于根据同一母线下每条线路与其他线路的三相不对称电流分量的不平衡度的Hausdorff距离以及评估统计量的变化量,利用第一SVM算法构建线路异常识别模型;第二构建模块14,用于基于基尔霍夫电流定律和异常线路的Hausdorff距离,利用第二SVM算法构建相序诊断模型;识别模块15,用于利用线路异常识别模型和相序诊断模型,对待评估线路的一个或多个电流互感器进行异常识别。Referring to Fig. 3, the second aspect of the present invention provides a Hausdorff-based current transformer abnormality identification system 1, including: an acquisition module 11, which is used to acquire the operating current data of the current transformer, perform multi-order difference and Screen out the steady current data; based on the steady current data, construct the three-phase asymmetrical current components of one or more lines; calculate the three-phase The Hausdorff distance of the unbalance degree of the asymmetric current component; the calculation module 12 is used to construct the characteristic parameter of the line current based on the stable current data, and utilize the principal component analysis method to construct a calculation model; calculate each line according to the calculation model Evaluation statistic of line and variation thereof; The first building block 13 is used for the Hausdorff distance and the variation of evaluation statistic according to the unbalance degree of the three-phase asymmetrical current component of each line under the same busbar and other lines, Utilize the first SVM algorithm to construct a line abnormality identification model; the second construction module 14 is used to construct a phase sequence diagnosis model based on Kirchhoff's current law and the Hausdorff distance of the abnormal line; the identification module 15 is used to Using the line abnormality identification model and the phase sequence diagnosis model, one or more current transformers of the line to be evaluated are used for abnormal identification.
进一步的,所述第二构建模块14包括:第一计算单元,用于基于基尔霍夫电流定律,计算异常线路的三相电流与同一节点上其余线路的三相电流的Hausdorff距离;第二计算单元,用于计算异常线路中的每相电流对评估统计量的贡献率变化量;构建单元,基于贡献率变化量及Hausdorff距离,采用第二SVM构建相序识别模型。Further, the
实施例3Example 3
参考图4,本发明的第三方面,提供了一种电子设备,包括:一个或多个处理器;存储装置,用于存储一个或多个程序,当所述一个或多个程序被所述一个或多个处理器执行,使得所述一个或多个处理器实现本发明在第一方面的方法。Referring to Fig. 4, the third aspect of the present invention provides an electronic device, including: one or more processors; storage means for storing one or more programs, when the one or more programs are described The one or more processors execute such that the one or more processors implement the method of the first aspect of the present invention.
电子设备500可以包括处理装置(例如中央处理器、图形处理器等)501,其可以根据存储在只读存储器(ROM)502中的程序或者从存储装置508加载到随机访问存储器(RAM)503中的程序而执行各种适当的动作和处理。在RAM 503中,还存储有电子设备500操作所需的各种程序和数据。处理装置501、ROM 502以及RAM 503通过总线504彼此相连。输入/输出(I/O)接口505也连接至总线504。The
通常以下装置可以连接至I/O接口505:包括例如触摸屏、触摸板、键盘、鼠标、摄像头、麦克风、加速度计、陀螺仪等的输入装置506;包括例如液晶显示器(LCD)、扬声器、振动器等的输出装置507;包括例如硬盘等的存储装置508;以及通信装置509。通信装置509可以允许电子设备500与其他设备进行无线或有线通信以交换数据。虽然图4示出了具有各种装置的电子设备500,但是应理解的是,并不要求实施或具备所有示出的装置。可以替代地实施或具备更多或更少的装置。图4中示出的每个方框可以代表一个装置,也可以根据需要代表多个装置。Typically the following devices can be connected to the I/O interface 505:
特别地,根据本公开的实施例,上文参考流程图描述的过程可以被实现为计算机软件程序。例如,本公开的实施例包括一种计算机程序产品,其包括承载在计算机可读介质上的计算机程序,该计算机程序包含用于执行流程图所示的方法的程序代码。在这样的实施例中,该计算机程序可以通过通信装置509从网络上被下载和安装,或者从存储装置508被安装,或者从ROM 502被安装。在该计算机程序被处理装置501执行时,执行本公开的实施例的方法中限定的上述功能。需要说明的是,本公开的实施例所描述的计算机可读介质可以是计算机可读信号介质或者计算机可读存储介质或者是上述两者的任意组合。计算机可读存储介质例如可以是——但不限于——电、磁、光、电磁、红外线、或半导体的系统、装置或器件,或者任意以上的组合。计算机可读存储介质的更具体的例子可以包括但不限于:具有一个或多个导线的电连接、便携式计算机磁盘、硬盘、随机访问存储器(RAM)、只读存储器(ROM)、可擦式可编程只读存储器(EPROM或闪存)、光纤、便携式紧凑磁盘只读存储器(CD-ROM)、光存储器件、磁存储器件、或者上述的任意合适的组合。在本公开的实施例中,计算机可读存储介质可以是任何包含或存储程序的有形介质,该程序可以被指令执行系统、装置或者器件使用或者与其结合使用。而在本公开的实施例中,计算机可读信号介质可以包括在基带中或者作为载波一部分传播的数据信号,其中承载了计算机可读的程序代码。这种传播的数据信号可以采用多种形式,包括但不限于电磁信号、光信号或上述的任意合适的组合。计算机可读信号介质还可以是计算机可读存储介质以外的任何计算机可读介质,该计算机可读信号介质可以发送、传播或者传输用于由指令执行系统、装置或者器件使用或者与其结合使用的程序。计算机可读介质上包含的程序代码可以用任何适当的介质传输,包括但不限于:电线、光缆、RF(射频)等等,或者上述的任意合适的组合。In particular, according to an embodiment of the present disclosure, the processes described above with reference to the flowcharts can be implemented as computer software programs. For example, embodiments of the present disclosure include a computer program product, which includes a computer program carried on a computer-readable medium, where the computer program includes program codes for executing the methods shown in the flowcharts. In such an embodiment, the computer program may be downloaded and installed from a network via communication means 509 , or from storage means 508 , or from ROM 502 . When the computer program is executed by the processing device 501, the above-mentioned functions defined in the methods of the embodiments of the present disclosure are executed. It should be noted that the computer-readable medium described in the embodiments of the present disclosure may be a computer-readable signal medium or a computer-readable storage medium, or any combination of the above two. A computer readable storage medium may be, for example, but not limited to, an electrical, magnetic, optical, electromagnetic, infrared, or semiconductor system, apparatus, or device, or any combination thereof. More specific examples of computer-readable storage media may include, but are not limited to, electrical connections with one or more wires, portable computer diskettes, hard disks, random access memory (RAM), read-only memory (ROM), erasable Programmable read-only memory (EPROM or flash memory), optical fiber, portable compact disk read-only memory (CD-ROM), optical storage device, magnetic storage device, or any suitable combination of the above. In the embodiments of the present disclosure, a computer-readable storage medium may be any tangible medium containing or storing a program that can be used by or in conjunction with an instruction execution system, apparatus, or device. In the embodiments of the present disclosure, however, a computer-readable signal medium may include a data signal propagated in baseband or as part of a carrier wave, carrying computer-readable program code therein. Such propagated data signals may take many forms, including but not limited to electromagnetic signals, optical signals, or any suitable combination of the foregoing. A computer-readable signal medium may also be any computer-readable medium other than a computer-readable storage medium, which can transmit, propagate, or transmit a program for use by or in conjunction with an instruction execution system, apparatus, or device . Program code embodied on a computer readable medium may be transmitted by any appropriate medium, including but not limited to wires, optical cables, RF (radio frequency), etc., or any suitable combination of the above.
上述计算机可读介质可以是上述电子设备中所包含的;也可以是单独存在,而未装配入该电子设备中。上述计算机可读介质承载有一个或者多个计算机程序,当上述一个或者多个程序被该电子设备执行时,使得该电子设备:The above-mentioned computer-readable medium may be included in the above-mentioned electronic device, or may exist independently without being incorporated into the electronic device. The above-mentioned computer-readable medium carries one or more computer programs, and when the above-mentioned one or more programs are executed by the electronic device, the electronic device:
可以以一种或多种程序设计语言或其组合来编写用于执行本公开的实施例的操作的计算机程序代码,程序设计语言包括面向对象的程序设计语言—诸如Java、Smalltalk、C++、Python,还包括常规的过程式程序设计语言—诸如“C”语言或类似的程序设计语言。程序代码可以完全地在用户计算机上执行、部分地在用户计算机上执行、作为一个独立的软件包执行、部分在用户计算机上部分在远程计算机上执行、或者完全在远程计算机或服务器上执行。在涉及远程计算机的情形中,远程计算机可以通过任意种类的网络——包括局域网(LAN)或广域网(WAN)——连接到用户计算机,或者,可以连接到外部计算机(例如利用因特网服务提供商来通过因特网连接)。Computer program code for carrying out operations of embodiments of the present disclosure may be written in one or more programming languages, or combinations thereof, including object-oriented programming languages—such as Java, Smalltalk, C++, Python, Also included are conventional procedural programming languages - such as the "C" language or similar programming languages. The program code may execute entirely on the user's computer, partly on the user's computer, as a stand-alone software package, partly on the user's computer and partly on a remote computer or entirely on the remote computer or server. In cases involving a remote computer, the remote computer may be connected to the user computer through any kind of network, including a local area network (LAN) or a wide area network (WAN), or may be connected to an external computer (for example, using an Internet service provider to connected via the Internet).
附图中的流程图和框图,图示了按照本公开各种实施例的系统、方法和计算机程序产品的可能实现的体系架构、功能和操作。在这点上,流程图或框图中的每个方框可以代表一个模块、程序段、或代码的一部分,该模块、程序段、或代码的一部分包含一个或多个用于实现规定的逻辑功能的可执行指令。也应当注意,在有些作为替换的实现中,方框中所标注的功能也可以以不同于附图中所标注的顺序发生。例如,两个接连地表示的方框实际上可以基本并行地执行,它们有时也可以按相反的顺序执行,这依所涉及的功能而定。需要注意的是,框图和/或流程图中的每个方框、以及框图和/或流程图中的方框的组合,可以用执行规定的功能或操作的专用的基于硬件的系统来实现,或者可以用专用硬件与计算机指令的组合来实现。The flowchart and block diagrams in the Figures illustrate the architecture, functionality, and operation of possible implementations of systems, methods and computer program products according to various embodiments of the present disclosure. In this regard, each block in a flowchart or block diagram may represent a module, program segment, or portion of code that contains one or more logical functions for implementing specified executable instructions. It should also be noted that, in some alternative implementations, the functions noted in the block may occur out of the order noted in the figures. For example, two blocks shown in succession may, in fact, be executed substantially concurrently, or they may sometimes be executed in the reverse order, depending upon the functionality involved. It should be noted that each block in the block diagrams and/or flowcharts, and combinations of blocks in the block diagrams and/or flowcharts, can be implemented by a dedicated hardware-based system that performs specified functions or operations, Or it can be implemented using a combination of special purpose hardware and computer instructions.
以上所述仅为本发明的较佳实施例,并不用以限制本发明,凡在本发明的精神和原则之内,所作的任何修改、等同替换、改进等,均应包含在本发明的保护范围之内。The above descriptions are only preferred embodiments of the present invention, and are not intended to limit the present invention. Any modifications, equivalent replacements, improvements, etc. made within the spirit and principles of the present invention shall be included in the protection of the present invention. within range.
| Application Number | Priority Date | Filing Date | Title |
|---|---|---|---|
| CN202211203322.7ACN115469260B (en) | 2022-09-29 | 2022-09-29 | A method and system for identifying abnormality of current transformer based on Hausdorff |
| Application Number | Priority Date | Filing Date | Title |
|---|---|---|---|
| CN202211203322.7ACN115469260B (en) | 2022-09-29 | 2022-09-29 | A method and system for identifying abnormality of current transformer based on Hausdorff |
| Publication Number | Publication Date |
|---|---|
| CN115469260Atrue CN115469260A (en) | 2022-12-13 |
| CN115469260B CN115469260B (en) | 2024-05-17 |
| Application Number | Title | Priority Date | Filing Date |
|---|---|---|---|
| CN202211203322.7AActiveCN115469260B (en) | 2022-09-29 | 2022-09-29 | A method and system for identifying abnormality of current transformer based on Hausdorff |
| Country | Link |
|---|---|
| CN (1) | CN115469260B (en) |
| Publication number | Priority date | Publication date | Assignee | Title |
|---|---|---|---|---|
| CN116643228A (en)* | 2023-07-27 | 2023-08-25 | 威胜集团有限公司 | Initial error estimation method for voltage transformer |
| CN117154662A (en)* | 2023-08-07 | 2023-12-01 | 南方电网科学研究院有限责任公司 | A single-circuit multiple-fault protection method and device for a small resistance grounding system |
| CN117330816A (en)* | 2023-12-01 | 2024-01-02 | 南京中旭电子科技有限公司 | Monitoring data optimization method for Hall current sensor |
| CN117972460A (en)* | 2024-03-28 | 2024-05-03 | 国网福建省电力有限公司 | A method for distinguishing operating faults of high-voltage current transformers |
| Publication number | Priority date | Publication date | Assignee | Title |
|---|---|---|---|---|
| WO2014063570A1 (en)* | 2012-10-24 | 2014-05-01 | 国家电网公司 | Method for on-line diagnosing gradually-changing fault of electronic current transformers |
| CN108572303A (en)* | 2018-04-25 | 2018-09-25 | 西南交通大学 | A fault line selection method for distribution network based on random matrix and Hausdorff distance |
| CN112083286A (en)* | 2020-09-07 | 2020-12-15 | 昆明理工大学 | Single-phase earth fault line selection method for wind power plant collecting line based on zero sequence current waveform similarity |
| WO2021108537A1 (en)* | 2019-11-27 | 2021-06-03 | Sentient Technology Holdings, LLC | Systems and methods for power line fault detection |
| CN115018139A (en)* | 2022-05-25 | 2022-09-06 | 国网湖南省电力有限公司 | Current transformer error state online identification method and system based on interphase characteristics |
| Publication number | Priority date | Publication date | Assignee | Title |
|---|---|---|---|---|
| WO2014063570A1 (en)* | 2012-10-24 | 2014-05-01 | 国家电网公司 | Method for on-line diagnosing gradually-changing fault of electronic current transformers |
| CN108572303A (en)* | 2018-04-25 | 2018-09-25 | 西南交通大学 | A fault line selection method for distribution network based on random matrix and Hausdorff distance |
| WO2021108537A1 (en)* | 2019-11-27 | 2021-06-03 | Sentient Technology Holdings, LLC | Systems and methods for power line fault detection |
| CN112083286A (en)* | 2020-09-07 | 2020-12-15 | 昆明理工大学 | Single-phase earth fault line selection method for wind power plant collecting line based on zero sequence current waveform similarity |
| CN115018139A (en)* | 2022-05-25 | 2022-09-06 | 国网湖南省电力有限公司 | Current transformer error state online identification method and system based on interphase characteristics |
| Title |
|---|
| 李振兴;王朋飞;王新;翁汉琍;龚旸;: "基于幅值特征和Hausdorff距离的配电网故障定位方法", 电力系统自动化, no. 07, 10 April 2020 (2020-04-10)* |
| 陈星宇;: "基于Hausdorff距离的主动配电网纵联保护方案", 自动化技术与应用, no. 03, 25 March 2020 (2020-03-25)* |
| Publication number | Priority date | Publication date | Assignee | Title |
|---|---|---|---|---|
| CN116643228A (en)* | 2023-07-27 | 2023-08-25 | 威胜集团有限公司 | Initial error estimation method for voltage transformer |
| CN117154662A (en)* | 2023-08-07 | 2023-12-01 | 南方电网科学研究院有限责任公司 | A single-circuit multiple-fault protection method and device for a small resistance grounding system |
| CN117330816A (en)* | 2023-12-01 | 2024-01-02 | 南京中旭电子科技有限公司 | Monitoring data optimization method for Hall current sensor |
| CN117330816B (en)* | 2023-12-01 | 2024-01-26 | 南京中旭电子科技有限公司 | Monitoring data optimization method for Hall current sensor |
| CN117972460A (en)* | 2024-03-28 | 2024-05-03 | 国网福建省电力有限公司 | A method for distinguishing operating faults of high-voltage current transformers |
| Publication number | Publication date |
|---|---|
| CN115469260B (en) | 2024-05-17 |
| Publication | Publication Date | Title |
|---|---|---|
| CN115469260B (en) | A method and system for identifying abnormality of current transformer based on Hausdorff | |
| Xuan et al. | Real-time estimation of state-of-charge in lithium-ion batteries using improved central difference transform method | |
| Zhang et al. | A reliable data-driven state-of-health estimation model for lithium-ion batteries in electric vehicles | |
| CN113743651A (en) | Electronic voltage transformer error state prediction method based on machine learning and SVM algorithm | |
| CN106505557B (en) | A telemetry error identification method and device | |
| CN115932702A (en) | Voltage transformer online operation calibration method and device based on virtual standard device | |
| CN115469259A (en) | RBF neural network-based CT error state online quantitative evaluation method and device | |
| CN118275900A (en) | Battery health state estimation and modeling method, device, equipment and storage medium | |
| CN115878963A (en) | Capacitance voltage transformer metering error prediction method, system, terminal and medium | |
| CN119716404A (en) | A method for intelligent identification of distribution network topology anomalies | |
| CN119742934B (en) | Power distribution station house monitoring method, device and storage medium | |
| CN109816555A (en) | A Load Modeling Method Based on Support Vector Machine | |
| CN115267641B (en) | Method and system for abnormal identification of current transformer errors in double-circuit transmission lines on the same tower | |
| Zhu et al. | State of Health Estimation of Lithium‐Ion Battery Using Time Convolution Memory Neural Network | |
| CN116840767A (en) | Electric energy metering device overall error assessment method and device, storage medium and terminal | |
| CN113156359B (en) | Method and system for determining metering error of capacitive voltage transformer | |
| CN119805273A (en) | Battery state of charge SOC estimation method, device, electronic device and storage medium | |
| Xu et al. | Change point detection of multimode processes considering both mode transitions and parameter changes | |
| CN112184037B (en) | A Multimodal Process Fault Detection Method Based on Weighted SVDD | |
| CN114355222A (en) | Battery state of health estimation method, device and readable medium based on voltage curve | |
| Hogan et al. | Towards effective clustering techniques for the analysis of electric power grids | |
| CN118797518A (en) | A power grid electricity theft detection and device | |
| CN117033724B (en) | Multi-mode data retrieval method based on semantic association | |
| Jiang et al. | Two‐level area‐load modelling for OPF of power system using reinforcement learning | |
| CN118484655A (en) | Wind turbine fault warning method, device, equipment and storage medium |
| Date | Code | Title | Description |
|---|---|---|---|
| PB01 | Publication | ||
| PB01 | Publication | ||
| SE01 | Entry into force of request for substantive examination | ||
| SE01 | Entry into force of request for substantive examination | ||
| CB02 | Change of applicant information | Country or region after:China Address after:430000, Unit T4, Building B12, No. 88 Guanggu Sixth Road, Donghu New Technology Development Zone, Wuhan City, Hubei Province Applicant after:Wuhan Gelanruo Intelligent Technology Co.,Ltd. Address before:Room 1803-1805, building 2-07, guanggu.core center, 303 Guanggu Avenue, Donghu New Technology Development Zone, Wuhan City, Hubei Province, 430000 Applicant before:WUHAN GLORY ROAD INTELLIGENT TECHNOLOGY Co.,Ltd. Country or region before:China | |
| CB02 | Change of applicant information | ||
| GR01 | Patent grant | ||
| GR01 | Patent grant | ||
| TR01 | Transfer of patent right | Effective date of registration:20250818 Address after:430205 Hubei Province, Wuhan City, Donghu New Technology Development Zone, No. 88 Guanggu Sixth Road, Guanggu Innovation Square, Building B12, Unit T4, 12th Floor, Room 01 Patentee after:Wuhan Gelanruo Electrical Technology Co.,Ltd. Country or region after:China Address before:Room 1803-1805, building 2-07, guanggu.core center, 303 Guanggu Avenue, Donghu New Technology Development Zone, Wuhan City, Hubei Province, 430000 Patentee before:Wuhan Gelanruo Intelligent Technology Co.,Ltd. Country or region before:China |