







技术领域technical field
本发明涉及CFRP连接领域,特别是涉及一种考虑插钉损伤的胶螺混合连接强度预测方法及系统。The invention relates to the field of CFRP connections, in particular to a method and system for predicting the strength of a rubber-screw hybrid connection in consideration of nail insertion damage.
背景技术Background technique
胶螺混合连接结构通常用于复合材料整体结构的装配过程中,近年来对复合材料性能不断深入地研究,发现干涉连接不仅可以提高连接结构的疲劳性能,也能有效地改善胶螺混合连接结构中螺栓承载效率低下的问题。然而,干涉螺栓在安装前钉杆直径大于孔径,需要借助机械外力进行安装。由于复合材料的低延伸率和非均匀性,螺栓的挤压对复合材料孔壁沿轴向和周向造成不同程度的损伤,导致螺栓与孔壁的接触关系发生实质性的改变;过大的轴向摩擦力和径向挤压力也使干涉区域胶层的应力集中程度高,其内部的内聚损伤使胶层在外加载荷的作用下加速裂纹萌生与扩展,导致连接结构过早失效。The rubber-screw hybrid connection structure is usually used in the assembly process of the overall composite structure. In recent years, the performance of composite materials has been studied in depth, and it is found that the interference connection can not only improve the fatigue performance of the connection structure, but also effectively improve the rubber-screw hybrid connection structure. The problem of low bolt bearing efficiency. However, the diameter of the shank of the interference bolt is larger than the diameter of the hole before installation, and it needs to be installed with the help of mechanical external force. Due to the low elongation and non-uniformity of the composite material, the extrusion of the bolt causes different degrees of damage to the composite hole wall in the axial and circumferential directions, resulting in a substantial change in the contact relationship between the bolt and the hole wall; The friction force and radial extrusion force also make the stress concentration of the adhesive layer in the interference area high, and the cohesive damage inside the adhesive layer accelerates the initiation and propagation of cracks under the action of the applied load, resulting in premature failure of the connection structure.
从国内外研究现状可以看出,现有干涉螺栓连接结构安装过程研究主要集中在复合材料的损伤形式与应力分布,并且大部分研究以试验方法为主,而关于胶层固化之后受干涉作用产生性能退化及其影响连接结构承载强度的相关研究相对匮乏。有限元方法是进行碳纤维增强复合材料(Carbon Fiber Reinforced Polymer/Plastic,CFRP)胶螺混合连接结构强度研究的一种方法,然而,在相关复合材料连接结构承载强度预测中,忽略了紧固件安装过程中对连接部位造成的损伤,尤其是未考虑胶层高度的应力集中与内聚损伤,导致螺栓与胶层及孔壁之间的装配接触关系不准确,而胶层及复合材料孔壁应力场与装配接触关系对连接结构的拉伸强度有着重要影响,现有预测结果不够准确。From the research status at home and abroad, it can be seen that the existing research on the installation process of interference bolted joint structures mainly focuses on the damage form and stress distribution of composite materials, and most of the research is mainly based on test methods, while the research on the interference caused by the adhesive layer after curing Research on performance degradation and its impact on the bearing strength of connected structures is relatively scarce. The finite element method is a method for studying the strength of the carbon fiber reinforced polymer (Carbon Fiber Reinforced Polymer/Plastic, CFRP) glue-screw hybrid connection structure. However, in the prediction of the bearing strength of the related composite connection structure, the installation of fasteners is ignored. The damage caused to the connection part during the process, especially the stress concentration and cohesive damage of the height of the adhesive layer, leads to inaccurate assembly contact relationship between the bolt, the adhesive layer and the hole wall, and the stress of the adhesive layer and the hole wall of the composite material The contact relationship between the field and the assembly has an important influence on the tensile strength of the connected structure, and the existing prediction results are not accurate enough.
发明内容Contents of the invention
本发明的目的是提供一种考虑插钉损伤的胶螺混合连接强度预测方法及系统,对碳纤维增强复合材料胶螺混合连接结构拉伸强度进行有效的分析及预测,降低试验方法的材料成本与准备周期。The purpose of the present invention is to provide a method and system for predicting the strength of a rubber-screw hybrid connection considering nail damage, to effectively analyze and predict the tensile strength of a carbon fiber reinforced composite material rubber-screw hybrid connection structure, and to reduce the material cost and cost of the test method Prep cycle.
为实现上述目的,本发明提供了如下方案:To achieve the above object, the present invention provides the following scheme:
一种考虑插钉损伤的胶螺混合连接强度预测方法,包括:A method for predicting the strength of glue-screw hybrid connections considering the damage of screw insertion, including:
获取胶层的拉伸强度、剪切强度、I型断裂能和II型断裂能;Obtain the tensile strength, shear strength, mode I fracture energy and mode II fracture energy of the adhesive layer;
根据所述拉伸强度、所述剪切强度、连接结构的结构尺寸、连接结构的接触属性、连接结构的载荷和连接结构的边界条件构建碳纤维增强复合材料胶螺混合连接结构干涉插钉三维有限元模型;所述连接结构包括碳纤维增强复合材料、所述胶层和干涉螺栓;所述接触属性包括摩擦系数;According to the tensile strength, the shear strength, the structural size of the connection structure, the contact properties of the connection structure, the load of the connection structure and the boundary conditions of the connection structure, the three-dimensional finite interference of the interfering nail of the carbon fiber reinforced composite glue-screw hybrid connection structure is constructed. a metamodel; the connection structure includes carbon fiber reinforced composite material, the adhesive layer and interference bolts; the contact properties include a coefficient of friction;
基于所述碳纤维增强复合材料胶螺混合连接结构干涉插钉三维有限元模型、所述I型断裂能和所述II型断裂能,根据所述干涉螺栓、所述胶层以及碳纤维增强复合材料孔壁之间的接触应力进行损伤分析,确定损伤分布和刚度折减模型;Based on the three-dimensional finite element model of the carbon fiber reinforced composite glue-screw hybrid connection structure interference insertion nail, the I-mode fracture energy and the II-mode fracture energy, according to the interference bolt, the adhesive layer and the carbon fiber reinforced composite material hole The contact stress between the walls is used for damage analysis, and the damage distribution and stiffness reduction model are determined;
根据所述损伤分布构建碳纤维增强复合材料胶螺混合连接结构拉伸损伤模型;According to the damage distribution, the tensile damage model of the carbon fiber reinforced composite rubber-screw hybrid connection structure is constructed;
根据失效判据和所述刚度折减模型对所述碳纤维增强复合材料胶螺混合连接结构拉伸损伤模型进行应力分析,确定拉伸强度。Stress analysis is performed on the tensile damage model of the carbon fiber reinforced composite rubber-screw hybrid connection structure according to the failure criterion and the stiffness reduction model to determine the tensile strength.
可选地,所述获取胶层的拉伸强度、剪切强度、I型断裂能和II型断裂能,具体包括:Optionally, said obtaining the tensile strength, shear strength, type I fracture energy and type II fracture energy of the adhesive layer specifically includes:
对所述胶层进行拉伸试验得到拉伸强度;Carrying out tensile test to described adhesive layer obtains tensile strength;
对所述胶层进行剪切试验得到剪切强度;Carrying out a shear test to the adhesive layer to obtain the shear strength;
对所述胶层进行双悬臂梁试验得到I型断裂能;Carry out double cantilever beam test to described adhesive layer and obtain I mode fracture energy;
对所述胶层进行三点弯曲试验得到II型断裂能。A three-point bending test was performed on the adhesive layer to obtain the mode II fracture energy.
可选地,所述根据所述拉伸强度、所述剪切强度、连接结构的结构尺寸、连接结构的接触属性、连接结构的载荷和连接结构的边界条件构建碳纤维增强复合材料胶螺混合连接结构干涉插钉三维有限元模型,具体包括:Optionally, the carbon fiber reinforced composite glue-screw hybrid connection is constructed according to the tensile strength, the shear strength, the structural size of the connecting structure, the contact properties of the connecting structure, the load of the connecting structure and the boundary conditions of the connecting structure Three-dimensional finite element model of structural interference nails, including:
根据所述连接结构的结构尺寸、所述连接结构的接触属性和所述连接结构的边界条件构建三维几何模型;Constructing a three-dimensional geometric model according to the structural dimensions of the connection structure, the contact properties of the connection structure, and the boundary conditions of the connection structure;
根据所述连接结构的载荷确定干涉插钉位移;determining the displacement of the interfering nails according to the load of the connecting structure;
根据所述伸强度和所述剪切强度确定碳纤维增强复合材料应力-应变本构关系;determining the stress-strain constitutive relationship of the carbon fiber reinforced composite material according to the tensile strength and the shear strength;
根据所述三维几何模型、所述干涉插钉位移和所述碳纤维增强复合材料应力-应变本构关系构建碳纤维增强复合材料胶螺混合连接结构干涉插钉三维有限元模型。According to the three-dimensional geometric model, the displacement of the interfering nails, and the stress-strain constitutive relationship of the carbon fiber reinforced composite materials, a three-dimensional finite element model of the interfering nails of the carbon fiber reinforced composite glue-screw hybrid connection structure is constructed.
可选地,所述基于所述碳纤维增强复合材料胶螺混合连接结构干涉插钉三维有限元模型、所述I型断裂能和所述II型断裂能,根据所述干涉螺栓、所述胶层以及碳纤维增强复合材料孔壁之间的接触应力进行损伤分析,确定损伤分布和刚度折减模型,具体包括:Optionally, based on the three-dimensional finite element model of the interfering stud, the mode I fracture energy and the mode II fracture energy based on the carbon fiber reinforced composite glue-screw hybrid connection structure, according to the interference bolt, the adhesive layer As well as the contact stress between the hole walls of carbon fiber reinforced composite materials, the damage analysis is carried out to determine the damage distribution and stiffness reduction model, including:
根据所述碳纤维增强复合材料胶螺混合连接结构干涉插钉三维有限元模型中的胶层采用二次应力失效准则进行应力分析,确定所述胶层的损伤情况;所述损伤情况包括发生损伤和未发生损伤;According to the adhesive layer in the three-dimensional finite element model of the carbon fiber-reinforced composite glue-screw hybrid connection structure interference inserting nails, the secondary stress failure criterion is used for stress analysis to determine the damage of the adhesive layer; the damage includes occurrence of damage and No damage occurred;
当所述胶层的损伤情况为发生损伤时,根据损伤变量和胶层的位移确定所述刚度折减模型中的胶层刚度折减;When the damage condition of the adhesive layer is damage, the adhesive layer stiffness reduction in the stiffness reduction model is determined according to the damage variable and the displacement of the adhesive layer;
根据所述I型断裂能和所述II型断裂能确定损伤分布;determining a damage distribution based on said Mode I fracture energy and said Mode II fracture energy;
根据所述碳纤维增强复合材料胶螺混合连接结构干涉插钉三维有限元模型中的碳纤维增强复合材料采用最大应力准则和三维哈辛失效准则进行应力分析,确定所述碳纤维增强复合材料的损伤情况;According to the carbon fiber reinforced composite material in the three-dimensional finite element model of the interfering nail-screw hybrid connection structure of the carbon fiber reinforced composite material, the maximum stress criterion and the three-dimensional Hassing failure criterion are used for stress analysis to determine the damage of the carbon fiber reinforced composite material;
当所述碳纤维增强复合材料的损伤情况为发生损伤时,根据损伤刚度矩阵确定损伤刚度折减模型中的碳纤维增强复合材料刚度折减。When the damage condition of the carbon fiber reinforced composite material is damage, the stiffness reduction of the carbon fiber reinforced composite material in the damage stiffness reduction model is determined according to the damage stiffness matrix.
一种考虑插钉损伤的胶螺混合连接强度预测系统,包括:A system for predicting the strength of glue-screw hybrid joints considering nail damage, including:
获取模块,用于获取胶层的拉伸强度、剪切强度、I型断裂能和II型断裂能;An acquisition module, configured to acquire the tensile strength, shear strength, type I fracture energy and type II fracture energy of the adhesive layer;
碳纤维增强复合材料胶螺混合连接结构干涉插钉三维有限元模型构建模块,用于根据所述拉伸强度、所述剪切强度、连接结构的结构尺寸、连接结构的接触属性、连接结构的载荷和连接结构的边界条件构建碳纤维增强复合材料胶螺混合连接结构干涉插钉三维有限元模型;所述连接结构包括碳纤维增强复合材料、所述胶层和干涉螺栓;所述接触属性包括摩擦系数;The three-dimensional finite element model building block of the carbon fiber reinforced composite glue-screw hybrid connection structure interference inserting nails is used to calculate the tensile strength, the shear strength, the structural size of the connection structure, the contact properties of the connection structure, and the load of the connection structure and the boundary conditions of the connection structure to construct a three-dimensional finite element model of the interfering screw of the carbon fiber reinforced composite glue screw hybrid connection structure; the connection structure includes the carbon fiber reinforced composite material, the adhesive layer and the interference bolt; the contact properties include the coefficient of friction;
损伤分析模块,用于基于所述碳纤维增强复合材料胶螺混合连接结构干涉插钉三维有限元模型、所述I型断裂能和所述II型断裂能,根据所述干涉螺栓、所述胶层以及碳纤维增强复合材料孔壁之间的接触应力进行损伤分析,确定损伤分布和刚度折减模型;The damage analysis module is used to, based on the three-dimensional finite element model of the interfering stud of the carbon fiber-reinforced composite glue-screw hybrid connection structure, the I-mode fracture energy and the II-mode fracture energy, according to the interference bolt, the adhesive layer And the contact stress between the carbon fiber reinforced composite material hole wall is used for damage analysis, and the damage distribution and stiffness reduction model are determined;
碳纤维增强复合材料胶螺混合连接结构拉伸损伤模型构建模块,用于根据所述损伤分布构建碳纤维增强复合材料胶螺混合连接结构拉伸损伤模型;A tensile damage model building block for a carbon fiber reinforced composite material rubber-screw hybrid connection structure, used to construct a carbon fiber reinforced composite material rubber-screw hybrid connection structure tensile damage model according to the damage distribution;
应力分析模块,用于根据失效判据和所述刚度折减模型对所述碳纤维增强复合材料胶螺混合连接结构拉伸损伤模型进行应力分析,确定拉伸强度。The stress analysis module is used to perform stress analysis on the tensile damage model of the carbon fiber reinforced composite rubber-screw hybrid connection structure according to the failure criterion and the stiffness reduction model, and determine the tensile strength.
可选地,所述获取模块,具体包括:Optionally, the acquisition module specifically includes:
拉伸强度获取单元,用于对所述胶层进行拉伸试验得到拉伸强度;a tensile strength acquisition unit, configured to perform a tensile test on the adhesive layer to obtain the tensile strength;
剪切强度获取单元,用于对所述胶层进行剪切试验得到剪切强度;a shear strength acquisition unit, configured to perform a shear test on the adhesive layer to obtain the shear strength;
I型断裂能获取单元,用于对所述胶层进行双悬臂梁试验得到I型断裂能;A type I fracture energy acquisition unit, configured to perform a double cantilever beam test on the adhesive layer to obtain a type I fracture energy;
II型断裂能获取单元,用于对所述胶层进行三点弯曲试验得到II型断裂能。The type II fracture energy acquisition unit is used to perform a three-point bending test on the adhesive layer to obtain the type II fracture energy.
可选地,所述碳纤维增强复合材料胶螺混合连接结构干涉插钉三维有限元模型构建模块,具体包括:Optionally, the construction module of the three-dimensional finite element model of the carbon fiber-reinforced composite glue-screw hybrid connection structure interference inserting nails specifically includes:
三维几何模型构建单元,用于根据所述连接结构的结构尺寸、所述连接结构的接触属性和所述连接结构的边界条件构建三维几何模型;A three-dimensional geometric model construction unit, configured to construct a three-dimensional geometric model according to the structural dimensions of the connection structure, the contact properties of the connection structure and the boundary conditions of the connection structure;
干涉插钉位移确定单元,用于根据所述连接结构的载荷确定干涉插钉位移;An interference nail displacement determining unit, configured to determine the interference nail displacement according to the load of the connecting structure;
碳纤维增强复合材料应力-应变本构关系确定单元,用于根据所述伸强度和所述剪切强度确定碳纤维增强复合材料应力-应变本构关系;A carbon fiber reinforced composite material stress-strain constitutive relationship determination unit, used to determine the carbon fiber reinforced composite material stress-strain constitutive relationship according to the tensile strength and the shear strength;
碳纤维增强复合材料胶螺混合连接结构干涉插钉三维有限元模型构建单元,用于根据所述三维几何模型、所述干涉插钉位移和所述碳纤维增强复合材料应力-应变本构关系构建碳纤维增强复合材料胶螺混合连接结构干涉插钉三维有限元模型。The construction unit of the three-dimensional finite element model model of the interfering screw of the carbon fiber reinforced composite glue-screw hybrid connection structure is used to construct the carbon fiber reinforced composite material according to the three-dimensional geometric model, the displacement of the interfering pin and the stress-strain constitutive relationship of the carbon fiber reinforced composite material. Three-dimensional finite element model of interfering nails in composite rubber-screw hybrid connection structure.
可选地,所述损伤分析模块,具体包括:Optionally, the damage analysis module specifically includes:
胶层的损伤情况确定单元,用于根据所述碳纤维增强复合材料胶螺混合连接结构干涉插钉三维有限元模型中的胶层采用二次应力失效准则进行应力分析,确定所述胶层的损伤情况;所述损伤情况包括发生损伤和未发生损伤;The damage determination unit of the adhesive layer is used to perform stress analysis on the adhesive layer in the three-dimensional finite element model of the carbon fiber reinforced composite glue-screw hybrid connection structure interference insertion nail using the secondary stress failure criterion to determine the damage of the adhesive layer situation; the damage situation includes occurrence of damage and non-injury;
胶层刚度折减确定单元,用于当所述胶层的损伤情况为发生损伤时,根据损伤变量和胶层的位移确定所述刚度折减模型中的胶层刚度折减;The glue line stiffness reduction determination unit is used to determine the glue line stiffness reduction in the stiffness reduction model according to the damage variable and the displacement of the glue line when the damage condition of the glue line is damage;
损伤分布确定单元,用于根据所述I型断裂能和所述II型断裂能确定损伤分布;a damage distribution determination unit configured to determine a damage distribution based on the mode I fracture energy and the mode II fracture energy;
碳纤维增强复合材料的损伤情况确定单元,用于根据所述碳纤维增强复合材料胶螺混合连接结构干涉插钉三维有限元模型中的碳纤维增强复合材料采用最大应力准则和三维哈辛失效准则进行应力分析,确定所述碳纤维增强复合材料的损伤情况;The damage determination unit of the carbon fiber reinforced composite material is used for stress analysis using the maximum stress criterion and the three-dimensional Hasing failure criterion according to the carbon fiber reinforced composite material in the three-dimensional finite element model of the carbon fiber reinforced composite material rubber-screw hybrid connection structure interference insertion nail , determining the damage condition of the carbon fiber reinforced composite material;
碳纤维增强复合材料刚度折减确定单元,用于当所述碳纤维增强复合材料的损伤情况为发生损伤时,根据损伤刚度矩阵确定损伤刚度折减模型中的碳纤维增强复合材料刚度折减。The carbon fiber reinforced composite material stiffness reduction determination unit is used to determine the carbon fiber reinforced composite material stiffness reduction in the damage stiffness reduction model according to the damage stiffness matrix when the damage condition of the carbon fiber reinforced composite material is damage.
根据本发明提供的具体实施例,本发明公开了以下技术效果:According to the specific embodiments provided by the invention, the invention discloses the following technical effects:
本发明获取胶层的拉伸强度、剪切强度、I型断裂能和II型断裂能;根据所述拉伸强度、所述剪切强度、连接结构的结构尺寸、连接结构的接触属性、连接结构的载荷和连接结构的边界条件构建碳纤维增强复合材料胶螺混合连接结构干涉插钉三维有限元模型;基于所述碳纤维增强复合材料胶螺混合连接结构干涉插钉三维有限元模型、所述I型断裂能和所述II型断裂能,根据所述干涉螺栓、所述胶层以及碳纤维增强复合材料孔壁之间的接触应力进行损伤分析,确定损伤分布和刚度折减模型;根据所述损伤分布构建碳纤维增强复合材料胶螺混合连接结构拉伸损伤模型;根据失效判据和所述刚度折减模型对所述碳纤维增强复合材料胶螺混合连接结构拉伸损伤模型进行应力分析,确定拉伸强度。对碳纤维增强复合材料胶螺混合连接结构拉伸强度进行有效的分析及预测,降低试验方法的材料成本与准备周期。The present invention obtains the tensile strength, shear strength, type I fracture energy and type II fracture energy of the adhesive layer; according to the tensile strength, the shear strength, the structural size of the connection structure, the contact property of the connection structure, the The load of the structure and the boundary condition of the connection structure construct the three-dimensional finite element model of the interfering nail of the mixed connection structure of carbon fiber reinforced composite glue and screw; Type II fracture energy and the Type II fracture energy, according to the contact stress between the interference bolts, the adhesive layer and the carbon fiber reinforced composite hole wall, the damage analysis is carried out to determine the damage distribution and stiffness reduction model; according to the damage Distributed construction of the tensile damage model of the carbon fiber-reinforced composite rubber-screw hybrid connection structure; according to the failure criterion and the stiffness reduction model, the stress analysis of the tensile damage model of the carbon fiber-reinforced composite rubber-screw hybrid connection structure is carried out to determine the tension strength. Effectively analyze and predict the tensile strength of the carbon fiber reinforced composite rubber-screw hybrid connection structure, and reduce the material cost and preparation period of the test method.
附图说明Description of drawings
为了更清楚地说明本发明实施例或现有技术中的技术方案,下面将对实施例中所需要使用的附图作简单地介绍,显而易见地,下面描述中的附图仅仅是本发明的一些实施例,对于本领域普通技术人员来讲,在不付出创造性劳动性的前提下,还可以根据这些附图获得其他的附图。In order to more clearly illustrate the technical solutions in the embodiments of the present invention or the prior art, the following will briefly introduce the accompanying drawings required in the embodiments. Obviously, the accompanying drawings in the following description are only some of the present invention. Embodiments, for those of ordinary skill in the art, other drawings can also be obtained according to these drawings without paying creative labor.
图1为本发明提供的考虑插钉损伤的胶螺混合连接强度预测方法在实际应用中的流程图;Fig. 1 is the flow chart of the method for predicting the strength of the rubber-screw hybrid connection considering the nail damage provided by the present invention in practical application;
图2为本发明提供的干涉插钉结构示意图;Fig. 2 is a structural schematic diagram of an interference nail provided by the present invention;
图3为本发明提供的干涉插钉三维有限元模型示意图;Fig. 3 is the schematic diagram of the three-dimensional finite element model of the interference nail provided by the present invention;
图4为本发明提供的干涉插钉过程压钉力-位移曲线示意图;Fig. 4 is a schematic diagram of the nail pressing force-displacement curve in the interference nail insertion process provided by the present invention;
图5为本发明提供的考虑插钉损伤的碳纤维增强复合材料胶螺混合连接结构拉伸有限元模型示意图;Fig. 5 is a schematic diagram of a tensile finite element model of a carbon fiber reinforced composite material glue-screw hybrid connection structure considering nail insertion damage provided by the present invention;
图6为本发明提供的拉伸载荷-位移曲线示意图;Fig. 6 is the schematic diagram of tensile load-displacement curve provided by the present invention;
图7为本发明提供的考虑插钉损伤的胶螺混合连接强度预测方法流程图。Fig. 7 is a flow chart of the method for predicting the strength of the glue-screw hybrid joint considering the damage of the inserted nail provided by the present invention.
具体实施方式Detailed ways
下面将结合本发明实施例中的附图,对本发明实施例中的技术方案进行清楚、完整地描述,显然,所描述的实施例仅仅是本发明一部分实施例,而不是全部的实施例。基于本发明中的实施例,本领域普通技术人员在没有做出创造性劳动前提下所获得的所有其他实施例,都属于本发明保护的范围。The following will clearly and completely describe the technical solutions in the embodiments of the present invention with reference to the accompanying drawings in the embodiments of the present invention. Obviously, the described embodiments are only some, not all, embodiments of the present invention. Based on the embodiments of the present invention, all other embodiments obtained by persons of ordinary skill in the art without making creative efforts belong to the protection scope of the present invention.
本发明的目的是提供一种考虑插钉损伤的胶螺混合连接强度预测方法及系统,对碳纤维增强复合材料胶螺混合连接结构拉伸强度进行有效的分析及预测,降低试验方法的材料成本与准备周期。The purpose of the present invention is to provide a method and system for predicting the strength of a rubber-screw hybrid connection considering nail damage, to effectively analyze and predict the tensile strength of a carbon fiber reinforced composite material rubber-screw hybrid connection structure, and to reduce the material cost and cost of the test method Prep cycle.
为使本发明的上述目的、特征和优点能够更加明显易懂,下面结合附图和具体实施方式对本发明作进一步详细的说明。In order to make the above objects, features and advantages of the present invention more comprehensible, the present invention will be further described in detail below in conjunction with the accompanying drawings and specific embodiments.
如图7所示,本发明提供的一种考虑插钉损伤的胶螺混合连接强度预测方法,包括:As shown in Figure 7, the present invention provides a method for predicting the strength of a rubber-screw hybrid connection considering nail damage, including:
步骤701:获取胶层的拉伸强度、剪切强度、I型断裂能和II型断裂能。Step 701: Obtain the tensile strength, shear strength, mode I fracture energy and mode II fracture energy of the adhesive layer.
步骤701,具体包括:对所述胶层进行拉伸试验得到拉伸强度;对所述胶层进行剪切试验得到剪切强度;对所述胶层进行双悬臂梁试验得到I型断裂能;Step 701 specifically includes: performing a tensile test on the adhesive layer to obtain the tensile strength; performing a shear test on the adhesive layer to obtain the shear strength; performing a double cantilever beam test on the adhesive layer to obtain the mode I fracture energy;
对所述胶层进行三点弯曲试验得到II型断裂能。A three-point bending test was performed on the adhesive layer to obtain the mode II fracture energy.
步骤702:根据所述拉伸强度、所述剪切强度、连接结构的结构尺寸、连接结构的接触属性、连接结构的载荷和连接结构的边界条件构建碳纤维增强复合材料胶螺混合连接结构干涉插钉三维有限元模型;所述连接结构包括碳纤维增强复合材料、所述胶层和干涉螺栓;所述接触属性包括摩擦系数。Step 702: Construct a carbon fiber reinforced composite glue-screw hybrid connection structure interference interpolation according to the tensile strength, the shear strength, the structural size of the connection structure, the contact properties of the connection structure, the load of the connection structure, and the boundary conditions of the connection structure A three-dimensional finite element model of a nail; the connection structure includes carbon fiber reinforced composite materials, the adhesive layer and interference bolts; the contact properties include a friction coefficient.
步骤702,具体包括:Step 702 specifically includes:
根据所述连接结构的结构尺寸、所述连接结构的接触属性和所述连接结构的边界条件构建三维几何模型;根据所述连接结构的载荷确定干涉插钉位移;根据所述伸强度和所述剪切强度确定碳纤维增强复合材料应力-应变本构关系;根据所述三维几何模型、所述干涉插钉位移和所述碳纤维增强复合材料应力-应变本构关系构建碳纤维增强复合材料胶螺混合连接结构干涉插钉三维有限元模型。Construct a three-dimensional geometric model according to the structural dimensions of the connection structure, the contact properties of the connection structure and the boundary conditions of the connection structure; determine the interfering nail displacement according to the load of the connection structure; according to the elongation and the The shear strength determines the stress-strain constitutive relationship of carbon fiber reinforced composite materials; according to the three-dimensional geometric model, the displacement of the interfering pins and the stress-strain constitutive relationship of carbon fiber reinforced composite materials, the construction of carbon fiber reinforced composite material glue-screw hybrid connection Three-dimensional finite element model of structural interference pins.
步骤703:基于所述碳纤维增强复合材料胶螺混合连接结构干涉插钉三维有限元模型、所述I型断裂能和所述II型断裂能,根据所述干涉螺栓、所述胶层以及碳纤维增强复合材料孔壁之间的接触应力进行损伤分析,确定损伤分布和刚度折减模型。Step 703: Based on the three-dimensional finite element model of the interfering stud of the carbon fiber-reinforced composite glue-screw hybrid connection structure, the mode I fracture energy and the mode II fracture energy, according to the interference bolt, the adhesive layer and the carbon fiber reinforcement The contact stress between the composite hole walls is analyzed for damage, and the damage distribution and stiffness reduction model are determined.
步骤703,具体包括:Step 703 specifically includes:
根据所述碳纤维增强复合材料胶螺混合连接结构干涉插钉三维有限元模型中的胶层采用二次应力失效准则进行应力分析,确定所述胶层的损伤情况;所述损伤情况包括发生损伤和未发生损伤。According to the adhesive layer in the three-dimensional finite element model of the carbon fiber-reinforced composite glue-screw hybrid connection structure interference inserting nails, the secondary stress failure criterion is used for stress analysis to determine the damage of the adhesive layer; the damage includes occurrence of damage and No damage occurred.
当所述胶层的损伤情况为发生损伤时,根据损伤变量和胶层的位移确定所述刚度折减模型中的胶层刚度折减。When the damage condition of the adhesive layer is damage, the adhesive layer stiffness reduction in the stiffness reduction model is determined according to the damage variable and the displacement of the adhesive layer.
根据所述I型断裂能和所述II型断裂能确定损伤分布。Damage distribution is determined from the Mode I fracture energy and the Mode II fracture energy.
根据所述碳纤维增强复合材料胶螺混合连接结构干涉插钉三维有限元模型中的碳纤维增强复合材料采用最大应力准则和三维哈辛失效准则进行应力分析,确定所述碳纤维增强复合材料的损伤情况。According to the carbon fiber reinforced composite material in the three-dimensional finite element model of the interfering screw-and-screw hybrid connection structure of the carbon fiber reinforced composite material, the maximum stress criterion and the three-dimensional Hassing failure criterion are used for stress analysis to determine the damage of the carbon fiber reinforced composite material.
当所述碳纤维增强复合材料的损伤情况为发生损伤时,根据损伤刚度矩阵确定损伤刚度折减模型中的碳纤维增强复合材料刚度折减。When the damage condition of the carbon fiber reinforced composite material is damage, the stiffness reduction of the carbon fiber reinforced composite material in the damage stiffness reduction model is determined according to the damage stiffness matrix.
步骤704:根据所述损伤分布构建碳纤维增强复合材料胶螺混合连接结构拉伸损伤模型。Step 704: Construct a tensile damage model of the carbon fiber reinforced composite rubber-screw hybrid connection structure according to the damage distribution.
步骤705:根据失效判据和所述刚度折减模型对所述碳纤维增强复合材料胶螺混合连接结构拉伸损伤模型进行应力分析,确定拉伸强度。Step 705: Perform stress analysis on the tensile damage model of the carbon fiber reinforced composite rubber-screw hybrid connection structure according to the failure criterion and the stiffness reduction model to determine the tensile strength.
为了克服现有预测方法忽略胶层在干涉螺栓安装完成之后真实的应力状态与损伤分布,以及无法建立准确的螺栓与胶层及复合材料孔壁之间的接触关系,本发明提供了一种考虑插钉损伤的考虑插钉损伤的胶螺混合连接强度预测方法在实际应用中的具体处理过程,该方法可以对碳纤维增强复合材料胶螺混合连接结构拉伸强度进行有效的分析及预测,降低了试验方法的材料成本与准备周期,用于优化装配工艺,推动先进连接技术发展。In order to overcome the fact that the existing prediction method ignores the real stress state and damage distribution of the adhesive layer after the interference bolt is installed, and cannot establish an accurate contact relationship between the bolt, the adhesive layer and the composite material hole wall, the present invention provides a consideration Considering the nail damage, the method of predicting the strength of the glue-screw hybrid connection with nail damage is the specific processing process in practical application. This method can effectively analyze and predict the tensile strength of the carbon fiber reinforced composite glue-screw hybrid connection structure, reducing the The material cost and preparation period of the test method are used to optimize the assembly process and promote the development of advanced connection technology.
如图1所示,本实施例以ERGO7200结构胶、T700/TED-85碳纤维增强复合材料(铺层顺序为[0/45/-45/90]3s)及Ti6Al4V螺栓材料为例,提供了一种考虑插钉损伤的考虑插钉损伤的胶螺混合连接强度预测方法,包括以下步骤:As shown in Figure 1, this embodiment takes ERGO7200 structural adhesive, T700/TED-85 carbon fiber reinforced composite material (layer sequence is [0/45/-45/90]3s ) and Ti6Al4V bolt material as examples, and provides a A method for predicting the strength of a glue-screw hybrid connection considering nail damage, comprising the following steps:
一、对胶层试样分别进行拉伸试验、剪切试验、双悬臂梁试验、三点弯曲试验获取胶层的拉伸强度、剪切强度、I型及II型断裂韧性,并在此基础上建立胶层双线性内聚力本构模型、1. Conduct tensile test, shear test, double cantilever beam test, and three-point bending test on the adhesive layer samples to obtain the tensile strength, shear strength, type I and II fracture toughness of the adhesive layer, and on this basis A bilinear cohesive constitutive model of the adhesive layer was established on the
1.1根据ASTM-D2095中的要求,进行拉伸试验得到法向的拉伸强度具体为设计长40mm,宽13mm的试样,对中胶接,胶层厚度为12mm,进行拉伸试验,得到极限载荷为1248N,因此胶层的拉伸强度为8MPa。1.1 According to the requirements in ASTM-D2095, perform a tensile test to obtain the tensile strength in the normal direction Specifically, a sample with a length of 40mm and a width of 13mm is designed, glued in the center, and the thickness of the glue layer is 12mm. The tensile test is carried out, and the ultimate load is 1248N. Therefore, the tensile strength of the glue layer is 8MPa.
1.2根据ASTM-D3165中的要求,进行拉伸试验得到剪切方向的强度和具体为设计长190.5mm,宽25mm的试样,上下胶接,搭接区域面积为343mm2,进行剪切试验,得到极限载荷为6174N,因此胶层的两个剪切强度及为18MPa。步骤1.1和步骤1.2得到的是胶层所允许承受的最大拉伸强度和剪切强度。1.2 According to the requirements in ASTM-D3165, perform a tensile test to obtain the strength in the shear direction and Specifically, a sample with a length of 190.5mm and a width of 25mm is designed, the upper and lower parts are glued together, and the overlapping area is 343mm2 . The shear test is carried out, and the ultimate load is 6174N. Therefore, the two shear strengths of the adhesive layer and is 18MPa. Step 1.1 and step 1.2 obtain the maximum tensile strength and shear strength that the adhesive layer is allowed to bear.
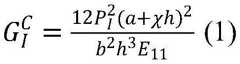
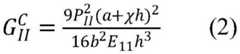
1.3按照HB 7402-96测试标准及HB 7403-96测试标准进行双悬臂梁试验与三点弯曲试验,由公式(1)和公式(2)得进行双悬臂梁试验,获取胶层的I型断裂能进行三点弯曲试验,获取胶层的II型断裂能计算公式如下:1.3 According to the HB 7402-96 test standard and the HB 7403-96 test standard, the double cantilever beam test and the three-point bending test are carried out, and the formula (1) and formula (2) can be obtained Perform double cantilever beam test to obtain the mode I fracture energy of the adhesive layer Perform a three-point bending test to obtain the mode II fracture energy of the adhesive layer Calculated as follows:
其中:in:
其中,PI、PII为外加载荷;a为胶层的裂纹长度;χ为裂纹长度的修正系数;h为胶层的厚度;b为胶层试样的宽度;E11为胶层x方向的弹性模量;E22为胶层y方向的弹性模量;G13为胶层xoz平面内的剪切模量,Γ为中间参量。Among them, PI and PII are the applied load; a is the crack length of the adhesive layer; χ is the correction coefficient of the crack length; h is the thickness of the adhesive layer; b is the width of the adhesive layer sample; E11 is the x direction of the adhesive layer The elastic modulus; E22 is the elastic modulus in the y direction of the adhesive layer; G13 is the shear modulus in the xoz plane of the adhesive layer, and Γ is the intermediate parameter.
胶层的双线性应力-应变本构模型,满足如下表达式:The bilinear stress-strain constitutive model of the adhesive layer satisfies the following expression:
[tntstt]T=K[δnδsδt]T (5)[tn ts tt ]T =K[δn δs δt ]T (5)
其中,K为胶层刚度矩阵,tn、ts、tt分别是胶层在法向和两个剪切方向的应力分量;Kn、Ks、Kt分别是胶层法向和两个剪切方向的刚度,为已知的,其中两个剪切方向为胶层13方向和23方向的刚度;δn、δs、δt分别是胶层在法向和两个剪切方向的相对位移分量,其参数如表1所示:Among them, K is the stiffness matrix of the adhesive layer, tn , ts , and tt are the stress components of the adhesive layer in the normal direction and two shear directions respectively; Kn , Ks , Kt are the stress components of the adhesive layer in the normal direction and two The stiffness of the two shearing directions is known, and the two shearing directions are the stiffnesses of the adhesive layer in the 13 direction and the 23 direction; δn , δs , δt are the normal and two shearing directions The relative displacement component of , its parameters are shown in Table 1:
表1胶层材料参数Table 1 Adhesive layer material parameters
III型断裂能无法通过试验得到有效的测量,通常情况下Type III fracture energy cannot be effectively measured through experiments, usually
二、根据碳纤维增强复合材料、胶层及干涉螺栓的结构尺寸、接触属性、载荷及边界条件,利用ABAQUS有限元软件建立碳纤维增强复合材料胶螺混合连接结构干涉插钉三维有限元模型,并构建碳纤维增强复合材料应力-应变本构关系。步骤一得到的拉伸强度和剪切强度为步骤二中的胶层模型提供了参数输入。2. According to the structural dimensions, contact properties, loads and boundary conditions of carbon fiber reinforced composite materials, adhesive layers and interference bolts, use ABAQUS finite element software to establish a three-dimensional finite element model of interfering bolts for carbon fiber reinforced composite rubber-screw hybrid connection structures, and build Stress-strain constitutive relationship for carbon fiber reinforced composites. The tensile strength and shear strength obtained in
2.1ASTM D-5961中所要求的结构如图2所示,其尺寸参数如表2所示,图2中的(a)为胶层结构示意图,图2中的(b)为干涉螺栓结构示意图,图2中的(c)为碳纤维复合材料层合板结构示意图。利用ABAQUS软件建立碳纤维增强复合材料、胶层及螺栓的三维几何模型,如图3所示。根据ASTM D-5961中的要求,利用ABAQUS软件建立碳纤维增强复合材料、胶层及螺栓的三维几何模型。由于螺栓光杆的长度大于连接结构叠层厚度,故忽略螺纹部分,将螺栓简化成“T”字形实体模型,其参数如表3所示,并设置各三维几何模型的识别名称。设置胶层的识别名称为ADHESIVE-1;碳纤维增强复合材料的识别名称为PLANE-1及PLANE-2;螺栓的识别名称为BOLT-1。2.1 The structure required in ASTM D-5961 is shown in Figure 2, and its dimensional parameters are shown in Table 2. (a) in Figure 2 is a schematic diagram of the adhesive layer structure, and (b) in Figure 2 is a schematic diagram of the interference bolt structure , (c) in Figure 2 is a schematic diagram of the structure of a carbon fiber composite laminate. The three-dimensional geometric model of carbon fiber reinforced composite material, adhesive layer and bolt is established by using ABAQUS software, as shown in Fig. 3. According to the requirements of ASTM D-5961, the three-dimensional geometric models of carbon fiber reinforced composite materials, adhesive layers and bolts were established by using ABAQUS software. Since the length of the polished bolt rod is greater than the thickness of the connecting structure stack, the threaded part is ignored, and the bolt is simplified into a "T"-shaped solid model. The parameters are shown in Table 3, and the identification names of each three-dimensional geometric model are set. Set the identification name of the adhesive layer as ADHESIVE-1; the identification names of carbon fiber reinforced composite materials as PLANE-1 and PLANE-2; the identification name of the bolts as BOLT-1.
表2CFRP胶螺混合连接结构尺寸参数Table 2 Dimensional parameters of CFRP rubber-screw hybrid connection structure
La、Wa、ea、ra分别为胶层的宽度、长度、孔中心到一端的距离及半径,R为螺栓的直径,Lp、Wp、ep、r分别为CFRP层合板的长度、宽度、孔中心到一端的距离和半径,单位为mm。La , Wa ,ea , ra are the width, length, distance from the center of the hole to one end and the radius of the adhesive layer, R is the diameter of the bolt, L p , W p, e p,rare the CFRP laminates The length, width, distance and radius from the center of the hole to one end, in mm.
表3Ti6Al4V螺栓材料参数Table 3 Ti6Al4V bolt material parameters
E为螺栓的弹性模量,V为泊松比。E is the elastic modulus of the bolt, and V is Poisson's ratio.
2.2在属性模块中设置胶层的最大拉伸强度、剪切强度及I型、II型断裂能,以建立双线性应力-应变本构模型,胶层采用内聚力单元COH3D8,碳纤维增强复合材料和螺栓采用缩减积分六面体单元C3D8R,并设置增强的沙漏控制以减少网格畸变。2.2 Set the maximum tensile strength, shear strength, and mode I and II fracture energy of the adhesive layer in the attribute module to establish a bilinear stress-strain constitutive model. The adhesive layer adopts the cohesive force unit COH3D8, carbon fiber reinforced composite material and Bolts use reduced integral hexahedral element C3D8R, and set enhanced hourglass control to reduce mesh distortion.
2.3装配中胶层与上下复合层合板之间使用面面绑定约束,螺栓与胶层及碳纤维增强复合材料之间分别建立摩擦关系,定义主面与从面,在接触属性中添加摩擦系数及“硬”接触。2.3 Surface binding constraints are used between the glue layer and the upper and lower composite laminates in the assembly, the friction relationship is established between the bolts and the glue layer and the carbon fiber reinforced composite material, the main surface and the slave surface are defined, and the friction coefficient and "Hard" contact.
2.4根据真实试验条件限制碳纤维增强复合材料及底座3个移动方向的自由度和3个旋转方向的自由度,限制螺栓除z方向移动的5个自由度;在载荷模块中建立干涉插钉位移。其中,干涉插钉位移为8.5mm。2.4 According to the real test conditions, limit the freedom of carbon fiber reinforced composite material and base in 3 moving directions and 3 rotating directions, and limit the 5 degrees of freedom of bolts except z direction movement; establish interference insertion nail displacement in the load module. Among them, the displacement of the interfering nail is 8.5mm.
2.5建立碳纤维增强复合材料应力-应变本构关系,碳纤维增强复合材料被建模为横观各向同性材料,其应力-应变本构关系可表达为:2.5 Establish the stress-strain constitutive relationship of carbon fiber reinforced composite materials. The carbon fiber reinforced composite material is modeled as a transversely isotropic material, and its stress-strain constitutive relationship can be expressed as:
其中:in:
C11=E11(1-v23v32)/Δ (8)C11 =E11 (1−v23 v32 )/Δ(8)
C22=E22(1-v13v31)/Δ (9)C22 =E22 (1−v13 v31 )/Δ(9)
C33=E33(1-v12v21)/Δ (10)C33 =E33 (1−v12 v21 )/Δ(10)
C12=E11(v21+v31v23)/Δ (11)C12 =E11 (v21 +v31 v23 )/Δ(11)
C23=E22(v32+v12v31)/Δ (12)C23 =E22 (v32 +v12 v31 )/Δ(12)
C13=E11(v31+v21v32)/Δ (13)C13 =E11 (v31 +v21 v32 )/Δ(13)
C44=2G12 (14)C44 =2G12 (14)
C55=2G23 (15)C55 =2G23 (15)
C66=2G13 (16)C66 =2G13 (16)
Δ=1/(1-v12v21-v23v32-v13v31-2v21v32v13) (17)Δ=1/(1-v12 v21 -v23 v32 -v13 v31 -2v21 v32 v13 ) (17)
式中,σn、σt分别是法向应力分量(σ11、σ22、σ33)和剪切应力分量(σ12、σ13、σ23);εn、εt分别是法向应变分量(ε11、ε22、ε33)和剪切应变分量(ε12、ε13、ε23);Cij=Cji(i,j=1,2,...6);且Cij为刚度系数。where σn and σt are the normal stress components (σ11 , σ22 , σ33 ) and shear stress components (σ12 , σ13 , σ23 ) respectively; εn and εt are the normal strain Components (ε11 , ε22 , ε33 ) and shear strain components (ε12 , ε13 , ε23 ); Cij =Cji (i, j=1, 2,...6); and Cij is the stiffness coefficient.
E1、E2、E3为碳纤维增强复合材料的弹性模量,G12、G13、G23为碳纤维增强复合材料的剪切模量,v12、v13、v23为碳纤维增强复合材料的泊松比,其中,角标12、13、23分别表示碳纤维增强复合材料12方向、13方向、和23方向;且vij=vji,(i,j=1,2,...6)。Δ为中间参量。E1 , E2 , E3 are the elastic modulus of the carbon fiber reinforced composite material, G12 , G13 , G23 are the shear modulus of the carbon fiber reinforced composite material, v12, v13, v23 are the Poisson of the carbon fiber reinforced composite material , where the subscripts 12, 13, and 23 respectively indicate the directions 12, 13, and 23 of carbon fiber reinforced composite materials; and vij =vji , (i, j=1, 2,...6). Δ is an intermediate parameter.
T700/TED-85碳纤维增强复合材料参数如表4所示。The parameters of T700/TED-85 carbon fiber reinforced composite materials are shown in Table 4.
表4T700/TED-85材料参数及强度Table 4 T700/TED-85 material parameters and strength
XT为纤维拉伸强度,XC为纤维压缩强度,YT为面内基体拉伸强度,YC为面内基体压缩强度,ZT为面外基体拉伸强度,ZC为面外基体压缩强度,S12、S13、S23为剪切强度,单位为MPa。XT is the fiber tensile strength, XC is the fiber compressive strength, YT is the in-plane matrix tensile strength, YC is the in-plane matrix compressive strength, ZT is the out-of-plane matrix tensile strength, ZC is the out-of-plane matrix Compressive strength, S12 , S13 , S23 are shear strength, the unit is MPa.
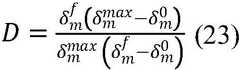
三、结合步骤二的三维有限元模型,根据螺栓与胶层及复合材料孔壁之间的接触应力,采用相应的材料失效判据对每一个胶层、碳纤维增强复合材料单元进行损伤分析,判断单元是否发生损伤。若损伤,采用相应的刚度折减模型进行当前材料刚度折减,并更新应力;若无损伤,单元刚度保持不变。3. Combined with the 3D finite element model in
3.1对胶层单元进行应力分析,采用二次应力失效准则判断胶层单元是否发生损伤,判据如下:3.1 Carry out stress analysis on the adhesive layer unit, and use the secondary stress failure criterion to judge whether the adhesive layer unit is damaged. The criteria are as follows:
式中,符号<>为麦考利括号,表示压缩载荷不会导致胶层损伤。和分别是胶层的法向拉伸强度及13方向和23方向的剪切强度;tn、Ts、tt分别是拉伸载荷下胶层当前的法向应力和13方向和23方向的剪应力。若Fa≥1,胶层单元发生损伤;若Fa<1,胶层单元未发生损伤。In the formula, the symbols <> are Macaulay brackets, indicating that the compressive load will not cause damage to the adhesive layer. and are the normaltensile strength of the adhesive layer and theshear strength in the 13-direction and 23- direction respectively; stress. If Fa≥1, the subbing layer unit is damaged; if Fa <1, the subbing layer unit is not damaged.
3.2若胶层单元发生损伤,产生裂纹,采用基于断裂韧性的混合模式B-K准则来预测三种裂纹形式的综合扩展作用:3.2 If the adhesive layer unit is damaged and cracks are generated, the mixed mode B-K criterion based on fracture toughness is used to predict the comprehensive expansion of the three crack forms:
GT=GI+GII (20)GT =GI +GII (20)
式中,分别为I、II型断裂能;GI、GII分别为当前I、II型断裂能;为总断裂能;GT是当前总断裂能即胶层材料破坏时当前I、II型断裂能之和;η为经验参数,设η=1。In the formula, are I and II fracture energies respectively; GI and GII are current I and II fracture energies respectively; is the total fracture energy; GT is the current total fracture energy, that is, the sum of the current type I and II fracture energy when the adhesive layer material is damaged; η is an empirical parameter, and η=1.
对胶层单元刚度进行折减:Apply discounts to the bondline element stiffness:
Ki=(1-D)K (21)Ki =(1-D)K (21)
则损伤后的胶层单元应力-应变本构关系为:Then the stress-strain constitutive relation of the adhesive layer element after damage is:
其中:in:
公式(24)中,i=n,s,t;D为损伤变量;Ki为胶层单元损伤后的刚度矩阵;为胶层单元发生损伤时的初始位移;为胶层单元完全失效时的位移;为胶层单元的实际位移;δ1、δ2、δ3分别是胶层单元的法向位移以及胶层13方向及23方向的位移。In the formula (24), i=n, s, t; D is the damage variable; Ki is the stiffness matrix after the damage of the adhesive layer unit; is the initial displacement when the adhesive layer unit is damaged; is the displacement when the adhesive layer unit fails completely; is the actual displacement of the adhesive layer unit; δ1 , δ2 , and δ3 are the normal displacement of the adhesive layer unit and the displacements in the 13 and 23 directions of the adhesive layer, respectively.
3.3考虑碳纤维增强复合材料的剪切非线性行为,结合最大应力准则和三维哈辛失效准则对碳纤维增强复合材料单元进行应力分析:3.3 Considering the shear nonlinear behavior of carbon fiber reinforced composite materials, combined with the maximum stress criterion and the three-dimensional Hasing failure criterion, the stress analysis of the carbon fiber reinforced composite material unit is carried out:
(1)纤维拉伸失效(σ11≥0):(1) Fiber tensile failure (σ11 ≥0):
(2)纤维压缩失效(σ11<0):(2) Fiber compression failure (σ11 <0):
(3)面内基体拉伸失效(σ22+σ33≥0):(3) In-plane matrix tensile failure (σ22 +σ33 ≥0):
(4)面内基体压缩失效(σ22+σ33<0):(4) In-plane matrix compression failure (σ22 +σ33 <0):
(5)面外基体拉伸失效(σ33≥0):(5) Out-of-plane matrix tensile failure (σ33 ≥0):
(5)面外基体压缩失效((σ33<0):(5) Out-of-plane matrix compression failure ((σ33 <0):
式中,σ11、σ22、σ33分别为x、y、z三个方向的主应力;σ12、σ13、σ23分别为相应方向的面内剪切应力;Xc、Xt、Yc、Yt、Zc、Zt分别为x、y、z三个方向的拉压极限强度,下标t表示拉伸,c表示压缩;S12、S13、S23分别为相应方向的剪切极限强度;当Fft、Ffc、Fmt、Fmc、Fnt、Fnc≥1时,碳纤维增强复合材料单元发生损伤;否则,单元未损伤。In the formula, σ11 , σ22 , and σ33 are the principal stresses in the three directions of x, y, and z, respectively; σ12 , σ13 , and σ23 are the in-plane shear stresses in the corresponding directions; Xc , Xt , Yc , Yt , Zc , and Zt are the tensile and compressive ultimate strengths in the three directions of x, y, and z respectively, the subscript t means tension, and c means compression; S12 , S13 , and S23 are the corresponding directions The shear ultimate strength of ; when Fft , Ffc , Fmt , Fmc , Fnt , Fnc ≥ 1, the carbon fiber reinforced composite material unit is damaged; otherwise, the unit is not damaged.
3.4碳纤维增强复合材料单元发生损伤,将激活材料损伤刚度矩阵,引入损伤变量来表征损伤过程。当材料未损伤时,损伤变量为0;发生损伤时,损伤变量将单调增加,达到1时表明材料已完全失效。与损伤变量相关的损伤刚度矩阵Cd表示如下:3.4 When the carbon fiber reinforced composite material unit is damaged, the material damage stiffness matrix will be activated, and damage variables will be introduced to characterize the damage process. When the material is not damaged, the damage variable is 0; when damage occurs, the damage variable will increase monotonically, and when it reaches 1, it indicates that the material has completely failed. The damage stiffness matrix Cd related to the damage variables is expressed as follows:
则碳纤维增强复合材料单元发生损伤后的应力-应变本构关系为:Then the stress-strain constitutive relation of the carbon fiber reinforced composite unit after damage is:
其中:in:
b1=1-df (33)b1 =1-df (33)
b2=1-dm (34)b2 =1-dm (34)
b3=1-ds (35)b3 =1-ds (35)
考虑了三个独立的损伤变量:df、dm、ds;df表示纤维方向的退化;dm表示沿垂直于纤维方向的退化;ds表示平行于纤维方向的剪切性能退化。关系如下:Three independent damage variables are considered: df , dm , ds ; df represents degradation along the fiber direction; dm represents degradation along the direction perpendicular to the fiber; ds represents the degradation of shear properties parallel to the fiber direction. The relationship is as follows:
df=1-(1-dFT)(1-dFC) (36)df =1-(1-dFT )(1-dFC ) (36)
dm=1-(1-dMT)(1-dMC) (37)dm =1-(1-dMT )(1-dMC ) (37)
ds=1-(1-df)(1-smt×dMT)(1-smc×dMC) (38)ds =1-(1-df )(1-smt×dMT )(1-smc×dMC ) (38)
式中,dFT、dFC为纤维拉伸和压缩方向上的损伤变量;dMT、dMC为基体拉伸和压缩方向上的损伤变量;smt、smc是由于基体拉伸和压缩破坏导致的剪切模量损失的系数。In the formula, dFT , dFC are the damage variables in the direction of fiber tension and compression; dMT , dMC are damage variables in the direction of matrix tension and compression; smt and smc are the damage caused by matrix tensile and compression Coefficient of shear modulus loss.
四、结合2.4中的干涉插钉位移,判断插钉过程是否结束,若插钉过程未结束,则增大插钉载荷,返回步骤三,继续进行应力分析;若插钉过程结束,模型停止分析;干涉插钉位移是一个人为设置的定值,模型在分析时根据模型的复杂度将插钉位移分成若干小位移,再进行分析,每完成一小位移的分析,模型会判断整个分析过程是否结束,如果没有就继续分析,直到把若干小位移全部分析完毕,模型就自动停止分析。4. Combining the interference of the nail insertion displacement in 2.4, judge whether the nail insertion process is over. If the nail insertion process is not over, increase the nail insertion load, return to step 3, and continue the stress analysis; if the nail insertion process is over, the model stops analyzing ;The displacement of the interfering screw is a fixed value set artificially. During the analysis, the model divides the displacement of the screw into several small displacements according to the complexity of the model. If not, continue the analysis until the analysis of several small displacements is completed, and the model will automatically stop the analysis.
五、当碳纤维增强复合材料胶螺混合连接结构干涉插钉三维有限元模型停止分析之后,对比压钉力-位移曲线,如图4所示,验证摩擦系数的准确性;单元的损伤分布在步骤三中计算获取,再提取其有限元结果中每一个胶层单元与碳纤维增强复合材料单元的等效应力。5. After the analysis of the three-dimensional finite element model of the carbon fiber reinforced composite rubber-screw hybrid joint structure interference nail insertion is stopped, compare the nail force-displacement curve, as shown in Figure 4, to verify the accuracy of the friction coefficient; the damage distribution of the unit is in the step The third calculation is obtained, and then the equivalent stress of each adhesive layer unit and carbon fiber reinforced composite material unit in the finite element results is extracted.
六、根据步骤三的三维各向异性渐进损伤模型,即3.1和3.3中的判据,继承步骤五中提取得到的单元等效应力及损伤分布,建立相应的载荷及边界条件,构建碳纤维增强复合材料胶螺混合连接结构拉伸损伤模型;如图5所示。载荷是指6.2中的螺栓预紧力;边界条件是指6.4中的操作设置。6. According to the three-dimensional anisotropic progressive damage model in step 3, that is, the criteria in 3.1 and 3.3, inherit the unit equivalent stress and damage distribution extracted in step 5, establish corresponding loads and boundary conditions, and build a carbon fiber reinforced composite The tensile damage model of the material rubber screw hybrid connection structure; as shown in Figure 5. Loads refer to bolt pretension in 6.2; boundary conditions refer to operational settings in 6.4.
6.1读取步骤五得到的胶层和碳纤维增强复合材料单元的等效应力及损伤分布,根据2.1中胶层及碳纤维增强复合材料的识别名称,在预定义场中关联其单元的等效应力及损伤分布。6.1 Read the equivalent stress and damage distribution of the adhesive layer and carbon fiber reinforced composite material unit obtained in step 5, and correlate the equivalent stress and damage distribution of the unit in the predefined field according to the identification name of the adhesive layer and carbon fiber reinforced composite material in 2.1. Damage distribution.
6.2因不考虑螺栓的弹塑性损伤,参考2.1中各部件的结构尺寸,建立“工”字形螺栓模型,替换“T”字形螺栓模型,并在载荷模块中施加螺栓预紧力;为了避免螺栓截面属性发生冲突,在网格模块中将螺栓截面属性设置为默认。6.2 Since the elastic-plastic damage of the bolts is not considered, refer to the structural dimensions of each component in 2.1, establish the "I"-shaped bolt model, replace the "T"-shaped bolt model, and apply the bolt pretightening force in the load module; in order to avoid the bolt section Attribute conflict, set bolt section attribute to default in Mesh module.
6.3在接触模块中,建立螺栓与继承等效应力与损伤的胶层及复合材料孔壁单元之间的摩擦属性,添加“硬”接触,摩擦系数取0.1。6.3 In the contact module, establish the friction properties between the bolt and the adhesive layer that inherits the equivalent stress and damage and the composite hole wall unit, add "hard" contact, and the friction coefficient is 0.1.
6.4在载荷及边界模块中,建立上下层合板的运动耦合参考点,限制下层合板运动耦合参考点的6个自由度,在上层合板运动耦合参考点限制除x方向的5个自由度,并添加准静态拉伸位移。具体为在载荷及边界模块中,建立上下层合板的运动耦合参考点RP-1及RP-2,并限制上下层合板的自由度,在参考点RP-1添加3.5mm的准静态拉伸位移。6.4 In the load and boundary module, establish the motion coupling reference point of the upper and lower laminates, limit the 6 degrees of freedom of the motion coupling reference point of the lower laminate, limit the 5 degrees of freedom except the x direction of the upper laminate motion coupling reference point, and add Quasi-static tensile displacement. Specifically, in the load and boundary module, the kinematic coupling reference points RP-1 and RP-2 of the upper and lower laminates are established, and the degrees of freedom of the upper and lower laminates are restricted, and a quasi-static tensile displacement of 3.5mm is added to the reference point RP-1 .
七、结合步骤三中的失效判据与刚度折减模型,对步骤六的碳纤维增强复合材料胶螺混合干涉连接结构拉伸损伤模型进行应力分析,判断每一个胶层单元和复合材料单元是否发生损伤或进行刚度折减。本发明包括两个阶段:干涉螺栓插钉过程+插钉完成之后的拉伸过程。这两个过程分别对应两个不同的有限元模型,所以要进行两次判断,但是判据相同,并且,第二个拉伸模型中的单元是继承了第一个模型的应力和损伤,然后在拉伸载荷的作用下再次进行应力分析,进而得到损伤和刚度折减,最终再到结构的整体失效。7. Combining the failure criterion and the stiffness reduction model in step 3, conduct stress analysis on the tensile damage model of the carbon fiber reinforced composite rubber screw hybrid interference connection structure in
八、判断每一个胶层单元和复合材料单元的损伤是否导致连接结构发生失效,若连接结构没有发生失效,则增大拉伸载荷,返回步骤七;若连接结构发生失效,模型停止分析,此时的拉伸载荷则为碳纤维增强复合材料胶螺混合干涉连接结构的拉伸强度,输出拉伸载荷-位移曲线,如图6所示,预测效果如表5所示,对碳纤维增强复合材料胶螺混合干涉连接结构拉伸强度的预测误差为3.21%。其中,连接结构发生失效的判断为Abaqus软件自行迭代计算单元刚度进行判断,当单元发生损伤,刚度就会折减,正常刚度减为0,但是拉伸过程中单元刚度出现了负值,这使得软件无法组装单元刚度矩阵,分析会自行停止,此时即认为连接结构发生失效。8. Determine whether the damage of each adhesive layer unit and composite material unit causes the failure of the connection structure. If the connection structure does not fail, increase the tensile load and return to step 7; if the connection structure fails, the model stops analyzing, and then The tensile load at this time is the tensile strength of the carbon fiber reinforced composite rubber-screw hybrid interference connection structure, and the output tensile load-displacement curve is shown in Figure 6, and the prediction effect is shown in Table 5. For carbon fiber reinforced composite material glue The prediction error of the tensile strength of the screw hybrid interference connection structure is 3.21%. Among them, the judgment of the failure of the connection structure is judged by the iterative calculation of the element stiffness by Abaqus software. When the element is damaged, the stiffness will be reduced, and the normal stiffness will be reduced to 0. However, the element stiffness has a negative value during the stretching process, which makes The software is unable to assemble the element stiffness matrix, and the analysis stops by itself, at which point the connection is considered to have failed.
表5拉伸试验与预测结果对比Table 5 Comparison of tensile test and predicted results
本发明还提供一种考虑插钉损伤的胶螺混合连接强度预测系统,包括:The present invention also provides a system for predicting the strength of a rubber-screw hybrid connection considering nail damage, including:
获取模块,用于获取胶层的拉伸强度、剪切强度、I型断裂能和II型断裂能。The acquisition module is used to acquire the tensile strength, shear strength, mode I fracture energy and mode II fracture energy of the adhesive layer.
碳纤维增强复合材料胶螺混合连接结构干涉插钉三维有限元模型构建模块,用于根据所述拉伸强度、所述剪切强度、连接结构的结构尺寸、连接结构的接触属性、连接结构的载荷和连接结构的边界条件构建碳纤维增强复合材料胶螺混合连接结构干涉插钉三维有限元模型;所述连接结构包括碳纤维增强复合材料、所述胶层和干涉螺栓;所述接触属性包括摩擦系数。The three-dimensional finite element model building block of the carbon fiber reinforced composite glue-screw hybrid connection structure interference inserting nails is used to calculate the tensile strength, the shear strength, the structural size of the connection structure, the contact properties of the connection structure, and the load of the connection structure The three-dimensional finite element model of the interfering plug of the carbon fiber-reinforced composite glue-screw hybrid connection structure is constructed with the boundary conditions of the connection structure; the connection structure includes the carbon fiber-reinforced composite material, the adhesive layer and the interference bolt; the contact properties include the friction coefficient.
损伤分析模块,用于基于所述碳纤维增强复合材料胶螺混合连接结构干涉插钉三维有限元模型、所述I型断裂能和所述II型断裂能,根据所述干涉螺栓、所述胶层以及碳纤维增强复合材料孔壁之间的接触应力进行损伤分析,确定损伤分布和刚度折减模型。The damage analysis module is used to, based on the three-dimensional finite element model of the interfering stud of the carbon fiber-reinforced composite glue-screw hybrid connection structure, the I-mode fracture energy and the II-mode fracture energy, according to the interference bolt, the adhesive layer As well as the contact stress between the hole walls of carbon fiber reinforced composite materials, the damage analysis is carried out to determine the damage distribution and stiffness reduction model.
碳纤维增强复合材料胶螺混合连接结构拉伸损伤模型构建模块,用于根据所述损伤分布构建碳纤维增强复合材料胶螺混合连接结构拉伸损伤模型。The tensile damage model building block of the carbon fiber reinforced composite rubber-screw hybrid connection structure is used for constructing the tensile damage model of the carbon fiber reinforced composite material rubber-screw hybrid connection structure according to the damage distribution.
应力分析模块,用于根据失效判据和所述刚度折减模型对所述碳纤维增强复合材料胶螺混合连接结构拉伸损伤模型进行应力分析,确定拉伸强度。The stress analysis module is used to perform stress analysis on the tensile damage model of the carbon fiber reinforced composite rubber-screw hybrid connection structure according to the failure criterion and the stiffness reduction model, and determine the tensile strength.
作为一种可选地实施方式,所述获取模块,具体包括:As an optional implementation manner, the acquisition module specifically includes:
拉伸强度获取单元,用于对所述胶层进行拉伸试验得到拉伸强度。The tensile strength obtaining unit is used to perform a tensile test on the adhesive layer to obtain the tensile strength.
剪切强度获取单元,用于对所述胶层进行剪切试验得到剪切强度。The shear strength acquisition unit is configured to perform a shear test on the adhesive layer to obtain the shear strength.
I型断裂能获取单元,用于对所述胶层进行双悬臂梁试验得到I型断裂能。The type I fracture energy acquisition unit is used for performing a double cantilever beam test on the adhesive layer to obtain the type I fracture energy.
II型断裂能获取单元,用于对所述胶层进行三点弯曲试验得到II型断裂能。The type II fracture energy acquisition unit is used to perform a three-point bending test on the adhesive layer to obtain the type II fracture energy.
作为一种可选地实施方式,所述碳纤维增强复合材料胶螺混合连接结构干涉插钉三维有限元模型构建模块,具体包括:As an optional implementation, the construction module of the three-dimensional finite element model of the carbon fiber-reinforced composite glue-screw hybrid connection structure interference inserting nail specifically includes:
三维几何模型构建单元,用于根据所述连接结构的结构尺寸、所述连接结构的接触属性和所述连接结构的边界条件构建三维几何模型。A three-dimensional geometric model construction unit is configured to construct a three-dimensional geometric model according to the structural dimensions of the connection structure, the contact properties of the connection structure and the boundary conditions of the connection structure.
干涉插钉位移确定单元,用于根据所述连接结构的载荷确定干涉插钉位移。The interfering nail displacement determining unit is configured to determine the interfering nail displacement according to the load of the connecting structure.
碳纤维增强复合材料应力-应变本构关系确定单元,用于根据所述伸强度和所述剪切强度确定碳纤维增强复合材料应力-应变本构关系。The carbon fiber reinforced composite material stress-strain constitutive relationship determining unit is used for determining the carbon fiber reinforced composite material stress-strain constitutive relationship according to the tensile strength and the shear strength.
碳纤维增强复合材料胶螺混合连接结构干涉插钉三维有限元模型构建单元,用于根据所述三维几何模型、所述干涉插钉位移和所述碳纤维增强复合材料应力-应变本构关系构建碳纤维增强复合材料胶螺混合连接结构干涉插钉三维有限元模型。The construction unit of the three-dimensional finite element model model of the interfering screw of the carbon fiber reinforced composite glue-screw hybrid connection structure is used to construct the carbon fiber reinforced composite material according to the three-dimensional geometric model, the displacement of the interfering pin and the stress-strain constitutive relationship of the carbon fiber reinforced composite material. Three-dimensional finite element model of interfering nails in composite rubber-screw hybrid connection structure.
作为一种可选地实施方式,所述损伤分析模块,具体包括:As an optional implementation manner, the damage analysis module specifically includes:
胶层的损伤情况确定单元,用于根据所述碳纤维增强复合材料胶螺混合连接结构干涉插钉三维有限元模型中的胶层采用二次应力失效准则进行应力分析,确定所述胶层的损伤情况;所述损伤情况包括发生损伤和未发生损伤。The damage determination unit of the adhesive layer is used to perform stress analysis on the adhesive layer in the three-dimensional finite element model of the carbon fiber reinforced composite glue-screw hybrid connection structure interference insertion nail using the secondary stress failure criterion to determine the damage of the adhesive layer Situation; the injury situation includes occurrence of injury and non-injury.
胶层刚度折减确定单元,用于当所述胶层的损伤情况为发生损伤时,根据损伤变量和胶层的位移确定所述刚度折减模型中的胶层刚度折减。The glue line stiffness reduction determination unit is configured to determine the glue line stiffness reduction in the stiffness reduction model according to the damage variable and the displacement of the glue line when the damage condition of the glue line is damage.
损伤分布确定单元,用于根据所述I型断裂能和所述II型断裂能确定损伤分布。A damage distribution determining unit configured to determine damage distribution according to the type I fracture energy and the type II fracture energy.
碳纤维增强复合材料的损伤情况确定单元,用于根据所述碳纤维增强复合材料胶螺混合连接结构干涉插钉三维有限元模型中的碳纤维增强复合材料采用最大应力准则和三维哈辛失效准则进行应力分析,确定所述碳纤维增强复合材料的损伤情况。The damage condition determination unit of the carbon fiber reinforced composite material is used to perform stress analysis according to the carbon fiber reinforced composite material in the three-dimensional finite element model of the interfering screw interfering screw mixed connection structure of the carbon fiber reinforced composite material using the maximum stress criterion and the three-dimensional Hasing failure criterion , to determine the damage condition of the carbon fiber reinforced composite material.
碳纤维增强复合材料刚度折减确定单元,用于当所述碳纤维增强复合材料的损伤情况为发生损伤时,根据损伤刚度矩阵确定损伤刚度折减模型中的碳纤维增强复合材料刚度折减。The carbon fiber reinforced composite material stiffness reduction determination unit is used to determine the carbon fiber reinforced composite material stiffness reduction in the damage stiffness reduction model according to the damage stiffness matrix when the damage condition of the carbon fiber reinforced composite material is damage.
本发明考虑干涉螺栓安装之后的胶层内聚性能退化、复合材料孔壁界面应力状态与损伤分布,实现准静态位移加载下连接结构拉伸强度的准确预测。The invention considers the degradation of the cohesive performance of the adhesive layer after the installation of the interference bolt, the stress state and damage distribution of the hole wall interface of the composite material, and realizes accurate prediction of the tensile strength of the connection structure under quasi-static displacement loading.
本说明书中各个实施例采用递进的方式描述,每个实施例重点说明的都是与其他实施例的不同之处,各个实施例之间相同相似部分互相参见即可。对于实施例公开的系统而言,由于其与实施例公开的方法相对应,所以描述的比较简单,相关之处参见方法部分说明即可。Each embodiment in this specification is described in a progressive manner, each embodiment focuses on the difference from other embodiments, and the same and similar parts of each embodiment can be referred to each other. As for the system disclosed in the embodiment, since it corresponds to the method disclosed in the embodiment, the description is relatively simple, and for the related information, please refer to the description of the method part.
本文中应用了具体个例对本发明的原理及实施方式进行了阐述,以上实施例的说明只是用于帮助理解本发明的方法及其核心思想;同时,对于本领域的一般技术人员,依据本发明的思想,在具体实施方式及应用范围上均会有改变之处。综上所述,本说明书内容不应理解为对本发明的限制。In this paper, specific examples have been used to illustrate the principle and implementation of the present invention. The description of the above embodiments is only used to help understand the method of the present invention and its core idea; meanwhile, for those of ordinary skill in the art, according to the present invention Thoughts, there will be changes in specific implementation methods and application ranges. In summary, the contents of this specification should not be construed as limiting the present invention.
| Application Number | Priority Date | Filing Date | Title |
|---|---|---|---|
| CN202211066562.7ACN115345059B (en) | 2022-09-01 | 2022-09-01 | Method and system for predicting mixed connection strength of rubber and screw by considering plug pin damage |
| Application Number | Priority Date | Filing Date | Title |
|---|---|---|---|
| CN202211066562.7ACN115345059B (en) | 2022-09-01 | 2022-09-01 | Method and system for predicting mixed connection strength of rubber and screw by considering plug pin damage |
| Publication Number | Publication Date |
|---|---|
| CN115345059Atrue CN115345059A (en) | 2022-11-15 |
| CN115345059B CN115345059B (en) | 2025-07-25 |
| Application Number | Title | Priority Date | Filing Date |
|---|---|---|---|
| CN202211066562.7AActiveCN115345059B (en) | 2022-09-01 | 2022-09-01 | Method and system for predicting mixed connection strength of rubber and screw by considering plug pin damage |
| Country | Link |
|---|---|
| CN (1) | CN115345059B (en) |
| Publication number | Priority date | Publication date | Assignee | Title |
|---|---|---|---|---|
| CN115964914A (en)* | 2022-11-30 | 2023-04-14 | 西北工业大学 | Method and system for simulating assembly damage of composite laminated structure by considering errors and external loads |
| Publication number | Priority date | Publication date | Assignee | Title |
|---|---|---|---|---|
| CN107239642A (en)* | 2017-07-10 | 2017-10-10 | 南京航空航天大学 | Towards the multiple dimensioned numerical value emulation method of carbon fibre reinforced composite drilling |
| CN107832560A (en)* | 2017-11-29 | 2018-03-23 | 北京航空航天大学 | A kind of full SiC ceramic matrix composite material Multi-fasteners joint structural failure analysis method based on asymptotic damage model |
| CN107885946A (en)* | 2017-11-23 | 2018-04-06 | 江苏理工学院 | A kind of method based on progressive damage model prediction composite Multi-fasteners joint intensity |
| CN108763603A (en)* | 2018-01-12 | 2018-11-06 | 温州燃机发电有限公司 | A method of the analysis of porthole fastening bolt coupling stress is carried out using whole-local joint modeling of nonlinear finite element |
| US20190384878A1 (en)* | 2018-06-14 | 2019-12-19 | The United States Of America, As Represented By The Secretary Of The Navy | Fibrous Composite Failure Criteria with Material Degradation for Finite Element Solvers |
| CN111368473A (en)* | 2020-03-04 | 2020-07-03 | 北京航空航天大学 | CFRP-metal hybrid bolt connection structure fatigue life prediction method under competitive failure |
| US20220235191A1 (en)* | 2019-06-25 | 2022-07-28 | The Trustees Of Indiana University | Fibers, prepreg materials, compositions, composite articles, and methods of producing composite articles |
| Publication number | Priority date | Publication date | Assignee | Title |
|---|---|---|---|---|
| CN107239642A (en)* | 2017-07-10 | 2017-10-10 | 南京航空航天大学 | Towards the multiple dimensioned numerical value emulation method of carbon fibre reinforced composite drilling |
| CN107885946A (en)* | 2017-11-23 | 2018-04-06 | 江苏理工学院 | A kind of method based on progressive damage model prediction composite Multi-fasteners joint intensity |
| CN107832560A (en)* | 2017-11-29 | 2018-03-23 | 北京航空航天大学 | A kind of full SiC ceramic matrix composite material Multi-fasteners joint structural failure analysis method based on asymptotic damage model |
| CN108763603A (en)* | 2018-01-12 | 2018-11-06 | 温州燃机发电有限公司 | A method of the analysis of porthole fastening bolt coupling stress is carried out using whole-local joint modeling of nonlinear finite element |
| US20190384878A1 (en)* | 2018-06-14 | 2019-12-19 | The United States Of America, As Represented By The Secretary Of The Navy | Fibrous Composite Failure Criteria with Material Degradation for Finite Element Solvers |
| US20220235191A1 (en)* | 2019-06-25 | 2022-07-28 | The Trustees Of Indiana University | Fibers, prepreg materials, compositions, composite articles, and methods of producing composite articles |
| CN111368473A (en)* | 2020-03-04 | 2020-07-03 | 北京航空航天大学 | CFRP-metal hybrid bolt connection structure fatigue life prediction method under competitive failure |
| Title |
|---|
| SHAO-YI HSIA等: "Cold forging analysis and verification of multi-stage hexagonal flange screw", 《2019 IEEE EURASIA CONFERENCE ON IOT, COMMUNICATION AND ENGINEERING (ECICE)》, 27 December 2019 (2019-12-27), pages 1 - 13* |
| 谭勇洋等: "针刺C/C复合材料拉伸强度及渐进失效数值预测", 《航空学报》, vol. 37, no. 12, 22 April 2016 (2016-04-22), pages 3734 - 3741* |
| 黄文俊: "复合材料混合连接结构拉伸性能与影响因素分析", 《北京航空航天大学学报》, vol. 39, no. 10, 18 January 2017 (2017-01-18), pages 1408 - 13* |
| Publication number | Priority date | Publication date | Assignee | Title |
|---|---|---|---|---|
| CN115964914A (en)* | 2022-11-30 | 2023-04-14 | 西北工业大学 | Method and system for simulating assembly damage of composite laminated structure by considering errors and external loads |
| Publication number | Publication date |
|---|---|
| CN115345059B (en) | 2025-07-25 |
| Publication | Publication Date | Title |
|---|---|---|
| Hassanieh et al. | Modelling of steel-timber composite connections: Validation of finite element model and parametric study | |
| CN106503292B (en) | Predict the finite element method of the progressive failure of Laminated Composites Under Low Velocity Impact Loading | |
| Campilho et al. | Using a cohesive damage model to predict the tensile behaviour of CFRP single-strap repairs | |
| Feo et al. | Mechanical behavior of web–flange junctions of thin-walled pultruded I-profiles: An experimental and numerical evaluation | |
| Feo et al. | Stress analysis of multi-bolted joints for FRP pultruded composite structures | |
| Oudjene et al. | Non-linear finite element modelling of the structural behaviour of screwed timber-to-concrete composite connections | |
| Elsayed et al. | Studies on mechanically fastened fiber-reinforced polymer strengthening systems | |
| Khorsandnia et al. | Deconstructable timber-concrete composite beams with panelised slabs: Finite element analysis | |
| CN106599507B (en) | A method of improving B-K criterion for fibre-bearing bridge joint influences the multidirectional Laminates With Delamination prediction of composite material | |
| Qiu et al. | Axial performance of steel splice connection for tubular FRP column members | |
| Csillag et al. | Push-out behaviour of demountable injected vs. blind-bolted connectors in FRP decks | |
| Zheng et al. | Experimental and theoretical studies of FRP-Steel composite plate under static tensile loading | |
| Luo et al. | Member capacity of pultruded GFRP tubular profile with bolted sleeve joints for assembly of latticed structures | |
| Djerrad et al. | Experimental and FEM analysis of AFRP strengthened short and long steel tube under axial compression | |
| Li et al. | A prediction method of the failure load and failure mode for composite pre-tightened tooth connections based on the characteristic lengths | |
| Khelifa et al. | Flexural strengthening of finger-jointed Spruce timber beams with CFRP | |
| Li et al. | Limited-damage 3D-printed interlocking connection for timber volumetric structures: Experimental validation and computational modelling | |
| Wahan et al. | Mechanical behavior of GFRP-bamboo composite shear connections | |
| CN115345059A (en) | A method and system for predicting the strength of a rubber-screw hybrid connection considering nail damage | |
| He et al. | Mechanical performance of glulam beam-to-column connections with coach screws as fasteners | |
| Gopalan et al. | Experimental and numerical investigation of tensile-loaded staggered bolted and hybrid pultruded composite double lap joints | |
| Timbolmas et al. | Digital image correlation and numerical analysis of CFRP-poplar timber interface subjected to modified single shear test | |
| Zhang et al. | Experimental and numerical studies on filled-hole compression of FRP laminates considering different countersunk hole configurations | |
| Zhu et al. | Finite element analysis of hybrid fiber reinforced engineered cementitious composite link slabs | |
| Mousa et al. | Flexural behavior of full-scale composite structural insulated floor panels |
| Date | Code | Title | Description |
|---|---|---|---|
| PB01 | Publication | ||
| PB01 | Publication | ||
| SE01 | Entry into force of request for substantive examination | ||
| SE01 | Entry into force of request for substantive examination | ||
| GR01 | Patent grant | ||
| GR01 | Patent grant |