Movatterモバイル変換


[0]ホーム

URL:


CN115441942B - Industrial measurement and control terminal encryption ring network system and data transmission control method - Google Patents

Industrial measurement and control terminal encryption ring network system and data transmission control method
Download PDF

Info

Publication number
CN115441942B
CN115441942BCN202211394779.0ACN202211394779ACN115441942BCN 115441942 BCN115441942 BCN 115441942BCN 202211394779 ACN202211394779 ACN 202211394779ACN 115441942 BCN115441942 BCN 115441942B
Authority
CN
China
Prior art keywords
control terminal
measurement
data transmission
ring network
fifo buffer
Prior art date
Legal status (The legal status is an assumption and is not a legal conclusion. Google has not performed a legal analysis and makes no representation as to the accuracy of the status listed.)
Active
Application number
CN202211394779.0A
Other languages
Chinese (zh)
Other versions
CN115441942A (en
Inventor
陈山
任春龙
Current Assignee (The listed assignees may be inaccurate. Google has not performed a legal analysis and makes no representation or warranty as to the accuracy of the list.)
Sichuan Zhenhan Innovation Intelligent Technology Co ltd
Original Assignee
Sichuan Zhenhan Innovation Intelligent Technology Co ltd
Priority date (The priority date is an assumption and is not a legal conclusion. Google has not performed a legal analysis and makes no representation as to the accuracy of the date listed.)
Filing date
Publication date
Application filed by Sichuan Zhenhan Innovation Intelligent Technology Co ltdfiledCriticalSichuan Zhenhan Innovation Intelligent Technology Co ltd
Priority to CN202211394779.0ApriorityCriticalpatent/CN115441942B/en
Publication of CN115441942ApublicationCriticalpatent/CN115441942A/en
Application grantedgrantedCritical
Publication of CN115441942BpublicationCriticalpatent/CN115441942B/en
Activelegal-statusCriticalCurrent
Anticipated expirationlegal-statusCritical

Links

Images

Classifications

Landscapes

Abstract

The invention discloses an industrial measurement and control terminal encryption ring network system and a data transmission control method, which relate to the technical field of network communication, and have the technical scheme key points that: the system comprises a plurality of measurement and control terminal nodes and a central terminal; the adjacent measurement and control terminal nodes and/or the central end are connected through the optical fiber channel group to form a chain type ring network structure; the measurement and control terminal node is provided with a first FIFO buffer and a second FIFO buffer; the first FIFO buffer and a second FIFO buffer in the adjacent measurement and control terminal node realize downlink data transmission through a downlink and realize uplink data transmission through an uplink; and the internal exchange of uplink data and downlink data is realized between the first FIFO buffer and the second FIFO buffer in the same measurement and control terminal node. The optical fiber communication self-forming ring network is completely independent of the existing industrial Ethernet ring network, and communication cannot be influenced when a certain link fails to transmit.

Description

Industrial measurement and control terminal encryption ring network system and data transmission control method
Technical Field
The invention relates to the technical field of network communication, in particular to an industrial measurement and control terminal encryption ring network system and a data transmission control method.
Background
In the high-speed tunnel, the industrial measurement and control terminal generally adopts a ring network system formed by connecting a network port to an industrial Ethernet switch, and then communicates with a central terminal through a TCP/IP protocol in a defined VLAN.
A plurality of switches in the industrial Ethernet switch form a ring network, and the measurement and control terminal is connected with one switch through conversion equipment. Industrial ethernet switches have improved performance over traditional ethernet switches, but are subject to uncertainty and unreliability. On one hand, as basic transmission data and mixed data of video stream, audio and the like exist in the ring network, once the communication between the measurement and control terminal and the central end is blocked, the communication fails; on the other hand, the network in the industrial Ethernet switch is always open and is easy to be invaded from the outside, and once the network is invaded illegally, the control right of the measurement and control terminal is completely exposed.
Therefore, how to research and design an industrial measurement and control terminal encryption ring network system and a data transmission control method capable of overcoming the defects is a problem which is urgently needed to be solved at present.
Disclosure of Invention
In order to solve the defects in the prior art, the invention aims to provide an industrial measurement and control terminal encryption ring network system and a data transmission control method, which adopt optical fiber communication and form a ring network by itself, are completely independent of the existing industrial Ethernet ring network, and when any point in the ring network is disconnected, because the point data is simultaneously transmitted to an uplink link and a downlink link, only the transmission failure of one uplink link or one downlink link is caused, and the transmission of data from the other link to a central terminal is not influenced, so the communication is not influenced.
The technical purpose of the invention is realized by the following technical scheme:
the first aspect provides an industrial measurement and control terminal encryption ring network system, which comprises a plurality of measurement and control terminal nodes and at least one center end;
the adjacent measurement and control terminal nodes and/or the central end are connected through the optical fiber channel group to form a chain type ring network structure;
one fiber channel in the fiber channel group is an uplink, and the other fiber channel is a downlink;
the measurement and control terminal node is provided with a first FIFO buffer and a second FIFO buffer;
the first FIFO buffer and a second FIFO buffer in an adjacent measurement and control terminal node realize downlink data transmission through a downlink and uplink data transmission through an uplink;
and the internal exchange of uplink data and downlink data is realized between the first FIFO buffer and the second FIFO buffer in the same measurement and control terminal node.
Further, the system also comprises a link detection module and a DDM optical module.
Further, the link detection module includes:
the SFP optical module plugging detection unit is used for sending an alarm when the DDM optical module is not plugged or unplugged;
and the optical signal locking detection unit is used for giving an alarm when the optical fiber is broken or the light attenuation exceeds a threshold value.
Further, the DDM optical module includes a temperature early warning monitoring unit, an overvoltage early warning monitoring unit, an overcurrent early warning monitoring unit, a transmitting optical power monitoring unit, and a receiving optical power monitoring unit.
In a second aspect, a data transmission control method is provided, where the data transmission control method is applied to any one of the encryption ring network systems of the industrial measurement and control terminals in the first aspect, and includes the following steps:
encrypting the uplink data and the downlink data by adopting an m-sequence encryption and decryption method;
and transmitting the data encrypted by each measurement and control terminal node to the central terminal by adopting a time division multiplexing transmission method.
Furthermore, the m-sequence encryption and decryption method adopts 11 stages of shift registers to balance the generation speed of the sequences and the cost of resource occupation.
Further, the sequence generation speed is inversely related to the delay and the number of bits for generating the m-sequence; the resource occupation cost is positively correlated with the resource consumption for generating the m-sequence.
Further, the data transmission process using the time division multiplexing transmission method specifically includes:
acquiring historical time slots distributed by all measurement and control terminal nodes in the last time frame;
and determining the allocated time slot of the corresponding measurement and control terminal node in the current time frame according to the product of the historical time slot and the regulation and control coefficient.
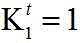
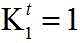
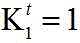
Further, the regulation and control coefficient is determined according to the ratio of the historical time slot corresponding to the t-1 time frame to the historical time slot corresponding to the t-2 time frame, and the regulation and control coefficient and the measurement and control terminal nodes are arranged in a one-to-one correspondence mode.
Further, the calculation formula of the regulation and control coefficient is specifically as follows:
Figure 606373DEST_PATH_IMAGE001
wherein,
Figure 343385DEST_PATH_IMAGE002
represents the respective regulation coefficient, which corresponds to the nth assigned time slot in the current time frame t, < > or>
Figure 804453DEST_PATH_IMAGE003
;/>
Figure 185362DEST_PATH_IMAGE004
Representing the ith real-time slot in the current time frame t; />
Figure 754884DEST_PATH_IMAGE005
Representing the ith historical time slot in the last time frame t-1.
Compared with the prior art, the invention has the following beneficial effects:
1. the encryption ring network system of the industrial measurement and control terminal provided by the invention adopts optical fiber communication, forms a ring network by itself, and is completely independent of the existing industrial Ethernet ring network; each measurement and control terminal node is provided with an uplink and a downlink, information source data collected by each measurement and control terminal node can be simultaneously sent to the uplink and the downlink, and data received from the uplink and the downlink can be forwarded and sorted; when any point in the ring network is disconnected, the point data is sent to an uplink and a downlink at the same time, so that only the transmission failure of one uplink or downlink link is caused, and the transmission of data from the other link to the central terminal is not influenced, so that the communication is not influenced;
2. the invention adopts the m-sequence encryption and decryption method to encrypt the transmission data, effectively improves the safety of data transmission, and adopts the 11-stage shift register to effectively balance the sequence generation speed and the resource occupation cost;
3. the invention adopts the time division multiplexing transmission method to distribute reasonable time slots for each information source, thereby greatly improving the anti-interference capability, simultaneously realizing that the information sources can be randomly increased, decreased or overlapped for use in the planning capacity, shortening the locking time of optical signals to us level and realizing the function of quick networking;
4. the invention dynamically allocates the time slot of the current time frame according to the allocation condition of the historical time slot, and enhances the utilization rate of channel resources in each time frame under the condition of balancing the data transmission efficiency of each measurement and control terminal node, thereby reducing the occurrence probability of the data congestion condition of channel transmission.
Drawings
The accompanying drawings, which are included to provide a further understanding of the embodiments of the invention and are incorporated in and constitute a part of this application, illustrate embodiment(s) of the invention and together with the description serve to explain the principles of the invention. In the drawings:
fig. 1 is a system block diagram in an embodiment of the invention.
Detailed Description
In order to make the objects, technical solutions and advantages of the present invention more apparent, the present invention is further described in detail below with reference to examples and accompanying drawings, and the exemplary embodiments and descriptions thereof are only used for explaining the present invention and are not meant to limit the present invention.
Example (b): an encryption ring network system of an industrial measurement and control terminal is shown in figure 1 and comprises a plurality of measurement and control terminal nodes and a central end, wherein the central end can be a receiving server. The adjacent measurement and control terminal nodes and the central end are connected through the optical fiber channel group to form a chain type ring network structure. One fiber channel in the fiber channel group is an uplink, and the other fiber channel is a downlink; the measurement and control terminal node is provided with a first FIFO buffer and a second FIFO buffer. Note that three points on the left side in fig. 1 are omitted partial chain link structures.
The first FIFO buffer and a second FIFO buffer in an adjacent measurement and control terminal node realize downlink data transmission through a downlink and uplink data transmission through an uplink; and the internal exchange of uplink data and downlink data is realized between the first FIFO buffer and the second FIFO buffer in the same measurement and control terminal node.
The optical fiber communication of the invention, the self-forming looped network, is totally independent of the existing industrial Ethernet looped network; each measurement and control terminal node is provided with an uplink and a downlink, information source data collected by each measurement and control terminal node can be simultaneously sent to the uplink and the downlink, and data received from the uplink and the downlink can be forwarded and sorted; when any point in the ring network is disconnected, the point data is sent to the uplink and the downlink at the same time, so that only the failure of sending the uplink or downlink is caused, and the transmission of the data from the other link to the central terminal is not influenced, so that the communication is not influenced.
The encryption ring network system of the industrial measurement and control terminal also comprises a link detection module and a DDM optical module, and can effectively give out alarm information.
The link detection module comprises an SFP optical module plugging detection unit and an optical signal locking detection unit. The device comprises an SFP optical module plugging detection unit, a DDM optical module plugging detection unit and a DDM optical module plugging detection unit, wherein the SFP optical module plugging detection unit is used for sending an alarm when the DDM optical module is not plugged or plugged; and the optical signal locking detection unit is used for giving an alarm when the optical fiber is broken or the light attenuation exceeds a threshold value.
The DDM optical module comprises a temperature early warning monitoring unit, an overvoltage early warning monitoring unit, an overcurrent early warning monitoring unit, a transmitting optical power monitoring unit and a receiving optical power monitoring unit.
It should be noted that, in consideration of cost and bandwidth, the system can easily upgrade bandwidth, and the system can not only transmit data, but also reserve resources for transmitting multiple mixed data streams such as video and audio in the future.
The data transmission control method for the encryption ring network system of the industrial measurement and control terminal comprises the following steps:
s1: encrypting the uplink data and the downlink data by using an m-sequence encryption and decryption method;
s2: and transmitting the data encrypted by each measurement and control terminal node to the central terminal by adopting a time division multiplexing transmission method.
In this embodiment, in consideration of the generation speed of the equalization sequence and the cost of resource occupation, the m-sequence encryption and decryption method uses 11 stages of shift registers.
Wherein the sequence generation speed is inversely related to the delay and the number of bits for generating the m-sequence; the resource occupation cost is positively correlated with the resource consumption for generating the m sequence.
Time Division Multiplexing (TDM) is to divide the Time provided for the whole channel to transmit information into several Time slots, and allocate these Time slots to each signal source, and each signal monopolizes the channel in its own Time slot to transmit data.
The data transmission process adopting the time division multiplexing transmission method specifically comprises the following steps: acquiring historical time slots distributed by all measurement and control terminal nodes in the last time frame; and determining the allocated time slot of the corresponding measurement and control terminal node in the current time frame according to the product of the historical time slot and the regulation and control coefficient. The invention adopts the time division multiplexing transmission method, each information source is distributed with reasonable time slots, the anti-interference capability is greatly improved, meanwhile, the information sources can be randomly increased, decreased or overlapped for use in the planning capacity, the optical signal locking time can be shortened to us level, and the rapid networking function is realized.
As an optional implementation manner, the regulation and control coefficient is determined according to a ratio of a historical time slot corresponding to the t-1 th time frame to a historical time slot corresponding to the t-2 th time frame, and the regulation and control coefficient and the measurement and control terminal node are set in a one-to-one correspondence manner.
As another optional implementation, the calculation formula of the regulation coefficient is specifically:
Figure 967690DEST_PATH_IMAGE001
wherein,
Figure 299577DEST_PATH_IMAGE002
represents the respective regulation coefficient, which corresponds to the nth assigned time slot in the current time frame t, < > or>
Figure 572426DEST_PATH_IMAGE003
;/>
Figure 488299DEST_PATH_IMAGE004
Representing the ith in the current time frame tReal-time slot; />
Figure 770375DEST_PATH_IMAGE005
Representing the ith historical time slot in the last time frame t-1.
The invention dynamically allocates the time slot of the current time frame according to the allocation condition of the historical time slot, and enhances the utilization rate of channel resources in each time frame under the condition of balancing the data transmission efficiency of each measurement and control terminal node, thereby reducing the occurrence probability of the data congestion condition of channel transmission.
The working principle is as follows: the invention adopts optical fiber communication, forms a ring network by itself, and is completely independent of the existing industrial Ethernet ring network; each measurement and control terminal node is provided with an uplink and a downlink, information source data collected by each measurement and control terminal node can be simultaneously sent to the uplink and the downlink, and data received from the uplink and the downlink can be forwarded and sorted; when any point in the ring network is disconnected, the point data is sent to the uplink and the downlink at the same time, so that only the failure of sending the uplink or downlink is caused, and the transmission of the data from the other link to the central terminal is not influenced, so that the communication is not influenced.
The above-mentioned embodiments, objects, technical solutions and advantages of the present invention are further described in detail, it should be understood that the above-mentioned embodiments are only examples of the present invention, and are not intended to limit the scope of the present invention, and any modifications, equivalent substitutions, improvements and the like made within the spirit and principle of the present invention should be included in the scope of the present invention.

Claims (9)

1. An industrial measurement and control terminal encryption looped network system is characterized by comprising a plurality of measurement and control terminal nodes and at least one center end;
the adjacent measurement and control terminal nodes and/or the central end are connected through the optical fiber channel group to form a chain type ring network structure;
one fiber channel in the fiber channel group is an uplink, and the other fiber channel is a downlink;
the measurement and control terminal node is provided with a first FIFO buffer and a second FIFO buffer;
the first FIFO buffer and a second FIFO buffer in an adjacent measurement and control terminal node realize downlink data transmission through a downlink and uplink data transmission through an uplink;
the first FIFO buffer and the second FIFO buffer in the same measurement and control terminal node realize internal exchange of uplink data and downlink data;
encrypting the uplink data and the downlink data by using an m-sequence encryption and decryption method;
transmitting the data encrypted by each measurement and control terminal node to a central terminal by adopting a time division multiplexing transmission method;
the data transmission process adopting the time division multiplexing transmission method specifically comprises the following steps:
acquiring historical time slots distributed by all measurement and control terminal nodes in the last time frame;
and determining the distributed time slot distributed by the corresponding measurement and control terminal node in the current time frame according to the product of the historical time slot and the regulation and control coefficient.
2. The encryption ring network system for the industrial measurement and control terminal according to claim 1, wherein the system further comprises a link detection module and a DDM optical module.
3. The encryption ring network system for the industrial measurement and control terminal according to claim 2, wherein the link detection module comprises:
the SFP optical module plugging detection unit is used for sending an alarm when the DDM optical module is not plugged or unplugged;
and the optical signal locking detection unit is used for giving an alarm when the optical fiber is disconnected or the optical attenuation exceeds a threshold value.
4. The encryption ring network system of the industrial measurement and control terminal according to claim 2, wherein the DDM optical module comprises a temperature early warning monitoring unit, an overvoltage early warning monitoring unit, an overcurrent early warning monitoring unit, a transmitting optical power monitoring unit and a receiving optical power monitoring unit.
5. A data transmission control method is characterized in that the data transmission control method is applied to the encryption ring network system of the industrial measurement and control terminal in any one of claims 1 to 4, and comprises the following steps:
encrypting the uplink data and the downlink data by using an m-sequence encryption and decryption method;
transmitting the data encrypted by each measurement and control terminal node to a central terminal by adopting a time division multiplexing transmission method;
the data transmission process adopting the time division multiplexing transmission method specifically comprises the following steps:
acquiring historical time slots distributed by all measurement and control terminal nodes in the last time frame;
and determining the allocated time slot of the corresponding measurement and control terminal node in the current time frame according to the product of the historical time slot and the regulation and control coefficient.
6. A data transmission control method according to claim 5, wherein the m-sequence encryption and decryption method uses 11 stages of shift registers to equalize the sequence generation speed and the resource occupation cost.
7. The data transmission control method according to claim 6, wherein the sequence generation speed is inversely related to the delay and the number of bits for generating the m-sequence; the resource occupation cost is positively correlated with the resource consumption for generating the m-sequence.
8. The data transmission control method according to claim 5, wherein the regulation and control coefficient is determined according to a ratio of a historical time slot corresponding to a t-1 time frame to a historical time slot corresponding to a t-2 time frame, and the regulation and control coefficients are set in one-to-one correspondence with the measurement and control terminal nodes.
9. The data transmission control method according to claim 5, wherein the calculation formula of the regulation coefficient is specifically as follows:
Figure DEST_PATH_IMAGE001
wherein,
Figure 217709DEST_PATH_IMAGE002
represents the regulation coefficient corresponding to the nth allocated time slot in the current time frame t,
Figure DEST_PATH_IMAGE003
Figure 462745DEST_PATH_IMAGE004
representing the ith real-time slot in the current time frame t;
Figure DEST_PATH_IMAGE005
representing the ith historical time slot in the last time frame t-1.
CN202211394779.0A2022-11-092022-11-09Industrial measurement and control terminal encryption ring network system and data transmission control methodActiveCN115441942B (en)

Priority Applications (1)

Application NumberPriority DateFiling DateTitle
CN202211394779.0ACN115441942B (en)2022-11-092022-11-09Industrial measurement and control terminal encryption ring network system and data transmission control method

Applications Claiming Priority (1)

Application NumberPriority DateFiling DateTitle
CN202211394779.0ACN115441942B (en)2022-11-092022-11-09Industrial measurement and control terminal encryption ring network system and data transmission control method

Publications (2)

Publication NumberPublication Date
CN115441942A CN115441942A (en)2022-12-06
CN115441942Btrue CN115441942B (en)2023-03-24

Family

ID=84252238

Family Applications (1)

Application NumberTitlePriority DateFiling Date
CN202211394779.0AActiveCN115441942B (en)2022-11-092022-11-09Industrial measurement and control terminal encryption ring network system and data transmission control method

Country Status (1)

CountryLink
CN (1)CN115441942B (en)

Citations (1)

* Cited by examiner, † Cited by third party
Publication numberPriority datePublication dateAssigneeTitle
CN108061901A (en)*2017-12-012018-05-22国家电网公司The method that 3D electric power line models are rebuild based on airborne laser radar point cloud data

Family Cites Families (7)

* Cited by examiner, † Cited by third party
Publication numberPriority datePublication dateAssigneeTitle
US6579018B1 (en)*1999-12-162003-06-17Corning IncorporatedFour-fiber ring optical cross connect system using 4×4 switch matrices
AU2001252889A1 (en)*2000-03-072001-09-17Corning Inc.A protection switch in a single two-fiber optical channel shared protection ring
CN100382632C (en)*2004-09-282008-04-16中兴通讯股份有限公司Method for adjusting dynamic channel in time-division multiplex CDMA access system
CN100555917C (en)*2005-11-012009-10-28上海邮电通信设备股份有限公司Optical transferred synthetized accessing PDH device in multiple services
CN102025484B (en)*2010-12-172012-07-04北京航空航天大学Block cipher encryption and decryption method
CN104155947B (en)*2014-07-302017-02-08北京太格时代自动化系统设备有限公司Monitoring system used for illumination of electromechanical device or tunnel
CN107508640B (en)*2017-04-272020-04-03中国人民解放军海军航空工程学院 Construction method of dual-ring redundant self-healing optical fiber network based on Fibre Channel technology

Patent Citations (1)

* Cited by examiner, † Cited by third party
Publication numberPriority datePublication dateAssigneeTitle
CN108061901A (en)*2017-12-012018-05-22国家电网公司The method that 3D electric power line models are rebuild based on airborne laser radar point cloud data

Also Published As

Publication numberPublication date
CN115441942A (en)2022-12-06

Similar Documents

PublicationPublication DateTitle
KR100627445B1 (en) Reservation based media access controller and optical network
US5107490A (en)Ring-type communication network
US6697374B1 (en)Optical network communication system
US7782855B2 (en)Method and apparatus for the reduction of upstream request processing latency in a cable modem termination system
Chlamtac et al.Channel allocation protocols in frequency-time controlled high speed networks
CA2219524C (en)Method, device and data communication system for multilink polling
JP4844219B2 (en) Optical network and node
JP2016527771A (en) Reconfigurable and variable rate shared multitransponder architecture for flexible Ethernet based optical networks
JPH0799483A (en) Communications system
US6816494B1 (en)Method and apparatus for distributed fairness algorithm for dynamic bandwidth allocation on a ring
Jelger et al.A slotted MAC protocol for efficient bandwidth utilization in WDM metropolitan access ring networks
AU2014318629A1 (en)Packet sharing data transmission system and relay to lower latency
US20160197699A1 (en)Bandwidth Map Update Method and Device
EP1339183A1 (en)Method and device for transporting ethernet frames over a transport SDH/SONET network
US20040141758A1 (en)System and method for providing multiple services to a destination via a fiber optic link
CN115441942B (en)Industrial measurement and control terminal encryption ring network system and data transmission control method
CN100550791C (en)Loop network and the method that between a plurality of equipment on the loop network, communicates
CN1328863C (en) Ring Network Constructed by Dual Optical Data Bus
PersonickProtocols for fiber-optic local area networks
US5995257A (en)Add/drop multiplexer for multiwavelength pulse oriented optical communications systems
Kitamura et al.A new partition scheduling algorithm by prioritizing the transmission of multicast packets with less destination address overlap in WDM single-hop networks
Cusworth et al.Wavelength division multiple access on a high-speed optical fibre LAN
Li et al.Architecture and protocol of a passive optical packet-switched metropolitan/wide area network using WDMA
CN103001869A (en) A cloud routing data processing method and system based on port deflection
Jia et al.Bimodal throughput, nonmonotonic delay, optimal bandwidth dimensioning, and analysis of receiver collisions in a single-hop WDM local lightwave network

Legal Events

DateCodeTitleDescription
PB01Publication
PB01Publication
SE01Entry into force of request for substantive examination
SE01Entry into force of request for substantive examination
GR01Patent grant
GR01Patent grant

[8]ページ先頭

©2009-2025 Movatter.jp