
技术领域technical field
本发明属于智能交通信息技术领域,具体涉及一种多车型的混合交通中网联车辆跟驰行为刻画方法。The invention belongs to the technical field of intelligent traffic information, and in particular relates to a method for describing car-following behavior of networked vehicles in multi-vehicle mixed traffic.
背景技术Background technique
交通系统正朝着智能化、网联化的方向不断发展,网联技术在交通系统各个领域均发挥着极其重要的作用。另一方面,由于大型车体积大、性能差,会对周围驾驶员造成心理压迫。对于新型混合交通,车型因素与网联因素将共同对交通的动态演化特性造成影响,车车之间的相互作用关系更为复杂。因此,对多车型混入下的新型混合交通网联车辆跟驰行为进行刻画与描述,从而为交通的管理与控制提供理论依据,具有重要意义。The transportation system is constantly developing in the direction of intelligence and networking. Network technology plays an extremely important role in all fields of the transportation system. On the other hand, due to the large size and poor performance of large vehicles, it will cause psychological pressure on the surrounding drivers. For the new type of mixed traffic, the factors of vehicle type and network connection will jointly affect the dynamic evolution characteristics of traffic, and the interaction between vehicles is more complicated. Therefore, it is of great significance to characterize and describe the car-following behavior of new hybrid traffic networked vehicles under the condition of multi-vehicle mixing, so as to provide a theoretical basis for traffic management and control.
现有技术CN109978260A公开了混合交通流下网联车跟驰行为预测方法,通过考虑前导车的行驶状态对于目标网联车的直接影响,以及可通信范围内的网联车的行驶状态对目标网联车的直接影响,确定目标网联车的跟驰状态,所述行驶状态包括速度、位置和加速度。该方法也可用于网联车跟驰行为的刻画与描述,然而,该方法针对网联与车型因素共同影响下的网联车跟驰行为差异尚未进行充分地考虑。Prior art CN109978260A discloses a method for predicting car-following behavior of networked vehicles under mixed traffic flow, by considering the direct impact of the driving state of the leading vehicle on the target networked vehicle, and the impact of the driving state of the networked vehicle within the communicable range on the target networked vehicle. The direct impact of the vehicle determines the car-following state of the target networked vehicle, and the driving state includes speed, position and acceleration. This method can also be used to characterize and describe the car-following behavior of connected cars. However, this method has not fully considered the difference in car-following behavior of connected cars under the joint influence of connected car and model factors.
发明内容Contents of the invention
有鉴于此,本发明的目的在于提供一种多车型的混合交通中网联车辆跟驰行为刻画方法,解决目前少有综合考虑新型混合交通中车型与网联因素的共同影响,探究如何以网联异质性与车型异质性为切入点,对网联车跟驰行为进行刻画的问题。In view of this, the purpose of the present invention is to provide a method for describing the car-following behavior of connected vehicles in multi-vehicle mixed traffic. Taking network heterogeneity and model heterogeneity as the entry point, it is a problem to describe the car-following behavior of networked vehicles.
为实现上述目的,本发明是这样设置的:一种多车型的混合交通中网联车辆跟驰行为刻画方法包括以下步骤:In order to achieve the above object, the present invention is set up as follows: a method for describing car-following behavior of connected vehicles in multi-vehicle mixed traffic includes the following steps:
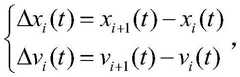
获取网联场景下t时刻和t+△t时刻观测路段跟驰车与前导车的运动参数;所述运动参数包括t时刻跟驰车的速度vi(t)和位置xi(t)、t时刻前导车的速度vi+1(t)和位置xi+1(t)以及t+△t时刻跟驰车的的速度vi(t+△t);Obtain the movement parameters of the following vehicle and the leading vehicle in the observed road section at time t and t+△t in the network connection scene; the movement parameters include the speed vi (t) and position xi (t) and t of the following vehicle at time t The speed vi+1 (t) and position xi+1 (t) of the leading car at time and the speed vi (t+△t) of the following car at time t+△t;
通过获取的所述运动参数计算t时刻观测路段跟驰车与前导车的速度差和位置差,以及t时刻观测路段车流平均速度;Calculate the speed difference and the position difference between the car following the car and the leading vehicle in the observed road section at the time t by the motion parameters obtained, and the average speed of the traffic flow in the observed road section at the time t;
根据t时刻观测路段的跟车对组合类型计算t时刻前导车对跟驰车的车型因素影响;Calculate the influence of the leading car on the vehicle model factor of the following car at time t according to the combination type of following vehicles in the observed road section at time t;
通过获取的所述运动参数以及所述t时刻前导车对跟驰车的车型因素影响计算t时刻跟驰车的期望跟驰间距;Calculating the expected following distance of the following car at time t through the obtained motion parameters and the impact of the leading vehicle at time t on the model factor of the following car;
根据所述t时刻观测路段跟驰车与前导车的位置差和跟驰车的期望跟驰间距计算t时刻观测路段跟驰车与前导车的位置差对跟驰车驾驶员的刺激λ1;According to the position difference of following vehicle and the leading vehicle in the observed road section at the t moment and the expected following distance of the vehicle, calculate the stimulus λ1 of the following vehicle driver in the observed section following the vehicle and the leading vehicle's position difference at the timet ;
根据所述t时刻观测路段跟驰车与前导车的速度差计算t时刻观测路段跟驰车与前导车的速度差对跟驰车驾驶员的刺激λ2;According to the speed difference of the following car and the leading car in the observed road section at the t moment, calculate the speed difference of the following car and the leading car in the observed road section at the t moment to the stimulation λ2 of the following car driver;
根据所述t时刻观测路段跟驰车的速度vi(t)和车流平均速度计算t时刻观测路段车流平均速度对跟驰车驾驶员的刺激λ3;According to the speed vi (t) and the average speed of the car following the road section observed at the t moment, calculate the average speed of the road section at the time t to the stimulation λ3 of the car driver following the car;
根据所述t时刻观测路段跟驰车与前导车的位置差对跟驰车驾驶员的刺激λ1、t时刻观测路段跟驰车与前导车的速度差对跟驰车驾驶员的刺激λ2和t时刻观测路段车流平均速度对跟驰车驾驶员的刺激λ3计算t+T时刻跟驰车的加速度,从而对跟驰车的运动状态进行描述。According to the stimuli λ 1 of the position difference between the following vehicle and the leading vehicle on the following vehicle observed at time t, the stimulus λ2on the driver of the following vehicle observed at time t by the speed difference between the following vehicle and the leading vehicle and the observed average speed of the road section at time t to stimulate the driver of the car-following car λ3 to calculate the acceleration of the car-following car at time t+T, so as to describe the motion state of the car-following car.
进一步的,所述t时刻观测路段跟驰车与前导车的速度差和位置差,具体计算公式如下所示:Further, the speed difference and position difference between the following car and the leading car in the road section observed at the time t, the specific calculation formula is as follows:
式中:In the formula:
vi(t)表示t时刻观测路段跟驰车的速度;vi (t) represents the speed of the following car on the observed road section at time t;
xi(t)表示t时刻观测路段跟驰车的位置;xi (t) represents the position of the following car in the observation section at time t;
vi+1(t)表示t时刻观测路段前导车的速度;vi+1 (t) represents the speed of the leading vehicle observed on the road section at time t;
xi+1(t)表示t时刻观测路段前导车的位置;xi+1 (t) represents the position of the leading vehicle in the observation section at time t;
△xi(t)表示t时刻观测路段跟驰车与前导车的位置差;△xi (t) represents the position difference between the following car and the leading car in the observed road section at time t;
△vi(t)表示t时刻观测路段跟驰车与前导车的速度差。△vi (t) represents the speed difference between the following car and the leading car on the observed road section at time t.
进一步的,所述t时刻观测路段车流平均速度具体计算公式如下所示:Further, the average speed of traffic flow on the road section observed at the time t The specific calculation formula is as follows:
式中,In the formula,
N表示t时刻观测路段车流的车辆总数;N represents the total number of vehicles observing the traffic flow of the road section at time t;
vj表示t时刻观测路段第j辆车的速度,其中j=1,2,3,…,N。vj represents the speed of the jth vehicle on the observed section at time t, where j=1,2,3,...,N.
进一步的,所述跟车对组合类型包括大型车跟随大型车(H-H)、小型车跟随大型车(C-H)、大型车跟随小型车(H-C)或小型车跟随小型车(C-C)的其中一种类型。Further, the car-following pair combination type includes a large car following a large car (H-H), a small car following a large car (C-H), a large car following a small car (H-C) or a small car following a small car (C-C) Types of.
进一步的,所述t时刻前导车对跟驰车的车型因素影响,具体计算公式如下所示:Further, the specific calculation formula for the influence of the leading vehicle at time t on the model factor of the following vehicle is as follows:
式中,In the formula,
αHH表示大型车跟随大型车(H-H)场景下的校正系数;αHH represents the correction coefficient in the scene where a large vehicle follows a large vehicle (HH);
αCH表示小型车跟随大型车(C-H)场景下的校正系数;αCH represents the correction coefficient in the scenario where a small car follows a large car (CH);
αHC表示大型车跟随小型车(H-C)场景下的校正系数;αHC represents the correction coefficient in the scenario where a large car follows a small car (HC);
αCC表示小型车跟随小型车(C-C)场景下的校正系数;αCC represents the correction coefficient in the scene where a small car follows a small car (CC);
ξi+1表示车型影响系数;ξi+1 represents the model impact coefficient;
表示前导车的车辆类型,值为1时表示该车为大型车,值为0时表示该车为小型车; Indicates the vehicle type of the leading vehicle, a value of 1 indicates that the vehicle is a large vehicle, and a value of 0 indicates that the vehicle is a small vehicle;
表示跟驰车的车辆类型,值为1时表示该车为大型车,值为0时表示该车为小型车; Indicates the vehicle type of the following car. When the value is 1, it means that the car is a large car, and when the value is 0, it means that the car is a small car;
γc,i表示前导车对跟驰车的车型因素影响,是一个常数。γc,i represents the influence of the leading car on the vehicle model of the following car, and is a constant.
进一步的,所述t时刻跟驰车的期望跟驰间距,具体计算公式如下所示:Further, the specific calculation formula of the expected car-following distance of the car-following car at time t is as follows:
式中,In the formula,
vi(t)表示t时刻观测路段跟驰车的速度;vi (t) represents the speed of the following car on the observed road section at time t;
vi+1(t)表示t时刻观测路段前导车的速度;vi+1 (t) represents the speed of the leading vehicle observed on the road section at time t;
△t表示跟驰车驾驶员的反应时间;Δt represents the reaction time of the following driver;
ai,max表示跟驰车的最大减速度;ai,max represents the maximum deceleration of the car following;
ai+1,max表示前导车的最大减速度;ai+1,max represents the maximum deceleration of the leading vehicle;
m表示预设值;m represents the default value;
μ表示网联影响系数;μ represents the network influence coefficient;
li+1表示前导车车长;li+1 means the length of the leading vehicle;
d3表示静止时的车辆安全间距;d3 represents the safe distance between vehicles at rest;
vi(t+△t)表示t+△t时刻观测路段跟驰车的速度。vi (t+△t) represents the speed of the following car on the observed road section at time t+△t.
进一步的,所述t+T时刻跟驰车的加速度ai(t+T),具体计算公式如下所示:Further, the specific calculation formula of the acceleration ai (t+T) of the car following at the time t+T is as follows:
ai(t+T)=λ1+λ2-λ3,ai (t+T)=λ1 +λ2 -λ3 ,
式中:In the formula:
λ1表示t时刻观测路段跟驰车与前导车的位置差对跟驰车驾驶员的刺激;λ1 represents the stimulus to the driver of the following car from the position difference between the following car and the leading car in the observation section at time t;
λ2表示t时刻观测路段跟驰车与前导车的速度差对跟驰车驾驶员的刺激;λ2 represents the stimulus to the driver of the following car from the speed difference between the following car and the leading car in the observation section at time t;
λ3表示t时刻观测路段车流平均速度对跟驰车驾驶员的刺激。λ3 represents the stimulation of the average speed of the traffic flow on the observed road section at time t to the driver of the car following.
进一步的,所述t时刻观测路段跟驰车与前导车的位置差对跟驰车驾驶员的刺激λ1,具体计算公式如下所示:Further, at the time t, the stimulus λ1 to the driver of the following car from the position difference between the following car and the leading car is observed on the road section, and the specific calculation formula is as follows:
λ1=C1ξi+1[(△xi(t)-hi+1,i(t)]μ,λ1 =C1 ξi+1 [(△xi (t)-hi+1,i (t)]μ,
式中,In the formula,
C1表示预设值;C1 represents the preset value;
ξi+1表示车型影响系数;ξi+1 represents the model impact coefficient;
△xi(t)表示t时刻观测路段跟驰车与前导车的位置差;△xi (t) represents the position difference between the following car and the leading car in the observed road section at time t;
hi+1,i(t)表示t时刻跟驰车的期望跟驰间距;hi+1,i (t) represents the expected following distance of the following car at time t;
μ表示网联影响系数;μ represents the network influence coefficient;
进一步的,所述t时刻观测路段跟驰车与前导车的速度差对跟驰车驾驶员的刺激λ2,具体计算公式如下所示:Further, at the time t, the stimulus λ2 to the driver of the following car from the speed difference between the following car and the leading car on the road section is observed, and the specific calculation formula is as follows:
λ2=C2μ△vi(t),λ2 =C2 μ△vi (t),
式中,In the formula,
C2表示预设值;C2 represents the preset value;
μ表示网联影响系数;μ represents the network influence coefficient;
△vi(t)表示t时刻观测路段跟驰车与前导车的速度差;△vi (t) represents the speed difference between the following vehicle and the leading vehicle in the observed section at time t;
进一步的,所述t时刻观测路段车流平均速度对跟驰车驾驶员的刺激λ3,具体计算公式如下所示:Further, the stimulation λ3 of the average speed of the traffic flow on the road section observed at the time t to the driver of the car-following car, the specific calculation formula is as follows:
式中,In the formula,
C3为预设值;C3 is the default value;
vi(t)表示t时刻观测路段跟驰车的速度;vi (t) represents the speed of the following car on the observed road section at time t;
表示t时刻观测路段的车流平均速度。 Indicates the average speed of the traffic flow on the observed road section at time t.
有益效果Beneficial effect
本发明提供的一种多车型的混合交通中网联车跟驰行为刻画方法,该方法充分考虑网联环境下获取的单车信息与车流信息,以及混合交通中车辆车型的构成,以网联异质性与车型异质性为切入点,实现在不同跟车对组合类型情况下对网联车跟驰行为进行准确刻画。本发明可以对不同跟车对组合类型的网联车跟驰行为进行刻画与描述,从而对交通系统的动态运行规律进行仿真与分析,为交通的管理与控制提供理论依据。The present invention provides a method for describing car-following behavior of connected vehicles in multi-vehicle mixed traffic. Qualitative and model heterogeneity are the starting points to accurately describe the car-following behavior of connected cars under different combination types of car-following pairs. The present invention can describe and describe the car-following behavior of different car-following pairs, so as to simulate and analyze the dynamic operation rules of the traffic system, and provide a theoretical basis for traffic management and control.
附图说明Description of drawings
图1是实施例中一种多车型的混合交通中网联车辆跟驰行为刻画方法的流程示意图。Fig. 1 is a schematic flowchart of a method for describing car-following behavior of connected vehicles in mixed traffic with multiple vehicle types in an embodiment.
具体实施方式Detailed ways
为使本发明的技术方案、优点和目的更加清楚,下面将结合本发明实施例的附图,对本发明实施例的技术方案进行清楚、完整地描述。显然,所描述的实施例是本发明的一部分实施例,而不是全部的实施例。基于所描述的本发明的实施例,本领域普通技术人员在无需创造性劳动的前提下所获得的所有其他实施例,都属于本申请的保护范围。In order to make the technical solutions, advantages and objectives of the present invention clearer, the technical solutions of the embodiments of the present invention will be clearly and completely described below in conjunction with the accompanying drawings of the embodiments of the present invention. Apparently, the described embodiments are some, not all, embodiments of the present invention. Based on the described embodiments of the present invention, all other embodiments obtained by persons of ordinary skill in the art without creative efforts shall fall within the protection scope of the present application.
下面结合附图和实施例对本发明作进一步说明。The present invention will be further described below in conjunction with drawings and embodiments.
实施例Example
如图1所示,本实施例提供了一种多车型的混合交通中网联车辆跟驰行为刻画方法,包括以下步骤:As shown in Figure 1, this embodiment provides a method for describing car-following behavior of connected vehicles in multi-vehicle mixed traffic, including the following steps:
步骤1)计算网联场景下t时刻观测路段跟驰车与前导车的速度差和位置差,以及车流平均速度。Step 1) Calculate the speed difference and position difference between the following vehicle and the leading vehicle on the observed road section at time t in the network connection scene, and the average speed of the traffic flow.
具体包括以下步骤:Specifically include the following steps:
S1.1获取网联场景下t时刻观测路段跟驰车的速度vi(t)和位置xi(t),以及t时刻观测路段前导车的速度vi+1(t)和位置xi+1(t);S1.1 Obtain the speed vi (t) and position xi (t) of the following car on the observed road section at time t in the network connection scenario, and the speed vi+1 (t) and position xi of the leading vehicle on the observed road section at time t+1 (t);
S1.2计算t时刻观测路段跟驰车与前导车的速度差和位置差,具体计算公式如下所示:S1.2 Calculate the speed difference and position difference between the following vehicle and the leading vehicle on the observed road section at time t. The specific calculation formula is as follows:
式中:In the formula:
vi(t)表示t时刻观测路段跟驰车的速度;vi (t) represents the speed of the following car on the observed road section at time t;
xi(t)表示t时刻观测路段跟驰车的位置;xi (t) represents the position of the following car in the observation section at time t;
vi+1(t)表示t时刻观测路段前导车的速度;vi+1 (t) represents the speed of the leading vehicle observed on the road section at time t;
xi+1(t)表示t时刻观测路段前导车的位置;xi+1 (t) represents the position of the leading vehicle in the observation section at time t;
△xi(t)表示t时刻观测路段跟驰车与前导车的位置差;△xi (t) represents the position difference between the following car and the leading car in the observed road section at time t;
△vi(t)表示t时刻观测路段跟驰车与前导车的速度差。△vi (t) represents the speed difference between the following car and the leading car on the observed road section at time t.
S1.3计算t时刻观测路段车流平均速度S1.3 Calculation of the average speed of traffic flow on the observed road section at time t
式中,In the formula,
N表示t时刻观测路段车流的车辆总数;N represents the total number of vehicles observing the traffic flow of the road section at time t;
vj表示t时刻观测路段第j辆车的速度,其中j=1,2,3,…,N。vj represents the speed of the jth vehicle on the observed section at time t, where j=1,2,3,...,N.
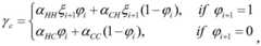
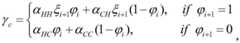
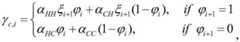
步骤2)根据t时刻观测路段的跟车对组合类型,计算t时刻前导车对跟驰车的车型因素影响。Step 2) According to the combination type of following vehicle pairs on the observed road section at time t, calculate the influence of vehicle type factors of the leading vehicle on the following vehicle at time t.
具体包括以下步骤:Specifically include the following steps:
S2.1确定跟车对组合类型,所述跟车对组合类型包括大型车跟随大型车(H-H)、小型车跟随大型车(C-H)、大型车跟随小型车(H-C)或小型车跟随小型车(C-C)的其中一种类型。S2.2计算t时刻前导车对跟驰车的车型因素影响,具体计算公式如下所示:S2.1 Determine the combination type of the car-following pair, which includes a large car following a large car (H-H), a small car following a large car (C-H), a large car following a small car (H-C) or a small car following a small car One of the types of (C-C). S2.2 Calculate the influence of the leading vehicle on the model factor of the following vehicle at time t. The specific calculation formula is as follows:
式中,In the formula,
αHH表示大型车跟随大型车(H-H)场景下的校正系数;αHH represents the correction coefficient in the scene where a large vehicle follows a large vehicle (HH);
αCH表示小型车跟随大型车(C-H)场景下的校正系数;αCH represents the correction coefficient in the scenario where a small car follows a large car (CH);
αHC表示大型车跟随小型车(H-C)场景下的校正系数;αHC represents the correction coefficient in the scenario where a large car follows a small car (HC);
αCC表示小型车跟随小型车(C-C)场景下的校正系数;αCC represents the correction coefficient in the scene where a small car follows a small car (CC);
ξi+1表示车型影响系数,取值范围为1-1.7,其中小型车取取值范围中较小的值,大型车取取值范围中较大的值,小型车的取值小于大型车的取值;ξi+1 represents the impact coefficient of vehicle type, and the value range is 1-1.7, among which the small car takes the smaller value in the value range, and the large car takes the larger value in the value range, and the small car takes the smaller value than the large car value;
表示前导车的车辆类型,值为1时表示该车为大型车,值为0时表示该车为小型车; Indicates the vehicle type of the leading vehicle, a value of 1 indicates that the vehicle is a large vehicle, and a value of 0 indicates that the vehicle is a small vehicle;
表示跟驰车的车辆类型,值为1时表示该车为大型车,值为0时表示该车为小型车; Indicates the vehicle type of the following car. When the value is 1, it means that the car is a large car, and when the value is 0, it means that the car is a small car;
γc表示前导车对跟驰车的车型因素影响,是一个常数,用于校正跟驰车的期望跟驰间距。γc represents the influence of the leading car on the car-following car model factor, which is a constant used to correct the expected following distance of the car-following car.
步骤3)根据所述t时刻观测路段跟驰车与前导车的速度以及前导车对跟驰车的车型因素影响计算t时刻跟驰车的期望跟驰间距。Step 3) Calculate the expected following distance of the car-following car at time t according to the speeds of the car-following car and the leading car observed on the road section at time t and the influence of the leading car on the vehicle type of the car-following car.
S3.1获取网联场景下t+△t时刻观测路段跟驰车的速度vi(t+△t);S3.1 Obtain the speed vi (t+△t) of the following car in the observed road section at time t+△t in the network connection scene;
S3.2计算t时刻跟驰车的期望跟驰间距hi+1,i(t),具体计算公式如下所示:S3.2 Calculate the expected car-following distance hi+1,i (t) of the car-following vehicle at time t. The specific calculation formula is as follows:
式中,In the formula,
vi(t)表示t时刻观测路段跟驰车的速度;vi (t) represents the speed of the following car on the observed road section at time t;
vi+1(t)表示t时刻观测路段前导车的速度;vi+1 (t) represents the speed of the leading vehicle observed on the road section at time t;
△t表示跟驰车驾驶员的反应时间;Δt represents the reaction time of the following driver;
ai,max表示跟驰车的最大减速度;ai,max represents the maximum deceleration of the car following;
ai+1,max表示前导车的最大减速度;ai+1,max represents the maximum deceleration of the leading vehicle;
m表示预设值,其取值可根据具体情况进行修改;m represents the preset value, and its value can be modified according to the specific situation;
μ表示网联影响系数,其取值可根据具体情况进行修改;μ represents the network influence coefficient, and its value can be modified according to the specific situation;
li+1表示前导车车长;li+1 means the length of the leading vehicle;
d3表示静止时的车辆安全间距;d3 represents the safe distance between vehicles at rest;
vi(t+△t)表示t+△t时刻观测路段跟驰车的速度。vi (t+△t) represents the speed of the following car on the observed road section at time t+△t.
步骤4)根据上述步骤得到的数据计算t+T时刻跟驰车的加速度,从而对跟驰车的运动状态进行描述。Step 4) Calculate the acceleration of the car-following car at time t+T according to the data obtained in the above steps, so as to describe the motion state of the car-following car.
具体包括以下步骤:Specifically include the following steps:
S4.1计算t时刻观测路段跟驰车与前导车的位置差对跟驰车驾驶员的刺激λ1,具体计算公式如下所示:S4.1 Calculate the stimulus λ1 to the driver of the following car from the position difference between the following car and the leading car in the observed road section at time t. The specific calculation formula is as follows:
λ1=C1ξi+1[(△xi(t)-hi+1,i(t)]μλ1 =C1 ξi+1 [(△xi (t)-hi+1,i (t)]μ
式中,In the formula,
C1表示预设值,其取值可根据具体情况进行修改;C1 represents the preset value, and its value can be modified according to the specific situation;
ξi+1表示车型影响系数,取值范围为1-1.7,其中小型车取取值范围中较小的值,大型车取取值范围中较大的值,小型车的取值小于大型车的取值;ξi+1 represents the impact coefficient of vehicle type, and the value range is 1-1.7, among which the small car takes the smaller value in the value range, and the large car takes the larger value in the value range, and the small car takes the smaller value than the large car value;
△xi(t)表示t时刻观测路段跟驰车与前导车的位置差;△xi (t) represents the position difference between the following car and the leading car in the observed road section at time t;
hi+1,i(t)表示t时刻跟驰车的期望跟驰间距;hi+1,i (t) represents the expected following distance of the following car at time t;
μ表示网联影响系数,其取值可根据具体情况进行修改;μ represents the network influence coefficient, and its value can be modified according to the specific situation;
S4.2计算t时刻观测路段跟驰车与前导车的速度差对跟驰车驾驶员的刺激λ2,具体计算公式如下所示:S4.2 Calculate the stimulus λ2 to the driver of the following car from the speed difference between the following car and the leading car on the observed road section at time t. The specific calculation formula is as follows:
λ2=C2μ△vi(t)λ2 =C2 μ△vi (t)
式中,In the formula,
C2表示预设值,其取值可根据具体情况进行修改;C2 represents the preset value, and its value can be modified according to the specific situation;
μ表示网联影响系数,其取值可根据具体情况进行修改;μ represents the network influence coefficient, and its value can be modified according to the specific situation;
△vi(t)表示t时刻观测路段跟驰车与前导车的速度差;△vi (t) represents the speed difference between the following vehicle and the leading vehicle in the observed section at time t;
S4.3计算t时刻观测路段车流平均速度对跟驰车驾驶员的刺激λ3,具体计算公式如下所示:S4.3 Calculate the stimulus λ3 of the average speed of the traffic flow on the observed road section at time t to the driver of the following car. The specific calculation formula is as follows:
式中,In the formula,
C3为预设值,其取值可根据具体情况进行修改;C3 is a preset value, and its value can be modified according to specific circumstances;
vi(t)表示t时刻观测路段跟驰车的速度;vi (t) represents the speed of the following car on the observed road section at time t;
表示t时刻观测路段的车流平均速度; Indicates the average speed of the traffic flow on the observed road section at time t;
S4.4计算跟驰车在下一时刻t+T的加速度ai(t+T),具体计算公式如下所示:S4.4 Calculate the acceleration ai (t+T) of the car following at the next moment t+T, the specific calculation formula is as follows:
ai(t+T)=λ1+λ2-λ3ai (t+T)=λ1 +λ2 -λ3
即which is
综上所述,本发明提供的一种多车型的混合交通中网联车跟驰行为刻画方法,该方法充分考虑网联环境下获取的单车信息与车流信息,以及混合交通中车辆车型的构成,以网联异质性与车型异质性为切入点,实现在不同跟车对组合类型情况下对网联车跟驰行为进行准确刻画。本发明可以对不同跟车对组合类型的网联车跟驰行为进行刻画与描述,从而对交通系统的动态运行规律进行仿真与分析,为交通的管理与控制提供理论依据。To sum up, the present invention provides a method for describing car-following behavior of connected vehicles in multi-vehicle mixed traffic, which fully considers the single vehicle information and traffic flow information obtained in the connected environment, as well as the composition of vehicle types in mixed traffic. , taking the heterogeneity of the Internet and the heterogeneity of the vehicle as the starting point, to realize the accurate description of the car-following behavior of the Internet-connected vehicle under the combination of different types of car-following pairs. The present invention can describe and describe the car-following behavior of different car-following pairs, so as to simulate and analyze the dynamic operation rules of the traffic system, and provide a theoretical basis for traffic management and control.
最后说明的是,以上实施例仅用以说明本发明的技术方案而非限制,尽管参照较佳实施例对本发明进行了详细说明,本领域的普通技术人员应当理解,可以对本发明的技术方案进行修改或者等同替换,而不脱离本技术方案的宗旨和范围,其均应涵盖在本发明的保护范围当中。Finally, it is noted that the above embodiments are only used to illustrate the technical solutions of the present invention without limitation. Although the present invention has been described in detail with reference to the preferred embodiments, those of ordinary skill in the art should understand that the technical solutions of the present invention can be carried out Modifications or equivalent replacements, without departing from the spirit and scope of the technical solution, should be included in the protection scope of the present invention.
| Application Number | Priority Date | Filing Date | Title |
|---|---|---|---|
| CN202210873634.2ACN115424433B (en) | 2022-07-21 | 2022-07-21 | A method for characterizing car-following behavior of connected vehicles in multi-model mixed traffic |
| Application Number | Priority Date | Filing Date | Title |
|---|---|---|---|
| CN202210873634.2ACN115424433B (en) | 2022-07-21 | 2022-07-21 | A method for characterizing car-following behavior of connected vehicles in multi-model mixed traffic |
| Publication Number | Publication Date |
|---|---|
| CN115424433Atrue CN115424433A (en) | 2022-12-02 |
| CN115424433B CN115424433B (en) | 2023-10-03 |
| Application Number | Title | Priority Date | Filing Date |
|---|---|---|---|
| CN202210873634.2AActiveCN115424433B (en) | 2022-07-21 | 2022-07-21 | A method for characterizing car-following behavior of connected vehicles in multi-model mixed traffic |
| Country | Link |
|---|---|
| CN (1) | CN115424433B (en) |
| Publication number | Priority date | Publication date | Assignee | Title |
|---|---|---|---|---|
| US20040263693A1 (en)* | 2003-06-30 | 2004-12-30 | Ralf Herbrich | Mixture model for motion lines in a virtual reality environment |
| EP1958842A2 (en)* | 2007-02-15 | 2008-08-20 | Mazda Motor Corporation | Driving assistance for a vehicle |
| CN101264762A (en)* | 2008-03-21 | 2008-09-17 | 东南大学 | Velocity Control Method for Car-following Vehicle |
| CN107507408A (en)* | 2017-07-24 | 2017-12-22 | 重庆大学 | It is a kind of consider front truck lane-change import process with the acceleration and with speeding on as modeling method of speeding |
| CN107554524A (en)* | 2017-09-12 | 2018-01-09 | 北京航空航天大学 | A kind of following-speed model stability control method based on subjective dangerous criminal |
| CN109978260A (en)* | 2019-03-26 | 2019-07-05 | 重庆邮电大学 | The off line vehicle of mixed traffic flow is with speeding on as prediction technique |
| CN111968372A (en)* | 2020-08-25 | 2020-11-20 | 重庆大学 | Multi-vehicle type mixed traffic following behavior simulation method considering subjective factors |
| CN112466119A (en)* | 2020-11-26 | 2021-03-09 | 清华大学 | Method and system for predicting vehicle following speed of vehicle by using vehicle-road cooperative data |
| Publication number | Priority date | Publication date | Assignee | Title |
|---|---|---|---|---|
| US20040263693A1 (en)* | 2003-06-30 | 2004-12-30 | Ralf Herbrich | Mixture model for motion lines in a virtual reality environment |
| EP1958842A2 (en)* | 2007-02-15 | 2008-08-20 | Mazda Motor Corporation | Driving assistance for a vehicle |
| CN101264762A (en)* | 2008-03-21 | 2008-09-17 | 东南大学 | Velocity Control Method for Car-following Vehicle |
| CN107507408A (en)* | 2017-07-24 | 2017-12-22 | 重庆大学 | It is a kind of consider front truck lane-change import process with the acceleration and with speeding on as modeling method of speeding |
| CN107554524A (en)* | 2017-09-12 | 2018-01-09 | 北京航空航天大学 | A kind of following-speed model stability control method based on subjective dangerous criminal |
| CN109978260A (en)* | 2019-03-26 | 2019-07-05 | 重庆邮电大学 | The off line vehicle of mixed traffic flow is with speeding on as prediction technique |
| CN111968372A (en)* | 2020-08-25 | 2020-11-20 | 重庆大学 | Multi-vehicle type mixed traffic following behavior simulation method considering subjective factors |
| CN112466119A (en)* | 2020-11-26 | 2021-03-09 | 清华大学 | Method and system for predicting vehicle following speed of vehicle by using vehicle-road cooperative data |
| Publication number | Publication date |
|---|---|
| CN115424433B (en) | 2023-10-03 |
| Publication | Publication Date | Title |
|---|---|---|
| CN111968372B (en) | Multi-vehicle type mixed traffic following behavior simulation method considering subjective factors | |
| CN107103749B (en) | Following traffic flow characteristic modeling method under Internet of vehicles environment | |
| CN111332290B (en) | A vehicle formation method and system based on feedforward-feedback control | |
| CN111445015B (en) | Non-internet-connected vehicle position estimation method in intelligent internet environment | |
| DE102016209984A1 (en) | Method for estimating a probability distribution of the maximum coefficient of friction at a current and / or future waypoint of a vehicle | |
| CN111439264B (en) | Implementation method of lane change control model based on man-machine hybrid driving | |
| Selvaraj et al. | An ML-aided reinforcement learning approach for challenging vehicle maneuvers | |
| CN118097935B (en) | A collision prediction method for intelligent connected hybrid vehicle fleet based on transfer function stability identification | |
| Pariota et al. | Integrating tools for an effective testing of connected and automated vehicles technologies | |
| CN111746538A (en) | A vehicle platoon following control method and control system for strict collision avoidance | |
| CN110992676A (en) | Road traffic capacity and internet automatic driving vehicle equivalent coefficient estimation method | |
| CN114253274A (en) | Data-driven-based online hybrid vehicle formation rolling optimization control method | |
| CN113721634B (en) | Vehicle team limited time cooperative control method based on back stepping method considering actuator saturation | |
| CN101264762A (en) | Velocity Control Method for Car-following Vehicle | |
| DE102020001182A1 (en) | Range forecast | |
| CN119672981B (en) | A method and system for collaborative control of hard shoulder driving and variable speed limit | |
| CN112193253A (en) | A longitudinal control method for an unmanned vehicle driving on a curve with variable curvature | |
| CN114148349A (en) | A Vehicle Personalized Car-following Control Method Based on Generative Adversarial Imitation Learning | |
| Babojelić et al. | Modelling of driver and pedestrian behaviour–a historical review | |
| CN114609998A (en) | A vehicle queue testing method, electronic device and storage medium | |
| US20210241104A1 (en) | Device, method and machine learning system for determining a velocity for a vehicle | |
| CN114987538A (en) | Collaborative lane changing method considering multi-objective optimization in internet automatic driving environment | |
| DE102017222568A1 (en) | A method for determining a coefficient of friction for a contact between a tire of a vehicle and a road and method for controlling a vehicle function of a vehicle | |
| CN115424433A (en) | A method for describing car-following behavior of connected vehicles in multi-vehicle mixed traffic | |
| CN105788238B (en) | Class spring vehicle following-model method for building up based on quantum door and self adaptive control |
| Date | Code | Title | Description |
|---|---|---|---|
| PB01 | Publication | ||
| PB01 | Publication | ||
| SE01 | Entry into force of request for substantive examination | ||
| SE01 | Entry into force of request for substantive examination | ||
| GR01 | Patent grant | ||
| GR01 | Patent grant |