
技术领域technical field
本发明涉及电导率检测技术领域,具体涉及一种用于超级电容器电导率的检测方法。The invention relates to the technical field of conductivity detection, in particular to a detection method for supercapacitor conductivity.
背景技术Background technique
超级电容器是指介于传统电容器和充电电池之间的一种新型储能装置,它既具有电容器快速充放电的特性、又具有电池的储能特性;与蓄电池和传统电容器相比,超级电容器的特点主要体现在:功率密度高、循环寿命长、工作温限宽、无需维护、绿色环保等。可见,超级电容器在能源、汽车、医疗卫生、电子、军事等领域具有十分广泛的应用前景。超级电容器的性能与其电极材料的电导率息息相关,其电导率大小决定了超级电容器的充放电性能,因此,在研制与生产过程中,对超级电容器电导率的检测是至关重要且不可缺少的环节。Supercapacitor refers to a new type of energy storage device between traditional capacitors and rechargeable batteries. It not only has the characteristics of fast charging and discharging of capacitors, but also has the characteristics of energy storage of batteries. The characteristics are mainly reflected in: high power density, long cycle life, wide working temperature limit, no maintenance, green environmental protection, etc. It can be seen that supercapacitors have very broad application prospects in energy, automobile, medical and health, electronics, military and other fields. The performance of a supercapacitor is closely related to the conductivity of its electrode material, and its conductivity determines the charge and discharge performance of the supercapacitor. Therefore, in the development and production process, the detection of the conductivity of the supercapacitor is a crucial and indispensable link. .
目前,超级电容器电极材料的电导率检测方法主要为四探针法和感应式热声检测法两种。其中,四探针法为接触式,接触式测试极易造成电容器内部材料的破坏、检测报废率高,且四探针法要求检测的目标体形状为圆形或矩形、检测适用对象范围窄;相比于接触式检测法,作为非接触式的感应式热声检测法不会与电极材料接触、不会造成材料损伤,同时对于检测材料的形状没有限定、适用对象广;然而,感应式热声检测法需求的交变磁场大、耗能高、检测成本高,且感应式热声检测法系统庞大、不便于携带、占地空间大,后期保养、维护困难,工业化、连续性检测操作复杂。At present, the conductivity detection methods of supercapacitor electrode materials are mainly four-probe method and inductive thermoacoustic detection method. Among them, the four-probe method is a contact type, which can easily cause damage to the internal materials of the capacitor, and the detection scrap rate is high, and the four-probe method requires the shape of the object to be detected to be round or rectangular, and the range of applicable objects for detection is narrow; Compared with the contact detection method, the non-contact inductive thermoacoustic detection method will not contact the electrode material and will not cause material damage. At the same time, there is no limit to the shape of the detection material and it can be applied to a wide range of objects; however, the inductive thermal acoustic detection method The acoustic detection method requires a large alternating magnetic field, high energy consumption, and high detection cost, and the inductive thermoacoustic detection method has a large system, is not easy to carry, occupies a large space, and is difficult to maintain and maintain in the later stage. Industrialization and continuous detection operations are complicated .
发明内容Contents of the invention
针对以上现有技术存在的问题,本发明的目的在于提供一种用于超级电容器电导率的检测方法,该方法能够实现非接触式检测超级电容器电极材料的电导率,且该方法需求的脉冲磁场强度低、测试简便。For the problems in the prior art above, the object of the present invention is to provide a detection method for supercapacitor conductivity, which can realize non-contact detection of the conductivity of supercapacitor electrode materials, and the pulsed magnetic field required by the method Low strength, easy to test.
本发明的另一个目的在于提供一种实现上述用于超级电容器电导率的检测方法所采用的系统。Another object of the present invention is to provide a system used to implement the above detection method for the conductivity of a supercapacitor.
本发明的目的通过以下技术方案实现:The object of the present invention is achieved through the following technical solutions:
一种用于超级电容器电导率的检测方法,其特征在于:包括以下步骤:A detection method for supercapacitor conductivity, characterized in that: comprising the following steps:
首先,将超级电容器的待检测电极材料放置在脉冲激励源线圈与磁铁之间,通过脉冲激励源激励待检测电极材料产生涡流、并通过磁铁的静磁场将涡流转换为洛伦兹力;然后,在超级电容器待检测电极材料周围阵列布置超声换能器,通过超声换能器接收待检测电极材料受洛伦兹力作用发出的超声信号;最后,采用信号采集模块处理超声换能器中接收的超声信号、并反馈到电导率重建模块中,利用电导率重建模块根据超声信号重建待检测电极材料的电导率;Firstly, the electrode material to be detected of the supercapacitor is placed between the pulse excitation source coil and the magnet, the electrode material to be detected is excited by the pulse excitation source to generate eddy current, and the eddy current is converted into Lorentz force by the static magnetic field of the magnet; then, Ultrasonic transducers are arranged in an array around the electrode material of the supercapacitor to be detected, and the ultrasonic signal emitted by the electrode material to be detected by the Lorentz force is received through the ultrasonic transducer; finally, the signal acquisition module is used to process the received ultrasonic signal in the ultrasonic transducer The ultrasonic signal is fed back to the conductivity reconstruction module, and the conductivity reconstruction module is used to reconstruct the conductivity of the electrode material to be detected according to the ultrasonic signal;
所述电导率重建模块根据超声信号重建待检测电极材料的电导率具体为:首先采用时间反演法重建超声信号中待检测电极材料的洛伦兹力散度;然后利用获得的洛伦兹力散度重建待检测电极材料的内部电场强度;最后采用最小二乘迭代法重建待检测电极材料的电导率分布。The electrical conductivity reconstruction module reconstructs the electrical conductivity of the electrode material to be detected according to the ultrasonic signal as follows: first, the time inversion method is used to reconstruct the Lorentz force divergence of the electrode material to be detected in the ultrasonic signal; and then the obtained Lorentz force is used to Divergence is used to reconstruct the internal electric field strength of the electrode material to be tested; finally, the least squares iterative method is used to reconstruct the conductivity distribution of the electrode material to be tested.
作进一步优化,所述采用时间反演法重建待检测电极材料的洛伦兹力散度具体为:For further optimization, the Lorentz force divergence of the reconstruction of the electrode material to be detected by the time-reversal method is specifically:
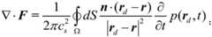
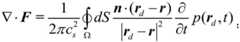
式中,表示梯度、为数学计算符号,F表示待检测材料内部的洛伦兹力,表示待检测电极材料的洛伦兹力散度;Ω表示超声换能器所处的曲面,具体为:以待检测电极材料所处位置为中心位置,以超声换能器与中心位置的距离为半径所获得的圆,此圆即为超声换能器所处的曲面;cs表示声波的传播速度;r表示待检测电极材料所处的位置;p(rd,t)表示超声换能器在检测点rd处接收的超声信号;t表示接收时间。In the formula, Indicates the gradient and is a mathematical calculation symbol, F indicates the Lorentz force inside the material to be tested, Indicates the Lorentz force divergence of the electrode material to be detected; Ω indicates the curved surface where the ultrasonic transducer is located, specifically: taking the position of the electrode material to be detected as the center position, the distance between the ultrasonic transducer and the center position is The circle obtained by the radius is the curved surface where the ultrasonic transducer is located; cs represents the propagation speed of the sound wave; r represents the position of the electrode material to be detected; p(rd , t) represents the ultrasonic transducer Ultrasonic signal received at the detection pointrd ; t represents the receiving time.
作进一步优化,所述声波的传播速度采用超声换能器测量、计算获得,具体为:测试开始前,结合待检测电极材料所处的环境,由所采用的超声换能器发出与接收声波,通过声波的传播距离与时间差计算得到声波的传播速度。For further optimization, the propagation speed of the sound wave is measured and calculated by an ultrasonic transducer, specifically: before the test starts, combined with the environment in which the electrode material to be tested is located, the sound wave is emitted and received by the ultrasonic transducer used, The propagation speed of the sound wave is calculated by the propagation distance and the time difference of the sound wave.
作进一步优化,所述利用获得的洛伦兹力散度重建待检测电极材料的内部电场强度、以及采用最小二乘迭代法重建待检测电极材料的电导率分布具体为:For further optimization, the reconstruction of the internal electric field strength of the electrode material to be detected using the obtained Lorentz force divergence and the use of the least squares iterative method to reconstruct the conductivity distribution of the electrode material to be detected are specifically:
首先通过洛伦兹力散度重建电场强度:The electric field strength is first reconstructed by the Lorentz force divergence:
式中,J表示待检测电极材料内部电流密度;B表示待检测电极材料所处位置的磁通密度;E表示待检测电极材料内部电场强度;σ表示待检测电极材料的电导率;Z表示方向;In the formula, J represents the internal current density of the electrode material to be detected; B represents the magnetic flux density at the position of the electrode material to be detected; E represents the internal electric field strength of the electrode material to be detected; σ represents the conductivity of the electrode material to be detected; Z represents the direction ;
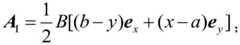
式中,A1表示脉冲电流产生的一次磁矢位;(a,b)表示脉冲激励源线圈的中心点坐标;(x,y)表示计算场点的坐标;φ表示标量电位;In the formula, A1 represents the primary magnetic vector potential generated by the pulse current; (a, b) represents the center point coordinates of the pulse excitation source coil; (x, y) represents the coordinates of the calculation field point; φ represents the scalar potential;
然后采用最小二乘迭代法重建待检测电极材料的电导率分布:Then the least squares iterative method is used to reconstruct the conductivity distribution of the electrode material to be detected:
式中,f(σ)表示建立的最小二乘目标函数。In the formula, f(σ) represents the established least squares objective function.
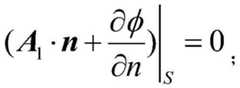
作进一步优化,所述标量电位具体获得方法为:For further optimization, the specific method for obtaining the scalar potential is:
式中,n表示边界S的法向单位矢量,边界S为电极材料所处待测区域的边界。In the formula, n represents the normal unit vector of the boundary S, and the boundary S is the boundary of the area to be measured where the electrode material is located.
上述用于超级电容器电导率的检测方法所采用的系统,其特征在于:The above-mentioned system used for the detection method of supercapacitor conductivity is characterized in that:
包括:include:
脉冲磁场激励模块,用于激励待检测电极材料内部产生涡流;The pulsed magnetic field excitation module is used to excite the eddy current generated inside the electrode material to be detected;
磁铁静磁场模块,用于与脉冲磁场激励模块配合产生洛伦兹力;The magnet static magnetic field module is used to cooperate with the pulse magnetic field excitation module to generate Lorentz force;
超声换能器,用于接收待检测电极材料发出的超声信号;The ultrasonic transducer is used to receive the ultrasonic signal sent by the electrode material to be detected;
信号采集模块,用于对超声换能器中的超声信号进行放大和滤波;The signal acquisition module is used to amplify and filter the ultrasonic signal in the ultrasonic transducer;
电导率重建模块,用于重建待检测电极材料的电导率分布;The conductivity reconstruction module is used to reconstruct the conductivity distribution of the electrode material to be detected;
所述脉冲磁场激励模块的线圈与磁铁静磁场模块分别设置在超级电容器的待检测电极材料的上、下端;所述超声换能器呈阵列布置在超级电容器的待检测电极材料的周围;所述信号采集模块分别与脉冲磁场激励模块、超声换能器、电导率重建模块电连接。The coil of the pulsed magnetic field excitation module and the magnet static magnetic field module are respectively arranged on the upper and lower ends of the electrode material to be detected in the supercapacitor; the ultrasonic transducer is arranged in an array around the electrode material to be detected in the supercapacitor; The signal acquisition module is electrically connected with the pulsed magnetic field excitation module, the ultrasonic transducer and the conductivity reconstruction module respectively.
作进一步优化,所述脉冲磁场激励模块采用能发出680~720ns脉宽的单脉冲交变磁场的脉冲激励源。For further optimization, the pulse magnetic field excitation module adopts a pulse excitation source capable of emitting a single pulse alternating magnetic field with a pulse width of 680-720 ns.
作进一步优化,所述磁铁静磁场模块采用能产生0.28~0.32T静磁场的磁体。For further optimization, the magnet static magnetic field module adopts a magnet capable of generating a static magnetic field of 0.28-0.32T.
作进一步优化,所述信号采集模块包括放大器与滤波器。For further optimization, the signal acquisition module includes an amplifier and a filter.
本发明具有如下技术效果:The present invention has following technical effect:
与现有的接触式检测电极材料电导率的方法相比,本申请能够实现非接触式检测超级电容器电极材料的电导率,无需与待检测材料进行接触,从而避免对电极材料造成破坏,检测适用范围广;与现有感应式热声检测法相比,本申请所需的脉冲磁场小:感应式热声检测法中的激励线圈需要激励电压为1000V左右,而本申请所需的激励电压不高于100V(即所需的脉冲磁场小),能耗小,避免高压环境检测、有效保证测试环境的安全性,同时本申请检测系统小型化、便于携带、操作简便,应用范围广、测试成本低。Compared with the existing contact method for detecting the conductivity of the electrode material, this application can realize the non-contact detection of the conductivity of the electrode material of the supercapacitor without contact with the material to be detected, thereby avoiding damage to the electrode material, and the detection is applicable Wide range; compared with the existing inductive thermoacoustic detection method, the pulse magnetic field required by this application is small: the excitation coil in the inductive thermoacoustic detection method needs an excitation voltage of about 1000V, but the excitation voltage required by this application is not high More than 100V (that is, the required pulsed magnetic field is small), energy consumption is small, avoiding high-voltage environment detection, and effectively ensuring the safety of the test environment. At the same time, the detection system of this application is miniaturized, easy to carry, easy to operate, wide in application range, and low in test cost. .
附图说明Description of drawings
图1为本发明实施例中的磁声检测系统的结构示意图。Fig. 1 is a schematic structural diagram of a magnetoacoustic detection system in an embodiment of the present invention.
100、脉冲磁场激励模块;200、磁铁静磁场模块;300、超声换能器;400、信号采集模块;401、放大器;402、滤波器;500、电导率重建模块;600、待检测电极材料。100. Pulse magnetic field excitation module; 200. Magnet static magnetic field module; 300. Ultrasonic transducer; 400. Signal acquisition module; 401. Amplifier; 402. Filter; 500. Conductivity reconstruction module; 600. Electrode material to be detected.
具体实施方式Detailed ways
下面将结合本发明实施例中的附图,对本发明实施例中的技术方案进行清楚、完整地描述,显然,所描述的实施例仅仅是本发明一部分实施例,而不是全部的实施例。基于本发明中的实施例,本领域普通技术人员在没有做出创造性劳动前提下所获得的所有其他实施例,都属于本发明保护的范围。The following will clearly and completely describe the technical solutions in the embodiments of the present invention with reference to the accompanying drawings in the embodiments of the present invention. Obviously, the described embodiments are only some, not all, embodiments of the present invention. Based on the embodiments of the present invention, all other embodiments obtained by persons of ordinary skill in the art without making creative efforts belong to the protection scope of the present invention.
实施例:Example:
如图1所示,一种用于超级电容器电导率的检测方法,其特征在于:包括以下步骤:As shown in Figure 1, a kind of detection method that is used for supercapacitor conductivity, is characterized in that: comprise the following steps:
首先,将超级电容器的待检测电极材料600放置在脉冲激励源线圈与磁铁之间,通过脉冲激励源激励待检测电极材料600产生涡流、并通过磁铁的静磁场将涡流转换为洛伦兹力;然后,在超级电容器待检测电极材料600周围阵列布置超声换能器300,通过超声换能器300接收待检测电极材料600受洛伦兹力作用发出的超声信号;最后,采用信号采集模块400处理超声换能器300中接收的超声信号、并反馈到电导率重建模块500中,利用电导率重建模块500根据超声信号重建待检测电极材料600的电导率;First, place the
电导率重建模块500根据超声信号重建待检测电极材料600的电导率具体为:首先采用时间反演法重建超声信号中待检测电极材料600的洛伦兹力散度,具体为:The electrical
式中,表示梯度、为数学计算符号,F表示待检测材料内部的洛伦兹力,表示待检测电极材料600的洛伦兹力散度;Ω表示超声换能器300所处的曲面,具体为:以待检测电极材料600所处位置为中心位置,以超声换能器300与中心位置的距离为半径所获得的圆,此圆即为超声换能器300所处的曲面;cs表示声波的传播速度;r表示待检测电极材料600的位置;p(rd,t)表示超声换能器300在检测点rd处接收的超声信号;t表示接收时间;In the formula, Indicates the gradient and is a mathematical calculation symbol, F indicates the Lorentz force inside the material to be tested, Indicates the Lorentz force divergence of the
其中,声波的传播速度采用超声换能器300测量、计算获得,具体为:测试开始前,结合待检测电极材料600所处的环境,由所采用的超声换能器300发出与接收声波,通过声波的传播距离与时间差计算得到声波的传播速度。Wherein, the propagation speed of the sound wave is measured and calculated by the
然后利用获得的洛伦兹力散度重建待检测电极材料600的内部电场强度,最后采用最小二乘迭代法重建待检测电极材料600的电导率分布,具体为:Then, the obtained Lorentz force divergence is used to reconstruct the internal electric field strength of the
首先通过洛伦兹力散度重建电场强度:The electric field strength is first reconstructed by the Lorentz force divergence:
式中,J表示待检测电极材料600内部电流密度;B表示待检测电极材料600所处位置的磁通密度;E表示待检测电极材料600内部电场强度;σ表示待检测电极材料600的电导率;Z表示方向;In the formula, J represents the internal current density of the
式中,A1表示脉冲电流产生的一次磁矢位;(a,b)表示脉冲激励源线圈的中心点坐标;(x,y)表示计算场点的坐标;φ表示标量电位;In the formula, A1 represents the primary magnetic vector potential generated by the pulse current; (a, b) represents the center point coordinates of the pulse excitation source coil; (x, y) represents the coordinates of the calculation field point; φ represents the scalar potential;
然后采用最小二乘迭代法重建待检测电极材料的电导率分布:Then the least squares iterative method is used to reconstruct the conductivity distribution of the electrode material to be detected:
式中,f(σ)表示建立的最小二乘目标函数;In the formula, f(σ) represents the established least squares objective function;
标量电位具体获得方法为:The specific method to obtain the scalar potential is:
式中,n表示边界S的法向单位矢量,边界S为电极材料所处待测区域的边界。In the formula, n represents the normal unit vector of the boundary S, and the boundary S is the boundary of the area to be measured where the electrode material is located.
上述用于超级电容器电导率的检测方法所采用的系统,包括:The system used in the above detection method for the conductivity of supercapacitors includes:
脉冲磁场激励模块100,用于激励待检测电极材料600内部产生涡流;The pulsed magnetic
磁铁静磁场模块200,用于与脉冲磁场激励模块100配合产生洛伦兹力;The magnet static
超声换能器300,用于接收待检测电极材料600发出的超声信号;The
信号采集模块400,用于对超声换能器300中的超声信号进行放大和滤波;A
电导率重建模块500,用于重建待检测电极材料600的电导率分布;The
脉冲磁场激励模块100的线圈与磁铁静磁场模块200分别设置在超级电容器的待检测电极材料600的上、下端;超声换能器300呈阵列布置在超级电容器的待检测电极材料600的周围;信号采集模块400分别与脉冲磁场激励模块100、超声换能器300、电导率重建模块500电连接;脉冲磁场激励模块100采用能发出680~720ns脉宽(优选发出700ns的脉宽)的单脉冲交变磁场的脉冲激励源;磁铁静磁场模块200采用能产生0.28~0.32T静磁场(优选产生0.3T的静磁场)的磁体;信号采集模块400包括放大器401与滤波器402。The coil of the pulsed magnetic
测试时,首先将待检测电极材料600放置在脉冲磁场激励模块100的线圈与磁铁静磁场模块200之间(如图1所示),然后启动脉冲磁场激励模块100激励待检测电极材料600;待检测电极材料600内部产生涡流,涡流在磁铁静磁场模块200的静磁场作用下,产生洛伦兹力;待检测电极材料600受到洛伦兹力的作用会发生振动、从而向外发出超声信号;此超声信号含有待检测电极材料600的电导率信息,此时,待检测电极材料600周围布置的阵列超声换能器300接收到超声信号,经过信号采集模块400内部的放大和滤波,传输给电导率重建模块500,最后电导率重建模块500内结合时间反演法与最小二乘迭代法,重建处待检测电极材料600的电导率分布。During the test, at first the
尽管已经示出和描述了本发明的实施例,对于本领域的普通技术人员而言,可以理解在不脱离本发明的原理和精神的情况下可以对这些实施例进行多种变化、修改、替换和变型,本发明的范围由所附权利要求及其等同物限定。Although the embodiments of the present invention have been shown and described, those skilled in the art can understand that various changes, modifications and substitutions can be made to these embodiments without departing from the principle and spirit of the present invention. and modifications, the scope of the invention is defined by the appended claims and their equivalents.
| Application Number | Priority Date | Filing Date | Title |
|---|---|---|---|
| CN202210168362.6ACN115372415A (en) | 2022-02-23 | 2022-02-23 | Detection method for conductivity of super capacitor |
| Application Number | Priority Date | Filing Date | Title |
|---|---|---|---|
| CN202210168362.6ACN115372415A (en) | 2022-02-23 | 2022-02-23 | Detection method for conductivity of super capacitor |
| Publication Number | Publication Date |
|---|---|
| CN115372415Atrue CN115372415A (en) | 2022-11-22 |
| Application Number | Title | Priority Date | Filing Date |
|---|---|---|---|
| CN202210168362.6APendingCN115372415A (en) | 2022-02-23 | 2022-02-23 | Detection method for conductivity of super capacitor |
| Country | Link |
|---|---|
| CN (1) | CN115372415A (en) |
| Publication number | Priority date | Publication date | Assignee | Title |
|---|---|---|---|---|
| CN101343999A (en)* | 2008-09-03 | 2009-01-14 | 中国科学院电工研究所 | Array magnetoacoustic conductivity imaging logging method and device |
| US20090018432A1 (en)* | 2005-05-11 | 2009-01-15 | Bin He | Methods and apparatus for imaging with magnetic induction |
| CN101791219A (en)* | 2010-03-03 | 2010-08-04 | 中国科学院电工研究所 | Magnetic-acoustic electrical impedance imaging method and device |
| CN103837580A (en)* | 2014-03-17 | 2014-06-04 | 中国科学院电工研究所 | Ultrasonic-based and electromagnetic ultrasonic combined dual-mode nondestructive testing method and device |
| CN105486924A (en)* | 2015-12-22 | 2016-04-13 | 中国石油大学(华东) | Non-contact conductor conductivity measurement method based on magneto-acoustic-electric effect |
| CN206763762U (en)* | 2017-05-03 | 2017-12-19 | 华中科技大学 | A kind of non-crystaline amorphous metal building mortion based on Lorentz force |
| CN111458566A (en)* | 2020-05-20 | 2020-07-28 | 重庆文理学院 | A non-contact detection method and system for electrical conductivity of energy storage materials |
| Publication number | Priority date | Publication date | Assignee | Title |
|---|---|---|---|---|
| US20090018432A1 (en)* | 2005-05-11 | 2009-01-15 | Bin He | Methods and apparatus for imaging with magnetic induction |
| CN101343999A (en)* | 2008-09-03 | 2009-01-14 | 中国科学院电工研究所 | Array magnetoacoustic conductivity imaging logging method and device |
| CN101791219A (en)* | 2010-03-03 | 2010-08-04 | 中国科学院电工研究所 | Magnetic-acoustic electrical impedance imaging method and device |
| CN103837580A (en)* | 2014-03-17 | 2014-06-04 | 中国科学院电工研究所 | Ultrasonic-based and electromagnetic ultrasonic combined dual-mode nondestructive testing method and device |
| CN105486924A (en)* | 2015-12-22 | 2016-04-13 | 中国石油大学(华东) | Non-contact conductor conductivity measurement method based on magneto-acoustic-electric effect |
| CN206763762U (en)* | 2017-05-03 | 2017-12-19 | 华中科技大学 | A kind of non-crystaline amorphous metal building mortion based on Lorentz force |
| CN111458566A (en)* | 2020-05-20 | 2020-07-28 | 重庆文理学院 | A non-contact detection method and system for electrical conductivity of energy storage materials |
| Title |
|---|
| WANG HAO ET AL: "electromagnetic inverse problem of magnetoacoustic tomography with magnetic induction", 2008 WORLD AUTOMATION CONGRESS PROCEEDINGS, 31 December 2008 (2008-12-31)* |
| 丁广鑫 等: "基于激光诱导超声换能器的磁声电成像研究", 中国激光, vol. 45, no. 10, 31 December 2018 (2018-12-31)* |
| 刘瑾: "磁声成像中的声源指向特性与图像重建算法", 中国优秀硕士学位论文电子期刊 信息科技, 15 February 2017 (2017-02-15), pages 1 - 59* |
| 夏慧 等: "注入电流式磁声成像平面模型的逆问题研究", 电工技术学报, no. 04, 25 February 2017 (2017-02-25)* |
| 张凤: "磁感应磁声信号的分析与成像研究", 中国优秀硕士学位论文电子期刊 基础科学;工程科技Ⅱ辑;信息科技, 15 February 2014 (2014-02-15), pages 1 - 67* |
| 张帅 等: "基于改进时间反演算法的感应式磁声成像图像重建研究", 医疗卫生装备, vol. 39, no. 1, 31 January 2018 (2018-01-31)* |
| 杨延菊 等: "脉冲磁激励的磁声效应和热声效应的仿真研究", 生物医学工程学杂志, no. 01, 25 February 2017 (2017-02-25)* |
| 陈晶 等: "基于旋度场的磁声成像电导率的重建", 2013年度全国检测声学会议, 29 August 2013 (2013-08-29)* |
| Publication | Publication Date | Title |
|---|---|---|
| CN104007180B (en) | Torsional mode magnetostriction sensor array | |
| CN108152365B (en) | The compound lossless detection method of impulse eddy current electromagnetic acoustic based on wavelet analysis | |
| CN111458566A (en) | A non-contact detection method and system for electrical conductivity of energy storage materials | |
| CN107064302B (en) | A Conductivity Reconstruction Method for Injected Current Thermoacoustic Imaging | |
| CN104434094B (en) | Conductivity image reconstructing method for magneto-thermoacoustic coupled tomography | |
| CN108828057A (en) | A multi-parameter detection device and method for oil-water two-phase flow based on electromagnetic-acoustic coupling | |
| CN109856238A (en) | A kind of lithium ion battery air blister defect detection method based on ultrasonic detecting technology | |
| CN113080926B (en) | Coil detection type magnetoacoustic-electric imaging device and method | |
| CN102894974A (en) | Magneto-acoustic-electric imaging system and imaging method | |
| CN105044220B (en) | An omnidirectional dual-mode Lamb wave electromagnetic acoustic sensor | |
| CN110037697B (en) | A magnetoacoustoelectric imaging device, method and system | |
| CN104483382B (en) | Longitudinal-mode magnetostrictive array sensor | |
| CN102590625B (en) | Magnetic acoustic coupling imaging weak acoustic signal frequency domain detection processing method | |
| CN104473640B (en) | Electric conductivity rebuilding method for magnetocaloric acoustical imaging | |
| CN103837580B (en) | A dual-mode nondestructive testing method based on the combination of ultrasonic and electromagnetic ultrasonic | |
| CN105004930B (en) | A kind of novel microwave sounding method and device and application | |
| CN111948291A (en) | A conductivity reconstruction method for nanosecond pulsed electric field-induced thermoacoustic imaging | |
| CN103837581A (en) | Detection device for lithium ion battery | |
| Siegl et al. | An electromagnetic acoustic transducer for generating acoustic waves in lithium-ion pouch cells | |
| CN104013388A (en) | Magneto-acoustic coupling imaging excitation and detection method and device based on low-frequency continuous waves | |
| CN115372416A (en) | An inductive pulse compression magnetoacoustic detection method and system | |
| CN106885842B (en) | A Resistivity Reconstruction Method of Injected Current Thermoacoustic Imaging | |
| CN109282879B (en) | A kind of contactless EMAT detection method and its system of micro-mass sensor | |
| CN114646818B (en) | Space charge non-contact test system and method | |
| CN114441641B (en) | Longitudinal wave type electromagnetic ultrasonic probe and detection method |
| Date | Code | Title | Description |
|---|---|---|---|
| PB01 | Publication | ||
| PB01 | Publication | ||
| SE01 | Entry into force of request for substantive examination | ||
| SE01 | Entry into force of request for substantive examination | ||
| RJ01 | Rejection of invention patent application after publication | Application publication date:20221122 | |
| RJ01 | Rejection of invention patent application after publication |