Movatterモバイル変換


[0]ホーム

URL:


CN115371495A - Bulletproof monitoring and early warning system and method for protective vehicle - Google Patents

Bulletproof monitoring and early warning system and method for protective vehicle
Download PDF

Info

Publication number
CN115371495A
CN115371495ACN202210910533.8ACN202210910533ACN115371495ACN 115371495 ACN115371495 ACN 115371495ACN 202210910533 ACN202210910533 ACN 202210910533ACN 115371495 ACN115371495 ACN 115371495A
Authority
CN
China
Prior art keywords
armor
bulletproof
early warning
layer
monitoring
Prior art date
Legal status (The legal status is an assumption and is not a legal conclusion. Google has not performed a legal analysis and makes no representation as to the accuracy of the status listed.)
Granted
Application number
CN202210910533.8A
Other languages
Chinese (zh)
Other versions
CN115371495B (en
Inventor
李轶伦
张路阳
胡文海
张敏
张晓龙
Current Assignee (The listed assignees may be inaccurate. Google has not performed a legal analysis and makes no representation or warranty as to the accuracy of the list.)
Dongfeng Off Road Vehicle Co Ltd
Original Assignee
Dongfeng Off Road Vehicle Co Ltd
Priority date (The priority date is an assumption and is not a legal conclusion. Google has not performed a legal analysis and makes no representation as to the accuracy of the date listed.)
Filing date
Publication date
Application filed by Dongfeng Off Road Vehicle Co LtdfiledCriticalDongfeng Off Road Vehicle Co Ltd
Priority to CN202210910533.8ApriorityCriticalpatent/CN115371495B/en
Publication of CN115371495ApublicationCriticalpatent/CN115371495A/en
Application grantedgrantedCritical
Publication of CN115371495BpublicationCriticalpatent/CN115371495B/en
Activelegal-statusCriticalCurrent
Anticipated expirationlegal-statusCritical

Links

Images

Classifications

Landscapes

Abstract

The invention discloses a bulletproof monitoring and early warning system for a protective vehicle, which comprises a bulletproof armor substrate, an invasion monitoring unit, a parameter measuring and calculating unit and an early warning feedback unit; the bulletproof armor matrix is a plurality of single-layer or multi-layer protective armor sheets which are uniformly distributed on the surface of the vehicle body; the penetration monitoring unit is attached to the bulletproof armor substrate; the penetration monitoring unit monitors the numerical value of armor damage and the position of the armor damage when bullets penetrate the armor and are damaged after the bullet-proof armor of the vehicle body is struck by a gun, and feeds back the numerical value of the armor damage and the position of the armor damage to the parameter calculation unit; the parameter measuring and calculating unit transmits the measured damage severity of the armor and the enemy firepower direction information to the early warning feedback unit; the early warning feedback unit feeds back the information of the damage position and the severity of the armor and the direction of enemy firepower through a display screen and a loudspeaker; the damage degree and the middle missile position of the vehicle body can be monitored and early warned after the middle missile, and the function of determining the direction of enemy fire is achieved, so that the future battlefield requirements are met.

Description

Bulletproof monitoring and early warning system and method for protective vehicle
Technical Field
The invention belongs to the field of automobile protection, and particularly relates to a bulletproof monitoring and early warning system for a protective automobile.
Background
The bulletproof armor for the vehicle is common military equipment in modern times, can crush bullet heads, absorb bullet energy, resist bullet penetration and effectively protect life safety of passengers in the vehicle. The main current functions of bulletproof armors and bulletproof vehicles are (1) defense fragment: the high-speed shrapnel generated by various explosives such as grenades, landmines, automobile bombs and the like is seriously examined for the protective performance of vehicles. (2) bullet protection: the threat to the protective performance of vehicles from the firing of various types of bullets, such as armor-piercing combustion bullets, is significant and requires special ballistic structures and materials to address. Meanwhile, various metal or high-performance fiber, ceramic and other composite materials are produced at present domestically and internationally, and the bulletproof performance of the vehicle is obviously improved. And various advanced bulletproof materials under study, and meanwhile, weaponry is continuously upgraded, and a "spear" and a "shield" jointly take a new confrontation towards future war.
In modern and future military battlefields, anti-terrorism scenes and the like, the condition that the automobile is struck by bullets and penetrates to cause casualties necessarily exists. The bulletproof grade of the existing protective vehicle is continuously improved along with the use requirement, however, various bulletproof equipment does not have the capability of continuously evaluating and monitoring the striking damage of the same position, and meanwhile, various bulletproof standards do not strictly require the continuous damage resistance of the armor, so that an enemy continuously attacks the bullet-receiving position, and the actual battlefield scene that the same position of the bulletproof armor is continuously impacted is ensured. Or the passengers are positioned in the vehicle body, so that the bullet threats on the periphery, the upper part and the lower part of the outside of the vehicle body cannot be observed conveniently, the passengers can only rely on the observation and the support of satellites or aerial units, and once the passengers are blocked by communication, the damage and the damage position after the passengers are shot are difficult to be determined in time. The time of the absence of the early warning for the fatal damage can not enable passengers in the vehicle to respond in time, so that the effective and accurate judgment on the enemy fire power can not be made, and the action response can not be rapidly and accurately carried out. On an enemy battlefield, the passengers in the vehicle lose reaction time and cannot fully acquire the information of the enemy firepower from the hitting of the enemy firepower.
Disclosure of Invention
In order to overcome the technical defect that the damaged part and the damaged degree of a protective vehicle cannot be determined after the protective vehicle is hit by fire, the invention provides the bulletproof monitoring and early warning system for the vehicle, which can detect the damaged condition of the vehicle, can monitor and early warn the damaged degree and the damaged part of the vehicle body after a middle bullet, and has the function of determining the large direction of the fire of an enemy, thereby being suitable for the requirements of a battlefield in the future.
One of the problems to be solved by the present invention is: a bulletproof monitoring and early warning system for a protective vehicle comprises a bulletproof armor substrate, a penetration monitoring unit, a parameter measuring and calculating unit and an early warning feedback unit;
the bulletproof armor matrix is a plurality of single-layer or multi-layer protective armor sheets which are uniformly distributed on the surface of the vehicle body;
the penetration monitoring unit is attached to the bulletproof armor substrate; the penetration monitoring unit is in circuit connection with the parameter measuring and calculating unit and has the function of monitoring the numerical value of armor damage and the position of the armor damage when the bullet penetration armor is damaged after the bullet body bulletproof armor is shot by a gun, and feeding back the numerical value of the armor damage and the position of the armor damage to the parameter calculating unit;
the parameter measuring and calculating unit is arranged in the vehicle body and can be arranged in a vehicle body power and electric power system arrangement cabin (such as an engine cabin); the system is connected with a penetration monitoring unit through a circuit, and analyzes, calculates and records the armor damage value and the damaged part of the armor transmitted by the penetration monitoring unit, compares preset bulletproof armor parameters, evaluates the severity of armor damage, and analyzes the enemy firepower direction of the vehicle body subjected to gunshot; the parameter measuring and calculating unit is connected with the early warning feedback unit in a circuit and transmits the measured armor damage severity and enemy firepower direction information to the early warning feedback unit (the parameter measuring and calculating unit can be arranged on a cloud platform in a cloud computing mode and remotely receives data for calculation, and the data are wirelessly transmitted back to the monitoring unit);
the early warning feedback unit is arranged at the positions of an instrument board and the like; and the device is connected with a parameter measuring and calculating unit, and transmits the measured information of the damage part and the severity of the armor and the firepower direction of the enemy army to passengers in the vehicle through electronic equipment such as a display screen and a loudspeaker (or media such as a virtual reality technology and an odor reminder can be used for feedback), so that the information of the damage part and the firepower direction of the enemy army can be visually displayed.
Furthermore, the armor plate of the armor body (comprises a covering armor layer, an armor base layer, an armor lining layer and an inner decoration layer which are arranged from outside to inside, the penetration monitoring unit comprises a first penetration monitoring layer, a second penetration monitoring layer and a third penetration monitoring layer, the first penetration monitoring layer is arranged between the covering armor layer and the armor base layer, the second penetration monitoring layer is arranged between the armor base layer and the armor lining layer, and the third penetration monitoring layer is arranged between the armor lining layer and the inner decoration layer.
Furthermore, the armor layer is hung, and the hanging layer is made of high-strength and high-hardness materials and serves as an outermost bulletproof projectile-facing layer to destroy bullets to absorb energy; the first penetration monitoring layer, the second penetration monitoring layer and the third penetration monitoring layer are penetration monitoring units and are in circuit connection with the parameter measuring and calculating unit, and when the bullet penetration armor of the monitoring vehicle body is damaged after the bullet-proof armor is struck by a gun, the numerical value of armor damage and the position of the armor damage are fed back to the parameter calculating unit; the bulletproof armor base layer is made of steel plate materials, and has the characteristics of reliable bulletproof property, excellent manufacturability and the like; the lining layer of the bulletproof lining layer is made of a high-toughness material and serves as a bulletproof back bullet layer, and residual energy of a bullet is absorbed through tearing deformation;
the interior decoration layer is positioned in the vehicle, has the functions of attractive appearance, sound absorption and noise reduction, and shields a large number of pipeline circuits arranged by the early warning system.
Furthermore, the first penetration monitoring layer, the second penetration monitoring layer and the third penetration monitoring layer are made of damping strain gauges or resistance network structures or conductive film structures, after the bullet impact force is received, the included damping strain gauges deform under the stress, the damping strain gauges deform to cause damping change, the damping change causes local voltage change of a circuit, and a voltmeter monitors a voltage change part and a voltage change value in a bulletproof monitoring circuit system.
Furthermore, the early warning feedback unit has a networking function, is connected with the cloud command network platform, uploads battlefield information such as damage positions and degrees of the vehicle body which is attacked by firepower, enemy firepower trends and the like, has a function of transmitting relevant battlefield information to the general command department in real time, and provides effective information for friendly cooperative combat.
Further, the method for monitoring and early warning the bulletproof of the protective vehicle comprises the following steps:
shooting a bullet on a bulletproof armor substrate, wherein the bulletproof armor substrate is impacted and has local impact force;
step (2) response of a penetration monitoring unit, wherein a damping strain gauge contained in the penetration monitoring unit is deformed under stress, the deformation of the damping strain gauge causes damping change, the damping change causes local voltage change of a circuit, and a voltmeter monitors a voltage change part and a voltage change value in a bulletproof monitoring circuit system;
the parameter measuring and calculating unit responds, because of the local voltage change of the circuit, the measuring and calculating unit starts calculation, the resistance value is obtained through the calculation of the voltage at the moment, so that the deformation of the damping sheet is calculated, the corresponding relation between the deformation quantity input at the moment and the resistance value is obtained, the deformation quantity is compared with a deformation quantity database of the damage degree of the armor protection corresponding to the deformation quantity in the system, and the residual armor bulletproof performance value (for example, 50% of residual bulletproof capacity, which means that only 50% of bulletproof capacity of the bulletproof armor remains, is damaged by 50%) at the moment is obtained, and the voltage change position is positioned, namely the part where the armor is struck);
the early warning feedback unit displays and gives an alarm to the personnel in the vehicle, the damaged part prompts the main direction (the front side of the vehicle body/the left side of the vehicle body/the right side of the vehicle body/the top of the vehicle body/the rear part of the vehicle body/the lower part of the vehicle body) that the vehicle receives the bullet impact, and the serial number and the specific position of the partitioned armor block are accurately displayed in a display terminal, so that accurate middle bullet information and accurate damaged part of the vehicle body are clear to the passengers in the vehicle; the safety threat level, the armor residual bulletproof capacity and the hit armor part are displayed, and the early warning effect can be achieved by voice prompt, vibrator feedback, indicator lamp lightening and display screen or displaying the bulletproof armor matrix in front of the personnel in the vehicle by colored and holographic projection;
step (5) personnel in the armored car obtains early warning signals, knows the monitoring value and the hit part of the protection capability of the current car body, monitors the direction of enemy fire, evaluates the bulletproof capability of the armored car at the time and responds;
and (6) the cloud platform synchronously receives the vehicle body bulletproof capacity value uploaded by the vehicle body and the corresponding hit part, fully grasps the damage condition and hit direction of each vehicle in the battlefield, and commands and more accurately deploys the target vehicle.
Further, the calculation method of the armor bulletproof residual performance value in the step (3) comprises the following steps:
(1) Residual ballistic performance value W = 100%: the first type is not impacted by bullets, and the bulletproof performance of the armor is not influenced; the other is weak impact force, when the impact force value F is smaller than a certain value in simulation and test, each impact force has no influence on the internal stress of the armor material, so that the material cannot reach the deformation or stress concentration limit, and the armor performance is not influenced when the impact force F is smaller than the certain value, and the armor protection performance is in a complete protection state without damage;
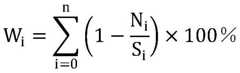
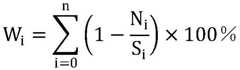
(2) Residual ballistic performance value 0 < W < 100: in simulation and test, the impact force F is counted, the main calculation method is as follows, aiming at different impact forces F, the impact force F is generated when the armor is hit by the armor, and the numerical value F is1 Recording and carrying out additional bullet shooting, recording the limit shooting number of the protective performance of the armor, wherein the limit shooting number of the protective performance refers to the national common people's republic of China public safety industry Standard GA/T950 bulletproof Material and product v50 test method to obtain the limit shooting number, namely the number of bearable limit shots of armor protection, and the bulletproof performance value W is calculated according to the percentage of the number of the bearable residual bullets of the armor to the total shots1 The following formula, W1 Is the residual ballistic performance value, N1 In order to shoot the number of the shots,S1 the number of hair is the bearable limit;
Figure BDA0003773843940000061
the formula aims at obtaining the residual bulletproof performance value under the specified impact force F, if the bullet is shot by different bullet types, different shooting distances and different shooting directions, the corresponding impact force F also changes, and aims at the subsequent impact F2 At this time, the residual value W of the bulletproof performance2 The following formula, W2 Is the residual ballistic performance value, N2 For firing a number of shots, S2 The number of hair is the bearable limit;
Figure BDA0003773843940000062
obtaining a real-time value W of the residual ballistic performancei The following formula, Wi As residual ballistic performance value, Ni For shooting a number of shots, Si The number of hair is the bearable limit;
Figure BDA0003773843940000063
after simplification, the formula is obtained:
Figure BDA0003773843940000064
(3) Residual ballistic performance value W = 0%: the impact of the bullet causes the breakdown of the armor, which has devastating influence on the performance of the armor, and the protective performance of the armor is in a state of complete loss of protection.
Further, the step (4) of security threat level comprises:
(1) C-level early warning: when the bullet-proof draping layer on the outermost layer is not punctured, the vehicle body is in medium-elasticity C-level early warning, and the protection safety threat level of the vehicle body and personnel in the vehicle is C level;
(2) B-level early warning: when the outermost bulletproof draping layer is broken down and the middle bulletproof steel plate layer which is not broken down is hit, the vehicle body is in middle bullet B-level early warning, and the protection safety threat level of the vehicle body and personnel in the vehicle is B level;
(3) A-level early warning: when the outermost bulletproof draping layer and the middle bulletproof steel plate layer are punctured and the bulletproof inner lining layer is not punctured, the vehicle body is in medium-elasticity A-level early warning, and the protection safety threat level of the vehicle body and personnel in the vehicle is A level;
(4) S-level early warning: when the outermost bulletproof draping layer, the middle bulletproof steel plate layer and the bulletproof inner lining layer are completely punctured, the vehicle body is in middle bullet S-level early warning, and the protection safety threat level of the vehicle body and personnel in the vehicle is S-level.
Further, according to different threat levels, a vibration mode, a light flicker mode and a loudspeaker alarm mode corresponding to the threat levels are designed:
(1) Green (100%): the loudspeaker is muted, the vibrator does not vibrate, and the warning light is normally green; the protective performance is good, and the bulletproof performance of the protective armor is not influenced or is not influenced by any damage; corresponding to C-level early warning;
(2) Yellow (60% -99%): the loudspeaker gives an alarm slightly, the vibrator vibrates slightly, and the warning lamp is yellow; the protective performance is slightly damaged, the bulletproof performance of the protective armor is influenced by partial damage, and the bulletproof performance of the bulletproof armor is not seriously threatened; corresponding to B-level early warning;
(3) Red (1% -59%): the loudspeaker gives an alarm, the vibrator vibrates, and the warning lamp flashes red; representing that the protection performance is seriously damaged, the bulletproof performance of the protection armor is seriously influenced by the damage, and the bulletproof performance of the bulletproof armor is seriously threatened; corresponding to A-level early warning;
(4) Grey (0%): the loudspeaker gives an alarm strongly, the vibrator shakes violently, and the warning lamp is red; the protective performance is completely lost, and the bulletproof performance of the protective armor is completely lost due to damage, so that the safety of personnel in the vehicle body is directly threatened; and performing corresponding S-level early warning.
Further, the method for monitoring the enemy fire power direction in thestep 5 comprises the following steps: in order to realize enemy firepower monitoring, a resistance strain gauge is arranged behind each armor plate/ceramic fast back by relying on armor monitoring block design; when a certain part is hit, the damaged part is prompted to specifically indicate the main direction (the front wall of the vehicle body/the left side wall of the vehicle body/the right side wall of the vehicle body/the top of the vehicle body/the rear part of the vehicle body/the lower part of the vehicle body) of the fire power of the enemy, namely the large direction (the front part of the vehicle body/the left side of the vehicle body/the right side of the vehicle body/the upper part of the vehicle body/the rear part of the vehicle body) of the enemy can be analyzed, and the information is uploaded to a cloud platform, so that the favorable information of the fire power movement direction of the enemy in the battlefield is provided for our party; the function of analyzing the firepower direction is rapidly and simply solved.
In general, compared with the prior art, the above technical solutions conceived by the present invention can achieve the following beneficial effects:
(1) The protective vehicle bulletproof monitoring and early warning system can detect the self damage degree, the damage part and the enemy fire direction, can monitor and early warn the self damage degree and the middle bullet part of the vehicle body after the middle bullet, and has the function of determining the enemy fire direction, thereby being suitable for the future battlefield requirements.
(2) According to the bulletproof monitoring and early warning system for the protective vehicle, the residual performance value is compared with the undamaged health state, and the obtained percentage value is used as the residual bulletproof performance value of the armor. The feedback is simple and clear, and the current health condition of the vehicle body can be intuitively understood.
(3) The protective vehicular bulletproof monitoring and early warning system is beneficial to establishing a corresponding early warning level mechanism, the early warning level mechanism corresponds to threat levels of vehicle body and personnel protection safety, can make the early warning mechanism alarm in grades, enables passengers to intuitively feel different threat levels, and can quickly, effectively and intuitively receive messages of different threat levels, so that the complex and variable battlefield environment is quickly and effectively judged, and the corresponding early warning level mechanism is beneficial to establishing the corresponding early warning level mechanism, the early warning level mechanism corresponds to the threat levels of vehicle body and personnel protection safety, can make the early warning mechanism alarm in grades, enables the passengers to intuitively feel different threat levels, can quickly, effectively and intuitively receive the messages of different threat levels, and quickly and effectively judges the complex and variable battlefield environment;
(4) According to the bulletproof monitoring and early warning system for the protective vehicle, images are displayed in the vehicle through a display screen or holographic projection, colors and numerical values are distinguished aiming at armor parts with different threat levels, a vehicle body three-dimensional early warning mechanism combining colors and numerical values is established, and the vehicle body three-dimensional early warning combining the colors and the numerical values is fed back to passengers in the vehicle through media such as the display screen or the projection. The invention creatively provides a color and numerical value combined vehicle body three-dimensional early warning mechanism, and is accompanied with multimedia early warning modes aiming at different levels, so that vehicle body passengers can receive early warning information feedback intuitively, effectively, quickly and humanizedly.
Drawings
FIG. 1 is a schematic diagram of a cell structure according to a preferred embodiment of the present invention;
FIG. 2 is a flow chart illustrating a preferred embodiment of the present invention;
FIG. 3 is a schematic structural view of a ballistic armor matrix according to a preferred embodiment of the invention;
FIG. 4 is a schematic diagram of the connection structure of the parameter measuring and calculating unit, the early warning feedback unit and the corresponding pipeline according to the preferred embodiment of the present invention;
FIG. 5 is a schematic cross-sectional structural view of a ballistic armor matrix according to a preferred embodiment of the invention;
1-a ballistic armor substrate; 2-penetration monitoring unit; 3-a parameter measuring and calculating unit; 4-early warning feedback unit; 5-personnel in the vehicle; 6-cloud platform.
Detailed Description
In order to make the objects, technical solutions and advantages of the present invention more apparent, the present invention is described in further detail below with reference to the accompanying drawings and embodiments. It should be understood that the specific embodiments described herein are merely illustrative of the invention and are not intended to limit the invention. In addition, the technical features involved in the respective embodiments of the present invention described below may be combined with each other as long as they do not conflict with each other.
Referring to fig. 1-3, a bulletproof monitoring and early warning system for a protective vehicle includes a bulletproof armor substrate, a penetration monitoring unit, a parameter measuring and calculating unit, and an early warning feedback unit;
the bulletproof armor matrix is a plurality of single-layer or multi-layer protective armor pieces which are uniformly distributed on the surface of the vehicle body;
the penetration monitoring unit is attached to the bulletproof armor substrate; the penetration monitoring unit is in circuit connection with the parameter measuring and calculating unit and has the function of monitoring the numerical value of armor damage and the position of the armor damage when a bullet penetrates into the armor and is damaged after the bullet-proof armor of the vehicle body is struck by a gun, and feeding back the numerical value of the armor damage and the position of the armor damage to the parameter calculating unit;
the parameter measuring and calculating unit is arranged in the vehicle body and can be arranged in a vehicle body power and electric power system arrangement cabin (such as an engine cabin); the system is connected with a penetration monitoring unit through a circuit, and analyzes, calculates and records the armor damage value and the damaged part of the armor transmitted by the penetration monitoring unit, compares preset bulletproof armor parameters, evaluates the severity of armor damage, and analyzes the enemy firepower direction of the vehicle body subjected to gunshot; the parameter measuring and calculating unit is in circuit connection with the early warning feedback unit and transmits the measured armor damage severity and enemy firepower direction information to the early warning feedback unit (the parameter measuring and calculating unit can also be arranged on a cloud platform in a cloud computing mode and remotely receives data for computing;
the early warning feedback unit is arranged at the positions of the instrument panel and the like; and the device is connected with a parameter measuring and calculating unit, and transmits the measured information of the damage part and the severity of the armor and the firepower direction of the enemy army to passengers in the vehicle through electronic equipment such as a display screen and a loudspeaker (or media such as a virtual reality technology and an odor reminder can be used for feedback), so that the information of the damage part and the firepower direction of the enemy army can be visually displayed.
Referring to fig. 4, the armor sheet of the bulletproofarmor base body 1 includes acladding armor layer 11, a bulletproofarmor base layer 13, abulletproof lining layer 15 and aninner decoration layer 17 arranged from outside to inside; the penetration monitoring unit comprises a firstpenetration monitoring layer 12, a secondpenetration monitoring layer 14 and a thirdpenetration monitoring layer 16; apenetration monitoring layer 12 is arranged between acladding armor layer 11 and a bulletproofarmor base layer 13, apenetration monitoring layer 14 is arranged between the bulletproofarmor base layer 13 and abulletproof lining layer 15, and apenetration monitoring layer 16 is arranged between thebulletproof lining layer 15 and aninner decoration layer 17.
Thearmor layer 11 is made of high-strength and high-hardness materials and serves as an outermost bulletproof bullet-facing layer, and the bullets are destroyed to absorb energy; the firstpenetration monitoring layer 12, the secondpenetration monitoring layer 14 and the thirdpenetration monitoring layer 16 are penetration monitoring units and are in circuit connection with a parameter measuring and calculating unit, and when monitoring that the bulletproof armor of the vehicle body is struck by a gun and a bullet penetrates into the armor to be destroyed, the numerical value of the armor damage and the part of the armor damage are fed back to the parameter calculating unit; the bulletproof armor base layer is made of steel plate materials, and has the characteristics of reliable bulletproof property, excellent manufacturability and the like; thebulletproof lining layer 5 is characterized in that the lining layer is made of a high-toughness material and is used as a bulletproof back layer, and residual energy of a bullet is absorbed through tearing deformation;
the inner decoration layer 7 is positioned in the vehicle, has the functions of attractive appearance, sound absorption and noise reduction, and shields a large number of pipeline lines arranged by the early warning system.
The firstpenetration monitoring layer 12, the secondpenetration monitoring layer 14 and the thirdpenetration monitoring layer 16 are made of damping strain gauges or resistance net structures or conductive film structures, after bullet impact force is received, the included damping strain gauges deform under stress, the deformation of the damping strain gauges causes damping change, the local voltage change of a circuit is caused by the damping change, and a voltmeter monitors a voltage change part and a voltage change value in a bulletproof monitoring circuit system.
Furthermore, the early warning feedback unit has a networking function, is connected with the cloud command network platform, uploads battlefield information such as damage positions and degrees of the vehicle body which is attacked by firepower, enemy firepower trend and the like, has a function of transmitting relevant battlefield information to the general command department in real time, and provides effective information for the cooperative combat of the friend.
Referring to fig. 5, a bulletproof monitoring and early warning method for a protective vehicle is further provided, which includes the following steps:
the method comprises the following steps: shooting a bullet on a bulletproof armor matrix, wherein the bulletproof armor matrix is impacted and has local impact force;
step two: the penetration monitoring unit responds, a damping strain gauge contained in the penetration monitoring unit deforms under stress, the deformation of the damping strain gauge causes damping change, the damping change causes local voltage change of a circuit, and a voltmeter monitors a voltage change part and a voltage change value in the bulletproof monitoring circuit system;
thirdly, the parameter measuring and calculating unit responds, because of the local voltage change of the circuit, the measuring and calculating unit starts calculation, the resistance value is obtained through the calculation of the voltage at the moment, so that the deformation of the damping sheet is calculated, the corresponding relation between the deformation quantity input at the moment and the resistance value is obtained, the deformation quantity is compared with a deformation quantity database of the damage degree of the armor protection corresponding to the deformation quantity in the system, and the armor bulletproof residual performance value at the moment is obtained (for example, 50% of bulletproof capacity is remained, which means that only 50% of bulletproof capacity is remained for the bulletproof armor, and 50% of the bulletproof capacity is damaged), and the voltage change position is positioned, namely the bulletproof part is a bullet-struck part);
specifically, the calculation method of the armor bulletproof residual performance value comprises the following steps:
(1) Residual ballistic performance value W = 100%: the first type is not impacted by bullets, and the bulletproof performance of the armor is not influenced; the other is weak impact force, when the impact force value F is smaller than a certain value in simulation and test, each impact force has no influence on the internal stress of the armor material, so that the material cannot reach the deformation or stress concentration limit, and the armor performance is not influenced when the impact force F is smaller than the certain value, and the armor protection performance is in a complete protection state without damage;
(2) Residual ballistic performance value 0 < W < 100: in simulation and test, the impact force F is counted, the main calculation method is as follows, aiming at different impact forces F, the impact force F is generated when the armor is hit by the armor, and the numerical value F is1 Recording and carrying out additional bullet shooting, recording the protective performance limit firing number of the armor, obtaining the limit firing number, namely the armor protection bearable limit number, by referring to the GA/T950 bulletproof material and product v50 test method of the national public safety industry standard of the people's republic of China, and calculating the bulletproof performance value W according to the percentage of the number of residual bullets bearable by the armor to the total number1 The following formula, W1 As residual ballistic performance value, N1 For firing a number of shots, S1 The number of hair is the bearable limit;
Figure BDA0003773843940000131
the formula aims at obtaining the residual bulletproof performance value under the specified impact force F, if the bullet is shot by different bullet types, different shooting distances and different shooting directions, the corresponding impact force F also changes, and aims at the subsequent impact F2 At this time, the residual value W of the bulletproof performance2 The following formula, W2 Is the residual ballistic performance value, N2 For firing a number of shots, S2 The number of hair is the bearable limit;
Figure BDA0003773843940000132
obtaining the real-time value W of the residual bulletproof performancei The following formula, Wi Is the residual ballistic performance value, Ni For firing a number of shots, Si The number of hair is the bearable limit;
Figure BDA0003773843940000133
the formula is obtained after simplification:
Figure BDA0003773843940000134
(3) Residual ballistic performance value W = 0%: the impact of the bullet causes the breakdown of the armor, which has devastating influence on the performance of the armor, and the protective performance of the armor is in a state of complete loss of protection.
Step four: the early warning feedback unit displays and alarms for the passengers in the vehicle, the damaged part is prompted to the main direction (the front wall of the vehicle body/the left side wall of the vehicle body/the right side wall of the vehicle body/the top of the vehicle body/the rear part of the vehicle body/the lower part of the vehicle body) in which the vehicle receives the bullet impact, and the serial numbers and the specific positions of the partitioned armor blocks are accurately displayed in the display terminal, so that accurate middle bullet information and accurate damaged parts of the vehicle body are clear for the passengers in the vehicle; the safety threat level, the armor residual bulletproof capacity and the hit armor part are displayed, and the early warning effect can be achieved by voice prompt, vibrator feedback, indicator lamp lightening and display screen or displaying the bulletproof armor matrix in front of the personnel in the vehicle by colored and holographic projection;
wherein the security threat levels include:
(1) C-level early warning: when the bullet-proof draping layer on the outermost layer is not punctured, the vehicle body is in medium-bounce C-level early warning, and the protection safety threat level of the vehicle body and personnel in the vehicle is C level;
(2) B-level early warning: when the outermost bulletproof draping layer is broken down and the middle bulletproof steel plate layer which is not broken down is hit, the vehicle body is in middle bullet B-level early warning, and the protection safety threat level of the vehicle body and personnel in the vehicle is B level;
(3) A-level early warning: when the outermost bulletproof draping layer and the middle bulletproof steel plate layer are punctured and the non-punctured bulletproof lining layer is hit, the vehicle body is in medium-elasticity A-level early warning, and the protection safety threat level of the vehicle body and personnel in the vehicle is A level; file:///H:/2022 case/H Hakkaba/54-five-door automobile front bumper appearance patent/main view jpg
(4) S-level early warning: when the outermost bulletproof drape layer, the middle bulletproof steel plate layer and the bulletproof inner liner layer are all punctured, the vehicle body is in medium-elasticity S-level early warning, and the protection safety threat level of the vehicle body and personnel in the vehicle is S level.
Further, according to different threat levels, a vibration mode, a light flicker mode and a loudspeaker alarm mode corresponding to the threat levels are designed:
(1) Green (100%): the loudspeaker is silent, the vibrator does not vibrate, and the warning light is normally green; the protective performance is good, and the bulletproof performance of the protective armor is not influenced or is not influenced by any damage; corresponding to C-level early warning;
(2) Yellow (60% -99%): the loudspeaker gives an alarm slightly, the vibrator vibrates slightly, and the warning lamp is yellow; the protection performance is damaged to a small extent, the bulletproof performance of the armor is influenced by partial damage, and the bulletproof performance of the bulletproof armor is not seriously threatened; corresponding to B-level early warning;
(3) Red (1% -59%): the loudspeaker gives an alarm, the vibrator vibrates, and the warning lamp flashes red; representing that the protection performance is seriously damaged, the bulletproof performance of the protection armor is seriously influenced by the damage, and the bulletproof performance of the bulletproof armor is seriously threatened; corresponding to A-level early warning;
(4) Grey (0%): the loudspeaker gives an alarm strongly, the vibrator vibrates violently, and the warning lamp is red; the protective performance is completely lost, and the bulletproof performance of the protective armor is completely ineffective after the protective armor is damaged, so that the safety of personnel in the vehicle body is directly threatened; and performing corresponding S-level early warning.
Step five: the personnel in the vehicle obtain the early warning signal, know the monitoring value and hit position of the protective ability of the vehicle body at present, monitor the enemy fire direction, assess the bulletproof ability of the armored bulletproof vehicle at this moment, make the response; the method for monitoring the enemy fire direction comprises the following steps: in order to realize enemy firepower monitoring, a resistance strain gauge is arranged behind each armor plate/ceramic fast back by relying on armor monitoring block design; when a certain part is hit, the damaged part is prompted to specifically indicate the main direction (the front wall of the vehicle body/the left side wall of the vehicle body/the right side wall of the vehicle body/the top of the vehicle body/the rear part of the vehicle body/the lower part of the vehicle body) of the fire power of the enemy, namely the large direction (the front part of the vehicle body/the left side of the vehicle body/the right side of the vehicle body/the upper part of the vehicle body/the rear part of the vehicle body) of the enemy can be analyzed, and the information is uploaded to a cloud platform, so that the favorable information of the fire power movement direction of the enemy in the battlefield is provided for our party; the function of analyzing the firepower direction is rapidly and simply solved.
Step six: the cloud platform synchronously receives the vehicle body bulletproof capacity value uploaded by the vehicle body and the corresponding hit part, fully grasps the damage condition and hit direction of each vehicle in the battlefield, and commands and more accurately deploys the target vehicle.
It will be understood by those skilled in the art that the foregoing is only an exemplary embodiment of the present invention, and is not intended to limit the invention to the particular forms disclosed, since various modifications, substitutions and improvements within the spirit and scope of the invention are possible and within the scope of the appended claims.

Claims (10)

1. A bulletproof monitoring and early warning system for a protective vehicle is characterized by comprising a bulletproof armor substrate, a penetration monitoring unit, a parameter measuring and calculating unit and an early warning feedback unit;
the bulletproof armor matrix is a plurality of single-layer or multi-layer protective armor sheets which are uniformly distributed on the surface of the vehicle body;
the penetration monitoring unit is attached to the bulletproof armor substrate; the penetration monitoring unit is in circuit connection with the parameter measuring and calculating unit and has the function of monitoring the numerical value of armor damage and the position of the armor damage when the bullet penetration armor is damaged after the bullet body bulletproof armor is shot by a gun, and feeding back the numerical value of the armor damage and the position of the armor damage to the parameter calculating unit;
the parameter measuring and calculating unit is arranged in the vehicle body and can be arranged in a power and electric power system arrangement cabin of the vehicle body; the system is connected with the penetration monitoring unit through a circuit, and is used for analyzing, measuring and recording the damage value of the armor and the damaged part of the armor transmitted by the penetration monitoring unit, comparing preset bulletproof armor parameters, evaluating the severity of armor damage and analyzing the enemy fire power direction of the vehicle body subjected to gunshot; the parameter measuring and calculating unit is in circuit connection with the early warning feedback unit and transmits the measured armor damage severity and enemy firepower direction information to the early warning feedback unit;
the early warning feedback unit is arranged at the positions of the instrument panel and the like; and the device is connected with a parameter measuring and calculating unit, and transmits the measured information of the damage part and the severity of the armor and the direction of the enemy firepower to passengers in the vehicle through electronic equipment such as a display screen, a loudspeaker and the like, so that the information of the damage degree and the direction of the enemy firepower can be visually displayed.
2. The bulletproof monitoring and early warning system for a protected vehicle of claim 1, wherein: the armor piece of the bulletproof armor base body (1) comprises a hanging armor layer (11), a bulletproof armor base layer (13), a bulletproof lining layer (15) and an inner decoration layer (17) which are arranged from outside to inside; the penetration monitoring unit comprises a first penetration monitoring layer (12), a second penetration monitoring layer (14) and a third penetration monitoring layer (16); a penetration monitoring layer (12) is arranged between a hanging armor layer (11) and a bulletproof armor base layer (13), a penetration monitoring layer (14) is arranged between the bulletproof armor base layer (13) and a bulletproof lining layer (15), and a penetration monitoring layer (16) is arranged between the bulletproof lining layer (15) and an inner decoration layer (17).
3. The bulletproof monitoring and early warning system for a protective vehicle according to claim 2, wherein: the armor layer (11) is used as the outermost bulletproof bullet-facing surface layer, and the bullets are destroyed to absorb energy; the first penetration monitoring layer (12), the second penetration monitoring layer (14) and the third penetration monitoring layer (16) are penetration monitoring units and are in circuit connection with the parameter measuring and calculating unit, and when monitoring that the bullet penetration armor of the vehicle body is damaged after being struck by a gun, the numerical value of armor damage and the position of the armor damage are fed back to the parameter calculating unit; the bulletproof lining layer (5) is used as a bulletproof back bullet layer and absorbs the residual energy of a bullet through tearing deformation;
the inner decoration layer (7) shields a large amount of pipeline arranged in the early warning system.
4. The bulletproof monitoring and early warning system for a protective vehicle according to claim 1, wherein: the first penetration monitoring layer (12), the second penetration monitoring layer (14) and the third penetration monitoring layer (16) are made of damping strain gauges or resistance network structures or conductive film structures, after bullet impact force is received, the included damping strain gauges deform under stress, the damping strain gauges deform to cause damping change, the damping change causes local voltage change of a circuit, and a voltmeter monitors voltage change positions and voltage change values in a bulletproof monitoring circuit system.
5. The bulletproof monitoring and early warning system for a protective vehicle according to claim 1, wherein: the early warning feedback unit has a networking function, is connected with the cloud command network platform, uploads battlefield information such as damage positions and degrees of the vehicle body which is attacked by firepower, enemy firepower trends and the like, has a function of transmitting relevant battlefield information to the general command department in real time, and provides effective information for the cooperative combat of the friend.
6. A bulletproof monitoring and early warning method for a protective vehicle is characterized by comprising the following steps:
the method comprises the following steps: shooting a bullet on a bulletproof armor matrix, wherein the bulletproof armor matrix is impacted and has local impact force;
step two: the penetration monitoring unit responds, a damping strain gauge contained in the penetration monitoring unit deforms under stress, the deformation of the damping strain gauge causes damping change, the damping change causes local voltage change of a circuit, and a voltmeter monitors a voltage change part and a voltage change value in the bulletproof monitoring circuit system;
step three: the parameter measuring and calculating unit responds, because of the local voltage change of the circuit, the measuring and calculating unit starts calculation, the resistance value is obtained through the calculation of the voltage at the moment, so that the deformation of the damping sheet is calculated, the corresponding relation between the deformation quantity input at the moment and the resistance value is obtained, the deformation quantity is obtained, and the deformation quantity is compared with a deformation quantity database of the damage degree of the armor protection corresponding to the deformation quantity in the system, so that the armor bulletproof residual performance value at the moment is obtained;
step four: the early warning feedback unit displays and gives an alarm to the passengers in the vehicle, the damaged part is prompted to the main direction of the vehicle receiving the bullet impact, and the serial number and the specific position of the partitioned armor block are accurately displayed in the display terminal, so that accurate bullet information and the accurate damaged part of the vehicle body are clear for the passengers in the vehicle; the safety threat level, the armor bulletproof residual capacity and the struck armor part are displayed, and the early warning effect can be achieved through voice prompt, vibrator feedback, indicator lamp lightening and a display screen or displaying the bulletproof armor matrix in front of personnel in the vehicle through colored and holographic projection;
step five: personnel in the armored car obtains early warning signals, knows the monitoring value and the hit part of the protection capability of the car body at present, monitors the direction of enemy fire, evaluates the bulletproof capability of the armored car at this time and responds;
step six: the cloud platform synchronously receives the vehicle body bulletproof capacity value uploaded by the vehicle body and the corresponding hit part, fully grasps the damage condition and hit direction of each vehicle in the battlefield, and commands and deploys the target vehicle more accurately.
7. The bulletproof monitoring and early warning method for a protective vehicle according to claim 6, wherein: the method for calculating the armor bulletproof residual performance value in the step (3) comprises the following steps:
(1) Residual ballistic performance value W = 100%: the armor is divided into two types, the first type is not impacted by bullets, and the bulletproof performance of the armor is not influenced; the other is weak impact force, when the impact force value F is smaller than a certain value in simulation and test, all the impact forces have no internal stress influence on the armor material, so that the material cannot reach the deformation or stress concentration limit, and the impact force F is considered to be smaller than the certain value, so that the performance of the armor is not influenced, and the protection performance of the armor is in a complete protection state without damage;
(2) When the residual bulletproof performance value is more than 0 and less than 100: in simulation and test, the impact force F is counted, the main calculation method is as follows, aiming at different impact forces F, the impact force F is generated when the armor is hit by the armor, and the numerical value F is1 Recording and carrying out additional bullet shooting, recording the protective performance limit firing number of the armor, obtaining the limit firing number, namely the armor protection bearable limit number, by referring to the GA/T950 bulletproof material and product v50 test method of the national public safety industry standard of the people's republic of China, and calculating the bulletproof performance value W according to the percentage of the number of residual bullets bearable by the armor to the total number1 The following formula, W1 Is the residual ballistic performance value, N1 For firing a number of shots, S1 The number of the hair is the bearable limit;
Figure FDA0003773843930000041
the formula aims at obtaining the residual bulletproof performance value under the specified impact force F, if the bullet is shot by different bullet types, different shooting distances and different shooting directions, the corresponding impact force F also changes, and aims at the subsequent impact F2 At this time, the residual value W of the bulletproof performance2 The following formula, W2 Is the residual ballistic performance value, N2 For firing a number of shots, S2 The number of hair is the bearable limit;
Figure FDA0003773843930000042
obtaining a real-time value W of the residual ballistic performancei The following formula, Wi Is the residual ballistic performance value, Ni For shooting a number of shots, Si The number of the hair is the bearable limit;
Figure FDA0003773843930000051
after simplification, the formula is obtained:
Figure FDA0003773843930000052
(3) Residual ballistic performance value W = 0%: the impact of the bullet causes the breakdown of the armor, which has devastating influence on the performance of the armor, and the protective performance of the armor is in a state of complete loss of protection.
8. The bulletproof monitoring and early warning method for a protective vehicle according to claim 6, wherein: the security threat level of step (4) comprises:
(1) C-level early warning: when the bullet-proof draping layer on the outermost layer is not punctured, the vehicle body is in medium-bounce C-level early warning, and the protection safety threat level of the vehicle body and personnel in the vehicle is C level;
(2) B-level early warning: when the outermost bulletproof draping layer is punctured and the middle bulletproof steel plate layer is not punctured, the vehicle body is in middle bullet B-level early warning, and the protection safety threat level of the vehicle body and personnel in the vehicle is B level;
(3) A-level early warning: when the outermost bulletproof draping layer and the middle bulletproof steel plate layer are punctured and the bulletproof inner lining layer is not punctured, the vehicle body is in medium-elasticity A-level early warning, and the protection safety threat level of the vehicle body and personnel in the vehicle is A level;
(4) S-level early warning: when the outermost bulletproof drape layer, the middle bulletproof steel plate layer and the bulletproof inner liner layer are all punctured, the vehicle body is in medium-elasticity S-level early warning, and the protection safety threat level of the vehicle body and personnel in the vehicle is S level.
9. The bulletproof monitoring and early warning method for a protective vehicle according to claim 8, wherein: designing a vibration mode, a light flicker mode and a loudspeaker alarm mode of corresponding degrees according to different threat levels:
(1) Green (100%): the loudspeaker is silent, the vibrator does not vibrate, and the warning light is normally green; the armor has good protection performance, and the bulletproof performance of the armor is not affected by any damage or damaged; corresponding to C-level early warning;
(2) Yellow (60% -99%): the loudspeaker gives an alarm slightly, the vibrator vibrates slightly, and the warning lamp is yellow; the protective performance is slightly damaged, the bulletproof performance of the protective armor is influenced by partial damage, and the bulletproof performance of the bulletproof armor is not seriously threatened; corresponding to B-level early warning;
(3) Red (1% -59%): the loudspeaker gives an alarm, the vibrator vibrates, and the warning lamp flashes red; representing that the protection performance is seriously damaged, the bulletproof performance of the protection armor is seriously influenced by the damage, and the bulletproof performance of the bulletproof armor is seriously threatened; corresponding to A-level early warning;
(4) Grey (0%): the loudspeaker gives an alarm strongly, the vibrator vibrates violently, and the warning lamp is red; the protective performance is completely lost, and the bulletproof performance of the protective armor is completely lost due to damage, so that the safety of personnel in the vehicle body is directly threatened; and performing corresponding S-level early warning.
10. The bulletproof monitoring and early warning method for a protective vehicle according to claim 1, wherein: the method for monitoring the enemy fire direction in the step 5 comprises the following steps: in order to realize enemy firepower monitoring, a resistance strain gauge is arranged behind each armor plate/ceramic fast back by relying on armor monitoring block design; when a certain part is hit, the damaged part is prompted to specifically point to the main direction of the bullet hit received by the vehicle, so that the large direction of the enemy fire power can be analyzed, and the information is uploaded to the cloud platform, so that the favorable information of the fire power movement of the enemy in the battlefield is provided.
CN202210910533.8A2022-07-292022-07-29Bulletproof monitoring and early warning system and method for protective type vehicleActiveCN115371495B (en)

Priority Applications (1)

Application NumberPriority DateFiling DateTitle
CN202210910533.8ACN115371495B (en)2022-07-292022-07-29Bulletproof monitoring and early warning system and method for protective type vehicle

Applications Claiming Priority (1)

Application NumberPriority DateFiling DateTitle
CN202210910533.8ACN115371495B (en)2022-07-292022-07-29Bulletproof monitoring and early warning system and method for protective type vehicle

Publications (2)

Publication NumberPublication Date
CN115371495Atrue CN115371495A (en)2022-11-22
CN115371495B CN115371495B (en)2024-01-12

Family

ID=84064811

Family Applications (1)

Application NumberTitlePriority DateFiling Date
CN202210910533.8AActiveCN115371495B (en)2022-07-292022-07-29Bulletproof monitoring and early warning system and method for protective type vehicle

Country Status (1)

CountryLink
CN (1)CN115371495B (en)

Citations (7)

* Cited by examiner, † Cited by third party
Publication numberPriority datePublication dateAssigneeTitle
EP1750080A1 (en)*2005-08-012007-02-07Rafael-Armament Development Authority Ltd.Ceramic armor against kinetic threats
US20100037761A1 (en)*2004-04-162010-02-18Bae Systems Survivability Systems, LlcLethal Threat Protection System For A Vehicle And Method
CN102012194A (en)*2010-10-122011-04-13杨茂亮Rotary armored vehicle
US20120097017A1 (en)*2007-03-212012-04-26John CarberryArmor system and method of manufacture
CN104567552A (en)*2014-12-192015-04-29深圳市前海安测信息技术有限公司Intelligent bulletproof device for monitoring injury situation of the attacked and monitoring method
US20200370868A1 (en)*2019-05-232020-11-26General Dynamics Mission Systems - CanadaArmored vehicle, method, and weapon measurement system for determining barrel elevation
CN112781446A (en)*2020-12-292021-05-11中北大学Intelligent protective armor with damage feedback function and preparation method thereof

Patent Citations (7)

* Cited by examiner, † Cited by third party
Publication numberPriority datePublication dateAssigneeTitle
US20100037761A1 (en)*2004-04-162010-02-18Bae Systems Survivability Systems, LlcLethal Threat Protection System For A Vehicle And Method
EP1750080A1 (en)*2005-08-012007-02-07Rafael-Armament Development Authority Ltd.Ceramic armor against kinetic threats
US20120097017A1 (en)*2007-03-212012-04-26John CarberryArmor system and method of manufacture
CN102012194A (en)*2010-10-122011-04-13杨茂亮Rotary armored vehicle
CN104567552A (en)*2014-12-192015-04-29深圳市前海安测信息技术有限公司Intelligent bulletproof device for monitoring injury situation of the attacked and monitoring method
US20200370868A1 (en)*2019-05-232020-11-26General Dynamics Mission Systems - CanadaArmored vehicle, method, and weapon measurement system for determining barrel elevation
CN112781446A (en)*2020-12-292021-05-11中北大学Intelligent protective armor with damage feedback function and preparation method thereof

Also Published As

Publication numberPublication date
CN115371495B (en)2024-01-12

Similar Documents

PublicationPublication DateTitle
CN109902933B (en)Evaluation method for damage level of battle part of counter-warship for battling surface warship
CN110119580A (en)A kind of ground surface works target Damage assessment system and method
CN112131749A (en) A Damage Assessment Method for Tank Targets
KR20110126770A (en) Impact bullet for impact impact test and shot impact simulation test apparatus using the same
CN107729679A (en)Large surface warship vitality Vulnerability assessment method and analysis model
Denny et al.Defining blast loading ‘zones of relevance’for primary blast injury research: A consensus of injury criteria for idealised explosive scenarios
CN118013701A (en)Method for estimating impact reaction intensity of explosive charge bullet
CN115371495B (en)Bulletproof monitoring and early warning system and method for protective type vehicle
CN119227308B (en) A damage effect visual evaluation system
ÖğünçThe Effectiveness of Armoured Vehicles in Urban Warfare Conditions.
Crouch et al.Ballistic testing methodologies
Mabbott et al.The overmatching of UK police body armour
Frank et al.Blunt Criterion trauma model for head and chest injury risk assessment of cal. 380 R and cal. 22 long blank cartridge actuated gundog retrieval devices
RU196077U1 (en) Perforated armored protection for unprotected weapons of military and special equipment
Adetu et al.Ballistic protection plates for military helicopters structures: Experimental and numerical research
Dachkovskyi et al.Modeling of the behind armor action of fragments of armor obstacle on elements of combat armored vehicles
GottsInternational ballistic and blast specifications and standards
CN116797032B (en) A method for evaluating the damage effectiveness of tanks attacking armored targets
Courtney et al.Blast wave transmission through transparent armour materials
EP3227711A1 (en)System and a method for locating and combatting threats, in particular in asymmetric threat situations
Runefors et al.Tactical depressurization of hydrogen and CNG tanks using rifles and other projectiles
Roland et al.Measuring the blast and ballistic performance of armor
RU2644901C1 (en)Method of determining injury safety of armored helmet in case of explosion of ammunition
Lee et al.The development of witness plate method for the determination of wounding capability of illegal firearms
RU2837562C1 (en)Method of determining parameters of air impact of fragmentation fields of explosive throwing devices

Legal Events

DateCodeTitleDescription
PB01Publication
PB01Publication
SE01Entry into force of request for substantive examination
SE01Entry into force of request for substantive examination
GR01Patent grant
GR01Patent grant

[8]ページ先頭

©2009-2025 Movatter.jp