



技术领域technical field
本发明属于电力系统运行优化领域,更具体的,涉及一种共享社区绿色电能 消纳分配方案制定方法与系统。The invention belongs to the field of power system operation optimization, and more specifically, relates to a method and system for formulating a green electric energy consumption and distribution plan for a shared community.
背景技术Background technique
分布式光伏具有建设灵活、土地资源占用少、接近负荷中心易于消纳的优点, 已成为光伏行业的主要增长点之一。然而,由于分布式光伏数量庞大、布局分散, 可观、可控性较差,其渗透率的快速提升将对电网的安全运行造成巨大影响。此 外,政策层面针对分布式光伏的补贴不断下调,最终实现平价上网是大势所趋, 分布式光伏的商业模式有待进一步探索和创新。从国外先进经验来看,最大限度 地自产自销将是解决以上问题的重要途径。在该模式下,一方面用户可通过储能、 柔性负荷来平抑光伏出力的波动性,从而减轻其对电网的影响;另一方面,可减 少用户从电网购入的电能总量,充分发挥光伏发电零边际成本的优势,提升用户 自身的经济性。若在社区或更大范围内开展电能的优化调度,则可获得更大的潜 在收益。Distributed photovoltaic has the advantages of flexible construction, less land resource occupation, and easy consumption close to the load center. It has become one of the main growth points of the photovoltaic industry. However, due to the large number of distributed photovoltaics, scattered layout, considerable size, and poor controllability, the rapid increase in its penetration rate will have a huge impact on the safe operation of the power grid. In addition, the subsidy for distributed photovoltaics has been continuously reduced at the policy level, and it is the general trend to finally achieve grid parity. The business model of distributed photovoltaics needs to be further explored and innovated. From the perspective of foreign advanced experience, maximizing self-production and self-sale will be an important way to solve the above problems. In this mode, on the one hand, users can stabilize the fluctuation of photovoltaic output through energy storage and flexible loads, thereby reducing its impact on the grid; The advantage of zero marginal cost of power generation improves the user's own economy. If the optimal dispatch of electric energy is carried out in the community or on a larger scale, greater potential benefits can be obtained.
经检索,公开号为CN106651637 A公开了一种多电能消纳分配方案制定方 法及指定系统,通过建立以总经济效益最大为目标函数,受送电通道的容量约束, 电源汇集点及终点的各落点变电容量约束和受端及送端电力平衡约束的送电通 道电能消纳模型,在将所有送电通道的起点的上网电价和终点的落地电价输入送 电通道电能消纳模型后,即可获得在满足这些约束的基础前提下,满足经济效应 最大化目标的每条送电通道的送电量分配方案以及受端的电能分配状态。从而实 现综合考虑多受端和多送端的电力分配与经济效益的目的,使得各个送电通道受 端地区实现接受外来输电的经济效益的最大化,以及各个送电通道送端地区实现 送电的经济效益的最大化。After retrieval, the publication number is CN106651637 A, which discloses a multi-energy consumption and distribution scheme formulation method and designation system. By establishing the objective function of maximizing the total economic benefit, subject to the capacity constraints of the power transmission channel, each power collection point and terminal The energy consumption model of the power transmission channel under the constraint of the drop-point transformation capacity and the power balance constraints of the receiving end and the sending end, after inputting the on-grid electricity price at the starting point of all power transmission channels and the landed electricity price at the end point into the power transmission channel power consumption model, Under the premise of satisfying these constraints, the distribution scheme of the transmission power of each power transmission channel and the power distribution status of the receiving end that meet the goal of maximizing the economic effect can be obtained. In this way, the purpose of comprehensively considering the power distribution and economic benefits of multiple receiving ends and multiple sending ends is achieved, so that the receiving end areas of each power transmission channel can realize the maximum economic benefits of receiving external power transmission, and the sending end areas of each power transmission channel can realize the maximum efficiency of power transmission. Maximize economic benefits.
虽然该发明通过提高各类发电资源有功功率的可控性,能实现各种不同发电 资源有功功率的可控性的最优调度。但是上述技术方案计及多个受端地区,且只 考虑了传统电能,而忽略了绿色电能,在当下社会背景明显不适用。Although the invention improves the controllability of the active power of various power generation resources, it can realize the optimal dispatch of the controllability of the active power of various power generation resources. However, the above-mentioned technical solution takes into account multiple receiving regions, and only considers traditional electric energy, while ignoring green electric energy, which is obviously not applicable in the current social background.
发明内容Contents of the invention
为解决现有技术中存在的不足,本发明的目的在于,设计一种新型基于共享 机制的社区电能多目标优化方法,在促进分布式光伏消纳的同时,提高社区整体 的用能经济性,进而提出一种共享社区绿色电能消纳分配方案制定方法与系统。In order to solve the deficiencies in the existing technology, the purpose of the present invention is to design a new multi-objective optimization method for community electric energy based on a sharing mechanism, which can improve the energy economy of the community as a whole while promoting the consumption of distributed photovoltaics. Furthermore, a method and system for formulating green power consumption and distribution schemes in shared communities is proposed.
本发明采用如下的技术方案。The present invention adopts the following technical solutions.
一种共享社区绿色电能消纳分配方案制定方法,包括如下步骤:A method for formulating a green electric energy consumption and distribution plan for a sharing community, comprising the following steps:
步骤1,确定社区电能日前调度的多目标优化目标函数;Step 1, determine the multi-objective optimization objective function of community electric energy day-ahead scheduling;
步骤2,建立优化模型约束条件,包括:各家庭的功率平衡约束、社区分享 功率平衡约束、光伏出力平衡约束、HESS充放电约束、EV充放电约束和线路 约束;Step 2. Establish optimization model constraints, including: power balance constraints of each family, community sharing power balance constraints, photovoltaic output balance constraints, HESS charge and discharge constraints, EV charge and discharge constraints, and line constraints;
步骤3,根据多目标优化目标函数和优化模型约束条件,利用法线边界交叉 法获得电能消纳分配方案。Step 3, according to the multi-objective optimization objective function and optimization model constraints, use the normal boundary crossing method to obtain the electric energy consumption and distribution scheme.
进一步的,多目标优化目标函数为:Further, the objective function of multi-objective optimization is:
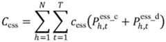
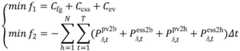
式中,t、h分别为时段、房屋编号,T为优化周期;N为社区内的别墅数量; Δt为时间间隔;f1为社区用电总费用,f2为社区清洁能源消纳量;分 别为家庭h的PV、HESS提供给自身日常负荷的电力;分别为家庭 h的PV、HESS提供给社区其他家庭负荷的电力;Cfg,Ccss,Cev分别为向电网购 电的费用、HESS充放电损耗费用、EV充放电损耗费用。In the formula, t and h are the time period and house number respectively, T is the optimization cycle; N is the number of villas in the community; Δt is the time interval; f1 is the total cost of electricity consumption in the community, and f2 is the consumption of clean energy in the community; Respectively for the PV and HESS of the household h to provide power for its own daily load; Respectively, the PV and HESS of household h provide power to other households in the community; Cfg , Ccss , and Cev are the cost of purchasing electricity from the grid, the cost of HESS charge and discharge loss, and the cost of EV charge and discharge loss, respectively.
进一步的,向电网购电的费用为:Furthermore, the cost of purchasing electricity from the grid is:
其中,分别为家庭日常负荷向电网购电功率、EV向电网购电功率,为各用电时段的购电电价。in, Respectively, household daily load purchases power from the grid, EV purchases power from the grid, is the electricity purchase price for each electricity consumption period.
进一步的,HESS充放电损耗费用为:Furthermore, the cost of HESS charge and discharge loss is:
其中,分别为HESS的充、放电功率,cess为HESS充放电损耗 的成本系数。in, are the charge and discharge power of the HESS, respectively, and cess is the cost coefficient of the charge and discharge loss of the HESS.
进一步的,EV充放电损耗费用为:Furthermore, the cost of EV charge and discharge loss is:
其中,分别为EV的充、放电功率,cev为EV充放电损耗的成本 系数。in, are the charge and discharge power of EV, respectively, and cev is the cost coefficient of EV charge and discharge loss.
进一步的,各家庭的功率平衡约束为:Further, the power balance constraints of each family are:
其中,为家庭h向电网或其他家庭获取的功率;为家庭h的EV提 供给自身日常负荷的电力;为家庭h的刚性负荷,分别为家庭h 的简单可平移负荷、ASHP负荷;为社区其他家庭分享给家庭h的功率,为家庭日常负荷向电网购电功率,分别为家庭h的PV、HESS提供 给自身日常负荷的电力。in, Power drawn from the grid or other households for household h; Provide the electric power for the daily load of the EV of the household h; is the rigid load for family h, are the simple shiftable load and ASHP load of family h respectively; Share the power to family h for other families in the community, Purchase power from the grid for household daily loads, The PV and HESS of household h provide electricity for their own daily load respectively.
进一步的,社区分享功率平衡约束为:Further, the community sharing power balance constraint is:
其中,为家庭h分享给社区内其他家庭的功率,为社区其他家庭分享 给家庭h的功率,为家庭h的屋顶光伏进行PV2h过程的功率;为HESS 进行ESS2h过程的功率;为EV进行V2h过程的功率。in, for household h to share power with other households in the community, Share the power to family h for other families in the community, Power for the PV2h process for rooftop PV of household h; Power for the ESS2h process for HESS; Power for the EV to perform the V2h process.
进一步的,光伏出力平衡约束为:Further, the photovoltaic output balance constraint is:
其中,为光伏发电被消纳的量;为PV2ESS过程传输的功率;为光伏出力预测值;ηdc-ac为逆变效率,为家庭h的PV提供给自身日常负荷 的电力;为家庭h的PV提供给社区其他家庭负荷的电力。in, The amount consumed for photovoltaic power generation; Power delivered for the PV2ESS process; is the predicted value of photovoltaic output; ηdc-ac is the inverter efficiency, Provide the PV of the household h with electricity for its own daily load; The PV of household h provides electricity for loads of other households in the community.
进一步的,HESS充放电约束如下:Further, the HESS charge and discharge constraints are as follows:
其中,为PV2ESS过程传输的功率,分别为HESS的充、 放电功率,为家庭h的HESS提供给自身日常负荷的电力,为家庭h 的HESS提供给社区其他家庭负荷的电力,ηdc-ac为逆变效率。in, Power delivered for the PV2ESS process, are the charging and discharging power of the HESS, respectively, Provide the HESS of household h with electricity for its own daily load, The HESS of family h provides power to other household loads in the community, and ηdc-ac is the inverter efficiency.
进一步的,EV充放电约束为:Further, the EV charging and discharging constraints are:
其中,分别为EV的充、放电功率,为EV向电网购电功率, ηdc-ac为逆变效率,为家庭h的EV提供给自身日常负荷的电力,为EV 进行V2h过程的功率。in, are the charging and discharging power of the EV, respectively, is the electric power purchased by EV from the grid, ηdc-ac is the inverter efficiency, Provide the electric power for the daily load of the EV of the household h, Power for the V2h process for EV.
进一步的,路约束为:Further, the road constraints are:
其中,为线路能够承受的最大功率;为0-1变量,为家庭h分 享给社区内其他家庭的功率,为家庭h向电网或其他家庭获取的功率。in, is the maximum power that the line can withstand; is a 0-1 variable, for household h to share power with other households in the community, is the power obtained by household h from the grid or other households.
进一步的,法线边界交叉法具体包括:Further, the normal boundary intersection method specifically includes:
其中,i指代第i个等分点,k是均匀分布的等分点的个数,为乌托邦线上 第i个等分点的法向量n能到达的距离。f1为社区用电总费用,f2为社区清洁能源 消纳量;f1min和f2min分别为f1与f2的最小值,f1max和f2max分别为f1与f2的最大 值,g(x)与h(x)分别是优化模型约束条件中的等式与不等式;f1和f2归一化后对 应点(1,0)、(0,1),称作Pareto前沿端点,两端点之间的直线段称为乌托邦线。Among them, i refers to the i-th bisection point, k is the number of uniformly distributed bisection points, is the distance that the normal vector n of the i-th bisection point on the utopia line can reach. f1 is the total cost of electricity consumption in the community, f2 is the consumption of clean energy in the community; f1min and f2min are the minimum values of f1 and f2 respectively, and f1max and f2max are the maximum values of f1 and f2 respectively , g(x) and h(x) are the equality and inequality in the constraints of the optimization model respectively; after f1 and f2 are normalized, the corresponding points (1,0) and (0,1) are called the Pareto front The straight line segment between the two endpoints is called the Utopia line.
一种共享社区绿色电能消纳分配方案制定系统,包括:逻辑计算模块与法线 边界交叉模块;A shared community green power consumption and distribution scheme formulation system, including: a logic calculation module and a normal boundary crossing module;
逻辑计算模块用于确定社区电能日前调度的多目标优化目标函数,以及建立 优化模型约束条件;The logic calculation module is used to determine the multi-objective optimization objective function of community electric energy day-ahead scheduling, and to establish optimization model constraints;
法线边界交叉模块用于根据多目标优化目标函数和优化模型约束条件,利用 法线边界交叉法获得电能消纳分配方案。The normal boundary crossing module is used to obtain the electric energy consumption and distribution scheme by using the normal boundary crossing method according to the multi-objective optimization objective function and optimization model constraints.
本发明的有益效果在于,与现有技术相比,本发明具有以下优点:The beneficial effects of the present invention are that, compared with the prior art, the present invention has the following advantages:
1)本发明首先基于屋顶光伏和家庭储能系统设计了社区电力共享机制。社 区内每个业主都是自发自用的产消者,盈余电力可以在社区内融通共享,从而促 进清洁光伏电力在社区内就地消纳,同时降低向电网购电的费用。1) The present invention first designs a community power sharing mechanism based on rooftop photovoltaic and home energy storage systems. Every owner in the community is a prosumer for self-use, and the surplus electricity can be integrated and shared in the community, thereby promoting the local consumption of clean photovoltaic power in the community and reducing the cost of purchasing electricity from the grid.
2)本发明计及柔性负荷的需求响应过程,建立了一种含屋顶光伏、储能系 统、以及电动汽车的共享社区绿色电能消纳分配方案考虑了社区居民用电费用和 清洁能源消纳量两个目标,利用法线边界交叉法获得了均匀分布的Pareto非劣解 集,并通过TOPSIS法找到折中解,有利于提高社区用电的经济性,并能促进清 洁能源就地消纳,并且对光伏预测误差具有更高的容忍度。2) The present invention takes into account the demand response process of flexible loads, and establishes a shared community green power consumption and distribution scheme that includes rooftop photovoltaics, energy storage systems, and electric vehicles, taking into account community residents' electricity costs and clean energy consumption Two goals, using the normal boundary intersection method to obtain a uniformly distributed Pareto non-inferior solution set, and using the TOPSIS method to find a compromise solution, which is conducive to improving the economics of community electricity consumption and promoting the local consumption of clean energy. And it has a higher tolerance to photovoltaic prediction errors.
附图说明Description of drawings
图1为本发明的一种共享社区绿色电能消纳分配方案制定方法的流程图。FIG. 1 is a flow chart of a method for formulating a shared community green electric energy consumption and distribution plan according to the present invention.
图2为社区运营商职能图。Figure 2 is a functional map of the community operator.
图3为乌托邦线与Pareto前沿的示意图。Figure 3 is a schematic diagram of Utopia line and Pareto front.
图4为实施所求得前沿与折中解的示意图。Figure 4 is a schematic diagram of implementing the obtained frontier and compromise solutions.
具体实施方式Detailed ways
下面结合附图对本申请作进一步描述。以下实施例仅用于更加清楚地说明本 发明的技术方案,而不能以此来限制本申请的保护范围。The application will be further described below in conjunction with the accompanying drawings. The following examples are only used to illustrate the technical scheme of the present invention more clearly, and cannot limit the protection scope of the application with this.
本发明所提出的一种共享社区绿色电能消纳分配方案制定方法在一个有5 个独栋别墅的清洁电力共享社区中得到了验证,流程如图1所示。A method for formulating a shared community green power consumption and distribution scheme proposed by the present invention has been verified in a clean power sharing community with 5 single-family villas, and the process is shown in Figure 1.
具体地,首先构建共享社区电能调度机制和价格交易机制,如图2所示。Specifically, first construct a shared community power scheduling mechanism and price trading mechanism, as shown in Figure 2.
1)电能调度机制1) Power scheduling mechanism
a.社区内业主的家庭日常负荷包括刚性负荷和可平移负荷,其中,可平移 负荷主要考虑两种类型:①简单可平移负荷,如洗衣机、洗碗机等;②可平移热 负荷,包括空间热负荷(space heating,SH)和生活热水负荷(domestic hot water, DHW),其需求主要由空气-水热泵(air-to-water source heat pump,ASHP)提供。a. The household daily loads of homeowners in the community include rigid loads and translatable loads. Among them, the translatable loads mainly consider two types: ① simple translatable loads, such as washing machines, dishwashers, etc.; ② translatable thermal loads, including space Heat load (space heating, SH) and domestic hot water load (domestic hot water, DHW), the demand is mainly provided by the air-to-water source heat pump (ASHP).
b.配置屋顶光伏的业主,自发自用是第一优先级,即光伏发电优先满足自 身家庭日常负荷的使用,即PV-to-house(PV2b)过程。当光伏发电量富余时, 可分为两个去向:①由自身家庭储能系统储存,即PV-to-HESS(PV2ESS)过程; ②通过PS-CEMS分享给社区内其他业主使用,即PV-to-community(PV2h) 过程。b. For owners who configure rooftop photovoltaics, self-use is the first priority, that is, photovoltaic power generation is given priority to meet the daily load of their own households, that is, the PV-to-house (PV2b) process. When the photovoltaic power generation is surplus, it can be divided into two destinations: ①Store by your own home energy storage system, that is, the PV-to-HESS (PV2ESS) process; ②Share it to other owners in the community through PS-CEMS, that is, PV- to-community(PV2h) process.
c.由于光伏出力和负荷曲线的不完全匹配,为了实现清洁电力最大程度地 在社区内被消纳利用,每个业主在家里都配置家庭储能系统。家庭储能系统所储 存的电量可以分为两个去向:①由家庭自身的日常负荷使用,即HESS-to-house ESS2b)过程;②通过PS-CEMS分享给其他业主家庭使用,即 HESS-to-community(ESS2h)过程。c. Due to the incomplete match between photovoltaic output and load curve, in order to maximize the consumption and utilization of clean electricity in the community, each owner configures a home energy storage system at home. The electricity stored in the home energy storage system can be divided into two destinations: ① It is used by the household’s own daily load, that is, the HESS-to-house ESS2b) process; ② It is shared with other owners’ families through PS-CEMS, that is, the HESS-to -community (ESS2h) process.
d.为顺应汽车电动化趋势,本发明提出的清洁电力共享社区的业主的私家 车都是电动汽车。其利用低谷电价的电网电力进行充电,而在傍晚用电高峰时可 以实现一定程度的需求响应,即电动汽车在使用完毕后,其富余电量可通过充电 桩分为两个去向:①向家庭日常负荷供电,即EV-to-house(V2b)过程;②利 用PS-CEMS即时分享给其他家庭使用,即EV-to-community(V2h)过程。电 动汽车设有业主期望的荷电状态(state of charge,SOC),以保证业主出行需要。d. In order to conform to the trend of electrification of automobiles, the private cars of the owners of the clean electric power sharing community proposed by the present invention are all electric vehicles. It uses grid electricity with low electricity prices for charging, and can achieve a certain degree of demand response during peak electricity consumption in the evening, that is, after the electric vehicle is used up, its surplus electricity can be divided into two destinations through charging piles: ①To the daily life of the family Load power supply, that is, EV-to-house (V2b) process; ② Use PS-CEMS to share it with other families in real time, that is, EV-to-community (V2h) process. Electric vehicles have a state of charge (SOC) expected by the owner to ensure the travel needs of the owner.
2)价格交易机制2) Price trading mechanism
a.为了激励盈余清洁电力尽可能在社区内部融通,也即促进业主产生共享 清洁电力的动力,需要对共享的发起方给予度电激励,这部分激励成本由共享的 接受方承担。对于共享的接受方而言,与向电网购电相比,共享电力的价格应该 具备一定优势。a. In order to encourage the integration of surplus clean electricity within the community as much as possible, that is, to promote the motivation of owners to generate shared clean electricity, it is necessary to give incentives to share initiators, and this part of the incentive cost is borne by the share recipients. For the recipients of sharing, compared with purchasing electricity from the grid, the price of sharing electricity should have certain advantages.
b.值得注意的是,这里的共享电力分为即时共享电力和次级共享电力。所 谓即时共享电力,是指时刻t的光伏发电出力在满足业主自身的电力需求的同时, 分享给社区内其他有共享需求的业主;而次级共享电力,是指时刻t的光伏发电 盈余电力经过储能电池储存之后在社区内其他业主有需要的时候共享给他们使 用。即时共享电力和次级共享电力享受同等的激励价格,因为其本质都是清洁的 光伏电力。b. It is worth noting that the shared power here is divided into instant shared power and secondary shared power. The so-called instant power sharing refers to the photovoltaic power generation output at time t meeting the owner’s own power demand while sharing it with other owners in the community who have sharing needs; and secondary power sharing refers to the surplus power of photovoltaic power generation at time t passing through After the energy storage battery is stored, it will be shared with other owners in the community when they need it. Instant shared electricity and secondary shared electricity enjoy the same incentive price, because they are all clean photovoltaic electricity in essence.
c.考虑到家庭储能系统一次投资成本较高,并且频繁充、放电对于寿命的 影响较大,因此对其设置度电调度成本,或者称为度电折旧成本。由于度电折旧 成本的存在,对于共享发起方来说,次级共享电力的实际收益会比即时共享电力 低。c. Considering that the primary investment cost of the household energy storage system is relatively high, and frequent charging and discharging have a greater impact on the service life, the KWH scheduling cost, or the KWH depreciation cost, is set for it. Due to the existence of the depreciation cost per kWh, for the sharing initiator, the actual income of secondary shared power will be lower than that of instant shared power.
d.电动汽车同样面临频繁充放电对电池寿命的削弱问题,因此也需要对其 设置度电折旧成本,成本制定规则类似于储能电池。在上述价格机制的引导下, 清洁电力去向的优先级为:自消纳>即时共享电力>次级共享电力。举例说明, 假设社区内只有业主A和业主B,业主A的负荷小于业主B。对于业主A来 说,光伏发电的出力首先被自身负荷消纳,多余的即时共享给B,再有多余的才 通过储能电池储存起来。而不会出现向B购买即时共享电力,并将光伏富余电 力卖给B(即时)的情况。d. Electric vehicles also face the problem of weakening battery life due to frequent charging and discharging. Therefore, it is also necessary to set a depreciation cost per kilowatt-hour. The cost setting rules are similar to energy storage batteries. Under the guidance of the above price mechanism, the priority of clean electricity is: self-consumption > instant shared electricity > secondary shared electricity. For example, suppose there are only owner A and owner B in the community, and the load of owner A is less than that of owner B. For owner A, the output of photovoltaic power generation is first absorbed by its own load, and the excess is immediately shared with B, and the excess is stored by the energy storage battery. There will be no situation of purchasing instant shared power from B and selling surplus photovoltaic power to B (immediately).
具体地,确定基于电力共享机制的社区电能日前调度多目标优化目标函数为:Specifically, the multi-objective optimization objective function of community power day-ahead scheduling based on the power sharing mechanism is determined as:
式中,t、h分别为时段、房屋编号,T为优化周期;N为社区内的别墅数量; Δt为时间间隔;f1为社区用电总费用,f2为社区清洁能源消纳量;分别为家庭h的PV、HESS提供给自身日常负荷的电力,即PV2b、ESS2b过程 传输的功率;分别为家庭h的PV、HESS提供给社区其他家庭负 荷的电力,即PV2h、ESS2h过程传输的功率。Cfg,Ccss,Cev分别为向电网购 电的费用、HESS充放电损耗费用、EV充放电损耗费用,具体定义如下:In the formula, t and h are the time period and house number respectively, T is the optimization cycle; N is the number of villas in the community; Δt is the time interval; f1 is the total cost of electricity consumption in the community, and f2 is the consumption of clean energy in the community; The power provided by the PV and HESS of household h to its own daily load, that is, the power transmitted by PV2b and ESS2b; The power provided by the PV and HESS of household h to other household loads in the community, that is, the power transmitted by PV2h and ESS2h. Cfg , Ccss , and Cev are the cost of purchasing electricity from the grid, the cost of HESS charge and discharge loss, and the cost of EV charge and discharge loss. The specific definitions are as follows:
式中,分别为家庭日常负荷向电网购电功率、EV向电网购电功率;分别为HESS的充、放电功率和EV的充、放电 功率;为各用电时段的购电电价;cess、cev分别为HESS、EV充放电损耗的 成本系数。In the formula, Respectively, household daily load purchases power from the grid, and EV purchases power from the grid; Respectively, the charging and discharging power of HESS and the charging and discharging power of EV; is the power purchase price of each electricity consumption period; cess and cev are the cost coefficients of HESS and EV charging and discharging losses, respectively.
优化模型约束条件包括社区内各家庭的功率平衡约束、社区分享功率平衡约 束、光伏出力平衡约束、HESS充放电约束、EV充放电约束和线路约束,其中:The optimization model constraints include power balance constraints of each family in the community, community shared power balance constraints, photovoltaic output balance constraints, HESS charge and discharge constraints, EV charge and discharge constraints, and line constraints, among which:
社区内各家庭的功率平衡约束为:The power balance constraints of each family in the community are:
式中,为家庭h向电网或其他家庭获取的功率;为家庭h的EV 提供给自身日常负荷的电力,即V2b过程分别传输的功率;分 别为家庭h的刚性负荷、简单可平移负荷、ASHP负荷(可平移);为社区其 他家庭分享给家庭h的功率。In the formula, Power drawn from the grid or other households for household h; Provide the electric power for the EV of household h to its own daily load, that is, the power transmitted respectively in the V2b process; are the rigid load, simple translatable load, and ASHP load (translatable) of family h respectively; Share the power given to family h for other families in the community.
社区分享功率平衡约束为:The community sharing power balance constraint is:
式中,为家庭h分享给社区内其他家庭的功率,由三部分组成:①家庭 h的屋顶光伏进行PV2h过程的功率②HESS进行ESS2h过程的功率③EV进行V2h过程的功率虽然电动汽车的充电功率来自夜间低谷电价 电力,并不属于清洁电力,但考虑到在傍晚用电高峰时刻,电动汽车具备一定的 削峰作用,此处也考虑力所能及的业主共享其EV电量。In the formula, The power shared by family h to other families in the community consists of three parts: ①The power of the roof photovoltaic of family h for PV2h process ②The power of HESS for ESS2h process ③The power of the EV to carry out the V2h process Although the charging power of electric vehicles comes from the electricity at low electricity prices at night, which is not clean electricity, considering that electric vehicles have a certain peak-shaving effect during the peak hours of electricity consumption in the evening, it is also considered that owners within their capabilities can share their EV power.
光伏出力平衡约束为:The photovoltaic output balance constraint is:
式中,为光伏发电被消纳的量;为PV2ESS过程传输的功率;为光伏出力预测值;ηdc-ac为逆变效率。In the formula, The amount consumed for photovoltaic power generation; Power delivered for the PV2ESS process; is the predicted value of photovoltaic output; ηdc-ac is the inverter efficiency.
HESS充电功率的获取和放电功率的分配应满足下述约束。其中,HESS充 电功率的唯一来源就是屋顶光伏的发电量,即PV2ESS过程。其放电量则主要通 过ESS2b和ESS2h过程向自身负荷和社区其他业主的负荷分配。HESS充放电 约束如下:The acquisition of HESS charging power and the distribution of discharging power should meet the following constraints. Among them, the only source of HESS charging power is the power generation of rooftop photovoltaics, that is, the PV2ESS process. Its discharge capacity is mainly distributed to its own load and the load of other owners in the community through the ESS2b and ESS2h processes. The HESS charge and discharge constraints are as follows:
EV充电功率的获取和放电功率的分配满足的约束如下式所示。其中,EV 充电功率的唯一来源是电网,其放电量则主要通过V2b和V2h过程向自身负荷 和社区其他业主的负荷分配。EV充放电约束如下:The constraints satisfied by the acquisition of EV charging power and the allocation of discharging power are shown in the following formula. Among them, the only source of EV charging power is the grid, and its discharge capacity is mainly distributed to its own load and the load of other owners in the community through the V2b and V2h processes. EV charging and discharging constraints are as follows:
线路约束保证了业主h在对外购电的同时不会向社区共享电力,如下:The line constraint ensures that the owner h will not share power with the community while purchasing power from outside, as follows:
式中,为线路能够承受的最大功率;为0-1变量,保证电量的流 入流出不同时进行。In the formula, is the maximum power that the line can withstand; It is a 0-1 variable to ensure that the inflow and outflow of electricity are not carried out at the same time.
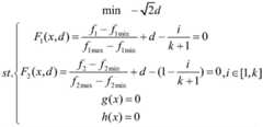
具体地,使用法线边界交叉法(normal boundary intersection,NBI)求解上述多目标优化问题。在电力共享社区中,将上述考虑社区业主用电总费用和清洁能源 消纳量的多目标优化模型写成紧凑形式:Specifically, a normal boundary intersection (NBI) method is used to solve the above multi-objective optimization problem. In the power sharing community, the above-mentioned multi-objective optimization model considering the total electricity consumption of community owners and the consumption of clean energy is written in a compact form:
min F(x)={f1(x),f2(x)}min F(x)={f1 (x),f2 (x)}
式中,f1(x)为社区业主用电总费用;f2(x)为清洁能源消纳量;g(x)、h(x)分 别为等式、不等式约束;x为决策变量。可以理解的是,此处的“等式、不等式 约束”即为上述的“优化模型约束条件”。应当理解的是,为了使得公式更加精 简,例如:下式中的“f2”与上文中的“f2(x)”应当看成是同一个意思。In the formula, f1 (x) is the total electricity consumption cost of community owners; f2 (x) is the amount of clean energy consumption; g(x) and h(x) are equality and inequality constraints respectively; x is a decision variable. It can be understood that the "equality and inequality constraints" here are the above-mentioned "optimization model constraints". It should be understood that, in order to make the formula more concise, for example, "f2 " in the following formula and "f2 (x)" above should be regarded as having the same meaning.
式中,i指代第i个等分点,k是均匀分布的等分点的个数,优选的,k=20,为乌托邦线上第i个等分点的法向量n(例如,图3中的法向量n为(1,1)) 能到达的距离。由于目标函数(即,f1与f2)的数量级和单位不同,需对各个 目标函数进行归一化处理。在归一化后的坐标平面上,f1(x)、f2(x)分别用f1、f2表示,其最小值分别为f1min和f2min,其最大值分别为f1max和f2max,其归一化 后对应点(1,0)、(0,1),称作Pareto前沿端点,两端点之间的直线段称为乌托邦线。 在乌托邦线上选取k个均匀分布的点,从而将多目标优化问题转换为k个单目标 优化问题。根据帕累托最优性条件可以证明﹐若M为帕累托前沿上的点,则必然最大。因此,在给定的等分点i下社区业主用电总费用和清洁能源消纳量的多 目标优化问题可转换为上述单目标问题求解。如图3所示。得到Pareto前沿上的 非劣解后,再根据TOPSIS法选取多目标优化问题的折中解。In the formula, i refers to the i-th aliquot, and k is the number of evenly distributed aliquots, preferably, k=20, is the distance that can be reached by the normal vector n of the i-th bisection point on the Utopia line (for example, the normal vector n in Figure 3 is (1,1)). Since the order of magnitude and units of the objective functions (ie, f1 and f2 ) are different, each objective function needs to be normalized. On the normalized coordinate plane, f1 (x) and f2 (x) are denoted by f1 and f2 respectively, the minimum values are f1min and f2min respectively, and the maximum values are f1max and f2max , its normalized corresponding points (1,0), (0,1), are called Pareto frontier endpoints, and the straight line between the two endpoints is called Utopia line. Select k uniformly distributed points on the Utopia line, thus transforming the multi-objective optimization problem into k single-objective optimization problems. According to the Pareto optimality condition, it can be proved that if M is a point on the Pareto front, then must be the largest. Therefore, the multi-objective optimization problem of the total cost of electricity consumption and clean energy consumption of community owners at a given equalization point i can be converted into the above-mentioned single-objective problem for solution. As shown in Figure 3. After obtaining the non-inferior solution on the Pareto front, the compromise solution of the multi-objective optimization problem is selected according to the TOPSIS method.
简单柔性负荷主要考虑洗衣机和洗碗机,参数如表1所示。ASHP和WST 的参数如表2所示。电动汽车相关参数如表3和表4所示。家庭储能系统HESS 的参数如表5所示。考虑到目前家庭储能系统一次性投资较高,此处按其生命周 期,将成本折算入优化调度模型的成本系数中,称为度电调度费用,取0.32元 /kWh。由于电动汽车电池的主要功能是交通工具的驱动力,在进行EV2b和EV2h 的时候,仅考虑其充放电损耗成本,而不用考虑其投资成本,此处取EV的充放 电损耗为0.2元/kWh。考虑到国内目前电力市场的发展现状,电价机制尚不完 善,为了更好地说明共享机制的适用性,本文电力共享社区向电网购电的电价采 用实际的分时电价,如表6所示。社区内部共享电力交价格取光伏上网电价,即 脱硫煤标杆电价,为0.42元/kWh。该价格仅仅影响业主利益分配,并不影响调 度结果。Simple flexible loads mainly consider washing machines and dishwashers, and the parameters are shown in Table 1. The parameters of ASHP and WST are shown in Table 2. The relevant parameters of electric vehicles are shown in Table 3 and Table 4. The parameters of the home energy storage system HESS are shown in Table 5. Considering the high one-time investment of the household energy storage system at present, according to its life cycle, the cost is converted into the cost coefficient of the optimal dispatching model, called the kWh dispatching cost, which is 0.32 yuan/kWh. Since the main function of the electric vehicle battery is the driving force of the vehicle, when performing EV2b and EV2h, only the cost of charge and discharge loss is considered, not the investment cost. Here, the charge and discharge loss of EV is taken as 0.2 yuan/kWh . Considering the current development status of the domestic electricity market, the electricity price mechanism is not yet perfect. In order to better illustrate the applicability of the sharing mechanism, the actual time-of-use electricity price is adopted for the electricity price purchased by the electricity sharing community from the grid in this paper, as shown in Table 6. The shared electricity price within the community is based on the photovoltaic on-grid electricity price, that is, the benchmark electricity price of desulfurized coal, which is 0.42 yuan/kWh. The price only affects the profit distribution of the owners, and does not affect the scheduling results.
表1简单可平移负荷参数Table 1 Simple translational load parameters
表2 ASHP和WST参数Table 2 ASHP and WST parameters
表3 EV参数Table 3 EV parameters
表4 EV的SOC参数Table 4 SOC parameters of EV
表5 HESS参数Table 5 HESS parameters
表6分时电价Table 6 Time-of-use electricity price
具体地,共享模式和传统模式下折中解处各目标的结果如图4所示,结果如 表7所示。共享模式下社区总用电费用是146.5元,传统模式下是159.5元;两 种模式下清洁能源消纳量分别是223kWh和193kWh。共享模式比传统模式节省 约8.2%的用电费用,清洁能源消纳量提升了15.5%。可见,共享模式比传统模 式更具经济性的同时,还能促进分布式光伏消纳。Specifically, the results of each target in the compromise solution under the sharing mode and the traditional mode are shown in Figure 4, and the results are shown in Table 7. The total electricity cost of the community is 146.5 yuan under the sharing mode, and 159.5 yuan under the traditional mode; the consumption of clean energy under the two modes is 223kWh and 193kWh respectively. Compared with the traditional model, the sharing model saves about 8.2% of electricity costs, and the consumption of clean energy has increased by 15.5%. It can be seen that while the sharing model is more economical than the traditional model, it can also promote the consumption of distributed photovoltaics.
表7分时电价Table 7 Time-of-use electricity price
综上,本发明涉及一种共享社区绿色电能消纳分配方案制定方法,考虑分布 式光伏具有建设灵活、土地资源占用少、接近负荷中心易于消纳的优点,以及电 网、居民用户侧等不同主体的经济和环境诉求。首先,基于屋顶光伏和家庭储能 系统设计了社区电力共享机制。其次,计及柔性负荷的需求响应过程,建立了含 屋顶光伏、储能系统、以及电动汽车的社区电能日前调度模型。本发明综合考虑 社区电力共享过程中的居民用电费用和清洁能源消纳量,旨在设计一种新型基于 共享机制的社区电能多目标优化方法,在促进分布式光伏消纳的同时,提高社区 整体的用能经济性。To sum up, the present invention relates to a method for formulating green power consumption and distribution schemes for shared communities, considering that distributed photovoltaics have the advantages of flexible construction, less land resource occupation, and easy consumption close to the load center, as well as different subjects such as power grids and resident users economic and environmental demands. First, a community power sharing mechanism is designed based on rooftop photovoltaic and home energy storage systems. Secondly, considering the demand response process of flexible loads, a community power day-ahead scheduling model including rooftop photovoltaics, energy storage systems, and electric vehicles is established. The present invention comprehensively considers residents' electricity consumption and clean energy consumption in the process of community power sharing, and aims to design a new multi-objective optimization method for community electric energy based on a sharing mechanism. Overall energy economy.
本发明申请人结合说明书附图对本发明的实施示例做了详细的说明与描述, 但是本领域技术人员应该理解,以上实施示例仅为本发明的优选实施方案,详尽 的说明只是为了帮助读者更好地理解本发明精神,而并非对本发明保护范围的限 制,相反,任何基于本发明的发明精神所作的任何改进或修饰都应当落在本发明 的保护范围之内。The applicant of the present invention has made a detailed illustration and description of the implementation examples of the present invention in conjunction with the accompanying drawings, but those skilled in the art should understand that the above implementation examples are only preferred implementations of the present invention, and the detailed description is only to help readers better To understand the spirit of the present invention rather than limit the protection scope of the present invention, on the contrary, any improvement or modification made based on the spirit of the present invention shall fall within the protection scope of the present invention.
| Application Number | Priority Date | Filing Date | Title |
|---|---|---|---|
| CN202210719942.XACN115330111A (en) | 2022-06-23 | 2022-06-23 | Method and system for making green electric energy consumption distribution scheme of shared community |
| Application Number | Priority Date | Filing Date | Title |
|---|---|---|---|
| CN202210719942.XACN115330111A (en) | 2022-06-23 | 2022-06-23 | Method and system for making green electric energy consumption distribution scheme of shared community |
| Publication Number | Publication Date |
|---|---|
| CN115330111Atrue CN115330111A (en) | 2022-11-11 |
| Application Number | Title | Priority Date | Filing Date |
|---|---|---|---|
| CN202210719942.XAPendingCN115330111A (en) | 2022-06-23 | 2022-06-23 | Method and system for making green electric energy consumption distribution scheme of shared community |
| Country | Link |
|---|---|
| CN (1) | CN115330111A (en) |
| Publication number | Priority date | Publication date | Assignee | Title |
|---|---|---|---|---|
| CN119647829A (en)* | 2024-11-08 | 2025-03-18 | 湖北电力交易中心有限公司 | Community distributed resource optimization configuration method, device, equipment and medium based on regional autonomous balance and sharing concept |
| Publication number | Priority date | Publication date | Assignee | Title |
|---|---|---|---|---|
| CN119647829A (en)* | 2024-11-08 | 2025-03-18 | 湖北电力交易中心有限公司 | Community distributed resource optimization configuration method, device, equipment and medium based on regional autonomous balance and sharing concept |
| Publication | Publication Date | Title |
|---|---|---|
| CN107017619B (en) | Distributed energy management method for photovoltaic charging station network from the perspective of non-cooperative game | |
| Brahman et al. | Optimal electrical and thermal energy management of a residential energy hub, integrating demand response and energy storage system | |
| CN111400641B (en) | A day-ahead optimization dispatching method for integrated energy systems with thermal storage electric heating | |
| CN103151797B (en) | Multi-objective dispatching model-based microgrid energy control method under grid-connected operation mode | |
| CN111881616A (en) | Operation optimization method of comprehensive energy system based on multi-subject game | |
| CN112883584B (en) | Multi-energy micro-grid group cold-heat-electricity multi-energy coupling optimization method considering benefit interaction | |
| CN104537443A (en) | Co-generation type micro-grid economy coordination and optimization dispatching method | |
| Zhang et al. | RETRACTED: Optimization strategy for power sharing and low-carbon operation of multi-microgrid IES based on asymmetric nash bargaining | |
| CN112182915B (en) | Optimized scheduling method and system for cooperatively promoting wind power consumption | |
| CN115689035A (en) | Cooperative optimization method for park level comprehensive energy system based on shared energy storage | |
| CN105576684B (en) | A kind of electric vehicle Optimization Scheduling in the micro-capacitance sensor of photoelectricity containing high permeability | |
| Zhu et al. | Energy saving and carbon reduction schemes for families with the household PV-BES-EV system | |
| CN109866628B (en) | Ordered charging control method for electric vehicle with active power distribution network | |
| CN118037511A (en) | A low-carbon optimized operation method, system, device and medium for an integrated energy system | |
| CN117291368A (en) | Virtual power plant optimal scheduling method considering carbon transaction and demand response | |
| CN119154257A (en) | Low-carbon interactive operation optimization method and device for virtual power plant | |
| CN115330111A (en) | Method and system for making green electric energy consumption distribution scheme of shared community | |
| Steen | Impact on the distribution system due to plug-in electric vehicles and changes in electricity usage | |
| CN113673779A (en) | A method for optimizing the allocation of new energy systems for rural households | |
| CN118863420A (en) | A coordinated optimization scheduling method for intelligent building clusters and energy storage power stations based on multiple games | |
| CN110826210A (en) | Modeling and optimization coordination method of multi-region building virtual power plant based on power interconnection | |
| CN116258345A (en) | Load aggregator operation optimization control method considering participation of electric automobile | |
| CN117035269A (en) | Regional comprehensive energy system considering renewable energy and electric automobile and method thereof | |
| CN115828619A (en) | Optimized dispatching method for household electric heating comprehensive energy system of integrated electric automobile | |
| CN116109048A (en) | Comprehensive energy system low-carbon scheduling method considering hydrogen energy intervention auction type carbon transaction |
| Date | Code | Title | Description |
|---|---|---|---|
| PB01 | Publication | ||
| PB01 | Publication | ||
| SE01 | Entry into force of request for substantive examination | ||
| SE01 | Entry into force of request for substantive examination |