















技术领域technical field
本发明涉及机器人技术领域,特别涉及一种可读存储介质、手术机器人系统和调整系统。The invention relates to the technical field of robots, in particular to a readable storage medium, a surgical robot system and an adjustment system.
背景技术Background technique
目前各行业均处于电子化、智能化的大趋势中,尤其在手术室中,大批的半自动、全自动机电设备正在逐步应用于各种手术场景,例如传统的手持式外科器械正在逐步由手术机器人所取代。At present, all industries are in the trend of electronics and intelligence. Especially in the operating room, a large number of semi-automatic and fully automatic electromechanical equipment are gradually being used in various surgical scenarios. For example, traditional hand-held surgical instruments are gradually replaced by surgical robots. replaced.
手术机器人其设计理念是采用微创伤方式,精准地实施复杂的外科手术,突破了人眼的局限,采用立体成像技术,将内部器官更加清晰的呈现给操作者。在原来手伸不进的区域,机器手能完成360度转动、挪动、摆动、夹持,并避免抖动,受到广大医患的青睐,现在作为一种高端医疗器械,已广泛运用于各种临床手术中。但在手术过程中,当术前打孔位置不够理想情况下,相邻机械臂间容易发生碰撞,极大影响手术进程,或是由于患者体位的影响,手术过程中病灶位置被患者其他组织遮挡,无法继续完成手术,或是术中发现新的病灶,需要在新的病灶位置处进行相应手术操作。一般而言,用户需要先中断手术进程,移除外科器械,且手术机器人上的机械臂必须通过患者身体打孔位置处从该处套管内脱离,使患者与手术机器人完全分开,再调整患者体位,继续进行手术机器人的术前准备流程后才能继续进行手术。该过程不仅耗时,且操作过程非常繁琐,对医护人员的熟练度要求很高。The design concept of the surgical robot is to use a minimally invasive method to accurately perform complex surgical operations, break through the limitations of the human eye, and use stereoscopic imaging technology to present the internal organs to the operator more clearly. In the area where the hand could not reach before, the robotic hand can complete 360-degree rotation, movement, swing, clamping, and avoid shaking. It is favored by the majority of doctors and patients. Now, as a high-end medical device, it has been widely used in various clinics. in surgery. However, during the operation, when the preoperative drilling position is not ideal, collisions between adjacent robotic arms are likely to occur, which greatly affects the operation process, or due to the influence of the patient's position, the lesion position is blocked by other tissues of the patient during the operation , the operation cannot be continued, or new lesions are found during the operation, and corresponding surgical operations need to be performed at the new lesions. Generally speaking, the user needs to interrupt the surgical process first, remove the surgical instruments, and the mechanical arm on the surgical robot must be separated from the sleeve at the position where the patient's body is punched, so that the patient and the surgical robot are completely separated, and then adjust the patient's position , the operation can only be continued after the preoperative preparation process of the surgical robot is continued. This process is not only time-consuming, but also very cumbersome to operate, requiring high proficiency of medical staff.
发明内容Contents of the invention
本发明的目的在于提供一种可读存储介质、手术机器人系统和调整系统,可以实现在器械不撤出的情况下,即可进行患者体位与机械臂的位姿的自动调整的目的。The purpose of the present invention is to provide a readable storage medium, a surgical robot system and an adjustment system, which can automatically adjust the position of the patient and the mechanical arm without withdrawing the instrument.
为达到上述目的,本发明提供一种可读存储介质,应用于手术机器人系统,所述可读存储介质内存储有计算机程序,所述计算机程序被处理器执行时,实现如下步骤:In order to achieve the above object, the present invention provides a readable storage medium, which is applied to a surgical robot system, wherein a computer program is stored in the readable storage medium, and when the computer program is executed by a processor, the following steps are implemented:
接收用户的调整指令;Receive adjustment instructions from users;
获取机械臂的目标位姿或支撑装置的目标位姿;Obtain the target pose of the robotic arm or the target pose of the support device;
根据所述机械臂的目标位姿,控制所述机械臂进行调整运动并控制所述支撑装置跟随所述机械臂进行相应运动;或According to the target pose of the mechanical arm, controlling the mechanical arm to perform an adjustment movement and controlling the support device to follow the mechanical arm to perform a corresponding movement; or
根据所述支撑装置的目标位姿,控制所述支撑装置进行调整运动并控制所述机械臂跟随所述支撑装置进行相应运动。According to the target pose of the support device, the support device is controlled to perform an adjustment movement and the mechanical arm is controlled to follow the support device to perform a corresponding movement.
可选的,所述获取所述机械臂的目标位姿或支撑装置的目标位姿,包括:Optionally, the acquiring the target pose of the robotic arm or the target pose of the support device includes:
根据预先存储的目标位姿与手术类型之间的对应关系,获取所述机械臂的目标位姿或支撑装置的目标位姿;或Acquiring the target pose of the robotic arm or the target pose of the support device according to the pre-stored correspondence between the target pose and the type of operation; or
根据预设目标函数获取所述机械臂的目标位姿或支撑装置的目标位姿。The target pose of the robotic arm or the target pose of the supporting device is obtained according to a preset objective function.
可选的,所述根据预设目标函数获取所述机械臂的目标位姿或支撑装置的目标位姿,包括:Optionally, the obtaining the target pose of the robotic arm or the target pose of the support device according to a preset objective function includes:
将其中一条机械臂作为目标机械臂;Use one of the robotic arms as the target robotic arm;
获取所述目标机械臂的不动点的当前位置;Obtain the current position of the fixed point of the target mechanical arm;
根据所述目标机械臂的不动点的当前位置创建安全空间;creating a safe space based on the current position of the fixed point of the target robotic arm;
遍历所述安全空间的每一点,求解不同位置下的预设目标函数的函数值;Traverse each point of the safe space, and solve the function value of the preset objective function at different positions;
将函数值满足预设条件的位置作为所述目标机械臂的不动点的目标位置;Taking the position where the function value satisfies the preset condition as the target position of the fixed point of the target mechanical arm;
根据所述目标机械臂的不动点的目标位置获取所述机械臂的目标位姿或支撑装置的目标位姿。The target pose of the robotic arm or the target pose of the supporting device is obtained according to the target position of the fixed point of the target robotic arm.
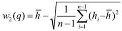
可选的,所述预设目标函数为:Optionally, the preset objective function is:
w(q)=α·w1(q)+β·w2(q)w(q)=α·w1 (q)+β·w2 (q)
其中,α为w1(q)的权重,β为w2(q)的权重,且α+β=1,N为所述目标机械臂的关节数,qi为遍历所述安全空间时,所述目标机械臂的第i个关节的位置,为所述目标机械臂的第i个关节的平均位置,qimax为所述目标机械臂的第i个关节的最大位置,qimin为所述目标机械臂的第i个关节的最小位置,n为所述机器人的机械臂数量,hi为遍历所述安全空间时,相邻两机械臂之间的间距,为所有相邻机械臂之间的间距的平均值;Wherein, α is the weight of w1 (q), β is the weight of w2 (q), and α+β=1, N is the number of joints of the target mechanical arm, qi is when traversing the safe space, the position of the i-th joint of the target manipulator, is the average position of the i-th joint of the target manipulator, qimax is the maximum position of the i-th joint of the target manipulator, qimin is the minimum position of the i-th joint of the target manipulator, n is the number of mechanical arms of the robot, hi is the distance between two adjacent mechanical arms when traversing the safe space, is the average value of the spacing between all adjacent manipulators;
所述将函数值满足预设条件的位置作为所述目标机械臂的不动点的目标位置,包括:The position where the function value satisfies the preset condition is used as the target position of the fixed point of the target mechanical arm, including:
将函数值最大时的位置作为所述目标机械臂的不动点的目标位置。The position where the function value is maximum is taken as the target position of the fixed point of the target mechanical arm.
可选的,所述根据所述机械臂的目标位姿,控制所述机械臂进行调整运动并控制所述支撑装置跟随所述机械臂进行相应运动,包括:Optionally, according to the target pose of the mechanical arm, controlling the mechanical arm to perform an adjustment movement and controlling the support device to follow the mechanical arm to perform a corresponding movement includes:
获取所述机械臂的当前位姿;Obtain the current pose of the robotic arm;
根据所述机械臂的目标位姿和当前位姿,规划所述机械臂的运动轨迹;planning the motion trajectory of the robotic arm according to the target pose and the current pose of the robotic arm;
根据所规划的所述机械臂的运动轨迹,控制所述机械臂按照所述运动轨迹进行调整运动,并控制所述支撑装置跟随所述机械臂的运动轨迹进行相应运动;According to the planned motion trajectory of the mechanical arm, controlling the mechanical arm to perform an adjustment movement according to the motion trajectory, and controlling the support device to follow the motion trajectory of the mechanical arm to perform a corresponding movement;
所述根据所述支撑装置的目标位姿,控制所述支撑装置进行调整运动并控制所述机械臂跟随所述支撑装置进行相应运动,包括:According to the target pose of the support device, controlling the support device to perform adjustment movements and controlling the mechanical arm to follow the support device to perform corresponding movements includes:
获取所述支撑装置的当前位姿;Obtain the current pose of the support device;
根据支撑装置的目标位姿和当前位姿,规划所述支撑装置的运动轨迹;planning a trajectory of the support device according to the target pose and the current pose of the support device;
根据所规划的支撑装置的运动轨迹,控制所述支撑装置按照其运动轨迹进行调整运动,并控制所述机械臂跟随所述支撑装置的运动轨迹进行相应运动。According to the planned motion trajectory of the support device, the support device is controlled to perform an adjustment movement according to the motion trajectory, and the mechanical arm is controlled to follow the motion trajectory of the support device to perform a corresponding movement.
可选的,所述根据所述机械臂的目标位姿和当前位姿,规划所述机械臂的运动轨迹,包括:Optionally, the planning the motion trajectory of the robotic arm according to the target pose and the current pose of the robotic arm includes:
根据所述机械臂的目标位姿和当前位姿,采用插值算法,获取所述机械臂的运动轨迹;According to the target pose and the current pose of the robotic arm, an interpolation algorithm is used to obtain the motion trajectory of the robotic arm;
所述根据支撑装置的目标位姿和当前位姿,规划所述支撑装置的运动轨迹,包括:The planning of the motion trajectory of the support device according to the target pose and the current pose of the support device includes:
根据所述支撑装置的目标位姿和当前位姿,采用插值算法,获取所述支撑装置的运动轨迹。According to the target pose and the current pose of the support device, an interpolation algorithm is used to obtain the motion trajectory of the support device.
可选的,所述根据所述机械臂的目标位姿和当前位姿,规划所述机械臂的运动轨迹,包括:Optionally, the planning the motion trajectory of the robotic arm according to the target pose and the current pose of the robotic arm includes:
根据所述机械臂的各关节的目标位置和当前位置,规划所述机械臂的各关节的运动轨迹;planning a movement trajectory of each joint of the mechanical arm according to the target position and the current position of each joint of the mechanical arm;
所述根据支撑装置的目标位姿和当前位姿,规划所述支撑装置的运动轨迹,包括:The planning of the motion trajectory of the support device according to the target pose and the current pose of the support device includes:
根据所述支撑装置的各关节的目标位置和当前位置,规划所述支撑装置的各关节的运动轨迹。According to the target position and the current position of each joint of the support device, the motion trajectory of each joint of the support device is planned.
可选的,所述控制所述支撑装置跟随所述机械臂进行相应运动,包括:Optionally, the controlling the supporting device to follow the mechanical arm to perform a corresponding movement includes:
获取所述机械臂的不动点在机器人坐标系下的实时位置信息;Obtain real-time position information of the fixed point of the mechanical arm in the robot coordinate system;
根据所述不动点在机器人坐标系下的实时位置信息、所述不动点与支撑装置坐标系之间的映射关系以及所述机器人坐标系与世界坐标系之间的映射关系,实时获取所述支撑装置坐标系与所述世界坐标系之间的目标映射关系;According to the real-time position information of the fixed point in the robot coordinate system, the mapping relationship between the fixed point and the support device coordinate system, and the mapping relationship between the robot coordinate system and the world coordinate system, obtain all the information in real time. A target mapping relationship between the support device coordinate system and the world coordinate system;
根据实时获取的所述支撑装置坐标系与所述世界坐标系之间的目标映射关系,控制所述支撑装置跟随所述机械臂进行相应运动;According to the target mapping relationship between the support device coordinate system and the world coordinate system obtained in real time, control the support device to follow the mechanical arm to perform corresponding movements;
所述控制所述机械臂跟随所述支撑装置进行相应运动,包括:The controlling the mechanical arm to follow the supporting device to perform corresponding movements includes:
获取支撑装置坐标系与世界坐标系之间的实时映射关系;Obtain the real-time mapping relationship between the support device coordinate system and the world coordinate system;
根据所述支撑装置坐标系与所述世界坐标系之间的实时映射关系、所述机械臂的不动点与所述支撑装置坐标系之间的映射关系以及机器人坐标系与所述世界坐标系之间的映射关系,实时获取所述机械臂的不动点在所述机器人坐标系下的目标位置信息;According to the real-time mapping relationship between the support device coordinate system and the world coordinate system, the mapping relationship between the fixed point of the manipulator and the support device coordinate system, and the robot coordinate system and the world coordinate system The mapping relationship between them, and obtain the target position information of the fixed point of the mechanical arm under the robot coordinate system in real time;
根据实时获取的所述机械臂的不动点在所述机器人坐标系下的目标位置信息,控制所述机械臂跟随所述支撑装置进行相应运动。According to the target position information of the fixed point of the mechanical arm acquired in real time in the robot coordinate system, the mechanical arm is controlled to follow the support device to perform corresponding movements.
可选的,所述计算机程序被处理器执行时,实现如下步骤:Optionally, when the computer program is executed by the processor, the following steps are implemented:
判断所述手术机器人系统的当前状态是否满足调整要求。It is judged whether the current state of the surgical robot system meets the adjustment requirement.
可选的,所述计算机程序被处理器执行时,实现如下步骤:Optionally, when the computer program is executed by the processor, the following steps are implemented:
对所述机械臂和所述支撑装置的实时调整运动过程进行监测,以判断是否出现异常情况。The real-time adjustment movement process of the mechanical arm and the support device is monitored to determine whether an abnormal situation occurs.
可选的,所述计算机程序被处理器执行时,实现如下步骤:Optionally, when the computer program is executed by the processor, the following steps are implemented:
对所述机械臂和所述支撑装置的实时调整运动过程进行显示。The real-time adjustment movement process of the mechanical arm and the support device is displayed.
为达到上述目的,本发明还提供一种手术机器人系统,所述手术机器人系统包括机器人和控制器,所述机器人包括至少一条机械臂,所述控制器与所述机器人通信连接,所述控制器包括处理器和如上文所述的可读存储介质。To achieve the above object, the present invention also provides a surgical robot system, the surgical robot system includes a robot and a controller, the robot includes at least one mechanical arm, the controller communicates with the robot, and the controller Including a processor and a readable storage medium as described above.
可选的,所述手术机器人系统包括与所述控制器通信连接的显示装置,所述显示装置用于对所述机械臂和所述支撑装置的实时调整运动过程进行显示。Optionally, the surgical robot system includes a display device communicatively connected with the controller, and the display device is used to display the real-time adjustment movement process of the mechanical arm and the support device.
为达到上述目的,本发明还提供一种调整系统,所述调整系统包括上文所述的机器人系统和定位装置,所述定位装置用于获取机器人坐标系与世界坐标系之间的映射关系以及支撑装置坐标系与所述世界坐标系之间的映射关系。To achieve the above object, the present invention also provides an adjustment system, the adjustment system includes the above-mentioned robot system and a positioning device, the positioning device is used to obtain the mapping relationship between the robot coordinate system and the world coordinate system and A mapping relationship between the support device coordinate system and the world coordinate system.
可选的,所述调整系统包括支撑装置,所述支撑装置与所述控制器通信连接,所述控制器用于控制所述支撑装置进行调整运动。Optionally, the adjustment system includes a support device, and the support device is communicatively connected with the controller, and the controller is used to control the support device to perform an adjustment movement.
与现有技术相比,本发明提供的可读存储介质、手术机器人系统和调整系统具有以下优点:本发明通过先获取机器人的机械臂的目标位姿,再对所述机械臂进行调整运动,以将所述机械臂的位姿调整至目标位姿,并在所述机械臂的调整过程中,控制所述支撑装置跟随所述机械臂进行相应运动;或者先获取支撑装置的目标位姿,再对所述支撑装置进行调整运动,以将所述支撑装置的位姿调整至目标位姿,并在所述支撑装置的调整过程中,控制机器人的机械臂跟随所述支撑装置进行相应运动。可见,本发明能够在不撤出器械的情况下,即可实现患者体位(即支撑装置位姿)与机械臂的位姿的调整,从而能够更高效、安全地完成手术,降低了对术前打孔位置以及设备摆位的要求,有效减少了术前准备时间,并且可以有效避免机械臂发生碰撞的概率。Compared with the prior art, the readable storage medium, surgical robot system and adjustment system provided by the present invention have the following advantages: the present invention obtains the target pose of the robotic arm of the robot first, and then adjusts the mechanical arm, to adjust the pose of the mechanical arm to a target pose, and during the adjustment process of the robotic arm, control the supporting device to follow the corresponding movement of the robotic arm; or obtain the target pose of the supporting device first, The supporting device is then adjusted to adjust the posture of the supporting device to a target posture, and during the adjustment process of the supporting device, the mechanical arm of the robot is controlled to follow the supporting device to perform corresponding movements. It can be seen that the present invention can realize the adjustment of the position of the patient (that is, the position of the support device) and the position of the mechanical arm without withdrawing the instrument, thereby completing the operation more efficiently and safely, and reducing the need for preoperative The requirements for the location of the punching hole and the positioning of the equipment can effectively reduce the preoperative preparation time, and can effectively avoid the probability of collision of the robotic arm.
附图说明Description of drawings
图1为本发明一实施方式中的可读存储介质上存储的计算机程序被处理器执行时,实现的步骤示意图;Fig. 1 is a schematic diagram of steps implemented when a computer program stored on a readable storage medium is executed by a processor in an embodiment of the present invention;
图2为本发明一实施方式中的获取目标位姿的流程示意图;FIG. 2 is a schematic flow diagram of acquiring a target pose in an embodiment of the present invention;
图3为本发明一实施方式中的解算获取目标位姿的流程示意图;Fig. 3 is a schematic flow chart of calculating and obtaining a target pose in an embodiment of the present invention;
图4为本发明一实施方式中的机械臂跟随支撑装置进行调整运动的流程示意图;Fig. 4 is a schematic flow chart of the adjustment movement of the mechanical arm following the supporting device in an embodiment of the present invention;
图5为本发明一实施方式中的支撑装置跟随机械臂进行调整运动的流程示意图;Fig. 5 is a schematic flowchart of the adjustment movement of the supporting device following the mechanical arm in an embodiment of the present invention;
图6为本发明一实施方式中的采用梯形速度曲线插值规划运动轨迹的流程示意图;Fig. 6 is a schematic flow chart of planning motion trajectory using trapezoidal velocity curve interpolation in an embodiment of the present invention;
图7为本发明一实施方式中的梯形速度曲线规划运动轨迹的示意图;7 is a schematic diagram of a trapezoidal speed curve planning motion trajectory in an embodiment of the present invention;
图8为本发明一实施方式中的三角形速度曲线规划运动轨迹的示意图;Fig. 8 is a schematic diagram of a triangular speed curve planning motion trajectory in an embodiment of the present invention;
图9为本发明一实施方式中的多项式插值规划运动轨迹的速度曲线图;Fig. 9 is a speed graph of polynomial interpolation planning motion trajectory in an embodiment of the present invention;
图10为本发明一实施方式中的多项式插值规划运动轨迹的加速度曲线图;Fig. 10 is an acceleration curve diagram of polynomial interpolation planning motion trajectory in an embodiment of the present invention;
图11为本发明一实施方式中的机械臂与支撑装置的自动调整的总流程示意图;Fig. 11 is a schematic diagram of the overall flow of the automatic adjustment of the mechanical arm and the supporting device in an embodiment of the present invention;
图12为本发明一实施方式中的调整状态的监测流程示意图;Fig. 12 is a schematic flow diagram of the monitoring process of the adjustment state in an embodiment of the present invention;
图13为本发明一实施方式中的调整系统的框架结构示意图;Fig. 13 is a schematic diagram of the frame structure of the adjustment system in an embodiment of the present invention;
图14为本发明一实施方式中的处理器的方框结构示意图;FIG. 14 is a schematic block diagram of a processor in an embodiment of the present invention;
图15为本发明一实施方式中的定位装置的测量原理示意图;Fig. 15 is a schematic diagram of the measurement principle of the positioning device in an embodiment of the present invention;
图16为本发明一实施方式中的显示装置的显示示意图。FIG. 16 is a schematic display diagram of a display device in an embodiment of the present invention.
其中,附图标记如下:Wherein, the reference signs are as follows:
支撑装置-100;支撑装置基座-110;支撑体-120;机器人-200;机器人基座-210;机械臂-220;器械-230;控制器-300;目标位姿获取模块-310;控制模块-320;记忆单元-311;解算单元-312;轨迹规划单元-321;调整单元-322;状态判断模块-330;监测模块-340;定位装置-400;第一标记物-130;第二标记物-240;显示装置-500;医生控制端-600。Support device-100; support device base-110; support body-120; robot-200; robot base-210; mechanical arm-220; instrument-230; controller-300; target pose acquisition module-310; module-320; memory unit-311; solving unit-312; trajectory planning unit-321; adjustment unit-322; state judging module-330; monitoring module-340; positioning device-400; Two markers-240; display device-500; doctor control terminal-600.
具体实施方式detailed description
以下结合附图1至16和具体实施方式对本发明提出的可读存储介质、手术机器人系统和调整系统作进一步详细说明。根据下面说明,本发明的优点和特征将更清楚。需要说明的是,附图采用非常简化的形式且均使用非精准的比例,仅用以方便、明晰地辅助说明本发明实施方式的目的。为了使本发明的目的、特征和优点能够更加明显易懂,请参阅附图。须知,本说明书所附图式所绘示的结构、比例、大小等,均仅用以配合说明书所揭示的内容,以供熟悉此技术的人士了解与阅读,并非用以限定本发明实施的限定条件,任何结构的修饰、比例关系的改变或大小的调整,在与本发明所能产生的功效及所能达成的目的相同或近似的情况下,均应仍落在本发明所揭示的技术内容能涵盖的范围内。The readable storage medium, surgical robot system and adjustment system proposed by the present invention will be further described in detail below with reference to the accompanying drawings 1 to 16 and specific embodiments. The advantages and features of the present invention will become clearer from the following description. It should be noted that the drawings are in a very simplified form and all use imprecise scales, which are only used to facilitate and clearly assist the purpose of illustrating the embodiments of the present invention. In order to make the objects, features and advantages of the present invention more comprehensible, please refer to the accompanying drawings. It should be noted that the structures, proportions, sizes, etc. shown in the drawings attached to this specification are only used to match the content disclosed in the specification, for those who are familiar with this technology to understand and read, and are not used to limit the implementation of the present invention. Conditions, any modification of structure, change of proportional relationship or adjustment of size, under the same or similar situation as the effect and purpose of the present invention, should still fall within the technical content disclosed in the present invention within the range that can be covered.
需要说明的是,在本文中,诸如第一和第二等之类的关系术语仅仅用来将一个实体或者操作与另一个实体或操作区分开来,而不一定要求或者暗示这些实体或操作之间存在任何这种实际的关系或者顺序。而且,术语“包括”、“包含”或者其任何其他变体意在涵盖非排他性的包含,从而使得包括一系列要素的过程、方法、物品或者设备不仅包括那些要素,而且还包括没有明确列出的其他要素,或者是还包括为这种过程、方法、物品或者设备所固有的要素。在没有更多限制的情况下,由语句“包括一个……”限定的要素,并不排除在包括所述要素的过程、方法、物品或者设备中还存在另外的相同要素。It should be noted that in this article, relational terms such as first and second are only used to distinguish one entity or operation from another entity or operation, and do not necessarily require or imply that there is a relationship between these entities or operations. any such actual relationship or order exists between them. Furthermore, the term "comprises", "comprises" or any other variation thereof is intended to cover a non-exclusive inclusion such that a process, method, article, or apparatus comprising a set of elements includes not only those elements, but also includes elements not expressly listed. other elements of or also include elements inherent in such a process, method, article, or apparatus. Without further limitations, an element defined by the phrase "comprising a ..." does not exclude the presence of additional identical elements in the process, method, article or apparatus comprising said element.
本发明的主要目的在于提供一种可读存储介质、手术机器人系统和调整系统,可以实现在器械不撤出的情况下,即可进行患者体位与机械臂的位姿的自动调整的目的。需要说明的是,本文中所称的机器人坐标系(X2,Y2,Z2)是以机器人基座上的任一点为原点所创建的坐标系,所称的支撑装置坐标系(X1,Y1,Z1)是以支撑装置的支撑体上的任一点为原点所创建的坐标系,所称的机械臂的位姿是指机械臂在机器人坐标系(X2,Y2,Z2)下的位姿,所称的支撑装置的位姿是指支撑装置在世界坐标系(X0,Y0,Z0)下的位姿;在自动调整过程中,所述机器人坐标系(X2,Y2,Z2)与世界坐标系(X0,Y0,Z0)之间的映射关系不变,所述支撑装置坐标系(X1,Y1,Z1)与所述世界坐标系(X0,Y0,Z0)之间的映射关系随着所述支撑装置的位姿的改变而发生改变。The main purpose of the present invention is to provide a readable storage medium, a surgical robot system and an adjustment system, which can realize the purpose of automatic adjustment of the patient's position and the posture of the mechanical arm without withdrawing the instrument. It should be noted that the robot coordinate system (X2, Y2, Z2) referred to in this paper is a coordinate system created with any point on the robot base as the origin, and the so-called support device coordinate system (X1, Y1, Z1 ) is a coordinate system created with any point on the support body of the support device as the origin. The so-called pose of the manipulator refers to the pose of the manipulator in the robot coordinate system (X2, Y2, Z2), and the so-called The pose of the support device refers to the pose of the support device in the world coordinate system (X0, Y0, Z0); during the automatic adjustment process, the robot coordinate system (X2, Y2, Z2) and the world coordinate system (X0 , Y0, Z0), the mapping relationship between the support device coordinate system (X1, Y1, Z1) and the world coordinate system (X0, Y0, Z0) is as the support device changes due to changes in pose.
为实现上述目的,本发明提供一种可读存储介质,应用于手术机器人系统,所述手术机器人系统包括机器人,所述机器人包括至少一条机械臂,所述可读存储介质内存储有计算机程序。请参考图1,其示意性地给出了本发明一实施方式提供的可读存储介质上存储的计算机程序被处理器执行时,实现的步骤示意图。如图1所示,所述计算机程序被处理器执行时,实现如下步骤:To achieve the above object, the present invention provides a readable storage medium, which is applied to a surgical robot system, the surgical robot system includes a robot, the robot includes at least one mechanical arm, and a computer program is stored in the readable storage medium. Please refer to FIG. 1 , which schematically shows the steps implemented when a computer program stored on a readable storage medium provided by an embodiment of the present invention is executed by a processor. As shown in Figure 1, when the computer program is executed by the processor, the following steps are implemented:
步骤S1、接收用户的调整指令;Step S1, receiving an adjustment instruction from a user;
步骤S2、获取机械臂的目标位姿或所述支撑装置的目标位姿;Step S2, acquiring the target pose of the robotic arm or the target pose of the supporting device;
步骤S3、根据所述机械臂的目标位姿,控制所述机械臂进行运动并控制所述支撑装置跟随所述机械臂进行相应运动;或根据所述支撑装置的目标位姿,控制所述支撑装置进行调整运动并控制所述机械臂跟随所述支撑装置进行相应运动。Step S3, according to the target pose of the robotic arm, control the robotic arm to move and control the supporting device to follow the corresponding movement of the robotic arm; or control the supporting device according to the target pose of the supporting device The device performs an adjustment movement and controls the mechanical arm to follow the support device to perform a corresponding movement.
由此,本发明通过先获取机器人的机械臂的目标位姿,再对所述机械臂进行调整运动,以将所述机械臂的位姿调整至目标位姿,并在所述机械臂的调整过程中,控制所述支撑装置跟随所述机械臂进行相应运动;或者先获取支撑装置的目标位姿,再对所述支撑装置进行调整运动,以将所述支撑装置的位姿调整至目标位姿,并在所述支撑装置的调整过程中,控制机器人的机械臂跟随所述支撑装置进行相应运动。可见,本发明能够在不撤出器械的情况下,即可实现患者体位(即支撑装置位姿)与机械臂的位姿的调整,从而能够更高效、安全地完成手术,降低了对术前打孔位置以及设备摆位的要求,有效减少了术前准备时间,并且可以有效避免机械臂发生碰撞的概率。Thus, the present invention acquires the target pose of the robotic arm of the robot first, and then adjusts the robotic arm to adjust the pose of the robotic arm to the target pose. During the process, the support device is controlled to follow the mechanical arm to perform corresponding movements; or the target pose of the support device is obtained first, and then the support device is adjusted to adjust the pose of the support device to the target position posture, and during the adjustment process of the support device, the mechanical arm of the robot is controlled to follow the support device to move accordingly. It can be seen that the present invention can realize the adjustment of the position of the patient (that is, the position of the support device) and the position of the mechanical arm without withdrawing the instrument, thereby completing the operation more efficiently and safely, and reducing the need for preoperative The requirements for the location of the punching hole and the positioning of the equipment can effectively reduce the preoperative preparation time, and can effectively avoid the probability of collision of the robotic arm.
进一步地,所述获取所述机械臂的目标位姿或所述支撑装置的目标位姿,包括:Further, the acquiring the target pose of the robotic arm or the target pose of the support device includes:
根据预先存储的目标位姿与手术类型之间的对应关系,获取所述机械臂的目标位姿或所述支撑装置的目标位姿;或Acquiring the target pose of the robotic arm or the target pose of the support device according to the pre-stored correspondence between the target pose and the operation type; or
根据预设目标函数获取所述机械臂的目标位姿或所述支撑装置的目标位姿。The target pose of the mechanical arm or the target pose of the supporting device is obtained according to a preset objective function.
请参考图2,其示意性地给出了本发明一实施方式提供的获取目标位姿的流程示意图。如图2所示,用户(例如医护人员)可通过输入单元(例如实体按键或虚拟按键)选择相应的手术类型以进入恢复模式,此时可以根据预先存储的目标位姿与手术类型之间的对应关系,选取所述机械臂的目标位姿或所述支撑装置的目标位姿。用户(例如医护人员)还可通过实体按键或虚拟按键选择进入设定模式,此时,可以根据预设目标函数获取所述机械臂的目标位姿或所述支撑装置的目标位姿。需要说明的是,本申请中所称的机械臂的目标位姿,是指机械臂所需要调整到的位姿(即机械臂的末端位置与姿态),所称的支撑装置的目标位姿,是指支撑装置所需要调整到的位姿(即支撑装置的三维空间位置与绕各方向的旋转角度)。Please refer to FIG. 2 , which schematically shows a flow chart of acquiring a target pose provided by an embodiment of the present invention. As shown in Figure 2, the user (such as a medical staff) can select the corresponding operation type through an input unit (such as a physical button or a virtual button) to enter the recovery mode. According to the corresponding relationship, the target pose of the robot arm or the target pose of the supporting device is selected. Users (such as medical personnel) can also choose to enter the setting mode through physical buttons or virtual buttons. At this time, the target pose of the mechanical arm or the target pose of the support device can be obtained according to a preset target function. It should be noted that the target pose of the robotic arm referred to in this application refers to the pose that the robotic arm needs to adjust to (ie, the end position and posture of the robotic arm), and the so-called target pose of the support device, Refers to the posture that the support device needs to adjust to (ie, the three-dimensional space position of the support device and the rotation angle around each direction).
具体的,可通过以下步骤根据预设目标函数获取所述机械臂的目标位姿或所述支撑装置的目标位姿:Specifically, the target pose of the robotic arm or the target pose of the support device can be obtained according to a preset objective function through the following steps:
将其中一条机械臂作为目标机械臂;Use one of the robotic arms as the target robotic arm;
获取所述目标机械臂的不动点的当前位置;Obtain the current position of the fixed point of the target mechanical arm;
根据所述目标机械臂的不动点的当前位置创建安全空间;creating a safe space based on the current position of the fixed point of the target robotic arm;
遍历所述安全空间的每一点,求解不同位置下的预设目标函数的函数值;Traverse each point of the safe space, and solve the function value of the preset objective function at different positions;
将函数值满足预设条件的位置作为所述目标机械臂的不动点的目标位置;Taking the position where the function value satisfies the preset condition as the target position of the fixed point of the target mechanical arm;
根据所述目标机械臂的不动点的目标位置获取所述机械臂的目标位姿或支撑装置的目标位姿。The target pose of the robotic arm or the target pose of the supporting device is obtained according to the target position of the fixed point of the target robotic arm.
请参考图3,其示意性地给出了本发明一实施方式提供的解算获取目标位姿的流程示意图。如图3所示,在实际操作过程中,可以选取任意一条机械臂作为目标机械臂,例如,选取安装有内窥镜的机械臂作为目标机械臂,通过获取该目标机械臂的不动点的当前位置(机器人坐标系(X2,Y2,Z2)下的坐标),并根据该目标机械臂的不动点的当前位置创建安全空间(保证机械臂在此安全空间内运动时,不会伤害患者的器官组织),所述安全空间可以为球空间、椭球空间、圆锥空间等具有平滑边界的立体空间,具体地,以球空间为例,可以以所述不动点的当前位置为球心、预设半径(例如2cm)为半径创建安全空间,再以固定步长遍历所述安全空间的每一点(包括所述安全空间的边界上的每一点以及所述安全空间内的每一点),求解不同位置下的预设目标函数的函数值,并将函数值满足预设条件的位置作为所述不动点的目标位置,此时所述不动点的目标位置指不动点在机器人坐标系(X2,Y2,Z2)下的坐标,即所述目标机械臂的目标位姿。通过对所述不动点的目标位置进行逆解,例如采用逆运动学方法即可获取所述目标机械臂的各关节的目标位置。由于其它的机械臂的不动点与所述目标机械臂的不动点之间具有预定的映射关系,由此,根据其它的机械臂的不动点与所述目标机械臂的不动点之间的映射关系以及所述目标机械臂的不动点的目标位置,可以获取其它的机械臂的不动点的目标位置,即其它的所述机械臂的目标位姿,通过对其它的机械臂的不动点的目标位置进行逆解,即可获取其它的所述机械臂的各关节的目标位置。Please refer to FIG. 3 , which schematically shows a flow chart of calculating and obtaining a target pose provided by an embodiment of the present invention. As shown in Figure 3, in the actual operation process, any robotic arm can be selected as the target robotic arm, for example, a robotic arm equipped with an endoscope is selected as the target robotic arm, and by obtaining the fixed point of the target robotic arm The current position (coordinates under the robot coordinate system (X2, Y2, Z2)), and create a safe space based on the current position of the fixed point of the target mechanical arm (to ensure that the patient will not be injured when the mechanical arm moves in this safe space organs and tissues), the safe space can be a three-dimensional space with smooth boundaries such as spherical space, ellipsoidal space, and conical space. Specifically, taking the spherical space as an example, the current position of the fixed point can be used as the center of the sphere , creating a safe space with a preset radius (for example, 2cm), and then traversing every point in the safe space (including every point on the boundary of the safe space and every point in the safe space) with a fixed step, Solve the function value of the preset objective function at different positions, and use the position where the function value satisfies the preset condition as the target position of the fixed point. At this time, the target position of the fixed point refers to the fixed point at the robot coordinate The coordinates under the system (X2, Y2, Z2), that is, the target pose of the target mechanical arm. By inversely solving the target position of the fixed point, for example, the target position of each joint of the target mechanical arm can be obtained by using an inverse kinematics method. Since there is a predetermined mapping relationship between the fixed points of other mechanical arms and the fixed point of the target mechanical arm, according to the relationship between the fixed points of other mechanical arms and the fixed point of the target mechanical arm The mapping relationship between them and the target position of the fixed point of the target manipulator, the target position of the fixed point of other manipulators can be obtained, that is, the target pose of other said manipulators, through other manipulators The target position of the fixed point of the fixed point can be inversely solved to obtain the target position of each joint of the other said mechanical arm.
同理,由于所述目标机械臂的不动点与支撑装置坐标系(X1,Y1,Z1)之间具有预定的映射关系,机器人坐标系(X2,Y2,Z2)与世界坐标系(X0,Y0,Z0)之间具有预定的映射关系,由此,根据所述目标机械臂的不动点的目标位置、所述目标机械臂的不动点与支撑装置坐标系(X1,Y1,Z1)之间的映射关系以及所述机器人坐标系(X2,Y2,Z2)与世界坐标系(X0,Y0,Z0)之间的映射关系,即可获取所述支撑装置在世界坐标系(X0,Y0,Z0)下的目标位姿,通过对所述支撑装置的目标位姿进行逆解,即可获取所述支撑装置的各关节的目标位置。其中,所述机器人坐标系(X2,Y2,Z2)与世界坐标系(X0,Y0,Z0)之间的映射关系可通过下文所述的定位装置测得。Similarly, since there is a predetermined mapping relationship between the fixed point of the target mechanical arm and the support device coordinate system (X1, Y1, Z1), the robot coordinate system (X2, Y2, Z2) and the world coordinate system (X0, There is a predetermined mapping relationship between Y0, Z0), thus, according to the target position of the fixed point of the target mechanical arm, the fixed point of the target mechanical arm and the support device coordinate system (X1, Y1, Z1) and the mapping relationship between the robot coordinate system (X2, Y2, Z2) and the world coordinate system (X0, Y0, Z0), the support device can be obtained in the world coordinate system (X0, Y0 , Z0), the target position of each joint of the support device can be obtained by inversely solving the target pose of the support device. Wherein, the mapping relationship between the robot coordinate system (X2, Y2, Z2) and the world coordinate system (X0, Y0, Z0) can be measured by the positioning device described below.
进一步地,所述预设目标函数为:Further, the preset objective function is:
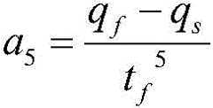
w(q)=α·w1(q)+β·w2(q)w(q)=α·w1 (q)+β·w2 (q)
其中,α为w1(q)的权重,β为w2(q)的权重,且α+β=1,N为所述目标机械臂的关节数,qi为遍历所述安全空间时,所述目标机械臂的第i个关节的位置,为所述目标机械臂的第i个关节的平均位置,qimax为所述目标机械臂的第i个关节的最大位置,qimin为所述目标机械臂的第i个关节的最小位置,n为所述机器人的机械臂数量,hi为遍历所述安全空间时,相邻两机械臂之间的间距,为所有相邻机械臂之间的间距的平均值。Wherein, α is the weight of w1 (q), β is the weight of w2 (q), and α+β=1, N is the number of joints of the target mechanical arm, qi is when traversing the safe space, the position of the i-th joint of the target manipulator, is the average position of the i-th joint of the target manipulator, qimax is the maximum position of the i-th joint of the target manipulator, qimin is the minimum position of the i-th joint of the target manipulator, n is the number of mechanical arms of the robot, hi is the distance between two adjacent mechanical arms when traversing the safe space, is the average of the distances between all adjacent manipulators.
对应的,所述将函数值满足预设条件的位置作为所述不动点的目标位置,包括:Correspondingly, the position where the function value satisfies the preset condition is used as the target position of the fixed point, including:
将目标函数值最大时的位置作为所述不动点的目标位置。The position where the objective function value is maximum is taken as the target position of the fixed point.
具体的,在遍历所述安全空间的某一点时,通过逆运动学算法,求得该位置下的所述目标机械臂的各关节的位置,以及该位置下的其它机械臂的不动点的对应位置,以获得该位置下的目标函数w(q)的函数值。同理,在遍历所述安全空间的其它任意一点时,均可采用以上方法获取对应位置下的目标函数w(q)的函数值。通过对不同位置下的目标函数w(q)的函数值进行比对,将函数值最大时的位置作为所述目标机械臂的不动点的目标位置。Specifically, when traversing a certain point in the safe space, the position of each joint of the target mechanical arm at this position and the fixed points of other mechanical arms at this position are obtained through an inverse kinematics algorithm. corresponding to the position to obtain the function value of the objective function w(q) at the position. Similarly, when traversing any other point in the safe space, the above method can be used to obtain the function value of the objective function w(q) at the corresponding position. By comparing the function values of the objective function w(q) at different positions, the position where the function value is maximum is taken as the target position of the fixed point of the target mechanical arm.
所述α和所述β的具体数值可以根据具体情况进行设定,例如,当α为1,β为0时,目标函数为:The specific values of the α and the β can be set according to specific situations, for example, when α is 1 and β is 0, the objective function is:
针对此种情况,当目标函数w(q)的函数值最大时,qi趋近于即所述机器人的机械臂220的各关节的位置均趋近于其平均位置,因此机械臂的工作空间范围大大提高,此时能够满足机械臂运动空间最优的条件。In this case, when the function value of the objective function w(q) is the largest, qi tends to That is, the position of each joint of the
当α为0,β为1时,目标函数为:When α is 0 and β is 1, the objective function is:
针对此种情况,当目标函数值最大时,hi趋近于即所述机器人的各机械臂之间趋近于等间距分布,因此可以有效避免手术过程中各机械臂之间发生碰撞,此时能够满足机械臂摆位最优的条件。In this case, when the value of the objective function is the largest, hi tends to That is, the distribution of the mechanical arms of the robot tends to be equidistant, so that the collision between the mechanical arms during the operation can be effectively avoided, and at this time, the condition for optimal positioning of the mechanical arms can be met.
当α为0.5,β为0.5时,机械臂运动空间的优化和机械臂摆位的优化能够达到均衡,不仅能够提高机械臂的有效运动空间,而且还能有效降低手术操作过程中机械臂发生碰撞的概率。When α is 0.5 and β is 0.5, the optimization of the movement space of the manipulator and the optimization of the position of the manipulator can reach a balance, which can not only improve the effective movement space of the manipulator, but also effectively reduce the collision of the manipulator during the operation. The probability.
请继续参考图4,其示意性地给出了本发明一实施方式提供的机械臂跟随支撑装置进行调整运动的流程示意图,如图4所示,所述根据所述机械臂的目标位姿,控制所述机械臂进行调整运动并控制所述支撑装置跟随所述机械臂进行相应运动的流程包括:Please continue to refer to FIG. 4 , which schematically shows a flow chart of the adjustment movement of the mechanical arm following the support device provided by an embodiment of the present invention. As shown in FIG. 4 , according to the target pose of the mechanical arm, The process of controlling the mechanical arm to perform an adjustment movement and controlling the supporting device to follow the mechanical arm to perform a corresponding movement includes:
获取所述机械臂的当前位姿;Obtain the current pose of the robotic arm;
根据所述机械臂的目标位姿和当前位姿,规划所述机械臂的运动轨迹;planning the motion trajectory of the robotic arm according to the target pose and the current pose of the robotic arm;
根据所规划的所述机械臂的运动轨迹,控制所述机械臂按照所述运动轨迹进行调整运动,并控制所述支撑装置(例如手术床)跟随所述机械臂的运动轨迹进行相应运动。According to the planned movement trajectory of the mechanical arm, the mechanical arm is controlled to perform adjustment movements according to the movement trajectory, and the support device (such as an operating bed) is controlled to follow the movement trajectory of the mechanical arm to perform a corresponding movement.
请继续参考图5,其示意性地给出了本发明一实施方式提供的支撑装置跟随机械臂进行调整运动的流程示意图。如图5所示,所述根据所述支撑装置的目标位姿,控制所述支撑装置进行调整运动并控制所述机械臂跟随所述支撑装置进行相应运动,包括:Please continue to refer to FIG. 5 , which schematically shows a flowchart of the adjustment movement of the support device following the mechanical arm provided by an embodiment of the present invention. As shown in FIG. 5 , the control of the support device to perform an adjustment movement and control the mechanical arm to follow the support device to perform a corresponding movement according to the target pose of the support device includes:
获取所述支撑装置的当前位姿;Obtain the current pose of the support device;
根据支撑装置的目标位姿和当前位姿,规划所述支撑装置的运动轨迹;planning a trajectory of the support device according to the target pose and the current pose of the support device;
根据所规划的支撑装置的运动轨迹,控制所述支撑装置按照其运动轨迹进行调整运动,并控制所述机械臂跟随所述支撑装置的运动轨迹进行相应运动。According to the planned motion trajectory of the support device, the support device is controlled to perform an adjustment movement according to the motion trajectory, and the mechanical arm is controlled to follow the motion trajectory of the support device to perform a corresponding movement.
进一步地,所述根据所述机械臂的目标位姿和当前位姿,规划所述机械臂的运动轨迹,包括:Further, the planning of the motion trajectory of the robotic arm according to the target pose and the current pose of the robotic arm includes:
根据所述机械臂的目标位姿和当前位姿,采用插值算法,获取所述机械臂的运动轨迹;According to the target pose and the current pose of the robotic arm, an interpolation algorithm is used to obtain the motion trajectory of the robotic arm;
所述根据支撑装置的目标位姿和当前位姿,规划所述支撑装置的运动轨迹,包括:The planning of the motion trajectory of the support device according to the target pose and the current pose of the support device includes:
根据所述支撑装置的目标位姿和当前位姿,采用插值算法,获取所述支撑装置的运动轨迹。According to the target pose and the current pose of the support device, an interpolation algorithm is used to obtain the motion trajectory of the support device.
请参考图6至图8,其中,图6示意性地给出了本发明一实施方式提供的采用梯形速度曲线插值规划机械臂或支撑装置的运动轨迹的流程示意图;图7示意性地给出了本发明一实施方式提供的梯形速度曲线规划示意图;图8示意性地给出了本发明一实施方式提供的三角形速度曲线规划示意图。如图6至图8所示,根据设定的最大速度Vmax和恒定加速度a可得到梯形速度曲线中速度上升时间ts,其中,最大速度Vmax和恒定加速度a可以根据具体情况进行设置。当规划距离s(目标位置与当前位置之间的距离)小于Vmax*ts时,采用三角形速度曲线生成运动轨迹,其中速度轨迹如图8所示,位置轨迹可由速度积分得到,其中:Please refer to FIG. 6 to FIG. 8 , wherein FIG. 6 schematically shows a schematic flow chart of planning the motion track of a manipulator or support device using trapezoidal velocity curve interpolation provided by an embodiment of the present invention; FIG. 7 schematically shows A schematic diagram of trapezoidal speed curve planning provided by an embodiment of the present invention is shown; FIG. 8 schematically shows a schematic diagram of triangular speed curve planning provided by an embodiment of the present invention. As shown in Figures 6 to 8, the speed rise time ts in the trapezoidal speed curve can be obtained according to the set maximum speed Vmax and constant acceleration a, where the maximum speed Vmax and constant acceleration a can be set according to specific conditions. When the planning distance s (the distance between the target position and the current position) is less than Vmax * ts , a triangular velocity curve is used to generate the motion trajectory, where the velocity trajectory is shown in Figure 8, and the position trajectory can be obtained by velocity integration, where:
v=at,t≤0v=at,t≤0
v=a(t-2t0),t0≤t≤2t0v=a(t-2t0 ), t0 ≤t≤2t0
当规划距离s大于或等于Vmax*ts时,采用梯形速度曲线生成运动轨迹,其中速度轨迹如图7所示,位置轨迹可由速度积分得到,其中:When the planning distance s is greater than or equal to Vmax *ts , the trapezoidal velocity curve is used to generate the motion trajectory, where the velocity trajectory is shown in Figure 7, and the position trajectory can be obtained by velocity integration, where:
v=at,t≤tsv=at, t≤ts
v=Vmax,ts≤t≤tf-tsv=Vmax , ts ≤t≤tf -ts
v=-a(t-tf),tf-ts≤t≤tfv=-a(ttf ), tf -ts ≤t≤tf
下面以五项式插值为例对采用多项式插值规划运动轨迹的原理进行说明。The principle of using polynomial interpolation to plan motion trajectories will be described below by taking pentomial interpolation as an example.
设定t时刻的位置表达式为:The position expression at time t is set as:
q(t)=a5t5+a4t4+a3t3+a2t2+a1t+a0q(t)=a5 t5 +a4 t4 +a3 t3 +a2 t2 +a1 t+a0
设定初始时刻位置为q0,终止时刻位置为qf,初始时刻速度和终止时刻的速度均为0,上述条件均为约束条件,即约束条件为:Set the position at the initial time as q0 , the position at the end time as qf , the speed at the initial time and the speed at the end time are both 0, the above conditions are constraints, that is, the constraints are:
q(0)=qsq(0)=qs
q(tf)=qfq(tf )=qf
利用上述6个约束条件,便可得到位置轨迹,其中:Using the above six constraints, the position trajectory can be obtained, where:
a0=qsa0 =qs
a1=a2=0a1 =a2 =0
速度轨迹可通过对位置轨迹进行求导得到,请参考图9,其示意性地给出了本发明一实施方式提供的五项式插值规划轨迹的速度曲线图。加速度轨迹可通过对速度轨迹进行求导得到,请参考图10,其示意性地给出了本发明一实施方式提供的五项式插值规划轨迹的加速度曲线图。The velocity trajectory can be obtained by deriving the position trajectory. Please refer to FIG. 9 , which schematically shows the velocity curve diagram of the pentomial interpolation planning trajectory provided by an embodiment of the present invention. The acceleration trajectory can be obtained by deriving the velocity trajectory. Please refer to FIG. 10 , which schematically shows the acceleration curve diagram of the pentomial interpolation planning trajectory provided by an embodiment of the present invention.
在一种示范性的实施方式中,所述根据所述机械臂的目标位姿和当前位姿,规划所述机械臂的运动轨迹,包括:In an exemplary implementation, the planning of the motion trajectory of the robotic arm according to the target pose and the current pose of the robotic arm includes:
根据所述机械臂的各关节的目标位置和当前位置,规划所述机械臂的各关节的运动轨迹;planning a movement trajectory of each joint of the mechanical arm according to the target position and the current position of each joint of the mechanical arm;
所述根据支撑装置的目标位姿和当前位姿,规划所述支撑装置的运动轨迹,包括:The planning of the motion trajectory of the support device according to the target pose and the current pose of the support device includes:
根据所述支撑装置的各关节的目标位置和当前位置,规划所述支撑装置的各关节的运动轨迹。According to the target position and the current position of each joint of the support device, the motion trajectory of each joint of the support device is planned.
进一步地,所述控制所述支撑装置跟随所述机械臂进行相应运动,包括:Further, the controlling the supporting device to follow the corresponding movement of the mechanical arm includes:
获取所述机械臂的不动点在机器人坐标系下的实时位置信息;Obtain real-time position information of the fixed point of the mechanical arm in the robot coordinate system;
根据所述不动点在机器人坐标系下的实时位置信息、所述不动点与支撑装置坐标系之间的映射关系以及所述机器人坐标系与世界坐标系之间的映射关系,实时获取所述支撑装置坐标系与所述世界坐标系之间的目标映射关系;According to the real-time position information of the fixed point in the robot coordinate system, the mapping relationship between the fixed point and the support device coordinate system, and the mapping relationship between the robot coordinate system and the world coordinate system, obtain all the information in real time. A target mapping relationship between the support device coordinate system and the world coordinate system;
根据实时获取的所述支撑装置坐标系与所述世界坐标系之间的目标映射关系,控制所述支撑装置跟随所述机械臂进行相应运动。According to the target mapping relationship between the coordinate system of the support device and the world coordinate system obtained in real time, the support device is controlled to follow the mechanical arm to perform a corresponding movement.
具体的,在支撑装置跟随机械臂j进行相应运动的过程中,支撑装置坐标系(X1,Y1,Z1)与世界坐标系(X0,Y0,Z0)之间的目标映射关系可通过如下公式求得:Specifically, during the corresponding movement of the support device following the robot arm j, the target mapping relationship between the support device coordinate system (X1, Y1, Z1) and the world coordinate system (X0, Y0, Z0) It can be obtained by the following formula:
其中,为机器人坐标系(X2,Y2,Z2)与世界坐标系(X0,Y0,Z0)之间的映射关系,2Pi为机械臂j的不动点在机器人坐标系(X2,Y2,Z2)下的坐标,其随着机械臂j的调整运动不断变化,1Pj为机械臂j的不动点在支撑装置坐标系(X1,Y1,Z1)下的坐标,(1Pj)+为1Pj的伪逆。in, is the mapping relationship between the robot coordinate system (X2, Y2, Z2) and the world coordinate system (X0, Y0, Z0),2 Pi is the fixed point of the robot arm j in the robot coordinate system (X2, Y2, Z2) The coordinates below are constantly changing with the adjustment movement of the manipulator j,1 Pj is the coordinate of the fixed point of the manipulator j in the support device coordinate system (X1, Y1, Z1), (1 Pj )+ is1 Pseudo-inverse ofj .
由于所述机械臂j的各关节上均安装有位置传感器,由此在机械臂220的调整运动过程中,可以实时获取各关节的在机器人坐标系(X2,Y2,Z2)下的坐标,通过运动学方程即可实时获取所述机械臂j的不动点在机器人坐标系(X2,Y2,Z2)下的坐标2Pj。由此,根据上述公式,即可实时获取所述支撑装置坐标系(X1,Y1,Z1)与所述世界坐标系(X0,Y0,Z0)之间的目标映射关系进而可以根据实时获取的所述支撑装置坐标系(X1,Y1,Z1)与所述世界坐标系(X0,Y0,Z0)之间的目标映射关系控制所述支撑装置跟随所述机械臂j进行相应运动。具体的,可以通过对所获取的支撑装置坐标系(X1,Y1,Z1)与世界坐标系(X0,Y0,Z0)之间的目标映射关系采用逆运动学解法获取所述支撑装置的各个关节的目标位置,进而根据实时获取的所述支撑装置的各个关节的目标位置,控制所述支撑装置跟随所述机械臂j进行相应运动。Since position sensors are installed on each joint of the mechanical arm j, the coordinates of each joint in the robot coordinate system (X2, Y2, Z2) can be obtained in real time during the adjustment movement process of the
所述控制所述机械臂跟随所述支撑装置进行相应运动,包括:The controlling the mechanical arm to follow the supporting device to perform corresponding movements includes:
获取支撑装置坐标系与世界坐标系之间的实时映射关系;Obtain the real-time mapping relationship between the support device coordinate system and the world coordinate system;
根据所述支撑装置坐标系与所述世界坐标系之间的实时映射关系、所述机械臂的不动点与所述支撑装置坐标系之间的映射关系以及机器人坐标系与所述世界坐标系之间的映射关系,实时获取所述机械臂的不动点在所述机器人坐标系下的目标位置信息;According to the real-time mapping relationship between the support device coordinate system and the world coordinate system, the mapping relationship between the fixed point of the manipulator and the support device coordinate system, and the robot coordinate system and the world coordinate system The mapping relationship between them, and obtain the target position information of the fixed point of the mechanical arm under the robot coordinate system in real time;
根据实时获取的所述机械臂的不动点在所述机器人坐标系下的目标位置信息,控制所述机械臂跟随所述支撑装置进行相应运动。According to the target position information of the fixed point of the mechanical arm acquired in real time in the robot coordinate system, the mechanical arm is controlled to follow the support device to perform corresponding movements.
具体的,以机械臂j为例,在机械臂j跟随支撑装置进行调整运动的过程中,机械臂j的不动点在机器人坐标系(X2,Y2,Z2)下的目标坐标2P′j可通过如下公式求得:Specifically, taking robotic arm j as an example, during the adjustment movement of robotic arm j following the support device, the fixed point of robotic arm j is at the target coordinate2 P′j in the robot coordinate system (X2, Y2, Z2) It can be obtained by the following formula:
其中,为支撑装置坐标系(X1,Y1,Z1)与世界坐标系(X0,Y0,Z0)之间的映射关系,其随着支撑装置的调整运动不断变化,为机器人坐标系(X2,Y2,Z2)与世界坐标系(X0,Y0,Z0)之间的映射关系,1Pj为机械臂j的不动点在支撑装置坐标系(X1,Y1,Z1)下的坐标。in, is the mapping relationship between the support device coordinate system (X1, Y1, Z1) and the world coordinate system (X0, Y0, Z0), which changes continuously with the adjustment movement of the support device, is the mapping relationship between the robot coordinate system (X2, Y2, Z2) and the world coordinate system (X0, Y0, Z0),1 Pj is the fixed point of the manipulator j in the support device coordinate system (X1, Y1, Z1 ) under the coordinates.
在支撑装置的调整运动中,通过下文所述的定位装置可以实时测得支撑装置坐标系(X1,Y1,Z1)与世界坐标系(X0,Y0,Z0)之间的映射关系由此,根据上述公式,即可实时获取所述机械臂j的不动点在机器人坐标系(X2,Y2,Z2)下的目标坐标2Pj′,进而可以根据实时获取的所述不动点在机器人坐标系(X2,Y2,Z2)下的目标坐标2Pj′,控制所述机械臂j跟随所述支撑装置100进行调整运动。具体的,可以根据所述不动点在机器人坐标系(X2,Y2,Z2)下的目标坐标2Pj′,采用逆运动学解法获取所述机械臂j的各个关节的目标位置,进而根据实时获取的所述机械臂j的各个关节的目标位置,控制所述机械臂j跟随所述支撑装置100进行相应运动。其它机械臂220的运动过程可以参考上述机械臂j的调整过程,故在此不再进行赘述。During the adjustment movement of the supporting device, the mapping relationship between the supporting device coordinate system (X1, Y1, Z1) and the world coordinate system (X0, Y0, Z0) can be measured in real time through the positioning device described below Thus, according to the above formula, the target coordinate2 Pj ′ of the fixed point of the manipulator j in the robot coordinate system (X2, Y2, Z2) can be obtained in real time, and then the fixed point obtained in real time can be obtained according to Point at the target coordinate2 Pj ′ under the robot coordinate system (X2, Y2, Z2), and control the mechanical arm j to follow the
请参考图11,其示意性地给出了本发明一实施方式提供的机械臂与支撑装置自动调整的流程示意图。如图11所示,所述计算机程序被处理器执行时,还实现如下步骤:Please refer to FIG. 11 , which schematically shows a flow chart of the automatic adjustment of the mechanical arm and the supporting device provided by an embodiment of the present invention. As shown in Figure 11, when the computer program is executed by the processor, the following steps are also implemented:
判断所述手术机器人系统的当前状态是否满足调整要求。It is judged whether the current state of the surgical robot system meets the adjustment requirement.
具体的,如图11所示,当接收用户的自动调整指令后,通过先判断所述手术机器人系统的当前状态是否适合进行机械臂和支撑装置的调整运动,若判断结果为是,再进行支撑装置与机械臂的自动调整运动;若判断结果为否,则结束自动调整过程。由此可见,本发明通过在手术机器人系统的当前状态满足调整要求的前提下,进行支撑装置与机械臂的自动调整运动,可以有效保证自动调整过程中的手术安全性。具体的,可以通过执行若干安全检测,以判断所述手术机器人系统的当前状态是否满足调整要求,所述安全检测包括但不限于检测各所述机械臂是否处于位置保持状态(即机械臂是否处于静止状态),安装在各所述机械臂上的器械的位置是否已被锁定,安装在各所述机械臂上的器械的位置是否合适,例如当各所述机械臂未处于位置保持状态,安装在各所述机械臂上的器械的位置未被锁定,安装在各所述机械臂上的器械的位置不合适等任一情况出现时,则判定所述手术机器人系统的当前状态不满足调整要求。当各所述机械臂处于位置保持状态,安装在各所述机械臂上的器械的位置被锁定,安装在各所述机械臂上的器械的位置合适,则判定所述手术机器人系统的当前状态满足调整要求。Specifically, as shown in Figure 11, after receiving the user's automatic adjustment instruction, first judge whether the current state of the surgical robot system is suitable for adjusting the mechanical arm and the support device, if the judgment result is yes, then perform the support The automatic adjustment movement of the device and the mechanical arm; if the judgment result is negative, the automatic adjustment process ends. It can be seen that the present invention can effectively ensure the safety of the operation during the automatic adjustment process by performing the automatic adjustment movement of the support device and the mechanical arm on the premise that the current state of the surgical robot system meets the adjustment requirements. Specifically, it is possible to judge whether the current state of the surgical robot system satisfies the adjustment requirements by performing several safety checks. The safety checks include but are not limited to checking whether each of the robotic arms is in a position holding state (that is, whether the robotic arm is in the static state), whether the position of the instruments installed on each of the mechanical arms has been locked, whether the position of the instruments installed on each of the said mechanical arms is appropriate, for example, when each of the said mechanical arms is not in the position holding state, the installation When any situation occurs, such as the position of the instrument on each of the robotic arms is not locked, or the position of the instrument on each of the robotic arms is inappropriate, it is determined that the current state of the surgical robot system does not meet the adjustment requirements . When each of the mechanical arms is in a position holding state, the positions of the instruments installed on each of the mechanical arms are locked, and the positions of the instruments installed on each of the mechanical arms are appropriate, then the current state of the surgical robot system is determined Meet the adjustment requirements.
进一步地,如图11所示,所述计算机程序被处理器执行时,还实现如下步骤:Further, as shown in Figure 11, when the computer program is executed by the processor, the following steps are also implemented:
对所述机械臂和所述支撑装置的实时调整运动过程进行显示。The real-time adjustment movement process of the mechanical arm and the support device is displayed.
由此,通过在自动调整过程中,对所述机械臂和所述支撑装置的实时调整运动过程进行显示,可以便于用户观察所述机械臂和所述支撑装置的调整运动过程。Therefore, by displaying the real-time adjustment movement process of the mechanical arm and the support device during the automatic adjustment process, it may be convenient for the user to observe the adjustment movement process of the mechanical arm and the support device.
请继续参考图12,其示意性地给出了本发明一实施方式提供的调整状态的监测流程示意图。如图12所示,所述计算机程序被处理器执行时,还实现如下步骤:Please continue to refer to FIG. 12 , which schematically shows a flow chart of monitoring an adjustment state provided by an embodiment of the present invention. As shown in Figure 12, when the computer program is executed by the processor, the following steps are also implemented:
对各所述机械臂和所述支撑装置的实时调整运动过程进行监测,以判断是否出现异常情况。The real-time adjustment movement process of each of the mechanical arms and the support device is monitored to determine whether there is an abnormal situation.
具体的,如图12所示,在机械臂和支撑装置的自动调整过程中,对各所述机械臂和所述支撑装置的实时调整运动过程进行监测,并判断调整过程中是否存在异常情况,从而可以在调整过程中出现异常情况时,立即停止自动调整进程,以保护患者安全。例如,当判断患者打孔处受力过大时,会将其判断为异常情况,当机械臂不动点在支撑装置坐标系下发生的偏移较大时,也会将其判断为异常情况。Specifically, as shown in Figure 12, during the automatic adjustment process of the mechanical arm and the support device, the real-time adjustment movement process of each of the mechanical arms and the support device is monitored, and it is judged whether there is an abnormal situation during the adjustment process, Therefore, when an abnormal situation occurs during the adjustment process, the automatic adjustment process can be stopped immediately to protect the safety of the patient. For example, when it is judged that the force on the patient's punching place is too large, it will be judged as an abnormal situation, and when the fixed point of the mechanical arm has a large offset in the coordinate system of the support device, it will also be judged as an abnormal situation .
进一步地,如图12所示,所述计算机程序被处理器执行时,还实现如下步骤:Further, as shown in Figure 12, when the computer program is executed by the processor, the following steps are also implemented:
判断所述机械臂和/或所述支撑装置是否运动至目标位姿;judging whether the mechanical arm and/or the supporting device has moved to a target pose;
若是,则保存该目标位姿。If so, save the target pose.
由此,在机械臂和支撑装置的自动调整过程中,判断所述机械臂和/或所述支撑装置是否运动至目标位姿,从而可以在机械臂和/或支撑装置运动至目标位姿时,保存该目标位姿并结束自动调整过程。Thus, during the automatic adjustment process of the mechanical arm and the support device, it is judged whether the mechanical arm and/or the support device moves to the target pose, so that when the mechanical arm and/or the support device moves to the target pose , save the target pose and end the automatic adjustment process.
本发明还提供一种调整系统,请参考图13,其示意性地给出了本发明一实施方式提供的调整系统的框架结构示意图,如图13所示,所述调整系统包括手术机器人系统,所述手术机器人系统包括机器人200,所述机器人200包括机器人基座210,所述机器人基座210上安装有至少一条机械臂220。The present invention also provides an adjustment system. Please refer to FIG. 13, which schematically shows a schematic diagram of the frame structure of the adjustment system provided by an embodiment of the present invention. As shown in FIG. 13, the adjustment system includes a surgical robot system, The surgical robot system includes a
请继续参考图13,所述调整系统还包括定位装置400、支撑装置100和控制器300,所述机器人200、所述定位装置400和所述支撑装置100均与所述控制器300通信连接。所述控制器300包括处理器和上文所述的可读存储介质。所述支撑装置100具有移动、俯仰、偏摆等多个自由度(所述支撑装置具有多个关节,以实现移动、俯仰、偏摆等多个自由度的运动,所述支撑装置的具体结构可以参考现有技术中的多自由度病床,在此不再赘述)。所述支撑装置100包括支撑装置基座110和安装于所述支撑装置基座110上的支撑体120。所述支撑装置100用于支撑所述手术对象(例如手术对象),即所述手术对象可以躺在或坐在所述支撑装置200上进行手术,所述支撑装置200可以为病床或者除病床以外的其它能够支撑所述手术对象以进行手术操作的部件。Please continue to refer to FIG. 13 , the adjustment system further includes a
在一些实施例中,所述控制器300可与所述手术机器人系统中的任意一个或多个装置结合设置,例如设置在所述手术机器人系统的医生控制端600处,或设置在所述机器人100处、或设置在下文所述的显示装置500处等;在一些实施例中,所述控制器300也可设置在所述定位装置400处;在又一些实施例中,所述控制器300单独设置;并且所述控制器300可以为具体的硬件或者软件单元,也可以为硬件与软件相结合的设置,本发明对于所述控制器300的具体设置不作限定。In some embodiments, the
请继续参考图14,其示意性地给出了本发明一实施方式提供的控制器中的处理器的方框结构示意图。如图14所示,所述处理器具体包括目标位姿获取模块310和控制模块320。其中,所述目标位姿获取模块310用于获取所述机械臂220的目标位姿或所述支撑装置100的目标位姿;所述控制模块320用于根据所述机械臂220的目标位姿,控制所述机械臂220进行调整运动并控制所述支撑装置100跟随所述机械臂220进行相应运动;或根据支撑装置100的目标位姿,控制所述支撑装置100进行调整运动并控制所述机械臂220跟随所述支撑装置100进行相应运动。Please continue to refer to FIG. 14 , which schematically shows a block structure diagram of a processor in a controller provided by an embodiment of the present invention. As shown in FIG. 14 , the processor specifically includes a target pose acquisition module 310 and a control module 320 . Wherein, the target pose obtaining module 310 is used to obtain the target pose of the
如图14所示,进一步地,所述目标位姿获取模块310包括记忆单元310和解算单元312,其中,所述记忆单元310用于根据预先存储的目标位姿与手术类型之间的对应关系,获取所述机械臂220的目标位姿或所述支撑装置100的目标位姿,例如所述记忆单元用于存储预设的机械臂与病床构型,并保存该预设的构型,以实现术中能够自动恢复至该预设的构型,该预设构型能够避免机械臂术中发生碰撞和/或具有最佳操作空间;所述解算单元312用于根据预设目标函数获取所述机械臂220的目标位姿或所述支撑装置100的目标位姿。As shown in Figure 14, further, the target pose acquisition module 310 includes a memory unit 310 and a calculation unit 312, wherein the memory unit 310 is used to , to obtain the target pose of the
其中,所述记忆单元310内预设有若干种不同的机械臂220与支撑装置100的手术构型(即目标位姿),例如肾脏类型手术构型、前列腺类型手术构型等,所述解算单元312可根据手术机器人系统的状态与用户(例如医护人员)的具体需求,通过优化算法计算得到机械臂220或支撑装置100的最优构型。在实际操作过程中,用户(例如医护人员)可通过实体按键或虚拟按键选择相应的手术类型以进入恢复模式,此时所述控制模块320会根据所述记忆单元310获取的机械臂220或支撑装置100的构型控制所述机械臂220或所述支撑装置100自动运动至该构型位置处。用户(例如医护人员)还可通过实体按键或虚拟按键选择进入设定模式,此时,所述控制模块320会根据所述解算单元312计算得到的机械臂220或支撑装置100的最优构型,控制所述机械臂220或所述支撑装置100自动运动至该最优构型处。在确定了机械臂220或支撑装置100的最优构型后,用户(例如医护人员)可通过记忆单元310保存该最优构型的相关信息,从而可以在之后的手术过程中,用户(例如医护人员)可通过所述控制器300直接控制机械臂220或支撑装置100恢复至该保存的最优构型处。Wherein, the memory unit 310 is preset with several different surgical configurations (i.e., target poses) of the
需要说明的是,如本领域技术人员所能理解的,在其它一些实施方式中,所述目标位姿获取模块310可以仅包括记忆单元310;在其它一些实施方式中,所述目标位姿获取模块310也可以仅包括解算单元312。It should be noted that, as those skilled in the art can understand, in some other implementations, the target pose acquisition module 310 may only include the memory unit 310; in other implementations, the target pose acquisition The module 310 may also only include the calculating unit 312 .
如图14所示,所述控制模块320包括轨迹规划单元321和调整单元322。其中,所述轨迹规划单元321用于根据所述机械臂220的目标位姿和当前位姿,规划所述机械臂220的运动轨迹,或根据支撑装置100的目标位姿和当前位姿,规划所述支撑装置100的运动轨迹;所述调整单元322用于根据所规划的所述机械臂220的运动轨迹,控制各所述机械臂220按照所述运动轨迹进行调整运动,并控制所述支撑装置100跟随所述机械臂220的运动轨迹进行相应运动,或根据所规划的支撑装置100的运动轨迹,控制所述支撑装置100按照其运动轨迹进行调整运动,并控制所述机械臂220跟随所述支撑装置100的运动轨迹进行相应运动。As shown in FIG. 14 , the control module 320 includes a trajectory planning unit 321 and an adjustment unit 322 . Wherein, the trajectory planning unit 321 is used to plan the motion trajectory of the
更进一步的,所述轨迹规划单元321用于根据所述机械臂220的各关节的目标位置和当前位置,规划所述机械臂220的各关节的运动轨迹;或根据所述支撑装置100的各关节的目标位置和当前位置,规划所述支撑装置100的各关节的运动轨迹。Furthermore, the trajectory planning unit 321 is used to plan the motion trajectory of each joint of the
进一步的,所述轨迹规划单元321用于根据所述机械臂220的目标位姿和当前位姿(所述机械臂220的各关节的目标位置和当前位置),采用插值算法,获取所述机械臂220的运动轨迹(所述机械臂220的各关节的运动轨迹);或根据所述支撑装置100的目标位姿和当前位姿(所述支撑装置100的各关节的目标位置和当前位置),采用插值算法,获取所述支撑装置100的运动轨迹(所述支撑装置100的各关节的运动轨迹)。Further, the trajectory planning unit 321 is used to obtain the mechanical The motion trajectory of the arm 220 (the motion trajectory of each joint of the mechanical arm 220); or according to the target pose and current pose of the support device 100 (the target position and current position of each joint of the support device 100) , using an interpolation algorithm to obtain the motion track of the support device 100 (the motion track of each joint of the support device 100 ).
请参考图15,其示意性地给出了本发明一实施方式提供的定位装置的测量原理示意图。如图15所示,所述定位装置400为双目摄像机,即在本实施方式中,所述定位装置400基于双目视觉测量原理获取机器人坐标系(X2,Y2,Z2)与世界坐标系(X0,Y0,Z0)之间的映射关系以及支撑装置坐标系(X1,Y1,Z1)与所述世界坐标系(X0,Y0,Z0)之间的实时映射关系。所述支撑装置100的支撑体120上设有多个第一标记物130,进一步地,为了提高测量精度,所述支撑装置基座110上也可设有多个所述第一标记物130,所述机器人基座210上设有多个第二标记物240,通过所述双目摄像机获取所述多个第一标记物130的图像,即可获取所述多个第一标记物130在世界坐标系(X0,Y0,Z0)下的坐标,再根据所述多个第一标记物130与支撑装置坐标系(X1,Y1,Z1)之间的映射关系,即可获取所述支撑装置坐标系(X1,Y1,Z1)与所述世界坐标系(X0,Y0,Z0)之间的映射关系。同理,通过所述双目摄像机获取所述多个第二标记物240的图像,即可获取所述多个第二标记物240在世界坐标系(X0,Y0,Z0)下的坐标,再根据所述多个第二标记物240与机器人坐标系(X2,Y2,Z2)之间的映射关系,即可获取所述机器人坐标系(X2,Y2,Z2)与所述世界坐标系(X0,Y0,Z0)之间的映射关系。Please refer to FIG. 15 , which schematically shows a schematic diagram of a measurement principle of a positioning device provided by an embodiment of the present invention. As shown in Figure 15, the
需要说明的是,如本领域技术人员所能理解的,在其它一些实施方式中,所述定位装置400还可以基于单目视觉测量法、光学跟踪测量法或电磁测量法等常用的位置测量法,获取机器人坐标系(X2,Y2,Z2)与世界坐标系(X0,Y0,Z0)之间的映射关系以及支撑装置坐标系(X1,Y1,Z1)与所述世界坐标系(X0,Y0,Z0)之间的实时映射关系,本发明对此不进行限定。It should be noted that, as those skilled in the art can understand, in other embodiments, the
进一步地,当完成所述机械臂220和所述支撑装置100的调整运动后,系统会将调整后的所述机械臂220的位姿和所述支撑装置100的位姿进行保存,结束整个自动调整过程。由此,通过将调整后的所述机械臂220的位姿和所述支撑装置100的位姿进行保存,可以在之后的手术过程中,直接将机械臂220和支撑装置100恢复至该保存的位姿。Further, when the adjustment movement of the
如图14所示,所述处理器还包括状态判断模块330,所述状态判断模块330用于判断所述手术机器人系统的当前状态是否适合进行所述机械臂220和所述支撑装置100的调整运动。具体的,当用户(例如医护人员)通过所述手术机器人系统上的实体按键或交互界面上的虚拟按键发送自动调整指令至所述控制器300后(即所述控制器300接收用户指令后),为了保证自动调整过程中的安全性,在进入自动调整过程前,所述状态判断模块330会执行若干安全检测,以判断所述手术机器人系统的当前状态是否适合进行机械臂220和支撑装置100的调整运动,若判断结果为是,则进行支撑装置100与机械臂220的自动调整运动。若判断结果为否,则用户(例如医护人员)的自动调整请求将被禁止,自动调整流程直接结束。为了便于用户(例如医护人员)及时知晓,在所述控制器300的控制下,所述手术机器人系统会向用户(例如医护人员)提供若干条解释性信息,或者通过声光报警的形式进行反馈。As shown in FIG. 14 , the processor further includes a state judging module 330, and the state judging module 330 is used to judge whether the current state of the surgical robot system is suitable for adjusting the
如图14所示,所述处理器还包括监测模块340,所述监测模块340用于对各所述机械臂220和所述支撑装置100的调整运动进行监测。As shown in FIG. 14 , the processor further includes a monitoring module 340 configured to monitor the adjustment movement of each of the
如图13所示,所述调整系统还包括与所述控制器300通信连接的显示装置500,所述显示装置500用于对所述机械臂220和所述支撑装置100的实时调整运动过程进行显示。由此,通过所述显示装置500,可以实时对所述机械臂220和所述支撑装置100的调整运动过程进行显示,显示内容例如如图16中的右侧方框所示,此外,用户(例如医护人员)还可以通过所述显示装置500观察安装于所述机械臂220上的内窥镜所拍摄的图像,显示内容如图16中的左侧方框所示,以防止安装于所述机械臂220上的器械230伤害患者组织。As shown in FIG. 13 , the adjustment system further includes a
需要说明的是,本发明实施方式的可读存储介质,可以采用一个或多个计算机可读的介质的任意组合。可读介质可以是计算机可读信号介质或者计算机可读存储介质。计算机可读存储介质例如可以是但不限于电、磁、光、电磁、红外线或半导体的系统、装置或器件,或者任意以上的组合。计算机可读存储介质的更具体的例子(非穷举的列表)包括:具有一个或多个导线的电连接、便携式计算机硬盘、硬盘、随机存取存储器(RAM)、只读存储器(ROM)、可擦式可编程只读存储器(EPROM或闪存)、光纤、便携式紧凑磁盘只读存储器(CD-ROM)、光存储器件、磁存储器件、或者上述的任意合适的组合。在本文中,计算机可读存储介质可以是任何包含或存储程序的有形介质,该程序可以被指令执行系统、装置或者器件使用或者与其组合使用。It should be noted that the readable storage medium in the embodiments of the present invention may use any combination of one or more computer-readable media. The readable medium may be a computer readable signal medium or a computer readable storage medium. A computer-readable storage medium may be, for example, but not limited to, an electrical, magnetic, optical, electromagnetic, infrared, or semiconductor system, device, or device, or any combination thereof. More specific examples (non-exhaustive list) of computer readable storage media include: electrical connection with one or more wires, portable computer hard disk, hard disk, random access memory (RAM), read only memory (ROM), Erasable programmable read-only memory (EPROM or flash memory), optical fiber, portable compact disk read-only memory (CD-ROM), optical storage device, magnetic storage device, or any suitable combination of the above. As used herein, a computer-readable storage medium may be any tangible medium that contains or stores a program that can be used by or in combination with an instruction execution system, apparatus, or device.
计算机可读的信号介质可以包括在基带中或者作为载波一部分传播的数据信号,其中承载了计算机可读的程序代码。这种传播的数据信号可以采用多种形式,包括但不限于电磁信号、光信号或上述的任意合适的组合。计算机可读的信号介质还可以是计算机可读存储介质以外的任何计算机可读介质,该计算机可读介质可以发送、传播或者传输用于由指令执行系统、装置或者器件使用或者与其结合使用的程序。A computer readable signal medium may include a data signal carrying computer readable program code in baseband or as part of a carrier wave. Such propagated data signals may take many forms, including but not limited to electromagnetic signals, optical signals, or any suitable combination of the foregoing. A computer-readable signal medium may also be any computer-readable medium other than a computer-readable storage medium, which can send, propagate, or transmit a program for use by or in conjunction with an instruction execution system, apparatus, or device. .
可以以一种或多种程序设计语言或其组合来编写用于执行本发明操作的计算机程序代码,所述程序设计语言包括面向对象的程序设计语言-诸如Java、Smalltalk、C++,还包括常规的过程式程序设计语言-诸如“C”语言或类似的程序设计语言。程序代码可以完全地在用户计算机上执行、部分地在用户计算机上执行、作为一个独立的软件包执行、部分在用户计算机上部分在远程计算机上执行、或者完全在远程计算机或服务器上执行。在涉及远程计算机的情形中,远程计算机可以通过任意种类的网络——包括局域网(LAN)或广域网(WAN)连接到用户计算机,或者可以连接到外部计算机(例如利用因特网服务提供商来通过因特网连接)。Computer program code for carrying out the operations of the present invention may be written in one or more programming languages, or combinations thereof, including object-oriented programming languages—such as Java, Smalltalk, C++, including conventional Procedural programming language-such as "C" or a similar programming language. The program code may execute entirely on the user's computer, partly on the user's computer, as a stand-alone software package, partly on the user's computer and partly on a remote computer or entirely on the remote computer or server. In cases involving a remote computer, the remote computer may be connected to the user computer through any kind of network, including a local area network (LAN) or a wide area network (WAN), or may be connected to an external computer (e.g., via an Internet connection using an Internet service provider). ).
综上所述,与现有技术相比,本发明提供的可读存储介质、手术机器人系统和调整系统具有以下优点:本发明通过先获取机器人的机械臂的目标位姿,再对所述机械臂进行调整运动,以将所述机械臂的位姿调整至目标位姿,并在所述机械臂的调整过程中,控制所述支撑装置跟随所述机械臂进行相应运动;或者先获取支撑装置的目标位姿,再对所述支撑装置进行调整运动,以将所述支撑装置的位姿调整至目标位姿,并在所述支撑装置的调整过程中,控制机器人的机械臂跟随所述支撑装置进行相应运动。可见,本发明能够在不撤出器械的情况下,即可实现患者体位(即支撑装置位姿)与机械臂的位姿的调整,从而能够更高效、安全地完成手术,降低了对术前打孔位置以及设备摆位的要求,有效减少了术前准备时间,并且可以有效避免机械臂发生碰撞的概率。To sum up, compared with the prior art, the readable storage medium, surgical robot system and adjustment system provided by the present invention have the following advantages: the present invention obtains the target pose of the robotic arm of the robot first, and then The arm performs an adjustment movement to adjust the pose of the robotic arm to the target pose, and during the adjustment process of the robotic arm, control the supporting device to follow the corresponding movement of the robotic arm; or obtain the supporting device first The target pose of the support device is adjusted, and then the support device is adjusted to adjust the pose of the support device to the target pose, and during the adjustment process of the support device, the mechanical arm of the robot is controlled to follow the support The device moves accordingly. It can be seen that the present invention can realize the adjustment of the position of the patient (that is, the position of the support device) and the position of the mechanical arm without withdrawing the instrument, thereby completing the operation more efficiently and safely, and reducing the need for preoperative The requirements for the location of the punching hole and the positioning of the equipment can effectively reduce the preoperative preparation time, and can effectively avoid the probability of collision of the robotic arm.
应当注意的是,在本文的实施方式中所揭露的装置和方法,也可以通过其他的方式实现。以上所描述的装置实施方式仅仅是示意性的,例如,附图中的流程图和框图显示了根据本文的多个实施方式的装置、方法和计算机程序产品的可能实现的体系架构、功能和操作。在这点上,流程图或框图中的每个方框可以代表一个模块、程序或代码的一部分,所述模块、程序段或代码的一部分包含一个或多个用于实现规定的逻辑功能的可执行指令,所述模块、程序段或代码的一部分包含一个或多个用于实现规定的逻辑功能的可执行指令。也应当注意,在有些作为替换的实现方式中,方框中所标注的功能也可以以不同于附图中所标注的顺序发生。例如,两个连续的方框实际上可以基本并行地执行,它们有时也可以按相反的顺序执行,这依所涉及的功能而定。也要注意的是,框图和/或流程图中的每个方框、以及框图和/或流程图中的方框的组合,可以用于执行规定的功能或动作的专用的基于硬件的系统来实现,或者可以用专用硬件与计算机指令的组合来实现。It should be noted that the devices and methods disclosed in the embodiments herein may also be implemented in other ways. The device embodiments described above are only illustrative, for example, the flowcharts and block diagrams in the accompanying drawings show the architecture, functions and operations of possible implementations of devices, methods and computer program products according to multiple embodiments herein . In this regard, each block in a flowchart or block diagram may represent a module, a program segment, or a portion of code that includes one or more programmable components for implementing specified logical functions. Executable instructions, the module, program segment or part of the code contains one or more executable instructions for realizing the specified logic function. It should also be noted that, in some alternative implementations, the functions noted in the block may occur out of the order noted in the figures. For example, two blocks in succession may, in fact, be executed substantially concurrently, or they may sometimes be executed in the reverse order, depending upon the functionality involved. It is also to be noted that each block in the block diagrams and/or flowchart illustrations, and combinations of blocks in the block diagrams and/or flowchart illustrations, can be implemented in special purpose hardware-based systems that perform the specified functions or actions. implemented, or may be implemented by a combination of special purpose hardware and computer instructions.
另外,在本文各个实施方式中的各功能模块可以集成在一起形成一个独立的部分,也可以是各个模块单独存在,也可以两个或两个以上模块集成形成一个独立的部分。In addition, the functional modules in the various embodiments herein can be integrated together to form an independent part, or each module can exist independently, or two or more modules can be integrated to form an independent part.
上述描述仅是对本发明较佳实施方式的描述,并非对本发明范围的任何限定,本发明领域的普通技术人员根据上述揭示内容做的任何变更、修饰,均属于本发明的保护范围。显然,本领域的技术人员可以对本发明进行各种改动和变型而不脱离本发明的精神和范围。这样,倘若这些修改和变型属于本发明及其等同技术的范围之内,则本发明也意图包括这些改动和变型在内。The above description is only a description of the preferred embodiments of the present invention, and does not limit the scope of the present invention. Any changes and modifications made by those of ordinary skill in the field of the present invention based on the above disclosures shall fall within the protection scope of the present invention. Obviously, those skilled in the art can make various changes and modifications to the present invention without departing from the spirit and scope of the present invention. Thus, the present invention is also intended to include these modifications and variations, provided they fall within the scope of the present invention and its equivalent technologies.
| Application Number | Priority Date | Filing Date | Title |
|---|---|---|---|
| CN202110614235.XACN115429432B (en) | 2021-06-02 | 2021-06-02 | Readable storage medium, surgical robot system, and adjustment system |
| Application Number | Priority Date | Filing Date | Title |
|---|---|---|---|
| CN202110614235.XACN115429432B (en) | 2021-06-02 | 2021-06-02 | Readable storage medium, surgical robot system, and adjustment system |
| Publication Number | Publication Date |
|---|---|
| CN115429432Atrue CN115429432A (en) | 2022-12-06 |
| CN115429432B CN115429432B (en) | 2025-09-30 |
| Application Number | Title | Priority Date | Filing Date |
|---|---|---|---|
| CN202110614235.XAActiveCN115429432B (en) | 2021-06-02 | 2021-06-02 | Readable storage medium, surgical robot system, and adjustment system |
| Country | Link |
|---|---|
| CN (1) | CN115429432B (en) |
| Publication number | Priority date | Publication date | Assignee | Title |
|---|---|---|---|---|
| CN115813563A (en)* | 2023-02-20 | 2023-03-21 | 北京壹点灵动科技有限公司 | Surgical robot control method, surgical robot control device, storage medium, and processor |
| CN119074208A (en)* | 2024-08-28 | 2024-12-06 | 北京纳通医用机器人科技有限公司 | Punching control method, device, equipment, mechanical arm and medium |
| CN119745518A (en)* | 2024-12-30 | 2025-04-04 | 武汉联影智融医疗科技有限公司 | Surgical robot system, surgical robot control method and computer device |
| Publication number | Priority date | Publication date | Assignee | Title |
|---|---|---|---|---|
| US20120101508A1 (en)* | 2010-10-21 | 2012-04-26 | Wook Choi Seung | Method and device for controlling/compensating movement of surgical robot |
| US20140257328A1 (en)* | 2013-03-08 | 2014-09-11 | Samsung Electronics Co., Ltd. | Surgical robot system and method of operating the same |
| US20170079722A1 (en)* | 2014-03-17 | 2017-03-23 | Intuitive Surgical Operations, Inc. | Methods and devices for table pose tracking using fudicial markers |
| CN107072725A (en)* | 2014-10-27 | 2017-08-18 | 直观外科手术操作公司 | System and method for integrated surgical table |
| CN110547867A (en)* | 2018-05-31 | 2019-12-10 | 上海联影医疗科技有限公司 | control method, device, equipment, storage medium and system of mechanical arm |
| CN111202583A (en)* | 2020-01-20 | 2020-05-29 | 上海奥朋医疗科技有限公司 | Method, system and medium for tracking movement of surgical bed |
| Publication number | Priority date | Publication date | Assignee | Title |
|---|---|---|---|---|
| US20120101508A1 (en)* | 2010-10-21 | 2012-04-26 | Wook Choi Seung | Method and device for controlling/compensating movement of surgical robot |
| US20140257328A1 (en)* | 2013-03-08 | 2014-09-11 | Samsung Electronics Co., Ltd. | Surgical robot system and method of operating the same |
| US20170079722A1 (en)* | 2014-03-17 | 2017-03-23 | Intuitive Surgical Operations, Inc. | Methods and devices for table pose tracking using fudicial markers |
| CN107072725A (en)* | 2014-10-27 | 2017-08-18 | 直观外科手术操作公司 | System and method for integrated surgical table |
| CN110547867A (en)* | 2018-05-31 | 2019-12-10 | 上海联影医疗科技有限公司 | control method, device, equipment, storage medium and system of mechanical arm |
| CN111202583A (en)* | 2020-01-20 | 2020-05-29 | 上海奥朋医疗科技有限公司 | Method, system and medium for tracking movement of surgical bed |
| Title |
|---|
| 王连香等: "微创手术机器人的运动目标跟踪优化仿真", 计算机仿真, vol. 33, no. 10, 15 October 2016 (2016-10-15), pages 320 - 325* |
| Publication number | Priority date | Publication date | Assignee | Title |
|---|---|---|---|---|
| CN115813563A (en)* | 2023-02-20 | 2023-03-21 | 北京壹点灵动科技有限公司 | Surgical robot control method, surgical robot control device, storage medium, and processor |
| CN119074208A (en)* | 2024-08-28 | 2024-12-06 | 北京纳通医用机器人科技有限公司 | Punching control method, device, equipment, mechanical arm and medium |
| CN119745518A (en)* | 2024-12-30 | 2025-04-04 | 武汉联影智融医疗科技有限公司 | Surgical robot system, surgical robot control method and computer device |
| Publication number | Publication date |
|---|---|
| CN115429432B (en) | 2025-09-30 |
| Publication | Publication Date | Title |
|---|---|---|
| US11007023B2 (en) | System and method of registration between devices with movable arms | |
| CN110678142B (en) | Medical system, control device for medical support arm and control method for medical support arm | |
| JP6851427B2 (en) | Systems and methods for off-screen display of instruments in remote-controlled medical systems | |
| EP2822445B1 (en) | Overall endoscopic control system | |
| US11541551B2 (en) | Robotic arm | |
| WO2023274100A1 (en) | Pose control method, optical navigation system applicable thereto, and surgical robot system | |
| CN115429432A (en) | Readable storage medium, surgical robot system and adjustment system | |
| CN115317130B (en) | Surgical robot system, adjustment system, and storage medium | |
| JP2018513711A (en) | Very dexterous system user interface | |
| US12106508B2 (en) | Systems and methods for mitigating collision of a robotic system | |
| JP7532649B2 (en) | Control of endoscopes by surgical robots | |
| WO2022166929A1 (en) | Computer-readable storage medium, electronic device, and surgical robot system | |
| CN114533263B (en) | Mechanical arm collision prompting method, readable storage medium, surgical robot and system | |
| Iovene et al. | Towards exoscope automation in neurosurgery: A markerless visual-servoing approach | |
| Bihlmaier | Endoscope robots and automated camera guidance | |
| CN114452000B (en) | Surgical robot, graphical control device and graphical display method thereof | |
| CN113876433A (en) | Robot system and control method | |
| CN115475007A (en) | Surgical robot system, adjustment method and storage medium | |
| WO2025199083A1 (en) | Extended reality contextual switching for robotic medical systems | |
| CN120476366A (en) | Techniques for displaying augmented reality content based on operator-related parameters |
| Date | Code | Title | Description |
|---|---|---|---|
| PB01 | Publication | ||
| PB01 | Publication | ||
| SE01 | Entry into force of request for substantive examination | ||
| SE01 | Entry into force of request for substantive examination | ||
| GR01 | Patent grant |